IPCS INCHEM Home

    DIPHENYLAMINE (addendum)      JMPR 1998

    First draft prepared by 
    A. Protzel
    Environmental Protection Agency
    Washington DC, United States


         Explanation
         Evaluation for acceptable daily intake
              Biochemical aspects
                   Absorption, distribution, and excretion
                   Biotransformation
              Toxicological studies
                   Acute toxicity
                   Short term studies of toxicity
                   Long-term studies of toxicity and carcinogenicity
                   Genotoxicity
                   Reproductive toxicity
                        Multigeneration reroductive toxicity
                        Developmental toxicity 
                   Special studies
                        Cystic kidney disease
                        Renal papillary necrosis
         Comments
         Toxicological evaluation
         References


    Explanation

         Diphenylamine was first evaluated by the JMPR in 1969 (Annex 1,
    reference 12), when an ADI of 0.025 mg/kg bw was established on the
    basis of a NOAEL of 2.5 mg/kg per day in a two-year study in dogs.
    Diphenylamine was re-evaluated in 1976 (Annex 1, reference 26), when
    an ADI of 0-0.02 mg/kg was allocated on the basis of a NOAEL of 1.5
    mg/kg per day for Heinz-body formation reported in a six-month study
    in mice and a safety factor of 100. The 1982 JMPR considered
    impurities in commercial-grade diphenylamine and concluded that
    additional data on this aspect were desirable (Annex 1, reference 38);
    the ADI was made temporary, and the Meeting required additional data
    on teratogenicity, haematological effects, and mutagenicity. The 1984
    JMPR established an ADI of 0-0.02 mg/kg bw for diphenylamine of 99.9%
    purity on the basis of a NOAEL of 1.5 mg/kg bw per day in mice (Annex
    1, reference3 42).

    Evaluation for Acceptable Daily Intake

    1.  Biochemical aspects

     (a)  Absorption, distribution, and excretion

         Uniformly ring-labelled 14C-diphenylamine was administered to
    groups of five male and five female Sprague-Dawley rats orally in corn
    oil as a single oral dose of 5 mg/kg bw, as a single oral dose of 5
    mg/kg bw preceded by 5 mg/kg bw per day of non-radioactive
    diphenylamine for 14 days, or as a single oral dose of 750 mg/kg bw.
    Urine, faeces, and cage washes were collected 4, 8, 12, and 24 h after
    dosing and at 24-h intervals up to 168 h thereafter. The recovery of
    radiolabel in urine after 168 h, representing 68-89% of the dose,
    indicated extensive absorption of the compound. Total recovery of
    radiolabel 168 h after dosing accounted for 94-105% of the dose. After
    the single dose of 5 mg/kg bw, the mean percent of radiolabel
    recovered was 81% in urine, 9.1% in faeces, and 9.2% in cage washes
    for males, and 72% in urine, 16% in faeces, and 11% in cage washes for
    females. When this dose was preceded by the 14-day pretreatment, 89%
    of the radiolabel was recovered in urine, 7.6% in faeces, and 7.7% in
    cage washes for males, and 68% in urine, 21% in faeces, and 12% in
    cage washes for females. After the high single dose, 75% of the
    radiolabel was found in urine, 15% in faeces, and 4% in cage washes
    for males, and 73% in urine, 8.8% in faeces, and 11% in cage washes
    for females. The mean percent of the dose in residual carcass plus
    tissues was 0.41% in males and 0.28% in females at the high dose and
    0.14- 0.28% of the dose at the other dosages (Wu, 1993). 

         Uniformly ring-labelled 14C-diphenylamine was administered in
    capsules with corn meal to two female Toggenburg goats at a dose of 50
    mg/kg bw per day for seven days. The doses were based on feed
    consumption and were targeted to yield a dose equivalent to the
    consumption of feed containing diphenylamine at 50 ppm. An additional
    goat received the vehicle alone. Urine, faeces, and milk were
    collected twice daily, covering 0-8 h after dosing and 8-24 h after
    dosing, and cages were washed once daily. The goats were sacrificed
    24-26 h after the last dose, and the liver, kidneys, omental and back
    fat, loin muscle, and leg muscle were analysed for residues and
    metabolites. Urine was the major route of elimination, the two goats
    eliminating 85-91% of the daily dose in urine, 3.4-8.6% in faeces, and
    0.52-0.78% in milk; the cage washes contained 1-3.8% of the dose. A
    total of 92-96% of the dose was recovered. The cumulative percent of
    the dose that was excreted (96.5% for both goats) was very similar to
    the values for percent of the daily dose excreted, indicating that
    each dose of the test material was largely excreted within 24 h. The
    concentrations of residues in milk, expressed as ppm
    14C-diphenylamine equivalents, plateaued on the first day and were
    0.77-0.91 ppm for goat 2 and 0.53-0.66 ppm for goat 3 after the 8-h
    collection period and 0.22-0.43 ppm for both goats after the 16-h
    periods. The total amounts of radiolabelled residues in tissues were
    0.1-0.11 ppm in liver, 0.07-0.12 ppm in kidney, 0.006-0.007 ppm in leg

    muscle, 0.006-0.008 ppm in loin muscle, 0.021-0.026 ppm in back fat,
    and 0.02 ppm in omental fat (Kim-Kang, 1994a).

         Uniformly ring-labelled 14C-diphenylamine was administered in
    capsules with corn meal to 20 laying hens  (Gallus domesticus, Hyline
    6-36) at a concentration equivalent to administration of diphenylamine
    in the diet at 50 ppm, for seven days. Five additional hens received
    the vehicle only. Eggs were collected twice a day during treatment;
    excreta were collected daily. The hens were sacrificed 22-24 h after
    the last dose, and liver, kidneys, skin (with fat), and thigh and
    breast muscles were analysed for residues and metabolites. On days
    2-7, 84-98% of the daily dose was recovered. Cumulative recovery of
    radiolabel in the excreta was 91% of the dose. The concentrations of
    residues in egg yolk, expressed in ppm as 14C-diphenylamine
    equivalents, did not plateau during treatment and increased from less
    than 0.01 ppm on day 1 to 0.31 ppm on day 7; no radiolabel was
    detected in egg white. The total concentrations of radiolabelled
    residues in tissues were 0.15 ppm in liver, 0.21 ppm in kidney,
    < 0.01 ppm in thigh muscle, < 0.01 ppm in breast muscle, and 0.04
    ppm in fat and skin (Kim-Kang, 1994b).

     (b)  Biotransformation

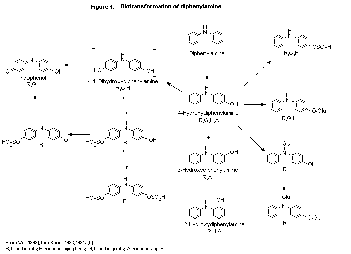
         The biotransformation of diphenylamine was studied in rats,
    treated as described above (Wu, 1993). Diphenylamine underwent
    extensive biotransformation, as no more than 2.7% of the dose was
    found as untransformed diphenylamine in any group. The structures of
    the metabolites were elucidated by co-chromatography (high-performance
    liquid or thin-layer chromatography) or mass spectral techniques. The
    following 12 metabolites were identified at all doses:
    4,4'-dihydroxydiphenylamine (unconjugated and as the  O-sulfate and
    the  O, O-disulfate), 4-hydroxy-diphenylamine (unconjugated and as
    the  O-glucuronide,  N-glucuronide,  O-sulfate, and
     O, N-diglucuronide), indophenol (unconjugated and as the
     O-sulfate), 3-hydroxydiphenylamine and 2-hydroxydiphenylamine. These
    metabolites plus parent accounted for 82-92% of the dose in excreta
    and were found mainly as their sulfate and glucuronide conjugates.
    Some quantitative sex- and dose-related differences in the metabolite
    patterns were seen. The proposed metabolic pathway for the
    biotransformation of diphenylamine in rats is shown in Figure 1.
    Diphenylamine undergoes biotransformation involving hydroxylation at
    various positions of the phenyl ring, primarily in the  para 
    position, followed by sulfation and/or glucuronidation and excretion.
    No cleavage of the diphenylamine structure was observed.

         In the study of Kim-Kang (1994a), described above, no metabolites
    were identified in the urine and faeces of the two lactating goats. Of
    the total 23% radiolabelled residue found in the liver, 5.9% was
    identified as diphenylamine, 1.7% as 4-hydroxydiphenylamine, 2.3% as
    4.4'-dihydroxy-diphenylamine, 2.9% as 4-hydroxydiphenylamine
    glucuronide, 8.3% as 4-hydroxydiphenylamine sulfate, and 2.1% as
    indophenol. Of the total 73% radiolabelled residue in kidney, 36% was
    identified as diphenylamine, 12% as 4-hydroxydiphenylamine

    FIGURE 1

    glucuronide, 24% as 4-hydroxy-diphenylamine sulfate, and 1.3% as
    indophenol. Of the total 94% radiolabelled residue in milk, 7.4% was
    identified as diphenylamine, 39% as 4-hydroxydiphenylamine
    glucuronide, and 47% as 4-hydroxydiphenylamine sulfate. Of the total
    40% radiolabelled residue in omental fat, 36% was identified as
    diphenylamine and 3.6% as 4-hydroxydiphenylamine.

         In the study in hens (Kim-Kang, 1994b), no metabolites were
    identified in urine or faeces. Of the total 85% radioactive residue in
    egg yolks, 17% was identified as diphenylamine, 4.8% as
    4-hydroxydiphenylamine, 0.6% as 4.4'-dihydroxydiphenylamine, 3.2% as
    4-hydroxydiphenylamine glucuronide, 57% as 4-hydroxydiphenylamine
    sulfate, and 1.9% as a polar oligomer conjugate of
    4-hydroxydiphenylamine. Of the total 31% radiolabelled residue in
    liver, 7.9% was identified as diphenylamine, 4.5% as
    2-hydroxydiphenylamine, 3% as 4.4'-di-hydroxydiphenylamine, 1.4% as
    4-hydroxydiphenylamine glucuronide, 8.6% as 4-hydroxydiphenylamine
    sulfate, 4.7% as a polar oligomer conjugate of 4-hydroxydiphenylamine,
    and 1.3% as indophenol. Of the total 39% radiolabelled residue in
    kidney, 1.1% was identified as diphenylamine, 0.3% as
    2-hydroxy-diphenylamine, 0.2% as 4-hydroxydiphenylamine sulfate, and
    38% as a polar oligomer conjugate of 4-hydroxydiphenylamine. Of the
    total 58% radiolabelled residue in skin and fat, 35% was identified as
    diphenylamine and 23% as 4-hydroxydiphenylamine sulfate.

         The biotransformation of 14C-diphenylamine was also studied in
    Red Delicious apples. Residues of a number of plant metabolites were
    identified in apple peel and pulp, and untransformed diphenylamine was
    the major contributor to the total residue 40 weeks after application.
    The major metabolite was 4-hydroxydiphenylamine, present as the
    glucose conjugate. Other metabolites identified were
    2-hydroxydiphenylamine, 3-hydroxydiphenylamine, and
    dihydroxydiphenylamine (possibly the 2,4-isomer). These compounds were
    present free or as conjugates with mono- or oligosaccharides
    (Kim-Kang, 1993).

    2.  Toxicological studies

     (a)  Acute toxicity

         The results of studies of the acute toxicity of diphenylamine are
    summarized in Table 1. After acute oral administration to rats in one
    study, diphenylamine (purity, 99.9%) was slightly toxic, with an LD50
    of 3000 mg/kg bw in males and 2700 mg/kg bw in females (Spanjers &
    Til, 1982). In another study, diphenylamine (purity, 99-100.1%) was
    generally not toxic, the LD50 being > 15 000 mg/kg bw for animals of
    each sex (Majnarich, 1991a). 

        Table 1.  Acute toxicity of diphenylamine in rats

                                                                                         

    Sex                Route           Purity        LD50          Reference
                                       (%)           (mg/kg bw)
                                                                                         

    Male               Oral            99.9          3000          Spanjers & Til (1982)
    Female                                           2700

    Male and female    Oral            99.9-100.1    > 15 000      Majnarich (1991a)

    Not reported       Dermal (24 h)   99.9-100.1    > 5000        Majnarich (1991b)
                                                                                         
    
         The acute dermal LD50 after a 24-h exposure to diphenylamine
    (purity, 99.9-100.1%) was > 2 g/kg bw in New Zealand white rabbits of
    each sex. No clinical signs were noted (Majnarich, 1991b).

         Diphenylamine (purity, 99.9-100.1%) applied to the eyes of one
    rabbit for seven days without rinsing was corrosive and induced
    corneal opacity (Kreuzmann, 1991a). The same preparation was not
    irritating to the skin of rabbits (Kreuzmann, 1991b). Diphenylamine
    (purity, 99.9%) did not produce dermal sensitization in guinea-pigs
    (Kiplinger, 1995).

     (b)  Short-term studies of toxicity 

     Mice

         Groups of 15 male and 15 female Swiss-derived CD-1 mice received
    technical-grade diphenylamine in the diet at 0, 10, 520, 260, or 5200
    ppm for 90 days, equal to doses of 1.7, 94, 440, and 920 mg/kg bw per
    day in males and 2.1, 110, 560, and 1100 mg/kg bw per day in females.
    The animals were observed for clinical signs, deaths, body weight, and
    food consumption; ophthalmological and haematological examinations
    were carried out, organs were weighed, and the animals were examined
    grossly and histopathologically. The hair of animals at the
    intermediate and high doses had a greenish tint, which may have been
    due to staining with diphenylamine or a metabolite. Three deaths
    occurred among controls and among males at the high dose; two of the
    latter had enlarged spleens, and one also had cystitis, probably
    related to treatment. There were no treatment-related effects on body
    weight, food consumption, or ophthalmic parameters. Haematology
    indicated dose-related decreases in erythrocyte counts and haematocrit
    in animals at the two higher doses that were statistically
    significantly different from controls. The values for mean corpuscular
    haemoglobin, mean corpuscular volume, and mean corpuscular haemoglobin
    content increased with dose and were statistically significantly
    different from those of controls in animals at the two higher doses;

    the mean corpuscular haemoglobin content was also statistically
    significantly increased in males at 525 ppm. The reticulocyte counts
    increased with dose and were statistically significantly different
    from those of controls at the high dose. In males, the absolute and
    relative weights of the liver and spleen increased with dose and were
    statistically significantly different from those of controls at the
    two higher doses; the relative weights of the kidney and heart were
    statistically significantly different from those of controls in mice
    at the high dose. In females, the absolute and relative weights of the
    spleen increased with dose and were statistically significantly
    different from those of the controls in animals at the two higher
    doses; the absolute and relative weights of the liver and the relative
    weights of the kidney were statistically significantly different from
    those of controls in females at the high dose. Necropsy of females
    revealed dark, enlarged spleens at the three higher doses, dark livers
    at the two higher doses, and dark kidneys at the highest dose. In
    males, necropsy showed dark, enlarged spleens and dark livers at the
    two higher doses. Histopathological examination of the liver showed
    increased pigment deposition and slight haematopoiesis in animals of
    each sex at the two higher doses. The spleen showed haemosiderosis and
    congestion at the three higher doses, reaching incidences of 14/15 or
    more at the two higher doses; the severity of spleen haematopoiesis
    was also increased at the three higher doses. The kidneys showed
    pigment deposition at the two higher doses. Cystitis was observed in
    9/15 males at the high dose and in 2/15 females at 2625 ppm and 8/14
    females at 5250 ppm. The cellularity of the bone marrow was increased
    at the two higher doses. The NOAEL was 10 ppm, equal to 1.7 mg/kg bw
    per day, on the basis of changes in haematological parameters and
    findings at necropsy (Botta, 1992).

     Rats

         Groups of 10 male and 10 female Sprague Dawley rats received
    technical-grade diphenylamine in the diet at 0, 150, 1500, 7500, or 15
    000 ppm for 90 days, equal to doses of 0, 9.6, 96, 550, and 1200 mg/kg
    bw per day in males and 0, 12, 110, 650, and 1300 mg/kg bw per day in
    females. The animals were observed for clinical signs, deaths, body
    weight, food consumption, ophthalmic, urinary, haematological, and
    clinical chemical end-points, organ weights, and gross and
    histopathological appearance. Greenish hair was first seen in females
    at 1500 ppm, later in 60% of males and 100% of females at 7500 ppm,
    and then in 70% of males and 100% of females at 15 000 ppm. Pale skin
    was seen in 100% of females at 7500 and 15 000 ppm and in 40% of males
    at 15 000 ppm. Two males at 15 000 ppm were found dead on day 6 of
    dosing, apparently due to gastroenteritis; there were no other deaths.
    The body weights and body-weight gains of animals of each sex at 7500
    and 15 000 ppm were consistently and statistically significantly below
    those of controls; although these values were generally lower than
    those of controls in animals at 1500 ppm, they were not statistically
    significantly different. Food consumption was not affected at any
    dose. The frequency of darkening of the urine increased with dose,
    starting with one female at 1500 ppm and 100% of rats at 15 000 ppm.
    Haematological measures indicated decreased erythrocyte counts and

    haemoglobin values, which were statistically significantly different
    from those of controls in animals at 7500 and 15 000 ppm at
    termination. The haematocrits were statistically significantly lower
    than those of controls in females at the three highest doses. Small,
    statistically significant increases in alkaline phosphatase activity,
    albumin content, and albumin:globulin ratio in males and glucose and
    albumin content and albumin:globulin ratio in females were observed at
    7500 and 15 000 ppm. The cholesterol concentration increased with dose
    in females and was statistically significantly different from that of
    controls at the three higher doses. In males, the absolute and
    relative weights of the liver and spleen increased with dose and were
    statistically significantly raised at 7500 and 15 000 ppm; the
    relative weights of the kidney and gonad also increased with dose and
    were also statistically significant at the two higher doses. In
    females, the absolute and relative weights of the liver increased with
    dose, and the change in relative weights was statistically significant
    at doses > 1500 ppm. The kidneys were dark in animals of each sex
    at 7500 and 15 000 ppm, and about 60% of the females at the high dose
    had dark and/or enlarged livers. The spleens of both males and females
    at the two higher doses were congested. Histopathological examination
    revealed an increased incidence of haematopoiesis and pigment in the
    liver, haematopoiesis, haemosiderosis, and congestion in the spleen,
    and pigmented kidneys in animals of each sex at 7500 and 15 000 ppm.
    The spleens of all females at 1500 ppm also showed an increase from
    minimal to slight haematopoiesis and haemosiderosis. The NOAEL was 150
    ppm, equal to 12 mg/kg bw per day, on the basis of increased clinical
    signs of toxicity, clinical chemical changes, organ weights, and gross
    and histopathological appearance (Krohmer, 1992a).

     Rabbits

         Groups of five male and five female New Zealand white rabbits
    received repeated dermal applications of technical-grade diphenylamine
    dissolved in distilled water at doses of 100, 500, or 1000 mg/kg bw
    per day. The material was applied daily for 6 h to an area of clipped
    skin corresponding to about 10% of the body surface and kept under
    occlusion for 21 consecutive days, with terminal sacrifice on day 22.
    Two additional groups of five rabbits of each sex served as vehicle
    controls. The animals were observed for clinical signs, deaths,
    ophthalmoscopic parameters, erythema, oedema, desquamation, and other
    adverse skin reactions, body weight, food consumption, urinary,
    haematological, and clinical chemical end-points, organ weights, and
    gross and histopathological appearance, the latter limited to the
    liver, kidneys, spleen, treated and untreated skin, and gross lesions.
    There were no deaths or treatment-related effects on clinical signs,
    body weights, food consumption, or haematological end-points. The only
    possible treatment-related effects on clinical chemistry were on
    sodium and potassium concentrations; females at all three doses had
    depressed sodium values, and those at the intermediate and high doses
    and males at the high dose had depressed potassium values with respect
    to controls. Gross necropsy, revealed dark-red foci in the stomachs of
    rabbits of each sex at the intermediate and high doses, which
    increased in frequency with dose: the incidences were 1/5 in males at

    the intermediate dose, 4/5 in those at the high dose, 1/5 in females
    at the intermediate dose, and 2/5 in females at the high dose. No
    dark-red foci were seen in the stomachs of controls or rabbits at the
    low dose. The NOAEL for systemic toxicity was 100 mg/kg bw per day on
    the basis of the presence of dark-red foci in the stomachs of males
    and females. The NOAEL for dermal effects was 1000 mg/kg bw per day,
    the highest dose tested (Siglin, 1992).

     Dogs

         Groups of four pure-bred beagle dogs of each sex received
    technical-grade diphenylamine (purity, > 99%) in gelatin capsules at
    doses of 0, 10, 25, or 50 mg/kg bw per day for 90 days. They were
    observed for deaths, clinical signs, body weight, food consumption,
    ophthalmological, haematological, clinical chemical, and urinary 
    parameters, organ weights, and gross and histopathological appearance.
    There were no deaths, and no treatment-related changes were seen in
    any of the above parameters. Statistically significant increases were
    seen, however, in some clinical chemical parameters including albumin
    content, the albumin:globulin ratio in males, and bilirubin content in
    females at the high dose. These effects may have been incidental. The
    NOAEL was 50 mg/kg bw/day, the highest dose tested (Krohmer, 1992b).

     (c )  Long-term studies of toxicity and carcinogenicity 

     Mice

         Groups of 60 CD-1 mice of each sex received diets containing
    technical-grade diphenylamine (purity, > 99%) at concentrations of 0,
    520, 2600, or 5200 ppm for up to 78 weeks, equal to 0, 73, 370, and
    760 mg/kg bw per day for males and 0, 90, 460, and 940 mg/kg bw per
    day for females. Ten mice of each sex per dose were sacrificed at 52
    weeks. The animals were observed for clinical signs, deaths, body
    weight, food consumption, ophthalmological and haematological
    end-points, organ weights, and gross and histopathological appearance.

         An increase in the incidence of greenish staining of the fur,
    especially around the anogenital area, with dose was seen as the study
    progressed. By week 26, most of the mice at 5250 ppm were affected,
    and by the end of the study some mice at 525 ppm group showed
    staining. The incidence of penile prolapse increased with dose,
    affecting seven males at 2625 ppm and 17 at 5250 ppm by 78 weeks. The
    frequency of unkempt appearance also increased with dose, with a
    higher incidence among males. The mortality rate increased with dose,
    becoming statistically significantly different from controls for males
    at 2625 and 5250 ppm by 52 weeks. The deaths were attributed mainly to
    cystitis among males and amyloidosis in females. The mean body-weight
    gains were 87, 86, and 91% of control values for males at 5250 ppm and
    104, 93, and 93% of control values for females at 5250 ppm at 13, 52,
    and 78 weeks, respectively. The body-weight gains of males at 5250 ppm
    and occasionally animals at 2625 ppm were statistically significantly
    decreased throughout the study (mainly through week 58). The
    body-weight gain of females at 5250 ppm was significantly decreased

    during the first three weeks and then occasionally for the remainder
    of the study. Mean food consumption was statistically significantly
    decreased during the first week of treatment in males at the high dose
    and remained increased throughout treatment for males at the two
    higher doses, with occasional statistically significant differences
    from controls. The food consumption of females at any dose showed
    little or no statistically significant difference from that of
    controls. 

         At the interim haematological evaluation at 52 weeks, males
    showed dose-related decreases in haematocrit and erythrocyte counts
    that reached statistical significance at 2625 and 5250 ppm; and mean
    corpuscular volume, mean corpuscular haemoglobin, and mean corpuscular
    haemoglobin content increased with dose and reached statistical
    significance in males at these doses. Females showed dose-related
    decreases in haematocrit that reached statistical significance at
    > 525 ppm; their erythrocyte counts decreased in a dose-related
    fashion and reached statistical significance at 2625 and 5250 ppm.
    Mean corpuscular volume, mean corpuscular haemoglobin, and mean
    corpuscular haemoglobin content increased with dose, the latter two
    reaching statistical significance at 2625 and 5250 ppm and the mean
    corpuscular volume at 5250 ppm. At termination at 78 weeks, males and
    females showed dose-related decreases in haematocrit and erythrocyte
    counts that reached statistical significance at 2625 and 5250 ppm;
    reticulocyte counts, mean corpuscular volume, mean corpuscular
    haemoglobin, and mean corpuscular haemoglobin content increased with
    dose and reached statistical significance in males at these doses. 

         At the interim necropsy, darkened spleens were seen in most mice
    at 2625 ppm and in all those at 5250 ppm. Darkened livers were seen in
    most mice at 5250 ppm and pale kidneys in many. At terminal necropsy,
    the livers of some mice at 2625 ppm and most at 5250 ppm were dark.
    The spleens of most treated mice were dark and often enlarged.
    Dose-related increases in the absolute and relative weights of the
    spleen, liver, and heart were seen in animals of each sex at the
    interim and final sacrifices. At interim sacrifice, the absolute
    weights of the spleen and liver of males at 2625 and 5250 ppm were
    statistically significantly different from those of controls, while
    the increases in the relative liver weights reached statistical
    significance only at the highest dose. In females, the absolute and
    relative weights of the spleen were statistically significantly
    increased only at the highest dose. The absolute and relative weights
    of the heart were statistically significantly increased in females at
    5250 ppm; the increases in males were not statistically different from
    those in controls. At final sacrifice, the absolute and relative
    weights of the spleen and liver of males at 2625 and 5250 ppm were
    statistically significantly increased. In females, the absolute and
    relative weights of the spleen were significantly increased only at
    5250 ppm,; the differences in relative liver weight reached
    statistical significance at 2625 and 5250 ppm. The absolute and
    relative weights of the heart were statistically significantly
    increased in animals of each sex at 5250 ppm. Changes in the absolute
    and relative weights of the pituitary and thyroid were not

    consistently dose-related and were thus considered not to be of
    toxicological significance. 

         Histopathological examination revealed treatment-related effects
    in the kidney, liver, spleen, bone marrow, urinary bladder, and penis.
    The incidences of haematopoiesis and pigment deposition in the liver
    were increased at the intermediate and high doses. Of mice at 2625 ppm
    that were found dead or moribund or were sacrificed at termination,
    19/51 males and 24/51 females showed liver haematopoiesis and 15/51
    males and 37/51 females showed liver pigmentation; higher incidences
    of these effects were seen at the high dose. The incidences of spleen
    congestion and haemosiderosis were increased in all treated mice. Of
    the mice at the low dose found dead or moribund or sacrificed at
    termination, 11/50 males and 8/50 females showed spleen congestion and
    8/50 males and 35/50 females showed spleen haemosiderosis; higher
    incidences of these effects were seen at the higher doses. The
    frequency of pigment deposition was increased in males at the high
    dose and in females at the intermediate and high doses. Among females
    found dead or moribund or sacrificed at termination, pigment was found
    in 5/51 at the intermediate dose and 7/51 at the high dose. Among
    males found dead or moribund or sacrificed at termination, 5/51 at the
    intermediate dose and 7/51 at the high dose showed pigment
    accumulation; additionally, 5/54 males had pyelonephritis. Although
    the incidence of spleen haematopoiesis did not increase with dose, the
    severity scores increased from minimal or slight in controls to mixed
    scores including moderate or marked at the high dose. The severity of
    haematopoiesis in the spleen increased from minimal to slight at 525
    ppm in contrast to the largely minimal level in controls.
    Additionally, bone-marrow cellularity changed from predominantly
    moderate in controls to marked at the higher doses. The incidences of
    urinary bladder cystitis and dilatation increased with dose, reaching
    statistical significance at the intermediate and high doses. Among
    mice at the intermediate dose that were found dead or moribund or were
    sacrificed at termination, 24/51 males and 13/48 females had cystitis
    and 18/51 males and 13/48 females had dilatation; higher values were
    seen at the high dose. The incidence of balanoposthitis apparently
    increased with dose; however, no statistical analysis was available.
    In females at 5250 ppm, the incidence of amyloidosis in the thyroid,
    adrenals, kidneys, stomach, small intestine, ovaries, and uterus was
    increased. The incidence of tumours was comparable in the treated and
    control groups. The NOAEL for toxicity was 525 ppm, equal to 73 mg/kg
    bw per day, on the basis of decreased body-weight gain, decreased
    survival, and significant haematological and gross and microscopic
    pathological alterations (Botta, 1994a). 

     Rats

         Groups of 60 male and 60 female Sprague-Dawley rats received
    diets containing technical-grade  diphenylamine (purity, > 99%) at
    concentrations of 0, 200, 750, 3750, or 7500 ppm for males and 0, 150,
    500, 2500, or 5000 ppm for females for up to two years, equal to 0,
    8.1, 29, 150, and 300 mg/kg bw per day for males and 0, 7.5, 25, 140,
    and 290 mg/kg bw per day for females. Groups of 10 rats of each sex

    per group were killed at a one-year interim sacrifice. The animals
    were observed for clinical signs, deaths, body weight, food
    consumption, ophthalmological, haematological, clinical chemical, and
    urinary end-points, organ weights, and gross and histopathological
    appearance. 

         The only treatment-related clinical finding was greenish
    colouration of the fur in the urogenital or ventral cervical area in
    animals of each sex at the two higher doses. The effect was attributed
    to the presence of a metabolite in urine or faeces. No treatment-
    related effects on mortality rates were observed; however, the study
    was terminated at 102 weeks because of increased mortality rates in
    controls and animals at the low dose: survival among males was 22% at
    0 and 200 ppm and 55% at 7500 ppm. Survival thus seemed to increase
    with dose, and an analysis of the survival data indicated a
    statistically significant negative trend for mortality as the dose
    increased in animals of each sex; the mortality rates at the two
    higher doses were statistically significantly lower than those for the
    control group. A dose-related decrease in body weight and body-weight
    gain was seen throughout most of the study, which reached statistical
    significance at the two higher doses. The body-weight gains of males
    at the two higher doses were depressed to 95 and 87% of the control
    values at 78 weeks and equal to those of controls at 102 weeks; in
    females, the corresponding values were 78 and 56% of controls at 78
    weeks and 80 and 61% at 102 weeks. There was no decrease in food
    consumption, except during the first week; at other times, food
    consumption appeared to have increased, possibly due to food wastage.
    There were no treatment related effects on ophthalmological
    parameters. 

         Haematological examination revealed dose-related decreases in
    erythrocyte counts, haemoglobin, and haematocrit in animals at the two
    higher doses throughout treatment. The decreases reached statistical
    significance for erythrocyte count and haemoglobin in males at 3750
    and 7500 ppm in week 26 and at termination and for erythrocyte counts,
    haemoglobin, and haematocrit in females at 2500 and 5000 ppm through
    most of the treatment and at termination. Although the erythrocyte
    counts, haemoglobin, and haematocrit were decreased in males at 750
    ppm and in females at 500 ppm, the decreases reached statistical
    significance only sporadically during treatment. The mean corpuscular
    volume and mean corpuscular haemoglobin content were significantly
    different from those of controls in males at the three higher doses
    and in females at the two higher doses. 

         Dose-related, statistically significant increases in the absolute
    and relative weights of the spleen were seen in females at the two
    higher doses at interim sacrifice and at termination. A similar effect
    on spleen weights was observed in males, except that the changes in
    rats at 3750 ppm were not statistically significant. The relative
    weight of the liver was statistically significantly increased in
    females at 5000 ppm at termination and at 3750 and 5000 ppm at interim
    sacrifice; no increase in liver weights was observed in males. The
    increases in spleen and liver weights are consistent with the

    haematological effects of the compound. Findings of dark and/or
    enlarged spleens at necropsy in males at > 750 ppm and in females
    at 500 ppm are probably related to the haematological effects.
    Microscopic examination revealed treatment-related effects in the
    kidney, liver, spleen, and bone marrow. The incidence of pigment
    deposition in the kidney increased in a dose-related fashion and
    reached 44/50 in males and 44/52 in females at the high dose that were
    found dead or moribund or were sacrificed at termination. The
    incidences of haematopoiesis and pigment deposition in the liver
    increased in a dose-related fashion and reached 21/50 and 27/50 in
    males and 41/52 and 45/52 in females at the high dose that were found
    dead or moribund or sacrificed at termination. Erythroid hyperplasia
    was seen at the higher dose but not in controls or at the low dose.
    The incidence of congestion of the spleen increased in a dose-related
    fashion and reached incidences of 50/50 in males and 47/52 in females
    at the high dose that were found dead or moribund or sacrificed at
    termination. These findings are all related to the observed
    haematological effects. No treatment-related increase in tumour
    incidence was observed. The NOAEL for toxicity was 150-200 ppm, equal
    to 7.5 mg/kg bw per day, on the basis of changes in haematological
    parameters and in the histopathological appearance of the spleen,
    kidney, and liver (Botta, 1994b).

     Dogs

         Four beagles of each sex received diphenylamine (purity, > 99%)
    by gelatin capsule at a dose of 0, 10, 25, or 100 mg/kg bw per day for
    52 weeks and were observed for clinical signs, body weight, food
    consumption, ophthalmological, haematological, clinical chaemical, and
    urinary end-points, organ weights, and gross and histopathological
    appearance. No treatment-related clinical signs were seen at
    termination. One dog at the intermediate dose and two at the high dose
    had greenish hair. There were no deaths or treatment-related effects
    on body weight, food consumption, or ophthalmological parameters.
    Haematological examination revealed decreased mean erythrocyte counts
    (by 11% in comparison with controls), haemoglobin (9.3%), and
    haematocrit (8.7%) in males at the high dose; smaller decreases in
    these parameters were found in females. The platelet count increased
    with dose in males at the 13-, 26-, 39-, and 52-week evaluation
    periods, becoming statistically significant at the intermediate and
    high doses. There was a dose-related increase in mean total bilirubin
    concentration, which was statistically significant for animals at the
    the intermediate and high doses throughout the study, in animals at
    the low dose at week 26, and in females only at week 39. The mean
    cholesterol concentration appeared to increase with dose at all
    evaluation periods but was statistically significantly increased only
    in males at the high dose at week 13 (by 68%) and in females at the
    high dose at week 39 (by 37%). The blood urea nitrogen concentration
    was decreased in females at the intermediate (by 16%) and high doses
    (by 20%) at week 52. The mean absolute and relative weights of the
    liver and thyroid appeared to increase with dose in males, but only
    the mean absolute liver weight of males at the high dose was
    statistically significantly increased. The mean absolute and relative

    weights of the thyroid decreased with dose in females but did not
    reached statistical significance at any dose. There were no
    treatment-related gross or histopathological changes. The NOAEL for
    toxicity was 10 mg/kg bw per day on the basis of haematological and
    clinical chemical changes (Botta, 1994c). 

     (d)  Genotoxicity 

         As summarized in Table 2, negative results were obtained for
    mutation in bacteria (Lawlor, 1992) and for induction of micronuclei
    in mouse bone marrow  in vivo (Murli 1992 a,b). A weakly positive
    response was observed for mutation in mouse lymphoma cells  in vitro 
    at a dose range that was toxic, and the mutant frequency did not
    increase with dose (Cifone, 1992). The Meeting concluded that although
    diphenylamine has some genotoxic potential it is unlikely to be a
    human genotoxic hazard.

     (e)  Reproductive toxicity 

    (i)  Multigeneration reproductive toxicity

         In a two-generation study of reproductive toxicity, groups of 28
    Sprague-Dawley rats received diphenylamine (purity, 99.8%) in the diet
    at concentrations of 0, 500, 1500, or 5000 ppm, equal to 0, 40, 120,
    and 400 mg/kg bw per day for F0 males and 0, 46, 130, and 450 mg/kg
    bw per day for F0 females for 70 days before mating. After weaning,
    28 F1 rats of each sex per group were also given the test diets for
    up to 70 days before mating and were selected as parents for the F2
    litters. The parent animals were observed for deaths, clinical signs,
    body weight, food consumption, mating and fertility indices and other
    measures of reproductive performance, organ weights, and gross and
    histopathological appearance. The offspring were observed at birth and
    through lactation for clinical signs, deaths, weights, and sex ratio;
    all underwent necropsy. 

         Toxicity was dose-related and was observed in animals of each sex
    and generations at all doses. In general, females were more affected
    than males, and F1 animals were more affected than F0 animals. In
    the F0 generation, the incidences of bluish coats and a bluish fluid
    in the cages were increased in males and females at 5000 ppm, and
    similar findings were made in the F1 generation. Swelling of the
    mammary glands were seen in females, and palpable masses were noted in
    lateral or ventral regions, especially in females. These masses
    appeared to be transient but were not examined grossly or
    microscopically. Body weight and body-weight gain were significantly
    decreased at various times in animals at 1500 and 5000 ppm. At 5000
    ppm, there was a decrease in body weight compared with controls, of
    6-9% for F0 males, 5-8% for F0 females, 22-28% for F1 males, and
    11-23% for F1 females. At 1500 ppm, there was a 5-8% decrease in body
    weight for F0 females, 7-9% for F1 males, and 5% for F1 females.
    The relative weights of the kidney, liver, and spleen of F0 and F1
    males were significantly increased at 5000 ppm, and the relative


        Table 2. Results of assays for the genotoxicity of diphenylamine

                                                                                                                            

    End-point           Test object              Concentration                  Purity     Results      Reference
                                                                                (%)
                                                                                                                            

    In vitro
    Forward mutation    S. typhimurium           6.67-333 µg/platea             99.9       Negative     Lawlor (1992)
                        TA98, TA100, TA1535,     10-667 µg/plateb
                        TA1537, TA1538

    Gene mutation       L5178Y tk+/- mouse       5-80 µg/ml                     > 93       Weakly       Cifone (1992)
                        lymphoma cells                                                     positiveb
                                                                                           Negativea

    In vivo
    Micronucleus        Mouse (ICR strain)       250-1000 mg/kg bw (males)      99.9       Negative     Murli (1992a,b)
    formation                                    375-1500 mg/kg bw (females)
                                                                                                                            
    

    weights of the liver and spleen of F0 and F1 females were
    significantly increased at 1500 ppm. The relative weights of the liver
    were significantly increased at 1500 and 5000 ppm in F0 females but
    only at 5000 ppm in F1 females. 

         Gross observations at necropsy included enlarged spleens in
    animals of each sex and generation at 1500 and 5000 ppm and in F1
    females at 500 ppm, in addition to blackish-purple spleens in animals
    of each sex and generation at 500, 1500, and 5000 ppm. The incidences
    of blackish-purple spleen in F1 rats at 500 ppm were 9/28 males and
    6/28 females; incidences of 27/28 or higher were seen at higher doses.
    Histopathological examination revealed a brown pigment in the proximal
    tubules of the kidney in animals of each sex and generation at 5000
    ppm; and 3/28 F1 females at 1500 ppm also had brown pigment.
    Congestion and haemosiderosis of the spleen were seen in animals of
    each sex and generation at 500, 1500, and 5000 ppm. Increased spleen
    erythropoiesis was seen in 4/28 males at 5000 ppm. Hepatocyte
    hypertrophy was seen in males of both generations at 1500 and 5000
    ppm; in females, it was seen at all doses in the F0 generation but
    only at 5000 ppm in the F1 generation. Kupffer cells with brown
    pigment containing iron were seen in animals of each generation, at
    5000 ppm in males and at 1500 and 5000 ppm in females. 

         Reproductive toxicity was seen in the form of decreased mean pup
    weight at various times in each generation and reduced litter size at
    the high dose; no other parameters were affected by treatment. F1
    pups at 5000 ppm had statistically significantly decreased mean body
    weight (11% less than controls at birth and 14-25% less than controls
    during lactation). F2 pups showed statistically significantly
    decreased mean body weight at 1500 ppm (10-12% less than controls
    during late lactation) and at 5000 ppm (10-19% less than controls
    throughout lactation). The mean body weight of pups in the F2 litters
    at birth was about 4.8% lower than that of controls, but the
    difference was not statistically significant. The mean litter size
    decreased with dose in both generations, by 21% at 5000 ppm in the F1
    generation, and was statistically significantly different from control
    values. Although the mean litter size in the F0 generation at 5000
    ppm was decreased by 10%, this value was not statistically
    significant. The decrease in litter sizes with dose correlated with
    the number of uterine implantation scars observed at necropsy, and the
    mean uterine implantation scar count decreased with dose in both
    generations. The mean scar count at 5000 ppm was decreased by 16% and
    was statistically significant; although the mean scar count in the F0
    generation was decreased by 7.3% at 5000 ppm, the value was not
    statistically significant. 

         A NOAEL was not identified for parental systemic toxicity.
    Although haemosiderin and congestion in the spleen and hepatocyte
    hypertrophy were seen at all doses, the incidence and intensity of
    these effects were appreciably smaller at the lower dose. For example,
    only 4/28 females at the low dose had spleen congestion, rated as
    minimal, whereas 22/28 females at the intermediate dose had this

    effect and its intensity was nearly equally divided between minimal
    and mild. These observations suggest that that the lower dose in this
    study is close to the NOAEL for parental systemic toxicity. The NOAEL
    for reproductive toxicity was 1500 ppm, equivalent to 120mg/kg bw per
    day for F0 animals, on the basis of decreased mean litter size at the
    high dose. The NOAEL for developmental toxicity was 500 ppm,
    equivalent to 46 mg/kg bw per day in maternal animals, on the basis of
    the statistically significantly decreased mean body weights of F2
    pups (Rodwell, 1993).

    (ii)   Developmental toxicity 

     Rats

         In a range-finding study for developmental toxicity, groups of
    six pregnant Sprague-Dawley Crl:CDTM BR VAF/Plus rats received
    diphenylamine (purity, 99.9%) in corn oil by gavage at doses of 0, 10,
    50, 100, 200, 300, or 400 mg/kg bw per day on days 6-15 of gestation.
    Maternal toxicity was seen at doses of 100 mg/kg bw per day and
    higher. Two deaths occurred at 400 mg/kg bw per day, and there were
    dose-related decreases in food consumption, body weight, and body-
    weight gain starting at a dose of 100 mg/kg bw per day. Necropsy
    revealed a purplish-black spleen in one dam at 100 mg/kg bw per day
    and in all surviving dams at higher doses. The increased incidence of
    early resorptions was apparent dose-related and was accompanied by
    decreases in mean fetal weight and gravid uterine weight at doses of
    200 and 300 mg/kg bw per day. There were no treatment-related external
    malformations or developmental variations. On the basis of the results
    of this study, 0, 10, 50, and 100 mg/kg bw per day were selected for
    use in the definitive study (Rodwell, 1992a).

         In the definitive study, groups of 25 pregnant Sprague-Dawley
    Crl:CDTM BR VAF/Plus rats received diphenylamine (purity, 99.9%) in
    corn oil by gavage at doses of 0, 10, 50, or 100 mg/kg bw per day on
    days 6-15 of gestation. The dams were observed for deaths, clinical
    signs, body weight, and food consumption. All rats were sacrificed on
    day 20 of gestation and were necropsied grossly. The spleens were
    weighed, and the uterus was removed, examined externally, weighed, and
    opened for internal examination. The fetuses were observed externally,
    and their viscera and skeleton were examination. There were no deaths
    or treatment-related effects on clinical signs, body weights, or food
    consumption. At necropsy, 5/25 dams at the high dose had enlarged,
    blackish-purple spleens, and the mean weights of the spleens were
    significantly greater than those of controls. No treatment-related
    effects were seen on gross necropsy, in the appearance or weight of
    the uterus, or in the numbers of viable fetuses, early and late
    resorptions, and corpora lutea, or on external, visceral, or skeletal
    malformations or variations in the fetuses. The NOAEL for maternal
    toxicity was 50 mg/kg bw per day on the basis of effects on the spleen
    in dams at the high dose. The NOAEL for developmental toxicity was 100
    mg/kg bw per day, the highest dose tested, in the absence of
    developmental effects (Rodwell, 1992b). 

     Rabbits

         In a study of developmental toxicity, groups of 16-18 pregnant
    New Zealand white rabbits received diphenylamine (purity, 99.9%) in 1%
    methyl cellulose by gavage at a dose of 0, 33, 100, or 300 mg/kg bw
    per day on days 7-19 of gestation. The dams were observed for deaths,
    clinical signs, body weight, and food consumption. All rats were
    sacrificed on day 29 of gestation and subjected to gross necropsy; the
    ovaries and uterus of each animal were removed and examined to
    determine the number of corpora lutea and the type, distribution, and
    number of implantation sites. The fetuses were examined externally,
    and their viscera and skeleton were analysed. No deaths occurred
    during the study. The mean food consumption of dams at 300 mg/kg bw
    per day was reduced on days 7-29 of gestation, and a slight decrease
    in body weight was noted. Green discolouration of the urine was seen
    in all treated animals. No treatment-related effects were seen at
    necropsy or on embryonic or fetal growth or development. The NOAEL for
    maternal toxicity was 100 mg/kg bw per day on the basis of decreased
    body-weight gain and food consumption early during treatment. The
    NOAEL for developmental toxicity was 300 mg/kg bw per day, the highest
    dose tested (Edwards et al., 1983). 

     (f)  Special studies

    (i)   Renal cystic disease

         The issue of tubular cyst formation in diphenylamine-treated rats
    was reviewed previously (Annex 1, references 13, 27, 39, and 43).
    Additional observations on the induction of tubular cysts in the
    kidneys of mice and rats treated with diphenylamine in the diet are
    summarized below.

         Renal histopathology and function were studied in male
    Sprague-Dawley rats fed pelleted diets containing 1% w/w (i.e. 10 000
    ppm) diphenylamine (purity unspecified) for 5-20 months. Control
    animals received identical diets in which methyl cellulose was
    incorporated instead of diphenylamine. The animals were observed for
    renal tubular diameter and renal functional parameters including
    intratubular hydrostatic pressure, single-nephron glomerular
    filtration rate, and transit times through the loop of Henle; light
    and scanning electron microscopy was performed. The luminal diameters
    of 22 dilated nephrons from diphenylamine-treated rats were 34-110 µm,
    and those of 10 undilated nephrons were  21-450 µm; the luminal
    diameters in six nephrons of two control rats were 26-34 µm. The
    intraluminal hydrostatic pressure was significantly higher in dilated
    tubules than in undilated tubules from treated rats; there was no
    difference in intraluminal hydrostatic pressures among control rats.
    The single-nephron glomerular filtration rate was also similar in
    dilated and undilated tubules, consistent with an intrinsic change in
    glomerular function. The transit times through the loop of Henle were
    three to four times faster in dilated than in undilated nephrons of
    treated and control rats. Microscopic examination indicated that
    dilatation along the proximal and collecting tubules was segmental,

    not diffuse, some dilated tubules communicated with cysts deep in the
    renal substance, the dilated collecting tubules occasionally contained
    debris, tubules adjacent to cysts appeared to be compressed, and
    diphenylamine-exposed kidneys contained proximal convoluted tubules
    with segments of apparent narrowing. The authors concluded that cyst
    formation results from initial obstruction and a subsequent increase
    in intraluminal pressure arising from sustained glomerular filtration
    and unaltered water reabsorption (Gardner et al., 1976). 

         The time-course of development of lesions in the renal collecting
    tubules was studied in male Sprague-Dawley rats fed pelleted diets
    containing 1% w/w (i.e. 10 000 ppm) diphenylamine (purity unspecified)
    for up to 76 weeks. Control animals received standard diet. The
    animals were observed for renal concentrating ability (urine
    osmolality) at 2, 4, 5, and 20 weeks of treatment; light and
    transmission and scanning electron microscopy was performed at 2, 5,
    10, 15, 20, 25, 52, and 78 weeks of treatment; and autoradiography
    with tritiated thymidine was conducted to determine whether
    hypertrophy was the mechanism of cyst formation. Decreased urine
    osmolality was seen in treated rats, which was statistically
    significantly different from control values at 6 and 20 weeks.
    Structural changes first appeared after five weeks of treatment. Light
    microscopy of the medullary collecting tubules at five weeks revealed
    focal areas of apparent thickening along the walls, resulting from
    layering of cells. By 10 weeks, some tubules were dilated and
    contained focal areas of cellular necrosis. By 15-20 weeks, many more
    ducts were dilated and contained cast material. By 24 weeks, frank
    cysts were visible in the cortex and medulla, and large collecting
    tubular cysts were seen; some proximal tubules and renal corpuscles
    were dilated. Over time, cysts were found in every segment of the
    nephron and collecting tubules. Transmission electron microscopy at
    five weeks revealed changes in the medullary collecting tubules. The
    tubular cells appeared to be enriched in mitochondria, and their
    apical border was studded with long microvilli. At 10 weeks, necrotic
    cells were seen along the collecting tubules. Scanning electron
    microscopy showed that the collecting duct cysts were lined with
    irregular cells which no longer resembled collecting tubule cells. The
    labelling index for the collecting tubules reached a plateau at weeks
    5-15 and had decreased to background levels by week 52. Because the
    number of nuclei counted on cross-sections of the collecting tubules
    increased gradually with time, the authors concluded that the increase
    in labelling index was the result of hyperplasia of the tubular cells
    and not of a degeneration or regeneration phenomenon. The authors
    concluded that one of the initial events in the pathogenesis of cystic
    renal disease is a hyperplastic response of the collecting tubule
    cells (Evan et al., 1978). 

         The effect of diphenylamine on the composition of the native
    renal basement membrane was studied in male C57Bl/6 mice fed pelleted
    diets containing 2% w/w (i.e. 20 000 ppm) diphenylamine (purity
    unspecified) for up to 10 months. Control animals received chow
    without diphenylamine. After 10 months of treatment, the mice were
    sacrificed and their kidneys processed for light microscopy and

    immunohistology of bamin, a glycoprotein associated with the matrix of
    the glomerular basement membrane. Microscopy revealed cysts in the
    cortical and medullary portions of the kidney. The cysts were lined
    with flattened or somewhat cuboidal cells and contained a brownish
    coagulum that appeared to be constituted of necrotic cells. Brownish
    discolouration was also seen in the cytoplasm of neighbouring
    non-cystic cells and in tubular cells of animals sacrificed before the
    formation of cysts. The authors speculated that the brownish debris
    preceded the formation of cysts. When immunohistology was performed
    with antibodies to bamin, the antibodies bound to the glomeruli of
    control mice but not to those of treated animals.This result was
    obtained in the three-week experiment. In another series of
    experiments, male C57Bl/6 mice were injected with EHS tumour cells and
    five days later received a diet containing diphenylamine (at an
    unspecified level). After three weeks, the animals were killed, and
    tumours were removed for analysis of the proteins of the basement
    membrane. Analysis by sodium dodecylate sulfate-polyacrylamide gel
    electrophoresis and by immunoblot revealed the presence of a 75-80-kDa
    protein in controls but little or none in the diphenylamine-treated
    mice. The authors were unclear how the loss of bamin, a molecule
    associated with the glomerular but not the tubular basement membrane,
    would be related to the formation of tubular cysts. They speculated
    that material from an abnormal glomerular filtrate might damage the
    tubular epithelial cells and result in the formation of tubular cysts
    (Rohrbach et al., 1993).

    (iv)   Renal papillary necrosis

         A series of studies has been reported on the induction of renal
    papillary necrosis by diphenylamine in hamsters, rats, and Mongolian
    gerbils. The development of animal models for this lesion is of
    interest because it is the initial stage in human analgesic-induced
    nephropathy.

         Groups of 10 male Syrian hamsters, 40 Sprague-Dawley rats, and 40
    Mongolian gerbils received diphenylamine (purity unspecified) at doses
    of 0, 400, 600, or 800 mg/kg bw per day in peanut oil by gavage for
    three days. Animals that became moribund were sacrificed and
    necropsied; survivors were sacrificed 24 h after the third dose of
    diphenylamine. All animals were observed for death and were examined
    for gross and microscopic lesions. Forty percent of hamsters at the
    low dose and 100% of those at the two higher doses died or were
    sacrificed  in extremis during treatment; there were no deaths among
    the rats or gerbils. At necropsy, brown kidneys and yellow-brown
    papillae were seen in 50% or more of hamsters at the intermediate and
    high doses and in none of those at the low dose. The only gross lesion
    in hamsters at the low dose was splenomegaly (90%), which was not seen
    at higher doses. Microscopic examination revealed total renal
    papillary necrosis, i.e. necrosis of all elements of the renal
    papillae, including collecting tubules, at all doses in 4/10 hamsters
    at the low, 7/10 at the intermediate, and 4/10 at the high dose. Only
    two rats at the high dose had renal lesions, which consisted of
    necrosis of the medullary interstitial cells and vasa recta, limited

    to the apex, and degeneration of the renal interstitial matrix. As
    noted by the authors, the limited incidence and extent of the lesions
    in the Sprague-Dawley rats contrasted with the more extensive effects
    observed in Wistar rats by Powell et al. (1985). No effects were
    observed in Mongolian gerbils (Lenz & Carlton, 1990). 

         A total of 27 male Syrian hamsters were given diphenylamine by
    gavage (purity unspecified) dissolved in peanut oil at a dose of 600
    mg/kg bw. At intervals of 0.5, 1, 2, 4, 8, 16, and 24 h after dosing,
    three hamsters were perfused  in situ with fixative and their kidneys
    were removed for examination by transmission electron microscopy.
    Starting 1 h after dosing, the basal plasma membrane of the
    endothelial cells of the ascending vasa recta in the proximal portion
    of the renal papilla became separated from the basal lamina, forming
    large subendothelial vacuoles. These alterations persisted during the
    first 8 h after dosing. By 16 h, the endothelial cell nuclear
    membranes and the luminal plasma membrane had become convoluted, and
    by 24 h platelets were seen to adhere to the basal lamina, which had
    become exposed. By 2 h after dosing, the adjacent interstitial cells
    started undergoing structural alterations, and by 24 h there was
    necrosis. Ultrastructural alterations became visible in the thin limb
    of the loop of Henle by 24 h and in collecting tubule epithelial cells
    by 14-16 h. The authors speculated that the selective effect on the
    endothelial cells of the ascending vasa recta were attributable to
    generation of a toxic metabolite by the endothelial cell or to
    interference with the metabolism of the endothelial cells by a
    metabolite of diphenylamine (Lenz et al., 1995). 

         The toxicity of diphenylamine dissolved in dimethyl sulfoxide to
    renal papilla was studied in Syrian hamsters, rats, and Mongolian
    gerbils. Male Syrian hamsters and Sprague-Dawley rats were given
    diphenylamine (purity unspecified) by gavage at doses of 0, 400, 600,
    or 800 mg/kg bw per day for up to nine days. Only one of 30 hamsters
    at 400 mg/kg bw per day showed renal papillary necrosis. This result
    contrasted with previous results (Lenz & Carlton, 1990) in which oral
    administration of diphenylamine dissolved in peanut oil produced
    extensive necrosis in male Syrian hamsters at the same doses;
    furthermore, pretreatment of the hamsters with dimethyl sulfoxide
    protected the animals against the renal papillary necrosis induced by
    administration of diphenylamine. Renal papillary necrosis occurred in
    4/30 rats at the high dose; none was seen in Mongolian gerbils. The
    incidence in rats and gerbils did not differ from that observed when
    peanut oil was used as the vehicle in a previous study (Lenz &
    Carlton, 1990). The mechanism by which dimethyl sulfoxide exerts its
    protective effect in Syrian hamsters was not studied (Lenz & Carlton,
    1991).

         The effect of diphenylamine on renal glutathione concentrations
    was studied in groups of eight male Syrian hamsters given
    diphenylamine (purity unspecified) by gavage at a dose of 0, 200, 400,
    or 600 mg/kg bw 1 and 4 h after dosing. The concentrations in the
    cortical area decreased with dose, reaching statistical significance
    at the low dose at 1 h and at the intermediate dose at 4 h; the

    concentrations at 1 h were 41% of the control value at 200 mg/kg bw,
    31% at 400 mg/kg bw, and 29% at 600 mg/kg bw. The glutathione
    concentrations in the outer medulla and the renal papilla were not
    statistically significant decreased. 

         In order to study the effect of glutathione reduction on toxicity
    to renal papilla, groups of eight male Syrian hamsters were given
    buthionine sulfoxime, an inhibitor of glutathione biosynthesis, at 500
    mg/kg bw intrapeitoneally, diphenylamine in peanut oil at 400 mg/kg bw
    by gavage, the same doses of buthionine sulfoxime plus diphenylamine,
    or the peanut oil vehicle alone. The animals were sacrificed 24 h
    after administration of diphenylamine for gross and microscopic
    examination of the kidney. No gross or microscopic lesions indicative
    of papillary necrosis were observed in any group. Because a dose of
    diphenylamine that is toxic to the papilla did not deplete glutathione
    in that region and because depletion of glutathione (to 71% of the
    control value) by buthionine sulfoxime did not enhance the toxicity of
    diphenylamine to the papilla, the author concluded that this toxic
    effect of diphenylamine is mediated by mechanisms independent of
    oxidative injury (Lenz, 1996).

    Comments

         After oral administration to rats, goats, or hens,
    14C-diphenylamine was extensively absorbed and rapidly excreted. In
    rats given a single dose, 45-72% appeared in the urine within 24 h and 
    68-89% by 168 h after dosing, with less than 0.4% of the dose in the
    residual carcass and less than 0.05% in any individual tissue. In
    goats treated with single daily doses for seven days, 85-91% of the
    daily dose was excreted in urine and 0.5-0.8% in milk; the
    concentrations of residues in milk plateaued after 24 h. When laying
    hens were treated with single daily oral doses for seven days, 84-98%
    of the daily dose was recovered in the excreta; the concentrations in
    egg yolk reached 0.31 mg/kg on day 7, but no residues were found in
    egg whites. Diphenylamine underwent extensive biotransformation in
    rats, goats, and hens, with ring hydroxylation and formation of
    glucuronide and sulfate conjugates. In addition to untransformed
    diphenylamine (< 3% of the dose), the following 12 metabolites were
    identified at all doses: 4,4'-dihydroxydiphenylamine (unconjugated and
    as the  O-sulfate and the  O, O-disulfate), 4-hydroxydiphenylamine
    (unconjugated and as the  O-glucuronide,  N-glucuronide,
     O-sulfate, and  O, N-diglucuronide), indophenol (unconjugated and
    as the  O-sulfate), 3-hydroxydiphenylamine, and
    2-hydroxydiphenylamine. These metabolites accounted for about 80-90%
    of the dose and were excreted largely as their sulfate and glucuronide
    conjugates. There was no cleavage of the diphenylamine structure.
    Except for a polar oligomer of 4-hydroxydiphenylamine found only in
    the eggs and tissues of hens, all of the metabolites reported in hens
    and goats were detected in rats. Residues of a number of plant
    metabolites were identified in apple peel and pulp, but untransformed
    diphenylamine was the major contributor to the total residue 40 weeks
    after application. The major metabolite was 4-hydroxydiphenylamine, as
    the glucose conjugate. Other metabolites identified were

    2-hydroxydiphenylamine, 3-hydroxy-diphenylamine, and
    dihydroxydiphenylamine (possibly the 2,4 isomer). These compounds were
    either free or conjugated with mono- or oligosaccharides. Although all
    of the hydroxylated metabolites (aglycones) identified in plants were
    seen in rats, the conjugating species were generally different.

         After acute oral administration to rats, diphenylamine (99.9%
    pure) was slightly toxic (LD50 about 3000 mg/kg bw) in one study,
    whereas in another study super-refined diphenylamine (purity,
    99.0-100.1%) was essentially nontoxic (LD50 > 15 000 mg/kg bw).

         WHO has not classified diphenylamine for acute toxicity.

         In mice given diphenylamine at dietary concentrations of 0, 10,
    520, 2600, or 5200 ppm for 90 days, dose-related changes in
    haematological parameters (decreased erythrocyte counts and packed
    cell volumes and increased reticulocyte counts) were observed. The
    mean corpuscular haemoglobin count was significantly increased at
    dietary levels of 520 ppm and above. Necropsy revealed dark, enlarged
    spleens with haemosiderosis and congestion at dietary levels of 520
    ppm and above. Spleen haematopoiesis was increased in animals of each
    sex at 520 ppm. The NOAEL was 10 ppm (equal to 1.7 mg/kg bw per day)
    on the basis of changes in haematological parameters and findings at
    necropsy in animals at 520 ppm.

         In rats that received diphenylamine in the diet at concentrations
    of 0, 150, 1500, 7500, or 15 000 ppm for 90 days, body weights and
    body-weight changes, although generally lower than the control values
    at 1500 ppm, were not significantly different from those of controls
    at doses below 7500 ppm. The cholesterol concentration increased with
    dose in females and was significantly different from that of controls
    at 1500 ppm. In females, the absolute and relative weights of the
    liver increased with dose, and the relative liver weights were
    significantly different from those of controls in animals at 1500 ppm
    and above. Histopathological examination revealed increased
    haematopoiesis and pigment in the liver, haematopoiesis,
    haemosiderosis, and congestion in the spleen, and pigmented kidneys in
    animals of each sex at 7500 and 15 000 ppm. Additionally, the spleens
    of all females at 1500 ppm showed minimal or slight haematopoiesis and
    haemosiderosis. The NOAEL was 150 ppm (equal to 12 mg/kg bw per day)
    on the basis of changes in clinical chemical parameters, increased
    organ weights, and gross and histological changes in female rats at
    1500 ppm.

         Groups of rabbits were exposed dermally to diphenylamine in
    distilled water at doses of 0, 100, 500, or 1000 mg/kg bw per day for
    6 h per day. No effects were observed. Gross necropsy revealed
    dark-red foci in the stomachs of rabbits at the intermediate and high
    doses, which increased in number with dose. The NOAEL for systemic
    effects was 100 mg/kg bw per day on the basis of effects on the
    stomach at 500 mg/kg bw per day in animals of each sex.

         Groups of dogs received diphenylamine by gelatin capsule at doses
    of 0, 10, 25, or 50 mg/kg bw per day for 90 days. There were no
    treatment-related effects. The NOAEL was 50 mg/kg bw per day, the
    highest dose tested.

         In a study of carcinogenicity, mice received diets containing
    diphenylamine at concentrations of 0, 520, 2625, or 5200 ppm for 78
    weeks. At 520 ppm and above, decreased packed cell volumes were seen
    in females and spleen congestion and haemosiderosis in animals of each
    sex. At 2600 ppm and above, clear haematological effects, consistent
    with regenerative anaemia, were observed. The incidences of tumours
    were not increased when compared with those in controls. The NOAEL for
    toxicity was 520 ppm (equal to 73 mg/kg bw per day) on the basis of
    decreased body-weight gain, reduced survival, and significant
    alterations in haematological and gross and microscopic pathological
    parameters at higher levels. Examination of the incidence and severity
    of some haematological effects at 520 ppm suggested that this dose is
    close to the NOAEL/LOAEL threshold. There was no evidence of
    carcinogenicity.

         In a combined study of toxicity and carcinogenicity, rats
    received diets containing diphenylamine at concentrations of 0, 200,
    750, 3750, or 7500 ppm (males) and 0, 150, 500, 2500, or 5000 ppm
    (females). At 500 ppm and above, decreased erythrocyte count,
    haemoglobin, and packed cell volumes were observed in animals of each
    sex; these decreases reached statistical significance only
    sporadically during treatment in males at 750 ppm and in females at
    500 ppm. Haematopoiesis was increased in the liver and spleen of males
    at 750 ppm and above. At 2625 ppm and above, clear haematological
    effects consistent with regenerative anaemia were observed. There was
    no significant increase in the incidence of tumours when compared with
    that in controls. The NOAEL was 150-200 ppm (equal to 7.5 mg/kg bw per
    day) based on haematological and histological effects at dietary
    levels equal to or greater than 500 ppm. This appeared to be close to
    the threshold dose, since body-weight gain was not depressed and only
    sporadic haematological changes were observed at 500-750 ppm. There
    was no evidence of carcinogenicity.

         Dogs received diphenylamine by gelatin capsule at doses of 0, 10,
    25, or 100 mg/kg bw per day for one year. Platelet counts in males and
    total bilirubin concentrations in animals of each sex were
    statistically significantly higher than those of controls. The NOAEL
    for toxicity was 10 mg/kg bw per day, and the LOAEL was 25 mg/kg bw
    per day, both based on haematological and clinical chemical changes.

         In a two-generation study of reproductive toxicity, rats received
    diphenylamine in the diet at concentrations of 0, 500, 1500, or 5000
    ppm during premating. A NOAEL for parental toxicity was not observed;
    the LOAEL was 500 ppm (equal to 40 mg/kg bw per day) on the basis of
    enlarged spleens in F1 females, increased spleen congestion and
    haemosiderosis in animals of each sex in all generations, and
    hepatocyte hypertrophy in F0 females. The NOAEL for developmental
    toxicity was 500 ppm (equal to 46 mg/kg bw per day) on the basis of

    statistically significantly decreased mean body weight in F2 pups at
    1500 ppm and above. The NOAEL for reproductive toxicity was 1500 ppm
    (equal to 120 mg/kg bw per day). Although haemosiderin, congestion of
    the spleen, and hepatocyte hypertrophy were observed in parental
    animals at all doses, they occurred at appreciably lower incidence and
    intensity at the lower dose than at the higher doses, which suggested
    that the lower dose was close to the NOAEL/LOAEL threshold for
    parental toxicity.

         In a study of developmental toxicity, rats received diphenylamine
    by gavage at doses of 0, 10, 50, or 100 mg/kg bw per day on days 6-15
    of gestation. The NOAEL for maternal toxicity was 50 mg/kg bw per day
    on the basis of enlarged, blackish, heavier spleens at 100 mg/kg bw
    per day. The NOAEL for developmental toxicity was 100 mg/kg bw per
    day, the highest dose tested.

         In a study of developmental toxicity, rabbits received
    diphenylamine by gavage at doses of 0, 33, 100, or 300 mg/kg bw per
    day on days 7-19 of gestation. The NOAEL for maternal toxicity was 100
    mg/kg bw per day on the basis of decreased body-weight gain and food
    consumption at 300 mg/kg bw per day. The NOAEL for developmental
    toxicity was 300 mg/kg bw per day, the highest dose tested.

         Diphenylamine has been tested for genotoxicity in three assays.
    Negative results were obtained for mutation in bacteria and for
    induction of micronuclei in mouse bone marrow  in vivo. A weakly
    positive response was observed only for mutation in mouse lymphoma
    cells  in vitro at a dose range in which the toxicity was relatively
    high and the mutant frequency did not increase with dose. The Meeting
    concluded that, although diphenylamine has some genotoxic potential,
    it is unlikely to present a human genotoxic hazard.

         An ADI of 0-0.08 mg/kg bw was established on the basis of the
    NOAEL of 150 ppm, equal to 7.5 mg/kg bw per day, in the two-year study
    of toxicity and carcinogenicity in rats and a 100-fold safety factor.

         An acute RfD was not allocated because diphenylamine is of low
    acute toxicity. The Meeting concluded that the acute intake of
    residues is unlikely to present a risk to consumers.

    Toxicological evaluation

     Levels that cause no toxic effect

         Mouse:    520 ppm, equal to 73 mg/kg bw per day (78-week study of
                   carcinogenicity)

         Rat:      150-200 ppm, equal to 7.5 mg/kg bw per day (two-year
                   study of toxicity and carcinogenicity)
                   500 ppm, equal to 46 mg/kg bw per day (reproductive
                   toxicity in a two-generation study of reproductive
                   toxicity) 

         Rat       50 mg/kg bw per day (maternal toxicity in a study of
                   developmental toxicity)
                   100 mg/kg bw per day (study of developmental toxicity)

         Rabbit:   100 mg/kg bw per day (maternal toxicity in a study of
                   developmental toxicity)
                   300 mg/kg bw per day (highest dose in a study of
                   developmental toxicity)

         Dog:      10 mg/kg bw per day (one-year study of toxicity)

     Estimate of acceptable daily intake for humans

              0-0.08 mg/kg bw 

     Estimate of acute reference dose 

              Not allocated (unnecessary) 

     Studies that would provide information useful for continued 
     evaluation of the compound

              Further observations in humans

        List of end-points relevant for setting guidance values for dietary and non-dietary exposure
                                                                                                 

     Absorption, distribution, excretion and metabolism in mammals

    Rate and extent of oral absorption      Rapid absorption: at least 68-89% of a dose
    Dermal absorption                       No data
    Distribution                            Extensive 
    Potential for accumulation              Very little
    Rate and extent of excretion            At 24 h, 45-72% of a dose found in urine
    Metabolism in animals                   Extensively metabolized. Parent < 3%. Approximately 
                                            80-90% of a dose appeared as 12 metabolites: indophenol 
                                            and various isomers of mono- and 
                                            di-hydroxydiphenylamine excreted in urine as sulfate 
                                            and glucuronide conjugates
    Toxicologically significant compounds   Parent. Indophenol might undergo electrophilic 
    (animals, plants, and environment)      interactions

     Acute toxicity

    Rat: LD50 oral                          3000 mg/kg bw
    Rabbit: LD50 dermal                     > 2000 mg/kg bw
    LC50 inhalation                         No data
    Skin irritation                         None to slight
    Eye irritation                          Slight to corrosive with corneal opacity
    Skin sensitization                      Not sensitizing

    Short-term toxicity

    Target/critical effect                  Erythrocytes/anaemia
    Lowest relevant oral NOAEL              Mouse: 1.7 mg/kg bw per day, 90-day study
    Lowest relevant dermal NOAEL            No data
    Lowest relevant inhalation NOAEL        No data

    Genotoxicity                            Unlikely to be a human genotoxic hazard

    Long-term toxicity and carcinogenicity

    Target: critical effect                 Erythrocytes/haemolytic anaemia
    Lowest relevant NOAEL                   Rat: 7.5 mg/kg bw per day
    Carcinogenicity                         No carcinogenicity

    Reproductive toxicity

    Reproduction target /critical effect    Decreased mean litter size in both generations and 
                                            decreased mean body weights of F2 pups at maternally 
                                            toxic doses
    Lowest relevant reproductive NOAEL      Rat: 46 mg/kg bw per day
    Developmental target/critical effect    Rat: No developmental toxicity
    Lowest relevant developmental NOAEL     Rat: 100 mg/kg bw per day, highest dose tested

    Neurotoxicity/Delayed neurotoxicity     No data

    Other toxicological studies             No data

    Medical data                            No data

    Summary                  Value                  Study                    Safety factor
    ADI                      0-0.08 mg/kg bw        Long-term toxicity       100
                                                    and carcinogenicity, 
                                                    rats
    Acute reference dose     Not allocated 
                             (unnecessary)
                                                                                                 
    
    References

    Botta, J.A., Jr (1992) 90 Day subchronic toxicity evaluation of
    diphenylamine in the mouse. Unpublished report No. 426E-001-034-91
    from T.P.S., Inc., Mt Vernon, Indiana, USA. Submitted to WHO by the
    DPA Task Force, John Wise & Associates Ltd, Liberty, Missouri, USA.

    Botta, J.A., Jr (1994a) 18 Month oncogenicity evaluation of
    diphenylamine in the mouse. Unpublished report No. 426H-002-646-91
    from T.P.S., Inc., Mt Vernon, Indiana, USA. Submitted to WHO by the
    DPA Task Force, John Wise & Associates Ltd, Liberty, Missouri, USA.

    Botta, J.A., Jr (1994b) 24 Month combined oncogenicity/toxicity
    evaluation of diphenylamine in rats. Unpublished report No.
    426D-102-048-91 from T.P.S., Inc., Mt Vernon, Indiana, USA. Submitted
    to WHO by the DPA Task Force, John Wise & Associates Ltd, Liberty,
    Missouri, USA.

    Botta, J.A., Jr (1994c) One year chronic study of diphenylamine in
    dogs. Unpublished report No. 426B-502-044-91 from T.P.S., Inc., Mt
    Vernon, Indiana, USA. Submitted to WHO by the DPA Task Force, John
    Wise & Associates Ltd, Liberty, Missouri, USA.

    Cifone, M. (1992) Mutagenicity test on diphenylamine in the L5178Y
    TK+/- mouse lymphoma forward mutation assay. Unpublished report No.
    14902-0-431 from Hazleton Washington, Inc., Rockville, Maryland, and
    Vienna, Virginia, USA. Submitted to WHO by the DPA Task Force, John
    Wise & Associates Ltd, Liberty, Missouri, USA.

    Edwards, J.A., Leemings, N.M., Clark, R. & Offer, J.M. (1983) Effect
    of diphenylamine on pregnancy of the New Zealand white rabbit.
    Unpublished study No. PWT 1/2/83409 prepared by Huntington Research
    Centre, Huntington, Cambridgeshire, United Kingdom.

    Evan, A.P., Hong, S.K., Gardner, K., Jr, Park, Y.S. & Itagaki, R.
    (1978) Evolution of the collecting tubular lesion in
    diphenylamine-induced renal disease.  Lab. Invest., 38, 244-252.

    Gardner, K.D., Jr, Solomon, S., Fitzgerrel, W.W. & Evan, A.P. (1976)
    Function and structure in the diphenylamine-exposed kidney.  J. Clin.
     Invest., 57, 796-806.

    Kim-Kang, H. (1993) Metabolism of [14C]diphenylamine in stored
    apples: Nature of the residue in plants. Unpublished study No. XBL
    91071, report No. RPT00124 from Xenobiotic Laboratories, Inc.,
    Plainsboro, New Jersey, USA. Abstract of study submitted to WHO by the
    DPA Task Force, John Wise & Associates Ltd, Liberty, Missouri, USA.

    Kim-Kang, H. (1994a) Metabolism of [14C]diphenylamine in lactating
    goats. Unpublished study No. XBL 92089, report No. RPT00150 from
    Xenobiotic Laboratories, Inc., Plainsboro, New Jersey, USA. Submitted
    to WHO by the DPA Task Force, John Wise & Associates Ltd, Liberty,
    Missouri, USA. 

    Kim-Kang H (1994b) Metabolism of [14C]diphenylamine in the laying
    hen. Unpublished study No. XBL 93041, report No. RPT00161 from
    Xenobiotic Laboratories, Inc., Plainsboro, New Jersey, USA. Submitted
    to WHO by the DPA Task Force, John Wise & Associates Ltd, Liberty,
    Missouri, USA

    Kiplinger, G. (1995) Skin sensitization study of diphenylamine
    technical in albino guinea pigs. Final report: Lab project No.
    WIL-256001. Unpublished study prepared by WIL Research Labs, Inc.
    Submitted to WHO by the DPA Task Force, John Wise & Associates Ltd,
    Liberty, Missouri, USA.

    Kreuzman, J. (1991a) Primary eye irritation study in rabbits without
    rinsing with diphenylamine super-refined. Lab project No. 91-8052-21
    (B). Unpublished study prepared by Hill Top Biolabs, Inc. Submitted to
    WHO by the DPA Task Force, John Wise & Associates Ltd, Liberty,
    Missouri, USA.

    Kreuzman, J. (1991b) Primary skin irritation study in rabbits with
    diphenylamine super-refined. Lab project No. 91-8052-21 (A).
    Unpublished study prepared by Hill Top Biolabs, Inc. Submitted to WHO
    by the DPA Task Force, John Wise & Associates Ltd, Liberty, Missouri,
    USA.

    Krohmer, R.W. (1992a) 90 Day evaluation of diphenylamine in the dog.
    Unpublished study No. 426C-501-034-91 from T.P.S., Inc., Mt Vernon,
    Indiana, USA. Submitted to WHO by the DPA Task Force, John Wise &
    Associates Ltd, Liberty, Missouri, USA

    Krohmer, R.W. (1992b) 90 Day subchronic toxicity evaluation of
    diphenylamine in rats. Unpublished study No. 426C-10-034-91 from
    T.P.S., Inc., Mt Vernon, Indiana, USA. Submitted to WHO by the DPA
    Task Force, John Wise & Associates Ltd, Liberty, Missouri, USA

    Lawlor, T. (1992) Mutagenicity test on diphenylamine in the
    Salmonella/mammalian-microsome reverse mutation assay (Ames test).
    Unpublished report No.14902-0-401 from Hazleton Washington, Inc.,
    Rockville, Maryland, and Vienna, Virginia, USA. Submitted to WHO by
    the DPA Task Force, John Wise & Associates Ltd, Liberty, Missouri,
    USA.

    Lenz, S.D. (1996) Investigation of regional glutathione levels in a
    model of chemically-induced renal papillary necrosis.  Food Chem. 
     Toxicol., 34, 489-494.

    Lenz, S.D. & Carlton, W.W. (1990) Diphenylamine-induced renal
    papillary necrosis and necrosis of the pars recta in laboratory
    rodents.  Vet. Pathol., 27, 171-178.

    Lenz, S.D. & Carlton, W.W. (1991) Decreased incidence of
    diphenylamine-induced renal papillary necrosis in Syrian hamsters
    given dimethylsulphoxide.  Food Chem. Toxicol., 29, 409-418.

    Lenz, S.D., Turek, J.J. & Carlton, W.W. (1995) Early ultrastuctural
    lesions of diphenylamine-induced renal papillary necrosis in Syrian
    hamsters.  Exp. Toxicol. Pathol., 47, 447-452.

    Majnarich, J. (1991a) Diphenylamine: Super refined: Acute oral
    toxicity, LD50 (rat). Unpublished report No. 022-91 from
    Bioconsultants, Inc. Submitted to WHO by the DPA Task Force, John Wise
    & Associates Ltd, Liberty, Missouri, USA.

    Majnarich, J. (1991b) Diphenylamine: Super refined: Dermal LD50.
    Unpublished report No. 024-91 from Bioconsultants, Inc. Submitted to
    WHO by the DPA Task Force, John Wise & Associates Ltd, Liberty,
    Missouri, USA.

    Murli, H. (1992a) Dose range-finding study on diphenylamine for in
    vivo murine micronucleus assay. Unpublished report No. 14902-0-459PO
    from Hazleton Washington, Inc., Rockville, Maryland, and Vienna,
    Virginia, USA. Submitted to WHO by the DPA Task Force, John Wise &
    Associates Ltd, Liberty, Missouri, USA

    Murli, H. (1992b) Mutagenicity test on diphenylamine for in vivo
    mammalian micronucleus assay. Unpublished report No. 14902-0-455 from
    Hazleton Washington, Inc., Rockville, Maryland, and Vienna, Virginia,
    USA. Submitted to WHO by the DPA Task Force, John Wise & Associates
    Ltd, Liberty, Missouri, USA.

    Powell, C.J., Adams, T., Hall, D.E., Bach, P.H. & Bridges, J.W. (1985)
    The comparative subacute nephrotoxicity of diphenylamine and
    N-phenylanthranilic acid. In: Bach, P.H. & Bridges, J.W., eds, 
     Renal Heterogeneity and Target Cell Toxicity, Chichester, John Wiley
    & Sons, pp. 199-202.

    Rodwell, D.E. (1992a) Range finding teratology study in rats with
    diphenylamine (DPA). Unpublished study No. 3255.2 prepared by
    Springborn Laboratories, Inc., Life Sciences Division, Spencerville,
    Ohio, USA. Submitted to WHO by the DPA Task Force, John Wise &
    Associates Ltd, Liberty, Missouri, USA.

    Rodwell, D.E. (1992b) Teratology study in rats with diphenylamine
    (DPA). Unpublished study No. 3255.3 prepared by Springborn
    Laboratories, Inc., Life Sciences Division, Spencerville, Ohio, USA.
    Submitted to WHO by the DPA Task Force, John Wise & Associates Ltd,
    Liberty, Missouri, USA.

    Rodwell, D.E. (1993) Two-generation reproduction study in rats with
    diphenylamine (DPA). Unpublished study No. 3255.4 prepared by
    Springborn Laboratories, Inc., Life Sciences Division, Spencerville,
    Ohio, USA. Submitted to WHO by the DPA Task Force, John Wise &
    Associates Ltd, Liberty, Missouri, USA.

    Rohrbach, D.H., Robinson, L.K. & Murrah, V.A. (1993) Loss of the
    basement membrane matrix molecule, bamin, in diphenylamine-treated
    mice.  Matrix, 13, 341-350.

    Siglin, J.C. (1991) Repeated dose dermal toxicity: 21 Day study.
    Unpublished study No. 3255.1 prepared by Springborn Laboratories,
    Inc., Life Sciences Division, Spencerville, Ohio, USA. Submitted to
    WHO by the DPA Task Force, John Wise & Associates Ltd, Liberty,
    Missouri, USA.

    Wu, D. (1993) Diphenylamine: Rat metabolism study. Unpublished study
    XBL No. 92081, report No. RPT00131 from Xenobiotic Laboratories, Inc.,
    Plainsboro, New Jersey, USA. Submitted to WHO by the DPA Task Force,
    John Wise & Associates Ltd, Liberty, Missouri, USA.
    


    See Also:
       Toxicological Abbreviations