IPCS INCHEM Home

    CARTAP       JMPR 1978

    Explanation

         This pesticide was previously evaluated by the 1976 Meeting
    (FAO/WHO, 1977b), when a temporary ADI was established and some
    temporary MRLs were recommended and various requirements for
    additional information were recorded. Some of this information had
    since become available for evaluation.

         Attention had also been drawn to the need to re-examine the
    MRL recommended for dried green tea to take account of higher
    residues found in tea grown in the shade.

    Special explanatory note

         Certain of the temporary MRLs, although listed correctly in
    the Report of the 1976 Meeting (FAO/WHO 1977a), were incorrectly
    recorded in the Monograph (FAO/WHO 1977b). The correct figures are
    listed again at the end of this Monograph.

    EVALUATION FOR ACCEPTABLE DAILY INTAKE

    BIOCHEMICAL ASPECTS

    Absorption, distribution and excretion

         Groups of rats (5 female, SD-JCL Strain/group) and mice (4
    male, ICR/JCL Strain/group) were administered 35S-cartap HCL by
    gavage at a dose of 20 mg/kg body weight. In studies on the
    metabolic fate, cartap was previously shown to have been rapidly
    absorbed and eliminated in urine within 24 hours following a single
    acute oral dose. In extensions of previous studies rats and mice
    were shown to excrete cartap rapidly. In urine, 94 and 89% of the
    administered dose was excreted within 24 hours in rats and mice,
    respectively. There were no apparent differences noted in the
    absorption and excretion in the two rodent species with respect to
    both qualitative and quantitative recovery of urinary metabolites.
    Cartap was rapidly absorbed, metabolized and excreted in both rats
    and mice. Several metabolites were identified confirming the
    principle routes of degradation. There was no storage of cartap or
    its metabolites in the body as might be expected with this
    predominantly water-soluble chemical. (Fujita et al., 1971)

    Biodegradation

         In preliminary experiments where cartap was administered by
    intravenous injection it was found to be rapidly metabolized
    through two principle routes of degradation, hydrolysis and
    oxidation (Fujita et al., 1971). Further studies on the absorption
    and metabolism of cartap administered orally to rats has confirmed

    the presence of metabolites and the principle routes of 
    degradation-hydrolysis of the carbonyl carbon and oxidation of 
    the sulfur atom to the sulfoxide (S O), sulfone (SO2) and 
    ultimately the sulfate (SO3H) (Kamesaki et al., 1976a). 
    These studies in rats confirmed and expanded the original 
    conclusions by elucidating an extensive degradation pattern.

         Approximately 85% of the administered oral dose to rats was
    found in urine within 48 hours after treatment. Approximately 75%
    of the recovered radioactivity was found as nonpolar lipophilic
    components, 23% were polar components and 1% was found as sulfates.
    On the following page is a probable pathway for the metabolic fate
    of cartap which accounts for approximately 70% of the observed
    products. An additional 10% of the administered oral dose of cartap
    was characterized as 2-methylsulfinyl-3-methylthioprop-1-ene (7.2%)
    and 2,3-di(methylsulfinyl) prop-1-ene (2.0%), two liposoluble
    metabolites representing further degradation of the molecule (The
    origin of these products is unclear based on the structural
    configuration of cartap. These structures, although consistent with
    the IR and NMR spectral evaluation are difficult to imagine as
    coming from the cartap molecule).

         Cartap is readily hydrolyzed to nereistoxin, a naturally
    occurring insecticidal substance isolated from the marine segmented
    worms, Lumbrineris heteropoda. Extensive information is available
    on the chemistry and synthesis of nereistoxin and its derivatives,
    of which cartap hydrochloride is the most potent. Nereistoxin is in
    an apparent equilibrium with its dihydronereistoxin derivative. In
    mammals, nereistoxin is methylated and oxidized at the sulfur atom
    as well as undergoing a series of oxidative demethylation reactions
    at the dimethylaminomoiety. A small (> 1%) quantity of products
    was observed to correspond to sulfates.

         In rice plants grown in hydroponic solutions or under
    similated field conditions containing 35S cartap, absorption and
    distribution was rapid with cartap accumulating in all parts of the
    plant. Extensive degradation of cartap was found to occur rapidly
    with incorporation of 35S into natural components
    (sulfur-containing amino acids). Prior to complete degradation,
    cartap was observed to be degraded through a series of similar
    oxidative pathways as in mammals with the principle exception being
    the methylation reaction, as generally occurs in mammals, did not
    appear to occur in plants. The pathway of metabolism in plants thus
    results in a series of metabolites that substantially differs from
    that seen in mammals. Nereistoxin appears to predominant in plants
    and undergoes sulfur oxidation to the oxide (sulfinyl) and

    FIGURE 2

    dioxide (sulfonyl) and sulfate as well as N-demethylation. Thus,
    the metabolic pathway in plants appears to result in terminal
    residues that may be substantially different from those observed in
    mammals. This difference appears to result from the initial
    equilibrium established with nereistoxin and dihydronereistoxin
    both of which follow different pathways in plants and animals to
    their ultimate degradation (Kodo et al. 1970; Kamesaki et al.,
    1974; Kamesaki et al., 1976b; 1976c., and Sugita et al., 1978).

    TOXICOLOGICAL STUDIES

    Special Studies on Teratogenicity

    Mice

         Groups of pregnant mice (CD-1 Strain, 25 mice/group, 24 mice
    were used at the highest dose level) were administered an aqueous
    solution of cartap by gavage from day 6 through day 15 of gestation
    at dosage levels of 0, 10, 25 and 50 mg/kg body weight. The control
    was administered a volume of 10 ml water/kg body weight. On day 18
    of pregnancy each animal was sacrificed and examinations made of
    viable and nonviable fetuses including an examinations of pre and
    post-implantation losses. Fetuses were examined for somatic and
    skeletal abnormalities.

         Maternal weight gain was slightly depressed at the highest
    dose level employed, 50 mg/kg/day. There were no differences from
    control values with respect to post-implantation losses, litter
    size and fetal abnormalities. Cartap appeared to exert no
    teratogenic or fetotoxic effects in mice at levels up to and
    including that which has been shown to have an adverse effect on
    maternal well-being (Tesh et al., 1976a).

    Rat

         In a similar study to evaluate the teratological potential of
    cartap in the rat, groups of pregnant rats (CD-Strain, 20-22 rats
    per group), were administered an aqueous solution in cartap at
    dosage levels of 0, 10, 25 and 50 mg/kg/day from day 6 to day 15 of
    gestation. Rats were sacrificed on day 21 of pregnancy and again
    examined for the presence of viable and nonviable fetuses to
    determine pre-implantation and post-implanation loss.

         Mortality was observed at the highest level with one dam found
    dead on day 10 of gestation. There were no apparent effects noted
    with respect to maternal growth. The average litter size of the
    treated groups were similar to or greater than those noted in the
    control. Fetal weight at the highest level of treatment was
    slightly reduced. Mean fetal weight was also reduced at the two
    intermediate levels although this reduction was not significant.
    There were no indications of post-implantation losses. Somatic and
    skeletal abnormalities, found in treated groups, were not believed
    to have occurred as a result of the administration of cartap, as

    they occurred to the same degree in controls. An incidence of 
    subcutaneous edema slightly in excess of that noted in the control 
    group was noted in fetuses of the highest dose group. It was 
    reported that the subcutaneous edema incidence in both the cartap 
    and control group was considerably higher than noted when 
    evaluating a larger control population. It was considered that 
    this effect did not arise from the presence of cartap. A second 
    effect identified as perimeningeal cavitation in a slight excess 
    over that noted with the control was noted of the highest dose 
    group. However, it has been pointed out that perimeningeal 
    cavitation does exist in control animals and the range of this 
    occurrence varies widely. It was also considered that this effect 
    was not attributed to the presence of cartap. A slight reduction 
    in ossification was noted with respect to the size of the
    interior fontanelle and the number of carpels/tarsels. This effect
    seemed to correspond to the marginal depression in fetal, weight
    observed at the high dose level. It was concluded that daily oral
    administration of cartap through the period of organogenesis at
    dose levels of 50 mg/kg body weight resulted in a slight reduction
    in fetal weight and a marginal retardation in development. There
    was no indication that fetal survival was affected or that
    malformations were observed (Tesh et al., 1976b).

    Special Studies on Mutagenesis

         The mutagenic potential of cartap was evaluated using several
    strains microorganisms as testor strains. The results of a
    rec-assay, evaluating DNA damaging capacity in Bacillus
    subtilis (H-17 and M-45 strains) was negative. Reverse mutation
    tests, with and without metabolic activation systems using E. 
    coli and Salmonella typhimurium (TA 98, TA 100, TA 1535, TA
    1537 and TA 1538) were all negative. A host mediated assay using
    the G 46 strain J.S. typhimurium in the mouse was also negative
    (Sherasu et al., 1976).

         In vivo cytogenetic effects of cartap were examined using
    bone marrow cells of adult male CF-1 Mice and Wistar rats. There
    were no increases of chromosomal aberration in cells of rodents
    treated with a variety of test programs evaluating cartap. These
    tests include doses of 0, 10, 100 and 150 mg/kg/day to mice or 0,
    10 and 100 mg/kg/day to rats administered as a single dose or 5
    daily doses. In addition, cartap was administered to weanling male
    rats orally at 0 or 200 mg/kg/bw or by extraperitoneal injection 0
    or 30 mg/kg/bw. In all cases, a positive control of
    triethylene-melamine (0.5 mg/kg) or furylfuramide (240 mg/kg) was
    employed. A dominant lethal test was performed where male mice were
    administered 100 mg/kg/day either as a single or as 5 multiple
    daily oral doses. All results showed a complete lack of any
    mutagenic activity under the experimental conditions (Kikuchi, et
    al, 1976).

    COMMENTS

         The 1976 Joint Meeting estimated a Temporary Acceptable Daily
    Intake for man of 0.05 mg/kg based upon long term studies in two
    rodent species. Further data required included detailed studies of
    metabolism, further studies of teratogenic and mutagenic potential
    and a feeding study in a non-rodent species. Results of additional
    studies on metabolism in plants and animals and teratogenicity
    tests were made available.

         The detailed metabolism studies indicated that Cartap follows
    a different route of metabolism in plants and animals and it is
    suggested that selective toxicological studies be conducted on
    those terminal plant metabolites that differ from the metabolites
    found in animals.

         New test data on teratogenic potential of cartap, administered
    during the full period or organogenesis in mice and rats did not
    reveal teratogenic activity at doses above the no effect observed
    level established by the 1976 Joint Meeting. Negative results were
    obtained in several mutagenicity assays.

         In view of these new data which reduced concerns expressed at
    the 1976 Joint Meeting the present meeting was able to estimate an
    acceptable daily intake.

    TOXICOLOGICAL EVALUATION

    Level causing no toxicological effect

         Rat: 20 mg/kg bw/day
         Dog: 10 mg/kg bw/day

    ESTIMATE OF ACCEPTABLE DAILY INTAKE FOR MAN

         0-0.1 mg/kg bw

    RESIDUES IN FOOD AND THEIR EVALUATION

    Tea

         Of the two cultural methods for growing tea in Japan, the
    shade culture expectedly resulted in higher residues than the
    open-field culture (Table 1). This is due mainly to the unstable
    nature of cartap in sunlight. Residues ranged from 3.3 to 17.4
    mg/kg with the shade culture 10 days after the last application
    when cartap was applied twice at 1.0 kg a.i./ha. At 14 days after
    the last application, the residues ranged from 2.7 to 15.0 mg/kg.
    With single applications, a maximum residue of 14.0 mg/kg was
    obtained 10 days after the last application. The highest residue
    obtained under open field condition was 1.4 mg/kg 10 days after the
    last application when cartap was applied twice. Cartap being water
    soluble, about 76% of the insecticide is extracted by hot water.


        Table 1. Comparative residues of cartap hydrochloride in green tea grown in shade or sunlight.
    (50% soluble powder formulation used)
                                                                                                                           
    Situation      No of    Application Rate,     Cartap (mg/kg) at intervals (days) after last application
                   trials   (kg ai/ha   No)       10          14          15         20        21           27        28
                                                                                                                           
    Open field     4        1.0         1         0.37                    0.56       0.16
                                                                         (0.48)
                                                  0.73                    0.81       0.68
                                                  0.49                    0.6        0.64
                                                 (0.42)                  (0.43)
                                                  0.92                    1.12       0.57

    Shade          4        1.0         1         7.08                    6.60                 1.66                   0.92
                                                 (6.87)                  (6.12)               (1.30)                 (0.97)
                                                  1.76        2.31                             0.60         0.36
                                                 (1.77)      (2.37)                           (0.60)       (0.33)
                                                  14          8.51                             4.26                   2.0
                                                 (8.3)        (5.8)                           (2.8)                  (1.4)
                                                  3.55        3.96                             0.92                   0.58
                                                 (2.2)       (2.5)                            (0.7)                  (0.4)

    Open field     4        1.0         2         1.26                    1.12       0.22
                                                 (0.97)
                                                  0.83                    0.52       0.45
                                                 (0.71)
                                                  0.76                    0.64       0.38
                                                 (0.52)
                                                  1.36                    1.84       0.56

    Shade          4        1.0         2         9.38        7.40
                                                 (8.75)      (5.50)
                                                  3.30        2.66
                                                 (2.45)      (2.21)
                                                  17.4        15.0
                                                 (10.6)      (9.1)
                                                  6.38        5.64
                                                 (4.2)       (3.4)
                                                                                                                           
    Figures in parenthesis are residue equivalent equivalents extracted by hot water
    

    FATE OF RESIDUES

    In animals

         When cows were fed with 2 and 10 ppm of cartap  hydrochloride in
    the concentrate part of their ration for 30 consecutive days, some
    indications of a transient accumulation of cartap-derived compounds in
    milk were observed at the higher feeding level. At the 2 ppm feeding
    level, the low apparent residues were attributed to analytical
    interferences since similar levels and frequency of occurrence were
    also observed in the control group. At the higher feeding level, mean
    maximum residues of 33 µg/kg were observed after 7 days treatment.
    There was a subsequent decline of residues and no cartap was detected
    by the end of the treatment period or during the 30 days recovery
    period immediately following (Table 2).

         In muscle and liver, the maximum estimated levels of
    cartap-derived compounds observed at the end of the treatment period
    were 18 µg/kg in muscle and 14 µg/kg in liver, expresse as cartap.
    However, the level in liver could be an over estimate because of
    interference. No residues could be found in either tissue by the end
    of the recovery period. In the kidney, the concentration of residues
    appeared to be related to dietary concentration. At the 2 ppm feeding
    level, the samples from two animals showed 19 and 33 µg/kg residues at
    the end of the treatment period and none the end of the recovery
    period. At 10 the ppm level, the residues were 49 and 41 g/kg at the
    end of the treatment period declining to 41 and 13 µg/kg, 7 and 30
    days respectively after cessation of treatment. No residues were
    detected in the fat (Table 3). (Takeda 1978a)

    In plants and soil

         The absorption and distribution of 35S-labelled cartap
    hydrochloride in rice plants grown under various hydroponic conditions
    were studied by autoradiography. After 35S was absorbed from the
    roots, it was distributed throughout the laminae and high
    concentrations were observed in the leaf sheaths. Accumulation
    occurred in the leaf apices. Absorption through the leaf sheaths was
    also observed, and was found to occur faster in the young leaves than
    in the older leaves. Distribution occurred through the vascular
    tissues. When applied to the leaves, the insecticide diffused from the
    applied region to the leaf apices and accumulated in the leaf sheaths.
    35S was detected in the digestive organs, neural tissue and spiracles
    of the intoxicated rice stem borers (Kodo et al., 1970).

         In 66-day old rice seedlings, the major region of absorption was
    observed to be the roots. As much as 15% of the applied
    35S-radioactivity was found to have been taken up by the plant,
    mainly through the roots. As much as 500 mg/kg accumulated in the rice
    plant seedlings after 6 days immersion (Kamesaki et al 1974).


    
    Table 2. Residues in milk of cows fed cartap hydrochloride in the diet.

                                                                                                                      

                                  Cartap, mg/kg, at interval(days)after start of feeding
    Cartap in feed      Animal                                                                                        
    concentrate, ppm    number    0       2       4       7       14      22      26      30*     37      51      60
                                                                                                                      

    0                   3         L       T       T       T       T       ND      ND      ND      -       -       -
    (control)           11        L       T       ND      T       ND      ND      ND      ND      -       -       -
                        15        ND      T       T       ND      T       ND      ND      ND      ND      ND      ND
                        16        ND      ND      ND      I       ND      ND      ND      ND      ND      -       -
                                                                                                                      

    2                   4         ND      L       ND      T       T       ND      T       ND      -       -       -
                        13        ND      ND      ND      ND      T       T       ND      ND      ND      ND      ND
                        17        ND      T       ND      ND      T       T       ND      ND      ND      -       -
                        20        ND      ND      ND      T       ND      ND      ND              -       -       -
                                                                                                                      

    10                  1         T       0.02    ND      0.04    0.03    0.02    ND      ND      -       -       -
                        6         T       T       0.4     0.04    0.03    0.03    ND      ND      ND      ND      ND
                        7         ND      L       0.4     0.02    0.03    T       T       ND      -       -       -
                        14        ND      0.02    T       0.03    0.02    0.02    ND      ND      ND      -       -
                                                                                                                      

    * End of feeding period

    All results corrected for 62% recovery.

    ND  denotes "none detected".
    L   denotes "sample lost".
    I   denotes "insufficient sample".
    -   denotes animal sacrificed.
    T   denotes less than 0.015 mg/kg.

    Table 3. Residues in tissues of cows fed cartap hydrochloride in the diet.

                                                                                                  

    Cartap in feed         Animal       Time of                 Cartap, mg/kg in
    concentrate, ppm       number       sacrifice                                                 
                                        (days)
                                                        Kidney       Muscle       Liver       Fat
                                                                                                  

    0                      3            30              ND           ND           T           ND
    (control)              11           30              ND           ND           T           ND
                           16           37              ND           ND           T           ND
                           15           60              ND           ND           T           ND
                                                                                                  

    Z                      4            30              0.02         0.02         0.01        ND
                           20           30              0.03         NL           0.01        ND
                           17           37              ND           T            0.01        ND
                           13           60              ND           T            T           ND
                                                                                                  

    10                     1            30              0.05         T            T           ND
                           7            30              0.04         T            0.01        ND
                           14           37              0.04         T            ND          ND
                           6            60              0.01         T            ND          ND
                                                                                                  

    All results corrected for appropriate recovery.
    ND denotes "none detected"; T denotes 0.01 mg/kg

    

         When paddy cultivation conditions were simulated, 35S-labelled
    cartap hydrochloride was rapidly absorbed, a maximum level in most
    tissues being reached after 3 days (Table 4). Metabolism to
    water-soluble components occurred readily. Accumulation of 35-S in
    the panicle was also observed (Kamesaki et al., 1976a). It was
    subsequently found by Kameseki et al., (1976b) that under conventional
    field practice, the amount of 35S-radioactivity was high in the hull
    and rice bran but low in the milled rice. Most of the metabolites were
    water soluble and many were amphoteric. Paper chromatography showed
    three of the metabolites to have the same Rf values as methionine
    sulphoxide, methionine sulphone and S-methyl cysteine Sulphoxide.
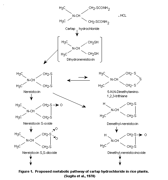
    Recently, the formation of seven metabolites was confirmed by Sugita
    et al., (1978) who proposed the metabolic pathway of cartap in rice
    shown in Figure 1.

         In paddy soil, Kamesaki et al., (1976a) found that residues
    gradually decrease with time but the individual values cannot readily
    be correlated because the samples were taken from different pots.

    In water

         The 35S-radioactivity from labelled cartap hydrochloride rapidly
    declined after application to simulated paddy water as seen in Table 5
    (Kamesaki et al., 1976a).

        Table 4. Absorption of radioactive components by plant parts.

                                                                                        
    Days after          % of applied radioactivity (mean of duplicates) found in
    application                                                                         

                        Root       Sheath     Blade      Culm       Neck       Panicle
                                                                                        

    1                   9.1        27.8       29.5       20.4       4.0        9.3

    3                   3.6        27.6       48.3       7.1        2.7        10.8

    6                   5.1        21.8       51.5       5.6        2.8        13.2

    13                  2.5        18.3       57.5       4.5        1.8        15.4

    20                  2.1        16.8       54.5       4.0        2.3        20.3

    27                  3.1        18.2       50.8       4.6        2.9        20.5

    34                  2.2        19.8       52.1       5.6        2.6        17.6

    41                  1.5        19.3       54.4       5.4        2.7        16.7
                                                                                        
    
    Table 5. 35S radioactivity from labelled cartap
    hydrochloride in simulated paddy water (x 105 dmp/pot)

                                                        

              Days after          Average of duplicates
              application         (counts/min. X 10-5)
                                                        

                   1                       789.5
                   2                       330.9
                   3                       217.6
                   5                       111.8
                   6                       111.4
                   7                       115.1
                   8                        74.2
                   9                        55.6
                  12                        33.5
                  13                        27.3
                  15                         9.3
                  16                         5.7
                                                        

    In processing and cooking

         The effect of cooking on cartap residues in rice was determined
    by Inoue (1977). It was found that washing the soaked, air-dried,
    polished rice before cooking reduced cartap, residues by about one
    third. No significant reduction in residues was obtained by boiling.

    METHODS OF RESIDUE ANALYSIS

         The attention of the Meeting was drawn to difficulties found by
    some experienced analysts in established laboratories in using the gas
    chromatographic procedure for cartap. The stability of the reference
    standards is thought to contribute to the problem.

    APPRAISAL

         Cartap was previously evaluated in 1976 (FAO/WHO, 1977b). The
    manufacturer has submitted additional data in response to the
    requirements of that meeting.

         Photodecomposition appears to contribute significantly to the
    decomposition of the insecticide. This explains the higher cartap,
    residues found in green tea grown under shade compared to those in
    plants grown in the open field.

         In dairy cows, intake results in transient accumulation of the
    insecticide in milk. Accumulation was also observed in the kidney but
    not in the liver, muscle or fat.

    FIGURE 

         In rice, diffusion through the roots and leaves occurs with
    accumulation of the insecticide in the leaf sheathe and panicles.
    Absorption into the plant was rapid. Degradation in soil and water was
    also rapid. Seven metabolites, mainly hydrolysis products, were
    identified in rice plants.

         Washing rice prior to cooking reduced cartap residues by about
    one third but no significant reduction was obtained by cooking.

         Some problems have been reported in analysis by the GLC
    procedure, probably owing to the unstable nature of the analytical
    standard.

    RECOMMENDATIONS

         With the allocation of an ADI, the previous temporary MRLs are
    converted to MRLs. The limit for tea is amended as shown. The other
    tabulated limits were recommended in 1976, but were incorrectly
    recorded in the text of the 1976 monograph (FAO/WHO, 1977b). They were
    correctly recorded both in the Annex to FAO/WHO, 1977b and in Annex 1
    to the report of the 1976 Meeting (FAO/WHO, 1977a).

              Commodity                               MRL (mg/kg)

              Tea (green, dry)                        20
              Cabbage                                 0.2
              Chestnuts (seed including pericarp)     0.1
              Ginger                                  0.1
              Potatoes                                0.1
              Rice (hulled)                           0.1
              Sweet corn                              0.1

    FURTHER WORK OR INFORMATION

    Desirable

    1.   Information on use patterns and residue level in additional food
         crop for which the compound is used in order to act additional
         MRLs.

    2.   Further inter-laboratory information on evaluation of the method
         of analysis.

    3.   Short-term feeding studies on terminal plant metabolites that are
         not found in animals.

    REFERENCES

    Fujita T., Y. Shirakawa, K. Iwamoto and K. Konishi. Fate of Cartap
    (1971)              in Animals (II) Investigation of Urinary
                        Metabolites in Rats and Mice. Unpublished report
                        submitted by Takeda Chemical Industries, Ltd.

    Inoue, M. Effect of Cooking on Cartap Residue. Takeda Chemical
                        Industries, Ltd., Sept. 14 (unpublished).

    Kamesaki, S., Y. Inoue, K. Konishi Y. Kono, Y. Oshiko and M. Sakai
    (1974)              Fate of Cartap in Plants (II). Absorption and
                        Distribution in Rice Plants (2). Unpublished
                        report submitted by Takeda Chemical Industries,
                        Ltd.

    Kamesaki, S., K. Konishi, Y. Shirakawa and T. Fujita Fate of Cartap
    (1976a)             in Animals (III). Isolation and Identification of
                        Urinary Metabolites in Rats. Unpublished report
                        submitted by Takeda Chemical Industries, Ltd.

    Kamesaki, S., Y. Inoue, K. Konishil Y. Kono, Y. Ohiko and M. Sakai
    (1976b)             Fate of Cartap in Plants (III). Distribution and
                        Metabolites in Rice Plants. Unpublished report
                        submitted by Takeda Chemical Industries, Ltd.

    Kamesaki, S., Y. Inoue, K. Konishi, Y. Kono, Y. Oshiko, M. Sakai
    (1976c)             Fate of Cartap in Plants (IV). Isolation of
                        Metabolites in Rice Plants. Unpublished report
                        submitted by Takeda Chemical Industries, Ltd.

    Kikuchi, Y., Hitotsumachi, S., Yamamoto, K.I. Mutagenicity Tests
    (1976)              on Cartap hydrochloride.  In vitro cytogenetic
                        and dominant lethal tests in mammals. J. of the
                        Takeda Research Laboratories 33: 257-63.
                        Unpublished report submitted by Takeda Chemical
                        Industries, Ltd.

    Kodo, I., K. Nishi, T. Toga and N. Tan Fate of Cartap in Plants
    (1970)              (I). Absorption and Distribution in Rice Plants
                        (1). Unpublished report submitted by Takeda
                        Chemical Industries, Ltd.

    Shirasu, Y., Moriya, M. and Watanabe, K. Assessment of the
    (1976)              mutagenicity of cartap hydrochloride by various
                        bacterial test systems. Unpublished report from
                        the Dept. of Toxicology, Institute of
                        Environmental Toxicology submitted by Fabeda
                        Chemical Industries Ltd.

    Sugita N., A. Takabatake and N. Tan Fate of Cartap In Plants
    (1978)              (V). Primary Metabolites in Rice Plants.
                        Unpublished report submitted by Takeda Chemical
                        Industries, Ltd. to the WHO.

    Sugita N., A. Takabatake and N. Tan Fate of Cartap in Plants
    (1978)              (V). Primary Metabolites in Rice Plants. Takeda
                        Chemical Industries, Ltd., April 17 (unpublished).

    Tesh, J.M. S.A. Tesh and M.E. Earthy TA-7 Effects Upon Pregnancy
    (1976b)             in the Rat. Unpublished study from Life Sciences
                        Research submitted by Takeda Chemical Industries,
                        Ltd.

    Tesh, J.M., S.A. Tesh and M.E. Earthy TA-7 Effects Upon Pregnancy
    (1976b)             in the Rat. Unpublished study from Life Sciences
                        Research submitted by Takeda Chemical Industries,
                        Ltd.

    Takeda Chemical Industries, Ltd. 7A-7 (Cartap): Milk and Tissue
    (1978a)             Residues following repeated dietary administration
                        to dairy cows over thirty days with a maximum
                        period of thirty days respite from treatment. LSR
                        Report No. 78/TCL8/112 (unpublished).

    Takeda Chemical Industries, Ltd. Comments to information on the Fate
    (1978b)             of Residue in manufactured Green Tea
                        (unpublished).
    


    See Also:
       Toxicological Abbreviations
       Cartap (Pesticide residues in food: 1976 evaluations)