IPCS INCHEM Home



    PESTICIDE RESIDUES IN FOOD - 1980


    Sponsored jointly by FAO and WHO






    EVALUATIONS 1980





    Joint meeting of the
    FAO Panel of Experts on Pesticide Residues
    in Food and the Environment
    and the
    WHO Expert Group on Pesticide Residues
    Rome, 6-15 October 1980




    ETRIMFOS

    IDENTITY

    Chemical name

    O-(6-ethoxy-2-ethyl-4-pyrimidinyl)O,O-dimethyl phosphorothioate
    (C.A.)
    O-6-ethoxy-2-ethyl-pyrimidin-4-yl O,O-dimethyl phosphorothioate
    (IUPAC)

    Synonyms

    SAN 197 I, SATISFAR(R), EKAMET

    Structural formula

    CHEMICAL STRUCTURE 1

    Molecular formula C10H17N2O4PS

    Molecular weight    292.3

    Specific gravity    1.195 at 20°C

    Appearance          colourless oil

    Odour               slight smell, characteristic of
                        thionophosphoric acid derivatives

    Melting Point       -3.35°C (pure a.i.)

    Vapour pressure     6.5 to 8.7 × 10-2 mbar at 20°C

    Refractive index    nD20 1.5068

    Solubility          in water (24°C) 40 mg/l completely miscible
                        with acetone, ethanol, diethyl ether, chloroform,
                        dimethylsulphoxide, ethyl-acetate, hexane,
                        kerosene.

    Stability           Half-life times in aqueous buffer solution at
                        25°C and pH 3, 6 and 9 are 0.4, 16 and 14 days
                        respectively. 1 to 10 mg etrimfos/l acetone,
                        chloroform, hexane or toluene in the dark at
                        room temp. were found to be stable for at least 
                        28 days, in methanol and ethylacetate 3% and 12%
                        degradation were noticed.

    Minimum degree of
    purity              93%

    Impurities in the 
    technical material  Information on the impurities in technical
                        etrimfos was reported to the meeting.


    DATA CONSIDERED FOR DERIVATION OF ACCEPTABLE DAILY INTAKE

    BIOCHEMICAL ASPECTS

    Absorption, distribution, excretion and biotransformation

    Female rats were given a single oral dose of 50 mg/kg bw SAN I 197
    (14C-labelled at ring-positions 4 and 6) dissolved in 80% aqueous
    polyethylene-glycol.

    Excretion of radioactivity occurred mainly via the urine, 84%
    within 96 hours, of which 68% was within 12 hours; 6.6% was found
    in the faeces within 24 hours.  One hour after administration
    continuous excretion of radioactivity was observed in the bile and
    amounted to 6% within 24 hours.  Only 0.012% was exhaled within 24
    hours, of which 0.011% was within the first 8 hours, with a
    peak-value around 1 hour after administration.  For most tissues
    the peak concentrations were reached at 4 hours after
    administration with the exceptions of the liver (2 hours), blood (3
    hours) and fat (8 hours).  At peak time the fat and kidneys had the
    highest concentrations (42 and 62 mg/kg respectively) whereas the
    value in the other tissues ranged from 6 to 22 mg/kg with 13 mg/kg
    in the blood.  The concentrations declined rapidly to values of
    0.01 mg/kg at 96 hours except in the fat and skin with 0.3 mg/kg.

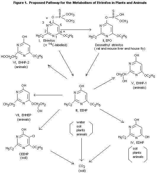
    In the urine and faeces collected for 96 hours neither etrimfos (I)
    nor its oxygen analogue was detected.  The main metabolite in both
    excreta was 6-ethoxy-2-ethyl-4-hydroxypyrimidine (III) in amounts
    of (% of the dose) 48% in the urine and 3% in the faeces.  However
    part of this metabolite is possibly formed from I and
    desmethyletrimfos (II) during the procedures for analysis (see
    below).  Other metabolites found in the urine and faeces (see
    figure 1) were the hydrolysis product of III (IV, 9% and 0.4%
    resp.) and 3 hydroxylation products of III (V, 5% and 0.2% resp.
    and VI and VII, together 3% and 0.04% resp.).  The metabolites III,
    IV and V occurred both free and

    conjugated, the metabolites VI and VII mainly as conjugates
    (Karapally, 1975 and 1977).

    In another study with rats II and III were determined as the main
    metabolites in 12-hour urine and faeces; 65% of the
    14C-radioactivity found was II and 30% III (Ioannou and Dauterman,
    1978).

    In vitro

    Etrimfos is rapidly degraded to water-soluble metabolites, mainly
    desmethyletrimfos (II) and EEHP (III), when incubated with rat or
    mouse liver subcellular fractions.  The oxygen-analogue of etrimfos
    could not be found.  Glutathione-transferases and to a lesser
    extent mixed-function oxidases are the main groups of enzymes
    responsible for etrimfos metabolism (Ioannou and Dauterman, 1978).

    FIGURE 1

    TOXICOLOGICAL STUDIES

    Special studies on antidotes

    Treatment of rats with atropine and obidoxime reduced the mortality
    after oral administration of 3600 mg etrimfos/kg bw (Hamburger and
    Klotzsche, 1978a).

    Special studies on mutagenicity

    Rat

    Groups of 5 male and 5 female rats were administered, by intragastric
    intubation 1500, 3000 or 6000 mg etrimfos/kg bw in two equal dosages
    separated by an interval of 24 hours.  A negative control group
    received 1% methylcellulose, whereas a positive control group was
    dosed by 2 i.p. injections with 8 mg Mitomycin c/kg bw.

    After administration of etrimfos, the aberrant metaphase counts were
    comparable with the control values, whereas Mitomycin C produced the
    expected increase aberrant counts in the bone marrow cells of the
    femurs (Richold and Richardson, 1980).

    Hamster

    Groups of 6 female Chinese hamsters were given s.c. injections of 30,
    100 or 300 mg etrimfos/kg bw twice within 24 hours.  MMS (100 mg/kg,
    orally) was used as a positive control.  Etrimfos did not elicit a
    mutagenic response whereas the number of bone marrow micronuclei was
    increased in the MMS-treated hamsters (Leuschner, 1978).

    Microorganisms

    Etrimfos (97%) in dosages from 0.001 up to 5.0 l/plate was not
    mutagenic in the Ames test using the Salmonella typhimurium
    strains TA-98, TA-100, TA-1535, TA-1537 and TA-1538 and
    Saccharomyces cervisiae D-4, both with and without activation by
    rat liver homogenate (Brusick and Weir, 1976).

    Special studies on reproduction

    Rat

    Groups of 30 males and 30 females were fed dietary concentrations of
    0, 3, 9 and 27 mg/kg in a three-generation, two-litter generation
    reproduction study.  In the B-generations one day before birth 5
    pregnant females were killed and investigated for teratogenic
    symptoms.  The offspring of 5 other females were x-rayed and their
    skeletons examined for abnormalities.  After 21 days the tissues of 10
    male and 10 female weanlings of the III B generation per dose group
    were inspected histopathologically.  The body weight gain and food
    intake of the females were not affected by the treatment.  No effects
    were observed on fertility, gestation, viability, lactation, the

    number of dead foetuses and the pup weight.  Teratogenic events were
    not observed over the course of the study.  At the highest dose level
    cholinesterase activity in plasma and erythrocytes, which was
    determined in the weanlings of the B generations of all groups, was
    slightly depressed, especially in the female rats.  Brain
    cholinesterase activity was not affected.  Gross and microscopic
    examination of tissues of organs of the F III B generation showed no
    changes attributable to etrimfos administration (Carpy and Klotzsche,
    1979).

    Special studies on teratogenicity

    Rabbits

    Groups of 10 rabbits (12 in the control and in the low dose group)
    were given etrimfos orally from day 6 to day 18 of pregnancy at dose
    levels of 0, 25, 50 or 100 mg/kg bw.  On day 29 of gestation the
    animals were sacrificed and a caesarean section was performed.  The
    uterus was examined and the number, location and distribution of the
    foetuses, implantations and resorptions recorded.  Corpora lutea were
    counted.  The foetuses were weighed and examined for external and
    skeletal anomalies.  In the 50 and 100 mg groups the numbers of
    implantations and living foetuses were decreased, whereas the number
    of dead foetuses and weight of the placenta were slightly increased.

    In the low dose group 2 animals with slightly curved hind legs and in
    the highest dose group, in which 43 animals were investigated, one
    animal with a rudimental tail and one animal with a skull deformation
    were observed.  In a historical control group of 286 animals 2 rabbits
    with skull deformations were observed (Hamburger and Klotzsche,
    1978b).

    Special studies on neurotoxicity

    Hen

    Groups of 5-20 chickens were administered etrimfos in gelatine
    capsules at dose levels of 100, 200, 400, 500, 750 or 1000 mg/kg bw. 
    A positive control group was given 2 × 80 mg tri-o-cresyl phosphate
    (TOCP)/kg bw.  Before the treatment the animals received atropine or
    obidoxime by i.v, or i.m. injection.  The observation period varied
    from 21-42 days.  Mortality was increased in all treated groups.

    Doses of 200 mg/kg etrimfos and above caused typical signs of
    organophosphate poisoning.  A delayed neurotoxic response was not
    observed in the chickens treated with etrimfos.  TOCP elicited ataxia
    and paralysis in all 10 animals.  Histopathologically typical
    degeneration changes in the ischias nerve were observed in all
    TOCP-treated animals.  No clear treatment-related alterations were
    found in the nerves of the hens given 100 and 200 mg/kg etrimfos
    (Hamburger and Klotzsche, 1975d).

    Special studies on sensitization

    Guinea pig

    According to the "Guinea pig maximisation test" 20 guinea pigs were
    treated with SAN 197 I as a 5% solution in DMSO and incorporated in
    Freund's adjuvant; 10 guinea pigs served as a control group.  5/20 of
    the treated and 4/10 of the control animals died before the 22nd day.
    A slight development of scales at the application side without any
    inflammatory changes or oedema was noticed at 72 hours after the
    challenge application; no other effects were noticed (Hamburger and
    Klotzsche, 1977b).

    Acute toxicity

    Symptoms of intoxication in rats and mice after oral, i.p. and s.c.
    administration were limpness, lacrimation, salivation, exophthalmus,
    laboured respiration, ataxia, tremors and convulsions.  After dermal
    application to rats and rabbits no toxic symptoms were observed
    (Hamburger and Klotzsche, 1975a; Anonymous, 1979a and Anonymous,
    1979b).

    Rabbit

    Etrimfos (0.5 g) applied in the intact or abraded skin of rabbits was
    found to be not irritating.  Instilled into the eye (100 mg) etrimfos
    produced slight redness of the conjunctivae, which lasted 24 hours, in
    one of six rabbits (Hamburger and Klotzsche, 1975b).



        TABLE 1.  Acute toxicity of etrimfos

                                                                                                                
    species   sex    route      LD50 in mg/kg bw       purity      solvent       references

                                                                                                                

    mouse     M      oral       47O (425-523)          97.2%       water         Hamburger and Klotzsche, 1975a
              F      oral       620 ± 28               97.2%       water             "             "        " 
              M      oral       1120 (1023-1226)       90.5%       corn-oil      Anonymous, 1979a
              F      oral       1100 (930-1289)        90.5%       corn-oil          "        "
              M      oral       535 (24 hours)         -           corn-oil      Ioannou and Dauterman, 1978
              M      i.p.       698 (597-817)          90.5%       corn-oil      Anonymous, 1979a
              F      i.p.       679 (585-788)          90.5%       corn-oil          "        "
              M      s.c.       979 (729-1155)         90.5%       corn-oil          "        "
              F      s.c.       1050 (897-1229)        90.5%       corn-oil          "        "

    rat       M      oral       1800 (765-3733)        97.2%       water         Hamburger and Klotzsche, 1975a
              F      oral       2354 (1841-3008)1      97.2%       water             "             "        "
              M      oral       1930 (1664-2239)       90.5%       corn-oil      Anonymous, 1979b
              F      oral       1970 (1669-2325)       90.5%       corn-oil          "        "
              M      oral       2040 (24 hours)        -           corn-oil      Ioannou and Dauterman, 1978
              M      i.p.       767 (684-873)          97.2%       water         Hamburger and Klotzsche, 1975a
              M      i.p.       1310 (1110-1546)       90.5%       corn-oil      Anonymous, 1979b
              F      i.p.       1140 (950-1368)        90.5%       corn-oil          "        "
              M      i.v.       25.5 ± 1.26            97.2%       water         Hamburger and Klotzsche, 1975a
              F      i.v.       21.0 ± 1.88            97.2%       water             "             "        "
              M      i.m.       4000 ± 116             94.3%       PEG 200       Hamburger and Klotzsche, 1977a
              M      x.c.       3700 (3710-4563)       90.5%       corn-oil      Anonymous, 1979a
              F      s.c.       3690 (3000-4539)       95.5%       corn-oil      Anonymous, 1979b
                     dermal     >2000                  97.2%       water         Hamburger and Klotzsche, 1975a
              M      dermal     >5000                  90.5%       corn-oil      Anonymous, 1979b
              F      dermal     >5000                  90.5%       corn-oil          "        "

    rabbit           dermal     >500                   97.2%       water         Hamburger and Klotzsche, 1975a
                                                                                                                

    1  value corrected by recalculation
    

        TABLE 2.  Acute toxicity of metabolites

                                                                                       

    Species  sex    route     solvent   LD50 (mg/kg)    references

                                                                                       

    rat      M      oral      DMSO      1460 ± 52.5     Hamburger and Klotzsche, 1975e
    rat      F      oral      DMSO      1170 ± 58.5         "             "        "
    mouse    M      oral      DMSO      1530 ± 87.9         "             "        "
    mouse    F      oral      DMSO      1170 ± 94.8         "             "        "
                                                                                       

    P = O analogue of the parent compound

                                                                                       

    species  sex    route     solvent   LD50 (mg/kg)    references

                                                                                       
    rat      M      oral      DMSO      450 ± 35        Hamburger and Klotzsche, 1977c
    rat      M      dermal    DMSO      1000                "             "        "
                                                                                       
    
    Short-term studies

    Rat

    Male and female rats (15/sex/group) were dietary fed 0, 50, 250 or
    1250 mg/kg SAN 197 I (97.2%) in the food for 4 weeks; later on in the
    test groups (5/sex) on 10 mg/kg with corresponding controls were
    added.   The animals were examined for general health, body weight,
    food consumption, haematology, blood biochemistry, urinalysis, organ
    weights and macroscopy.  A decreased cholinesterase activity in
    erythrocytes was observed at 50 mg/kg and higher doses.  Plasma-ChE
    was decreased in females from the 50 mg/kg and in males from the 250
    mg/kg groups, and brain-ChE in females from the 250 mg/kg and in males
    at the 1250 mg/kg groups.  Normochromic anaemia was noticed at 250
    mg/kg and in females at 1250 mg/kg, changes in blood sugar occurred at
    all dosages except 250 mg/kg and changes in reticulocytes at 1250
    mg/kg.  At these dosage the animals showed slight sedation and
    slightly decreased body-weight gain as result of lower food intake
    (Carpy and Klotzsche, 1975a).

    Rat

    Groups of 35 males and 35 females were fed etrimfos at concentrations
    of 0, 3, 9 or 27 mg/kg feed for a period of 13 weeks.  Body-weight
    gain and food intake was recorded throughout the study of 25 females
    and 25 males per group.  After 4, 8 and 13 weeks haematology clinical
    chemistry and urinanalysis was carried out in 10 animals/group.  The
    same number of rats was studied histopathologically and their organ
    weights were recorded.  At the end of the study the glucose
    concentration in serum was increased in both males and females of the
    highest dose level.  The weight of the thyroid of the male rats of the
    highest dose group was significantly decreased.  However microscopic
    examination showed no abnormalities attributable to the presence of
    etrimfos in the diet.  After 8 and 13 weeks the plasma cholinesterase
    activity of the female rats in the 9 mg/kg group was slightly (20-24%)
    and clearly depressed in the 27 mg/kg group (30-37%).  Cholinesterase
    activity in erythrocytes and brain was within normal limits (Carpy and
    Klotzsche, 1975d).

    Rabbit

    Male and female rabbits (5/sex/group) received a dermal application of
    0, 25 or 100 mg/kg SAN 197 I (97.2%) dissolved in polyethylene-glycol
    on patches of intact or abraded skin for 8 hours a day on 5 days a
    week during 2 weeks and were examined for general health, body weight,
    haematology, blood biochemistry, organ weights and macroscopic changes
    (microscopic studies are not yet completed).  One male with intact
    skin out of the 100 mg/kg group died with an enlarged liver.  In the
    males the weight of the spleen was decreased and the weight of the
    thymus increased while in females a decreased weight of the thymus was
    noticed.  The animals with abraded skin showed abnormalities only at
    the high dosage.  Increased organ weights were observed in the female
    liver and heart and in the males in the prostate.  All these changes

    were within the normal range.  The animals with intact skin showed, at
    both dosages, cholinesterase-inhibition in plasma and in erythrocytes.
    In the animals with abraded skin, only in the high dosage, in males as
    well as in the females, was cholinesterase inhibited in plasma and
    erythrocytes (Carpy and Klotsche, 1975b and c).

    Four groups of 4 male and 4 female beagle dogs were fed O, 2.5, 10 or
    40 mg/kg etrimfos (97.2% purity) in the food for 26 weeks.

    Normal values in haematology, blood chemistry, and urinalysis were
    evaluated before starting the study.  These determinations were
    repeated 6 times during the test period: after 1, 4, 8, 13, 19 and 26
    weeks, with exception of BSP which was estimated after 4, 13, and 26
    weeks.  The physical examination included weekly body weight, food
    intake and neurological, oral, behaviourial, and ophthalmoscopic
    inspection.  The haematological parameters investigated were: RBC,
    WBC, differential WBC, MCV, MCH, MCHC, reticulocytes, haemoglobin,
    haematocrit, platelets, and prothrombin time, RBC- and
    plasma-cholinesterase, FBS, BUN, SGPT, SGOT, LDH, uric acid, total
    serum protein, bilirubin, creatinine, serum alkaline phosphatase,
    cholesterol, serum sodium, potassium, calcium, chloride, inorganic
    phosphate, serum albumin, and serum electrophoresis (A/G ratio).  The
    activity of cholinesterase in cerebellum and cerebrum, of the liver
    cytochrome P-450, of the liver drug metabolising enzymes O-, and
    S-demethylases and of the anilin-4-hydroxylase and the amount of
    cholesterol, glycogen, lipids, and total protein contained in the
    liver were estimated at the end of the study.   All animals were
    examined for gross pathology, organ weights and histopathology.  MCH
    and MCHC values were increased in the male animals of the 40 mg/kg
    group.  From the 11th week on plasma and erythrocyte cholinesterase
    activity was depressed in comparison to the pretest and the control
    values, with a plateau of about 40% in both males and females.  In the
    10 mg/kg group a slight depression of cholinesterase activity in
    plasma and erythrocytes especially in comparison to the pre-test
    values was observed in both sexes.  In the cerebrum of the female rat
    of the highest dose group a decrease of 22% of the cholinesterase
    activity was measured.

    From the 13th week on the albumin concentration in serum was
    dose-dependant increased.  However this was not confirmed by
    electrophoresis and had disappeared almost at the end of the study.
    The weight of the organs was within normal limits.  No gross or
    histopathological aberrations were observed (Klotzsche and Carpy,
    1975e).

    Long-term studies

    Rat

    Groups of 40 males and 40 females were fed etrimfos (97.8%) in the
    diet at concentrations of 0, 6, 12 or 24 mg/kg for a period of 2
    years.  Body weight, food consumption and water intake of 30 rats per
    dose and sex were recorded weekly.  After 1, 2 ,3, 6, 9, 12, 15, 18,

    21 and 24 months haematology, clinical chemistry and urinalysis were
    carried out in 5 male and 5 female animals per group.  At the end of
    the study BSP a liver function test was carried out in the control and
    high-dosed females.  In liver homogenates the activity of drug
    metabolising enzymes and the total protein and cholesterol
    concentration were measured at the end of the study.

    All animals dying during the study, or which had to be killed, were
    necropsied and tissues were examined microscopically.  The organ
    weights of 10 rats per dose and sex were recorded.

    There was no clear effect of etrimfos on body weight, food and water
    intake and mortality.  The cholinesterase activity of the plasma and
    erythrocytes of male rats was not affected by etrimfos.  In the
    females the activity of cholinesterase in the plasma of the 24 and 12
    mg/kg group was decreased by 35-50 and 20-30% respectively throughout
    the study.  In the highest dose group a marginal effect was observed
    on the activity in the erythrocytes of the female rats.  Neither in
    the females nor in the males was the cholinesterase activity of the
    brain and the liver of the treated animals significantly different
    from the control values.

    Both in the male and female rats the cytochrome P-450 of the liver of
    the animals of the 12 and 24 mg/kg group was significantly decreased
    in comparison to the controls; however no dose-response relation was
    observed.

    The macroscopic and microscopic examination did not reveal organ
    lesions that could be attributed to treatment.  The tumour rate in
    treated animals corresponded with the incidence in control animals.
    No-effect level of this study is 6 mg/kg (Carpy and Klotzsche, 1976).

    Dog

    Groups of 4 male and 4 female beagle dogs received 0, 4, 10 or 25
    mg/kg etrimfos in their diet, during 106 weeks.  There were no signs
    of adverse behaviour and mortality was not noted.  Growth and food
    consumption were not clearly affected.  Eye examinations during the
    first, 26th, 52nd, 78th and 104th week did not indicate adverse ocular
    changes.

    Haematology, clinical chemistry and urinalysis were carried out in
    week 1 (pre-test), 4, 8, 13 and quarterly thereafter.  Plasma
    cholinesterase activity was decreased in the 10 and 25 mg/kg groups by
    23% and 24% respectively.  The cholinesterase activity of the
    erythrocytes was also decreased.

    No clear differences or sensitivity were seen between males and
    females.  In the cerebrum, cerebellum and liver the cholinesterase
    activity was not depressed.

    Slightly higher activities of N-, O- and S-demethylase activity were
    measured in all treated groups.  However there was no clear
    dose-response relation.  Neither the weights of the organs nor the
    histopathological evaluation revealed indications for treatment-
    related changes in any organ or tissue.  No-effect level of this study
    is 10 mg/kg (Carpy and Klotzsche, 1977).


    RESIDUES IN FOOD

    RESIDUES RESULTING FROM SUPERVISED TRIALS

    Stored grain products

    Wheat grain (variety Probus) was treated in 25 kg lots with
    Satisfar(R) (Ekamet 50 EC) at the rate of 5, 10 or 15 mg/kg ai under
    conditions as close to normal practice as possible.  The grain, which
    was stored in fibre-drums at room temperature, was analysed
    periodically for etrimfos.

    In this small-scale trial the etrimfos content of the wheat grain
    immediately after treatment (zero time) was 50 - 60 percent of the
    application rate.  During the first six months of storage, the amount
    of etrimfos in the grain remained fairly constant.

    In the next six months its amount was reduced to 34-37% of the
    application rate, (or 63-75% of the original concentration in the
    grain).  At the end of 12 months, the grain treated at the rate of 10
    and 15 mg/kg had 100% efficacy against Sitophilus; the grain treated
    at the rate of 5 mg/kg had 90% activity. (CBK 3630/79).

    Several trials were conducted in different countries on wheat, barley
    and corn (table 3).


    FATE OF RESIDUES

    In plants

    The fate of etrimfos in bean and corn plants has been studied (M.
    Akram et al., 1978).  The primary leaves of bean and corn seedlings
    were treated with 14C etrimfos.  The treated leaves and the untreated
    portions of the plants were sampled at 0, 3, 7, 14 and 21 days after
    treatment.  The aqueous rinses and the extracts of the treated leaves
    were examined for the parent compound and its metabolites.  Leaf
    remainder, and untreated portions, were analysed for total
    radiocarbon.

    Etrimfos rapidly volatilised from the leaf surface.  Within the first
    three days after treatment it is lost with a half-life of approx. 3
    days (beans and corn) and during 3 to 15 days with a half-life of

    approx. 10 days from beans and approximately 5 days from corn.  Three
    weeks after treatment the radioactivity, retained by the leaves after
    rinsing, ranged from 33% to 42% for bean, and from 25% to 42% for
    corn.  No translocation to the root system was observed.  A small
    percentage of the applied radiocarbon was present in the untreated
    foliage of bean (0.3-0.6% of the applied radioactivity became
    unextractable in bean leaves, and 0.1-0.3% in corn leaves).

    Leaf rinses (surface residues) of bean and corn contained mainly
    etrimfos and small quantities of 6-ethoxy-2-ethyl-4-hydroxy-pyrimidine
    (EEHP).  Small amounts of the P=O analogue of etrimfos were also
    observed in the corn-rinse.

    The leaf extracts (subsurface residues) of bean and corn contained
    etrimfos and minor quantities of EEHP and five unknown metabolites, of
    which one was tentatively identified as
    2-ethyl-4,6-dihydroxy-pyrimidine; 21-day bean leaf contained 33.5% of
    the applied radioactivity, of which 11.9% was etrimfos, 2.4% EEHP,
    9.7% the unknown metabolites and 9.5% highly polar or conjugated
    metabolites (TLC origin).  All single metabolites were less than 10%
    relative to applied etrimfos; 21-day corn leaf had about 24.3% of the
    applied radioactivity, of which 3.8% was etrimfos, 0.4% EEHP, 15.8%
    the unknown metabolites and 4.3% polar or conjugated metabolites.  All
    single metabolites were less than 10% relative to applied etrimfos.

    The enzyme and acid-hydrolysed aqueous extracts gave essentially the
    same TLC pattern as the unhydrolysed material, with quantitative
    differences.

    From the described results, we learn that etrimfos is lost from
    treated plants in two stages.  EEHP was found as a metabolite, but
    only in quantities of less than 10% of the applied etrimfos.  The P=O
    analogue was not found in bean leaves nor in corn leaves.  No single
    metabolite was present in quantities more than 10% relative to the
    applied etrimfos so that the influence of these metabolites on the
    toxicity of actual residue levels in practical field samples may be
    neglected.  Tolerance recommendations may, therefore, be based on
    residue data of the etrimfos ai only.

    In cereal products

    Wheat grain (variety, Probus) was treated in 25 kg lots with
    Satisfar(R) (Ekamet 50 EC) at the rate of 5, 10 or 15 mg/kg ai.  The
    grain was stored at room temperature and at intervals of 2, 4, 6 and
    12 months, samples of grain were milled and separated into different
    fractions.  Also bread was baked from the flour from these samples.
    Etrimfos residues were analysed in all these samples.

    Etrimfos concentration in the milled fractions of the wheat was the
    highest in the bran and the lowest in the white flour.  During the
    baking process the etrimfos content of the flour was reduced by 58-77%

    in the case of white bread, and 43-65% in the case of whole wheat
    bread.  The etrimfos content of white bread ranged from about 4 to 6%
    of the amount applied and that in the whole wheat bread was in the
    range of 14 to 30% of the amount applied (CBK 3630/79).  Table 4.

    In another trial with wheat, the amount of etrimfos in the white flour
    ranged from 25 to 33% of that actually present in the grain.  Baking
    to bread reduced these residues in the flour by about 50% (CBK
    4119/79).  Table 5.

    In a trial with barley, the wort from free grain contained only 4-6%
    of the etrimfos originally present in the grain.  The wort from malt
    grain had no detectable residue of etrimfos (CBK 4120/79).  Table 5.



        TABLE 3.  Residues of etrimfos (mg/kg) in stored products treated after harvest
                                                                                                                                               
                          Application                        Storage period (months)

    Commodity                       Rate          0        1-2      3-4      6        8-10     12-13    18-24     Remarks           Ref.
    (country)         Type         (mg/kg)      (24 h)
                                                                                                                                               
    Cereal grain

    Barley

    (England)         50 EC           5          2.3     3.2-3.6    2.1     0.8                                 amount treated:
                                                                                                                content: 15%; temp.:    CBK
                                                                                                                0-15°C; untreated       4121/79
                                                                                                                "blank": 0.03-0.04
                                                                                                                mg/kg

    (Kenya)           0.5 Dust 30     2.25       2.1                0.6     0.3                                 amount treated:
                      1 Dust 29       4.5        3.0                1.3     0.8                                 45 kg each,             UK
                      50 EC           5          1.3                0.5     0.2                                 stored in bags;         3770/79
                      2 Dust 22       9          9.7              1.2-2.2  0.8-1.4                              conditions              4149/79
                      50 EC          10          4.1              1.0-2.1  0.5-0.9                              not reported

    Corn(maize)

    (Kenya)           0.5 Dust 30     2.75     0.6-0.8               0.5   0.3-0.4  0.3-0.4      -              amount treated:
                      50 EC           5        1.5-1.6            1.6-1.7  0.8-1.2  1.0-1.1     0.8             45 kg each,
                      1 Dust 29       5.5      0.9-2.6            0.7-1.5  1.0-1.6  0.8-0.9   0.9-1.3           stored in bags;
                      50 EC          10        0.8-4.2            1.7-2.9  1.5-2.5  1.9-2.5   2.5-2.6           storage conditions
                      2 Dust 22      11        1.7-5.5            2.4-3.8  2.2-2.9  1.2-2.4   1.5-2.3           not reported

    Wheat

    (England)         50 EC           5           6.8    5.6-6.1    5.9      3.9                                amount treated:
                      50 EC          10          10.9    6.7-7.2    5.4      6.4                                10 t; 30 t on
                                                                                                                conveyer belt;          CBK
                                                                                                                moisture cont. 11%;     4118/79
                                                                                                                0-17°C; untreated
                                                                                                                "blank": 0.01-1 mg/kg

    TABLE 3.  Continued...

                                                                                                                                               
                          Application                        Storage period (months)
    Commodity                       Rate          0        1-2      3-4      6        8-10     12-13    18-24     Remarks           Ref.
    (country)         Type         (mg/kg)      (24 h)
                                                                                                                                               

    (France)          50 EC           5                   1.9-2.0  1.4-2.0     1.6                              storage conditions not
                      50 EC           7.5                 1.6-2.5  2.1-3.3     2.1-2.9                          reported; samples for   CBK
                      50 EC          10                   3.3-5.4    4.2     2.6-3.8                            analysis: 10 g each     2943/79

    (Kenya)           0.5 Dust 30     2.5         1.2                0.7       1.0     0.8      0.4          amount treated:
                      1 Dust 29       5           2.0                1.8       1.5     1.3      1.0          10 kg each, stored         CBK
                      50 EC           5           1.6                1.0       1.0     0.8      0.5          in bags; storage           3771/79
                      2 Dust 22      10           3.7                2.8       2.7     2.1      1.8          temp. about 15-25°C;       4117/79
                      50 EC          10           2.0                2.5       2.6     2.5      1.7          further conditions         4148/79
                                                                                                             not reported.

    (Switzerland)     50 EC           5           2.9       2.9      2.7       3.0     1.9      1.1    0.6   amount treated: 25 kg
                                                 (<0.1)    (<0.1)   (<0.1)    (0.2)   (0.4)    (0.2) (<0.1)  each, stored in air
                      50 EC          10           5.4       5.8      5.5       5.6     3.4      1.7    1.3   permeable fibre-drums;
                                                 (0.1)     (0.5)    (0.1)     (0.3)   (1.2)    (0.2)  (<0.1) moisture content: 12-14%;  CBK
                      50 EC          15           7.4       7.8      7.6       8.1     5.6                   temp about 16-20°C;        3630/79
                                                 (0.1)     (0.2)    (0.2)     (0.5)   (1.5)                  EEHP residues reported     3707/79
                                                                                                             in brackets; EPO           4209/80
                                                                                                             residues were always
                                                                                                             below 0.002 mg/kg.

    Rape seed
    (England)         EC             10           9-10      8-9     9-10       7-8                           :Bin 2 amount treated:     Stables
                      EC             10          11-15     10-15   13-14      13-14                          10 t each, stored          et al.,
                                                                                                             :Bin 3 in metal bins;      (1979)
                                                                                                             moisture content in seed:
                                                                                                             9-11%; temp. 3-15°C; seed
                                                                                                             in bin 2 was slightly damper and
                                                                                                             more heavily infested by mites
                                                                                                             than in bin 3.  Etrimfos in rape
                                                                                                             seed oil (refined) up to about
                                                                                                             0.5 mg/kg/ in spent meal: 0.05 mg/kg.
                                                                                                                                               


    TABLE 4: Etrimfos1 residues in milled fractions and flour of wheat and in bread

                                                                                                        
    Treatment                        Residues (mg/kg) 2-12 months after treatment
    rate                   2                     4                       6                    12
    5 mg/kg        Etrimfos  EEHP2      Etrimfos    EEHP        Etrimfos    EEHP      Etrimfos    EEHP
                                                                                                        
    Grain            2.92    n.d.3       2.74       n.d.         3.02       0.20       1.89       0.36
    Bran            10.47    1.10        9.94       0.39         9.78       0.38       3.50       2.10
    Grits            8.67    0.62        8.64       0.62         6.83       0.27       3.48       1.02
    White flour      0.82    n.d.        1.02       n.d.         0.73       n.d.       0.70       n.d.
    White bread      0.23    0.05        0.24       0.10         0.21       0.11       0.18       n.d.
    Whole wheat
    flour            n.a.4   n.a.        2.66       0.16         2.33       0.11       1.97       0.37
    Whole wheat
    bread            n.a     n.a.        1.52       0.22         1.33       0.34       0.69       0.23
                                                                                                        

                                                                                                        
    10 mg/kg       Etrimfos  EEHP2      Etrimfos    EEHP        Etrimfos    EEHP      Etrimfos    EEHP
                                                                                                        

    Grain            5.84    0.54         5.50      0.08          5.59      0.34       3.38       1.20
    Bran            15.22    1.92        16.27      0.66         15.83      1.14       6.20       3.34
    Grits           41.29    1.27        15.08      0.73         13.14      1.06       7.74       1.97
    White flour      1.89    0.14         1.75      n.d.          1.47      0.06       0.96       n.d.
    White bread      0.50    0.13         0.61      0.24          0.51      0.20       0.41       n.d.
    Whole wheat
    flour            n.a.    n.a.         5.59      0.39          5.07      0.24       3.70       0.69
    Whole wheat
    bread            n.a.    n.a.         2.83      0.60          2.38      0.51       1.37       0.51
                                                                                                        

    TABLE 4.  Continued...

                                                                                                        
    Treatment                        Residues (mg/kg) 2-12 months after treatment
    rate                   2                     4                       6                    12
    15 mg/kg       Etrimfos  EEHP2      Etrimfos    EEHP        Etrimfos    EEHP      Etrimfos    EEHP
                                                                                                        

    Grain            7.80    0.20         7.61      0.20          8.11      0.46        5.57      1.52
    Bran            16.60    1.50        21.65      1.56         19.70      1.51        9.66      4.34
    Grits           19.41    1.53        20.84      0.93         19.33      1.06       12.14      1.97
    White flour      2.04    0.25         2.62      0.09          2.48      0.10        1.50      n.d.
    White bread      0.74    0.18         0.95      0.49          0.78      0.31        0.54      0.23
    Whole wheat
    flour            n.a.    n.a.         7.99      0.41          7.84      0.40        5.90      0.71
    Whole wheat
    bread            n.a.    n.a.         3.80      0.40          3.77      0.70        2.30      0.46
                                                                                                        

    1 The metabolite P=O etrimfos could not be detected
    2 EEHP = 2-ethyl-4-ethoxy-5-hydroxy-pirimidine
    3 n.d = not detectable
    4 n.a. = not analysed


    TABLE 5.  Etrimfos residues in cereals processed after treatment (in UK) with SATISFAR(R)
                                                                                                                                
    Cereal    Formulation   Rate of             Etrimfos              Amount of       Method of treatment            Reference
                            treatment           residues              grain per
                            (ai/mg/kg)          (ppm)                 treatment
                                                                                                                                
    Wheat     50 EC         5 mg/kg       grain           0.76           6 kg       The required amount of            CBK 
                                          bran            4.62                      Satisfar in 25 ml water           4119/79
                                          offal           3.13                      was sprayed onto grain
                                          white flour     0.25                      tumbling in a 
                                          white bread     0.12                      Bluefinsowaway cement mixer.

                           10 mg/kg       grain           2.51                      Stored in sealed plastic
                                          bran            4.50                      bags.
                                          offal           6.14
                                          white flour     0.63
                                          white bread     0.34

    Barley    50 EC         5 mg/kg       free grain      1.07                                                        CBK 4120/79
                                               wort       0.07
                                               spent      0.63
                                          malt grain      0.21
                                               wort       n.d.
                                               spent gr   0.07

                           10 mg/kg       free grain      3.50
                                               wort       0.16
                                               spent gr   0.52

                                          malt grain       -
                                               wort       n.d.
                                               spent gr   0.11
                                                                                                                                
    

    In cattle

    A three level feeding study in dairy cattle with etrimfos incorporated
    in the diet at levels 0.5, 1.5 or 5 mg/kg etrimfos was conducted.  The
    milk production was not affected.  The cows, sacrificed after 28 days
    of feeding, had only less than 0.01 mg/kg etrimfos in the muscle,
    liver, kidney and fat. Etrimfos residue in the milk throughout the
    study was less than 0.01 mg/kg.  The residue in the milk solids
    separated from the 21st and 28th day samples also had only 0.01 mg/kg
    etrimfos (CBK 3011/77).

    In soil

    Degradation of 14C etrimfos in a sandy loam, silt loam and silty clay
    loam soil was studied.

    The soils treated with 14C-etrimfos at the rate of 5 mg/kg were
    incubated at room temperature for 70 days.  At selected time intervals
    during the incubation period, the soil samples were analysed for the
    parent and degradation products.

    Etrimfos was rapidly hydrolysed, in all soils, to
    6-ethoxy-2-ethyl-4-hydroxy-pyrimidine (EEHP).  Its amount was reduced
    to 50% in 3-8 days, and to 10% in 15-30 days.

    The formation of EEHP paralleled the dissipation of etrimfos.  Its
    proportions reached a maximum of 75-85% in 14-28 days, after which
    period its concentration began to decrease.  The disappearance of EEHP
    was fastest in silt, and rather slower in sand, and still more so in
    clay.  At the end of 70 days, the amounts of EEHP in silt, sand and
    clay were 4, 18 and 52% respectively.

    A further metabolite, tentatively identified as
    5-chloro-6-ethoxy-2-ethyl-4-hydroxy-pyrimidine (CEEHP), was detected
    in all soil extracts.  Its formation seemed to be related to the
    dissipation of EEHP, and its occurrence was highest in silt (24%),
    followed by sand and clay (6%).

    The soil-"bound" residues became significant only after EEHP began to
    be metabolised.  A maximum of 12% of these was observed for sand, and
    21% for silt and clay.  Further extraction with methanol-water 75:25
    reduced the bound residue to <10%, the metabolites being mainly EEHP
    and CEEHP.

    The radiocarbon lost from the soil during the 70 days' incubation
    amounted to 60% for sand or silt and 25% for clay.  In a separate
    experiment, using sandy loom soil treated with 14C-etrimfos, it was
    demonstrated that the radioactivity lost from the soil was due to the 
    14CO2, which began to be generated after a time lag of at least 20
    days (CBK 3002/77).

    Photodegradation

    in water

    Under blacklight and daylight, which contain essentially no shorter
    wave lengths than natural sunlight, aqueous solution of etrimfos (5
    mg/kg) was quite stable: degradations of 10% (blacklight) and 5%
    (daylight) occurred within 24 hours of exposure.  Under mercury arc
    light, approx. 45% degraded during the same time (CBK 1642/75).

    on glass plates

    2.5 mg of etrimfos, spread over an area of 70 cm2 and covered with
    quartz plates, was exposed to the same light sources as in water.
    Degradation, after 24 hours under the following conditions, was
    daylight <5%, blacklight <5%, mercury light ‰ 25%, (CBK 1642/75).


    METHODS OF RESIDUE ANALYSIS

    Two methods have been developed - one for determining etrimfos the P=O
    analogue and 2-ethyl-4-ethoxy-6-hydroxypyrimidine (EEHP), the
    hydrolysis product of etrimfos (CBK 2178/76) and the other for
    determining etrimfos only (CBK 3649/79).  In both methods grain is
    dealt with in the same manner as vegetable crops.

    The P=O analogue of etrimfos has been detected in the stored grain
    products.  The amount of EEHP in the grain is generally quite low and
    hence, in these cases, the method CBK 3649/79 is recommended.

    In these methods etrimfos residues are extracted with acetone and
    partially cleaned up by partitioning between water and methylene
    dichloride.  If only etrimfos is to be determined, the methylene
    dichloride solution is further cleaned up on a silica gel column and
    determined by gas chromatography using a flame photometric detector
    (P-mode).  If the P=O analogue and EEHP are to be included, the
    methylene dichloride solution is further cleaned up on a
    polyethylene-coated alumina column and determined by gas
    chromatography using a nitrogen specific detector.

    A series of CBA reports on residues in food and fats in the
    environment were submitted by Sandoz Ltd. to FAO for this evaluation.


    EVALUATION

    Etrimfos is a broad-range non-systemic contact and stomach
    organophosphorous insecticide, which was introduced in 1972 and is
    registered and/or used in a considerable number of countries.  It is
    effective against biting and sucking insects such as Lepidoptera,
    Coleoptera, Diptera and to a variable extent, Hemiptera at 0.25-0.75

    kg ai/ha.  It is mainly used on fruit, vegetables, maize and
    ornamental plants, but also on alfalfa and paddy rice, as an
    emulsifiable concentrate or as granules.

    Studies of the metabolism and distribution of etrimfos in rats have
    been undertaken with 14C in the pyrimidine moiety.  This has provided
    useful information on the pyrimidine portion of the molecule, but
    disposition and kinetic data on the whole molecule of etrimfos and its
    triester metabolites are required.  This is especially important since
    the compounds containing a fully-esterified phosphoroticate or
    phosphate group are the more toxic.

    In rats and rabbit no effects on reproduction, including
    teratogenicity, were observed.  A mutagenic response was negative as
    shown by a rat metaphase analysis, a hamster bone marrow micronuclei
    count, and an Ames test.

    Etrimfos did not induce a delayed neurotoxic response, as generally
    noted with TOCP, in hens.  A skin-sensitisation study in guinea pigs
    was negative.

    Etrimfos and the main metabolite
    O-6-ethoxy-2-ethyl-4-hydroxypyrimidine (EEHP) were slightly toxic
    following acute administration to various animal species.  The effects
    of etrimfos were typical of those caused by cholinesterase inhibitors.

    Several short- and long-term toxicity studies have been carried out
    with rats and dogs.  The macroscopic and microscopic examination in
    these studies did not reveal lesions in organs attributable to
    etrimfos.  The tumour incidence in treated animals corresponded with
    that in control animals.  In both species etrimfos produced
    cholinesterase inhibition.

    Based on the two-year studies with both rat and dog a temporary ADI
    was recommended.

    Although it is known that data from supervised trials (pre-harvest
    use) exist, which show that residues in many fruits and vegetables,
    potatoes, maize and rape are in the range 0.05 to 0.5 mg/kg when
    etrimfos is used in accordance with good agricultural practice,
    information was not made directly available for consideration by the
    meeting.

    However, in recent tests and trials carried out in England, France,
    Kenya and Switzerland etrimfos was also found efficacious against
    moths, (malathion-resistant) beetles and (lindane-resistant) mites in
    stored crops, especially grain and rape seed.  Recommended rates for
    dusting or spraying wheat, barley, maize (corn) or rape seed are 5 to
    10 mg/kg.  Depending on storage conditions (e.g. degree of
    infestation, climate, storage period) lower or, exceptionally, higher
    dosages up to 15 mg/kg appear appropriate.

    Etrimfos in stored rape seed shows no significant loss after 6 months
    storage and the estimated half-life in stored grain is about 3 to 8
    months.  Etrimfos is rapidly lost from treated plants (beans, maize),
    about half within the first 3 days, with a half-life of about 5 to 10
    days between the 3rd and the 15th day after application, probably
    owing to the different rate of volatilisation of the initial deposit
    and of the residue after penetration into the surface layer.

    In degradation studies with plants treated with 14C-etrimfos,
    labelled at carbons 4 and 6 in the pyrimidinyl ring the metabolites
    O-6-ethoxy-2-ethyl-4-hydroxypyrimidine (EEHP) and 2-ethyl-4,
    6-dihydroxypyrimidine (EDHP) were identified.  Small amounts of the
    etrimfos P=O analogue (EPO) were also observed, but only on the plant
    surface.  In stored grain EEHP was the only metabolite found in
    significant quantities.

    After a single oral does of 50 mg etrimfos/kg, rats excreted more than
    50% as EEHP in urine and faeces, with smaller amounts of EDHP,
    6-ethoxy-4-hydroxy-2-(1-hydroxyethyl) pyrimidine (EEHP-1), its
    2-(2-hydroxyethyl) pyrimidine analogue (EEHP-2) and
    2-ethyl-4-hydroxy-6-(2 hydroxyethoxy) pyrimidine (EHHEP).  In rat
    liver preparations desmethyl-etrimfos was also detected.

    In soils the half-life of etrimfos is about 3 to 8 days: degradation
    results in EEHP, EDHP and finally carbon dioxide.  General degradation
    pathways are thus similar in plants, animals and soils, although
    proportions of individual metabolites may vary.  Hydrolysis of the
    phosphorothioate ester seems to be the most significant pathway,
    yielding products of lesser toxicological importance.

    When dairy cattle were fed with diets containing 5 mg etrimfos/kg for
    28 days, etrimfos residues were always below 0.01 mg/kg in meat, milk,
    fat and edible offals.

    Processing wheat, treated with 10 mg atrimfos/kg and stored for 2 to
    12 months, resulted in etrimfos residues up to 16.3 mg/kg in raw bran,
    5.6 mg/kg in wholemeal flour, 2.8 mg/kg in wholemeal bread, 1.9 mg/kg
    in white flour and 0.6 mg/kg in white bread.  Provisional information
    on barley treated with 5 to 10 mg etrimfos/kg and used for malting and
    brewing showed etrimfos residues up to 0.6 mg/kg in spent grain and
    0.2 mg/kg in wort.  When stored rape seed containing 10 to 15 mg
    etrimfos/kg was used for oil production, preliminary results indicated
    that 95-100% of the etrimfos was lost during the refinement of the oil
    and that the greatest looses occurred by degradation during bleaching
    and steam distillation.  No residues were detected in the spent meal.

    Analytical methods for determining residues of etrimfos, EEHP and EPO
    have been reported.  Residues are extracted with acetone and partially
    cleaned up by partitioning between water and dichloromethane.  For the
    determination of etrimfos as such the dichloromethane solution is
    further cleaned up on a silica gel column and analysed by gas
    chromatography using a flame photometric detector in the P-mode.  The
    latter method is suitable for adaptation to regulatory purposes.

    Level causing no toxicological effect

    Rat: 6 mg/kg in the diet equivalent to 0.3 mg/kg bw/day.
    Dog: 10 mg/kg in the diet equivalent to 0.25 mg/kg bw/day.

    Estimate of acceptable daily intake for man 

    0-0.003 mg/kg bw/day.


    RECOMMENDATIONS OF RESIDUES LIMITS

    The Meeting concludes that the residue levels listed below are
    suitable for establishing temporary maximum residue limits.  The MRLs
    should remain as temporary limits, irrespective of the status of the
    ADI, until items 1) and 2) of the further work or information,
    required by 1982, are provided.  The limits refer to the parent
    compound etrimfos only.

                                                                   
    Commodity                (mg/kg)     Remarks
                                                                   

    Bran of wheat              20
      (unprocessed)
    Barley, maize, wheat       10
    Wheat flour (wholemeal)    10
    Wheat flour (white)         2
    Rape seed                  10
    Rape seed oil (refined)     0.5
    Carcass meat of cattle      0.011  )  These levels are based
    Milk                        0.011  )  on animal feeding studies.
    Cattle meat byproducts      0.011  )
                                                                   

    1 At or about the lower limit of determination


    FURTHER WORK OR INFORMATION

    Required (by 1982)

    1.  Adequate additional residue data from large-scale supervised
    trials on cereal grains and their products.
    2.  Further residue data on rape seed and its oil (raw and refined).
    3.  Information on national use patterns and results of supervised
    trials on growing crops destined for human or animal consumption.
    4.  Data on the amount and nature of the residues to be expected in
    eggs and meat of poultry fed on treated grain.

    Desirable

    1.  Data on residues on food in commerce and at consumption.
    2.  Information on national maximum residue limits.

    3.  Analytical method for the determination of residues in food of
    animal origin.
    4. Observations in man.


    REFERENCES

    Akram M., Ahmad S., and Forgash, A. J. Agric. Food Chem. Vol. 26, No.
    4; 925-931.

    Anonymous. Etrimfos. Identity. Unpublished report, undated from Sandoz
    Ltd. submitted to the World Health Organization by Sandoz Ltd.

    Anonymous. Etrimfos. Acute oral, subcutaneous and i.p. LD50 in male
    and female mice. (1979a) Unpublished reports ref. Agro Dok CBK
    3909/79, 3910/79 and 3911/79, from Sandoz Ltd. Agro Development
    Toxicological Department, submitted to WHO by Sandoz Ltd.

    Anonymous. Etrimfos. Acute oral, subcutaneous, i.p. and dermal LD50
    in male and female rats. (1979b) Unpublished reports ref. Agro Dok CBK
    3912/79, 3913/79, 3914/75 and 3915/79, from Sandoz Ltd. Agro
    Development Toxicological Department, submitted to WHO by Sandoz Ltd.

    Anonymous. The Pesticide Manual (6th edition), p.255. The British Crop
    Protection Council. (1979c).

    Brusick, D.J. and Weir, R.J. Mutagenicity evaluation of etrimfos. 
    Unpublished report no. 2683 ref. Agro Dok CBK 2545/77, dd. 30 December
    1976 from Litton Bionetics submitted to WHO by Sandoz Ltd.

    Carpy, S. and Klotzsche, C. San 197 I. 4-Week feeding study in rats.
    Unpublished report no. Agro Dok CBK 754 b/73, dd. 18 March 1975, from
    Sandoz Ltd., Agrochemical Research Department, Toxicological Section,
    submitted to WHO by Sandoz Ltd.

    Carpy, S. and Klotzsche, C. San 197 I. 2-Week dermal study in rabbits
    intact skin. Unpublished report no. Agro Dok CBK 1727/75, dd. 15 April
    1975, from Sandoz Ltd. Agrochemical Research Department, Toxicological
    Section, submitted to WHO by Sandoz Ltd.

    Carpy, S. and Klotzsche, C. San 197 I. 2-Week dermal study in rabbits,
    abraded skin. Unpublished report no. Agro Dok CBK 1728/75, dd. 30 May
    1975, from Sandoz Ltd. Agrochemical Research Department, Toxicological
    Section, submitted to WHO by Sandoz Ltd.

    Carpy, S. and Klotzsche, C. San 197 I. 3-Month feeding study in rats.
    Unpublished report ref. Agro Dok CBK 1720/75, dd. 18 March 1975, from
    Sandoz Ltd. Agrochemical Research Department, Toxicological Section,
    submitted to WHO by Sandoz Ltd. 

    Carpy, S. and Klotzsche, C. San 197 I. 6-Month feeding study in dogs.
    Unpublished report ref. Agro Dok CBK 1715/75, dd. 12 February 1975,
    from Sandoz Ltd. Agro chemical Research Department, Toxicological
    Section, submitted to WHO by Sandoz Ltd.

    Carpy S. and Klotzsche, C. Etrimfos, 2-Year feeding study in rats.
    Unpublished report no. 25/76 ref. Agro Dok CBK 1869/76, dd. 19 August
    1976, from Sandoz Ltd. Agrochemical Research Department, Toxicological
    Section, submitted to WHO by Sandoz Ltd.

    Carpy S. and Klotzsche, C. SAN 197 I. 2-Year feeding study in dogs.
    Unpublished report no. 41/77 ref. Agro Dok CBK 2568/77, dd. 3 August
    1977, from Sandoz Ltd., Agro chemical Research Department,
    Toxicological Section, submitted to WHO by Sandoz Ltd.

    Carpy S. and Klotzsche C. San 197 I. 3-Generation study in rats.
    Reproduction and teratogenicity data. Unpublished report ref. Agro Dok
    CBK 3835/79, dd. 26 February 1979, from Sandoz Ltd., Agrochemical
    Research Department, submitted to WHO by Sandoz Ltd.

    Hamburger, F. and Klotzsche, C. San 197 I. Acute toxicity tests.
    Unpublished report ref. Agro Dok CBK 754c/73, dd. 10 March 1975, from
    Sandoz Ltd., Agrochemical Research Department, Toxicological Section,
    submitted to WHO by Sandoz Ltd.

    Hamburger, F. and Klotzsche, C. San 197 I. Primary skin and eye
    irritation tests in rabbits. Unpublished report ref. Agro Dok CBK
    1725/75, dd. 18 March 1975, from Sandoz Ltd., Agrochemical Research
    Department, Toxicological Section, submitted to WHO by Sandoz Ltd.

    Hamburger, F. and Klotzsche, C. San 197 I. Neurotoxicity in chickens.
    (With addendum for histopathological investigations for ischias
    nerves.) Unpublished report ref. Agro Dok CBK 1852/75, dd. 18 March
    1975, from Sandoz Ltd., Agrochemical Research Department,
    Toxicological Section, submitted to WHO by Sandoz Ltd.

    Hamburger, F. and Klotzsche, C. Acute oral LD50 in rats and mice
    (2-ethyl-4-ethoxy-6-hydroxy-pyrimidine). Unpublished report ref. Agro
    Dok CBK 1777/75, dd. 18 March 1975, from Sandoz Ltd., Agrochemical
    Research Department, Toxicological Section, submitted to WHO by Sandoz
    Ltd.

    Hamburger, F. and Klotzsche, C. San 197 I. Acute intramuscular LD50
    in rats. Unpublished report ref. Agro Dok CBK 2518/77, dd. 21 February
    1977, from Sandoz Ltd., Agrochemical Research Department,
    Toxicological Section, submitted to WHO by Sandoz Ltd.

    Hamburger, F. and Klotzsche, C. San 197 I. Sensitization test in
    guinea pigs. Unpublished report ref. Agro Dok CBK 2519/77, dd. 22
    February 1977, from Sandoz Ltd., Agrochemical Research Department,
    Toxicological Section, submitted to WHO by Sandoz Ltd.

    Hamburger, F. and Klotzsche, C. San 197 I (P=O analogue). Acute oral
    and dermal LD50 in rats. Unpublished report, ref. Agro Dok CBK
    2551/77, dd. 24 February 1977, from Sandoz Ltd., Agrochemical Research
    Department, Toxicological Section, submitted to WHO by Sandoz Ltd.

    Hamburger, F. and Klotzsche, C. San 197 I. Antitode test in rats.
    Unpublished report, ref. Agro Dok CBK 3126, dd. 11 April 1978 from
    Sandoz Ltd., Agrochemical Research Department, Toxicological Section,
    submitted to WHO by Sandoz Ltd.

    Hamburger, F. and Klotzsche, C. San 197 I. Teratogenicity test in
    rabbits. Unpublished report, ref. Agro Dok CBK 3132/78, dd. 22 June
    1978 from Sandoz Ltd., Agrochemical Research Department, Toxicological
    Section, submitted to WHO by Sandoz Ltd.

    Ioannou, U.M. and Dauterman, W.C. In vitro metabolism of etrimfos by
    rat and mouse liver. Pesticide Biochemistry and Physiology 9, 190-195.

    Jucker, O. and Riggenbach, A. Etrimfos. Composition of technical
    active ingredient. Unpublished report ref. Agro Dok CBK 3572/79e, dd.
    1 November 1979, from Sandoz Ltd., Agro Development, Registration
    submitted to WHO by Sandoz Ltd.

    Karapally, J.C. Absorption, blood level, distribution and excretion of
    SAN I 197 in the rat following a single oral dose. Unpublished report
    ref. Agro Dok CBK 1829/75, dd. 21 April 1975, from Sandoz Ltd.,
    submitted to WHO by Sandoz Ltd.

    Karapally, J.C. Metabolism of 14C-Etrimfos in the rat. Unpublished
    report, ref. Agro Dok CBK 3005, dd. 10 May 1977, from Sandoz Ltd.,
    submitted to WHO by Sandoz Ltd.

    Leuschner, F. Mikronucleus-test am Knockenmark von chinesischen
    Hamstern (Test-präparat: Etrimfos). Unpublished report ref. Agro Dok
    CBK 3136/78, dd. 4 July 1978, from Laboratorium für Pharmakologie und
    Toxikologie, Hamburg submitted to WHO by Sandoz Ltd.

    Richold, M. and Richardson, J.C. Motaphase analysis on SAN 197.
    Unpublished report ref. CBK I 4798/80, dd. 24 April 1980, from
    Huntingdon Research Centre submitted to WHO by Sandoz Ltd.

    


    See Also:
       Toxicological Abbreviations
       Etrimfos (Pesticide residues in food: 1982 evaluations)