IPCS INCHEM Home


    AMITRAZ     

    First draft prepared by
    J.-J. Larsen
    Institute of Food Safety and Toxicology
    Danish Veterinary and Food Administration 
    Ministry of Food, Agriculture and fisheries, Sœborg, Denmark

         Explanation
         Evaluation for acceptable daily intake
              Biochemical aspects
                   Absorption, distribution, and excretion
                   Biotransformation
                   Effects on enzymes and other biochemical parameters
              Toxicological studies
                   Acute toxicity
                   Short-term studies of toxicity
                   Long-term studies of toxicity and carcinogenicity
                   Genotoxicity
                   Reproductive toxicity
                        Multigeneration reproductive toxicity
                        Developmental toxicity
                   Special studies
                        Effects on the thymus and hormone concentrations
                        Effects on the estrus cycle and hormone
                             concentrations
                        Mechanism of action
                   Studies of metabolites 
                        Acute toxicity 
                        Short-term toxicity
                        Genotoxicity
         Observations in humans
         Comments
         Toxicological evaluation
         References

    Explanation

         Amitraz [ N-methylbis(2,4-xylyliminomethyl)amine] was evaluated
    by the Joint Meeting in 1980, 1984, and 1990 (Annex 1, references 34,
    42, and 59). A toxicological monograph was prepared in 1980 (Annex I,
    reference 35) and a monograph addendum was prepared in 1984 (Annex I,
    reference 43). A temporary ADI of 0-0.0005 mg/kg bw was allocated in
    1980, and an ADI of 0-0.003 mg/kg bw was established in 1984. The 1990
    Meeting reviewed the compound at the request of a WHO Member State
    which asked for reconsideration of the ADI in view of the acute nature
    of the reported toxicological effects and potential dietary exposure.
    Since that Meeting, studies have become available on absorption,
    distribution, excretion, biotransformation, effects on liver enzymes
    and the oestrus cycle, long-term toxicity, dermal and ocular
    irritation, and dermal sensitization.

         The compound was reviewed by the present Meeting within the CCPR
    periodic review programme. This monograph summarizes the new data and
    relevant data from the previous monograph and monograph addendum on
    this pesticide (Annex 1, references 35 and 43).

    Evaluation for Acceptable Daily Intake

    1.  Biochemical aspects

     (a)  Absorption, distribution, and excretion 

         Male and female B6C3F1 mice, either untreated or pre-dosed for
    three weeks with 400 ppm amitraz in the diet, were given a single oral
    intubation of 0 or 10 mg/kg bw 14C-amitraz (specific activity, 9
    mCi/g). Urine and faeces were collected for 96 h after dosing, after
    which the mice were killed for tissue analysis. During the first 24 h,
    86% of the radiolabelled dose was excreted and 62% was present in the
    urine. It was completely excreted by 96 h, with 73% in the urine. The
    route and rate of excretion were similar in each sex and in untreated
    and pre-dosed mice. The highest concentrations of radiolabel were
    found in the liver, adrenals, and eyes and the least in bone and
    muscle (Campbell & Needham, 1983).

         In rats given oral doses of 14C-labelled amitraz (specific
    activity unspecified), 53-85% was recovered in urine within three
    days, with 17-47% in faeces and < 0.1% in expired air. Peak plasma
    concentrations were found about l h after dosing. The highest
    concentrations of residue were found in the liver, kidney, and muscle
    within 2 h, diminishing thereafter (Lewis, 1971).

         During repeated oral dosing of groups of one male and one female
    rat with 4 mg/kg bw per day 14C-labelled amitraz (specific activity
    unspecified) for 28 days, the highest concentrations of residue were
    found in the thyroid and adrenal glands, liver, kidney, skin, spleen,
    and eyes. After dosing had ceased, a considerable decrease in
    concentration was observed. The radiolabel in blood was bound mainly
    to cells. Seven days after the final dose, small but significant
    concentrations of residue were detected in liver, spleen, skin, and
    adrenals (Somerville, 1973). 

         Three male and three female Sprague-Dawley rats were dosed orally
    with 10 mg/kg bw 14C-amitraz (specific activity, 7.8 mCi/g) dissolved
    in corn oil, and urine and faeces were collected over 96 h, after
    which the rats were killed and dissected for tissue analysis. Over the
    first 24 h, 82% of the dose was excreted, mainly in the urine; over 96
    h, 94% of the dose was recovered, with 82% in urine and 12% in faeces.
    The concentrations of residue were highest (0.4-0.5%) in liver
    (Campbell & Needham, 1981). 

         Ten male rats were treated dermally with 1 mg 14C-amitraz
    (specific activity, 253 mCi/g), formulated as MitacTM wettable
    powder (technical product), diluted with water to a concentration
    approximately 20 times the maximum recommended spray dilution. After

    10 h, the treated skin was washed with soap and water. Half of the
    rats were killed 24 h after treatment, and the remainder were
    maintained in metabolism cages for five days. Urine and faeces were
    collected at 24-h intervals after the beginning of treatment and were
    radioassayed with gastrointestinal tracts, carcasses, treatment sites,
    dressings, and washings. Washing of the skin 10 h after treatment
    removed 92% of the applied amitraz, while approximately 3% remained on
    the skin by 24 h; this percent fell to 1.4% after five days. The small
    amount of amitraz absorbed over five days (approximately 3-8% of that
    applied) was excreted in the urine and faeces. Excretion by this route
    was 90% complete 96 h after treatment. Very low concentrations of
    residue were detected in the carcass (0.06%) and gastrointestinal
    tract (0.01%) after five days (Challis, 1990).

         Male Crl:CD(SD)BR rats  (n = 112) were treated dermally with
    0.01, 0.1, 1, or 10 mg per animal 14C-amitraz (specific activity, 281
    mCi/g), formulated as diluted MitacTM wettable powder (technical
    product) for 0.5, 1, 2, 4, or 10 h, and radiolabel was measured in
    urine, faeces, residual carcass, and the application site. The results
    for animals at 0.01 mg were not reported because of poor, inconsistent
    recovery of radiolabel. The mean total recovery of radiolabel was 104%
    at 0.1 mg, 100% at 1 mg, and 107% at 10 mg. The distribution of
    radiolabel was similar at the three doses. Most of the applied dose
    was recovered in application site washings (61-99%) and dressing
    washings (10-31%). The concentration of radiolabel retained at the
    application site peaked 4 h after application. When the site was
    washed, 10 h after application, the concentration of radiolabel
    retained at the application site fell to < 3% by 24 h and to 0.06% by
    120 h in all three groups. The extent absorbed (percent applied dose)
    fell with increasing dose, implying that absorption was nearing
    saturation at 0.1 mg/animal. Maximum absorption (12% at 0.1 mg/animal)
    was achieved at 120 h after a 10-h exposure. The concentrations of
    radiolabelled amitraz and its metabolites in blood were low at all
    sacrifices and at all doses. The absorbed radiolabel was eliminated
    primarily in urine, with minor quantities in faeces. The
    concentrations of radiolabel in residual carcass were low (maximum, 2%
    at 24 h in animals receiving 10 mg) at all three doses and all
    sacrifices. By 120 h after application, the concentration in residual
    carcass was below the limit of detection in all animals (Stewart,
    1993). 

         In separate studies, groups of two male and two female beagle
    dogs were dosed orally (4 mg/kg bw by capsule) or dermally (20-21 mg
    on an area of 400-500 cm2) with 14C-amitraz (specific activity,
    8.6 mCi/g). Peak blood concentrations of radiolabel were observed
    during the first 8 h after oral administration. About 80% of the oral
    dose was excreted within the first 24 h and 100% within 72 h,
    preferentially in the urine. After dermal treatment, peak blood
    concentrations occurred within 24-72 h, and only 25-40% was recovered
    in urine and faeces over a 10-day collection period, demonstrating the
    poor dermal absorption of amitraz (Hornish & Nappier, 1983).

         Two male and two female pigs received a single topical dose of
    18 mg 14C-amitraz (chemical purity, 98.6%; specific activity,
    9 mCi/g) on a shaven dorsal area. The treated area was subjected to a
    mild washing procedure 12 h after application, which removed 60-80% of
    the applied radiolabel. Over 60 h after dosing, 7% of the applied
    radiolabel was detected in excreta. Less than 0.05 ppm residues were
    found in most tissues (Campbell & Needham, 1984a). 

         One male and one female baboon received a single oral dose of 10
    mg/kg bw 14C-amitraz (specific activity, 2 mCi/g), and urine and
    faeces were collected for 72 h, after which time the animals were
    killed. Within the first 24 h, 75-83% of the dose was excreted, with
    58-76% in the urine. The concentrations of residues in tissue residues
    were similar in animals of each sex: highest in liver and eyes and
    lowest in muscle (Campbell & Needham, 1984b).

         Two male volunteers received a single oral dose of 0.25 mg/kg bw
    14C-amitraz; urine was collected for 72 h after dosing, and the
    radiolabel was determined. Urinary excretion was 58-68% of the dose
    within the first 24 h and 77-87% within 72 h. Within the first 4 h,
    dry mouth, drowsiness, disorientation, slurred speech,
    light-headedness, and decrease in pulse rate and blood pressure were
    recorded. One person fell asleep 2 h after treatment and subsequently
    complained of nausea and vivid dreams. The urinary metabolites were
    the same as those found in the other species examined (Campbell &
    Needham, 1984c).

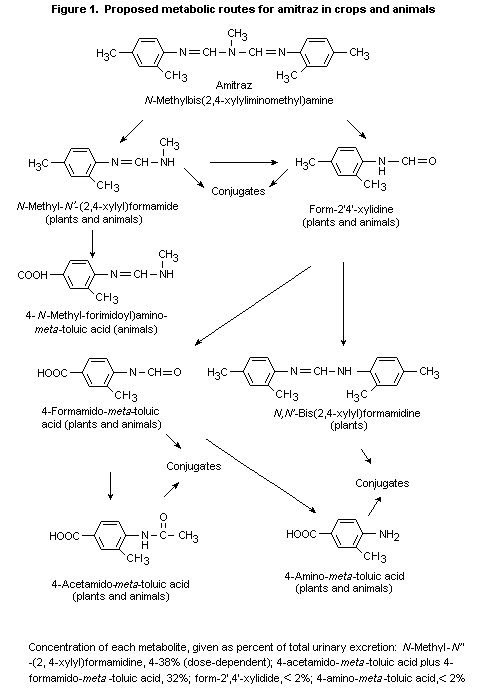
     (b)  Biotransformation

         In rats dosed orally with 14C-labelled amitraz (specific
    activity unspecified), at least four metabolites were found in urine
    and six in faeces, the major component of which was
     N-methyl- N'-(2,4-xylyl)formamidine (Lewis, 1971).

         After administration of a single oral dose of 14C-amitraz
    (specific activity, 9.0 mCi/g; radiochemical purity, > 95%) to groups
    of two male and two female Sprague-Dawley CD rats at 1, 10, 50, or
    100 mg/kg bw, the compound was rapidly excreted, effectively
    metabolized, and completely degraded, with no apparent sex difference.
    At all doses, 4-formamido- meta-toluic acid and
    4-acetamido- meta-toluic acid were the major metabolites (see Figure
    1), which together accounted for up to 32% of the metabolites excreted
    in the urine. Excretion of the hydrolysis product,
     N-methyl- N'-(2,4-xylyl)formamidine, was dose-dependent: about 4%
    of the dose at 1 mg/kg bw and 23-38% at 100 mg/kg bw. Minor
    metabolites identified accounted for 2% of the total excretion and
    included form-2',4'-xylidide and 4-amino- meta-toluic acid (Campbell
    & Needham, 1984d).

    FIGURE 1

         In the study of Challis (1990), described above, the metabolic
    profile of rats treated dermally was similar to that of rats treated
    orally.

         In the study of Hornish & Nappier (1983), described above, the
    metabolism of amitraz was essentially the same after oral and dermal
    administration. 4-Formamido- meta-toluic acid was the predominant
    residue in both blood and urine. The parent compound and the first
    hydrolysis products,  N-methyl- N'-(2,4-xylyl)formamidine and
    form-2',4'-xylidide, were not observed at measurable concentrations in
    either blood or urine. 

         One cow received 0.5 mg/kg bw per day 14C-amitraz (specific
    activity, 4.2 mCi/g; radiochemical purity, > 98.8%) by capsule twice
    daily for four days. All milk was collected, and samples of urine were
    taken. The cow was killed 17 h after the final dose. The urinary
    metabolites corresponded to 4-acetamido- meta-toluic acid and
    4-formamido- meta-toluic acid, which were converted to
    4-amino- meta-toluic acid by acid hydrolysis. The total residue in
    milk accounted for only 0.2% of the dose. The greatest concentration
    of residue (0.07 ppm) was found after the final dose. The residue was
    extracted with methanol (recovery, 90%), and the metabolites present
    identified by co-chromatography as 4-acetamido- meta-toluic acid,
    4-formamido- meta-toluic acid, and 4-amino- meta-toluic acid (23%);
    form-2',4'-xylidide (9%); polar material that was converted to
    4-amino- meta-toluic acid by acid hydrolysis (34%); and low-polarity
    material (24%). The latter broke down readily to form-2',4'-xylidide
    under neutral or basic conditions; it was not present in acetonitrile
    extracts of whole milk and was considered to be an artefact produced
    by the methanol Soxhlet extraction of the milk. 2,4-Dimethylaniline
    was not observed. The edible tissue with the highest concentration of
    residue was the liver (3.7 ppm). 

         Methanol Soxhlet extraction released about 60% of the residue,
    and the remainder was solubilized after enzymic digestion and acid
    hydrolysis. The residues were identified by co-chromatography as
    4-acetamido- meta-toluic acid and 4-formamido- meta-toluic acid
    (14%), 4-amino- meta-toluic acid (15%), form-2',4'-xylidide (10%),
    and polar material (10%) which on acid hydrolysis was converted to
    4-amino- meta-toluic acid and additional low-polarity material. Other
    polar material (29% of the residue) was not amenable to
    chromatography. 2,4-Dimethylaniline was not observed. The low-polarity
    material (14%) broke down on neutral or basic thin-layer
    chromatography to a range of compounds, suggesting that it was a
    product of condensation between 4-amino- meta-toluic acid and
    compounds released from acid-labile conjugates. When the
    non-methanol-extractable residue was fed to a dog, analysis of urine
    gave similar results to those after enzymic digestion (Phillips et
    al., 1987). 

         Six laying hens  (Gallus gallus domesticus) were each dosed
    orally with 24.5 mg 14C-amitraz (specific activity, 0.14 mCi/g;
    radiochemical purity, > 99%) per day for four days, providing a dose
    2200 times greater than the expected daily exposure of birds fed
    cotton-meal derived from amitraz-treated plants. The hens were killed
    4 or 12 h after the final dose, and the concentrations and nature of
    radioactive residues in tissues were determined. The radiolabel was
    rapidly excreted, with 68% in 0-24-h excreta. The main route of
    metabolism was via 4-amino- meta-toluic acid, since 75% of the
    metabolites extracted from the excreta could be accounted for as
    either this metabolite or its acid-labile conjugates. The highest
    concentrations of tissue residues were found in the liver and kidney
    (17 and 25 mg/kg respectively) 4 h after the fourth dose, but these
    concentrations had fallen to 12 and 10 mg/kg, respectively, by 12 h
    after dosing. The major metabolite detected in the liver was
    4-amino- meta-toluic acid, present as both free acid and labile
    conjugates, which represented 55% of the total residue.
     N-Methyl- N'-(2,4-xylyl)formamidine (4%), form-2',4'-xylidide (4%)
    and 2,4-dimethylaniline (2%) were also present. A mixture of at least
    seven highly polar compounds, believed to be mono- and di-acids
    similar to those previously seen in rats, was a further substantial
    residue (27%). Unextractable fibre-bound material represented 2% of
    the residue. The concentrations in fat, muscle, and skin represented
    0.6-2.7 mg/kg 4 and 12 h after the final dose. In fat, the residues
    consisted of form-2',4'-xylidide (42%),
     N-methyl- N'-(2,4-xylyl)formamidine (24%), unchanged amitraz (21%),
    2,4-dimethylaniline (3%), and 4-amino- meta-toluic acid (3%). In
    muscle, 81% of the residues were identified as 4-amino- meta-toluic
    acid or its acid-labile conjugates; form-2',4'-xylidide was present as
    7% of the residue. 

         The concentrations of amitraz residues in eggs, collected daily,
    were 0.28-0.46 mg/kg throughout the study and did not increase over
    the four days of dosing. The residue concentrations in the yolks rose
    from 0.1 to 1.4 mg/kg during the study;
     N-methyl- N'-(2,4-xylyl)formamidine (54%) and 4-amino- meta-toluic
    acid (34%) were the major metabolites. 4-Amino- meta-toluic acid
    accounted for 91% of the residue in the egg white as both free acid
    and labile conjugates, and form-2',4'-xylidide accounted for 4% of the
    residue (Needham & Hemmings, 1988).

         Separately reported data on the metabolism of amitraz 
    in various species were compared. After a single oral dose of 
    14C-amitraz (specific activity, 9 mCi/g; radiochemical 
    purity, > 95%) to groups of four male and four female mice, 
    three male and three female rats, one male and one female 
    baboon, and two men, the administered radiolabel was rapidly excreted.
    In all species examined, urine was the major route of excretion,
    accounting for 65-84% of the dose (55-76% within the first 24 h).
    Analysis of urine obtained from volunteers dosed with 14C-amitraz
    indicated that the metabolism of amitraz was qualitatively similar 
    to that in the other species. The major metabolites were
    4-formamido- meta-toluic acid, 4-acetamido- meta-toluic acid and

     N-methyl- N'-(2,4-xylyl)formamidine. In addition, 40-60% of the
    metabolites excreted in urine was accounted for by a polar fraction
    containing conjugates of 4-formamido- meta-toluic acid and
    4-acetamido- meta-toluic acid. The minor metabolites included
    4-amino- meta-toluic acid and form-2',4'-xylidide. Excretion of
     N-methyl- N'-(2,4-xylyl)formamidine was dose-dependent. The
    metabolites identified in the volunteers were
    4-formamido- meta-toluic acid plus 4-acetamido- meta-toluic acid
    (27% of the total radiolabel in urine),
     N-methyl- N'-(2,4-xylyl)formamidine (6%), 4-amino- meta-toluic
    acid (4%), form-2',4'-xylidide (4 %), the product of acid hydrolysis
    of  N-methyl- N'-(2,4-xylyl)formamidine and form-2',4'-xylidide
    (1%), and polar material (57%). In both rats and mice, increasing the
    dose of amitraz from 1 to 100 mg/kg bw increased the excretion of
     N-methyl- N'-(2,4-xylyl)formamidine from approximately 5 to 30% of
    the total excretion. Prior dosing of five male and five female mice
    with amitraz in the diet at 100 ppm for three weeks, followed by
    400 ppm for a further three weeks, had no effect on the metabolism of
    a single oral dose of 14C-amitraz (Campbell & Needham, 1984e).

     (c)  Effects on enzymes and other biochemical parameters

         Groups of 18 male and 18 female B6C3F1 mice were dosed orally
    with corn oil or amitraz at 100 mg/kg bw per day for two days and,
    because of toxic symptoms, at 50 mg/kg bw per day for the following
    two days. The animals were then killed, and the livers were assayed
    for the activity of microsomal oxidases. A significant increase in
    liver weight and in the activity of cytochrome b5 were recorded. The
    effect did not appear to be related to increased activity of the
    hepatic mixed-function oxidase system, since no significant increase
    was seen in the activities of cytochrome P450, aniline hydroxylase, or
     para-nitroanisole demethylase or in the concentration of microsomal
    protein (Needham, 1984).


    2.  Toxicological studies

     (a)  Acute toxicity

         The acute toxicity of amitraz and its metabolites (purity
    unspecified) has been investigated in several species (Table 1). The
    toxic signs after oral administration of amitraz to mice and rats were
    hyperexcitability, ataxia, tremor, and ptosis. Rats had intestinal
    irritation and bladder distension. The lowest effective doses were 400
    mg/kg bw in mice and 200 mg/kg bw in rats. Dermal application of 1600
    mg/kg bw to rats had no local or systemic effect. Guinea-pigs were
    hyperexcitable after receiving 400 mg/kg bw or more. Rabbits had
    central nervous system depression, decreased rectal temperature, pulse
    rate, and respiration, nasal discharge, and rales after receiving 100
    mg/kg bw, with complete recovery by 48 h. The reactions of dogs to
    administration of 100 mg/kg bw and, to a lesser extent, 20 mg/kg bw,
    were central nervous system depression, ataxia, muscular weakness,
    muscular spasm, uncontrolled vocal spasm and micturition, and

    decreased rectal temperature and pulse rate. Haemoconcentration and
    increased blood sugar, urea nitrogen, and potassion concentrations
    were also seen. No specific pathological lesions were induced. The
    lowest dose, 4 mg/kg bw, affected temperature and pulse rate only
    slightly . The profile of toxic reactions was consistent with
    depression of hypothalamic function. All of the effects were
    reversible.


    Table 1. Acute toxicity of amitraz 

                                                                             

    Species      Route              LD50 or LC50   Reference
                                    (mg/kg bw or   
                                    mg/L air)
                                                                             

    Mouse        Oral               > 1600         Patton & Sutton (1971) 
    Rat          Oral               600            Patton & Sutton (1971); 
                                                   Shaw (1973a)
    Rat          Dermal             >1600          Patton & Sutton (1971)
    Rat          Intraperitoneal    800            Shaw (1971, 1973a) 
    Rat          Inhalation (6 h)   65             Berczy et al. (1972)
    Guinea-pig   Oral               400-800        Patton & Sutton (1971)
    Rabbit       Oral               > 100          Patton & Sutton (1971)
    Rabbit       Dermal             > 200          Sutton & Williams (1972)
    Dog          Oral               100            Patton & Sutton (1971)
    Baboon       Oral               100-250        Patton (1973)
                                                                             


         The dermal irritation potential of amitraz (purity, 99%) was
    studied in six New Zealand white rabbits weighing 1.9-2.5 kg.
    Approximately 24 h after hair had been removed from the dorso-lumbar
    region, 0.5 g of technical-grade amitraz was applied under a 2.5-cm
    gauze pad moistened with 0.5 ml distilled water, and each treatment
    site was occluded with an elastic adhesive dressing for 4 h. At the
    end of the exposure period, the dressing was removed and the treatment
    site was washed with water. The treated skin was examined on days 1,
    2, 3, and 4 after treatment. There was no response to treatment
    (Liggett & Smith, 1987a).

         The ocular irritation potential of amitraz (purity unspecified)
    was studied in six New Zealand white rabbits weighing 2.1-2.8 kg. The
    eyes of each animal were examined before instillation of 45 mg (0.1 ml
    crystalline powder) of technical-grade amitraz (purity, 98.4%) into
    one eye. Both eyes were examined 1 h before and 1, 2, 3, 4, and 7 days
    after instillation. Only minimal or slight conjunctival irritation was
    observed (Liggett & Smith, 1987b).

         Groups of 12 guinea-pigs weighing 300-350 g were treated daily
    with 0.1 ml of acetone or 10% amitraz (purity unspecified) or with 1%
    dinitrochlorobenzene on the outer surface of each ear for three days.
    One week after the start of treatment, the backs and flanks were
    clipped and treated with challenge doses of 0.2 ml acetone, amitraz
    (10%), or dinitrochlorobenzene (0.25%). The degree of erythema was
    assessed after 24 h. Sensitizing activity was observed after treatment
    with the positive control but not with amitraz (Sutton, 1971).

         The dermal sensitizing effect of amitraz was studied in the
    Buehler test. During induction, five male and five female guinea-pigs
    received 500 mg technical-grade amitraz (purity, 99%) on the anterior
    right flank for 6 h under a dry compress on days 1, 8, and 15. A dry
    compress alone was applied on the anterior left flank. After a
    two-week rest period, each animal received a challenge of 500 mg
    technical-grade amitraz to the right flank and a dry compress alone to
    the left flank. The cutaneous reactions were evaluated 24 and 48 h
    after challenge. The animals were then sacrificed, and cutaneous
    samples were taken from the challenge site in all animals. No clinical
    signs or deaths related to treatment were observed, and no cutaneous
    reactions were found 24 and 48 h after the challenge with amitraz
    (Clouzeau, 1992).

         Delayed contact hypersensivity in response to amitraz (purity,
    98.4%) was tested in the maximization test described by Magnusson and
    Kligman. After random allocation of 20 female guinea-pigs to a control
    group and 20 to a test group, the animals were induced by intradermal
    injection of 5% w/w amitraz in Alembicol D (a coconut oil) into a
    4 × 6-cm clipped area of the dorsal skin on the scapular region. One
    week after the injections, the same area was clipped again and given a
    topical application of 15 or 30% w/w amitraz in Alembicol D on a
    2 × 4-cm patch saturated with the test solution, which was placed on
    the skin, covered with impermeable plastic adhesive tape, secured by
    an elastic adhesive bandage, and left in place for 48 h. The test and
    control animals were challenged topically as described above, two
    weeks after the induction, with 15 or 30% w/w technical-grade amitraz
    in Alembicol D. The challenge sites were evaluated 24, 48, and 72 h
    after removal of the patches, and an arbitrary scale of 0-4 was used
    to score the reactions. The dermal reactions observed in the test
    animals were more marked and persistent than those seen in the
    controls (Kynoch & Parcell, 1988). 

     (b)  Short-term toxicity

     Mice

         Groups of 20 male and 20 female B6C3F1 mice were fed diets
    containing 0, 100, 200, 400, 600, or 800 ppm amitraz (purity, 98.3%),
    equal to 0, 13, 26, 53, 96, and 110 mg/kg bw per day for males and 0,
    17, 35, 68, 110, and 150 mg/kg bw per day for females, for 13 weeks.
    Clinical signs, body weight, and food consumption were recorded
    throughout the study. All mice were killed at the end of treatment and
    examined grossly but not histopathologically. The only overt sign of

    reaction to treatment was an increase in aggressive behaviour, as
    evidenced by fighting and resultant cutaneous lesions, among males
    treated at doses > 400 ppm. The overall body-weight gain was
    statistically significant lower in the males (40%) treated at > 400
    ppm and in females (34%) at > 200 ppm. Food consumption did not
    differ statistically significantly between the control and treated
    groups. The NOAEL was 100 ppm, equal to 17 mg/kg bw per day, on the
    basis of the overall reduced body-weight gain of females (Colley et
    al., 1981).

     Rats

         Groups of 21 male and 21 female Ash-Wistar rats were given
    amitraz (purity unspecified) suspended in 0.4% Cellosize solution by
    oral intubation at a dose of 0, 3, or 12 mg/kg bw per day for 90 days.
    They were then killed either immediately or after a three-week
    recovery. Treatment of rats with 50 mg/kg bw per day was discontinued
    after seven days because of depressed growth and behavioural
    disturbances, and treatment with 200 mg/kg bw per day was discontinued
    after seven days because of irritability and debilitation. Body
    weights were recorded three times per week. Haematological
    examinations were made on some control rats and on some rats receiving
    12 mg/kg bw per day at 4, 8, and 12 weeks. At autopsy, blood was
    withdrawn from the heart to estimate plasma alkaline phosphatase
    activity, bilirubin, aspartate and alanine aminotransferase activity,
    and sodium and potassium concentrations. Organs were weighed and
    prepared for microscopic examination. Significant reductions were seen
    in the overall body-weight gain (8%) and absolute (8%) and relative
    weights (6%) of the liver of male rats receiving 12 mg/kg bw per day.
    The NOAEL was 3 mg/kg bw per day on the basis of these last effects
    (Sutton & Williams, 1971).

         Groups of 12 rats (strain not given) were exposed daily for 6 h
    to dusts of amitraz (purity unspecified) at a concentration of 0,
    0.01, 0.1, or 1 mg/L air, on 14 days over three weeks. During exposure
    to 0.1 mg/L, signs of mild dyspnoea, slight eye irritation, and
    hyposensitivity to noise were recorded. After termination of exposure,
    the rats were hypersensitive to touch and became aggressive. Exposure
    to 1 mg/L elicited signs similar to but more severe than those seen in
    the previous group. In addition, ataxia, increased nasal secretion,
    polyuria, body tremors, and coma were observed in the exposed rats.
    Consumption of food and water was reduced, and there was body-weight
    loss. Reductions in packed cell volume, haemoglobin, red cells, and
    plasma protein concentrations in blood may have been related to
    treatment. The body tremors, aggressive behaviour, and coma indicate
    that the central nervous system was affected (Berczy et al., 1973).

     Rabbits

         Groups of four to eight male and female New Zealand white rabbits
    weighing 2.5-4.5 kg (the health status of which must be regarded as
    suspect due to general infection) were treated on the intact skin of
    the back (without occlusion) with amitraz (purity unspecified) in

    acetone at a dose of 0, 50, or 200 mg/kg bw per day for a total of 15
    doses over 21 days. Body weight, food consumption, heart rate, and
    rectal temperature were determined. Haematological and blood
    biochemical parameters and organ weights were measured, and
    histopathological examinations were carried out. A transient sedative
    effect and local skin reactions were seen in animals of each sex at 50
    and 200 mg/kg bw per day. Body weights and food consumption were
    adversely affected, and some deaths occurred that were possibly
    related to treatment. Variable tubular degeneration was seen in the
    testes, which were underweight. At 50 mg/kg bw per day, body weights
    and food consumption were less adversely affected than at the high
    dose, and the death of only one male was considered related to
    treatment (Sutton, 1973a). 

     Dogs

         Groups of two male and two female beagles received amitraz
    (purity unspecified) in capsules at a dose of 0, 0.25, 1, or 4 mg/kg
    bw per day for 90 days. The animals were examined clinically before
    dosing began and during weeks 2, 4, 8, and 13 of dosing. Food
    consumption was recorded daily and body weights weekly.
    Haematological, blood biochemical, and urinary parameters were
    measured before and at intervals during treatment. During week 13 of
    dosing, control animals and those at 4 mg/kg bw per day were placed in
    metabolism cages, and their water intake and urine excretion over 24 h
    were recorded. The faeces were tested daily for occult blood during
    the first week of dosing. At the end of treatment, the animals were
    sacrificed, and several organs were weighed and prepared for
    histological examination.

         On the three first days of dosing, all four animals at 4 mg/kg bw
    per day showed central nervous system depression, vomiting, ataxia,
    and reduced rectal temperature and pulse rate, which recurred
    consistently within 6 h. Hyperglycaemia and occasional glycosuria were
    also induced. The livers were slightly enlarged and showed low-grade
    microscopic changes. The dose of 1 mg/kg bw per day had similar but
    less severe effects. At 0.25 mg/kg bw per day, only minor changes were
    seen, although central nervous system depression was seen in one dog
    on one occasion 3 h after dosing during week 8 of treatment. The NOAEL
    was 0.25 mg/kg bw per day on the basis of central nervous system
    depression and reduced rectal temperature and pulse rate (Patton &
    Williams, 1971).

         Groups of four male and four female beagles were given 0, 0.1,
    0.25, or 1 mg/kg bw per day amitraz (purity unspecified) in gelatine
    capsules for two years. They were examined clinically before and
    immediately after dosing on the first two days and again during weeks
    4, 13, 26, 39, 52, 78, and 102. Heart rate and rectal temperature were
    monitored serially for up to 24 h after dosing on day l and during
    weeks 39, 52, 79, and 103. Signs of toxicity and faecal appearance
    were recorded daily  and body weights weekly. Haematological, blood
    biochemical, and urinary parameters were measured before dosing and
    during weeks 4, 13, 26, 52, 78, and 102. In addition, serial blood

    samples were obtained during weeks 40 and 53 for estimating blood
    sugar and during weeks 91 to 96 for estimating methaemoglobin. The
    animals were sacrificed and examined macroscopically on the day after
    the final dose, and their organs were weighed and prepared for
    histopathological examination. 

         All eight animals given 1 mg/kg bw per day showed signs of slight
    central nervous system depression 3 h after dosing on days 1 and 2,
    but all appeared normal by the following morning. On both days, one
    dog had a slightly subnormal temperature (38.3°C) at 3 h, which had
    returned to normal (38.7°C) by 24 h. Subsequently, all of the animals
    in this group appeared clinically normal, apart from one bitch that
    was slightly hypothermic 3 h after dosing during weeks 52 and 79. The
    NOAEL was 0.25 mg/kg bw per day on the basis of central nervous system
    depression (Morgan et al., 1973).

     (c)  Long-term studies of toxicity and carcinogenicity

     Mice

         Groups of 50 male and 50 female CFLP mice were fed diets
    containing 0, 25, 100, or 400 ppm amitraz (purity unspecified),
    equivalent to 3, 8, 15, and 60 mg/kg bw per day (wrongly given as 25,
    100, and 400 mg/kg bw per day in reference 34, Annex 1), for 80 weeks.
    Animals at 100 or 400 ppm gained less weight than the controls over
    the first 40 weeks, whereas those at 25 ppm gained more weight than
    the controls from week 10 onwards and showed a 20% greater body-weight
    gain at the end of the experiment. Calculated over 80 weeks, food
    consumption was increased for male mice at 100 and 400 ppm and female
    mice at 400 ppm, and decreased for males at 25 and 100 ppm. The
    survival rate was similar in all groups. An increased incidence of
    lymphoreticular tumours was observed in female mice at 400 ppm (49%
    compared with 23% in controls). A slight, not statistically
    significant increase in the incidence of all types of liver-cell
    tumour was found in animals of each sex fed 400 ppm. No other
    pathological finding related to treatment was reported. The NOAEL for
    carcinogenicity was 100 ppm, equivalent to 15 mg/kg bw per day, on the
    basis of an increased incidence of lymphoreticular tumours in females
    at 400 ppm (Burnett et al, 1976; Kakuk, 1979).

         Groups of 75 male and 75 female B6C3F1 hybrid mice, 33 days old,
    were given diets containing 25, 100, or 400 ppm amitraz (purity,
    97.9%), equal to 2.3, 9.6, and 45 mg/kg bw per day for males and 2.6,
    11, and 50 mg/kg bw per day for females, for 104 weeks. The untreated
    controls consisted of 100 male and 100 female mice. Clinical signs,
    food consumption, and body weight were recorded throughout the study.
    Survivors were killed at the end of the dosing period and all animals
    were subjected to a complete gross autopsy. All tissues were collected
    from all animals and preserved for future examination.
    Histopathological examination was performed on all tissues from the
    high-dose group and controls, and on the liver, pancreas, spleen,
    lung, stomach, pituitary, thyroid, adrenals, ovaries, uterus, sternum,

    and all abnormal tissues found grossly from animals at the low and
    intermediate doses. 

         Males at 400 ppm were hyperactive and behaved aggressively. The
    incidence of cutaneous ulceration and inflammation of the perigenital
    and perianal areas was greater in mice at 100 and 400 ppm than in
    those at 25 ppm or in controls, and the incidence of urogenital
    swelling was greater in all treated mice than in controls. The
    incidences of gross adverse effects in treated females were comparable
    to the control incidences. There was clearly increased mortality of
    males at 400 ppm (20/75) and of males and females combined (37/150).
    Mean body-weight gain was reduced in mice at 400 ppm (by 30-50%)
    throughout the study, with a significant decrease in females at 100
    ppm over the last 74 weeks of the study. Food consumption was
    marginally reduced initially in animals at 100 and 400 ppm but was
    comparable to that of controls from week 25 to termination. Increased
    liver and lymph node involvement was seen in males and females at 400
    ppm, and the incidence of preputial gland enlargement in males at 400
    ppm was greater than that in controls (20/75 vs 12/100). The
    prominence of the limiting ridge of the stomach was greater than in
    controls for females at all doses and for males at 100 and 400 ppm.
    Decreased production of myeloid elements accompanied by an increase in
    erythroid elements resulted in a significant decrease in the
    myeloid:erythroid ratio for males at 400 ppm and females at 100 or
    400 ppm. The incidences of spleen haematopoiesis in males and of
    stomach focal hyperkeratosis in males and females at all three doses
    were greater than that in controls. There was apparent liver
    involvement in females, with an increased incidence of hepatocellular
    carcinoma at 400 ppm (15/75 vs 2/100 hepatocarcinoma; 16/75 vs 4/100
    hepatocellular adenoma). This was accompanied by a dose-related
    increase in the incidence of hyperplastic nodules and telangiectatic
    and basophilic foci of the liver in animals at 100 and 400 ppm. Males
    at 400 ppm also had an apparent increase in the incidence of
    hyperplastic nodules and telangiectatic and basophilic foci of the
    liver. The NOAEL for carcinogenicity was 100 ppm, equal to 11 mg/kg bw
    per day, on the basis of hepatocellular carcinoma in females at
    400 ppm. This dose was considered to be greater than the conventional
    maximum tolerated dose. The NOAEL for long-term toxicity was 25 ppm,
    equal to 2.3 mg/kg bw per day, on the basis of general toxicity
    (Colley et al., 1983).

     Rats

         Groups of 40 male and 40 female Ash-Wistar rats received amitraz
    (purity, 97.8%) at a dietary concentration of 0, 15, 50, or 200 ppm
    (equal to 0, 0.77, 2.5, or 10 mg/kg bw per day in males and 0, 0.97,
    3.1, or 13 mg/kg bw per day in females) for two years. Body weights
    were measured twice per week during the period of maximal growth and
    later weekly. Food consumption was determined weekly during this
    growth period and later monthly. Haemato-logical, biochemical, and
    urinary analysis were performed during and at the end of the study,
    and organs were weighed and examined grossly and histologically at the
    end of study.

         Rats at 200 ppm were occasionally nervous, excitable, and
    aggressive, and their food consumption was temporarily reduced. The
    overall body-weight gain of males was significantly reduced (10%).
    Rats at 50 and 15 ppm showed no adverse reactions to treatment. The
    incidence, type, and time to appearance of tumours were not
    significantly different in treated and control groups. The NOAEL for
    toxicity was 50 ppm, equal to 2.5 mg/kg bw per day, on the basis of
    effects on the central nervous system and reduced overall body-weight
    gain in males (Sutton & Offer, 1973).

     (d)  Genotoxicity

         The results of tests for the genotoxicity of amitraz are
    summarized in Table 2. The results of the tests  in vitro and
     in vivo were negative. 

     (e)  Reproductive toxicity

    (i)   Multigeneration reproductive toxicity

         In a three-generation study of reproductive toxicity, groups of
    10 male and 20 female newly weaned Boots-Wistar rats were fed amitraz
    (purity, 99.8%) at a dietary concentration of 0, 15, 50, or 200 ppm,
    equal to 0, 1.3, 4.4, and 16 mg/kg bw per day in males and 0, 1.5,
    5.1, and 20 mg/kg bw per day in females. After the F1 generation had
    been weaned, 12 males and 24 females from each group were retained for
    breeding and maintained on the diet. The procedure was repeated until
    the F3 generation was weaned. Amitraz at 200 ppm decreased the
    growth, food consumption, fertility, and viability of offspring of the
    F0 generation, and this dose was eliminated when the F1 generation
    had been weaned, because of the very low survival. No effect was found
    on the number of litters or mean litter size at 50 ppm; however, a
    decreased number of young alive at 21 days was observed in all
    generations. No further effects due to treatment were found in this or
    the other group. The NOAEL was 50 ppm, equal to 4.4 mg/kg bw per day,
    for maternal toxicity and 15 ppm, equal to 1.3 mg/kg bw per day, for
    developmental toxicity (Sutton, 1973b).

    (ii)   Developmental toxicity

         In a study of developmental toxicity, groups of 11-13 female
    Boots-Wistar rats received amitraz (purity, 99.8%) at a dose of 0, 1,
    3, or 12 mg/kg bw per day on days 8-20 of gestation. The rats were
    killed on day 21, and the uterine contents were examined. There were
    no deaths or clinical signs of toxicity. Food consumption, body-weight
    gain, average litter size, fetal viability, and the implantation index
    were not affected. At 12 mg/kg bw, fetal weight was lower than in the
    controls, and the calcification of the sternebrae was less advanced.
    The NOAEL for maternal toxicity was 12 mg/kg bw per day, and that for
    developmental toxicity was 3 mg/kg bw per day, on the basis of reduced
    fetal weight and reduced calcification of the sternebrae (Sutton,
    1973c).


        Table 2. Results of tests for the genotoxicity of amitraz 

                                                                                                                  

    End-point           Test system            Concentration               Purity    Results      Reference
                                               or dose                     (%)       
                                                                                                                  

    In vitro

    Reverse mutation    S. typhimurium         31-500 µg/plate             99.9      Negative     Everest & 
                        TA1535, TA1537,                                                           Wilcox (1976)
                        TA1558                                                                    

    Reverse mutation    S. typhimurium         0, 33, 100, 333, 1000,      98.4      Negative     McGregor & 
                        TA98, TA100, TA1535,   3300, 10 000 µg/plate                              Printice (1983)
                        TA1537, TA1538

    Chromosomal         Human lymphocytes      0, 5, 10, 20 µg/ml -S9;     99.5      Negative     Brooker et al.
    aberration                                 0, 3, 5, 30 µg/ml +S9                              (1988) 

    Cell mutation       Mouse  L5178Y tk+/-    0.06-33 µg/ml +S9;          98.4      Negative     McGregor &
                        cells                  0.06-20 µg/ml -S9                                  Riach (1983a)

    Unscheduled         Human embryonic        20, 60, 100, 140, 180,      100       Negative     McGregor & 
    DNA synthesis       fibroblasts            220, 260, 300 µg/ml ±S9                            Riach (1983b)

    DNA damage          Chinese hamster        0.01-0.3 mmol/L ±S9         NR        Negative     Petzold et al.
                        V79 lung fibroblasts                                                      (1977)

    In vivo

    Reverse mutation    S. typhimurium         0, 100, 200, 400 mg/kg      NR        Negative     Everest (1976);
    (host-mediated,     G46, TA1532            bw, single dose                                    Wilcox (1976)
    mouse)              TA1964

    Dominant lethal     Female CFLP mice       0, 12, 50 mg by             NR        Negative     Palmer & 
    mutation                                   intragastric intubation                            James (1977a)
                                               for 5 days

    Table 2. (continued)

                                                                                                                  

    End-point           Test system            Concentration               Purity    Results      Reference
                                               or dose                     (%)       
                                                                                                                  

    Dominant lethal     Male CFLP mice         0, 12, 50 mg by             NR        Negative     Palmer & 
    mutation                                   intragastric intubation                            James (1977b)
                                               for 5 days
                                                                                                                  

    NR, not reported; S9, 9000 × g microsomal fraction from rodent liver
    

         In another study of developmental toxicity, groups of 24 mated
    Sprague-Dawley rats weighing 215-280 g were given 0, 7.5, 15, or 30
    mg/kg bw per day amitraz (purity, 99.7%) by gavage on days 6-15 of
    gestation. Immediately after mating, the females were assigned to
    treatment groups by a randomization process based on stratified body
    weight. Each female was then individually identified by ear notching.
    All females were examined once or twice daily for clinical signs of
    ill health, toxicity, or behavioural changes, and body weights and
    food intake were recorded on days 0, 6, 10, 15, and 20 of gestation.
    On day 20 of gestation, the females were killed and their uterine
    contents examined.

         One control female was found dead on day 10 of gestation; there
    were no other deaths. The principal clinical sign was fur staining,
    which was slightly more frequent at 30 mg/kg bw per day. At this dose,
    a slight loss of body weight up to day 10 of gestation was followed by
    reduced body-weight gain at termination. The body-weight gain of rats
    at 15 mg/kg bw per day was slightly reduced (10%), but that of animals
    at 7.5 mg/kg bw per day was not adversely affected by treatment. Food
    intake of rats at 30 mg/kg bw per day, and to a lesser extent those at
    15 mg/kg bw per day, was initially lower than in the control group;
    there was no effect on food intake at 7.5 mg/kg bw per day. The
    pregnancy rate was high in all groups, and no adverse findings were
    made at necropsy. The treatment did not adversely affect the number of
    implantations, the incidence of post-implantation loss, or the number
    or sex ratio of fetuses. Animals at 30 mg/kg bw per day had a
    statistically significantly increased incidence of dilated ureters and
    increased bilateral renal pelvic cavitation. Although the incidence of
    the latter lesion at 15 mg/kg bw per day was statistically
    significantly higher than that of the concurrent controls
     (p < 0.05), the group percentage increase (5.7%) was comparable to
    the upper range of the relevant historical control values (5.4%). The
    NOAEL was 7.5 mg/kg bw per day for both maternal toxicity, on the
    basis of reduced body-weight gain, and for developmental toxicity, on
    the basis of increased incidences of dilated ureters and renal pelvic
    cavitation (McIntyre, 1987a). 

     Rabbits

         In a study of developmental toxicity, groups of 8-10 New Zealand
    rabbits were treated with amitraz (purity unspecified) at a dose of 0,
    1, 5, or 25 mg/kg bw per day on days 6-18 of pregnancy and were killed
    on day 30. At 25 mg/kg bw per day, the number of litters and mean
    litter size were decreased and abortions were observed. No increase in
    the incidence of congenital abnormalities was found. The NOAEL for
    maternal toxicity was 25 mg/kg bw per day, the highest dose tested,
    and the NOAEL for developmental toxicity was 5 mg/kg bw per day on the
    basis of a reduced number of litters and litter size (Sutton, 1973d).

         In another study of developmental toxicity, groups of 16 mated
    female New Zealand white rabbits weighing 3-4 kg were given amitraz
    (purity, 99.7%) by gavage at a dose of 0, 3, 6, or 12 mg/kg bw per day
    on days 7-19 of gestation. All females were examined once or twice
    daily for clinical signs of ill health, toxicity, or behavioural
    changes, and body weight and food intake were recorded on days 0, 7,
    13, 19, 24, and 28 of gestation. On day 28 of gestation, the surviving
    females were killed and their uterine contents examined.

         One female at 12 mg/kg bw per day died, and three females at this
    dose were killed because of poor clinical condition or abortion. Two
    of the deaths were considered to be directly related to treatment. Two
    females at 6 mg/kg bw per day died; at 3 mg/kg bw per day, one female
    was killed and a further two died. Two control animals also died.
    Langour, polypnoea, and squinting were observed in all treated groups,
    and the incidence, severity, and duration of these signs appeared to
    be dose-related. At 12 mg/kg bw per day, body-weight loss followed by
    a reduction in body-weight gain were observed during dosing, but the
    weight gain was similar to that of controls on cessation of dosing.
    Treatment at 3 or 6 mg/kg bw per day had no effect on body weight.
    Food intake was reduced during dosing and up to day 24 at 12 mg/kg bw
    per day, but no adverse effect was seen at 6 or 3 mg/kg bw per day. No
    adverse effects were seen at necropsy. Three of the surviving females
    at 12 mg/kg bw per day lost their litters on day 28 of gestation.
    Litter paraments were not affected at 6 or 3 mg/kg bw per day, as
    assessed by the numbers of corpora lutea, implantation sites, and
    viable fetuses. The mean litter and fetal weights and sex ratio of
    fetuses were not adversely affected by treatment. No major fetal
    defects were recorded that were considered to be related to treatment,
    and there were no treatment-related effects on the incidence of minor
    or variant anomalies. There was no NOAEL for maternal toxicity because
    of deaths of animals at all doses and in the control group. The NOAEL
    for developmental toxicity was 6 mg/kg bw per day, on the basis of
    litter loss (McIntyre, 1987b).

     (f)  Special studies

     (i)  Effects on the thymus and hormone concentrations

         Diets containing 400 ppm amitraz (purity, 97.1%), equal to 110
    mg/kg bw per day for males and 150 mg/kg bw per day for females, were
    given to 24 male CFLP mice for up to 18 weeks and to 52 female CFLP
    mice for up to 33 weeks. A group of 36 males and 64 females given
    plain diet served as controls. Body weight and food consumption were
    measured regularly throughout the study, and the animals were examined
    for overt signs of toxicity at least once a week. Vaginal smears were
    monitored every morning during weeks 6-9, 15-18, 23-26, and 30-33.
    Twelve male and 12 female controls were killed during the first week,
    and 12 males and 12 females from both treated and control groups were
    killed after 9 and 18 weeks. The remaining animals were killed after
    33 weeks. The ß-estradiol concentration of the blood of female mice
    was estimated at weeks 9 and 18, and the thymuses from all animals

    were weighed at autopsy. Detailed histological examinations were
    conducted on a selected range of tissues.

         Body-weight gain was reduced in amitraz-treated mice, to a
    slightly greater degre in the males, and food consumption was markedly
    increased, particularly in the females. Examination of vaginal smears
    indicated prolongation of estrus in treated mice, but there was no
    measurable effect on the circulating concentrations of ß-estradiol.
    The thymus weights and histological appearance were not affected by
    treatment. Histopathological examination revealed two lymphoreticular
    tumours in the treated females and two in controls. In comparison with
    the controls, females given amitraz for 33 weeks had a higher
    incidence of foci of inflammatory cells in the liver (Brown et al.
    1978). 

     (ii)  Effects on the estrus cycle and hormone concentrations

     Mice

         The effects of amitraz on the estrus cycle and hormone
    concentrations were evaluated in groups of 70 female B6C3F1 mice fed
    diets containing amitraz (purity, 98-100%) at 0, 25, 100, or 400 ppm,
    equivalent to 0, 3.8, 15, and 60 mg/kg bw per day, for up to 28 weeks.
    Permanently stained and mounted vaginal smears were prepared from each
    animal daily for 30 days after 13 weeks of treatment, and the stage of
    the oestrus cycle on each day was determined by microscopic
    examination of the cell population on each slide. Blood samples were
    taken at necropsy after overnight starvation and assayed for
    dehydroepiandrosterone sulfate, estradiol, progesterone, testosterone,
    lutropin, follitropin, prolactin, thyroxine, triiodothyronine, and
    thyroid hormone uptake, as indicators of hormonal status and routine
    clinical chemical parameters. The fresh liver weight was recorded at
    necropsy.

         Pro-estrus was prolonged, and a trend towards reduced duration of
    diestrus was evident in animals at 400 ppm. The blood concentrations
    of progesterone were lower and the concentrations of
    dehydroepiandrosterone sulfate were higher in animals at 400 ppm and
    to a lesser degree in those at 100 ppm when compared with controls.
    The relative liver weights were increased at 400 (by 4%) and 100 ppm
    (by 5%). There were no treatment-related effects at 25 ppm. The NOAEL
    was 25 ppm, equivalent to 3.8 mg/kg bw per day, on the basis of lower
    blood concentrations of progesterone, higher concentrations of
    dehydroepiandrosterone sulfate, and increased relative liver weight
    (Hounsell & Rush, 1984).

     Rats

         Groups of 20 female 22-week-old Boots-Wistar rats were fed diets
    containing 0 or 200 ppm (equivalent to 0 and 12 mg/kg bw per day)
    amitraz (purity unspecified) for 18 weeks. Vaginal smears were taken
    routinely over 32 days. After fixation in methanol, the smears were
    stained with 1% aqueous methylene blue and examined for keratinized

    cells under 60 × magnification. Estrus was characterized by the
    presence of keratinized cells only, and the cycle length was taken as
    the interval between the first day of estrus in successive cycles.

         The average cycle length of the controls was 4.3 days; two of the
    controls had prolonged periods in estrus (four and six days), and a
    third had a period of prolonged diestrus with a cycle lasting 18 days.
    In the remaining animals, the shortest cycles were two days and the
    longest six days. The low incidence of prolonged estrus among these
    animals confirms that the technique of smearing did not affect vaginal
    cytology. In the treated rats, the average cycle length was 6.1 days,
    and the range was 2-16 days. Six rats had one or more periods of
    prolonged diestrus; four of these had been acyclic in a preliminary
    test. Estrus lasted for three to eight consecutive days in seven rats,
    two of which had shown a similar tendency in a preliminary test. The
    second test showed that the cycle length was significantly altered by
    treatment, either estrus or diestrus being prolonged. Treated rats
    thus had longer oestrus cycles than controls, resulting from prolonged
    periods of estrus or diestrus (Merryman & Sutton, 1972).

     (iii)  Mechanism of action

         The effects of amitraz and its major metabolite,
     N-methyl- N'-(2,4-xylyl)formamidine, given orally or intravenously
    on the cardiovascular system, pupil diameter, and the respiratory
    system were studied in conscious and anaesthetized rats, cats, and
    dogs. Both compounds caused a fall in blood pressure, sometimes
    preceded by hypertension and bradycardia. The threshold for the effect
    in conscious rats dosed orally with amitraz was 1 mg/kg bw. Amitraz
    also caused mydriasis, sedation, and a reduced respiratory rate. The
    bradycardia, sedation, and mydriatic effect was antagonized by the
    alpha2-blocking agent yohimbine but not by the alpha1-blocking agent
    prazosin, indicating that the effects were caused by stimulation of
    presynaptic alpha2-adrenoceptors. The lethal effect of amitraz in mice
    and dogs has also been shown to be inhibited by yohimbine (Parkinson &
    Sim, 1970; Cullen & Reynoldson, 1983; Hsu & Kakuk, 1984; Moser &
    MacPhail, 1985; Hsu et al., 1986; Hovda & McManus, 1993).

         Amitraz and  N-methyl- N'-(2,4-xylyl)formamidine were tested
    for their ability to potentiate the pressor responses to tyramine in a
    pithed rat preparation, since a structurally related compound,
    chlordimeform, inhibited monoamine oxidase  in vitro in rat liver
    homogenates and centrally  in vivo through an effect on brain
    serotonin concentrations. These effects were obvious only with nearly
    toxic oral doses of 80 mg/kg bw amitraz and 40 mg/kg bw
     N-methyl- N'-(2,4-xylyl)formamidine (Parkinson, 1974).

         Amitraz and chlordimeform were tested for their ability to
    inhibit prostaglandin synthesis after intraperitoneal administration
    in rats. Both compounds had antipyretic and antiinflam-matory effects
    at doses of 5-80 mg/kg bw. They reduced yeast-induced fever, with
    potencies intermediate between those of indomethacin and aspirin, and
    antagonized carrageenan-induced swelling of the hind paw. They also

    inhibited the synthesis of prostaglandin E2 from arachidonic acid by
    bovine seminal vesicle microsomes. The potency of amitraz in this
    assay was the same as that of aspirin (Yim et al., 1978).

     (g)  Studies on metabolites

    (i)   Acute toxicity

         The acute toxicity of metabolites of amitraz (purity unspecified)
    has been investigated in several species (Table 3).


    Table 3. Acute toxicity of metabolites of amitraz 

                                                                          

    Species      Route         LD50 or LC50      Reference
                               (mg/kg bw or      
                               mg/L air)
                                                                          

    N-Methyl-N'-(2,4-xylyl)formamidine
    Mouse        Oral          150               Sutton (1970a) 
    Rat          Oral          200               Sutton (1970b) 
    Dog          Oral          >20               Morgan (1973); 
                                                 Morgan & Williams (1974)
    4-Amino-meta-toluic acid
    Mouse        Oral          >1600             Shaw & Williams (1973a)
    Rat          Oral          >1600             Shaw & Williams (1973b)

    Form-2',4'-xylidide 
    Rat          Oral          1600              Shaw (1973b)
                                                                          


    (ii)   Short-term toxicity

     Rats

         Groups of 10 male and 10 female newly-weaned Boots-Wistar rats
    were dosed by gastric intubation with
     N-methyl- N'-(2,4-xylyl)formamidine (purity unspecified) for 90
    days at 0, 0.25, 1, 3, or 12 mg/kg bw per day. Body weights were
    recorded three times per week, and the rats were observed each day for
    signs of toxicity. At 3 mg/kg bw per day, an initial reduction in
    body-weight gain was seen in males. At 12 mg/kg bw per day, the rats
    became nervous and difficult to handle, and two deaths occurred. The
    growth rate was reduced in animals of each sex but to a greater extent
    in the males. At the end of experiment, haemoglobin and haematocrit
    values were decreased in males, and the number of erythrocytes was
    decreased in females. Slight biochemical changes were seen. At
    autopsy, the weights of the adrenals, ovaries, uterus, and liver in
    females and spleen and testes in males were increased, but the only

    histopathological changes were a slight increase in lymphoid
    infiltration, some sinusoidal leukocytosis, and loss of glycogen in
    the livers of most males and slight cellular accumulations in the
    hearts of some females. The NOAEL was 1 mg/kg bw per day on the basis
    of the reduced body-weight gain and increased organ weights (Shaw &
    Williams, 1975).

         Groups of five male and five female Wistar rats were dosed by
    gastric intubation with 4-amino- meta-toluic acid (purity
    unspecified) at a dose of 0, 40, 100, or 250 mg/kg bw per day for 21
    days. At 250 mg/kg bw per day, slight decreases in weight gain and in
    blood urea nitrogen concentration were observed in males and an
    increased relative weight of the spleen in females. No gross
    pathological changes due to treatment were found. The NOAEL was
    250 mg/kg bw per day, the highest dose tested (Shaw, 1975).

     Dogs

         Groups of four male and four female beagles were given gelatin
    capsules containing  N-methyl- N'-(2,4-xylyl)formamidine (purity
    unspecified) as free base diluted in lactose to 1% at a dose of 0,
    0.1, 0.25, or 1 mg/kg bw per day for 90 days. Clinical signs were
    recorded daily, food consumption twice daily, and body weight once a
    week. Ophthalmoscopic examination and recordings of temperature and
    heart rate were carried out before dosing and after 6 and 12 weeks.
    Haematological, clinical chemical, and urinary analyses were perfomed,
    and gross and histopathological examinations were carried out.

         At 0.25 and 1 mg/kg bw per day, abnormal quietness and drowsiness
    and significantly lower body temperature (by up to 16.2°C) were
    observed 0.5-4 h after dosing. At 1 mg/kg bw per day, the heart rate
    was significantly reduced (by up to 40 beats/min) 1-2 h after dosing,
    and the liver weight and urine volume were increased. A slight
    reduction in thymus weight was observed at 0.25 and 1 mg/kg bw per
    day. No histopathological anomalies were found. The NOAEL was 0.1
    mg/kg bw per day on the basis of central nervous system depression and
    lowered body temperature (Chesterman et al., 1973). 

         Groups of four male and four female beagles were given gelatin
    capsules containing 4-amino- meta-toluic acid (purity unspecified) at
    a dose of 0, 16, 40, or 100 mg/kg bw per day for 90 days. Slightly
    increased urinary concentrations of total reducing substances other
    than glucose were found at the highest dose. No dose-related effects
    were observed on behaviour, electrocardiogram, heart rate, rectal
    temperature, body weight, food consumption, haematological or blood
    chemical parameters, organ weights, or histopathological appearance
    (Morgan et al., 1974).

    (iii)   Genotoxicity

         The results of tests for the genotoxicity of potential
    metabolites of amitraz are summarized in Table 4. Except for a single
    positive response to 2.4-dimethylaniline in the assay for forward
    mutation in mouse lymphoma cells, in the presence of metabolic
    activation, the results of the tests  in vitro and  in vivo were
    negative. 

    3.  Observations in humans

         In a double-blind, randomized cross-over study, six healthy male
    volunteers aged 18-45 years and weighing 60-70 kg received sequential
    single oral doses of 0, 0.063, and 0.13 mg/kg bw amitraz, two to three
    weeks apart. Each dose was given with 150 ml water, 30 min after
    breakfast. Pulse rate, respiration rate, blood pressure, and
    temperature were measured at - 1, - 0.5, 1, 3, 6, 12, 24, and 36 h,
    and electrocardiograms were performed at -1, 1, 3, 6, 12, 24, and 36 h
    with respect to dosing. Pupil responsiveness and psychomotor
    performance were evaluated before treatment and at 2.5 and 8 h. Urine
    was collected at 0-36 h and 36-60 h. There were no clinically
    significant changes in vital signs or electrocardiographic parameters.
    Moreover, haematological, blood chemical, and urinary parameters,
    pupil responsiveness, and psychomotor performance were unaffected by
    treatment. The NOAEL was 0.13 mg/kg bw, the highest dose tested (Cass,
    1992).

         Two human volunteers who received a single oral dose of 0.25
    mg/kg bw 14C-amitraz showed drowsiness, disorientation, slurred
    speech, decreased pulse rate and blood pressure, and other effects
    (Campbell & Needham, 1984c).

         In a double-blind cross-over study, four male and two female
    volunteers, aged 21-42 years and in normal health, received two doses
    of 2 mg (about 0.03 mg/kg bw) of the amitraz metabolite,
     N-(2,4-dimethylphenyl)- N'-methylformamidine, one week apart  in a
    capsule with 100 ml of water, or placebo. Blood pressure, pulse rate,
    and temperature were measured at half-hourly intervals over 7 h, and
    mental alertness was assessed at 0, 3, and 7 h. An electrocardiograph
    was performed, and urine was collected before dosing and at 0-7 h and 
    7-24 h. The urine samples were analysed to estimate the amount of the
    metabolite, 3-methyl-4-aminobenzoic acid, that had been excreted.
    Mental alertness was estimated at 0, 3, and 7 h. No difference was
    seen from those receiving the placebo. The NOAEL was 0.03 mg/kg bw,
    the only dose tested (Hall et al., 1975). 

         Symptoms of central nervous system depression ranging from
    sedation to coma lasting more than 24 h, depressed respiration,
    hypotension, and bradycardia have been described in 11 reports after
    accidental or intentional ingestion of uncertain amounts of amitraz.
    In nine cases, recovery was complete after symptomatic and supportive
    treatment (Groppi, 1977; Ros & Aken, 1994; Pronczuk et al., 1995).


        Table 4. Results of tests for the genotoxicity of metabolites of amitraz 

                                                                                                                            

    End-point           Test system                  Concentration                Purity   Results          Reference
                                                     or dose                      (%) 
                                                                                                                            

    In vitro

    N-Methyl-N'-(2,4-xylyl)formamidine

    Reverse mutation    S. typhimurium               < 5000 µg/plate              NR       Negative         Richold et al. 
                        TA98, TA100, TA1535,                                                                (1983a)
                        TA1337, TA1538

    DNA damage          Chinese hamster              0.03-3.0 mmol/L ±S9          NR       Negative         Petzold et al. 
                        V79 lung fibroblasts                                                                (1977)

    Form-2',4'-xylidide

    Reverse mutation    S. typhimurium               < 5000 µg/plate              NR       Negative         Richold et al.
                        TA98, TA100, TA1535,                                                                (1983b)
                        TA1337, TA1538

    DNA damage          Chinese hamster              0.01-1.0 mmol/L ±S9          NR       Negative         Petzold et al.
                        V79 lung fibroblasts                                                                (1977)


    Product of acid hydrolysis of N-methyl-N'-(2,4-xylyl)formamidine and form-2',4'-xylidide

    Forward mutation    Mouse L5178Y tk+/-           1, 3.3, 10, 33, 100, 200,    NR       Positive + S9    McGregor &
                        lymphoma cells               300, 333, 400, 500,                   Negative -S9     Riach (1984)
                                                     600 µg/ml

    Cell transformation C3H/10 T1/2 clone 8          5, 10, 20 µg/ml +S9          NR       Negative         McGregor et al.
                        mouse embryo fibroblasts     100, 200, 400 µg/ml -S9                                (1984)

    DNA damage          Chinese hamster              0.03-2.0 mmol/L ±S9          NR       Negative         Petzold et al. 
                        V79 lung fibroblasts                                                                (1977)

    Table 4. (continued)

                                                                                                                            

    End-point           Test system                  Concentration                Purity   Results          Reference
                                                     or dose                      (%) 
                                                                                                                            

    4-Amino-meta-toluic acid

    DNA damage          Chinese hamster              0.03-3.0 mmol/L ±S9          NR       Negative         Petzold et al.
                        V79 lung fibroblasts                                                                (1977)


    In vivo

    Product of acid hydrolysis of N-methyl-N'-(2,4-xylyl)formamidine and form-2',4'-xylidide

    Micronucleus        Mouse bone                   56, 113, 225 mg/kg bw        NR       Negative         Hounsell &
    formation           marrow                       twice, 24 h apart                                      Walker (1983)
                                                                                                                            
    

    Comments

         Amitraz was well absorbed, extensively metabolized, and rapidly
    excreted, mainly in the urine, after oral administration to mice,
    rats, dogs, pigs, hens, cows, baboons, and humans. After oral
    treatment of mice with 14C-amitraz, 86% of the radiolabelled dose was
    excreted, 62% in the urine, within the first 24 h. All of it had been
    excreted by 96 h, with 73% in the urine of animals of each sex. The
    concentrations of residues were highest in liver, adrenal glands, and
    eyes. After oral administration of 14C-amitraz to rats, 94% of the
    dose was recovered within three days, with 82% in urine and 12% in
    faeces. After oral administration of 14C-amitraz to two humans,
    77-87% was recovered within three days. Amitraz is hydrolysed to two
    components,  N-methyl- N-(2,4-xylyl)formamidine and
    form-2',4'-xylidide. The former is the pharmacologically active
    compound and accounted for 5-30% of the total urinary excretion in
    mice and rats; it was further metabolized to 4-amino- meta-toluic
    acid and the acetyl and formyl conjugates, 4-acetamido- and 4-
    formamido- meta-toluic acids. These five metabolites were also found
    in plants.

         Amitraz has low acute oral toxicity in rats but is more toxic in
    dogs. The LD50 values ranged from 100 mg/kg bw in dogs to > 1600
    mg/kg bw in mice, indicating that dogs are more sensitive. The toxic
    signs after oral administration to mice and rats were
    hyperexcitability, ataxia, tremor, and ptosis. Amitraz had no
    sensitizing potential in guinea-pigs, and no local irritation was
    found in rabbits after a single application to skin or eyes. There was
    evidence of delayed contact hypersensitivity after application of
    amitraz either topically or intradermally.

         WHO (1996) has classified amitraz as slightly hazardous.

         In a 13-week study in which mice were fed diets providing 0, 100,
    200, 400, 600, or 800 ppm, the NOAEL was 100 ppm, equal to 17 mg/kg bw
    per day, on the basis of reduced overall body-weight gain (by 34%).

         In a 90-day study, rats were given amitraz at doses of 0, 3, or
    12 mg/kg bw per day by gavage. The NOAEL was 3 mg/kg bw per day, on
    the basis of reduced terminal body-weight gain, absolute liver weight,
    and relative liver weight.

         In a 90-day study in dogs, amitraz was administered at doses of
    0, 0.25, 1, or 4 mg/kg per day in gelatin capsules. The NOAEL was 0.25
    mg/kg bw per day, on the basis of central nervous system depression
    and reductions in rectal temperature and pulse rate. 

         In a two-year study, dogs were given amitraz at doses of 0, 0.1,
    0.25, or 1 mg/kg bw per day in gelatin capsules. The NOAEL was 0.25
    mg/kg bw per day, on the basis of central nervous system depression.

         In two 90-day studies, the amitraz metabolite
     N-methyl- N-(2,4-xylyl)formamidine was administered to rats at
    doses of 0, 0.25, 1, 3, or 12 mg/kg bw per day by gastric intubation
    or to dogs at 0, 0.1, 0.25, or 1 mg/kg bw per day by gelatine
    capsules. The NOAEL was 1 mg/kg bw per day in rats, on the basis of
    reduced body-weight gain and increased organ weights, and 0.1 mg/kg bw
    per day in dogs, on the basis of central nervous system depression and
    lowered body temperature.

         In a 21-day study in rats and a 90-day study in dogs, the amitraz
    metabolite 4-amino- meta-toluic acid was given at doses of 0, 40,
    100, or 250 mg/kg bw per day by gastric intubation to rats or 0, 16,
    40, or 100 mg/kg bw per day by gelatin capsules to dogs. The NOAEL was
    250 mg/kg bw per day in rats and 100 mg/kg bw per day in dogs, (the
    highest doses tested).

         In an 80-week study, mice were fed diets containing 0, 25, 100,
    or 400 ppm, equivalent to 0, 3.8, 15, and 60 mg/kg bw per day (wrongly
    given as 25, 100, or 400 mg/kg bw per day in the 1980 JMPR report).
    The NOAEL for carcinogenicity was 100 ppm, equivalent to               
    15 mg/kg bw per day, on the basis of an increased incidence of
    lymphoreticular tumours in females at 400 ppm.

         In a two-year study in which mice were fed diets providing 0, 25,
    100, or 400 ppm, the NOAEL for carcinogenicity was 100 ppm, equal to
    11 mg/kg bw per day, on the basis of the occurrence of hepatocellular
    carcinoma in females at 400 ppm. This dose was considered to be
    greater than the conventional maximum tolerated dose. The NOAEL for
    toxicity was 25 ppm, equal to 2.3 mg/kg bw per day, on the basis of
    generalized toxic effects.

         In a two-year study, rats were fed diets containing 0, 15, 50, or
    200 ppm. The NOAEL for toxicity was 50 ppm, equal to 2.5 mg/kg bw per
    day, on the basis of effects on the central nervous system and reduced
    overall body-weight gain in males. There was no evidence of
    carcinogenicity.

         The genotoxic potential of amitraz has been adequately evaluated
    in a range of assays  in vitro and  in vivo. The Meeting concluded
    that amitraz is not genotoxic.

         In view of the lack of genotoxicity and the finding of tumours
    only in mice and only at concentrations at which severe toxicity was
    observed, the Meeting concluded that amitraz is not likely to pose a
    carcinogenic risk to humans.

         In a three-generation study of reproductive toxicity in rats at
    dietary concentrations of 0, 15, 50, or 200 ppm, the NOAEL was 50 ppm,
    equal to 4.4 mg/kg bw per day, for maternal toxicity and 15 ppm, equal
    to 1.3 mg/kg bw per day for developmental toxicity. No teratogenic
    effect was observed.

         In two studies of developmental toxicity, pregnant rats were
    given amitraz at 0, 1, 3, or 12 mg/kg bw per day by gavage on days
    8-20 of gestation or 0, 7.5, 15 or 30 mg/kg bw per day by gavage on
    days 6-15. The NOAEL for maternal toxicity was 7.5-12 mg/kg bw per
    day, and that for developmental toxicity was 3-7.5 mg/kg bw per day.

         In two studies of developmental toxicity in rabbits, amitraz was
    given at doses of 0, 1, 5, or 25 mg/kg bw per day by gavage on days
    6-18 of gestation or 0, 3, 6, or 12 mg/kg bw per day by gavage on days
    7-19. The NOAEL for maternal toxicity was 25 mg/kg bw per day in one
    study, but a NOAEL was not identified in the other because all of the
    treated animals died. The NOAEL for developmental toxicity was 3-6
    mg/kg bw per day.

         The effect of amitraz on the estrus cycle and hormone levels was
    evaluated in mice fed diets containing 0, 25, 100, or 400 ppm for 28
    weeks and in rats fed diets containing 0 or 200 ppm for 18 weeks. In
    mice, pro-estrus was prolonged at 400 ppm; blood levels of
    progesterone were reduced and those of dehydroepiandrosterone were
    increased at 100 and 400 ppm. The NOAEL was 25 ppm, equivalent to
    3.8 mg/kg bw per day, on the basis of the changed hormone levels. The
    estrus cycles were longer in treated than in control rats, with no
    NOAEL.

         In a double-blind, randomized, cross-over study of tolerance, six
    healthy adult male volunteers received sequential single oral doses of
    0, 0.063, and 0.13 mg/kg bw amitraz, two to three weeks apart. The
    NOAEL was 0.13 mg/kg bw, the highest dose tested.

         Two human volunteers who received single oral doses of 0.25 mg/kg
    bw 14C-amitraz showed effects including drowsiness, disorientation,
    slurred speech, and decreased pulse rate and blood pressure.

         In a double-blind cross-over study of tolerance, six adult
    volunteers received two single doses of placebo or 2 mg (about 0.03
    mg/kg bw) of the amitraz metabolite
     N-methyl- N-(2,4-xylyl)formamidine one week apart. The NOAEL was
    0.03 mg/kg bw, the only dose tested.

         The Meeting established an ADI of 0-0.01 mg/kg bw on the basis of
    the NOAEL of 1.3 mg/kg bw per day in the study of reproductive
    toxicity in rats and a safety factor of 100. The pharmacological
    effects on the central nervous system seen in dogs, with a NOAEL of
    0.25 mg/kg bw per day, were considered not to be relevant for setting
    the ADI because they were reversible and the dogs became tolerant.
    Moreover, a NOAEL of 0.13 mg/kg bw per day was seen for such effects
    in humans.

         The Meeting established an acute RfD of 0.01 mg/kg bw, on the
    basis of the NOAEL of 0.13 mg/kg bw per day in the study in humans and
    a safety factor of 10.

    Toxicological evaluation

     Levels that cause no toxic effect

         Mouse:    25 ppm, equal to 2.3 mg/kg bw per day (toxicity in a
                   two-year study of carcinogenicity)

         Rat:      3 mg/kg bw per day (toxicity in a 90-day study of
                   toxicity)
                   50 ppm, equal to 2.5 mg/kg bw per day (toxicity in a
                   two-year study of toxicity and carcinogenicity)
                   50 ppm, equal to 4.4 mg/kg bw per day (maternal
                   toxicity in a three-generation study of reproductive
                   toxicity)
                   15 ppm, equal to 1.3 mg/kg bw per day (developmental
                   toxicity in a three-generation study of reproductive
                   toxicity)
                   12 mg/kg bw per day (maternal toxicity in a study of
                   developmental toxicity)
                   3 mg/kg bw per day (developmental toxicity)

         Rabbit:   25 mg/kg bw per day (maternal toxicity in a study of
                   developmental toxicity) 
                   5 mg/kg bw per day (developmental toxicity)

         Dog:      0.25 mg/kg bw per day (toxicity in a two-year study of
                   toxicity)

         Human:    0.13 mg/kg bw (toxicity after single oral doses)

     Estimate of acceptable daily intake for humans

         0-0.01 mg/kg bw

     Estimate of acute reference dose 

         0.01 mg/kg bw

     Studies that would provide information useful for continued 
     evaluation of the compound

         1.   Studies to further characterize the effects on the
              reproductive system of female rodents 

         2.   Further observations in humans


    List of end-points relevant for setting guidance values for dietary
    and non-dietary exposure
                                                                        

     Absorption, distribution, excretion and metabolism in mammals
    Rate and extent of absorption  Rapid/complete
    Distribution                   Liver, adrenals, eyes
    Potential for accumulation     Minimal
    Rate and extent of excretion   Rapid/complete, 80-100% in 96 h
    Metabolism in animals          Metabolites same in rodents, dogs,
                                     humans 
    Toxicologically significant
      compounds (animals, plants,  N-Methyl-N'-(2,4-xylyl)formamidine
      and environment)

    Acute toxicity
    Rat: LD50 oral                 600 mg/kg bw
    Rabbit: LD50 dermal            > 200 mg/kg bw
    Rat: LC50 inhalation           65 mg/L
    Skin irritation                Not irritating
    Eye irritation                 Not irritating
    Skin sensitization             Not sensitizing (Buehler test)

    Short-term toxicity
    Target/critical effect         Central nervous system depression, dog
    Lowest relevant oral NOAEL     0.25 mg/kg bw per day
    Lowest relevant dermal NOAEL   Rabbit: 50 mg/kg bw per day
    Lowest relevant inhalation     Rat: 0.01 mg/L air
      NOAEL

    Genotoxicity                   Unlikely to be genotoxic

    Long-term toxicity and carcinogenicity
    Target/critical effect         Lymphoreticular tumours, hepatocellular
                                   carcinomas
    Lowest relevant NOAEL          Mouse: 11 mg/kg bw per day (80-week and 
                                   2-year studies)
    Carcinogenicity                Unlikely to be carcinogenic

    Reproductive toxicity
    Reproduction target/critical   Decrease in number of young alive 
      effect                         at 21 days

    Lowest relevant reproductive   Rat: 1.3 mg/kg bw per day
      NOAEL                          (developmental toxicity)
    Developmental target/critical  Reduced fetal weight
      effect
    Lowest relevant developmental  Rat: 3 mg/kg bw per day 
      NOAEL                          (developmental toxicity)

    Neurotoxicity/Delayed          Acute central nervous system
    neurotoxicity                  depression

    Other toxicological studies    Prolongation of estrus cycles and
                                   reduction of blood concentrationof
                                   progesterone (mouse, rat)

    Medical data                   Central nervous system depression in
                                   two volunteers after a single oral dose
                                   of 0.25 mg/kg bw

    Summary           Value            Study                    Safety 
                                                                factor

    ADI               0-0.01 mg/kg bw  Reproductive toxicity,   100
                                        rat
    Acute reference   0.01 mg/kg bw    Single oral dose in six
    dose                                volunteers              10
                                                                        

    References

    Berczy, Z.S., Binns, R. & Newman, A.J. (1972) Acute inhalation
    toxicity to the rat of BTS 27419. Unpublished report No. 4971/72/406
    from Huntingdon Research Centre Ltd, Huntingdon, Cambridge-shire,
    United Kingdom. Submitted to WHO by Schering Agrochemicals Ltd.

    Berczy, Z.S., Binns, R., Street, A.E., Newman, A.J. & Whitfield,
    R.A.S. (1973) Subacute inhalation toxicity to the rat of BTS 27419.
    Unpublished report No. 5454/72/850 from Huntingdon Research Centre
    Ltd, Huntingdon, Cambridgeshire, United Kingdom. Submitted to WHO by
    Schering Agrochemicals Ltd.

    Brown, D.J., Burnett, R., Crowley, J., Cryer, P.C., Lancaster, M.C. &
    Turnbull, G.J. (1978) Amitraz: Investigation of effects on the thymus
    gland and oestrous cycle in mice. Unpublished report No. TX 78037 from
    The Boots Company Ltd, Nottingham, United Kingdom. Submitted to WHO by
    Schering Agrochemicals Ltd.

    Brooker, P.C., Akhurst, L.C. & Gray, V.M. (1988) Technical amitraz,
    metaphase chromosome analysis of human lymphocytes cultured in vitro.
    Unpublished report No. SMS 127/881149 from Huntingdon Research Centre
    Ltd, Huntingdon, Cambridgeshire, United Kingdom. Submitted to WHO by
    Schering Agrochemicals Ltd.

    Burnett, R., Crowley, J., Lessel, B., Patton, D.S.G., Sutton, M.M. &
    Turnbull, G.J. (1976) BTS 27419: 80-week carcinogenicity study in
    mice--final report. Unpublished report No. TX 76039 from The Boots
    Company Ltd, Nottingham, United Kingdom. Submitted to WHO by Schering
    Agrochemicals Ltd.

    Campbell, J.K. & Needham, D. (1981) Excretion and residues of
    14C-amitraz in male and female rats given a single oral dose of 10
    mg/kg. Unpublished report No. METAB/81/20 from FBC Ltd, Chesterford
    Park Research Station, Saffron Walden, Essex, United Kingdom.
    Submitted to WHO by Schering Agro-chemicals Ltd.

    Campbell, J.K. & Needham, D. (1983) Excretion and tissue residues of
    14C amitraz in male and female mice given a single oral dose of 10 mg
    14C-amitraz/kg bodyweight. Unpublished report No. METAB/83/34 from
    FBC Ltd, Chesterford Park Research Station, Saffron Walden, Essex,
    United Kingdom. Submitted to WHO by Schering Agrochemicals Ltd.

    Campbell, J.K. & Needham, D. (1984a) Dermal absorption of 14C-amitraz
    in EC formulation by male and female pigs given a single topical
    application of 18 mg A.I. Unpublished report No. METAB/84/9 from FBC
    Ltd, Chesterford Park Research Station, Saffron Walden, Essex, United
    Kingdom. Submitted to WHO by Schering Agrochemicals Ltd.

    Campbell, J.K. Needham, D. (1984b) Excretion and tissue residues of
    14C-amitraz in a male and a female baboon given a single oral dose of
    10 mg 14C-amitraz per kg bodyweight. Unpublished report No.
    METAB/83/44 from FBC Ltd, Chesterford Park Research Station, Saffron
    Walden, Essex, United Kingdom. Submitted to WHO by Schering
    Agrochemicals Ltd.

    Campbell, J.K. & Needham, D. (1984c) Urinary excretion of 14C-amitraz
    by two male humans following a single oral dose of 0.25 mg/kg
    bodyweight. Unpublished report No. METAB/84/10 from FBC Ltd,
    Chesterford Park Research Station, Saffron Walden, Essex, United
    Kingdom. Submitted to WHO by Schering Agrochemicals Ltd.

    Campbell, J.K. & Needham, D. (1984d) The metabolism of 14C-amitraz by
    male and female rats. Unpublished report No. METAB/84/2 from FBC Ltd,
    Chesterford Park Research Station, Saffron Walden, Essex, United
    Kingdom. Submitted to WHO by Schering Agrochemicals Ltd.

    Campbell, J.K. & Needham, D. (1984e) A comparison of the metabolism of
    14C-amitraz in rat, mouse, baboon and human. Unpublished report No.
    METAB/84/1 from FBC Ltd, Chesterford Park Research Station, Saffron
    Walden, Essex, United Kingdom. Submitted to WHO by Schering
    Agrochemicals Ltd.

    Cass, L.M.R. (1992) Report of a double blind tolerance study of
    amitraz in six adult healthy volunteers. Unpublished report No.
    TOX/92/179-209 from Simbec Research Ltd, Merthyr Tydfil,
    Mid-Glamorgan, Wales. Submitted to WHO by Schering Agrochemicals Ltd.

    Challis I.R. (1990) Dermal absorption of amitraz in the rat.
    Unpublished report No. TOX/90/179-178 from Schering Agrochemicals Ltd,
    Chesterford Park Research Station, Saffron Walden, Essex, United
    Kingdom. Submitted to WHO by Schering Agrochemicals Ltd.

    Chesterman, H., Skerrett, K., Street, A.E. & Cherry, C.P. (1973) Boots
    27 271, oral toxicity study in beagle dogs (repeated dosage for 13
    weeks). Unpublished report No. BTS 38/73511 from Huntingdon Research
    Centre, Huntingdon, Cambridgeshire, United Kingdom. Submitted to WHO
    by Schering Agrochemicals Ltd.

    Clouzeau, J. (1992) Technical amitraz: Guinea pig sensitization study
    (Buehler test). Unpublished report No. TOX 91/179-203 from Centre
    International de Toxicologie, Miserey, Evreux, France. Submitted to
    WHO by Schering Agrochemicals Ltd.

    Colley, J., Dawe, S., Heywood, R., Gibson, W.A. & Prentice, D.E.
    (1981) Amitraz toxicity to B6C3F1 mice by dietary administration for
    13 weeks. Unpublished report No. BTS 158/80759 from Huntingdon
    Research Centre Ltd, Huntingdon, Cambridgeshire, United Kingdom.
    Submitted to WHO by Schering Agrochemicals Ltd.

    Colley, J., Dawe, S., Heywood, R., Street, A.E., Gibson W.A. &
    Gopinath, C. (1983) Amitraz, 104 week tumorigenicity study in mice.
    Unpublished report No. BTS 153/8262/A from Huntingdon Research Centre
    plc, Huntingdon, Cambridgeshire, United Kingdom. Submitted to WHO by
    Schering Agro-chemicals Ltd.

    Cullen, L.K. & Reynoldson, J.K. (1983) Effects of amitraz on the
    cardiovascular and respiratory systems in the dog. Unpublished report
    No. T242 from School of Veterinary Studies, Murdoch University,
    Murdoch, Western Australia. Submitted to WHO by Schering Agrochemicals
    Ltd.

    Everest, R.P. (1976) BTS 27 419: Mutagenicity study in the male mouse
    perivisceral cavity host-mediated assay. Unpublished report No. TX
    76056 from The Boots Company Ltd, Nottingham, United Kingdom.
    Submitted to WHO by Schering Agrochemicals Ltd.

    Everest, R.P. & Wilcox, P. (1976) BTS 27 419: Mutagenicity testing
    against Salmonella typhimurium strains TA1535, TA1537 and TA1538 in
    the presence and absence of liver microsomes from male and female
    mice. Unpublished report No. TX 76057 from The Boots Company Ltd,
    Nottingham, United Kingdom. Submitted to WHO by Schering Agrochemicals
    Ltd.

    Groppi, L. (1977) Medical report on a patient who ingested Mitac
    (Edrizar) in Italy in 1977. Report No. T84 from The Boots Company Ltd,
    Nottingham, United Kingdom. Submitted to WHO by Schering Agrochemicals
    Ltd.

    Hall, J.E., Ahluwalia, H. & Hampson, P. (1975) A study of the effects
    of oral administration of a metabolite (BTS 27 271) of amitraz to
    volunteers. Unpublished report No. MS 75002 from The Boots Company
    Ltd, Nottingham, United Kingdom. Submitted to WHO by Schering
    Agrochemicals Ltd.

    Hornish R.E. & Nappier, J.M. (1983) The absorption, metabolism, and
    excretion of Mitaban(R) (U-36,059) in the dog from oral and dermal
    exposure. Unpublished report No. 527-9760-83-001 from Agricultural
    Research and Development Laboratories, The Upjohn Company, Kalamazoo,
    Michigan, USA. Submitted to WHO by Schering Agrochemicals Ltd.

    Hounsell, I.A.G & Walker, A.K. (1983) A micronucleus study in mice
    using BTS 24868 (2,4-dimethylaniline). Unpublished report No.
    TOX/84/179-97 from FBC Ltd, Chesterford Park Research Station, Saffron
    Walden, Essex, United Kingdom. Submitted to WHO by Schering
    Agrochemicals Ltd.

    Hounsell, I.A. & Rush, K.C. (1984) Technical amitraz: The effect of
    dietary administration on the oestrus cycle and hormones in the mouse.
    Unpublished report No. TOX/84/179-97 from FBC Ltd, Chesterford Park
    Research Station, Saffron Walden, Essex, United Kingdom. Submitted to
    WHO by Schering Agrochemicals Ltd.

    Hovda, L.R. & McManus, A.C. (1993) Yohimbine for treatment of amitraz
    poisoning in dogs.  Vet. Hum. Toxicol., 35, 329. 

    Hsu, W.H. & Kakuk, T.J. (1984) Effect of amitraz on heart rate and
    pupil diameter in rats: Mediated by alpha2-adrenoceptors.  Toxicol. 
     Appl. Pharmacol., 73, 411-415.

    Hsu, W.H., Lu, Z.-X. & Hembrough, F.B. (1986) Effect of amitraz on
    heart rate and aortic blood pressure in conscious dogs: Influence of
    atropine, prazosin, tolazoline, and yohimbine.  Toxicol. Appl. 
     Pharmacol., 84, 418-422.

    Kakuk, T.J. (1979) Pathological findings on the matched control and
    amitraz 400 ppm females from the Boots 80 week mouse study by various
    pathologists with commentary. Unpublished report No. 315-78-9610-005
    from Agricultural Research and Development Laboratories, The Upjohn
    Company, Kalamazoo, Michigan, USA. Submitted to WHO by Schering
    Agrochemicals Ltd.

    Kynoch, S.R. & Parcell, B.I. (1988) Technical amitraz: Assessment of
    delayed contact hypersensitivity in the guinea-pig. Unpublished report
    No. TOX 88/179-145 from Huntingdon Research Centre Ltd, Huntingdon,
    Cambridgeshire, United Kingdom. Submitted to WHO by Schering
    Agrochemicals Ltd.

    Lancaster, M.C. & Williams, G.A.H. (1978) Amitraz: Multigeneration
    feeding test in rats -- Histopathology. Unpublished report No. TX
    78064 from The Boots Company Ltd, Nottingham, United Kingdom.
    Submitted to WHO by Schering Agrochemicals Ltd. 

    Lewis, D.K. (1971) Fate of [14C]-BTS 27419 applied to rats as a
    single oral dose. Unpublished report No. C 71011 from The Boots
    Company Ltd, Nottingham, United Kingdom. Submitted to WHO by Schering
    Agrochemicals Ltd. 

    Liggett, M.P. & Smith, P.A. (1987a) Technical amitraz: Irritant
    effects on rabbit skin. Unpublished report No. TOX/87/179-137 from
    Huntingdon Research Centre, Huntingdon, Cambridgeshire, United
    Kingdom. Submitted to WHO by Schering Agrochemicals Ltd.

    Liggett, M.P. & Smith, P.A. (1987b) Technical amitraz: Irritant
    effects on the rabbit eye. Unpublished report No. TOX/87/179-142 from
    Huntingdon Research Centre, Huntingdon, Cambridgeshire, United
    Kingdom. Submitted to WHO by Schering Agrochemicals Ltd.

    McGregor, D.B. & Printice, R.D. (1983) Technical amitraz: Ames
    bacterial mutagenicity test. Unpublished report No. 2590 from Inveresk
    Research International, Musselburgh, Scotland. Submitted to WHO by
    Schering Agrochemicals Ltd.

    McGregor, D.B. & Riach, C.G. (1983a) Technical amitraz: Mouse lymphoma
    mutation assay. Unpublished report No. 2669 from Inveresk Research
    International, Musselburgh, Scotland. Submitted to WHO by Schering
    Agrochemicals Ltd.

    McGregor, D.B. & Riach, C.G. (1983b) Technical amitraz: Unscheduled
    DNA synthesis in human embryonic cells. Unpublished report No. 2634
    from Inveresk Research International, Musselburgh, Scotland. Submitted
    to WHO by Schering Agrochemicals Ltd.

    McGregor, D.B. & Riach, C.G. (1984) Technical amitraz: Mouse lymphoma
    mutation assay. Unpublished report No. TOX/84/179-97 from FBC Ltd,
    Chesterford Park Research Station, Saffron Walden, Essex, United
    Kingdom. Submitted to WHO by Schering Agrochemicals Ltd.

    McGregor, D.B., Brown, A.G. & Riach, G.G. (1984) Technical BTS 24868:
    Induction of cell transformation in C3H10T1/2 cells. Unpublished
    report No. TOX/84/179-97 from FBC Ltd, Chesterford Park Research
    Station, Saffron Walden, Essex, United Kingdom. Submitted to WHO by
    Schering Agrochemicals Ltd.

    McIntyre, M. (1987a) Technical amitraz: Teratogenicity study in the
    rat. Unpublished report No. 5562-194/11 from Hazleton UK, Harrogate,
    North Yorkshire, United Kingdom. Submitted to WHO by Schering
    Agrochemicals Ltd.

    McIntyre, M. (1987b) Technical amitraz: Teratogenicity study in the
    rabbit. Unpublished report No. 5536-194/13 from Hazleton UK,
    Harrogate, North Yorkshire, United Kingdom. Submitted to WHO by
    Schering Agrochemicals Ltd.

    Merryman, D.C. & Sutton, M.M. (1972) Effects on the oestrus cycle of
    the rat. Unpublished report No. PM 72003 from The Boots Company Ltd,
    Nottingham, United Kingdom. Submitted to WHO by Schering Agrochemicals
    Ltd.

    Morgan, H. (1973) BTS 27 271: Acute oral toxicity study in dogs.
    Unpublished report No. TX 73004 from The Boots Company Ltd,
    Nottingham, United Kingdom. Submitted to WHO by Schering Agrochemicals
    Ltd.

    Morgan, H. & Williams, G.A.H. (1974) BTS 27 271: Acute oral toxicity
    study in dogs--Histopathology. Unpublished report No. TX 73 030 from
    The Boots Company Ltd, Nottingham, United Kingdom. Submitted to WHO by
    Schering Agrochemicals Ltd.

    Morgan, H.E., Patton, D.S.G. & Turnbull, G.J. (1973) BTS 27 419:
    Two-year oral toxicity study in dogs. Unpublished report No. TX 73035
    from The Boots Company Ltd, Nottingham, United Kingdom. Submitted to
    WHO by Schering Agrochemicals Ltd.

    Morgan, H.E., Shepherd, G.M. & Turnbull, G.J. (1974) BTS 28 369:
    90-day oral toxicity study in dogs. Unpublished report No. TX 74037
    from The Boots Company Ltd, Nottingham, United Kingdom. Submitted to
    WHO by Schering Agrochemicals Ltd.

    Moser, V.C. & MacPhail, R.C. (1985) Yohimbine attenuates the delayed
    lethality induced in mice by amitraz, a formamidine pesticide.
     Toxicol. Lett., 28, 99-104. 

    Needham, D. (1984) The effect of Amitraz on the hepatic mixed-function
    oxidase system of male and female mice following oral administration.
    Unpublished report No. METAB/84/8 from FBC Ltd, Chesterford Park
    Research Station, Saffron Walden, Essex, United Kingdom. Submitted to
    WHO by Schering Agrochemicals Ltd.

    Needham, D. & Hemmings, P.A. (1988) The metabolism and distribution of
    amitraz residues in the laying hen following the daily oral
    administration of 24.5 mg 14C-amitraz/per bird. Unpublished report
    No. Envir/88/6 from Schering Agrochemicals Ltd, Chesterford Park
    Research Station, Saffron Walden, Essex, United Kingdom. Submitted to
    WHO by Schering Agrochemicals Ltd.

    Palmer A.K. & James, P.A. (1977a) Dominant lethal assay of amitraz in
    the female mouse. Unpublished report No. BTS 81/7758 from Huntingdon
    Research Centre, Huntingdon, Cambridgeshire, United Kingdom. Submitted
    to WHO by Schering Agrochemicals Ltd.

    Palmer A.K. & James, P.A. (1977b) Dominant lethal assay of amitraz in
    the male mouse. Unpublished report No. BTS 80/7792 from Huntingdon
    Research Centre, Huntingdon, Cambridgeshire, United Kingdom. Submitted
    to WHO by Schering Agrochemicals Ltd.

    Parkinson, R. (1974) The effects of BTS 27 271, BTS 27 419 and BTS 21
    103 (chlordimeform) on the pressor response to tyramine in the pithed
    rat. Unpublished report No. P74 032 from The Boots Company Ltd,
    Nottingham, United Kingdom. Submitted to WHO by Schering Agrochemicals
    Ltd.

    Parkinson, R. & Sim, M.F. (1970) Some pharmacological effects of the
    acaricide RD 27,271 and related compounds. Unpublished report No.
    P70508 from The Boots Pure Drug Company, Nottingham, United Kingdom.
    Submitted to WHO by Schering Agrochemicals Ltd.

    Patton, D.S.G. (1973) BTS 27419: Acute toxicity in baboons.
    Unpublished report No. TX 73002 from The Boots Company Ltd,
    Nottingham, United Kingdom. Submitted to WHO by Schering Agrochemicals
    Ltd. 

    Patton, D.S.G & Sutton, M.M. (1971) Acute toxicity studies on BTS 27
    419, an acaricide. Unpublished report No. P71544 from The Boots Pure
    Drug Company, Nottingham, United Kingdom. Submitted to WHO by Schering
    Agrochemicals Ltd.

    Patton, D.S.G. & Williams, G.A.H. (1971) BTS 27 419: 90-day toxicity
    study in dogs. Unpublished report No. P71547 from The Boots Pure Drug
    Company, Nottingham, United Kingdom. Submitted to WHO by Schering
    Agrochemicals Ltd.

    Petzold, G.L., Swenberg, J.A. & Bedell, M. (1977) Evaluation of
    amitraz (U-36,059) and its metabolites (U-40,481, U-36,893, U-54,915A
    and U-54,914) in the DNA damage/alkaline elution assay. Unpublished
    report No. 7268/77/7268/001 from The Boots Company Ltd, Nottingham,
    United Kingdom. Submitted to WHO by Schering Agrochemicals Ltd.

    Phillips, M.W.A., Swalwell, L.M. & Needham, D. (1987) Identification
    of metabolites of amitraz in the milk and meat of a cow dosed for 4
    days with amitraz. Unpublished report No. Envir/87/46 from Schering
    Agrochemicals Ltd, Chesterford Park Research Station, Saffron Walden,
    Essex, United Kingdom. Submitted to WHO by Schering Agrochemicals Ltd.

    Pronczuk, J., Heuhs, L., Scaiola, G., Bogdan, M. & Fogel de Korc, E.
    (1995) Clinical cholinergic presentation of acute amitraz poisoning.
    Report No. T368 from Department of Toxicology, Hospital de Clinicas,
    Montevideo, Uruguay. Submitted to WHO by Schering Agrochemicals Ltd.

    Richold, M., Jones, E. & Fenner, L.A. (1983a) Technical BTS 27271,
    Ames bacterial mutagenicity test. Unpublished report No. FSB 61A/83580
    from Huntingdon Research Centre plc, Huntingdon, Cambridgeshire,
    United Kingdom. Submitted to WHO by Schering Agrochemicals Ltd.

    Richold, M., Jones, E. & Fenner, L.A. (1983b) Technical BTS 27919,
    Ames bacterial mutagenicity test. Unpublished report No. FSB 61B/83581
    from Huntingdon Research Centre plc, Huntingdon, Cambridgeshire,
    United Kingdom. Submitted to WHO by Schering Agrochemicals Ltd.

    Ros, J.J.W. & van Aken, J. (1994) A case of poising with amitraz, an
    agricultural pesticide.  Ned. Tijdschr. Geneeskd., 138, 776-778.

    Shaw, J.W. (1971) BTS 27 419 -- Acute intraperitoneal toxicity to
    rats. Unpublished report No. PM 71057 from The Boots Pure Drug
    Company, Nottingham, United Kingdom. Submitted to WHO by Schering
    Agrochemicals Ltd.

    Shaw, J.W. (1973a) BTS 27 419: Comparison of the acute oral and
    intraperitoneal toxicities to rats. Unpublished report No. TXM 73006
    from The Boots Company Ltd, Nottingham, United Kingdom. Submitted to
    WHO by Schering Agrochemicals Ltd.

    Shaw, J.W. (1973b) BTS 27 419: Comparison of the acute oral toxicities
    to rats of BTS 27 419 and BTS 27 919. Unpublished report No. TXM 73010
    from The Boots Company Ltd, Nottingham, United Kingdom. Submitted to
    WHO by Schering Agrochemicals Ltd.

    Shaw, J.W. (1975) BTS 27 419 metabolite: 21 Day chronic oral toxicity
    in rats of BTS 28 369. Unpublished report No. TX 75058 from The Boots
    Company Ltd, Nottingham, United Kingdom. Submitted to WHO by Schering
    Agrochemicals Ltd.

    Shaw, J.W. & Williams, P.A. (1973a) BTS 27 419 metabolite, BTS 28 369
    acute oral toxicity to mice. Unpublished report No. TXM 73 036 from
    The Boots Company Ltd, Nottingham, United Kingdom. Submitted to WHO by
    Schering Agrochemicals Ltd.

    Shaw, J.W. & Williams, P.A. (1973b) BTS 27 419 metabolite, BTS 28 369
    acute oral toxicity to rats. Unpublished report No. TXM 73 037 from
    The Boots Company Ltd, Nottingham, United Kingdom. Submitted to WHO by
    Schering Agrochemicals Ltd.

    Shaw, J.W. & Williams, G.A.H. (1975) BTS 27 419 metabolite: 90 day
    chronic oral toxicity in rats of BTS 27 271. Unpublished report No. TX
    75059 from The Boots Company Ltd, Nottingham, United Kingdom.
    Submitted to WHO by Schering Agrochemicals Ltd.

    Somerville, L. (1973) Fate of 14C-BTS 27419 administered to rats in
    repeated oral doses. Unpublished report No. AX 73011 from The Boots
    Company Ltd, Nottingham, United Kingdom. Submitted to WHO by Schering
    Agrochemicals Ltd. 

    Stewart, F.P. (1993) (14C)-Amitraz: Dermal absorption in the rat.
    Unpublished report No. 194/69-1011 from Hazleton Europe, Harrogate,
    North Yorkshire, United Kingdom. Submitted to WHO by Schering
    Agrochemicals Ltd.

    Sutton, M.M. (1970a) RD 27,271. Acute oral toxicity to mice.
    Unpublished report No. PM 70043 from The Boots Pure Drug Company,
    Nottingham, United Kingdom. Submitted to WHO by Schering Agro-
    chemicals Ltd. 

    Sutton, M.M. (1970b) RD 27,271 Acute toxicity to rats. Unpublished
    report No. PM 70042 from The Boots Pure Drug Company, Nottingham,
    United Kingdom. Submitted to WHO by Schering Agro-chemicals Ltd.

    Sutton, M.M. (1971) BTS 27 419. Contact sensitisation in the guinea
    pig. Unpublished report No. PM 71919 from The Boots Pure Drug Company,
    Nottingham, United Kingdom. Submitted to WHO by Schering Agrochemicals
    Ltd.

    Sutton, M.M. (1973a) BTS 27 419: Three week dermal toxicity to
    rabbits. Unpublished report No. TX 73 026 from The Boots Company Ltd,
    Nottingham, United Kingdom. Submitted to WHO by Schering Agrochemicals
    Ltd.

    Sutton, M.M. (1973b) BTS 27 419: Multigeneration feeding test in rats.
    Unpublished report No. TX 73 036 from The Boots Company Ltd,
    Nottingham, United Kingdom. Submitted to WHO by Schering Agrochemicals
    Ltd.

    Sutton, M.M. (1973c) BTS 27 419: Teratogenicity in the rat.
    Unpublished report No. TX 73028 from The Boots Company Ltd,
    Nottingham, United Kingdom. Submitted to WHO by Schering Agrochemicals
    Ltd.

    Sutton, M.M. (1973d) BTS 27 419: Teratogenicity in the rabbit.
    Unpublished report No. TX 73029 from The Boots Company Ltd,
    Nottingham, United Kingdom. Submitted to WHO by Schering Agrochemicals
    Ltd.

    Sutton, M.M. & Offer, J. (1973) BTS 27 419: Carcinogenicity and
    long-term toxicity study in rats. Unpublished report No. TX 73043 from
    The Boots Company Ltd, Nottingham, United Kingdom. Submitted to WHO by
    Schering Agrochemicals Ltd.

    Sutton, M.M. & Williams, G.A.H. (1971) BTS 27 419: 90-day toxicity
    study in rats. Unpublished report No. P71548 from The Boots Pure Drug
    Company, Nottingham, United Kingdom. Submitted to WHO by Schering
    Agrochemicals Ltd.

    Sutton, M.M. & Williams, P.A. (1972) BTS 27 419: Acute dermal toxicity
    to rabbits. Unpublished report No. YM 72 011 from The Boots Company
    Ltd, Nottingham, United Kingdom. Submitted to WHO by Schering
    Agrochemicals Ltd.

    Wilcox, P. (1976) BTS 27 419: Mutagenicity study in the
    intraperitoneal host-mediated assay. Unpublished report No. TX 76028
    from The Boots Company Ltd, Nottingham, United Kingdom. Submitted to
    WHO by Schering Agrochemicals Ltd.

    WHO (1996)  The WHO Recommended Classification of Pesticides by 
     Hazard and Guidelines to Classification 1996-1997 (WHO/PCS/96.3),
    Geneva, International Programme on Chemical Safety.

    Yim, G.K.W., Holsapple, M.P., Pfister, W.R. & Hollingworth, R.M.
    (1978) Prostaglandin synthesis inhibited by formamidine pesticides.
     Life Sci., 23, 2509-2516.
    






    See Also:
       Toxicological Abbreviations
       Amitraz (ICSC)
       Amitraz (Pesticide residues in food: 1980 evaluations)
       Amitraz (Pesticide residues in food: 1983 evaluations)
       Amitraz (Pesticide residues in food: 1984 evaluations)
       Amitraz (Pesticide residues in food: 1984 evaluations)