IPCS INCHEM Home

    TRIFORINE         JMPR 1978

    Explanation

         Limited information on triforine was reviewed by the 1977
    Meeting (FAO/WHO, 1978b). No ADI could be allocated owing to lack
    of data. Information which has now become available is evaluated in
    the following monograph addendum.

    IDENTITY

         The following information supplements that given in FAO/WHO,
    1978b.

    Alternative chemical name

         N,N'-[1,4 piperazinediyl-bis-(2,2,2-trichloroethylidine)] -
    bis-[formamide]

    Synonyms

         WOS 524, Denarin (R)

    Other information on identity and properties

              Melting point:      approx. 155°C (decomposition)

              Vapor pressure:     2,6 . 10-7 Torr at 25°C

              Stability:          Stable under normal conditions

              Solubility:

                  Water:          approx. 6 ppm at room temperature;
                                  low solubility in most common organic
                                  and inorganic solvents

    Purity

              The technical product contains 99 ± 2% pure triforine.

    Impurities

              max. 05%            N-(1-formamido-2,2,2-trichloro)
                                  ethyl-N'-formylpiperazine

              max. 0.5%           N-(1-formamido-2,2,2-trichloro)
                                  ethyl-piperazine

              max. 0.05%          piperazine

              max. 0.2%           water

              max. 0.1%           chloride

    EVALUATION FOR ACCEPTABLE DAILY INTAKE

    BIOCHEMICAL ASPECTS


    Absorption, distribution, excretion

         Following oral and intraperitoneal administration of
    (3H)-labelled triforine to rats at doses of 2.3 mg per animal
    approximately 74% of the oral administration dose were excreted in
    the urine and 17% in the faeces, whereas after intraperitoneal
    administration, 46% and 7% were excreted in urine and faeces
    respectively within 24 hours. 18% of an orally administered dose
    and 23% of an intraperitoneally administered dose were excreted in
    the bile in 24 hours. Only 0.2% of the administered radioactivity
    was detected 150 hours after per os application in liver, kidney,
    lung, heart and stomach (Darda, 1971).

         In another more extended study triforine (3H)-labelled in the
    piperazine ring or (14C)-labelled in both sides chains was orally
    administered to rats at various dose levels. Determination of blood
    level, renal, faecal and biliary excretion were performed after
    application of 9 - 15 mg/kg b.w, whereas renal and faecal excretion
    measurements were also carried out under the application of
    increased doses, of 25 - 200 mg/kg b.w. Following (3H)-triforine
    application the maximum blood level reached after 4 hours was 1.3%.
    Within 24 hours 74% of the applied activity was eliminated in
    urine, 17% in faeces, thus confirming the results of the previous
    study. A total of 1.9% of the applied radioactivity was excreted in
    the urine as tritiated water within 6 days. Following
    (14C)-triforine administration 52% of the dose was eliminated with
    urine and approximately 40% in faeces within 24 hours. The
    different excretion pattern of the radioactivities after (3H)- and
    (14C)-triforine respectively indicates a side chain degradation of
    the triforine molecule. After treatment with increased doses of
    triforine the excretion rates of the radioactivity were comparable
    and biliary excretion studies confirmed the results obtained in the
    first study (Darda, 1977). As major urinary metabolite in rats the
    compound N-[2,2,2-trichloro-1-(piperazine-1-yl) ethyl] -formamide
    could be identified, the occurrence of it confirms the degradation
    by cleavage of one side chain of the triforine molecule. In faeces
    a small portion of unchanged triforine was found. Presumably
    metabolites of the side chains, originating from the bile are also
    eliminated with the faeces (Darda, 1977).

    TOXICOLOGICAL STUDIES

    Special study on mutagenicity

         In vitro studies using the Salmonella typhimurium strains TA
    100 and TA 98 as Indicator organisms gave no indication of a
    mutagenic action of the test-substance with or without metabolic
    activation (Obemeier and Frohberg, 1977).

    Special study on reproduction

         In a three-generation study groups of 10 male and 20 females
    were administered 0, 100, 500 and 2500 ppm triforine in the diet.
    The treatment had no adverse effect on the general health condition
    of dame and pups. No marked intergroup differences in body weight
    development was found, including the weight gains in females during
    the periods of gestation and laceration. Reproduction and other
    parameters were not influenced. Single malformations were
    distributed over all groups including control. Autopsy and organ
    weight determinations of a part of animals of the F3b generation
    did not reveal abnormalities except an increase in absolute spleen
    weights of male animals at 2500 ppm; no histopathological findings
    were detected in any of the dose groups that could be connected
    with the administration of the test compound (Niggeschulze et al.,
    1974).

    Special study on teratogenicity

         Groups of 20 pregnant rats were orally dosed with 100, 400,
    800 and 1600 mg/kg b.w. from day 6 through 15 of gestation. The
    dams tolerated doses of up to 1600 mg/kg without signs of
    incompatibility. Reduced body weight compared to control was found
    in females treated with 1600 mg/kg determined on day 19 of
    gestation. At 1600 mg/kg various differences in the parameters
    compared to control were observed. The number of fetuses was
    reduced and accordingly an increase in the number of resorptions
    was found. 3 fetuses were dead (0 in the control group). Moreover
    post-implantation loss was increased. Treatment with 800 mg/kg and
    above caused an increased number of variations consisting mainly in
    retarded ossifications of the sternebrae. No malformations were
    found in any of the dose groups. The results of this study show
    that triforine may cause embryotoxic, but no teratogenic effects
    (Leuschner, 1972).

    Special study on carcinogenicity

         See also long term study.

         Groups of NMRI-EMD-SPF mice, each consisting of 40 male and 40
    female animals were fed a diet containing the test compound at
    concentrations of 0, 30, 150 and 750 ppm for a period of 81 weeks.
    The feeding did not influence the general appearance, behaviour,
    body weight gain, food consumption, mean life duration. No

    intergroup difference was evident with respect to incidences,
    location and type of tumours (Hofmann et al., 1975).

    Acute Toxicity

                                                                           
    Species   Sex     Route             LD50        References
                                        mg/kg
                                                                           
    Rat       M F     oral              > 16'000     Frohberg et al., 1973

    Rat       M F     dermal            > 10'000     Frohberg et al., 1973

    Rat       M F     inhalation        > 4'500      Bullock et al., 1975
                      (LC50 1 hours)  mg/m3air

    Mouse     M F     oral              > 6'000      Muacevic, 1968

    Dog       M F     oral              > 2'000      Muacevic, 1969

    Quail     M F     oral              > 6'000      Muacevic, 1970
                                                                           

         Rabbits tolerated the single instillation of 0.1 g triforine
    into the conjunctival sack without any signs of irritation
    (Frohberg et al., 1973).

    Short term studies

    Rat

         Groups of rats, each consisting of 10 male and 10 female
    animals, received doses of 2 ml/kg b.w. triforine at concentrations
    of 0.5 and 1.5% by dermal application to the abraded or intact skin
    for up to 21 days. The daily exposure time was 4 hours. Slight
    reddening and swelling (max. degree 1 according to Draize),
    presumably treatment-independent, was observed in the treated as
    well as in control animals at the application site. No abnormal
    findings were found as regards general appearance, body weight
    gain, food consumption, haematological parameters, clinical
    chemistry, macroscopic and microscopic examinations of organ and
    tissues (Leuschner et al., 1972).

         Over a period of 13 weeks groups of 30-50 male and female
    animals were maintained on a diet supplemented with 0, 2500, 7000
    and 20'000 ppm triforine. Part of the animals of the highest dose
    group was observed during a recovery period of 6 weeks after
    cessation of treatment. At 20'000 ppm in male animals only the mean
    body weight gain was reduced. Haematological investigations
    revealed in all dose groups a reversible decrease in the
    erythrocyte count, haemotocrit value and an increase in the number
    of reticulocytes, particularly in females. Doses of 7000 ppm and

    above caused additionally siderosis in kidney and lungs (Stötzer et
    al., 1971a).

         In a supplementary study lasting also for 13 weeks rats (30
    animals per dose level) were fed dosages of 0, 100 and 500 ppm
    triforine. The feeding did not influence the mean body weight gain,
    food consumption, values of haematological and clinical chemistry
    examinations. No alteration in the organ weights was observed that
    could be attributed to treatment, nor were there any abnormal
    macroscopic or microscopic findings in the organs or tissues
    examined (Stötzer et al., 1971b).

         Groups of rats each consisting of 10 male and 10 female
    animals were maintained on a diet containing the test compound at
    concentrations of 0, 25, 125, 626 and 3125 ppm for a period of 26
    weeks. The only substance-induced changes were an increase in the
    reticulocyte count, and reduction of the number of erythrocytes as
    well as haemotocrit value at 625 ppm and above. A dose-dependent
    increase of the absolute and relative liver weights in female
    animals of all treatment groups was found. As was demonstrated in
    a complementary study, where in addition two other groups of
    control animals used in previous experiments were used for the
    calculations of normal liver weight values, the increased liver
    weights of treated animals only were significantly different from
    the control value in the 3125 ppm dose group. At autopsy no
    abnormal findings were detected, whereas the histological
    examination revealed an increase in the siderin deposits in liver
    and spleen from 625 ppm onwards (Stötzer et al., 1972a).

    Dog

         Over a period of 13 weeks 8 animals (4 male and 4 female) per
    dose level were fed with a diet supplemented with triforine at
    dietary levels of 0, 3500, 10'000 and 30'000 ppm. Another 8 dogs
    treated with 30'000 ppm were observed during a recovery period of
    6 weeks. Doses of 3500 ppm and above caused reduction in the number
    of erythrocytes, haematocrit value and Hb content and an increase
    in the reticulocyte count. In the recovery period these changes
    returned to normal. Slight reversible dose-dependent increases of
    the SAP and bilirubin values were found at 10'000 ppm and above,
    whereas cholesterol was increased in all dose groups.
    Macropathological examination revealed no substance-induced
    alterations; variations in the organ weight showed no clear
    dose-relationship. The microscopic examination of tissues showed
    changes in the heart in several treated animals consisting of fatty
    infiltration of the myocardial fibres. Hemosiderosis of the
    Kupffer's cells of the liver was found in all treatment groups. A
    dose-relationship in frequency was evident. It was not possible to
    achieve a no effect level in this trial (Stötzer et al., 1971c).

         A supplementary 13-week feeding study using dose levels of 0,
    100, 600 and 3500 ppm was performed with groups of 8 animals (4 of
    each sex). The general appearance, body weight gain, food
    consumption and the results of urinalyses were not influenced by
    the treatment. At 3500 ppm the of erythrocytes haematocrit value
    and the Hb content were reduced, whereas no significant increase in
    the reticulocyte count was found at any dose level. The parameters
    of clinical chemistry including glucose, SGPT, BUN, SAP, bilirubin
    and cholesterol values did not differ from normal, whereas at 3500
    ppm a decrease of the total serum protein level was observed.
    Autopsy revealed no abnormalities, the relative spleen weights 
    however were significantly increased at 3500 ppm. At 600 ppm and 
    3500 ppm a dose-dependent increase in the frequency of iron positive 
    pigment deposits was detected in the Kupffer's cells of the liver, 
    in the spleen and bone marrow (Leuschner et al., 1971).

         Groups of 4 beagle dogs (2 of each sex) obtained food
    supplemented with 0, 10, 40, 100 and 1000 ppm of the test compound
    for a period of 6 months. The only changes that are considered to
    be treatment-related were a slight increase in erythropoiesis in
    the bone marrow at 1000 ppm and an increase in the mitotic index of
    the erythropoietic system in one animal of this dose group.
    Moreover increased cholesterol values and hemosiderosis of the
    Kupffer's cells with increased frequency at 1000 ppm were
    demonstrated. Fatty infiltration of liver of cells was found in
    some treated animals (Stötzer et al., 1972b).

         Triforine was fed over a period of 104 weeks to groups of 8
    beagle dogs (4 males and 4 females) at dietary concentrations of 0,
    10, 40, 100 and 1000 ppm. No intergroup differences were evident
    concerning mean body weight gain, food consumption, general
    appearance behaviour and also parameters of the haematological
    examinations. Only at the highest dose level of 1000 ppm changes
    were observed that could be associated with the administration of
    the test compound. These changes included an increase in the number
    of cells of the erythropoietic system, and a corresponding decrease
    in cells of the granulopoietic system in the bone marrow. A mitotic
    index above normal was found in one animal of this dose group.
    Increased siderosis of the Kupffer's cells of the liver compared to
    the control was also evident at the highest dose level, whereas no
    marked differences between control and treated animals could be
    demonstrated as regards the iron content in spleen. Bone marrow
    examinations revealed siderosis in two animals of the 1000 ppm
    group.

         The results of urinalyses showed slight proteinuria in most of
    the treated animals after 78 weeks of treatment. These changes were
    not accompanied by histopathological alterations of the kidney and
    are therefore not considered to be substance-induced (von
    Sandersleben et al., 1974).

    Long term studies

    Rat

         Triforine was fed over a period of 104 weeks to groups of
    70-100 rats (35-50 of each sex) at dietary concentrations of 0, 25,
    125, 625 and 3125 ppm. Mortality, mean body weight gain, food
    consumption, general appearance and behaviour were not affected by
    the treatment. After 6 weeks of feeding haematological changes were
    found consisting of reduction of the red blood count. haematocrit
    value and an increase in the number of reticulocytes; all these
    transient differences indicating a slight anaemia reached
    significance only in the animals fed with 3125 ppm compared to 
    control. Results of clinical chemistry examinations and urinalyses
    were within normal control limits. The macroscopic investigations 
    as well as organ weight determinations did not reveal changes of 
    organs that could be attributed to treatment. Concerning the 
    histopathological alterations of tissues siderin deposits in spleen 
    were detected in control as well as in treated animal; no clear 
    dose-dependent intergroup differences in frequency and intensity 
    of siderosis was evident. Moreover fatty changes of the epithelium 
    and of several Kupffer's cells of the liver were found in all groups 
    without evidence of a definite relation to the dose administered. 
    In some animals of all groups changes of the adrenals occurred, 
    consisting of cavernous dilatation and thrombosed sinuses. However, 
    there was no clear dose dependency, thus making a relationship to the
    treatment very unlikely. No intergroup differences of tumour
    incidences were observed. Some nodular hyperplasia of small bile
    ducts, occurred in 3 out of 40 animals in the control group, in 7
    out of 30 at 25 ppm, in 5 out of 30 at 125 ppm, in 8 out of 30 at
    625 ppm and in 12 animals out of 40 at 3125 ppm, thus indicating
    slightly higher frequencies in treated animals (Hill et al., 1974).

    COMMENTS

         Triforine is rapidly absorbed. It is metabolised and excreted
    in urine within 24 hours. No mutagenic activity was demonstrated in
    in vitro tests. A three-generation study was negative at dietary
    doses levels up to 2500 ppm failed to show any adverse affect on
    reproduction. In a teratogenicity study, some embryotoxic but no
    teratogenic effects were noted.

         In young rats doses of 625 ppm and above induced a transient
    slight haemolytic anaemia, accompanied by an increase in siderin
    deposits in liver and spleen. In a long-term study an rats, some
    signs of haemolytic anaemia were observed only at 3125 ppm, the
    highest dose level tested. A no-effect level of 625 ppm was found.
    In a two year dog study a no-effect level of 100 ppm was observed.
    Increased erythropoiesis in bone marrow and haemosiderosis of the
    Kupffer's cells in liver occurred at dietary levels of 1000 ppm.

         No tumorigenic activity was noted in any study.

    TOXICOLOGICAL EVALUATION

    Level causing no toxicological effect

         Rat: 625 ppm in the diet equivalent to 30 mg/kg bw

         Dog: 100 ppm in the diet equivalent to 2.5 mg/kg bw

    Estimate of acceptable daily intake for man

         0 - 0.02 mg/kg bw

    RESIDUES IN FOOD AND THEIR EVALUATION

    USE PATTERN

         Triforine is a fungicide with locally systemic (translaminar)
    action for the control of powdery mildews, scab, rusts, monilia,
    and foliar diseases in fruit, vegetables, cereals, hops, soybeans,
    grapevine, cotton and ornamentals.

    Pre-harvest treatments

         Triforine is registered or can be sold by permission in many
    countries. It is used as an emulsifiable concentrate (190g
    triforine/litre) and a liquid seed dressing. Triforine is
    recommended as follows (highest recommended dosage of active
    ingredient):

         Stone fruit              23.75 g/100 l
         Pome fruit               23.75 g/100 l
         Soft fruit (berries)     28.5 g/100 l
         Cucurbits                28.5 g/100 l
         Beans                    28.5 g/100 l
         Tomatoes                 285 g/ha
         Peppers
         Eggplant
         Cereals                  285 g/ha
         Hops                     19 g/100 l
         Soybeans                 285
         Grapevine                28.5 g/100 l
         Cotton                   285
         Ornamentals              28.5 g/100 l

         For seed treatment rates between 200 and 300 g ai per 100 kg
    seed are recommended.

         The following pre-harvest intervals have been established (by
    May 1978):

    Vegetables (in general):

         8 days                   Yugoslavia
         14 days                  Hungary

    Melons and cucumbers:

         0 days                   France
         2 days                   United Kingdom
         3 days                   Denmark, Federal Republic of Germany,
                                  Israel, Netherlands, South Africa,
                                  Switzerland
         4 days                   Norway
         7 days                   German Democratic Republic, Spain

    Scorzonera:

         7 days                   Netherlands
         21 days                  Switzerland
         28 days                  Belgium

    Tomatoes:

         3 days                   Israel

    Eggplants:

         3 days                   Israel

    Peppers:

         3 days                   Israel

    Beans:

         3 days                   South Africa

    Leek:

         28 days                  Belgium

    Cereals:

         0 days                   France
         15 days                  Spain
         21 days                  Denmark, Hungary

         28 days                  Belgium
         49 days *)               Federal Republic of Germany
         56 days                  German Democratic Republic

    Fruit (in general):

         0 days                   France
         14 days                  Hungary, Yugoslavia

    Pome fruit:

         0 days                   South Africa
         7 days                   United Kingdom
         14 days                  Federal Republic of Germany, Israel
         21 days                  German Democratic Republic
         28 days                  Czechoslovakia

    Apples:

         21 days                  Switzerland

    Stone fruit:

         0 days                   Australia
         1 day                    New Zealand

    Apricots:

         14 days                  Israel

    Cherries:

         14 days                  Federal Republic of Germany

    Almonds:

         14 days                  Israel

    Mango:

         14 days                  Israel

    Soft fruit (in general):

         14 days                  Federal Republic of Germany

    Black Currants:

         14 days                  United Kingdom
                    
    *)   these pre-harvest intervals are based not on residues found
         but on the interval between last application necessary against
         rust or powdery mildew and harvest

    Hops:

         10 days                  Federal Republic of Germany

    Tobacco:

         7 days                   Yugoslavia

    Post-harvest treatments

         For dip treatment of stone fruit a concentration of 250-1000
    mg a.i./kg is recommended by the manufacturer. In Australia a
    post-harvest dip of 14.3 g/100 l (0.014%) immediately after harvest
    is recommended for stone fruit.

    RESIDUES RESULTING FROM SUPERVISED TRIALS

         The residues resulting from supervised trials in a wide range
    of crops in many countries are shown in Tables 1 and 2. Residues
    decline rapidly and rarely exceed 1 mg/kg on most fruits and 
    vegetables as soon as 3 days after the last application. For cereals, 
    the need for treatment close to harvest is rare and residues at 
    harvest are less than 0.1 mg/kg in grain.

    FATE OF RESIDUES

    In animals

    Absorption, distribution and excretion in mammals

         In trials in which single doses of 3H triforine (labelled in
    the piperazine ring) were administered orally and intraperitoneally
    to male FW 49 rats good but slow absorption and rapid excretion
    were observed, the (metabolised) active principle being excreted
    quantitatively. Within 24 hours 90.8% of the orally administered
    dose had been excreted with the urine and the faeces. Following
    oral administration the maximum blood level was reached after 4
    hours (1.3% of the administered dose in the total blood); after
    i.p. injection the maximum level was reached 30 minutes after
    application (3% in the total blood). Whereas after oral
    administration 77.5% was excreted with the urine and 18.7% with the
    faeces, the ration following i-p. injection was 61%: 11%. The
    biliary excretion, which is practically finished within 30 hours
    after oral administration but persists longer after i.p. injection,
    amounted to 19.1 and 24.5% respectively. After i.p. injection the
    delayed renal excretion and varying excretion rate indicates an
    enterohepatic circulation, which was excluded in the case of oral
    administration. This might explain the fact that even 150 hours
    after i.p. injection residual activities of 0.7% were still to be
    found in the liver and a total residual activity of 0.2% in other
    organs (kidneys, spleen, lung, heart, stomach), whereas after oral
    administration only traces - probably tritiated water - were to be
    detected (Darda 1971, 1977).


    
    TABLE 1.  Triforine residues in various crops

                                                                                                                                         

                                                                     Residues (mg/kg) at intervals (days) after last application
                                                                                                                                         

                                                     Number of       0      1      2-3    4-5    6-8    9-12   13-16  21-24 27-30  45-50
    Crop          Country           Dosage rate      applications
                                                                                                                                         

    Fruit and
    Vegetables

    Apples        Fed. Rep. Germ.   23.75 g/100 l         7          0.94          0.55          0.73   0.56   0.43
                  "    "    "       23.75 g/100 l        10                 1.38                 0.93                 0.68  0.75
                  Great Britain     47.5 g/100 l         10          1.33                        0.95          0.40   0.49  0.27
                  South Africa      23.75 g/100 l         1          0.33   0.27          0.29   0.24          0.24
                  "     "           25g ai/100 l          9                                                           0.43
                  "     "           25g ai/100 l          8                                                    0.21
                  "     "           25g ai/100 l         12                                                    0.25
                  "     "           25g ai/100 l          8                                                                 0.17
                  "     "           25g ai/100 l          8                                                    0.10
                  "     "           25g ai/100 l          7          0.72                 0.58   0.60
                  "     "           37.5g ai/100l         8                                                                        0.27
                  "     "           37.5g ai/100l         8                                      0.16
                  USA               22,4 g/100 l         10                 0.30   0.22          0.10          0.15
                  Finland           1.3 g/tree            3                                                                        0.06
                  "                 0.05 g/tree           5                                                                        0.02
                  New Zealand       25g ai/100 l          9                        0.38   0.34   0.23   0.21

    Beans         Fed. Rep. Germ.   28.5 g/100 l          6          0.23-         0.09-         0.06-         0.04-
                                                                     0.36          0.10          0.09          0.06
                  "    "    "       28.5 g/100 l          3          0.83          0.39          0.19          0.13
                  "    "    "       23.75 g/100 l         2          1.38                        0.19          0.06   0.03  0.02
                  South Africa      0.285 kg/ha           4          1.52          0.55   0.55   0.42   0.01
                  Finland           0.9 kg/ha             1                                                                        0.005
                  "                 0.9+0.45 kg/ha        2                                                           0.015

    TABLE 1.  (Cont'd.)

                                                                                                                                         

                                                                     Residues (mg/kg) at intervals (days) after last application
                                                                                                                                         

                                                     Number of       0      1      2-3    4-5    6-8    9-12   13-16  21-24 27-30  45-50
    Crop          Country           Dosage rate      applications
                                                                                                                                         

    Brussels
    Sprouts       Netherlands       0.3 kg ai/ha          1                        0.15          0.1

    Red currants  Finland           2 g/bush              2                                                                        3.1
                  "                 0.34 g/bush           2                                                                        0.15
                  "                 0.3+0.1 g/bush        2                                                                        0.13

    Black
    currents      Fed. Rep. Germ.   28.5 g/100 l          3          2.10                 0.69   0.56          0.31   0.23
                  "    "    "       28.5 g/100 l          5          5.60                        3.18          1.14   0.89
                  "    "    "       28.5 g/100 l          4          2.39                        0.71          0.59   0.19
                  Finland           0.34 g/bush           2                                                                        0.2
                  "                 0.4 g/bush            2                                                                        0.2

    Blueberries   USA               0.3 kg/ha             1          0.75          0.55          0.25          0.16         0.05
                  USA               12.9 g/100 l          1          1.83   0.99   1.12          0.48
                  USA               23.9 g/100 l          1          3.10   2.22   2.47          0.87

    Cherries      Fed. Rep. Germ.   28.5 b/100 l          4          0.95          0.76          0.45          0.18   0.13
                  "    "    "       28.5 g/100 l          7          1.41          0.58          0.28          0.21
                  "    "    "       28.5 g/100 l          6          0.96          0.62          0.64          0.33
                  USA               17.9 g/100 l          5          1.06          0.15          0.20
                  "                 17.9 g/100 l          5          1.15          0.76          0.51

    Cucumbers     Fed. Rep. Germ.   28.5 g/100 l          8          0.94   0.68   0.39          0.11
    (glasshouse)  "    "    "       28.5 g/100 l          6          0.15          0.08   0.06   0.03
                  "    "    "       23.75 g/100 l         5          0.38          0.19   0.13   0.09          0.04   0.03
                  Great Britain     19 g/100 l            3          0.28                 0.21

    TABLE 1.  (Cont'd.)

                                                                                                                                         

                                                                     Residues (mg/kg) at intervals (days) after last application
                                                                                                                                         

                                                     Number of       0      1      2-3    4-5    6-8    9-12   13-16  21-24 27-30  45-50
    Crop          Country           Dosage rate      applications
                                                                                                                                         

                  Norway            0.03% ai              3                                      0.15
                  "                 0.03% ai              4                        0.4
                  "                 0.03% ai              4                               0.2
                  "                 0.03% ai              4                                      0.25
    (field)       Netherlands       450-600g ai/ha        5          0.45          0.24
                  New Zealand       190g ai/ha            4                 0.4    0.2
                  South Africa      30g ai/100 l          1          0.05          0.02   0.02          0.02   0.02   0.02

    Gherkins      Netherlands       450-600g ai/ha        5          0.51          0.28

    Gooseberries  Fed. Rep. Germ.   23.75 g/100 l         5          0.58          0.45   0.46   0.30          0.19
                  Finland           0.15 g/bush           2                                                                        0.25
                  "                 0.4 g/bush            2                                                                        0.3

    Peaches       Fed. Rep. Germ.   23.75 g/100 l         5          1.42                 1.22   0.50          0.16
                  "    "    "       19 g/100 l            3          0.48          0.92          0.64          0.58
                  USA               17.9 g/100 l          1                 1.10                 0.26          0.11
                  "                 17.9 g/100 l          3          1.71-         1.44-         0.02-
                                                                     2.06          1.71          0.97
                  "                 23.9 g/100 l          9          4.19   2.88   0.56          0.27          0.19
                  Australia         0.025%, 11 1/tree     7          1.93          1.53
                  "                 0.025%, 9 1/tree      6          2.34                        0.81          0.26

    Peaches       Australia         300 mg/kg             1                 2.04          0.98   1.96
    (post-        "                 200 mg/kg             1                 1.20          0.88   0.65
    harvest or    "                 150 mg/kg             1                 1.06          2.     0.54
    mature fruit) "                 100 mg/kg             1                 0.47          0.39   0.43
                  "                 300 mg/kg             1
                  "                 200 mg/kg             1          9.53                        1.10
                  "                 150 mg/kg             1          6.34                        0.59
                  "                 100 mg/kg             1          2.74                        0.81

    TABLE 1.  (Cont'd.)

                                                                                                                                         

                                                                     Residues (mg/kg) at intervals (days) after last application
                                                                                                                                         

                                                     Number of       0      1      2-3    4-5    6-8    9-12   13-16  21-24 27-30  45-50
    Crop          Country           Dosage rate      applications
                                                                                                                                         

    (post-        "                 300 mg/kg             1          8.45
    harvest       "                 200 mg/kg             1          5.65
    dip)          "                 150 mg/kg             1          2.97
                  "                 100 mg/kg             1          2.48
                  New Zealand       20g ai/100 l          1                                                    0.48
                  "   "             15g ai/100 l          1                                                    0.58
                  "   "             20g ai/100 l         16          0.92                                      0.35   0.14

    Plums         Fed. Rep. Germ.   23.75 g/100 l         3          0.91                 0.41   0.23          0.21   0.20
                  "    "    "       23.75 g/100 l         3          0.38                 0.18   0.10          0.10   0.10

    Prunes        USA               11.95 g or            3          0.38-                0.28-         0.20-
                                    23.9 g/100 l                     0.58                 0.49          0.43

    Pumpkins      South Africa      28.5 g/100 l          1          0.22   0.20   0.20   0.17   0.15

    Squashes      Israel            9.5 g/100 l           4          0.11          0.06   0.04

    Strawberries  Italy             23.75 g/100 l         4          0.10          0.07          0.06   0.06   0.06
                  Finland           750 g/ha              3                                                    0.4
                  "                 750 g/ha              2                                                    0.06
                  "                 600 g/ha              3                                                           0.1

    Tomatoes      Israel            10.45 g/100 l       2-3                 0.18   0.11          0.08   0.06

    Tamarillo     New Zealand       19g ai/100 l          5                                                                        0.01
                                                                                                                                         

    TABLE 2. Triforine residues in cereals

                                                                                                                                         

                                              Number of     Residues (mg/kg) at intervals (days) after last application
    Cereals     Country          Dosage Rate  Applications                                                                               

                                                            0        7        13-14    20-21   27-31   35       41-45    56-67    77-99
                                                                                                                                         

    Barley

    green       Fed. Rep. Germ.  0.38 kg/ha        1        30.9     2.6      0.2      0.1     < 0.1           < 0.1   <0.1
    plants

    grain       "    "    "      0.38 kg/ha        1                                                                              < 0.01

    straw       "    "    "      0.38 kg/ha        1                                                                              < 0.01

    green       "    "    "      0.38 kg/ha        1        28.4     1.2      0.35     0.12    0.1              < 0.1    < 0.1
    plants

    grain       "    "    "      0.38 kg/ha        1                                                                              < 0.01

    straw       "    "    "      0.38 kg/ha        1                                                                              0.02

    green pl.   Great Britain    0.18 kg/ha        1        1.84-    0.66-    0.38-    0.18-   <0.02
                                                            2.27     0.68     0.50     0.21

    grain       "     "          0.36 kg/ha        1                                                                              0.04

    straw       "     "          0.36 kg/ha        1                                                                              0.05

    grain       New Zealand      0.24 kg/ha        1                                   0.2
                "   "            0.24 kg/ha        1                                   0.3

    Oats

    green pl.   Fed. Rep. Germ   0.285 kg/ha       2        6.10     1.08     0.20     0.21

    TABLE 2. (Cont'd.)

                                                                                                                                         

                                              Number of     Residues (mg/kg) at intervals (days) after last application
    Cereals     Country          Dosage Rate  Applications                                                                               

                                                            0        7        13-14    20-21   27-31   35       41-45    56-67    77-99
                                                                                                                                         

    grain       "    "    "      0.285 kg/ha       2                                           < 0.01

    straw       "    "    "      0.285 kg/ha       2                                           0.16
                                 0.285 kg/ha       2
    Rye

    green pl.   Fed. Rep. Germ.  0.285 kg/ha       1        7.52              0.84     0.73                     0.53

    grain.      "    "    "      0.285 kg/ha       1                                                                     < 0.01

    straw       "    "    "      0.285 kg/ha       1                                                                     0.29

    Wheat

    grain       Fed. Rep. Germ.  0.38 kg/ha        2                                                            0.03

    grain       "    "    "      0.38 kg/ha        2                                                                     0.02

    grain       Finland          0.228 kg/ha       1                                                                     < 0.01

    grain       Great Britain    0.34 kg/ha        1                                                                              0.03

    grain       Netherlands      0.19 kg/ha        3                                                            < 0.01

    straw       "                0.19 kg/ha        3                                                            0.31
                                                                                                                                         

    

         In another trial 14C-triforine (labelled side chains) was
    suspended in tylose and administered to rats. After oral
    administration the maximum blood level was reached after 4 hours
    (2.5% of the administered dose). 52.5% was excreted with the urine
    within 24 hours and 54.9% within a period of 3 days; 39.5% had been
    excreted with the faeces after 24 hours.

         There were no changes in the ratio of urinary to faecal
    excretion up to a dosage of 200 mg/kg. A maximum of 15-20%
    unchanged triforine was found in the faeces (Darda 1977).

    Biotransformation in mammals

         The main portion of the fungicide absorbed is eliminated
    through the kidneys after complete biotransformation. A minor part
    is excreted with the bile in the form of several unidentified
    metabolites, some of which may be reabsorbed.

         The calculation of absorption can be done most easily with the
    3H data (intact piperazine ring). Because 78% of the 3H label is
    found in the urine, mainly as N-[2,2,2-trichloro-1-(piperazin-1-yl)
    ethyl]formamide (I, Figure 1) and a part of the 3H-material eliminated
    with the bile is probably excreted with the faeces, it can be
    concluded that at least 80% of orally administered triforine is
    absorbed by the rat. The partial examination for labelled substances
    in the faeces showed that a portion of the faecal radioactivity was
    attributable to unchanged triforine. Presumably metabolites of the
    triforine side chains, originating from the bile, are also eliminated
    with the faeces (14C-labelled metabolites).

         From the studies of triforine hydrolysis, it would be expected
    that a small fraction of the applied triforine is degraded before
    absorption, leading to labelled side chain products being excreted
    with the faeces. This would explain the difference between 3H - and

    14C-radioactivities observed in the faeces.

         The quantitative elimination of triforine over 24 h does not
    indicate accumulation of the compound or its metabolites in rats. The
    principal course of metabolism of triforine to (I) is confirmed by the
    quantitative distribution of the two isotopes (3H/14C) in urinary
    excretion (Darda, 1977).

    FIGURE 

    In plants

         Extensive studies have been carried out by Rouchaud et al.,
    (1977a,b,c; 1978a,b,c) on the metabolism of triforine and piperazine
    in barley plants (grown both in pots in glasshouses and in the field)
    and on the characterization of bound and soluble residues derived from
    triforine in barley. In these studies triforine was labelled with
    tritium 3H) uniformly in the piperazine ring and piperazine was
    labelled with 14C in the 2,5 ring positions.

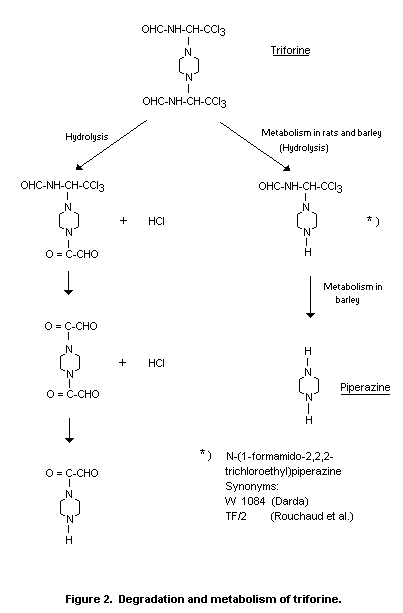
         In barley treated with 3H-triforine, 15 and 30 days after
    treatment, unchanged triforin, amounted to 57.5 and 43.2%
    respectively. Of three soluble metabolites detected, piperazine (0.3
    and 4.0%) and N-(1-formamido-2,2,2-trichloroethyl)piperazine (12.9 and
    8.4%) were identified, the latter for the first time as a metabolite
    in the plant. Identification was by TLC with four solvent systems. The
    solid residue contained 23.1 and 38.2% of bound label after 15 and 30
    days respectively.

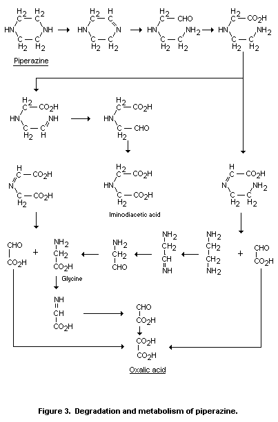
         The shoots of barley plants root-treated with 2,5-14C-Piperazine
    were analysed 30 days after treatment. Methanol extraction left a
    solid residue which contained 31.9% of 14C (all percentages refer to
    the total 14C incorporated into the shoots); further extraction with
    acidified methanol and dimethyl sulphoxide dissolved 3.2% and 5.8% of
    the 14C respectively. The initial methanol extract contained
    radioactive piperazine (16.8%), iminodiacetic acid (8.6%), glycine
    (15.4%), oxalic acid (7.2%) and unidentified compounds (20.1%). These
    results show that piperazine is certainly not the end-product of the
    metabolism of triforine in barley.

         The results of these studies and of those by Darda in mammals are
    summarized in Figures 2 and 3.

    In soil

         Triforine is absorbed in the upper soil layers and contamination
    of ground-water is unlikely. Breakdown in soils is approximately 50%
    hydrolytic and 50% microbial. The half-life is approximately 3 weeks.
    No adverse influence on soil micro-organisms or earthworms has been
    found. (Celamerck, Technical Information Bulletin, Triforine).

    In storage and processing

         No information.

    RESIDUES IN FOOD IN COMMERCE OR AT CONSUMPTION

         Data were not yet available to the Meeting on levels or incidence
    of triforine residues in food moving in commerce or in food at the
    time of consumption. Triforine is not detected by the existing
    multi-residue methods of analysis and therefore is not included in
    national food and feed monitoring programme.

    FIGURE 

    FIGURE 

    METHODS OF RESIDUE ANALYSIS

         The manufacturer has developed a method of analysis for triforine
    residues in cereals (green plants, straw, grain), fruit, meat
    (including liver and kidney), milk, vegetables (including hops), soil
    and water (Celamerck, 1976). The sample is blended with acetone. After
    removal of the acetone by distillation the triforine in the remaining
    aqueous phase is partitioned into toluene, the toluene is evaporated
    and the triforine degraded by heating with dilute sulphuric acid. The
    chloral hydrate thus formed is distilled into cold water, extracted
    into ethyl formate, and determined by gas chromatography with an
    electron capture detector, 1,2-dibromoethane is used as an internal
    standard. When 0.02-2 mg/kg triforine is added to untreated samples,
    recovery amounts to 70-85%. The detection limit is about 0.005-0.01
    mg/kg. Although this method determines only unchanged triforine and
    not its metabolites, this does not seem a serious deficiency in view
    of the metabolism in barley. Of the soluble metabolites after 15 days,
    N-(1-formamido-2,2,2-trichloroethyl) piperazine (TF/2) accounted for
    only 13% of the total radioactivity.

         A procedure was developed by Rouchaud et al., (1977) to measure
    the total amount of compounds containing the piperazine ring in barley
    plants treated with triforine. In this elegant but complex procedure a
    sample of straw or grains is extracted with chloroform and the
    chloroform is extracted with 0.1N aq. HC1. The residual chloroform
    is concentrated (Concentrate A). The HC1 extract is brought to pH4
    with aq, NaOH and freeze-dried (Concentrate B). Part of Concentrate A
    is then analysed for chloral hydrate by the GLO procedure described in
    the previous paragraph. Part of Concentrate B (freeze-dried) is shaken
    with aq. NaOH and chloroform and the chloroform phase is analysed by
    GLC for piperazine. The solid residue from the extraction is heated
    with aq. 4N HC1, centrifuged, brought to pH4 with NaOH,
    freeze-dried, and analysed the same way as Concentrate B. The three
    results are added to give the total amount of compounds containing the
    piperazine ring. Further analysis of Concentrates A and B by
    preparative TLC and GLC gives the amounts of triforine, TF/2, and
    piperazine. This method appears highly suitable for research on
    triforine distribution, disappearance, and metabolism, but would be
    difficult to use for regulatory purposes.

    NATIONAL MRLs REPORTED TO THE MEETING

         A list of national MRLs available to the Meeting is given in
    Table 3.

    TABLE 3. National MRLs reported to the meeting

    Country                       Crop                     mg/kg

    Australia                     stone fruit              10

    Belgium                       grain                    0.1
                                  leek                     0.01

    TABLE 3. (Cont'd.)

    Country                       Crop                     mg/kg

                                  scorzonera               0.01

    Federal Republic of Germany   cereals                  0.2
                                  cucumbers                1.0
                                  pome fruit               1.5
                                  cherries                 1.5
                                  soft fruit               1.5
                                  tomatoes                 0.5

    German Democratic Republic    pome fruit               1.0
                                  stone fruit              1.0
                                  soft fruit               1.0
                                  fruit vegetables         0.5
                                  leafy vegetables         1.0
                                  cereals                  0.2
                                  hops                     1.0

    Hungary                       apple                    0.5
                                  others                   0.2

    Israel                        general                  0.4

    Netherlands                   cucumbers                0.4
                                  gherkins                 0.4
                                  melons                   0.4
                                  Brussels sprouts         0.2
                                  grain                    0.2

    New Zealand                   stone fruit              3.0
                                  pip fruit                0.5
                                  cereals                  0.5

    South Africa                  cucurbits                0.5
                                  pome fruit               2.0
                                  beans                    1.0

    Switzerland                   apple                    0.2
                                  cucumbers                0.3
                                  scorzonera               0.3

    APPRAISAL

         Triforine is a fungicide with locally systemic (translaminar)
    action which is effective for the control of powdery mildews, scab,
    rusts, monilia and foliar diseases in fruit, vegetables, cereals,
    hops, soybeans, grape vine, cotton and ornamentals. It is marketed as
    an emulsifiable concentrate containing 190 g ai/l and as a liquid seed
    dressing. It also has some use as a post-harvest dip for peaches. The
    technical product is 99 ± 2% pure triforine.

         Residue data were available on 19 crops and from 11 countries,
    mainly the Federal Republic of Germany, USA and Australia,
    representing a wide range of climatic conditions and agricultural
    practices. When applied at recommended rates, residues tend to be low
    (2 mg/kg or less) even on the day of completion of spraying, and are
    reduced rapidly by weathering and metabolism.

         Very extensive information is available on the fate of triforine
    residues in plants (barley) and to a lesser extent in mammals. The
    primary soluble degradation products in plants are
    N-(1-formamido-2,2,2-trichloroethyl)piperazine and piperazine.
    Approximately 40% of the residue 30 days after treatment consists of
    bound residues. In rates, 90.8% of orally administered radiolabelled
    triforine is excreted in the urine and faeces within 24 hours. The
    metabolites in rats are similar to those in barley. There is no
    tendency for residues to accumulate in the fat of animals.

         An analytical method is available for triforine residues in
    crops, meat, soil and water. Residues are extracted with acetone,
    hydrolysed by mineral acid to yield 2 moles of chloral hydrate for
    each mole of triforine and distilled to isolate the chloral hydrate,
    which is then determined by gas chromatography with electron capture
    detection. The detection limit for most samples is in the range
    0.005-0.01 mg/kg with recoveries of 70-90% or better. The method is
    suitable for use in regulatory analysis.

    RECOMMENDATIONS

         The following maximum residue limits are recommended. They refer
    to triforine determined as chloral hydrate and expressed as triforine.

              Commodity                Limit, mg/kg

              Peaches                  5

              Apples                   2

              Cherries                 2

              Plums                    2

              Beans                    1

              Blueberries              1

              Gooseberries             1

              Red currants             1

              Black currants           1

              Strawberries             1

              Commodity                Limit, mg/kg

              Cucurbits                0.5

              Tomatoes                 0.5

              Brussels sprouts         0.2

              Raw cereals              0.1

              Tamarillo                0.02

    FURTHER WORK OR INFORMATION

    Desirable

    1.   Information from supervised trials on residues in leafy
    vegetables, root vegetables (scorzonera), pod vegetables, eggplants,
    peppers, grapes and hops.

    2.   Results of work in progress to determine residues in meat and
    milk of goats administered triforine in the diet (estimated to be
    available by June, 1980).

    REFERENCES

    Anonymous Information on triforine from Australia.
    (1978)

    Anonymous Information on triforine from Finland*
    (1978)

    Anonymous Information on triforine from Norway.,
    (1978)

    Anonymous Information on triforine from the Netherlands.
    (1978)

    Anonymous Information on triforine from New Zealand.
    (1978)

    Anonymous Information on triforine from the Republic of South Africa.
    (1978)

    Bourke, J.B. Nelsen, T.R. and Eichler, D.E. Residues and
    (1977)              disappearance of triforine from various crops. J.
                        Agri. Food Chem. 25, 36.

    Bullock, C.H., Narcisse, K., McGregor, J.M. and Spencer, J.A. The
    (1975)              acute rat inhalation study with Cela W 524
                        Technical. Unpublished report from Environmental
                        Health and Toxicology, San Francisco, USA, dated
                        October 29, 1975, No. 812/XXI:126, submitted by
                        Celmarck.

    CELAMERCK Information on Identity and Use pattern of triforine.
    (1978)

    CELAMERCK Determination of triforine residues. Unpublished report,
    (1976)              RU 3.26/12/10, Ingelheim, W. Germany.

    CELAMERCK Triforine (=CELA W524). Technical Information Bulletin.
    (1978)

    CELAMERCK Saprol R (Funginex, Triforine 20) Technical Information
    (1978)              Bulletin.

    Darda, S. Biochemical Investigations with W 524 (3H) in rats.
    (1971)              Unpublished report from Boehringer Sohn, Germany,
                        dated October 27, No. T 38 E/71, submitted by
                        Celamerck.

    Darda, S. Absorption, Metabolism and Excretion of the Fungicide
    (1977)              Triforine in the Rat.  Pestic. Sci. 8, 193-202.

    Darda, S., Darskus, R.L., Eichler, D., Ost, W., Wotscholsowsky,
    (1977)              M. Hydrolysis and photolysis of the fungicide
                        triforine. Pestic. Sci. 8, 183-192.

    Eicheler, D. Uber das abbauverhalten von triforine. Oargestellt
    (1972)              an einigen ausgenwählten kulturplfanzen
                        (Degradation of triforine in selected crops)
                        Mededelingen Fakulteit Landbouw-weteuschappen Gent
                        37 (2) 831-840.

    Frohberg, H., von Eberstein, M. and Weisse, G. Triforine (W 524)
    (1978)              trials for acute toxicity in rats after oral
                        administration and dermal application and for
                        primary mucosal irritation in rabbits. Unpublished
                        report from E. Merck, Darmstadt, dated March 20,
                        1973, No. 4/36/73, submitted by Celamerck.

    Hill, K., Köllmer, H., Weisse, I., Frölke, W., Guénard, J. and
    (1971)              Stötzer, H. Chronic toxicity tests with the
                        compound W 524-XX in rats using oral
                        administration - duration 2 years. Unpublished
                        report from Boehringer Sohn, dated June 1974, No.
                        T 27 E/74, submitted by Celamerck.

    Hofmann, A., Oelrich, I., Sumi, N., Weisse, G., Köllmer, H.,
    (1975)              Weisse, I., Frohberg, H. and Stötzer, H. W 524
                        (Triforine), 81-week carcinogenicity study in mice
                        (substance administered in food). Unpublished
                        report from E. Merck, Darmstadt, dated September
                        14, 1975, No. 4/76/75, submitted by Celamerck.

    Leuschner, F. The effects of W 524 on pregnant rats and their
    (1972)              fetuses following oral administration and dermal
                        application and for primary mucosal irritation in
                        rabbits. Unpublished report from E. Merck,,
                        Darmstadt, dated March 20, 1973, No. 4/36/73,
                        submitted by Celamerck.

    Leuschner, F., Seuschner, A., Schwerdtfeger, W. and Dontenwill,
    (1971)              W. 13 weeks oral toxicity study in beagle dogs
                        with W 524. Unpublished report from Laboratorium
                        für Pharmakologie und Toxikologie, Hamburg, dated
                        March 31, 1971, No. T 13 E/71, submitted by
                        Celamerck.

    Leuschner, F., Leuschner, A., Schwerdtfeger, W. and Dontenwill,
    (1972)              W. 21-day toxicity tests with the compound W 524
                        in Sprague-Dawley rats using dermal application.
                        Unpublished report from Laboratorium für
                        Pharmokologie und Toxikologie, Hamburg, dated
                        April 4, 1972, No. T 17 E/72, submitted by
                        Celamerck.

    Muacevic, G. Results of the range-finding pharmacological
    (1968)              investigation. Unpublished report from Boehringer
                        Sohn, Ingelheim, Germany, dated February 5, 1968,
                        submitted by Celamerck.

    Muacevic, G. Results of range-finding pharmacological investigation.
    (1969)              Unpublished report from Boehringer Sohn,
                        Ingelheim, Germany, dated February 18, 1969,
                        submitted by Celamerck.

    Muacevic, G. Acute toxicological investigation. Unpublished report
    (1970)              from Boehringer Sohn.  Ingelheim, Germany, dated
                        September 9, 1970, submitted by Celamerck.

    Nijgeschulze, A., Hill, K. and Stötzer, H. Three-generation study
    (1974)              with the fungicide W 524 in rats. Unpublished
                        report from Boehringer Sohn, Germany, dated May
                        31, 1974, No. T 26 E/74, submitted by Celamerck.

    Obermeier, J., and Frohberg, H. Triforine-trial for mutagenic
                        potential in bacteria with (1977) and without
                        added metabolising system. Unpublished report from
                        E. Merck, Darmstadt, Germany, dated September 8,
                        1977, No. 4/136/77, submitted by Celamerck.

    Rouchaud, J.P., Decallone, J.R. and Meyer, J.A. Metabolism of the
    (1977a)             Fungicide Triforine in Barley Plants. Pestic, Sci.
                        7, 115-127.

    Rouchaud, J., Decallone, J.R. and Meyer, J.A. Residues of Triforine
    (1977b)             and its metabolites in barley grain and straw.
                        Bull. Environ. Contam. Toxicol. 18, 742.

    Rouchaud, J.P. Analysis of piperazine, of the piperazine generating
    (1977c)             fungicide triforine, and of triforine's
                        metabolites in barley plants. Bull. Environ.
                        Contam. Toxicol. 18(2): 184-189.

    Rouchaud, J.P., Decallone, J.R. and Meyer, J.A. Metabolism of
    (1978a)             (2,5-14C)Piperazine in Barley Plants. Pestic.
                        Sci. 9, 139-145.

    Rouchaud, J., Decallone, J.R. and Meyer, J. The nature of bound
    (1978b)             residues derived from triforine in barley plants.
                        Pestic. Sci. 9, 74-78.

    Rouchaud, J., Moons, C., Decallone, J.R. and Meyer, J.A.
    (1978c)             Metabolism of (3H)-Triforine in barley grown in
                        the field. The unbound radioactive residue.
                        Université Catholique de Louvain, Laboratorie de
                        Phytopathologie, 3, Place Croix du Sud, 1348
                        Louvain-la-Nevve, Belgium. Unpublished manuscript.

    von Sandersleben, J., Herbet, M., Weisse, I., Frölke, W., Guénard,
    (1974)              J. and Stötzer, H. Chronic toxicity test of the
                        substance W 524-XX on beagles, oral application,
                        over 104 weeks. Unpublished report from Boehringer
                        Sohn, Ingelheim, Germany, dated March 20, 1974,
                        submitted by Celamerck.

    Stötzer, H., Herbst, M., Köllmer, H., Weisse, I., Guénard, J.
    (1971a)             and Tilov, T. Testing of the subacute toxicity of
                        the substance W 524 in rats following oral
                        administration, Unpublished report from Boehringer
                        Sohn, Ingelheim, Germany, dated April 22, 1971,
                        No. T 14E, submitted by Celamerck.

    Stötzer H., Herbst, M., Köllmer, H., Weisse, I., Frölke, W.,
    (1971b)             Guénard, J. and Tilov, T.  Testing of the subacute
                        toxicity of the substance W 524 in rats following
                        oral administration. Unpublished report from
                        Boehringer Sohn, Ingelheim, Germany, dated May 16,
                        1971, No. T 15 E, submitted by Celamerck.

    Stötzer, H., Herbst, M., Ganz, H., Weisse, I., Frölke,
    (1971c)             W., Guénard, J. and von Sandersleben, J.  Testing
                        of the subacute toxicity of the substance W 524 in
                        dogs following oral administration. Unpublished
                        report from Boehringer Sohn, Ingelheim, Germany,
                        dated February 5, 1971, No. T 12 E, submitted by
                        Celamerck.

    Stötzer,  H., Köllmer, H., Herbst, M., Weisse, I., Frölke,
    (1972a)             W., Guénard, J. and Tilov, T.  Chronic toxicity
                        studies with the substance W 524-XX in rats using
                        oral administration - duration 26 weeks.
                        Unpublished report from Boehringer Sohn,
                        Ingelheim, Germany, dated, November 28, 1972,
                        submitted by Celamerck.

    Stötzer H., Herbst, M., Weisse, I., Frölke, W., Guénard, J.,
    (1972b)             and von Sandersleben, J. Chronic toxicity studies
                        with the substance W 524-XX in beagle dogs using
                        oral administration - duration 6 months.
                        Unpublished report from Boehringer Sohn,
                        Ingelheim, Germany, dated October 17, 1972,
                        submitted by Celamerck.

    Zucks, A., deVires, F.W. and Oalbers, A.M.J. Uptake distribution
    (1976)              and metabolic fate of 3H-triforine in plants.
                        Pestic. Sci. 7, 115-127.
    


    See Also:
       Toxicological Abbreviations
       Triforine (Pesticide residues in food: 1997 evaluations Part II Toxicological & Environmental)