IPCS INCHEM Home


    PHORATE            JMPR 1977

    IDENTITY

    Chemical name

    O,O-diethyl s-ethylthiomethyl phosphorodithioate

    Synonyms

    Thimet (R), timet (USSR), E1 3911, American Cyanamid 03911
         L11/6, ENT 24042

    Structural formula

               S
               "
    (C2H5O)2 - P-S-CH2-S-C2 H5

                                            C7H17O2PS3

    Other information on identity and properties

    Technical phorate is a clear pale yellow mobile liquid containing a
    minimum of 90% phorate and having a specific gravity of 1.16 at 25°C.
    Molecular weight 260.37.

         BP -118-120°C at 0.8 mm Hg.

         PH -3.3 (1% soln. in 75/25 alcohol/water)

    Solubility -approx. 50mg/l in water but miscible with xylene,
    vegetable oils, carbon tetrachloride, alcohols, ethers and esters.

    Stability - at temperatures up to 25°C the technical grade is known to
    be Stable for at least 2 years. Both the technical grade and
    formulations are subject to hydrolysis in the presence of moisture and
    alkali. Commercial granular formulations are stable for over two years
    if kept in closed containers at temperature not exceeding 25°C.

    Composition of technical phorate

    Full details of the composition of technical phorate were made
    available in confidence by the principal manufacturer.

    Formulations

    Phorate is generally used as 5% and 10% a.i. granules. The technical
    material can be coated or adsorbed on a wide range of locally
    available carriers: Emulsifiable concentrates containing 60% a.i..are
    also available in some countries.

    EVALUATION FOR ACCEPTABLE DAILY INTAKE

    BIOCHEMICAL ASPECTS

    Absorption, distribution and excretion

    Rats receiving a single oral dose of 2 mg/kg of 32p-labelled phorate
    excreted 35% of the administered radioactivity in the urine and 3.5%
    in the faeces within 144 hours. Rats receiving 6 daily doses of 1
    mg/kg excreted 12% of the total administered radioactivity in the
    urine and 6% in the faeces within 7 days. The brain, liver and kidney
    tissues from the animals closed with 1 mg/kg contained unidentified
    and largely unextractable residues (Bowman and Casida, 1958).

    Absorption, distribution and excretion in cows and calves are
    described in the section "Fate of residues", "In animals".

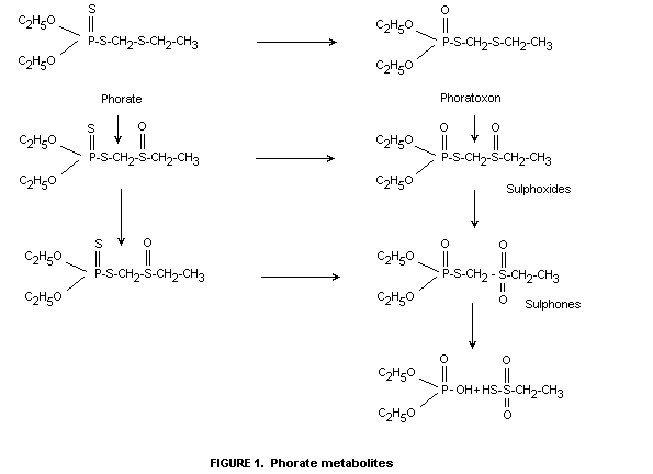
    Biotransformation

    The cholinesterase-inhibiting metabolites of phorate are phorate
    sulphoxide and sulphone and the oxygen analogue phoratoxon and its
    sulphoxide and sulphone. (See Figure 1.)

    The urine of rats receiving daily oral doses of 1 mg/kg contained 17%
    diethyl phosphoric acid, 80% 0,0-diethyl phosphorothioic acid and 3%
    0,0-diethyl phosphorodithioic acid (Bowman and Casida, 1958).

    32p-labelled phorate was incubated with rat liver slice preparations.
    Less than 1% of the applied radioactivity was converted to hydrolysis
    products or unextractable residue. Phorate sulphoxide, phorate
    sulphone, phoratoxon sulphoxide and phoratoxon sulphone were formed
    (Bowman and Casida, 1958).

    Rats were dosed with atropine and 1.6, 3.2 and 5.5 times the nominal
    LD50 for phorate (3.7 mg/kg). Analysis of the blood, by thin layer
    chromatography indicated the presence of phorate, phorate sulphoxide
    and phorate sulphone. Only phorate sulphone was detected by vapor
    phase chromatography (Blinn and Boyd, 1967).

    Phorate was rapidly metabolized when incubated in liver homogenates of
    four species of animals. Analysis of extracts of rat liver homogenates
    by GLC indicated the presence of phorate sulphone and phorate
    sulphoxide, but this identification could not be confirmed by TLC (Rao
    and McKinley, 1969).

    One cow was given a single oral dose of 3.04 mg/kg of phorate to
    determine urinary, blood and tissue metabolites. 0,0-diethyl
    phosphorothioic acid, 0,0-diethyl phosphoric acid and small amounts of
    0,0-diethyl phosphorodithioic acid were detected in the urine. Most of
    the radioactivity in the blood and tissues could not be extracted with

    FIGURE 7



    chloroform and acetone (Bowtan and Casida, 1958) (See also "Fate of
    residues", "In animals").

    Bean plants were dipped into a 500 ppm P-32 phorate solution prior to
    planting to determine the metabolism of phorate by plants. The primary
    metabolites were phorate sulphoxide and/or phorate sulphone. Small
    amounts of phoratoxon sulphoxide, phoratoxon sulphone and unchanged
    phorate were also detected. No phoratoxon was detected. The hydrolysis
    products formed were phosphoric acid and the diethyl esters of
    phosphoric acid, phosphorothioic acid and phosphorodithioic acid
    (Bowman and Casida, 1958).

    Other work on the biotransformation of phorate in plants is described
    in "Fate of residues", "In plants".

    Effects on enzymes and other biochemical parameters

    The anticholinesterase activities of phorate and its metabolites are
    shown below (Table 1).

    TABLE 1. Comparison of anticholinesterase activity of phorate
    metabolites

                                       Anticholinesterase activity
                                            (p/50)*

    Phorate                                 3.17

    Phorate sulphoxide                      3.35

    Phorate sulphone                        5.00

    Phoratoxon                              5.87

    Phoratoxon sulphoxide                   6.76

    Phoratoxon sulphone                     7.02
                       

    *p/50 + negative logarithm of molar concentration producing 50%
    inhibition of red blood cell cholinesterase.

    In rats, at dietary levels above 0.66 ppm, phorate depressed plasma,
    erythrocyte and brain enzyme activity (Tusing et al., 1956b). Phorate
    sulphoxide at dietary levels greater than 0.32 ppm also produced
    depression of cholinesterase in rats in varying degrees during a 90
    day studY (Levinskas et al., 1968). In dogs, plasma and erythrocyte
    cholinesterase activity was depressed at levels above 0.01 mg/kg/day

    (Tusing et al., 1956a). Dietary feeding at 1.0 ppm for 6 weeks
    produced no effect in dogs (Kay and Calandra, 1961).

    TOXICOLOGICAL STUDIES

    Special studies on potentiation

    Young rats weighing between 90 and 120 g (5 males/4 dosage levels)
    were used to investigate the potentiation of phorate with diazinon,
    EPN, azinphos-methyl, malathion, parathion-methyl, parathion,
    mevinphos, demeton, tetram and carbophenothion. Oral LD50 values
    were determined for each pesticide under identical conditions. Each
    pair of compounds was mixed in approximately equitoxic proportions,
    i.e., in about the ratios of their LD50's.

    Results, given as LD50 in mg/kg are as follows:

    Diazinon (283,216); EPN (42.9, 25); azinphos-methyl (18.7, 8);
    malathion (329, 178); parathion-methyl (14.2, 11); parathion (12.3,
    8); mevinphos (7,4); demeton (6.2,4); tetram (14.2, 5);
    carbophenothion (32.5, 29). In the case of every mixture, the observed
    LD50 indicating no potentiation (Shaffer et al., 1958).

    Special study on neurotoxicity

    Groups of 6 adult hens were fed 0 and 40 ppm phorate in the diet for 4
    weeks. A third group received 4000 ppm TOCP as a positive control.
    Each hen was anesthetized, immediately perfused with buffered
    formalin, and sections of brain, lower thoracic cord and each sciatic
    nerve prepared for microscipis examination. The TOCP produced myelin
    loss in each hen. Phorate produced no adverse effects on nerve fibres
    or the myelin sheath (Levinskas et al., 1965).

    Special study on mutagenicity

    Ten pesticides, including phorate, were tested for dominant lethal
    effects. A group of 20 male mice were fed for 7 weeks at three dose
    levels of phorate (levels not reported). Reference controls and a
    positive control receiving triethylenemelamine in drinking water for 4
    weeks were included in the test. Following treatment each male was
    mated to two females weekly for 8 weeks. No consistent response
    occurred to suggest that phorate in the diet for 7 weeks induced
    dominant lethal effects in mice (Jorgenson et al., 1976).

 

   Special study on reproduction and teratology

    Groups of mice (8 males and 16 females/group) were fed phorate in the
    diet at levels of 0, 0.6, 1.5 and 3.0 ppm during a 3-generation, 2-
    litter/generation, reproduction study.

    There were no dose related effects on the fertility, gestation,
    viability or lactation indices during the study, but there was a
    lowering of the lactation index in the 3.0 ppm group. This value fell
    below the control value in the first mating of the F0 generation, in
    both matings of the F1 and in the second mating of the F2
    generation.

    Gross and microscopic examination of tissues and cleared pups revealed
    no consistent abnormalities related to feeding of phorate (Anonymous,
    1965).

    Acute Toxicity

        TABLE 2. Acute toxicity of phorate
                                                                                        
                                                 LD50
    Species           Route,           Sex       (mg/kg)           Reference
                                                                                        
    Rat               Oral             M         2.3               Gaines (1969)
                                       F         1.1

    Rat               Oral             M         2.8               Anonymous (1976)
                                       F         1.6

    Rat               Dermal           M         6.2               Gaines (1969)
                                       F         2.5

    Rat               Dermal           M         5.7               Anonymous (1976)

    Rabbit            Dermal           M         5.2
                                                                                        

    
    Short term studies

    Rat

    Groups of rats (50 males and 50 females/group) were fed 92% phorate,
    in corn oil, in the diet at levels of 0, 0.22, 0.66, 2.0 and 6.0 ppm
    for 13 weeks. Two groups (25 males and 25 females/group) were fed 12

    and 18 ppm for 8 and 2 weeks respectively. Cholinesterase activity was
    monitored at weekly intervals. Occasional episodes of excitability and
    intermittent tremors were noted in the 6.0 ppm female group. Both
    sexes receiving the 12 and 18 ppm levels exhibited severe
    excitability, intermittent tremors and ataxia culminating in death.
    Levels of 6 ppm and higher produced significant depression in both
    sexes of plasma, red blood cell and brain activity. At 2 ppm female 
    red blood cell activity was also depressed. Levels at 0.66 ppm or
    below had no effect on cholinesterase activity. Growth, food
    consumption, survival, liver and kidney weights and ratios, gross
    necropsy and histological findings for all groups at 6 ppm or below
    were within normal limits. Levels of 12 and 18 ppm severely affected
    growth and survival (Tusing et al., 1956b).

    Groups of rats (50 males and 50 females/control and 35 males and 35
    females/test groups) were fed the sulphoxide of phorate (92% purity)
    for 90 days at levels of 0, 0.32, 0.80 and 2.0 ppm. Brain, erythrocyte
    and plasma cholinesterase activities were determined biweekly. At the
    2.0 ppm level a significant (P <0.05) depression in erythrocyte and
    brain cholinesterase activity occurred in females. Plasma activity
    depression at this level was less consistent and judged as borderline.
    The 0.8 ppm level produced borderline depression of the erythrocyte
    enzyme activity. At 0.32 ppm all values were within acceptable
    statistical limits for both sexes. No effects were observed on other
    hematological values, organ weights or ratios and no consistent
    microscopic pathology was noted which could be attributed to the
    feeding of 2 ppm or less of the sulphoxide of phorate (Levinskas et
    al., 1968).

    Dog

    Groups of mongrel dogs (2 males and 1 female/group) received by
    capsule 0, 0.01, 0.05, 0.25 and 1.25 mg/kg/day of 92% phorate in corn
    oil 6 days/week for 15 weeks. Two males received 2.5 mg/kg as a single
    dose. Plasma and red blood cell cholinesterase activities were
    monitored at weekly intervals. The 0.05 mg/kg/day level produced a
    significant depression in plasma enzyme activity. The red blood cell
    activity was not affected for the first 12 weeks but was depressed
    slightly (not significantly) during the last 3 weeks of the study.
    Significant plasma and red blood cell enzyme depression was produced
    by the 0.25 mg/kg/day level. The 1.25 mg/kg/day level produced
    complete inhibition of plasma cholinesterase activity and a
    significant reduction in red blood cell activity. At the 2.5 mg/kg/day
    level all dogs died within 3-4 hours following a single dose and no
    enzyme activity determinations were made. No signs of systemic
    toxicity in dogs receiving the 0.01 or 0.05 mg/kg/day doses (Gaines,
    1969). Histopathological examination revealed no consistent findings
    related to the test/material (Tusing et al., 1956a). Beagle dogs (3

    males and 3 females/group) were fed in the diet 0, 0.5, or 1.0 ppm
    phorate for 6 weeks. Cholinesterase activity of plasma and
    erythrocytes was determined for each dog prior to and at biweekly
    intervals during the test. Analyses of variance conducted upon plasma
    and erythrocyte enzyme activities revealed no significant difference
    between the test animal and control animal groups during the test
    period (Kay and Calandra, 1961).

    Long term studies

    No information available.

    Observation in humans

    No information available.

    COMMENTS

    Phorate, an organophosphorous pesticide, is a derivative of
    dithiophosphoric acid. Less than 40% of a 2 mg/kg oral dose to rats
    was excreted in 6 days, and brain, liver and kidney contained
    unextractable residues. The major metabolites in both plants and
    mammals are the sulphoxides and sulphones of phorate and of its oxygen
    analogue, phora-toxon; these have greater anticholinesterase activity
    than phorate. Hydrolysis of phorate itself is a minor metabolic
    pathway in mammals.

    The biochemical data available on phorate are inadequate to determine
    whether the oxidative metabolites are retained in mammalian tissues or
    organs. Toxicological data submitted are insufficient, except for
    cholinesterase inhibition, to determine the short and long term
    effects of phorate and its oxidative metabolites. Although the Meeting
    considered setting a temporary ADI for humans this could not be
    established in the absence of long-term studies. Further studies are
    required to evaluate a.) carcinogenic potential, b) teratogenic
    potential, c) potential neurotoxicity and d) toxicity of metabolites.
    Observations in human subjects are desirable.

    RESIDUES IN FOOD AND THEIR EVALUATION

    USE PATTERN

    Phorate is a powerful soil insecticide with excellent systemic
    properties. A wide spectrum of insect and free-living nematode pest
    problems is controlled by a seed-bed or a side-dressing treatment.
    Seed-bed applications protect the germinating seedlings and young crop
    stages against a wide range of pests.

    Granular formulations of phorate have been extensively field tested
    throughout the world since 1954 and are used commercially in many
    countries. Major uses are summarized in Table 3. Recommended dosage
    rates vary somewhat from country to country, depending mainly on the
    pest complex to be controlled and the period of protection required.
    Although application is normally made in the furrow at seeding or
    planting time, certain pest problems require the application of
    granules as a side-dressing at the time of subsequent cultivation.
    There are some situations where, in order to control vectors of virus
    diseases, it is necessary to make a broadcast treatment with granules
    or a foliage application of emulsifiable concentrate to the growing
    crop. Preharvest intervals and limitations on grazing vary somewhat
    but for the most part they are relatively long because of the residual
    life of phorate in treated plants.

    In addition to its use on food and forage crops phorate is used on
    ornamentals and tobacco and in forest nurseries where sucking insects
    are a problem.

    RESIDUES RESULTING FROM SUPERVISED TRIALS

    Extensive trials have been carried out by the manufacturers and by
    independent investigators to determine the level and fate of phorate
    residues in virtually every crop on which the insecticide in used.
    Copies of trial reports and published scientific papers were provided
    to the Meeting by the manufacturers (American Cyanamid, 1977). A
    representative selection of the data from these reports has been
    summarized in Table 4. The following observations are made on the
    detailed data.

        TABLE 3. Phorate: use-pattern
                                                                                     
    Crop                Dosage(kg/ha)  When and Where Applied       Limitations
                                                                    and
                                                                    pre-harvest
                                                                    Intervals
                                                                                     

    Alfalfa             1              seed treatment               60 days
                        1.5-2          broadcast                    35 days
                                                                    (grazing)
    Barley              1              broadcast-soil incorporated  60 days
    Beans               1-1.5          in furrow at planting        60 days
                                       broadcast before flowering   -
    Brassicas           16g/100m row   in furrow at transplanting   -
    Carrots             1.7-3.3        at drilling time             -

    TABLE 3. (Continued)

                                                                                     

    Crop                Dosage(kg/ha)  When and Where Applied       Limitations
                                                                    and
                                                                    pre-harvest
                                                                    Intervals
                                                                                     
    Cotton              0.2-0.5        seed treatment               do not use
                                                                    seed for food
                        0.3-1.5        furrow application           do not graze
    Hops                1-1.5          foliage application          25 days
                        2-3            band application             42 days
    Lettuce             1              at transplanting or
                                       seeding                      -
                        1              foliage treatment            18 days
    Maize               1-2            in farrow at planting        -
                        1              band application
                                       at cultivation               30 days
                        1              foliage application          30 days
    Onions              12g/100m row   in furrow at transplanting   -
    Peanuts             1-1.5          in furrow at planting        do not graze
                                                                    or feed
                        2              band application at pegging  do not graze
                                                                    or feed
    Peppers             1              in furrow at transplanting   -
    Potatoes            1.5-3          in furrow at planting        90 days

    Sorghum             2              In furrow at planting        -
                        0.5-1          foliage application          28 days
    Sugar beets         0.5-1          in furrow at planting        -
                        1-1.5          foliage application          30 days
    Sugar cane          4              in furrow at planting        -
    Tomatoes            1-2            at planting or
                                       transplanting                -
    Wheat               1              in furrow
                        1              broadcast                    70 days
    Sunflower           1-1.5          in furrow at planting        -
                                                                                     

    
        TABLE 4. Phorate residues resulting from supervised trials.
                                                                                                                                               
                                       Application              Residues (mg/kg) at intervals (days) after application
                                       rate
    Crop         Country        Year                     formulation     14         21         28          35        45        60        90
                                       no.    kg
                                              a.i./ha
                                                                                                                                               
    ALFALFA      USA            1966   1      1          granule                    <0.01      <0.01       <0.01     <0.01
    (dry)                              1      2          10%                        <0.01      <0.01       <0.01     <0.01
                                       1      4          "                          0.06       0.06        0.03      0.02
                                       1      1          "               0.06                  0.08        0.71      0.37      0.21
                                       1      2          "               0.01                  0.01        0.35      0.46      0.07
                                       1      1          "               0.05       <0.01                            0.01      0.01      0.01
                                       1      2          "               0.15       0.02                             0.02      0.02      0.01

    APPLES       Italy          1970   2      1.5        E.C.                                  <0.02                 <0.02     <0.02     <0.02
                 Argentina      1972   1      2          granule                                                                         0.01
                                       1      3          "                                                                               0.01

    BARLEY       USA            1967   1      4          "                                                                     <0.01
    (grain)                            1      1          "                                                                     0.01

    BARLEY       USA            1967   1      2          "                                                                     <0.01
    (straw)                            1      1          "
                                       1      2                                                                                0.04

    BARLEY       USA            1961   1      1          "               0.07                  <0.04
    (grain)

    BEAN, SNAP   USA            1966   1      1          "                                     0.5                   0.07      <0.01
                 USA            1963   1      2          "                                                           0.046     0.016
                                       1      2          "                                                           0.018     0.011
                                       1      4                                                                      0.013     0.036
                 USA            1966   1      1          "                                     0.5                   0.07      <0.01
                                       1      1                                                                                <0.01
                                       1      2          "                                                                     <0.01

    COWPEA       India          1974   1      2          "               1.46       1.05       0.53

    TABLE 4. (Continued)
                                                                                                                                               
                                       Application              Residues (mg/kg) at intervals (days) after application
                                       rate
    Crop         Country        Year                     formulation     14         21         28          35        45        60        90
                                       no.    kg
                                              a.i./ha
                                                                                                                                               
    EGGPLANT     India          1974   1      2          "               1.27       1.01       0.69

    MAIZE        USA            1970   1      0.5        E.C.            0.068      0.024      <0.020
    (plant)                                   1          "               0.131      0.046      0.007
                                              2          "               0.695      0.110      0.019
                 S. Africa      1977   1      0.5        granule         0.4        0.1        <0.02                 <0.02
                                              1          "               2.8        0.9        0.03                  0.03
                                              0.5        "               <0.02      <0.02      <0.02
                                              1.0        "               0.06       <0.02      <0.02
                                              0.5        "               0.5        <0.02      <0.02
                 S. Africa      1977          1.0        granule         0.8        0.03       <0.02

    MAIZE        S. Africa      1977   1      0.5        "                                                                               <0.02
    (grain)                                   1.0        "                                                                               <0.02

                 Italy          1971          2.5        "                                                                               <0.02


                                                                         14         30         40          60        90        120       150
    CARROTS      UK             1970   2      3          granule                    1.01                   0.88      0.47      0.64
                                       3      3          "                                     0.29        0.40      0.39      0.27
                                       2      3          "                                                 0.41      0.41      0.24      0.19
                                       3      1.5        "                                     0.19        0.09      0.09      0.23
                 Canada         1975   3      1          E.C.                       0.26
                                       4      1          E.C.                       0.40
    CELERY       UK             1971   1      1.2        granule                                                     <0.05
                                              1.5        "                                                           <0.05
    COTTONSEED   USA            1969   1      1          E.C.(seed)                                                                      <0.05
                                       1      1-2        granule                                                               <0.05
                                       1      3          "                                                                               <0-05
                                       1      2          E.C.                       <0-05
                 Egypt          1968   5      1          G/E.C.          0.02       0.01

    TABLE 4. (Continued)
                                                                                                                                               
                                       Application              Residues (mg/kg) at intervals (days) after application
                                       rate
    Crop         Country        Year                     formulation     14         21         28          35        45        60        90
                                       no.    kg
                                              a.i./ha
                                                                                                                                               
    GRAPES       Mexico         1973   1      4                                                                      0.000
                                       1      6                                                                      0.000
                                       1      8                                                                      0.007

    HOPS         USA            1968   1      4          granule                               <0.1        <0.1      <0.1
                                       3      1          E.C.            0.1

    LETTUCE      USA            1977   1      2                                     5.14       0.24        0.17      <0.05
                                1963   1      1                                                            <0-05
                                1963   1      2                                                            <0.05
                                1963   2                                            0.025

    PEANUTS      USA            1964   2      1+2        granule                                           <0.05     <0-05
    (kernels)                          2      1+2        "                                                 <0.05     <0-05
                                       2      1+2                                              0.05                            0.05
                                       2      1+4                                                                    <0.05
                                       1      2          "                          0.1        0.08                  0.05

                                       Application              Residues (mg/kg) at intervals (days) after application
                                       rate
    Crop         Country        Year                     formulation     14         30         40          60        90        120        150

    PEANUT       USA            1964   2      1+2        granule                                                     0.05
    (foliage)

    POTATOES     Czechoslovakia 1972   1      1.6        "                                                                     <0.05
                                       1      2.2        "                                                                     <0.05
                                       1      4.3        "                                                                     0.07
                 Turkey         1973   1      3.4                                                                              <0.05
                 Mexico         1972   1      1          E.C.            0.004      0.000
                                       1      2          E.C.            0.006      0.000

    TABLE 4. (Continued)
                                                                                                                                               
                                       Application              Residues (mg/kg) at intervals (days) after application
                                       rate
    Crop         Country        Year                     formulation     14         30         40          60        90        120        150
                                       no.    kg
                                              a.i./ha
                                                                                                                                               
    RAPE SEED    USA            1971   1      1.5        granule                                                     0.05

    RAPE HAY     USA            1971   1      1.5        "                                                           0.21
    SORGHUM      USA            1969   1      1          "                          <0.05      <0.05
    (grain)                            1      2          "                          <0.05      <0.05

    SORGHUM      USA            1969   1      1          "                          0.06       0.06
    (fodder)                           1      2          "                          0.16       0.08

    SORGHUM      Mexico         1972   1      1          E.C.            0.00       0.00
    (grain)                            1      2          E.C.            0.02       0.00

    MILO         USA            1967   1      1          granule                    <0.01      <0.01       <0.01
                                              2          "                          <0.01      <0.01       <0.01
                                              4          "                          0.22       0.01        <0.01

    SOYBEAN      USA            1970   1      1          "                                                           <0.05     <0-05
                                              2          "                                                           <0.05     <0.05
                                              7.5        "                                                           <0.05     <0.05

    SOYBEAN      USA            1970   1      1          "                                                           <0.05     <0.05
    (foliage)                                 2          "                                                           <0.05     <0.05
                                              7.5        "                                                           0.15      0.19

    SUGAR BEET   USA            1961   1      1          E.C.                                                                  0.05
                                              2          E.C.                                                                  0.05

    TOMATOES     USA            1961   1      1                                                                      <0.05     <0.05
                                              2                                                                      0.05      0.05
                                              4                                                                      0.06
    WHEAT        USA            1969   1      1                                                                      <0.05
    (grain)                            1      2                                                                      <0.05

    TABLE 4. (Continued)
                                                                                                                                               
                                       Application              Residues (mg/kg) at intervals (days) after application
                                       rate
    Crop         Country        Year                     formulation     14         30         40          60        90        120        150
                                       no.    kg
                                              a.i./ha
                                                                                                                                               
    WHEAT        USA            1969   1      1                          1.4        0.35       0.33
    (plant)                            1      2                          2.7        1.6        3.0
                                       1      1                          6.1        0.87       0.07
                                                                                                                                               



    Alfalfa

    Residue results obtained on fresh alfalfa and alfalfa hay grown in
    various regions of the United States show that application at twice
    the recommended dosage rate of 2 kg/ha does not result in residues in
    excess of 0.5 mg/kg in or on fresh alfalfa or 1 mg/kg on alfalfa hay
    within 35 days of treatment. Generally the level is less than the
    limit of determination (0.01 mg/kg).

    The results from a series of trials where phorate was applied to
    alfalfa at rates ranging from 2 through 3 to 4 kg/ha indicate that the
    half life in green alfalfa is between 8 and 18 days.

    Apples

    Results from spray trials carried out in Italy where 7.59 of phorate
    was applied per tree on one, two and three occasions prior to harvest
    show that the residues in apples 30 to 80 days after the last
    application were generally less than 0.02 mg/kg of Phorate and
    metabolites. One sample from a tree treated 30 days previously showed
    0.06 mg/kg phorate sulphone only.

    Residue analysis for phorate and metabolites in several varieties of
    apples treated in Argentina with phorate granules applied in
    incorporation in the soil around the stem at doses ranging from 10-20g
    of phorate per tree indicated no residues of parent compound or
    metabolite in fruit collected 182 days after application.

    Barley

    Experiments in the USA where phorate granules were incorporated or
    irrigated into the soil at planting time reveal that the residues of
    phorate and metabolites in the grain at harvest 60 days later are
    generally at or below the limit of determination (0.01 mg/kg). When
    applied at twice the recommended rate (1 kg/ha) detectable residues
    (0.04 mg/kg) were found in barley straw 60 days later.

    Stern (1961) reported that phorate granules applied to barley fields
    at the rate of 1 kg/ha one day prior to irrigation, produced
    detectable residues in the barley plants (0.07 mg/kg) 14 days later.
    The residues had declined below the limit of determination (0.04
    mg/kg) by the 28th day following application.

    Beans

    Extensive field trials carried out during the period 1966-68 on many
    varieties of beans under widely differing agricultural and ecological
    conditions indicate that the residues are generally well below 0/05
    mg\kg 60 days after application. The samples were analysed by the
    oxidative cholinesterase inhibition technique which determines phorate
    and metabolites. The limit of determination based on control values is

    considered to be 0.05 mg/kg. The reports contain results from a few
    isolated samples which indicate a total phorate residue of the order
    of 0.1 mg/kg.

    Carrots

    Wit (1960) using analytical methods involving the determination of
    total phosphorus showed that, following the application of phorate
    granules at the rate of 1.25-1.5 kg/ha, carrots contained from 0.09-
    0.19 mg/kg of residues derived from phorate applied 73-132 days
    previously.

    An extensive experiment carried out in the United Kingdom (Cyanamid
    Great Britain Limited, 1971) determined residues of phorate and its
    metabolites in carrots following treatment with phorate granules
    applied with the seed and at varying times thereafter according to
    various treatment codes. The highest residue level was approximately
    1mg/kg some 5 weeks after the last treatment, but this declined to
    0.64 mg/kg by the end of 4 months. Lower rates produced somewhat lower
    residues but significant residues were detected from all treatment
    regimes. The residues consisted of phorate and phorate sulphone with
    no oxygen analogue or sulphoxide.

    Finlayson et al (1976a) studied the distribution of a number of
    insecticides used to control carrot rust fly in the peel and pulp of
    carrots, measuring also the distribution throughout the length of the
    carrot. These investigators found that the bulk of the residue was in
    the peel in the top 3cm of the carrot, the total residue in the whole
    carrot being of the order of 0.2-0.4 mg/kg. The peel at the top end
    contained as much as 7 mg/kg. See also "Fate of residues".

    Maskell et al (1974) showed that the application of granules
    containing 10% phorate at 1, 2 or 4 kg/ha in a narrow slit together
    with carrot seed gave rise to residues which could be reduced by 50%
    by placing the granules 2.5cm below the seed. Residues resulting from
    the application of 1 kg/ha with the seed or 2 kg/ha 2.5cm below the
    seed were not significantly greater than residues in untreated
    carrots.

    When 4 kg of phorate per ha was applied along with carrot seed the
    residue in carrots at harvest 8 months later was 0.4 mg/kg. When the
    granules were placed 2.5cm below the seed the residue under
    corresponding conditions was only 0.2 mg/kg.

    Cottonseed

    American Cyanamid Company (1969c) reported the results of 13 trials in
    different regions of the USA aimed at determining what residues, if
    any, occur in cottonseed following phorate treatment of seed pre-
    planting or emulsifiable concentrate as a late season foliar

    application. All samples were analysed by the gas-chromatographic
    method. The data show less than 0.05 mg/kg phorate in cottonseed
    harvested from crops treated at planting time or with a side-dressing.
    Late season application with phorate emulsifiable concentrate at rates
    up to 2 kg/ha did not show detectable residues in cottonseed from
    crops treated 30 days prior to harvest.

    Zaki and El-Sayed (1968) showed that residues in mature cottonseed
    after spraying mature plants three times with phorate at the rate of 1
    kg/ha were only 0.013 mg/kg 14 days after the fourth application of
    foliage sprays.

    Cowpeas

    Satpathy et al (1974) showed that highly significant residues of
    phorate could be found in the pods of cowpeas 10 and 20 days after
    treatment of the soil with phorate granules applied at the rate of 2
    kg/ha. The residues continued to decline with a half life of
    approximately 12 days. Phorate residues were relatively more
    persistent than those of diazinon and dimethoate but comparable to
    disulfoton in cowpeas.

    Grapes

    The residue analysis of grapes harvested from plants growing in soil
    treated with phorate granules at the rate of 4, 6 and 8 kg/ha showed
    no residues at the two lower rates and only barely detectable residues
    at the highest rate. Treatment had been made by incorporating the
    granules into the soil at the time when the grape vines were
    sprouting. Grapes were harvested 92 days later (Cyanamid
    International, 1973b).

    Hops

    Kiligemagi and Terriere (1968 a,b) reported an extensive series of
    trials designed to determine the level and fate of phorate residues in
    hops following the application of phorate granular to the hop beds and
    foliar applications at rates from 1 to 5 kg/ha and with pre-harvest
    intervals ranging from 15 to 89 days. Using a gas-chromatographic
    method specific for phorate and its oxygen analogue sulphone the
    investigators were unable to detect, either the parent compound or
    metabolites in fresh or dried hops even at the short pre-harvest
    interval of 15 days. Aphid and spider mite control were, however,
    excellent.

    Maize

    One of the major uses for phorate ban been the control of a variety of
    insects on maize. In the early 1960s the manufacturers carried out,
    extensive residue studies in many locations in the USA. Using

    oxidative cholinesterase inhibition procedures it was shown that the
    insecticide was taken up into the growing plant but that the residues
    declined rapidly during the 45 days following application, by which
    time residues in the whole plant were not significantly greater than
    the apparent phorate residue in untreated control samples. By the time
    the grain was ripe, no trace of phorate of other
    cholinesterase-inhibiting substances could be found in the grain or
    other parts of the plant.

    Following the introduction of GLC methods capable of determining
    phorate and its metabolites, a number of studies were carried out in
    several countries beside the USA. These confirmed that the residue
    levels declined to below the limit of determination between 28 and 40
    days after the application of phorate granules or spray at rates up to
    2 kg/ha. Leuck and Bowman (1970) published the results of one such
    study which traced the occurrence and level of phorate and four
    metabolites in maize plants treated with 0.5, 1 and 2 kg/ha of phorate
    as a spray. These workers showed that the sum of all residues was less
    than 1 mg/kg 14 days after the application of all three rates of
    phorate.

    Peanuts

    Investigation in the USA (Diablo Laboritories 1964) show that the
    application of phorate granules at planting and subsequent application
    at picking does not result in apparent phorate residues different from
    these found in untreated controls. The analyses were made using the
    oxidative cholinesterase inhibition technique which produces a
    positive result in untreated controls of the order of 0.05-0.1 mg/kg
    apparent phorate. Samples of kernels from plants treated at the
    highest rate did not show any residues higher then the controls when
    collected 90 days after the last treatment. Where treatments were
    applied 30 to 40 days prior to harvest, a positive residue of the
    order of 0.1 mg/kg was found in peanut kernels. The residues in peanut
    foliage after 90 days were not significantly different from untreated
    controls.

    Potatoes

    Residue date developed prior to 1960 in support of petitions for the
    registration of the use of phorate on potatoes were obtained with a
    non-oxidative anti-cholinesterase method of analysis. This procedure
    has good sensitivity for the oxygen analogue sulphoxide and sulphone
    and, with the long pre-harvest interval involved, was considered
    adequate at the time. Extensive residue information on potatoes was
    obtained with this method, including results from inordinately high
    rates of application, with all findings showing no measurable residues
    in mature potatoes at harvest.

    Owing to their relatively poor cholinesterase inhibiting properties,
    phorate and its intermediary oxidative derivatives such as phorate
    sulphoxide or sulphone would not have been measured by the
    non-oxidative method had they been present. In 1959, an oxidation step
    was introduced into the anti-cholinesterase procedure, which converted
    phorate and its partially oxidised metabolites to phorate oxygen
    analogue sulphone, and thus measured all toxic phorate residues. At
    this stage a method based on the determination of total phosphorus
    (Steller and Curry 1964) and including an oxidation step (Blinn 196A)
    was utilized for further studies. By this method, which had a limit of
    determination of the order of 0.01 mg/kg, it was shown that potatoes
    treated at planting with phorate at the maximum recommended rate of 3
    kg/ha generally contained 0.05 mg/kg or less when harvested 90 to 120
    days later. However, residues as high as 0.15 mg/kg were occasionally
    found following the use of phorate at the rate of 3 kg/ha. Following
    the use of twice this amount (6 kg/ha) residues ranging up to 0.5 were
    reported 100 to 140 days after application (American Cyanamid Company
    1966).

    In the Netherlands between 1958 and 1960, Wit (1959, 1961)
    investigated the residues of systemic insecticides on potatoes, using
    analytical methods involving the determination of total phosphorus
    (limit of determination 0.1 mg/kg). He found substantial residues of
    phorate in potatoes from 3 days to 42 days after application of
    phorate granules (1.5-3 kg/ha). These residues ranged up to 3 mg/kg,
    with the bulk of the results near 1 mg/kg.

    Later Wit (1962a., 1963) using methods that determined phorate and the
    sulphoxide metabolite (Laws 1961) showed that residues were less than
    0.05 mg/kg 75-110 days after applying phorate granules at 2 + 3 kg/ha.

    In 1972 following the development of a highly specific and
    highly-sensitive analytical method employing gas-liquid chromatography
    for the determination of phorate and phorate metabolites, an extensive
    trial was carried out in Czechoslovakia (Cyanamid International
    1972a). Residues of phorate or its oxygen analogue sulphone were not
    measurable in any treatment. The only detectable residue in the
    treated samples was of phorate sulphone, the highest level found being
    0.07 mg/kg following the application of 3.4 kg/ha 120 days previously.

    A similar field trial was carried out in Turkey (Cyanamid
    International, 1973a), where phorate granules were applied at the rate
    of 3.4 kg/ha at the time of planting and the potatoes harvested 125
    days later. None of the potatoes contained residues of phorate or any
    metabolite at levels above the limit of determination (0,01 and
    0.02 mg/kg). It was concluded that the total residue of phorate and
    metabolites was less than 0.05 mg/kg.

    The application of phorate spray to potato Plants at rates to 1 and 2
    kg/ha in Mexico (Cyanamid International, 1972b) produced detectable
    residues in the tubers which declined from 0.02 mg/kg on the day
    following application through 0.002 mg/kg on day 20 to 0 on day 27.
    These results indicate that only small amounts of phorate are
    translocated from the leaves to the tubers, and that these residues
    decompose rapidly.

    Sorghum and milo

    Extensive trials were carried out in two different regions of the USA
    to determine residues of phorate and its metabolites in sorghum fodder
    and grain following granular and spray treatments. Samples of fodder
    and grain were collected at intervals from 28 to 46 days after
    application. The samples were analysed by gas-liquid chromatographic
    procedures with a sensitivity of 0.05 mg/kg. All residues were below
    0.05 mg/kg except fodder from one location which had been treated with
    granular formulations and sampled after 31 and 46 days (American
    Cyanamid Company, 1969a).

    In an experiment carried out in Mexico, phorate spray was applied to
    sorghum at the rate of 1 and 2 kg/ha 28, 21, 14, 7 and 0 days before
    harvest, the residues found on the grain immediately after application
    on the day of harvest were 0.55 and 0.82 mg/kg respectively. Though of
    the order of 0.1 and 0.2 mg/kg could be found on the grain treated 7
    days before harvest, that treated 14, 21 or 28 days prior to harvest
    contained none as determined by a method sensitive to 0.01 mg/kg.

    Soybeans

    Studies carried out in the USA (American Cyanamid Company, 1970)
    demonstrate that phorate granules used at the rate of 1 and 2 kg/ha
    and applied in the furrow or to the side of the seed at planting will
    result in no detectable residues (less than 0.05 mg/kg) of phorate
    plus its toxic metabolites in soybeans seed at harvest. These same
    studies showed no residue in soybeans treated at 7.5 kg/ha at two
    separate locations and it is therefore reasonable to assume that no
    detectable residues will occur in either soybeans oil or meal
    following the use of phorate at the rate of 1-2 kg/ha.

    Sugar beet

    In 1960 and 1961 the manufacturers carried out or sponsored many field
    trials to determine the level and fate of phorate residues in sugar
    beet roots and leaves. Neither phorate nor its metabolites were
    detected in any samples of sugar beet roots or tops in any trial. The
    use of phorate sprays on sugar beet is approved in several countries
    and maximum residue limits have been established to permit the feeding
    of beet foliage to livestock.

    Wit (1962b) reported that sugar beet roots and sugar beet leaves
    contained less than 0.1 mg/kg or phorate-derived residues
    (phorate + sulphoxides and sulphones) when phorate granules were
    applied at the rate of 2-3 kg/ha 120-140 days before harvest.

    Tomatoes

    Extensive experiments carried out on tomatoes grown in various regions
    of the United States during the period 1958-1961 show that following
    the recommended application of phorate granules at the rate of 3 kg/ha
    at planting time, no significant residues of either phorate or its
    oxidative metabolites are found in either mature green or pink ripe
    tomatoes. Similar results were also found at the 5 kg/ha. rate. Some
    residue is found in the tomato foliage during the first few weeks
    following application.

    Wheat

    Several studies were conducted in 1969 (American Cyanamid Company,
    1969b) in the wheat growing areas of the United States to determine
    phorate residues in green plants and grain following spring and fall
    planting-time applications of phorate granules at rates of 1 and
    2 kg/ha. The samples were analysed by GLC methods. The data show
    phorate residues to be less than 1 mg/kg in all plant samples
    approximately 45 days following application of phorate granules at a
    rate of 1 kg/ha. No detectable residues (less than 0.05 mg/kg) were
    found in grain harvested 120 to 330 days after treatment.

    FATE OF RESIDUES

    In animals

    32P-phorate was given to a cow by Bowman and Casida (1958) in a
    toxic dose of 3.04 mg/kg body weight, the acute symptoms that appeared
    being controlled with atropine injections. The blood level increased
    within 6-8 hours. After 18-36 hours the content of chloroform-soluble
    metabolites in the blood increased slightly. The cow excreted 59% of
    the radioactive material in the urine within 72 hours. None of this
    was chloroform extractable. The main urinary metabolite was initially
    0,0-diethyl phosphorothioic acid and subsequently diethyl phosphoric
    acid, excretion of. 0,0-diethyl phosphorodithioic acid was
    consistently low over the entire period. Only 0.8% of the applied
    radioactivity appeared in the faeces within 96 hours after application
    and 10% after 12 hours. The chloroform-soluble products were phorate
    sulphoxide and/or sulphone, together with some phorate.

    Examination of the cow's tissues 96 hours after feeding showed that
    the liver and kidneys contained the highest 32P concentration (10.3
    and 5.2 mg/kg phorate equivalents respectively). In contrast, the loin
    muscle tissue contained 0.29 mg/kg and the mesenteric fat 0.03 mg/kg
    phorate equivalents. The lung contained 1.5 mg/kg. Appreciable amounts
    of phorate-derived phosphorus was found in the rumen and omasum walls,
    other glands and rib bones. Milk contained 0.07, 0.25, 0.3 and
    0.53 mg/kg phorate equivalents at 8, 24, 32 and 56 hours after dosing,
    respectively.

    Phorate is attacked only slowly by the rumen fluid (Ahmed et al.,
    1958).

    Phorate was administered to calves at a rate of 0.1 mg/kg for 14 days
    to determine the level of phorate residues in liver, kidney, blood,
    muscle, heart and fat tissues. No detectable residues ( < 0.1 mg/kg)
    were found. Phorate was administered to lactating dairy cows at rates
    of 0.05 and 0.1 mg/kg for 14 days. No detectable residues of phorate,
    (< 0.02 ppm ) were found in the milk of cows fed 0.05. The milk
    from cows fed 0.1 mg/kg contained from <0.02 to 0.05 mg/kg Phorate
    (Anonymous, 1961).

    Bunyan and Taylor (1966) found practically no phorate in meat and
    organs of pheasants after administration of 6.2 to 21.7 mg/kg body
    weight. In other investigations with pheasants and pigeons Bunyan et
    al (1969) also found no residues after feeding for 14, 28 and 42-day
    periods with 100 ppm of phorate in the diet.

    Experiments designed to determine the total phorate residues in
    chicken tissues and eggs were carried out by American Cyanamid
    (1969d). Laying hens were dosed with rations containing 1, 0.3 and
    0.1 ppm total phorate (1: 1, phorate: phorate oxygen analogue
    sulphone) for 21 consecutive days. The chickens were sacrificed 2-3
    hours after the final dose. Egg samples were collected during the
    final day of treatment. The samples of muscle, fat, liver, kidney and
    eggs were analysed by gas-chromatographic procedures using a caesium
    bromide thermionic detector: phorate and its oxidative metabolites
    were oxidised to and measured as phorate oxygen analogue sulphone and
    calculated as total phorate. The sensitivity of the method for both
    phorate and the oxygen analogue sulphone was 0.05 mg/kg. None of the
    samples showed any apparent residues of phorate above this level.

    In plants

    Since 1954, studies of the metabolism of phorate in plants have been
    conducted by investigators at American Cyanamid Company and by
    researchers in various parts of the world. It has been shown that when
    absorbed by plants, phorate is initially and rapidly oxidised to its
    sulphoxide and sulphone which in turn are converted to the sulphoxide
 
    and sulphone of the phorate oxygen analogue (Blinn, 1964; Bowmann and
    Casida, 1957, 1958; Galley and Foerster, 1976; Krueger, 1975;
    Lichtenstein et al., 1974; Metcalf et al., 1957; Zaki and El-Sayed,
    1968).

    The sequence of oxidative reactions in the metabolism of phorate
    following absorption by plants is similar to that in animals and is
    given in Figure 1. The oxygen analogue, although presumably formed as
    an intermediate, has not been detected.

    Bowman and Casida (1957) showed that when phorate was used as a
    systemic insecticide for seed treatment of cotton, the metabolites
    within the plant consisted of the sulphoxide and sulphone of the
    parent compound and of its oxygen analogue. Cotton seeds treated with
    phorate at concentrations as high as 32 kg of phorate per 100 kg of
    seed showed less than 0.03 mg/kg of phorate or metabolites in the
    seeds maturing an plants grown from such treated seed. The residual
    persistence following soil and foliage application was studied with
    six vegetable crops using radioactive phorate. Table 5 shows the
    persistence of radioactivity in vegetable crops treated with 
    32P-phorate and is derived from the means of values from beans,
    beets, cabbage, carrots, lettuce and peas treated by foliage
    application and by soil application. Other experiments by Boman and
    Casida (1958) on the fate in beans are described previously
    (Biotransformation).

    Phorate is usually applied as a soil treatment where its outstanding
    systemic properties can be utilized to protect the developing plants
    from attack by sucking insects for the first few weeks of their
    growth. After phorate is applied to the soil and reaches the root zone
    of the plant, the insecticide is absorbed by the roots and is
    subsequently translocated to aerial parts of the plant. The rate of
    movement of phorate from roots to stems and leaves is accelerated by
    increased transpiration, and the greatest accumulation of insecticide
    in leaves seems to occur under environmental conditions favourable to
    transpiration (Hacskaylo et al., 1961). Van Middlelem and Baranowski
    (1962) found that the highest concentrations of phorate in tomato
    plants usually coincided with preceding periods of relatively high
    field temperatures and ample rainfall. Krueger (1975) showed that
    soybean root homogenates oxidised phorate to phorate sulphoxide.
    Neither the oxygen analogue nor sulphone was detected.

    Finlayson at al. (1976a), investigating methods for controlling carrot
    rust fly, showed that phorate spray applied over the young carrot
    seedlings was readily taken up and held in discrete portions of the
    carrot. More than 50% of the residues were located in the top 0-3cm of
    the carrot. Total residues in whole carrots generally increased with
    higher rates and numbers of applications. Residues were greater in the
    peel than in the pulp. Discarding the top 1-2cm of the carrot and
    peeling the rest removes most of the residues. See also "Residues
    resulting from supervised trials".

    In soils

    After phorate is applied to the soil, its eventual distribution and
    utilization by plants is influenced by various constituents and
    qualities of the soil.

    In a study of the fate of phorate in soils, Getzin and Chapman (1960)
    used radioactive material. One hour after treating various soil types,
    these investigators found that 25, 20, and 10 per cent of the
    radioactivity applied had been lost through volatilization from sandy
    soil, silt-loam and muck respectively. After one hour, little or no
    volatilization occurred. They further reported that phorate, when
    applied to soil, is partially oxidised, hydrolyzed and bound to the
    soil.

    It has been shown that phorate moves readily in soil in the vapour
    phase (Etheridge and Burt, 1963) as well as in drainage water (Bardner
    at al., 1963).

    Lindley (1963) reported from field experiments that on mineral soils
    less phorate was required for insect control than on peat soils with a
    maximum of 35% organic matter, while only partial control of insects
    was obtained on soils with more than 35% organic matter, even when
    much higher rates of insecticide were used.

    Lichtenstein et al, (1973, 1974) showed that while phorate could be
    detected in soil, only metabolites were found in plants including
    plant roots. Schulz et al. (1973) showed that phorate moved in both
    vertical and horizontal directions after a granular band application
    of insecticide in soil. Suett (1975) showed that soil temperature had
    relatively less effect upon the fate of phorate than on other
    soil-incorporated insecticides.

    Waller and Dahm (1973) showed that the conversion of phorate to its
    sulphoxide in soils is mainly a non-biological process, whereas the
    conversion to sulphone is brought about by micro-organisms.

    Talekar at al. (1977) in a long-term experiment investigated the
    persistence of a number of insecticides following repeated seasonal
    application to soil under sub-tropical conditions. They showed that
    phorate degraded more rapidly than all the other materials showing
    almost complete loss within four months, although measurable
    quantities of phorate sulphoxide and sulphone could be detected for
    somewhat longer periods.

        TABLE 5. Persistence of 32P-phorate and its metabolites in vegetable cropsa.
                                                                                                                  
                                                            Days following application
                                            0.1       1         2         4         8         17        32
                                                                                                                  
    Foliage application

    Phorate equivalentb, mg/kg
    Hexane fraction                         6.75      2.84      2.49      1.69      0.90      0.44      0.040
    Acetone-water fraction                  2.60      2.39      1.66      1.45      0.59      0.067     0.003
    Hydrolysis productsc                    0.28      0.37      0.62      0.85      1.33      0.43      0.27
    Unextracted residued                    1.44      1.03      0.81      1.62      1.54      1.00      2.28
    AntiChE activity, 50% inhibitione
    Plant tissue, g                         1.3       0.47      0.59      0.54      1.0       >2.2      >2.2
    pl50 metabolites                        5.44      6.14      6.29      6.62      6.11      <7.22     <7.42

    Soil application

    Phorate equivalent, mg/kg
    Hexane fraction                         0.82      0.34      0.40      0.26      0.15      0.049     0.026
    Acetone-water fraction                  0.12      0.31      0.56      0.36      0.18      0.047     0.005
    Hydrolysis products                     0.052     0.12      0.13      0.24      0.25      0.21      0.110
    Unextracted residue                     0.15      0.16      0.42      1.20      0.46      0.11      0.078
    AntiChE activity, 50% inhibition
    Plant tissue, g                         1.8       0.94      1.3       1.2       1.3       >2.9      >3.0
    pl50 metabolites                        6.89      7.26      6.66      6.72      7.00      7.15      7.22
                                                                                                                  

    a Results are average of figures from beans, beets, cabbage, carrots, lettuce and peas in same field plot.

    b Radioactivity of phorate or metabolites appearing in fraction indicated, expressed as phorate (mg/kg)

    c Water-soluble products not extracted into chloroform.

    d ssP remaining in solid portion after both water and chloroform removed.

    e Results based on chloroform-soluble metabolites. Amount of plant material containing enough
    metabolites for 50% inhibition and pl50 (negative logarithm of molar concentration effecting 50% inhibition)
    of these metabolites are reported.

    

    In processing and storage

    Leuck and Bowman (1970) showed that residues of phorate and five of
    its metabolites remained virtually unaltered when treated corn foliage
    was converted into silage and ensiled at 35C° for 30 days.

    Askew at al. (1968) examined the effect of 30 minutes boiling on
    vegetables containing various organophosphorus pesticide residues.
    They demonstrated 100% hydrolysis of phorate residues (2 mg/kg) in
    both potatoes and cabbages. They indicated that appreciable quantities
    of phorate sulphoxide ware formed during the cooking process, but did
    not attempt to quantify the transformation.

    EVIDENCE OF RESIDUES IN COMMERCE OR AT CONSUMPTION

    Advice from the US Food and Drug Administration indicates that during
    1975 three samples of strawberries were found to contain phorate
    residues at levels of 0.07, 0.16 and 1.73 mg/kg. There was no
    tolerance for residues of phorate in strawberries.

    METHODS OF RESIDUE ANALYSIS

    Gas chromatography with an electron-capture detector was used by Egan
    et al. (1964) to measure phorate in certain plant tissues. Dewey and
    Parker (1965) used an electron-capture detector to measure phorate and
    some of its metabolites in soil. Bache and Lisk (1966) reported the
    use of an emission spectroscopic detector in soil analysis for phorate
    and its metabolites but found very poor chromatographic response for
    phoratoxon sulphoxide and sulphone. Mitchell et al. (1968) used gas
    chromatography to study the effect of ultra-violet irradiation and
    permanganate oxidation on phorate. These workers found it possible to
    chromatograph phorate, phoratoxon and phoratoxon sulphone on an
    Apiezon L column; quantitative recovery figures were not given,
    however. Ruzicka, et al. (1967) used a caesium bromide thermionic
    detector with an Apiezon column and found that phorate was not
    adequately resolved from phoratoxon, although phoratoxon sulphone
    could be resolved. The same workers (1968) later used similar
    techniques to measure residues of phorate, phorate sulphoxide and
    phorate sulphone on apple leaves. Sans (1967) described a
    gas-chromatographic procedure for the separation and measurement of
    phorate, but not its metabolites, from various other pesticides.
    Nelson (1967) developed a procedure for separating and measuring
    phorate, but not its metabolites, from several other organo-phosphate
    insecticides in residues on fruits and vegetables.

    Bowman et al. (1969b) described procedures for the individual
    measurement of phorate and its oxidative metabolites in residues on
    corn tissue. These workers used an instrument equipped with a flame
    photometric detector and a column of 10% DCL-200 silicone on Gas-Chrom
    Q. Recoveries at the 0.05 mg/kg level in excess of 96% were reported
    for all of the metabolites except phoratoxon (62% recovery). McLeod et
    al. (1969) reported a procedure for the separation and measurement of

    phorate and its metabolites from monkey liver homogenates, These
    workers used a column packed with 5% diethylene glycol succinate on
    Chromosorb W and a flame photometric detector. Recoveries averaging
    over 90% were found at fortification levels of the order of 200 mg/kg.

    Stanley and Morrison (1969) described the use of the flame photometric
    detector with both phosphorus-selective and sulfur-selective filters
    to aid in the identification of insecticides; among the compounds
    tested was phorate.

    Watts and Storherr (1969) and Watts at al. (1969) described clean-up
    and gas-chromatographic conditions for the separation and measurement
    of many insecticides, including phorate and its metabolites, using a
    potassium chloride thermionic detector and a column of 10% DC-200 on
    Gas-Chrom Q. Recoveries in excess of 95% were reported for kale
    extracts fortified with phorate or its metabolites at levels of 0.1 to
    0.3 mg/kg.

    Getzin and Shanks (1970) used an instrument equipped with a sodium
    sulphate thermionic phosphorus detector and a column of 4% QF-1 on
    Gas-Chrom Q to measure phorate and its metabolites in soils. Recovery
    values at levels of 20 mg/kg in soil ranged from 64% for phoratoxon
    sulphoxide to 96% for phorate.

    Higham at al. (1972) have described procedures suitable for the
    determination of total phorate-related residues in a wide variety of
    sample types. In these procedures, all of the phorate and its
    oxidative metabolites present in the residues were converted to
    phoratoxon sulphone by oxidation with m-chloroperbenzoic acid as
    recommended by Blinn (1964). These procedures employed a
    phosphorus-selective detector with a column of 5% DC-200 on Gas-Chrom
    Q and were validated at levels down to 0.05 mg/kg in several types of
    sample.

    Boyd (1976) has reviewed the methods of residue analysis for phorate
    and has provided details of methods for all substrates likely to be
    encountered in residue analysis. Residues of phorate and its
    metabolites are extracted from the prepared sample with chloroform,
    chloroform/methanol, methylene chloride or acetonitrile (depending
    upon the type of sample) and purified by clean-up procedures
    appropriate to the particular type of sample being analysed. All of
    the phorate-related residues present are converted to phoratoxon
    sulphone by oxidation with m-chloroperbenzoic acid. Measurement is
    accomplished by gas-liquid chromotgraphy with an instrument equipped
    with a selective phosphorus-sensitive detector. These procedures
    appear suitable for regulatory purposes.

    NATIONAL TOLERANCES REPORTED TO THE MEETING

    Country             Commodity           Tolerance, mg/kg
                                                          

    Argentina      lettuce, wheat,
                   groundnut, rice,
                   maize                         0.1
                   sugar beet (tuber)            0.3
                   maize fodder                  0.5
                   sugar beet (leaves)           3

    Australia      cottonseed, vegetables        0.5

    Canada         beans, corn, lettuce,
                   potatoes, rutabagas,
                   turnips                       negligible

    Germany        all plant foods               0.05

    Netherlands    fruit, vegetables
                   (not potatoes), spices        0

    South Africa   all food products             0.05
                   apples, pears                 0.1

    China          pineapple                     0.1

    USA            sugar beet tops               3
                   wheat (green fodder)          1.5
                   alfalfa hay, dried sugar
                   beet pulp                     1
                   corn forage, hops,
                   potatoes                      0.3
                   peanut vines and hay,
                   sugar beet roots              0.3
                   barley grain, barley
                   straw, beans, corn grain      0.1
                   sweet corn, lettuce,
                   peanuts, rice, sorghum
                   grain                         0.1
                   sorghum fodder, soybeans,
                   sugar cane, tomatoes          0.1
                   cottonseed, wheat grain
                   and wheat straw               0.05
                   eggs, meat, fat and meat
                   by-products of cattle,
                   goats, hogs, horses, poultry
                   and sheep                     0.05

    APPRAISAL

    Phorate is a soil insecticide with marked systemic properties widely
    used throughout the world since 1954. Maize, cotton, cereal grains and
    vegetables are treated with phorate usually at the time of planting,
    but sometimes by broadcast treatments of granules or a foliage
    application to the growing crop. Pre-harvest intervals are relatively
    long and residues in harvested commodities are either absent or
    generally do not exceed 0.1 mg/kg.

    Carrots are capable of taking up and retaining quantities of phorate
    but most of the residue is in the peel or in the crown of the carrot
    which in generally removed before processing for consumption. The use
    of phorate for the protection of potato crops is important. The
    residues at the time of harvest are at or below the limit of
    determination.

    Soil treatments lead to higher residues than do foliage treatments,
    largely because the compound is relatively stable in the soil and in
    readily taken up by the plant's root system. In animals phorate is
    rapidly hydrolysed and converted into the corresponding sulphoxide and
    sulphone and their oxons. No significant amounts of phorate or
    metabolites are found in milky eggs or tissues of livestock
    administered phorate at levels comparable to those likely to occur in
    animal feeds.

    The metabolism of phorate in plants is largely similar to that
    occurring in animals. Phorate metabolites are relatively stable in
    storage and processing. At rates recommended in good agricultural
    practice, there appears to be no likelihood of carry-over of residues
    in soil affecting subsequent crops.

    A method of analysis based on the oxidation of all the phorate-related
    residues to the oxygen analogue sulphone followed by measurement by
    gas-liquid chromatography is sensitive and specific and appears
    suitable for regulatory purposes.

    Many countries have established maximum residue limits for phorate
    residues.

    EVALUATION

    In the absence of an ADI, the following guideline levels are recorded.
    They refer to the sum of the residues of phorate, phorate sulphoxide,
    phorate sulphone and the oxygen analogues of these compounds,
    determined as the sulphone of the oxygen analogue and expressed as
    phorate.

    Commodity           Guideline levels,        Interval on which
                             mg/kg               guideline levels are
                                                 based, days
                                                                   
    Alfalfa (dry)            1                        35
    Barley                   0.05                     60
    Beans                    0.1                      60
    Carrots                  0.5                      120
    Celery                   0.1                      90
    Cottonseed               0.05                     120
    Cowpea                   0.1                      60
    Eggplant                 0.1                      60
    Grapes                   0.05                     90
    Hops (dried)             0.1                      25-40
    Lettuce                  0.2                      60
    Maize (green)            0.05                     30
    Peanuts (kernels)        0.05                     60
    Potatoes                 0.05                     120
         seed                0.1                      90
    Sorghum                  0.05                     30
    Soybeans                 0.05                     120
    Sugar beet,
    fodder beet              0.05                     120
    Sugar beet
    tops                     1                        35
    Tomatoes                 0.1                      120
    Wheat                    0.05                     120
    Eggs, meat, milk         0.05*                    120

    * at or about the limit of determination

    FURTHER WORK OR INFORMATION

    REQUIRED (before an acceptable daily intake for humans (ADI)
    can be established and maximum residue limits (MRL) can be
    recommended).

    1. Long-term carcinogenicity studies.

    2. Teratogenicity studies.

    3. Studies on potential neurotoxicity.

    4. Studies on the toxicity of metabolites.

    DESIRABLE

    1. Observation in humans.

    REFERENCES

    Ahmed, M.K., Casida, J.E., and Nichols, R.E. (1958) Bovine metabolism
    of organophosphorus insecticides: significance of rumen fluid with
    particular reference to parathion J. Agr. Food Chem. 6, 740.

    American Cyanamid Company (1966) Thimet residues in potatoes. Report
    No. G102, January 13, 1966.

    American Cyanamid Company (1966a) Total Thimet residues in sorghum
    fodder and grain - Report No.C188, May 14, 1969.

    American Cyanamid Company (1966b) Thimet residues in wheat - Report
    No. C215, December 9, 1969.

    American Cyanamid Company (1966c) Thimet residues in Cottonseed ;
    Report No. C214, December 9, 1969.

    American Cyanamid Company (1969d) Total Thimet residues in chicken
    tissues Report No. C205 dated November 7, 1970.

    American Cyanamid Company (1977) Residue dossier on THIMET
    phorate - Vol. I-III.

    Anonymous (1965) Report on Thimet Systemic Insecticide: Successive
    Generation Studies with Mice. Unpublished report from Central Medical
    Department Cyanamid, submitted to the World Health Organization by
    American Cyanamid Company, Wayne, NJ, USA.

    Anonymous (1961) Thimet Phorate Residue Studies in Dairy Animals.
    Unpublished report from DIABLO Laboratories, In,., submitted to the
    World Health Organization by American Cyanamid Company.

    Anonymous (1976) Thimet Soil and Systemic Insecticides Technical
    Information published by Cyanamid International Corporation, submitted
    to the World Health Organization by American Cyanamid Company.
    (Unpublished report)

    Askew, J., Mitchell, T.M., Thomson, J. and Wheals, B.B. (1968) The
    effect of cooking on organo-phosphorus pesticide residues - J.
    Chromat. 32, 417-418.

    Bache, C.A., and Lisk, D.J. (1966) Determination of oxidative
    metabolites of dimethoate and Thimet in soil by emission spectroscopic
    chromatography- J. Assoc. Off. Analyt. Chem. 49, 647-650.

    Bardner, R., Lord, K.A., and Solly, S.R.B. (1963) Cholinesterase
    inhibition method for determining the distribution of organophosphorus
    insecticides in soils. Chem. and Ind. 3, 123-124.

    Blinn, R.C. (1963) Thin - layer chromatographic isolation and infrared
    or colormetric identification of Thimet residues. J. Assoc. Off.
    Agric. Chem. 46, (6) 1, 952-96.

    Blinn, R.C. (1964) Oxidative conversion of Thimet to its oxygen
    analogue sulphone. J. Assoc. Off. Agric. Chem. 47 (4) 641.

    Blinn, R.C. and Boyd, J.E. (1967) Thimet R Phorate: Identity of the
    Major Phorate Metabolites in the Blood of rats Following oral
    Administration of the Insecticide. Unpublished report from the
    Research and Development Department of the Agricultural Division of
    the American Cyanamid Company, submitted to the World Health
    Organization by the American Cyanamid Company.

    Bowman M.C. and Beroza, M. (1969) Rapid GLC method for determining
    residues of fenthion disulfoton and phorate in corn, milk grass and
    faeces - J. Assoc. Off. Analyt. Chem. 52 (6) 1231-1237.

    Bowman, M.C., Beroza, M. and Gentry, C.R. (1969a) GLC determination of
    residues of disulfoton, demeton-methyl and their metabolites in
    tobacco plants. J. Assos. Off. Analyt. Chem. 52 157-161.

    Bowman, M.C., Beroza, M. and Harding, A.J. (1969b) Determination of
    Phorate and Five of its Metabolites in Corn. J. Ag. Food Chem. 17
    138.

    Bowman J.S. and Casida, J.E. (1957) Metabolism of phorate (Thimet) in
    plants. J. Ag. Food Chem. 5 (3), 192.

    Bowman J.S. and Casida, J.E. (1958) Further studies on the metabolism
    of Thimet by plants insects and mammals - J. Econ. Entomol. 51 (6)
    838-843.

    Boyd, J.E. (1976) Thimet (phorate) in Vol VI of Analytical Methods for
    Pesticides and Plant Growth Regulators by G. Zweig and G. Sherma
    -Academic Press N.Y. p. 493-510.

    Brown, M.J. (1975) Improved determination of residues of phorate and
    its principal metabolites J. Agric. Food Chem. (2) 334-335.

    Bunyan P.J. and Taylor, A. Esterase inhibition of pheasants poisoned
    with Thimet. J. Agric. Food Chem. 14, 132.

    Bunyan P.J., Jennings, D.M. and Taylor, A. (1969) Organophosphorus
    poisoning: Chronic feeding of some common pesticides to pheasants and
    pigeons. J. Agric. Food Chem. 17, 1027.

    Burns, R.G. (1971) The Loss of phosdrin and phorate insecticides from
    a range of soil types -  Ball. Env. Contam. and Toxicol. 6 (4)
    316-321.

    Cyanamid Great Britain Ltd. (1971) Residues of phorate and its
    metabolites in carrots. Technical Report No. 106 -16 May 1971.

    Cyanamid International (1972a) Residues of phorate and its metabolites
    in potatoes - Technical  Report No. 179 dated 19 April 1972.

    Cyanamid International (1972b) Thimet residue analysis in potato
    -Regional Laboratory Report No. 11 dated August 23, 1972.

    Cyanamid International (1973a) Thimet and Thimet metabolite residues
    in potatoes. Technical Report 240 dated 9 May 1973.

    Cyanamid International (1973b) Residue analysis of Thimet and the
    oxygen analogue in grapes. Regional Laboratory Report No. 19 September
    21, 1973.

    Dewey, J.E. and Parker, B.L. (1965) Increase in Toxicity to Drosophila
    melanogaster of Phorate, Treated Soils. J. Econ. Entomol. 58, 491.

    Diablo Laboratories (1964) Analysis of peanut meats, shells and
    foliage for possible residues of total Thimet - Report 4J7511 dated 26
    February 1964.

    Egan, H., Hammond, E.W, and Thomson, J. (1964) Assoc. Off. Analyt.
    Chem. 89, 175.

    Etheridge, P. and Burt. P.E. (1963) Vapour phase movement and uptake
    of systemic insecticides.  Rep. Rothamsted, Exp. Stat. for 1963 Page
    138.

    Finlayson, D.G., Williams, I.H., Brown, M.J., and Campbell,
    C.J. (1976a) Distribution of insecticide residues in carrots at
    harvest. J. Aric. Food Chem. 24 (3) 606-608.

    Finlayson, D.G., Williams, I.H., Brown, M.J. and Campbell,
    E.J. (1976b) Translation and persistence of topically applied diazino
    and phorate in beans. Can. J. Plant Sci. 56 947-952.

    Galley D.J., and Foerster, L.A. (1976) Distribution and loss of
    phorate residues in the foliage of broad bean plants following root
    uptake of 14C-labelled phorate. Pestic Sci. 7 301-306.

    Gaines T.B. (1969) Acute Toxicity of Pesticides. Toxicol. Appl,
    Pharmacol 14, 515-534.

    Getzin, L.W. and Chapman R.K. (1960) The fate of phorate in Soils - J.
    Econ. Entomol. 53 (1) 47-51.

    Getzin, L.W. and Shanks, C.H. (1970) Persistence, Degradation and
    Bioactivity of Phorate and its Oxidative Analogues in soil. J. Econ.
    Entomol. 63, 52.

    Giang, P.A. and Schecter, M.S. (1960) Colorimetric determination of
    residues of phorate insecticidally active metabolites. J. Agr. Food
    Chem. 8 51-54.

    Hacskaylo, J., Lindquist, D.A. and Clark, J.C. (1961) Phorate
    accumulation by cotton plants and recovery from soil. J. Econ.
    Entomol. 54 (3) 411-414.

    Higham, J.W., Peterson, R.P. and Pasarela, N.R. (1972) J. Assoc. Off.
    Analyt. Chem. (in press)

    Jorgenson, T.A., Rashbrook, C.J. and Newell, G.W. (1976) In vivo
    Mutagenesis Investigations of Ten Commercial Pesticides. Abstract No.
    41, Fifteenth Annual Meeting, Society of Toxicology, submitted by the
    World Health Organization by American Cyanamid Company, Wayne, NJ,
    USA.

    Kay, J.H. and Calandra, J.C. (1961) Effects of Thimet Phorate on
    Cholinesterase Activity in the Dog. Unpublished report from Industrial
    Bio-Test Labs., Inc., submitted to the World Health Organization by
    American Cyanamid Company, Wayne, NJ, USA.

    Khajuria, G.N., Jain, H.K. and Dewan, R.S. Residues following the
    treatment of sorghum with phorate and dimethoate for the control of
    insect pests complex of the crop. Proceedings of the first All-India
    Symposium on Progress and Problem in Pesticide - Residue Analysis held
    in Ludhiana on 18-19 November 1971 - p. 87-92.

    Kiigemagi, O., and Terriere, L.C. (1968a) Residues of phorate in fresh
    and dried hops. Report from Oregon State University dated June 10,
    1968.

    Kiigemagi, O. and Terriere, L.C. (1968b) Residues of phorate and its
    metabolites in fresh hops Report from Oregon State University, October
    6, 1968.

    Krueger, H.R. (1975) Phorate sulfoxidation by plant root extracts.
    Pesticide Biochem. & Physiolol. 5, 396-401.

    Krueger, H.R., Lindquist, R.K. and Bauerle, W.L. (1973) Phorate and
    aldicarb in greenhouse lettuce: Effect of CO2 on residues. J. Econ.
    Entomol. 66, 573.

    Krueger, H.R. and Mason, J.F. (1973) Phorate and aldicarb: effects of
    systemic fungicides on their levels in soyabeans.

    Laws (1961) Analyst, 81, 249-255.

    Leuck, D.B. and Bowman, M.C. (1970) Residues of phorate and five of
    its metabolites. Their presence in Forage Corn and grass - J. Econ,
    Entomol. 63 (9) 1838-1842.

    Levinskas, G.J., Morici, B.S. and Shaffer, C.B. (1965) Thimet systemic
    insecticide: Demyelination studies in white leghorn hens. Unpublished
    report from Central Medical Dept. of American Cyanamid Co. submitted
    to the World Health Organization by American Cyanamid Co.

    Levinskas, G.J., McNerney, J.M. and Fegluy, H.C. (1968) Report on
    Sulfoxide of Thimet Systemic Insecticide: Ninety-day Repeated Feeding
    to Albino Rats. Unpublished report from Central Medical Department of
    American Cyanamid Company, submitted to the World Health Organization
    by American Cyanamid Company, Wayne, NJ, USA.

    Lichtenstein, E.P., Fuhremann, T.W., Schulz, K.R. and Liang, T.T.,
    (1973) Effects of Field application methods on the persistence and
    metabolism of phorate in soil, and its translocation into crops. - J.
    Econ. Entomol. 66 (4) 863-866.

    Lichtenstein, E.P., Fuhremann, T.W. and Schulz, K.R. (1974)
    Translocation and metabolism of Phorate as affected by percolating
    water in a model soil/plant ecosystem. J. Aric. Food Chem. 22 (6)
    991-996.

    Lindley, C.D. (1963) The use of phorate granules on potatoes and
    carrots Proc. 2nd. Conf. Brit. Insect. & Fangic. Brighton, 1963.

    McLeod H.A., Malkins, G. and Rao, S.L.N. (1969) Gas chromatographic
    analysis of phorate and five metabolites in monkey liver
    homogenates - Bull. Env. Contam. and Toxicol. 4 (4) 224-231.

    Maskell, F.E. Gair, R., Williams, J.H., and Cooper, B.J. (1974) Effect
    of phorate placement on carrot fly control, seedling density and
    terminal residues in the crop. Pestic. Sci. 5 543-548.

    Menzer, R.E., Fontanella, E.L. and Ditman, L.P. (1970) Degradation of
    disulfoton and phorate in soil influenced by environmental factors and
    soil type. Bull. Envir. Contam. & Toxicol. 5 (1) 1-5.

    Metcalf, R.L., Fukuto, T.R. and March, R.B. (1957) Plant metabolism of
    Dithio-Systox and Thimet. J. Econ. Entomol. 50 (3) 338-345. 

    Mitchell, T.H., Razioka, J.H., Thomson, J. and Weals, B.B. (1968) The
    chromatographic determination of organophosphorus pesticides. Part
    III. The effect of irradiation on the parent compounds. J. Chomat.
    32, 17.

    Nelson, R.C. (1967) Procedure for nine organic phosphorothioate
    pesticide residues on trials and vegetables by using micro-coulometric
    gas chromatography. J. Assoc. Off. Analyt Chem. 50: 922-926.

    Parker B.L. and Dewey, J.E. (1965) Decline of phorate and dimethoate
    residues in treated soils based m toxicity to Drosophilia - J. Econ.
    Entomol. 58 (2) 106-111.

    Rao, S.L.M. and McKinley, W.J. (1969) Metabolism of Organophosphorous
    Insecticides by Liver Homogenates from Different Species. Canadian
    Journal of Biochemistry, 47: 1155-1159.

    Razicka, J.B., Thomson, J. and Weals, B.B. (1967) J. Chromat. 30,
    92.

    Razicka, J.B., Thomson, J. and Weals, B.B. (1968) J. Chromat. 33,
    430.

    Sans, W.W. (1967) Multiple Insecticide Residue Determination Using
    Column Chromatography, Chemical Conversion, and Gas Liquid
    Chromatography. J. Agr. Food Chem. 15, 192.

    Satpathy, J.M., Dash, P.K. and Misra, B. (1974) Insecticidal residues
    in some vegetables crops grown in treated soils. Indian J. Agric. Sci,
    44 (2) 113-115.

    Schulz K.R., Lichtenstein, E.P., Fuhremenn, T.W. and Liang, T.T.
    (1973) Movement and Metabolism of phorate under field conditions after
    granular band applications J. Econ. Entomol. 66 (4) 873-875.

    Shaffer, C.B., West, R. and Golz, H.E. (1958) Thimet: Single Dose
    Toxicity to Rats. Joint Toxic Action with Other Phosphates.
    Unpublished report from Central Medical Department, American Cyanamid
    Company, submitted to the World Health Organization by American
    Cyanamid Company, Wayne, NJ, USA.

    Singh, K. and Gulati, K.C. (1971) Studies on the persistence of
    phorate and di-system in soil and plants. Proceedings of the First
    All-India Symposium on Progress and Problems in Pesticide-Residue
    Analysis held at Ludhiana on 18-19 November 1971 p. 143-149.

    Singh, Kalyan and Gulati, K.C. (1972) Application of enzymatic method
    for the estimation of organophosphorus insecticides and their residues
    in soil and plant. Part II. Phorate. Indian J. Agr. Chem. 6 103-107.

    Stanley, C.W. and Morrison, J.T. (1969) J. Chromatogr. 40, 289.

    Steller, W.A. and Curry, A.N. (1964) Measurement of residues of Cygon
    insecticide and its oxygen analogue by total phosphorus determination
    after isolation by thin-layer chromatography. J. Assco. Off. Agric.
    Chem. 47, (4) 645.

    Stern, V.M. (1971) Summary of Thimet residues in barley. Report from
    University of California, Riverside (undated).

    Suett, D.L. (1971) Persistence and degradation of chlorfenvinphos,
    diazinon, forofos and phorate in soils and their uptake by carrots.
    Pestic. Sci. 2, 105.

    Suett, D.L. (1974) Uptake of chlorphyrifos and phorate from soil by
    carrots as influenced by mode of application and cultivar. Pestic.
    Sci. 5, 57-71.

    Suett, D.L. (1975) Persistence and degradation of chlorfenvinphos,
    chlormephos, disylfoton, phorate, and pirimiphos - ethyl following
    spring and late-summer soil application. Pestic. Sci. 6, 385-393.

    Talekar, N.S., Lian-Tien Sun, Ehi-Min Lee and Jing-Sing Chen. (1977) 
    Persistence of some insecticides in subtropical soil. J. Agric. Food
    Chem. 25 (25) 348-352.

    Tusing, T.W., Kindzin, W., Hanzal, R. and Howard, J. (1956a) Repeated
    Oral Administration (Dogs) Experimental Insecticide 3911, 92%.
    Unpublished report from Hazelton Labs., Inc., submitted to the World
    Health Organization by American Cyanamid Company, Wayne, NJ, USA.

    Tusing, T.W., Paynter, O.E., Kindzin, M., Hanzal, R. and Howard, J.
    (1956b) Subacute Feeding Study - Experimental Insecticide 3911, 92%.
    Unpublished report from Hazelton Labs., Inc., submitted to the World
    Health Organization by American Cyanamid Company, Wayne, NJ, USA.

    Van Middlelem, C.H. and Baranowski, R.M. (1962) Phorate residues in
    tomato fruit and foliage. J. Econ. Entom. 55 (5); 600-603.

    Waller, J.B. and Dahm, P.A. Oxidation of phorate in three Iowa soils -
    Manuscript from (1973) Iowa State University, Ames, Iowa USA.

    Watts, R.R., Storherr, R.W., Pardue, J.R. and Osgood, T. (1969)
    Charcoal column clean-up method for amny organophosphorus pesticide
    residues in crop extracts. J. Assoc. Off. Analyt. Chem., 52: 522.

    Watts, R.R. and Storherr, R.W. (1969) Gas chromatography of
    organophosphorus pesticides: retention times and response data on
    three columns. J. Assoc. Off. Analyt. Chem. 52, 513-521.

    Wit, S.L. (1959) Residu's van systemische middelen bij aardappelen,
    etc. - Rijksinstituut voor de Volksgezondheidg Utrecht, FT/6/59 dated
    25.4.59.

    Wit, S.L. (1961) Residu's van enige systemische insecticiden bij
    aardappelen - Rijksinstituut voor de Volksgezondheid, Utrecht,
    FT/52/61 dated 29.5.61.

    Wit, S.L. (1962a) Onderzoek naar de residu's van enige systemische
    middelen bij aardappelen- Rijksinstituut voor de Volksgezondheid,
    Utrecht, Report Tox. 29/62 dated 29.2.62.

    Wit, S.L. (1962b) Onderzoek naar de residu's van Thimet toegepast als
    systemisch zaardinsecticide ter bestryding van de vergelingszickte bij
    sieten - Rijksinstituut voor de Volksgezondheid, Utreohty Report Tox.
    10/62 dated 30.1.62.

    Wit, S.L. (1963) Onderzoek naar de residu's van twee systemische
    insecticiden bij aardappelen - Rijksinstituut voor de Volksgezondheid,
    Utrecht, Report Tox. 113/63 dated 25.6.63.

    Wit, S.L. (1969) Foraat op zomerwortelen - Rijksinstituut voor de
    Volksgezondheid, Utrecht, Report Tox. 59/69 dated May 1969.

    Zakil M.M. and El-Sayed, M.M. (1968) Accumulation of systemic
    insecticides in mature cotton seeds. Bull. Ent. Soc. Egypt. Econ. Ser.
    II 121-127.
    


    See Also:
       Toxicological Abbreviations
       Phorate (ICSC)
       Phorate (Pesticide residues in food: 1982 evaluations)
       Phorate (Pesticide residues in food: 1984 evaluations)
       Phorate (Pesticide residues in food: 1985 evaluations Part II Toxicology)
       Phorate (Pesticide residues in food: 1994 evaluations Part II Toxicology)
       Phorate (Pesticide residues in food: 1996 evaluations Part II Toxicological)