IPCS INCHEM Home

    DINOCAP         JMPR 1998

    First draft prepared by 
    S.F.P. Warren
    Pesticides Safety Directorate, Ministry of Agriculture, Fisheries and
    Food,
    Mallard House, Kings Pool, York, United Kingdom

         Explanation 
         Evaluation for acceptable daily intake 
         Biological data 
              Biochemical aspects 
                   Absorption, distribution, and excretion
                   Biotransformation 
              Toxicological studies 
                   Acute toxicity 
                   Short-term studies of toxicity 
                   Long term studies of toxicity and carcinogenicity
                   Genotoxicity 
                   Reproductive toxicity 
                        Multigeneration reproductive toxicity
                        Developmental toxicity 
                   Special studies: Ocular toxicity 
         Comments
         Toxicological evaluation 
         References


    Explanation

         Dinocap was evaluated by the JMPR in 1969, 1974, and 1989 (Annex
    1, references 12, 22, 1nd 56). An ADI of 0-0.001 mg/kg bw was
    allocated in 1989 on the basis of a NOAEL of 0.5 mg/kg bw per day in a
    study of developmental toxicity in rabbits and a safety factor of 500.
    At the present Meeting recent data on material of greater purity than
    that tested previously were evaluated. Dinocap consists of 2,4- and
    2,6-dinitro-octylphenyl crotonates in which the octyl moiety is either
    1-methylheptyl, 1-ethylhexyl, or 1-propylpentyl. A number of the
    studies that were reviewed were performed with the methylheptyl isomer
    used as a model for dinocap.


    Evaluation for Acceptable Daily Intake

    1.  Biological data

     (a)  Absorption, distribution, and excretion

         In a comparison of the absorption, distribution, and excretion of
    the hethylheptyl isomer of dinocap (DNHPC) in mice after oral or
    dermal administration, 14C-phenyl-labelled material (specific
    activity, 18.6 mCi/g; radioactive purity, 95%) was administered at 25
    mg/kg bw to female CD-1 mice as a single oral or single dermal dose or

    as repeated dermal doses for 4 h/day up to 10 days. For oral
    administration, corn oil was used as the vehicle; for dermal
    administration, Karathane formulation blank solvents were used. Blood
    samples were collected from subgroups of three mice at appropriate
    times after dosing. The dermal application site was not occluded, but
    a collar was applied to prevent grooming. For repeated dermal
    administration, the application site was changed on successive days. A
    further study was conducted to measure total systemic absorption over
    4 h after a single dermal dose of 10 or 25 mg/kg bw in groups of four
    mice. There are no guidelines for the objectives of this study, but
    the method was appropriate to the purpose.

         The results are shown in Table 1. The peak blood concentrations
    were about four times lower and the time to peak concentrations
    slightly delayed after dermal dosing in comparison with oral
    administration, and the area under the curve was about seven times
    smaller than after oral administration. The peak blood levels after
    repeated dermal administration were no higher than that after a single
    dose, suggesting that clearance of dinocap was sufficiently rapid that
    no accumulation occurred under these conditions, as reported
    previously. No material balance was attempted in this part of the
    study. In the study of dermal penetration, 97-99% of the radiolabel
    was recovered; recovery from the faeces and urine was 16% at the low
    dose and 25% at the high dose, with, in each case, slightly more in
    urine than in faeces. Less than 1% remained at the skin application
    site. The half-life for elimination of radiolabel from plasma was
    about 6 h after either oral or dermal administration. These results
    are consistent with relatively rapid absorption of 25% of the
    administered dose of dinocap through the skin of mice within 4 h
    (Evans & Hazelton, 1995)


    Table 1. Absorption of the methylheptyl isomer of 
    dinocap in mice after oral and dermal administration

                                                                      

    Treatment           Dose         Tmax    Cmax    AUC       T1/2
                        (mg/kg bw)   (h)     (ppm)   (ppm-h)   (h)
                                                                      

    Single oral         25           2-6     18-21   345       6
    Single dermal       25           6-8     4       52        6.5
    Repeated dermal     25           NA      2-4     NA        NA
                                                                      


         When compared with the pharmacokinetic data described for rabbits
    in the 1989 JMPR monograph (Annex 1, reference 58), the peak plasma
    concentrations were approximately similar after a 25-mg/kg oral dose
    (15 ppm in rabbits and 20 ppm in mice), and the Tmax was slightly
    achieved slightly later in mice (6 h) than in rabbits (3 h).

         Penetration of 14C-labelled DNHPC through samples of human and
    mouse skin was compared  in vitro. Cryopreserved human skin from the
    thigh, back, and lateral torso of three donors, respectively, was
    stripped of fat and sliced at 350 µm; skin was also derived from eight
    female CD-1 mice, shaved, and stripped of fat. Discs of skin were
    inserted into flow-through diffusion cells, and the barrier integrity
    was verified with tritiated water. 14C-DNHPC was made up in Karathane
    formulation blank and applied to the skin surface at a rate reported
    to be 548 µg/cm2. The receptor chamber contained Hanks' balanced salt
    solution and 4% albumin at a flow-through rate of 1.5 ml/min. The skin
    samples were exposed to the Karathane test material for 24 h then
    swabbed with a mild detergent. The human skin samples were separated
    into layers which were analysed individually; mouse skin was analysed
    intact. As radiolabel recovery was not determined, the results are
    expressed only in terms of the proportion of radiolabel actually
    recovered.

         Of the radiolabel recovered, only 0.2% was recovered from
    receptor fluid after penetration through mouse skin and only 0.3%
    after penetration through human skin; 68% of radiolabel was recovered
    from within mouse skin, but only 10% from within human skin. Slightly
    less than 90% of the material recovered from human skin was in washes
    of the skin surface. Steady-state flux rates through mouse skin were
    approximately twice those through human skin. A total of 68% of the
    recovered dose penetrated the mouse stratum corneum, and 10.5%
    penetrated the human stratum corneum. The finding that only 0.2% DNHPC
    penetrated into receptor fluid from mouse skin diifers from that in
    mice  in vivo, described above, which showed 25% penetration of a 25
    mg/kg dose of 14C-DNHPC through mouse skin within 4 h and only 1%
    remaining in skin. No comparison of skin concentrations was presented,
    but, assuming a dermal application area of 3 cm2 for a               
    30-g mouse  in vivo, the surface concentration is approximately 250
    µg/cm2. As this value is comparable with the 548 µg/cm2 found
     in vitro, dermal surface concentrations are unlikely to account for
    the difference. A comparison of the penetration of DNHPC though human
    and mouse skin was not given; however, human skin is generally less
    penetrable than that of mice  (Ruegg, 1996).

         In a study reported only in summary, 55% of an undefined dose of
    radiolabelled dinocap was eliminated in the urine of four adult rhesus
    monkeys after intramuscular injection; 52% was excreted within 24 h of
    injection (Maibach, 1985).

         In a further study, dermal absorption of 14C-DNHPC was evaluated
    by treating groups of four female rhesus monkeys with a dose of 1.6 mg
    (approximately 0.2 mg/kg bw) as a 1:3 v/v solution in acetone on 40 or
    0.64 cm2 of abdominal skin. When the skin of one of two groups that
    received the dose over 40 cm2 was washed only with water, the total
    recovery of radiolabel was poor (approximately 30%). The recoveries
    were slightly better (50%) in the group in which the skin was washed
    with aqueous ethanol, and only the results for this group are
    considered further for this concentration. Occlusion of the
    application sites was not reported, but the animals were restrained in

    metabolic chairs for the 6-h exposure. An additional group received a
    single intravenous dose of 0.1 mg/kg bw DNHPC in dimethyl sulfoxide.
    After 6 h, the application site was washed, and the animals were
    transferred to metabolism cages. Samples of blood, faeces, and urine
    were collected at frequent intervals over a four-day elimination
    period. Dermal absorption was calculated by correcting measured
    urinary or faecal radiolabel elimination for the proportions of the
    total administered dose eliminated by these routes after intravenous
    injection, a method which fails to address dermal depot formation. The
    design of the study is not closely compliant with any guideline.

         The plasma levels after dermal administration were low. Total
    recovery of the application of 0.2 mg/kg to 0.64 cm2, equivalent to
    2500 µg/cm2, was approximately 80%, and absorption was calculated to
    be about 5% on the basis of both faecal and urinary elimination.
    Recovery of the more dilute application (0.2 mg/kg bw to 40 cm2,
    equivalent to 40 µg/cm2) was approximately 50%, and absorption was
    calculated as 10% from urinary elimination and 20% from faecal
    excretion (Wester & Maibach, 1985).

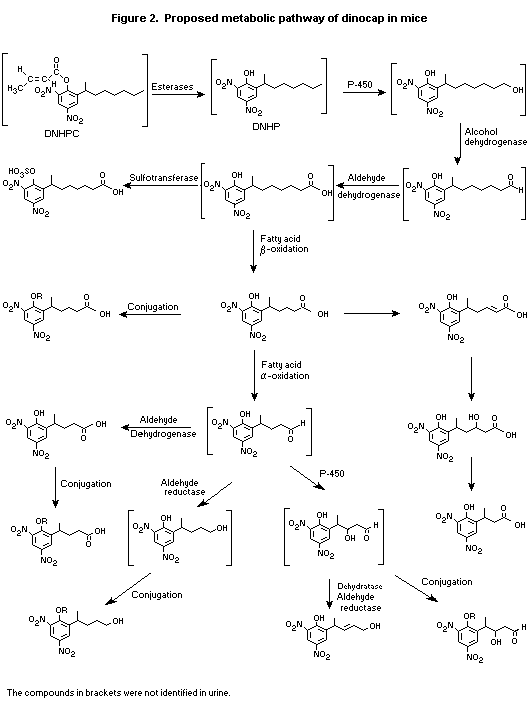
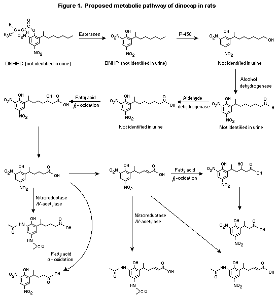
     (b)  Biotransformation

         In a study conducted to characterize urinary metabolites, a
    mixture of 13C- and 14C-2,4-DNHPC was administered by gavage in corn
    oil to three Sprague-Dawley rats at 100 mg/kg bw and to 15 CD-1 mice
    at 25 mg/kg bw. Pooled urine samples collected during the first 24 h
    after administration, which contained 90% of the radiolabel eliminated
    by the urinary route, were analysed for metabolites by
    high-performance liquid chromatography and mass spectroscopy. 

         Approximately 30% of the radiolabel administered to rats and 58%
    of that administered to mice was recovered in urine, and 94% of the
    radiolabel in rat urine and 82% of that in mouse urine could be
    allocated to identified metabolites. Structures were assigned to 12
    metabolites in rats and 13 in mice. In both species, the pattern of
    metabolites was consistent with a metabolic pathway involving
    extensive initial hydrolysis of the croton ester, resulting in loss of
    the crotonate group (which was not found in any urinary metabolite),
    leaving dinitrooctylphenol. Subsequent metabolites appeared to be
    formed by ß- or alpha-oxidation of the methylheptyl group. Small
    proportions of radiolabel were eliminated as conjugates: 4.5% in rats
    as acetyl conjugates and 7.7% in mice as unidentified conjugates but
    including sulfates. Seven metabolites, accounting for 12% of the total
    recovered dose, were identified as occurring in mice but not in rats;
    6.5% of the administered dose was attributable to unidentified
    conjugates, and the remainder were chain-shortened alcohols and
    aldehydes attributed to intermediates of alpha-oxidation with a common
    end-product, as found in rats. The metabolites were allocated to
    alpha-oxidation products on the basis that they showed shortening of
    the heptyl moiety, but they were not obviously consistent with ß-
    oxidation. Overall, 85% of metabolites found in rats were also found
    in mice, and 70% of those found in mice were also found in rats
    (Potter, 1996).

         The proposed metabolic pathways of dinocap in rats and mice are
    shown in Figures 1 and 2.

    2.  Toxicological studies

     (a)  Acute toxicity

         The results of studies of the acute toxicity of various
    formulations of dinocap are shown in Table 2. Purified technical-grade
    dinocap appeared to be marginally less acutely toxic than the less
    highly purified material described in the 1989 report (Annex 1,
    reference 58). The purified material was moderately irritating to the
    skin (Romanello et al., 1987d) and eye (Romanello et al., 1987d) and
    was sensitizing to the skin when tested by the Buehler method
    (Anderson & Baldwin, 1990a); the previous conclusions of the JMPR
    remain unaltered by these data. Products containing dinocap were also
    shown to be irritating to the skin and eye of rabbits (Bernacki &
    Hamilton, 1992c; Krajewski et al., 1987b,c; Morrison & Hamilton, 1992;
    Romanello et al., 1987e,f,g) and to have skin sensitizing potential
    (Anderson & Baldwin, 1990b,c).

     (b)  Short-term studies of toxicity

     Mice

         In a dose range-finding study reported only in brief, purified
    technical-grade dinocap (purity, 95.7%) was administered in the diet
    of CD-1 mice (age at start of study unspecified) at concentrations of
    25, 75, 225, 500, 1000, 2000, or 4000 ppm for 28 days. The full extent
    of histological examination was not reported. Concentrations of 500
    ppm and higher caused deaths, with total loss of males at 2000 or 4000
    ppm and of females at 1000 ppm and higher. The results are shown in
    Table 3. The liver appeared to be the principal target organ, showing
    hepatocellular necrosis that appeared to be of only mild to moderate
    severity when given at doses that caused deaths. The amount of detail
    provided was insufficient to identify a NOAEL (Bernacki & Baldwin,
    1987).

     (c)  Long-term studies of toxicity and carcinogenicity

     Mice

         Groups of 60 male and 60 female CD-1 mice were fed diets
    containing 0 (control), 15, 100, or 200 ppm dinocap (purity,
    93.2-96.2% at intervals during the study) for 78 weeks. The mice were
    seven to eight weeks old at the start of treatment and thus two weeks
    older than required by the guideline; much of the most rapid phase of
    growth was thus missed. The study design included ophthalmological
    examination. After the deaths of 14 females at the highest dose during
    week 1, that dose was reduced to 150 ppm from the start of week 2 for
    females and week 3 for males. With the exception of the deaths in week
    1, there was no treatment-related effect on survival, which was about
    80% in controls and 72% at the highest dose (group with highest

    FIGURE 1

    FIGURE 2


        Table 2. Acute toxicity of formulations of dinocap
                                                                                                                  

    Species      Strain              Sex    Route         Purity    LD50 or LC50    Reference
                                                          (%)       (mg/kg bw 
                                                                    or mg/L)
                                                                                                                  

    Technical-grade dinocap

    Mouse        CD-1                M      Oral          95        292             Morrison et al. (1987)
    Rat          Crl:CD              M      Oral          95        3100            Morrison et al. (1987)
    Rat          Crl:CD              M      Oral          95        > 500           Romanello et al. (1987a)
                                     F                              < 5000
    Rat          Crl:CD              M      Inhalation    95        > 3             Ferguson (1997)
                                     F                              3
    Rabbit       New Zealand white   M/F    Dermal        95        > 5000          Romanello et al. (1987b)

    Karathane LC fungicide-miticide

    Mouse        CD-1                M      Oral          40.4      517             Onishi (1989)
                                     F                              413
    Mouse        CD-1                M/F    Dermal        35.6      1020            Procopio & Parno (1995)
    Rat          Crl:CD              M/F    Oral          37.6      > 2000          Bernacki & Hamilton (1992a)
    Rat          Crl:CD              M      Oral          39        > 500           Lampe et al. (1987a)
                                     F                              < 5000
    Rat          Crl:CD              M/F    Dermal        37.6      > 2000          Bernacki & Hamilton (1992b)
    Rabbit       New Zealand white   M/F    Dermal        39        > 5000          Lampe et al. (1987b)
    Rat          Crl:CD              M/F    Inhalation    50        0.9             Blair & Cavender (1979)

    Karathane FN-57 fungicide-miticide

    Mouse        CD-1                M/F    Oral          20        1401            Morrison & Hamilton (1991)
    Rat          Crl:CD              M      Oral          20        > 500           Romanello et al. (1987c)
                                     F                              < 5000
    Rat          Crl:CD              M/F    Inhalation    20        > 4.9           Wanner & Hagan (1991)
    Rabbit       New Zealand white   M/F    Dermal        20        > 5000          Krajewski et al. (1987a)
                                                                                                                  

    M, male; F, female

    Table 3. Results of a dose range-finding study in mice 

                                                                                                              

    Outcome                            Dose (ppm in diet)
                                                                                                              
                                       0        25       75       225      500      1000     2000     4000
                                                                                                              

    Mortality, males                   0/10     0/10     0/10     0/10     0/10     5/10     10/10    10/10
    Mortality, females                 0/10     0/10     0/10     0/10     7/10     10/10    10/10    10/10
    Final body weight, males (g)       34       33       33       32       29       25
    Final body weight, females (g)     27       28       29       26       20
    Liver weight, males (g)            2.0      2.0      2.1      1.9      1.8      1.7*
    Liver weight, females (g)          1.5      1.6      1.7*     1.5      1.2*
    Liver weight, males (% bw)         5.8      5.9      6.1      6.0      6.4*     6.8*
    Liver weight, females (% bw)       5.5      5.7      6.0*     5.9*     5.9
    Hepatocellular necrosis, males     NR       NR       NR       NR       NR       3/10     9/10     6/10
    Hepatocellular necrosis, females   NR       NR       NR       NR       5/10     6/10     7/10     3/10
                                                                                                              

    NR, not reported
    From Bernacki & Hamilton (1987)
    * Statistically significant at 0.05 > p > 0.01
    

    mortality) at 78 weeks. There were no overt treatment-related symptoms
    of toxicity. Body-weight gain and food consumption were reduced in
    males at 150 ppm and in females at 100 ppm (20% less than that of
    controls) and 150 ppm. The efficiency of food use appeared to be
    impaired only in males at the highest dose and not in females, thus
    suggesting that the effect in females was at least partly a
    consequence of palatability. Mean testis weight was reduced in males
    at 150 ppm, and histopathological examination revealed a background
    incidence of unilateral and bilateral testicular atrophy in all
    groups, including controls, with incidences of 11/60, 4/60, 11/59, and
    25/60 at 0, 15, 100, and 150 ppm, respectively. A moderate incidence
    of individual cell necrosis was reported in mice in all groups,
    possibly associated with mouse hepatitis virus infection indicated by
    serological markers at 18 months, but the incidence of necrosis seen
    in the 28-day study described previously was not reproduced. There was
    no evidence of carcinogenicity in any tissue. The NOAEL was 15 ppm,
    equivalent to 2.7 mg/kg bw per day, on the basis of reduced
    body-weight gain with a corresponding reduction in food consumption in
    females at 100 ppm (Moore, 1991).

     (d)  Genotoxicity

         Studies of the genotoxicity of dinocap of lower purity than that
    used in the studies reported in the previous monograph are summarized
    in Table 4. The results are consistent with the previous conclusions
    of the JMPR.

     (e)  Reproductive toxicity

    (i)   Multigeneration reproductive toxicity

     Rats

         Groups of 26 Crl:CD rats of each sex received dinocap (purity,
    96%) in the diet at concentrations of 40, 200, or 1000 ppm for two
    generations. At weaning of the F1 animals, the highest dose was
    reduced to 400 ppm because of a high rate of mortality in these pups.
    The litters were culled to eight pups at day 4  post partum. In
    addition to the normal guideline requirements, selected F1 males at
    0, 40, or 200 ppm were used in a study of gonadal function (sperm
    motility, sperm count, weight of cauda epididymis). Body-weight gain
    and food consumption were retarded at 1000 ppm during the F0 
    pre-mating period and at 400 ppm during the F1  pre-mating period.
    There was increased pup mortality at weaning among litters of the
    group at 1000 ppm, until this dose was reduced to 400 ppm; the cause
    of death could not be determined but the presence of yellow or red
    discolouration of the contents of the gastrointestinal tract and
    bladder suggested the presence of test material or its metabolites.
    There were no specific effects on reproductive function or the ability
    to rear young, and there was no effect on gonadal function. Increased
    liver weights, with no evidence of a histological correlate, were
    found among rats receiving 400 or 1000 ppm. The NOAEL was 200 ppm,
    equal to 13 mg/kg bw per day (Morseth, 1990).


        Table 4. Results of studies of the genotoxicity of dinocap

                                                                                                                           

    End-point                Test object                Dose                   Purity    Results      Reference
                                                                               (%)
                                                                                                                           

    In vitro
    Gene mutation            Chinese hamster            3-10 µg/mla            83.9      Negative     Foxall (1985)
                             ovary cells, hprt locus    15-25 µg/mlb                     Negative

    Metaphase analysis       Chinese hamster            1-10 µg/mla            NR        Negative     Ivett & Myhr (1986)
                             ovary cells                5-20 µg/mlb                      Negative

    In vivo
    Metaphase analysis       CD-1 mouse                 12.6-126 mg/kg bw      83.9      Negative     Sames et al. (1986)
                             bone marrow
                                                                                                                           

    a  Without an exogenous metabolic system
    b  With an exogenous metabolic system
    

    (ii)   Developmental toxicity

     Mice

         Groups of 24 CD-1 mice presumed to be pregnant were given dinocap
    (purity, 94.4%) in aqueous 1% tragacanth gum at doses of 0 (control),
    4, 10, or 25 mg/kg bw per day by gavage on days 6-15 of gestation. On
    day 18 of gestation, about half of the mice in each group were killed
    and the fetuses were examined; the remaining dams were allowed to
    deliver and rear their litters, which were culled on day 4  post 
     partum to two pups per litter. On day 43, these mice were evaluated
    for swimming performance. 

         The results of this study are shown in Table 5. There were no
    maternal deaths during the study and no overt signs of toxicity. The
    body-weight gain of the pregnant mice was minimally impaired at 25
    mg/kg bw per day on days 12-16 of gestation, although the weight
    difference may have been a consequence of the reduced litter size.
    Gross examination showed no treatment-related findings. In animals
    killed on day 18 of gestation (the normal end of a study of
    teratogenicity), the average number of resorptions was increased in
    dams at 25 mg/kg bw per day, with an associated decrease in litter
    size. The incidence of resorptions was slightly increased in dams at
    at 10 mg/kg bw per day, but the increase was within the range of
    historical controls (0-1.6) All treated animals that delivered
    naturally had a statistically significant increase in the duration of
    gestation, although this was not considered to be toxicologically
    significant. 

         The mean fetal weight was reduced, and there was an increased
    incidence of fetuses with cleft palate and open eyelids at 10 and 25
    mg/kg bw per day. There was an increased incidence of stillborn pups
    and decreased pup body weight on days 7-21  post partum at 25 mg/kg
    bw per day, and pup survival to day 4  post partum was reduced. The
    incidence of litters with pups with head tilt and the incidence of
    pups with cleft palate were increased at 25 mg/kg bw per day, although
    all nine pups with cleft palate were from the same litter. Among the
    pups that were allowed to survive until day 43  post partum, there
    was an increased incidence of mice with head tilt, and ungroomed
    coats, corneal opacity, and ptosis were seen in one or two males at
    the highest dose. Body-weight gain and average body weights were
    decreased in mice at this dose, and there was an increased incidence
    of mice with altered swimming postures or ability. Of the 11 pups with
    altered swimming posture, 10 had head tilt. A further three pups with
    head tilt did not have altered swimming posture. The NOAEL for
    developmental toxicity was 4 mg/kg bw per day on the basis of the
    increased incidence of open eyelids and cleft palate in pups at 10
    mg/kg bw per day. The NOAEL for maternal toxicity was 10 mg/kg bw per
    day on the basis of minimally retarded weight gain during days 12-16
    of gestation in dams at 25 mg/kg bw per day. Dinocap was teratogenic,
    causing malformations at doses that had no effect on the dam (Lochry,
    1989).


        Table 5. Results of a study of developmental toxicity in mice 

                                                                                                                       

    Parameter                                                         Dose (mg/kg bw per day)
                                                                                                                       
                                                                      0          4         10         25
                                                                                                                       

    Maternal weight gain (g),  days 6-16                              14.8       16.0      16.5       13.8
                               days 12-16                             8.2        8.7       8.8        6.4
                               days 0-18                              26.3       27.0      27.3       23.3

    Caesarian-derived pups

    No. of litters evaluated                                          12         12        12         9
    Resorptions per litter                                            1.0        0.5       1.2*       1.8*
    Litter size                                                       11.2       11.2      10.8       8.7
    Mean fetal weight (g)                                             1.4        1.35      1.30*      1.10**
    Open eyelids, litters (total no. fetuses)                         0          0         1 (1)      2 (3**)
    Cleft palate, litters (total no. fetuses)                         0          0         3 (4)      7 ** (65**) 

    Naturally-delivered pups

    No. of litters evaluated                                          11         12        12         10
    Gestation duration (days)                                         19.4       19.8*     19.8*      19.9**
    Litter size, day 1 post partum                                    11.4       11.3      11.8       11.8
    Head tilt (no. of litters)                                        0          0         0          3**
    Cleft palate/pups dying days 0-21 post partum                     0/3        0/1       0/0        9/16
    Abnormal swimming ability, day 43, litters (no. fetuses)          0/11       0/11      0/12       5/9** (11/39)**
                                                                                                                       

    From Lochry (1989)
    * Statistically significant at 0.05 > p > 0.01; ** statistically significant at 0.01 > p 
    

         A study was conducted to establish suitable doses for a study of
    teratogenicity after dermal application to CD-1 mice. Fewer animals
    were used that recommended in guideliness. Dinocap was applied as the
    formulation Karathane LC XF, considered to be appropriate for
    estimating the risk due to occupational exposure, but the doses used
    were corrected for content and expressed as dinocap. Appropriate
    dilutions were obtained with the formulation blank. In phase 1 of the
    study, both untreated and vehicle control groups were used; in phase
    2, only a vehicle control group was used. The dose volume of 290 µl/kg
    bw was applied to one to five areas of shaven dorsal skin for 4 h each
    day on days 6-15 of presumed gestation; the site was changed each day,
    recommencing at the first site on the sixth day. Occlusion of the
    application site was not mentioned, but a collar was placed to prevent
    ingestion; no mention is made of how the mice were restrained during
    application. After completion of the 4-h exposure each day, the test
    material was washed off gently with soap and water.

         Initially (phase 1), groups of eight presumed-pregnant mice were
    given doses of 0 (control), 50, 80, or 100 mg/kg bw per day. Because
    of excessive toxicity, similar groups of eight mice were given doses
    of 0, 1, 4, 10, or 25 mg/kg bw per day by a similar protocol. The mice
    were sacrificed on day 18 of presumed gestation; half of the fetuses
    were used for skeletal examination, and the remaining half for
    specific examination of otoliths and of the remaining skeleton. For
    mice weighing 20-40 g, the dose volumes would have been 6-12 µl: the
    practical difficulty of administering such small volumes may have
    resulted in variations in accuracy. One, three, and four deaths
    occurred during treatment at 50, 80, and 100 mg/kg bw per day,
    respectively. Death was usually briefly (up to 24 h) preceded by signs
    of toxicity, including dermal erythema, ataxia, red or tan vaginal
    discharge, weight loss, and cold to touch. These doses all reduced
    weight gain, with weight loss at the highest dose. The numbers of live
    young were reduced at 50 and 80 mg/kg bw per day, and the litters of
    the three surviving dams at 100 mg/kg bw per day contained only
    resorbed conceptuses. Gross malformations were seen in 88% of fetuses
    at 50 mg/kg bw per day and 100% of those at 80 mg/kg bw per day.

         The principal treatment-related effects seen in phase 2 are shown
    in Table 6. Little maternal toxicity occurred, and body-weight gain
    was apparently unaffected by treatment. One mouse at the highest dose
    was found dead on day 15 of gestation having been found stuporous with
    an impaired righting reflex after dosing the day before. Death was
    attributed to trauma, although no clear injury was detected at
    necropsy. There was a slight incidence of skin irritation at the two
    highest doses. The litter sizes, numbers of live fetuses per litter,
    and fetal body weights were unaffected by treatment. There was no
    change in the degree of skeletal ossification, but three fetuses of
    one litter at the highest dose had cleft palate, and two fetuses of
    another litter had open eyelids. Also at the highest dose, otolith
    development was clearly impaired. These findings are consistent with
    those of previous studies of the teratogenicity of dinocap in mice
    after oral administration. In view of these results, no further study
    by the dermal route was conducted. The study involved too few animals

    to determine a NOAEL for teratogenicity in mice treated dermally,
    particularly with respect to cleft palate; however, the quality of the
    data on mean otolith scores in 49 fetuses may provide some degree of
    confidence that the NOAEL for these effects is 10 mg/kg bw per day
    (Foss, 1995).

        Table 6. Results of a study for developmental toxicity in mice 

                                                                                        

    Effect                                    Dose (mg/kg bw per day)
                                                                                        
                                              0        1        4        10       25
                                                                                        

    No. of pregnant dams                      8        8        7        8        6
    Maternal weight gain on days 6-18 (g)     21.4     26.4     20.8     26.4     25.0
    No. of fetuses                            77       96       67       93       73
    Cleft palate (no. of litters)             0        0        0        0        1
    Open eyelids (no. of litters)             0        0        0        0        1
    Mean otolith scorea                       9.2      9.6      9.0      9.0      2.2
      No. of fetuses examined                 37       49       34       49       38
                                                                                        

    From Foss (1995)
    a Three otoliths were scored for completeness on a scale of 1-4, to give a maximum 
      potential score of 12. 
    

         2,4-DNHPC and 2,6-DNHPC were not teratogenic in mice. Samples of
    each isomer (purity, 95%) were tested seperately and in combination,
    and the results were compared with those in mice receiving
    technical-grade dinocap (purity, 84%), each group at a dose of 25
    mg/kg bw per day in corn oil. Fewer pregnant animals were used than
    recommended in the guidelines. Although litters born to
    dinocap-treated mice showed a pattern of developmental defects typical
    of those seen in the studies described above, the two isomers were
    inactive at the same dose, both alone and in combination (Rogers et
    al., 1987). In a separate study by the same group, otolith formation
    was compared in the pups of mice and hamsters treated with dinocap
    during gestation. Otolith formation was impaired in mice. Dinocap
    affected otolith formation in hamsters, but only at a dose associated
    with severe maternal and fetal toxicity (Rogers et al., 1989).

     Rats

         Groups of 25 Sprague-Dawley rats presumed to be pregnant received
    dinocap (purity, 96%) as a suspension in aqueous methylcellulose at
    doses of 0 (control), 10, 50, or 150 mg/kg bw per day by gavage on
    days 6-15 of gestation. There were no deaths, and the only overt sign
    of toxicity was an increased incidence of soft faeces in rats at 150

    mg/kg bw per day. Maternal body-weight gain was impaired at 150 mg/kg
    bw per day during the first two days of treatment, and food
    consumption was slightly reduced in this group during treatment. Gross
    examination revealed no treatment-related changes in pregnant or non-
    pregnant females. There were no treatment-related changes in pup
    weight and no increase in the incidence of malformations. There was an
    apparent increase in the incidence of extra ribs at 150 mg/kg bw per
    day, but seven of the 10 affected fetuses were from two litters. The
    NOAEL for maternal and fetal toxicity was 50 mg/kg bw per day. There
    was no evidence of teratogenicity at the highest dose of 150 mg/kg bw
    per day (Solomon & Lutz, 1989).

     Rabbits

         Groups of 20 artificially inseminated New Zealand white rabbits
    received dinocap (purity, 95.4%) in aqueous gum tragacanth by gavage
    at doses of 0, 3, 12, 48, or 84 mg/kg bw per day on days 7-19 of
    presumed pregnancy. Pups were delivered by caesarian section on day 29
    and examined for developmental abnormalities in accordance with normal
    guideline requirements. Two does at the high dose and one at the
    intermediate dose died between days 24 and 29 of gestation, therefore
    at least five days after dosing, but the deaths were considered to be
    related to treatment. These animals all showed weight loss and
    anorexia before death. The doe at the intermediate dose and one at the
    high dose aborted; both does at the high dose that died had non-viable
    litters (late resorptions). An additional five deaths were considered
    unrelated to treatment and were primarily a consequence of intubation
    errors.

         The main results are shown in Table 7; statistical analyses were
    not reported. There was an increased incidence of premature delivery
    and abortion at 48 and 84 mg/kg bw per day; the premature deliveries
    at the highest dose were primarily late resorptions. Clinical signs
    (lack of faeces or dried faeces) and impaired weight gain and food
    consumption were seen among does receiving these doses, litter sizes
    and pup weights were reduced, and there was an increased incidence of
    pups with skeletal malformations (vertebral assymetry and fused or
    forked ribs). There was also a slight increase in delayed ossification
    at a few sites in does at these doses. The NOAEL for maternal toxicity
    was 3 mg/kg bw per day on the basis of weight-gain retardation during
    treatment. The NOAEL for developmental toxicity was 12 mg/kg bw per
    day on the basis of increased resorptions and reduced litter sizes at
    48 mg/kg bw per day (Hoberman & Christian, 1987).

         This conclusion is different from that of the 1989 JMPR (Annex 1,
    reference 58) but is based on different data. In the latter review, an
    increased incidence of hydrocephaly and neural tube defects was found
    at doses > 3 mg/kg bw per day in the studies of Costlow & Kane
    (1984 a,b). In the earlier studies, however, a less pure form of
    dinocap (84%) was used, and the neural tube defects found by Costlow
    and Kane (1984a) at a dose of 3 mg/kg bw per day were not found in the
    second study (Costlow & Kane, 1984b) at 48 mg/kg bw per day nor in
    studies by dermal administration in which the increased numbers of


        Table 7. Results of a study of developmental toxicity in rabbits

                                                                                                           

    Result                                                     Dose (mg/kg bw per day)
                                                                                                           
                                                               0        3        12       48       84
                                                                                                           
    Adult animals

    No. pregnant                                               17       17       15       15       14
    No. with abortions                                         0        0        0        3        1
    No. with premature delivery                                1        0        0        1        3
    No. with absence of faeces (on any day)                    0        0        0        0        4
    No. with dried faeces (on any day)                         3        0        2        7        17
    Weight change, days 7-20 (g)                               150      200      90       -330     -550
    Food consumption, days 7-20 (g/day)                        160      170      152      65       51
    No. with gastric ulceration                                0        0        1        3        4

    Litters

    No. evaluated                                              12       17       14       10       9
    Mean no. of live fetuses                                   7.2      7.5      8.1      6.3      5.9
    Dead or resorbed fetuses per litter (%)                    11.8     4.9      7.1      20.3     27.0
    Mean fetal weight (g)                                      40.9     42.7     40.0     37.6     35.8
    Vertebral assymetry: no. of litters (pups)                 1 (1)    1 (1)    1 (2)    5 (7)    3 (8)
    No. of litters (pups) with rib malformation                1 (1)    0        2 (3)    2 (2)    2 (6)
    No. of litters (pups) with skeletal malformations          4 (4)    3 (3)    4 (6)    5 (7)    6 (12)
                                                                                                           

    From Hoberman (1987)
    

    resorptions and delayed ossifications were similar to these found by
    Hoberman & Christian (1987).

     (f)  Special studies: Ocular toxicity

         A NOAEL of 15 ppm was observed for ocular toxicity in a two-year
    study in dogs (Weatherholz et al., 1979) in the 1989 JMPR (Annex 1,
    reference 38). At 60 ppm, four of eight dogs had slight to moderate
    discolouration of the tapetum lucidum, although no retinal atrophy and
    no changes in the vascularity of the retina were noted. The remaining
    four dogs at this dose showed moderate to marked discolouration of the
    tapetum, reduced vascularity of the retina, and retinal atrophy (three
    dogs). At 120/240 ppm, the four surviving dogs had marked
    discolouration of the tapetum, reduced vascularity of the retina, and
    retinal atrophy. Retinal atrophy was therefore present only in dogs
    with severe tapetal changes, and no dog showed retinal effects without
    effects in the tapetum.

         A review of the literature for compounds that are toxic to the
    tapetum lucidum of dogs was submitted (Solomon, 1991). Of six
    compounds known to affect the tapetum, three (zinc pyridinethione, SCH
    19927, and rosaramicin) had no effect in atapetal dogs, and no ocular
    effects were reported in other atapetal animals. The other three
    compounds (dinocap, hydroxy pyridinethione, and diphenyl
    thiocarbazine) affected the tapetum in dogs (with no information on
    atapetal dogs) but did not cause ocular effects in atapetal species.
    The author concluded that the retinal atrophy seen with dinocap was
    secondary to damage to the tapetum lucidum. Since humans do not have a
    tapetum, it was concluded that humans would not be susceptible to
    retinal damage as a consequence of this effect. The review is brief,
    and the adequacy of the methods used, the sensitivity, and the
    comparability of the findings were not considered. The conclusions
    cannot therefore be regarded as definitive, although the data support
    the hypothesis. The NOAEL in the study of Weatherholz et al. (1979)
    was therefore identified for other effects. The 1989 JMPR report
    (Annex 1, reference 58) indicates that significant effects, including
    deaths, occurred at doses of 180-240 ppm, giving a NOAEL of 60 ppm,
    equivalent to 1.5 mg/kg bw per day.

    Comments

         Dinocap is well absorbed after oral exposure. A proportion
    (5-25%) is absorbed after dermal exposure, varying with species and
    concentration. No conclusions were drawn about the degree of dermal
    absorption in humans from the results of a study in which mouse and
    human skin were compared; however, human skin is generally regarded as
    being less permeable to toxicants than that of mice.

         The urinary metabolites of the methylheptyl isomer in rats and
    mice have been extensively characterized; characterization of the
    faecal metabolites was reported by the 1989 JMPR, which concluded that
    the pattern of metabolites in faeces seen by thin-layer chromatography
    was similar to that observed in squash and cucumbers.

         The new data confirmed the generally low degree of acute toxicity
    of dinocap in rats; mice, however, appear to be more sensitive than
    rats to both acute and developmental effects. Dinocap is a skin
    irritant and sensitizer. The available studies did not address the
    uncoupling of oxidative phosphorylation, identified by the 1989 JMPR
    as a potentially significant mode of action.

         WHO has classified dinocap as 'slightly hazardous' (WHO, 1996).

         In a study of carcinogenicity in mice at doses of 0, 15, 100, or
    200 ppm, no evidence of carcinogenicity was found. The NOAEL was 15
    ppm, equal to 2.7 mg/kg bw per day. The lack of carcinogenicity in
    mice is consistent with the absence of carcinogenicity in rats
    reported by the 1989 JMPR. 

         The results of tests for genotoxicity (on the less pure form of
    dinocap) were negative.

         A multigeneration study of reproductive toxicity at dietary
    concentrations of 0, 40, 200, or 1000 ppm in rats showed no specific
    effect on any reproductive parameters; the NOAEL was 200 ppm, equal to
    13 mg/kg bw per day. 

         In a study of developmental toxicity in mice dosed by gavage at
    0, 4, 10, or 25 mg/kg bw per day, impaired otolith formation was seen
    at 25 mg/kg bw per day. A dose-related increase in the incidence of
    open eyelids and cleft palate extended down to 10 mg/kg bw per day in
    the absence of maternal toxicity. The NOAEL was 4 mg/kg bw per day.
    Dermal application of 50, 80, or 100 mg/kg bw per day to mice proved
    excessively toxic for an evaluation of developmental toxicity. A
    further dermal study in mice at 0, 1, 4, 10, or 25 mg/kg bw per day
    showed malformations,including impaired otolith formation, at 25 mg/kg
    bw per day in the absence of maternal toxicity. The NOAEL for
    developmental toxicity after dermal application to mice was 10 mg/kg
    bw per day. The results of the recent studies of developmental
    toxicity confirmed the teratogenic potential of purified dinocap in
    mice, even when applied dermally. Impaired otolith development,
    characteristic of the teratogenicity of dinocap in mice, was also seen
    in hamsters at doses that are maternally toxic. Less specific
    malformations were seen in rabbits at maternally toxic doses. The
    present Meeting concluded that the NOAEL in the studies in rabbits
    described by the 1989 JMPR was 3 mg/kg bw per day rather than
    0.5 mg/kg bw per day, since the findings on which the putative effect
    level was established do not appear to be repeatable or clearly
    dose-related. The methylheptyl isomer has been shown not to be
    teratogenic to mice. The reason for the species difference in the
    teratogenicity of dinocap in rats and mice therefore cannot be deduced
    from the data on the metabolism of the methylheptyl isomer.

         The two-year study in dogs that was evaluated at the 1989 Joint
    Meeting was also reassessed on the basis that the critical effect
    (retinal atrophy) was secondary to effects on the tapetum lucidum.
    Since the tapetum lucidum is not present in humans, or in rats or mice

    in which no retinal effect was seen, the Meeting concluded that it
    would be inappropriate to base the evaluation on this effect. The
    NOAEL was 60 ppm, equivalent to 1.5 mg/kg bw per day.

         Teratogenic effects in mice were considered to be the
    toxicological end-point of greatest concern. Since dinocap was
    teratogenic in mice after either oral or dermal administration and
    since malformations were seen in at least three species, the Meeting
    considered a high safety factor to be appropriate. An ADI of 0-0.008
    mg/kg bw was established on the basis of the NOAEL of          
    4 mg/kg bw per day in the developmental toxicity study in mice and a
    safety factor of 500. 

         Establishment of an acute reference dose (RfD) was considered to
    be appropriate since teratogenicity may occur after a single exposure.
    An acute RfD was established on the basis of the NOAEL of 4 mg/kg bw
    per day for teratogenicity in mice and a safety factor of 500, to give
    an acute RfD of 0.008 mg/kg bw, which is appropriate for women of
    child-bearing age.

    Toxicological evaluation

     Levels that cause no toxic effect

         Mouse:    15 ppm, equal to 2.7 mg/kg bw per day (toxicity in a
                   study of carcinogenicity)
                   4 mg/kg bw per day (developmental toxicity)
                   10 mg/kg bw per day (maternal toxicity in a study of
                   developmental toxicity)

         Rat:      200 ppm, equal to 6.4 mg/kg bw per day (toxicity in a
                   study of carcinogenicity)
                   50 mg/kg bw per day (maternal and developmental
                   toxicity in a study of developmental toxicity)

         Rabbit:   3 mg/kg bw per day (maternal toxicity in a study of
                   developmental toxicity)

         Dog:      60 ppm, equivalent to 1.5 mg/kg bw per day (study of
                   toxicity)

     Estimate of acceptable daily intake for humans

         0-0.008 mg/kg bw

     Estimate of acute reference dose

         0.008 mg/kg bw

     Information that would be useful for continued evaluation of the 
     compound

         Further observations in humans

        List of end-points for setting guidance values for dietary and non-dietary exposure
                                                                                                 

    Absorption, distribution, excretion and metabolism in mammals

    Rate and extent of oral absorption        60-69% absorbed, max. concentration at 2-6 h
    Dermal absorption                         5-25% 
    Distribution                              Widely distributed
    Potential for accumulation                Limited, < 0.3% in tissue after 7 days
    Rate and extent of excretion              Biphasic; half-life is 3 h for 1st phase, 44 h for 2nd 
                                              phase, oral administration, rabbit
    Metabolism in animals                     Extensive; > 96% metabolized
    Toxicologically significant compounds     Metabolites assumed to be of similar toxicity to parent
    (animals, plants and environment)

    Acute toxicity

    Rat: LD50 oral                            3100 mg/kg bw
    Rat: LD50 dermal                          > 5000 mg/kg bw
    Rat: LC50 inhalation                      3 mg/L
    Skin irritation                           Irritating
    Eye irritation                            Irritating
    Skin sensitization                        Sensitizing

    Short-term toxicity

    Target/critical effect                    General toxicity
    Lowest relevant oral NOAEL                Dog: 1.5 mg/kg bw per day
    Lowest relevant dermal NOAEL              Mouse: 10 mg/kg bw per day (teratogenicity)
    Lowest relevant inhalation NOAEL          No data

    Genotoxicity                              Not genotoxic in an adequate battery of tests

    Long-term toxicity and carcinogenicity

    Target/critical effect:                   Impaired weight gain
    Lowest relevant NOAEL                     Mouse: 2.7 mg/kg bw per day (carcinogenicity) 
    Carcinogenicity                           Not carcinogenic

    Reproductive toxicity

    Reproduction target/critical effect       No effect on fertility or ability to rear young
    Lowest relevant reproductive NOAEL        Rat: 13 mg/kg bw per day (multigeneration study)
    Developmental target/critical effect      Malformations
    Lowest relevant developmental NOAEL       Mouse: 4 mg/kg bw per day

    Neurotoxicity/Delayed neurotoxicity       No data, but no concern raised in other studies

    Other toxicological studies               Inhibits oxidative phosphorylation; methylheptyl 
                                              isomer not teratogenic

    Medical data                              No significant dinocap-related effects reported

    Summary                 Value                Study                            Safety factor
    ADI                     0-0.008 mg/kg bw     Mouse, developmental toxicity    500
    Acute reference dose    0.008 mg/kg bw       Mouse, developmental toxicity    500
                                                                                                 
    
    References

    Anderson, D.M. & Baldwin, R.C. (1990a) Karathane LC fungicide/miticide
    delayed contact hypersensitivity study in guinea pigs. Unpublished
    report No. 89R-187 from Rohm & Haas Company, Toxicology Department,
    Spring House, Pennsylvania, USA. Submitted to WHO by Rohm & Haas
    Company, Spring House, Pennsylvania, USA.

    Anderson, D.M.& Baldwin, R.C. (1990b) Karathane FN-57
    fungicide/miticide delayed contact hypersensitivity study in guinea
    pigs. Unpublished study No. 89R-188 from Rohm & Haas Co., Toxicology
    Department, Spring House, Pennsylvania, USA. Submitted to WHO by Rohm
    & Haas Co., Spring House, Pennsylvania, USA

    Anderson, D.M. & Baldwin, R.C. (1990c) Karathane technical (HPK)
    fungicide/miticide delayed contact hypersensitivity study in guinea
    pigs. Unpublished report No. 89R-189 from Rohm & Haas Co., Toxicology
    Department, Spring House, Pennsylvania, USA. Submitted to WHO by Rohm
    & Haas Co., Spring House, Pennsylvania, USA

    Bernacki, H.J. & Baldwin, R.C. (1987) Karathane technical (dinocap):
    Range finding four-week dietary toxicity study in mice. Unpublished
    report No. 87R-175. from Rohm & Haas Co., Toxicology Department,
    Spring House, Pennsylvania, USA. Submitted to WHO by Rohm & Haas Co.,
    Spring House, Pennsylvania, USA.

    Bernacki, H.J. & Hamilton, J.D. (1992a) Karathane LC
    fungicide/miticide: Skin irritation study in rabbits. Unpublished
    report No. 91R-170 from Rohm & Haas Co., Toxicology Department, Spring
    House, Pennsylvania, USA. Submitted to WHO by Rohm & Haas Co., Spring
    House, Pennsylvania, USA.

    Bernacki, H.J. & Hamilton, J.D. (1992b) Karathane LC
    fungicide/miticide: Acute dermal toxicity study in male and female
    rats. Unpublished report No. 91R-171 from Rohm & Haas Co., Toxicology
    Department, Spring House, Pennsylvania, USA. Submitted to WHO by Rohm
    & Haas Co., Spring House, Pennsylvania, USA. 

    Bernacki, H.J. & Hamilton, J.D. (1992c) Karathane LC
    fungicide/miticide: Acute oral toxicity study in male and female rats.
    Unpublished report No. 91R-173 from Rohm & Haas Co., Toxicology
    Department, Spring House, Pennsylvania, USA. Submitted to WHO by Rohm
    & Haas Co., Spring House, Pennsylvania, USA.

    Blair, M. & Cavender, F.L. (1979) TD 77-310 acute inhalation study in
    rats. Unpublished report No. 285-029 from International Research and
    Development Corporation, Mattawan, Michigan, USA. Submitted to WHO by
    Rohm & Haas Co., Spring House, Pennsylvania, USA.

    Costlow, R.D. & Kane, W.W. (1984a) Teratology study with Karathane in
    rabbits. Unpublished report No. 83R-22 from Rohm & Haas Co.,
    Toxicology Department, Spring House, Pennsylvania, USA. Submitted to
    WHO by Rohm & Haas Co., Spring House, Pennsylvania, USA.

    Costlow, R.D. & Kane, W.W. (1984b) Teratology study with Karathane in
    rabbits. Unpublished report No. 83R-113 from Rohm & Haas Co.,
    Toxicology Department, Spring House, Pennsylvania, USA. Submitted to
    WHO by Rohm & Haas Co., Spring House, Pennsylvania, USA

    Evans, K.W. & Hazelton, G.A. (1995) Blood pharmacokinetics and dermal
    absorption of Karathane in female mice. Unpublished report No. 95R-105
    from Rohm & Haas Co., Toxicology Department, Spring House,
    Pennsylvania, USA. Submitted to WHO by Rohm & Haas Co., Spring House,
    Pennsylvania, USA.

    Ferguson, J.S. (1997) Karathane technical: Acute inhalation toxicity
    study in rats. Unpublished report No. 96R-126 from Rohm & Haas Co.,
    Toxicology Department, Spring House, Pennsylvania, USA. Submitted to
    WHO by Rohm & Haas Co., Spring House, Pennsylvania, USA.

    Foss, J.A. (1995) Dermal dosage-range developmental toxicity study of
    Karathane LC XF in mice. Unpublished report No. 018-023P from Argus
    Research Laboratories, Inc., Horsham, Pennsylvania, USA. Submitted to
    WHO by Rohm & Haas Co., Spring House, Pennsylvania, USA Rohm & Haas
    Co. report No. 95RC-024.

    Foxall, S. (1985) Karathane technical: CHO/HGPRT gene mutation assay.
    Unpublished report No. 85R-204 from Rohm & Haas Co., Toxicology
    Department, Spring House, Pennsylvania, USA. Submitted to WHO by Rohm
    & Haas Co., Spring House, Pennsylvania, USA.

    Hoberman, A. & Christian, M. (1987) A developmental toxicity study of
    Karathane fungicide/miticide (technical) administered via stomach tube
    to New Zealand white rabbits. Unpublished report No. 018-012 from
    Argus Research Laboratories, Inc., Horsham, Pennsylvania, USA.
    Submitted to WHO by Rohm & Haas Co., Spring House, Pennsylvania, USA.
    Rohm & Haas Co. report No. 86RC-71.

    Ivett, J. & Myhr, B. (1986) Clastogenic evaluation of Karathane
    technical in an  in-vitro cytogenetic assay measuring chromosomal
    aberration frequencies in Chinese hamster ovary (CHO) cells.
    Unpublished study project No. 20990 from Litton Bionetics, Inc.,
    Kensington, Massachusetts, USA. Rohm & Haas Co. report No. 85RC-62.
    Submitted to WHO by Rohm & Haas Co., Spring House, Pennsylvania, USA.

    Krajewski, R.J., Morrison, R.D. & Baldwin, R.C. (1987a) Karathane
    FN-57 fungicide/miticide: Acute dermal toxicity study in male and
    female rabbits. Unpublished report No. 87R-138 from Rohm & Haas Co.,
    Toxicology Department, Spring House, Pennsylvania, USA. Submitted to
    WHO by Rohm & Haas Co., Spring House, Pennsylvania, USA.

    Krajewski, R.J., Morrison, R.D. & Baldwin, R.C. (1987b) Karathane
    FN-57 fungicide/miticide: Eye irritation study in rabbits. Unpublished
    report No. 87R-114 from Rohm & Haas Co., Toxicology Department, Spring
    House, Pennsylvania, USA. Submitted to WHO by Rohm & Haas Co., Spring
    House, Pennsylvania, USA.

    Krajewski, R.J., Morrison, R.D. & Baldwin, R.C. (1987c) Karathane
    FN-57 fungicide/miticide: Skin irritation study in male rabbits.
    Unpublished report No. 87R-139 from Rohm & Haas Co., Toxicology
    Department, Spring House, Pennsylvania, USA. Submitted to WHO by Rohm
    & Haas Co., Spring House, Pennsylvania, USA.

    Lampe, K.R., Morrison, R.D. & Baldwin, R.C. (1987a) Karathane LC
    fungicide-miticide: Acute oral toxicity study in male and female rats.
    Unpublished report No. 87R-132 from Rohm & Haas Co., Toxicology
    Department, Spring House, Pennsylvania, USA. Submitted to WHO by Rohm
    & Haas Co., Spring House, Pennsylvania, USA

    Lampe, K.R., Morrison, R.D. & Baldwin, R.C. (1987b) Karathane LC
    fungicide-miticide: Acute dermal toxicity study in male and female
    rats. Unpublished report No. 87R-133 from Rohm & Haas Co., Toxicology
    Department, Spring House, Pennsylvania, USA. Submitted to WHO by Rohm
    & Haas Co., Spring House, Pennsylvania, USA

    Lochry, E. (1989) Dinocap (high purity technical): An oral (gavage)
    developmental toxicity study in CD-1(ICR)BR mice including a postnatal
    phase. Unpublished report No. 018-015 from Argus Research
    Laboratories, Inc., Horsham, Pennsylvania, USA. Submitted to WHO by
    Rohm & Haas Co., Spring House, Pennsylvania, USA. Rohm & Haas Co.
    report No. 88P-335.

    Maibach, H. (1985) Elimination of 14C labeled Karathane in rhesus
    monkeys following a single intramuscular injected dose. Unpublished
    report No. 85RC-18 from Rohm & Haas Co., Toxicology Department, Spring
    House, Pennsylvania, USA. Submitted to WHO by Rohm & Haas Co., Spring
    House, Pennsylvania, USA.

    Moore, M.R. (1991) Dinocap (technical purified): 78-Week dietary
    oncogenicity study in mice. Unpublished report No. 417-445 from
    Hazleton Laboratories America, Inc., Rockville, Massachusetts, USA.
    Submitted to WHO by Rohm & Haas Co., Spring House, Pennsylvania, USA.
    Rohm & Haas Co. report No. 88RC-090

    Morrison, R.D. & Hamilton, J.D. (1991) Karathane FN-57
    fungicide/miticide: Acute oral toxicity study in male and female mice.
    Unpublished report No. 91R-001 from Rohm & Haas Co., Toxicology
    Department, Spring House, Pennsylvania, USA. Submitted to WHO by Rohm
    & Haas Co., Spring House, Pennsylvania, USA.

    Morrison, R.D. & Hamilton, J.D. (1992) Karathane LC
    fungicide/miticide: Eye irritation study in rabbits. Unpublished
    report No. 91R-172 from Rohm & Haas Co., Toxicology Department, Spring
    House, Pennsylvania, USA. Submitted to WHO by Rohm & Haas Co., Spring
    House, Pennsylvania, USA.

    Morrison, R.D., Krzywicki, K.M. & Hazelton, G.A. (1987) Karathane
    technical purified: Acute oral toxicity study in male rats and mice.
    Unpublished report No. 86R-149A,B from Rohm & Haas Co., Toxicology
    Department, Spring House, Pennsylvania, USA. Submitted to WHO by Rohm
    & Haas Co., Spring House, Pennsylvania, USA.

    Morseth, S. (1990) Dinocap (technical purified): Two-generation
    reproduction study in rats. Unpublished report No. 417-442 from
    Hazleton Laboratories America, Inc., Vienna, Virginia, USA. Submitted
    to WHO by Rohm & Haas Co., Spring House, Pennsylvania, USA. Rohm &
    Haas Co. report No. 88RC-092.

    Onishi, M. (1989) Karathane LC (HPK) fungicide/fiticide: Acute oral
    toxicity study in mice. Unpublished study from Shin Nippon Biomedical
    Laboratories Ltd, Kagoshima, Japan. Rohm & Haas Co. report No.
    90RC-1001. Submitted to WHO by Rohm & Haas Co., Spring House,
    Pennsylvania, USA.

    Potter, D. (1996) Identification of
    2,4-dinitro-6-(1-methylheptyl)phenyl crotonate metabolites in rat and
    mouse urine. Unpublished report No. 95R-064 from Rohm & Haas Co.,
    Toxicology Department, Spring House, Pennsylvania, USA. Submitted to
    WHO by Rohm & Haas Co., Spring House, Pennsylvania, USA.

    Procopio, K.R. & Parno, J.R. (1995) Karathane LC: Acute dermal
    toxicity study in male and female mice. Unpublished report No. 94R-244
    from Rohm & Haas Co., Toxicology Department, Spring House,
    Pennsylvania, USA. Submitted to WHO by Rohm & Haas Co., Spring House,
    Pennsylvania, USA.

    Rogers, J.M., Gray, E.L., Carver, B.D. & Kavlock, R.J. (1987)
    Developmental toxicity of dinocap in the mouse is not due to two
    isomers of the major active ingredient.  Teratol. Carcinog. Mutag., 
    7, 341-346.

    Rogers, J.M., Burkhead, L.M. & Barbee B.D. (1989) Effects of dinocap
    on otolith formation: Evaluation of mouse and hamster fetuses at term.
     Teratology, 39, 515-523.

    Romanello, A.S., Morrison, R.D. & Baldwin, R.C. (1987a) Karathane
    technical purified: Acute oral toxicity study in male and female rats.
    Unpublished report No. 87R-124 from Rohm & Haas Co., Toxicology
    Department, Spring House, Pennsylvania, USA. Submitted to WHO by Rohm
    & Haas Co., Spring House, Pennsylvania, USA.

    Romanello, A.S., Morrison, R.D. & Baldwin, R.C. (1987b) Karathane
    technical purified: Acute dermal toxicity study in male and female
    rabbits. Unpublished report No. 87R-126 from Rohm & Haas Co.,
    Toxicology Department, Spring House, Pennsylvania, USA. Submitted to
    WHO by Rohm & Haas Co., Spring House, Pennsylvania, USA.

    Romanello, A.S., Morrison, R.D. & Baldwin, R.C. (1987c) Karathane
    FN-57 fungicide-miticide: Acute oral toxicity study in male and female
    rats. Unpublished report No. 87R-137 from Rohm & Haas Co., Toxicology
    Department, Spring House, Pennsylvania, USA. Submitted to WHO by Rohm
    & Haas Co., Spring House, Pennsylvania, USA.

    Romanello, A.S., Morrison, R.D. & Baldwin, R.C. 1987d) Karathane
    technical purified: Skin irritation study in male rabbits. Unpublished
    report No. 87R-125 from Rohm & Haas Co., Toxicology Department, Spring
    House, Pennsylvania, USA. Submitted to WHO by Rohm & Haas Co., Spring
    House, Pennsylvania, USA.

    Romanello, A.S., Morrison, R.D. & Baldwin, R.C. (1987e) Karathane LC
    fungicide/miticide: Rabbit skin irritation study. Unpublished report
    No. 87R-134 from Rohm & Haas Co., Toxicology Department, Spring House,
    Pennsylvania, USA. Submitted to WHO by Rohm & Haas Co., Spring House,
    Pennsylvania, USA.

    Romanello, A.S., Morrison, R.D. & Baldwin, R.C. (1987f) Karathane
    technical purified: Eye irritation study in male rabbits. Unpublished
    report No. 87R-111 from Rohm & Haas Co., Toxicology Department, Spring
    House, Pennsylvania, USA. Submitted to WHO by Rohm & Haas Co., Spring
    House, Pennsylvania, USA.

    Romanello, A.S., Morrison, R.D. & Baldwin, R.C. (1987g) Karathane LC
    fungicide/miticide: Eye irritation study in rabbits. Unpublished
    report No. 87R-135 from Rohm & Haas Co., Toxicology Department, Spring
    House, Pennsylvania, USA. Submitted to WHO by Rohm & Haas Co., Spring
    House, Pennsylvania, USA.

    Ruegg, C.E. (1996) In vitro percutaneous absorption and cutaneous
    distribution of Karathane LC XF across intact human and mouse skin.
    Unpublished report No. M95-024 from In Vitro Technologies, Inc.,
    Baltimore, Maryland, USA. Submitted to WHO by Rohm & Haas Co., Spring
    House, Pennsylvania, USA. Rohm & Haas Co. report No. 95RC-187..

    Sames, J.L., Yu, R.Y. & McCarthy, K.L. (1986) Karathane: In-vivo
    cytogenetic study in mice. Unpublished report No. 85R-235 from Rohm &
    Haas Co., Toxicology Department, Spring House, Pennsylvania, USA.
    Submitted to WHO by Rohm & Haas Co., Spring House, Pennsylvania, USA.

    Solomon, H.M. (1991) Karathane fungicide/miticide: Ocular toxicity in
    dogs. Unpublished report No. 91M-663 from Rohm & Haas Co., Toxicology
    Department, Spring House, Pennsylvania, USA. Submitted to WHO by Rohm
    & Haas Co., Spring House, Pennsylvania, USA.

    Solomon, H.M. & Lutz, M.F. (1989) Dinocap: Oral (gavage) developmental
    toxicity study in rats. Unpublished report No. 88R-236 from Rohm &
    Haas Co., Toxicology Department, Spring House, Pennsylvania, USA.
    Submitted to WHO by Rohm & Haas Co., Spring House, Pennsylvania, USA.

    Wanner, F.J. & Hagan, J.V. (1991) Karathane FN-57: Acute inhalation
    study in rats. Unpublished report No. 91R-002 from Rohm & Haas Co.,
    Toxicology Department, Spring House, Pennsylvania, USA. Submitted to
    WHO by Rohm & Haas Co., Spring House, Pennsylvania, USA.

    Weatherholz, W.D., Kundzins, W., Alsaker, R.A., Voelker, R.W. &
    Peterson, K. (1979) 104-Week toxicity study in dogs: Karathane
    technical. Unpublished report from Hazleton Laboratories America,
    Inc., Vienna, Virginia, USA. Submitted to WHO by Rohm & Haas Co.,
    Spring House, Pennsylvania, USA. Rohm & Haas Co. report 79RC-45.

    Wester, R.W. & Maibach, H.I. (1985) Karathane: Percutaneous absorption
    of 14C Karathane (14C-DNHPC) in rhesus monkey following single
    topical application. Unpublished report No. 85RC-049 from Rohm & Haas
    Co., Toxicology Department, Spring House, Pennsylvania, USA. Submitted
    to WHO by Rohm & Haas Co., Spring House, Pennsylvania, USA.

    WHO (1996)  The WHO Recommended Classification of Pesticides by 
     Hazard and Guidelines to Classification 1996-1997 (WHO/PCS/96.3),
    International Programme on Chemical Safety, Geneva.
    


    See Also:
       Toxicological Abbreviations
       Dinocap (FAO/PL:1969/M/17/1)
       Dinocap (WHO Pesticide Residues Series 4)
       Dinocap (Pesticide residues in food: 1989 evaluations Part II Toxicology)