IPCS INCHEM Home


    IPRODIONE       JMPR 1977

    IDENTITY

    Iprodione is a recommended common name of APTOR and BSI and a proposed
    ISO Standard Common Name.

    Chemical name

    3-(3,5-dichlorophenyl)-N-isopropyl-2,4-dioxoimidazolidine-1-carboxam
    ide

    Chemical abstracts

    1-(1-methylethylaminocarbonyl)-3-
    (3,5-diohlorophenylimidazolidine)-2,4-dione

    i-isopropylcarbamoyl-3-(3,5-dichlorophenyl)hydantoin

    Synonyms

    Glycophene, promidione, 26019 RP, ROP, 500 F., NRR 910, LPA 2043
    Rovral (R)

    Structural formula

    CHEMICAL STRUCTURE 10

    Other Information on Identity and Properties

    a) Composition of the technical product

    The technical product contains 95% minimum of iprodione. The main
    impurities are phenyl hydantoins and bis-isopropyl-1,,3\-urea
    (referred to as 32870 R.P.).

    b) Physical and chemical properties

    Physical state:     white, odourless, non-hygroscopic crystals.
    Molecular weight:   330.17
    Melting point:      136°C
    Volatility:         not volatile
    Vapour Pressure:    2 × 10-7mm. Hg at 20°C

    Solubility at 20°C:      g/l
         water               0.013
         ethanol             30
         acetonitrile        150
         toluene             150
         benzene             200
         acetone             300
         methlyene chloride  500

    Formulations

    Mainly wettable powder 500 g a.i./kg. Also suspension concentrate 500
    g a.i./l and emulsifiable concentrate 200 g a.i./l.

    EVALUATION FOR ACCEPTABLE DAILY INTAKE

    BIOCHEMICAL ASPECTS

    Single oral doses of iprodione are rapidly eliminated by rats.

    Following a single application of an oral dose of 200 mg/kg, 26% of
    the administered dose was eliminated in the urine and 59% in the
    faeces within 24 hours after application. The major part of the dose
    excreted in the faeces is the parent compound, whereas only 3% of the
    administered dose is eliminated unchanged in the urine. Besides the
    principal urinary metabolites with a degraded isopropylcarbamoyl group
    (about 11% of the dose administered), there are metabolites with
    intact hydroxylated or non-hydroxylated aromatic rings. The isomer of
    the parent compound accounted for a small proportion of the
    metabolites. Residues in the principal organs and tissues did not
    exceed 1.5% of the administered dose in rats sacrificed 4 days after
    dosage (Laurent and Bays, 1974).

    In a similar study rats were dosed once with 100 mg/kg. of
    14C-aromatic ring-labelled iprodione; 96 hours after administration
    62% of the applied dose was eliminated via the urine and 36% via the
    faeces. About 16% was excreted as the parent compound in the faeces:
    the remaining radioactivity was mainly in urine in the form of the
    desisopropylated derivative (about 20% of the dose) and the
    N-(3,5-diachloro-4-hydroxyphenylbiuret) (approx. 13%). Tissues sampled

    4 days after dosage contained about 1% of the administered dose.
    (Lourer, et al., 1976),

    Based on the identified metabolites the reactions that seem to occur
    during biotransformation are mainly hydroxylation, oxidation and
    desalyklation of the isopropylcarbamoyl group
    (-N1-CO-NH-CH(CH3)2->N1-CO-NH2->N1-H).

    TOXICOLOGICAL STUDIES

    Special studies on teratogenicity

    Groups of 25-30 rats were orally treated with 0, 100, 200 and 400
    mg/kg on Restation days 5 to 15. Females at 400 mg/kg showed reduced
    fertility, reduced body weight gain and a dose-related reduction of
    food consumption especially during the treatment period. The number of
    implantations was also reduced at the highest dose level.

    There was no indication for an embryonyic or teratogenic effect of the
    test completed (Coquet, 1973a).

    Groups of 15-17 New Zealand White rabbits were intubated on gestation
    days 6-16 inclusive with 0, 100, 200 or 400 mg/kg. Body weight gain,
    over the period of treatment, was slightly reduced at 100 mg/kg, and a
    dose-related weight loss occurred at 200 and 400 mg/kg. Food intake
    was reduced at 200 mg/kg and above. At 400 mg/kg, 9 of 17 females
    died, and only one of the four remaining pregnant animals carried to
    term. Foetal loss was increased at 200 mg/kg, and foetal weight was
    reduced at 200 mg/kg and above. Multiple malformations occurred in 1
    of 68 living foetuses at 200 mg/kg. Minor malformations were noted in
    all groups.

    Special studies on carcinogenicity

    See "Long term studies."

    Special study on reproduction

    Groups of 10 male and 20 female rats were maintained on a diet
    containing iprodione at concentrations of 0, 125, 250 and 1000 ppm for
    the first 5 weeks of each generation and 0, 250, 500 and 2000 ppm for
    the next 8 weeks of treatment. The diet was fed through three
    generations. The treatment did not affect the growth rate, food
    consumption, mortality or fertility of the parental animals. The
    number of living delivered pups of the females treated with 2000 ppm
    was slightly reduced and the post-natal growth of the pups was
    slightly retarded. There was also a tendency for growth reduction at
    500 ppm. Autopsy findings and microscopic examination of the major
    organs performed in rate of the third generation did not reveal
    abnormalities. (Coquet, 1976)


    Special study on mutagenicity

    Groups of 25 male mice were fed 0, 1500 and 6000 ppm iprodione for 49
    days. After termination of the feeding period the male mice were
    paired with 2 untreated females for 6 days, followed by a further 2
    females for the 6-12 days post-treatment period. The treatment did not
    affect body weight, food consumption or fertility of the males. None
    of the examined parameters gave any indication of a mutagenic effect
    of iprodione (Hastings et al., 1974).

    Iprodione showed no mutagenic action in a rec-assay using two strains
    of Bacillus subtilis, reverse mutation tests with and without liner
    activation system using E. coli WP2 hcr- and five strains of
    Salmonella typhimurium TA and host-mediated assay with S. typimurium G
    46 in mice (Shirasu et al., 1976).

    Acute Toxicity

        TABLE 1. Acute toxicity of iprodione
                                                                                            

    Species             Sex            Route          LD50           References
                                                      mg/kg
                                                                                            
    Rat                 M F            Oral           >2000          Pasquet & Mazuret,
                                                                     1973

    Rat                 M F            Dermal         >2500          ibid.

    Rat                 M              i.p.           2400           Pasquet &. Mazuret,
                                                                     1974
                        F              i.p.           1200           ibid.

    Mouse               M F            Oral approx.   4000           Pasquet A Mazuret,
                                                                     1973

    Dog                 M F            Oral           >2000          ibid.

    Rabbit              M F            Dermal         >1000          ibid.
                                                                                            

    
    The signs of toxicity were: loss of reflexes, muscular hypotonia,
    sedation and dyspena.

    Iprodione did not cause skin or eye-irritation in rabbits.

    In the anaesthetized dog iprodione administered at a dose of 300 mg/kg
    by the intraduodenal route did not affect the cardiovascular, 
    respiratory or neurovegetative system (Detaille et al., 1973).

        TABLE 2. Acute toxicity of a 50% formulation of iprodione
                                                                                       

    Species         Sex           Route           LD50          References
                                                                mg/kg
                                                                                       
    Rat             M F           Oral            8000          Davies & Lowe,
                                                                1974

                    M F           Dermal          >2000         ibid.

                    M F           4 h
                                  inhalation      13 mg/l air   Pasquet & Mazuret,
                                                                1975a

                    M F           Oral            4100          ibid.
                                  Oral            4900          ibid.

                    M F           4 h inhalation  >13/l air     Ibid.

    Rabbit          M F           Dermal          >2000*)       ibid.
                                                                                       

    *) atoxic

    
    The formulation induced slight irritation in the rabbit eye but had no
    irritant effect on the intact or abraded skin of rabbits (Pasquet &
    Mazuret, 1975a).

    "In the sensitization test with guinea pigs, after 10 applications of
    0-3 ml of a 50% iprodione solution, followed 2 weeks later by a
    challenge application, no evidence of dermal sensitization was
    observed" (Pasquet & Mazuret, 1975b).

    Short term studies

    Rat

    Groups of 15 male and 15 female caesarian originated, barrier
    sustained, rats were fed 0, 150, 500 or 1000 ppm iprodione in the diet
    for 5 months. No effects were observed on mortality, food consumption,
    haematology (as judged by haemoglobin, haematocrit, erythrocyte count,

    or total and differential leucocyte count) clinical chemistry (as
    judged by BSP, SGOT, SGPT or SAP) or urinalysis. Body weight gain was
    slightly reduced (especially in males) at 500 and 1000 ppm. Absolute
    (but not relative) heart weight was reduced in males at 500 and 1000
    ppm, and absolute kidney weight was reduced at 1000 ppm. In females,
    absolute liver and kidney weights were significantly reduced at 500
    ppm only. Gross and histopathology were normal at all dose levels. In
    a parallel study, dichlozoline, a structurally related compound,
    induced cataracts. No such effect was seen with (Ganter et al.,
    1973a).

    Dog

    Groups of 2 male and 2 female dogs were maintained on a diet
    containing iprodione at dose levels of 0, 800, 2400 and 7200 ppm for a
    period of 3 months. At the top dose level the method of administration
    was altered after 6 weeks, to gelatine capsules. The treatment did not
    affect mortality. The recorded values of haematological determinations
    and urinalyses were within normal limits. As judged by haemoglobin,
    haematocrit, reticulocyte erythrocyte count, total and differential
    leucocyte count and prothrombine time except for signs of mild anemia
    in 1 male and 1 female at 2 months and 1 male at 3 months at the top
    dose level. At 7200 ppm a reduction of food consumption was observed,
    accompanied by reduced body weight gain. The opththalmosopic
    examination of the animals did not reveal any pathological alteration
    (Canter and Girard, 1973b). The clinical chemistry determinations
    consisted of glucose, urea, cholesterol, bilirubiu, total proteins,
    protein electrophoresis, alkaline phosphatase, SGOT, SGPT, LDH, Na+,
    C, K+, Cl -, Ca++, P. At 2400 and 7200 ppm a slight increase of SLP was
    observed, also a transient increase of SGOT and SGPT after 1 and 2
    months of treatment at 7200 ppm. In treated male rats a dose-dependent
    increase of relative liver weights was observed, in females at the
    dose levels of 2400 ppm and above. At 7200 ppm reduced relative weight
    of testes was found, but no histological indication of damage.

    The histopathological findings did not reveal any indication of
    treatment-related alterations of tissues (Coquet, 1973c).

    Long term studies

    Mouse

    Groups of 60 male and 60 female mice were maintained an a diet
    containing the test compound at 0, 200, 500 and 1250 PPM for 18
    months. No treatment-related effect on body weight, food consumption
    or mortality was found. The recorded values of the haematological
    blood chemistry and urinalyses tests performed after 6, 12 and 18
    months of the feeding period, were within the physiological range.
    Necropsy findings on mice that died during the last 6 months of the
    test and on those sacrificed at the termination date showed an
    increased number of enlarged lymph nodes in males at 200 ppm. Organ
    weight variations occurred sporadically in the various dose groups and
    are considered not to be treatment-related. The histopathological
    findings failed to reveal abnormal features. The distribution of

    neoplastic and non-neoplastic findings did not appear to demonstrate
    any significant dose-dependence. The most common tumours were
    lymphosarcoma involving the spleen, lymph nodes and thymus (Hastings
    and Hullman, 1975).

    Rat

    Groups of 60 male and 60 female rats were maintained on a diet
    containing 0, 125, 250 and 1000 ppm for 24 months. Slight reduction in
    body weight gain was observed at 1000 ppm. This was accompanied by
    some reduction in food intake. The treatment had no effect on food
    consumption, mortality or values of the hematologic, blood chemistry
    and urinalyses determinations. Necropsy findings did not reveal any
    drug-related gross alteration. Variations in organ weight did not show
    a group distribution and seemed not to be related to drug
    administration. Histopathology did not indicate a treatment
    relationship of neoplastic and non-neoplastic findings. AT 24 months
    the most common tumours observed were pituitary adenomas and
    adenocarcinoma and fibroadenoma of the mammary glands (Hastings et
    al., 1976).

    COMMENTS

    Iprodione is readily absorbed and rapidly excreted mainly as
    metabolites with intact hydantoin-moiety. The compound was not
    teratogenic. In a 3-generation study in rats, there was a slight but
    statistically significant reduction in postnatal growth at 2000 ppm.
    This effect was only marginal at the lower dose of 500 ppm which is
    regarded as a no-adverse-effect-level. In a short-term study in dogs
    no major effect occurred up to 2400 ppm. Likewise long-term studies in
    mice and rats revealed no effects up to 1250 ppm. No ocular
    alterations were found in any study.

    TOXICOLOGICAL EVALUATION

    Level causing no toxicological effect

         Mice:     1250 mg/kg in the diet, equivalent to 160 mg/kg bw
         Rat:      500 mg/kg in the diet, equivalent to 25 mg/kg bw

    ESTIMATE OF ACCEPTABLE DAILY INTAKE FOR HUMANS

         0-0.3 mg/kg bw

    USE PATTERN

    Iprodione is used as a fungicide against a range of fungus diseases,
    including Botrytis in vines, black- and red currants, blackberries,
    raspberries and vegetables especially lettuce; Botrytis alii on
    onions; Rhizocotonia on seed potatoes; seed borne diseases on sugar
    beets (Phoma spp.) and cereals. It is also used against Botrytis
    and some other fungus diseases on ornamentals.

    The compound is used as a foliar spray on several crops, as a post-
    harvest dip for fruit, for dipping seed-potatoes and as a seed-
    treatment on sugar beet and cereals.

    The product is authorized for use on various crops in France, the
    Federal Republic of Germany, Greece, the Netherlands and the United
    Kingdom. In several other countries the compound is used or included
    in testing programmes and it is in course of registration in many
    countries including Australia, New Zealand, Japan, USA, Canada,
    Israel, and several European countries.

    Most of the recommended uses are summarized in Table 3. The
    information may not be complete since the use of the compound is
    expanding rapidly and more uses may be expected in the near future.

    RESIDUES RESULTING FROM SUPERVISED TRIALS

    Extensive data were obtained from supervised trials carried out in
    various countries on fruit and vegetables and on some agricultural
    crops; they are summarized in Tables 4 to 8 and 10.

    Pome and stone fruits (Tables 4 and 5; Rhône Poulenc, 1977a)

    Apples

    The residue at harvest from pre-harvest treatments at normal
    application rates (about 2.25 kg a.i./ha) is about 2 mg/kg. A
    combination of such treatments with post-harvest dipping gives rise to
    residues of about 6 mg/kg. After repeated applications at about twice
    the normal rate residues ranged from 2.9 - 6.5 mg/kg. The residue of
    the metabolite RB 30228 (see "Fate of residues") was below 0.15 mg/kg
    in these experiments.

    Pears

    Post-harvest dipping of pears against storage diseases gave rise to
    residues of 3.6 - 5 mg/kg.

    Peaches

    Residues at harvest following applications at the recommended rate
    varied between 0.9 and 6 mg/kg. A post-harvest dip adds about 4 mg/kg
    to these levels.

    Plums

    Residues arising from recommended  applications varied between 0.6 and
    6.8 mg/kg, depending on the pre-harvest intervals observed and the
    local conditions. The drying process increased the residue in the
    prunes by 0.6 - 1.6 mg/kg.


        TABLE 3. Use pattern and recommended pre-harvest intervals of iprodione
                                                                                                                          

                                                                                             Pre-harvest
    Crop                               Disease                       Application               intervals

                                                         No. of treatments     Rate       Country              Days
                                                                             g a.i./ha
                                                                                                                          

    Grapes                             Botrytis                 4              750        Austria                 28
                                       "                        4              750        France.                 15
                                       "                       4-5             750        Fed. Rep. of            28
                                                                                          Germany
                                       "                        3             3000        Japan                    7
                                       "                        4              750        Portugal                15
                                       "                        4              750        Spain                   15
                                       "                        4              750        Switzerland
                                       "                        4              750        USSR
                                       "                        4              750        Yugoslavia

    Strawberries                       Botrytis                4-5            1000        Belgium                 15
                                                                3             1000        Fed. Rep. of             7
                                                                                          Germany
                                                                3                         Japan                    1
                                                               4-5            1000        The Netherlands         14

    Pome and Stone fruit

    Apples                             Alternaria           about 10                      Japan                   10
    Peaches                            Monilia                  3                         Japan                    1

    Vegetables

    Chicory (witloof)
    (forcing)                          Botrytis                 1            3 g/m2       Belgium         Throughout
                                       Sclerotinia              1            4 g/m2       France         the forcing
                                                      applied on the top of                                   period
                                                      the roots at forcing

    TABLE 3. (Continued)
                                                                                                                          
                                                                                             Pre-harvest
    Crop                               Disease                       Application               intervals

                                                         No. of treatments     Rate       Country              Days
                                                                             g a.i./ha
                                                                                                                          
    Cucumbers                          Botrytis                 4                         Japan                    1
    Lettuce                            Botrytis
                                       Scleotinia               3              750        Belgium                 10
                                                                                                        (glasshouse)
                                       "                       3-4             750        France
                                       "                        3              750        Fed. Rep.               21
                                                                                          of Germany    (glasshouse)
                                                                                                                  14
                                                                                                          (outdoors)

                                       "                        4              750        Japan                   14

    (also for endive)                  "                       1x           1000-2000     The Netherlands         28
                                       "                       2xx             750        The Netherlands         28

    Vegetables

    Onions                             Botrytis
                                       Sclerotinia              3              750        Japan                    7
                                       cepivorum

    Tomatoes                           Botrytis                 4                         Japan                    1
                                       Alternaria                                         United Kingdom

    Agricultural Crops

    Beans                              Sclerotinia              3                         Japan                   21
    Rice                               Pellicularia             3                         Japan                   21


    TABLE 3. (Continued)
                                                                                                                          
    Seed and tuber treatments

    Cereal seed
                                                                                             Pre-harvest
    Crop                               Disease                       Application               intervals

                                                         No. of treatments     Rate       Country              Days
                                                                             g a.i./ha
                                                                                                                          
    Barley                             Helminthosporium         1         60 g a.i./100
                                                                             kg seed

    Wheat                              Tilletia caries          1         60 g a.i./100
                                                                             kg seed

    Garlic                             Sclerotinia cepivorum    1        300 g a.i./100   France
                                                                             kg seed

    Potatoes                           Rhizoctonia solani       1          100-150 g/     France
                                                                         1000 kg tubers

                                                                           spraying on
                                                                             tubers
                                                                           immediately
                                                                             before
                                                                             storage
                                                                           dipping in
                                                                          spring before
                                                                            planting
                                                                           400 g/100 l

    Sugar-beet                         Phoma spp                1         150 g a.i./kg   France.
    seed                                                                 enveloped seed
                                                                                                                          

    x= one application at planting.
    xx= two applications, the first about a week after planting and a second within two weeks after planting

    

    Berry fruits and currents (Table 6; Rhône-Poulenc, 1977b)

    The residue levels at harvest after treatments at normal rates and
    observing recommended pre-harvest intervals (10-21 days) were
    generally at or below 5 mg/kg on blackcurrants, 2 mg/kg on raspberries
    and 6 mg/kg on strawberries.

    Grapes

    The maximum residues of iprodione on grapes at harvest following
    treatment according to good agricultural practice (about 750 g
    a.i./ha) were in general not higher than 10 mg/kg. The highest levels
    in the unfermented must and the win were 4.4 and 6.4 mg/l
    respectively. Some results are shown in Table 10 (Rhône-Poulenc,
    1977c). See "Fate of residues", "In storage and processing".

    Vegetables (Table 7; Rhône-Poulenc, 1977d)

    Chicory (witloof)

    The residues in the edible sprouts after a normal period of forcing
    and one treatment at the recommended rate did not exceed 1 mg/kg. The
    residues in the roots were much higher, with a maximum of about 10
    mg/kg. The roots are often used as animal feed.

    Cucumbers

    Residues on cucumbers treated with 3 kg a.i./ha (twice the normal
    rate) were between 0.3 and 2.2 mg/kg.

    Lettuce

    Residues arising from recommended applications on outdoor lettuce (750
    g a.i./ha) varied between 1.7 and 2.5 mg/kg after pro-harvest
    intervals of 14-21 days. The residues on glasshouse-grown lettuce are
    in general much higher. Three applications of the recommended dosage
    gave rise to residues of 6.7 mg/kg after a pre-harvest interval of 39
    days, and in other experiments maximum levels of 7.2 mg/kg were found
    14 days after the last application. Residue levels of the metabolite
    RP 30228 were slightly about the limit of determination; other
    metabolites were below it. (Metabolites are identified in the section
    "Fate of residues."

    Onions

    The residues on onions 1 day after application did not exceed 0.2
    mg/kg.

        TABLE 4. Supervised trials of iprodione. Residues in pome and stone fruit (pre-harvest application)
                                                                                                                                 
                                    Application            Residues (mg/kg) at intervals (days) often application

    Crop         Country    Year    No     Rate       Formulation*  0-2      3-6     7-10    13-14    30-35      40        50
                                        g/100  1
                                               kg/ha                                        (20-22)
                                                                                                                                 
    Apples       Japan      1975    1    100   5       WP 50%               2.15    1.75
                            1975    1    100   5         "                  2.9     2.25
                            1975    1    100   5         "                          0.38
                            1975    10   100   5         "                          6.5
                            1975    10   100   5         "                                  (5.75)
                            1975    10   100   5         "                                           3.75
                            1975    10   100   5         "                          3.4
                            1975    10   100             "                                  (1.95)
                            1975    10   100   5         "                                           1.7
                 U.K.       1975    10   100   2.25      "                                  (2.0)

    Cherries

    Moss         Australia  1975    4          1.4     "                    8.0

    Peaches
    Katharine    Australia  1976    7    50    1.4     "                    5.4
    Anne Truly              1976    3    50    0.5     "                    1.7
    Goldmine                1976    5    50    1.4     "                    5.8
    Redhaven     Canada     1974    4    50    1.0     "           6.5      4.6     4.9
                            1974    4    50    1.0     "                                                        1.45
    Babygold     Canada     1974    7    50    1.0     "           2.3      2.0     1.3
                            1974    6    50    1.0     "                            1.8              0.9
    Earlired                1974    5          1.0     "           2.5      1.9     2.2     2.2
    Redhaven                1974    5          1.0     "           6.1      4.1     3.4     2.9      1.6
    Sunhaven                        5          1.0     "           7.6      9.0     10.0    8.5
    Gifu         Japan      1975    7    100   4.0                 3.7      2.1
                            1975    3    100   4.0     "           4.6      2.9
    Okayama                 1975    2    100   3.0     "           6.3      4.8
                            1975    3    100   3.0     "           6.8      5.8

    TABLE 4. (Continued)

                                                                                                                                 

                                    Application            Residues (mg/kg) at intervals (days) often application

    Crop         Country    Year    No     Rate       Formulation*  0-2      3-6     7-10    13-14    30-35      40        50
                                        g/100  1
                                               kg/ha                                        (20-22)
                                                                                                                                 
    Plums
    October      Australia  1976    4          1.4     "                            2.2
    purple
    Inra 711     France     1973    4          0.5     SC                                            0.25       0.26
                                    4          1.0     SC                                            1.4        0.9
                            1974               0.5                                          4.15
                                    3          1.0                                          6.8
                                    2          0.5                                                                        0.2
                                    2          1.0                                                                        0.6
                                                                                                                                 

    * SC = Suspension concentrate
      WP = Wettable powder

    TABLE 5. Supervised trials of iprodione. Residues in pome and stone fruit (post-harvest application)

                                                                                                                             

                                  Application
                                     Rate

    Crop           Country     Year  No.   g a.i./100    Formulation    Residues (mg/kg)  after storage period of (days)
                                           dip                          1-2     7         11        85        95
                                                                                                                             
    Apples

    Cox's          U.K.        1973  -                   -              2.0
                                     1     200                          5.8
                                     1     200                          4.4

    Pears

    Conference     U.K.        1973  1     200           SC             5.0
                               1973  1     200                                                      4.8
                               1973  1     200                                                      3.6
                               1973  1     200                                                                4.7
                               1973  1     200
                               1973  1     200                                            4.0

    Peaches        Australia         -                   WP50%          1.7
                                     1     50            WP50%          5.3
                                     1     50            WP50%                  5.0
                                                                                                                             


    TABLE 6. Supervised trials of iprodione. Residues in berry fruits and currants
                                                                                                                                           
                                       Application                   Residues (mg/kg) at intervals (days) after application

    Crop           Country         Year   No.    Rate      Formulation    0-1       3-4       7-10      13-17    18-23   28-30   33-36
                                                 g/100
                                                 1 kg/ha
                                                                                                                                           
    Raspberries    France          1974   3      0.8       WP 50%                                                1.1
    Heyton                                       0.5                                                             0.85
    Malling
    jewel          U.K.            1974   5      1.1       "  "                                         1.55
                                          3      1.1       "  "                                         2.0
                                          4      1.1       "  "           7.9       5.0       2.8       2.1
    Strawberries   Belgium         1974   5      0.75      "  "                                         4.9
    Sivetta                               5      1.0       "  "                                         6.0
    Domunil                               5      0.75      "  "                                         1.9
                                          5      1.0       "  "                                         2.5
    Redcoat        Canada          1974   4      1.        "  "           3.1       1.8       1.4       0.85
    Vista                                 4      1.1       "  "           3.5       2.4       1.4       1.0
    Redcoat                               4                               3.45      2.1       1.6       1.0

    Redcoat                               3                                                             0.9      0.8     0.2
    Red Gauntlet   France          1973   4      0.5       "  "                                         0.22
                                                 0.75      "  "                                         0.44
                                                 1.0       "  "                                         0.66
    Immigrante                     1974   4      0.75      "  "                                                  1.75
                                          4      1.0       "  "                                                  2.2
    Gorella                        1974   4      0.75      "  "                               0.35
                                          4      1.0                                          0.44
                                          3      0.75      "  "                                                                  0.5
                                          3      1.0       "  "                                                                  1.1
    Suprême d'Halles                      4      0.5       "  "                                         1.2
                                          4      0.75      "  "                                         1.9
                                          4      1.0       "  "                                         2.75
                                          4      0.5       "  "                                         2.5
                                          4      0.75      "  "                                         3.2
                                          4      1                                                      5.6
    Senga Segana   Fed. Rep.       1974   3      0.9       "  "           5.3       2.7       2.3       1.0      0.4
                   of Gemany              3      1.25      "  "           9.1       3.6       3.4       1.9      0.7

    TABLE 6. (Continued)

                                                                                                                                           

                                       Application                   Residues (mg/kg) at intervals (days) after application
    Crop           Country         Year   No.    Rate      Formulation    0-1       3-4       7-10      13-17    18-23   28-30   33-36
                                                 g/100
                                                 1 kg/ha
                                                                                                                                           

    Senga Segana   Netherlands     1974   4      0.75      "  "                                                  1.1
                                   1974   5      0.75      "  "           26.4                14.2      0.67
    Red Gauntlet   Switzerland     1974   1      0.75      "  "           1.0       0.86      0.2       0.1      0.1
    Wädenswill                     1974   3      0.75      "  "                                                  0.2
                                   1974   3      0.75      "  "                                                  0.15

    Royal
    Sovereign      U.K.            1974   4      1.1       "  "           1.2       1.6       1.3

    Strawberries
    Cambridge
    Favourite (g)                  1974   4      1.1       WP 50%         8.0       6.9       4.5       4.7
    Cambridge
    Favourite (g)                  1974   3      1.1       "  "                                                                  1.7
    Cambridge
    Favourite                      1974   3      1.0       "  "                                                  0.7
    Cambridge
    Favourite                      1976   3                                                   1.6       1.1
    Cambridge
    Favourite                      1976   3      0.75                                         0.9       0.6
    Red Gauntlet                   1976   1      0.75                                                   0.6
    Red Gauntlet                   1976   1      1.0                                                    0.9
    Red Gauntlet                   1974   3      2.2                                                                             1.7
    Cambridge
    Favourite                      1974   3      2.2                                                             0.55
    Royal
    Sovereign                      1974   2      1.0                                                                     0.3


    TABLE 6. (Continued)

                                                                                                                                           

                                       Application                   Residues (mg/kg) at intervals (days) after application
    Crop           Country         Year   No.    Rate      Formulation    0-1       3-4       7-10      13-17    18-23   28-30   33-36
                                                 g/100
                                                 1 kg/ha
                                                                                                                                           
    Black
    currants

    Wellington
    Tr.            UK              1974   4      1.1       WP 50%                                                                3.9
                                                                                                                                 62 days

    Baldwin        UK              1974   4      1.1       "  "                                                                  4.6
                                                                                                                                 62 days
                                                                                                                                           

    (g) = glasshouse


    TABLE 7. Supervised trials of iprodione. Residues in vegetables

                                                                                                                                               

                                      Application                      Residues (mg/kg) at interval (days) after application
                                         Rate
    Crop           Country     Year   No.    1kg/ha   Formulation    0-1      3-4       5-7       10-14     21-22     28-30     31-35
                                         g/100
                                                                                                                                               

    Bean
    without pod   Japan        1975  1           1       WP 50%                                      0.05      0.05      0.05

    Cucumbers(g)  Japan        1975  3           1                                                             0.05      0.05
                               1975  1           3       WP 50%         1.7      1.0       0.36
                               1975  3           3       "  "           1.6      0.9       0.7
                               1975  4           3       "  "           2.2      1.4       1.2
                               1975  1           2.5     "  "           1.2      1.0       0.24
                               1975  3           2.5     "  "           1.9      1.4       0.3
                               1975  4           2.5     "  "           1.8      1.0       1.0

    Lettuce
    Val.d'Orge    France       1974  6           0.5     "  "                                                                     0.03
                                     6           0.75    "  "                                                                     0.03
                                     6           1.0     "  "                                                                     0.03
                                     6           0.5     EC 200g/l                                                                <0.02
                                     6           0.75    "  "                                                                     <0.02
                                     6           1.0     "  "                                                                     0.04
                                     5           0.5     WP 50%                                                2.5
                                     5           0.75    "  "                                                  1.3
    Murkönig      Fed. Rep.          3           0.75    "  "           15.7               1.8       0.6       0.05      0.05     0.05
    Kares         of Germany   1976  4           0.75    "  "           24.5               9.1       1.7
    Reskia                     1976  3           0.25    "  "           2.6                0.8       0.2
                                     3           0.75    "  "           13.2               3.0       1.1
    Susan                      1976  3           0.5     "  "           4.6                1.2       0.4
                                     3           0.75    "  "           28                 4.3       4.2
    Murkönig(g)   Fed. Rep.    1976  3           0.25    "  "           24                 6.9       2.9
                  of Germany         3           0.75    "  "           46                 10.5      7.2

    TABLE 7. (Continued)
                                                                                                                                               
                                      Application                      Residues (mg/kg) at interval (days) after application
                                         Rate
    Crop           Country     Year   No.    1kg/ha   Formulation    0-1      3-4       5-7       10-14     21-22     28-30     31-35
                                         g/100
                                                                                                                                               
    Ravel(g)                   1976  3           0.25    "  "           26                 5.4       2.7
                                                 0.75    "  "           22                 4.8       3.6

    Kurume
    Br.(g)        Japan        1975  2           3       "  "                              4.6       0.28      0.05
                                     3           3       "  "                              10.8      0.27      0.1
                                     4           3       "  "                              7.4       0.3       0.1



    Kumamoto(g)   Japan        1975  2           1.5     "  "                              0.48      1.05      0.4
                                     3           1.5     "  "                              1.9       0.6       1.2
                                     4           1.5     "  "                              2.25      0.78      1.7
    Déciminor(g)  Netherlands  1975  2           0.75    "  "                                                  8.2       4.9
    Vera(g)                    1975  2           0.75    "  "                                        9.15      0.05               0.05
    Ostinata(g)   UK           1974  4           0.56    "  "           19       18        14                  (24
                                                                                                               days)
    Val d'Orge                 1974  3           0.56    "  "                                                  8.8
                                     4           0.56    "  "           59       40        41        21

    Onions        S. Africa    1977  7     50            WP 50%         0.14
                                                                        0.15
                                           100           "  "           0.15
                                                                        0.24

    Sweet
    Peppers(g)    U.K.         1975  6                                                     4.3

    TABLE 7. (Continued)
                                                                                                                                               
                                      Application                      Residues (mg/kg) at interval (days) after application
                                         Rate
    Crop           Country     Year   No.    1kg/ha   Formulation    0-1      3-4       5-7       10-14     21-22     28-30     31-35
                                         g/100
                                                                                                                                               

    Tomatoes

    Koibuchi (g)  Japan        1975  1           2.5     "  "           1.25     1.4       1.2       0.8
    Koibuchi (g)               1975  3           2.5     "  "           5.3      3.4       3.0       2.4
    Koibuchi (g)               1975  4           2.5     "  "           5.6      5.4       4.3       3.5
                               1975  3           3.0     "  "           2.1      3.3       1.8       2.9
                                     4           3.0     "  "           4.6      3.6       4.1       2.8
                                     5           3.0     "  "           4.4      4.0       3.8       3.7
    Eurocross(g)  U.K.         1974  5     50            "  "                                        2.7
                                     6     50            "  "                                        3.8
                                     7     50            "  "                                        4.9
                                     8     50            "  "                                        4.2                 2.3


    Sonato(g)     U.K.         1974  4     50            "  "                                        1.65
                                     5     50            "  "                                        2.3
                                     6     50            "  "                                        2.8
                                     7     50            "  "                                        3.7
                                     8     50            "  "                                        4.2                 5.8
                                     5     50            "  "           3.1                2.5       2.7
                                     1           1       "  "                                                  0.64
                                                                                                               (18
                                                                                                               days)

    TABLE 7. (Continued)
                                                                                                                                               
                                      Application                      Residues (mg/kg) at interval (days) after application
                                         Rate
    Crop           Country     Year   No.  a.i.        Formulation   30-40      40       44-48       59        70        93-104    162 
                                         g/m2                       S     R   S    R    S    R     S    R    S    R    S    R     S   R
                                                                                                                                               

    Chicory       Belgium     1975   1       3           "  "                           0.41 1.49
                                     1       6           "  "                           0.36 3.10
                                             3           "  "                                      0.09 2.7
                                             6           "  "                                      0.32 4.4
                                             3           "  "                                                          0.77  6.2
                                             6           "  "                                                          0.59  10.0
                                             3           "  "                                                          0.55  2.7
                                             6                                                                         1.0   3.7
                  France      1974   1       4           "  "                0.6
                                             8           "  "                1.0        0.07
                                             4           "  "                           0.25
                                             8           "  "
                                                                                                                                               

    TABLE 7B
                                                                                                                                               
    Crop       Country   Year   No.     Rate        Formulation       30-40        40         44-48           59         70      93-104     162
                                     g/100  1g/1000
                                      dip    kg                     S    R      S    R      S    R        S    R    S    R     S    R    S    R
                                                                                                                                               
    Potatoes

    pre-plant  France    1976    1    200             WP 50%                                                                                n.d.
    treatment                         300             "  "                                                                                  n.d.
                                             50       "  "                                                                                  0.01
                                             100      "  "                                                                                  0.01

                                             150      "  "                                                                                  0.02
                                      200             "  "               3.0                                             5.0
                                             50       "  "               25                                              25
                                             100      "  "               58                                              67
                                             150      "  "               120                                             140

    foliar
    spray      S.
               Africa    1976    5    50              "  "          <0.02
                                 5    100             "  "          <0.02
                                 3    50              "  "                                  <0.02
                                 3    100                                                   <0.02
                                                                                                                                               

    WP = wettable povider; EC = emulsion concentrate;
    (g) = glasshouse; R = roots (chicory) or tubers (potato); S=sprouts

    

    Peppers and tomatoes

    Following applications at normal rates (50 g a.i./100 l) residues of
    4.5 - 5 mg/kg were found at harvest after pre-harvest intervals of 3.6
    days.

    Beans (dry)

    After treatment at a dosage rate of 1 kg/a.i./ha, residues in the dry
    beans were very low (0.05 - 0.2 mg/kg).

    Cereal crops (Table 8; Rhône-Poulenc, 1977e)

    Wheat

    Two applications at normal rates (1 kg a.i./ha) with a pre-harvest
    interval of 73 days did not give rise to measurable residues in the
    kernels.

    Rice

    After treatment during the growing season with relatively high dosages
    (1.2 kg a.i./ha), residues of 0.1 - 2.1 mg/kg were found de-husked,
    unpolished rise 21 days after the last treatment.

    FATE OF RESIDUES

    In plants

    The fate of iprodione in plants and soil was studied with unlabelled
    and 14C-phenyl-labelled products. It was found that when applied to
    the leaf surface, iprodione does not appreciably penetrate through the
    skin. The residues on the skin had a half-life of 30-60 days, being
    slowly converted to
    1-(3,5-dichlorophenylcarbamoyl)-3-isopropylhydentoin, RP 30228), which
    represented up to 35% of the remaining residue. 2-5% of this residue
    consisted of minor degradation products, including 1-carbamoyl-3-(3.5-
    dichlorophenyl) hydantoin (RD 32490) (Rhône-Poulenc, 1973).

    Wheat and strawberry plants grown on soil treated with iprodione
    (Rhône-Poulenc, 1977f) took up small amounts of the compound (in wheat
    0.7-1.3% of the amount applied to the soil surface), which was mainly
    found in the leaves and stems (95-99% of the extractable residue).
    Within the plant the parent compound was converted to RP 30228, small
    amounts of RP 32490 and some more polar unidentified products.

    The organosoluble residue in strawberry plants 32 days after a foliar
    application at a rate equivalent to 1 kg a.i./ha consisted of 61%
    unchanged parent compound and 16% RP 30228. 55 days after foliar
    treatment at 2 kg a.i./ha 69% of the residue was iprodione, 7% RP
    30228 and 5% RP 32490.


        TABLE 8. Supervised trials of iprodione. Residues in cereal crops.

                                                                                                                         

                                  Application                     Residues (mg/kg) at intervals (days) after application
                                      Rate
    Crop         Country    Year   No.                 Formulation  14-15    21-22     28-30     73        81
                                        g/100 1 kg/ha
                                                                                                                         

    Rice         Japan      1975   1    100    1.2      WP 50%
    grain                                                           0.1      0.1       0.1
    straw                                                           16       15        10.3
                            1975   1    100    1.2      WP 50%
    grain                                                           0.3      0.4       0.3
    straw                                                           32       12.5      10.5

                                   3    100    1.2      WP 50%
    grain                                                                    2.1
    straw                                                                    45
                                   3    100    1.2      WP 50%

    grain                                                                              1.4
    straw                                                                              32

                                   3    100    1.2
    grain                                                                    0.8
    straw                                                                    49

                                   4    100    1.2                           1.8
    grain                                                                    43
    straw

    Wheat
    Maris
    Nimrod       UK                1    34     1.0                                               <0.05
                                   2    34     1.0                                               <0.05

    Jos Cumbier                    1    34     1.0                                                         <0.05
                                   2    34     1.0                                                         <0.05
                                                                                                                         

    TABLE 9. Nature and Distribution of radio-activity in wheat grown in soil treated with 10 kg/ha. 14C-iprodione

                                                                                                                                    

                                              % of total 14C in each plant part as

                                                                                               Unidentified           Total 14C
    Days after                                                                Organo-      Water                      expressed as
    treatment           Plant part     Iprodione    RP 30228       RP 32490   soluble      soluble      Bound         iprodione mg/kg
                                                                                                                                    

    16                  roots          49           14             n.d.       21           0            17            20

                        leaves and     66           6.4            4.4        21           1.5          1.7           20
                        stem

    44                  roots          16           15             n.d.       13           1.1          55            31

                        leaves and     48           9.5            18         20           0.95         4.2           20
                        stem

    89                  roots          2.9          8.1            0.8        9.2          0            79            238

                        leaves and     26           17             14         32           0.22         11            36.7
                        stem

                        ears           9.1          3.1            0.1        24           0            56            32

                        kernels        n.d.         n. d.          n.d.       72           0            28            2.5
                                                                                                                                    

    

    Wheat plants were grown on soil treated with excessive dosages of
    14C-labelled iprodione and the distribution of the residue in the
    plant was studied after 16, 44 and 89 days. The nature and
    distribution of the recovered radio-activity is shown in Table 9
    (Rhône-Poulenc, 1977f).

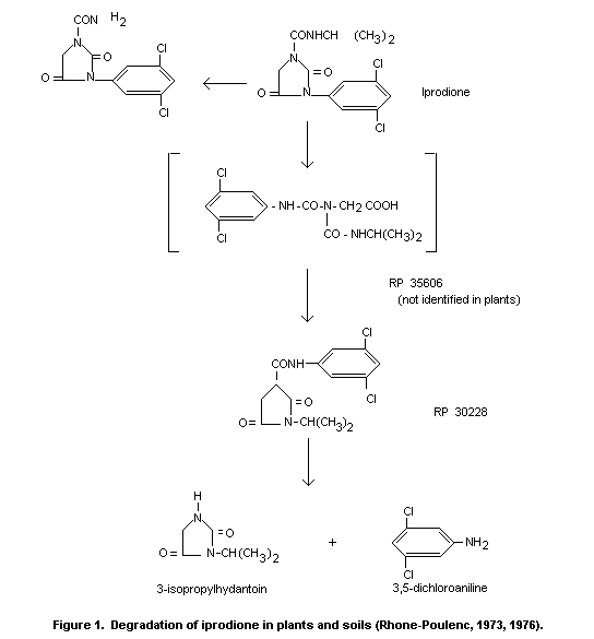
    The plant and soil metabolites of iprodione have been identified by
    various methods including TLC, GLC, and colorimetric analysis and the
    degradation pathway shown in Figure 1 deduced.

    In soil

    The degradation of residues in soil follows a similar pattern. The
    half-life at initial levels of 2 and 5 mg/kg is about 30 days. After
    12 months incubation under aerobic conditions at 23-25°C, no more than
    3% of the remaining radio-activity was in the form of unchanged
    iprodione. Conversion to metabolite RP 30228 proceeded rapidly. The
    concentration of RP 30228 reached a maximum (45-55% of the
    radio-activity still present) after 80-100 days and then decreased
    (Rhône-Poulenc, 1976).

    In leaching experiments with radio-labelled iprodione it was shown
    that the parent compound was only slightly mobile, remaining in the
    0-15 cm layer. The metabolite RP 30228 is less soluble in water than
    the parent compound (0.5 mg/l compared to 13 mg/l) and virtually all
    remained in the 0-5 cm layer (Rhône-Poulenc 1973, 1976).

    In storage and processing

    Extensive data were obtained from various countries on the fate of
    residues of iprodione during wine making and on the effect of residues
    on the fermentation. When grapes containing about 5 mg/kg were used
    for wine making, no influence on the fermentation process was found.
    This was confirmed in laboratory experiments in which CO2 evolution
    and the proportion of viable cells (those susceptible to actidione)
    were measured.

    In a trial in which the grapes contained 2-10 mg/kg iprodione, the
    fermentation process was slightly retarded. It is unlikely that this
    effect would be observed under practical conditions of wine making.

    During the wine making, iprodione remains fairly stable, but a
    considerable part of the residue will be eliminated with the solids
    (mavc) during clarification. The residues in wine are generally about
    15-25% of those in the grapes. No residues of iprodione were found in
    alcohol obtained after distilling wine (Rhône-Poulenc, 1977c; Barre et
    al., 1976). Some results are shown in Table 10.


        TABLE 10. Residues of iprodione at various stages of vinification

                                                                                                         

                                                           Iprodione, mg/kg in
    Country        Year      Grapes               Must                    Wine              Finished
                                       Unfermented    Fermented    Racked      Clarified    Wine
                                                                                                         

    France         1974      4.9       2.7            0.98                     0.75
                             3.0       1.7            1.0                                   0.71-0.84
                   1975      6.1       2.75                        0.8
                             7.5       4.4                         1.45

                   1975      2.2       1.5                         0.34
                             5.4                                   0.6

    South          1976      1.0       1.3                                                  0.9
    Africa                   2.6       0.5                                                  1.5

    Switzerland              2.3       1.9                                     0.7
                   1973      1.7       1.4                                     0.5
                             2.9       1.9                                     0.4
                                                                                                         

    


    FIGURE 6

    METHODS OF RESIDUE ANALYSIS

    Gas-chromatographic methods using electron capture detectors have been
    developed for the analysis of residues in several fruits and
    vegetables. These are suitable or can be adapted for regulatory
    purposes. They have been adapted for residue analysis In must and
    wine. The limit of determination on most fruits and vegetables is
    about 0.01-0.02 mg/kg. Some commodities of plant origin, e.g. prunes
    and mare, require a more elaborate clean-up owing to the higher
    proportion of interfering plant constituents. The limit of
    determination in these commodities is about 0.05-0.1 mg/kg.

    No loss of residues was found during storage for more than 1 year at
    temperatures of -18°C.(Rhône-Poulenc, 1975a,b).

    NATIONAL TOLERANCES REPORTED TO THE MEETING

    The following maximum residue limits were reported to the Meeting as
    established or under consideration. They refer to iprodione, excluding
    metabolites.

    Country             Commodity                Maximum residue
                                                 limit, mg/kg
                                                               
    Australia           Apricots, cherries,
                        plumes peaches           10
    France              Grapes                   10
    Fed. Rep.
    of Germany          Grapes                   10
    The Netherlands     Lettuce                  5
                        Strawberries             2
    New Zealand         Apricots, berry fruits,
                        cherries, grapes,
                        peaches, plums           10
    Switzerland         Grapes                   7

    APPRAISAL

    Iprodione is used against a relatively broad range of fungus diseases,
    on a wide range of fruits and vegetables.

    Its use is authorized, or is in course of registration, for various
    crops in a number of countries. It is marketed in the form of a
    wettable powder, a suspension concentrate and an emulsifiable
    concentrate. The products are mainly used as a spray on the aerial
    parts of growing crops, for post-harvest dipping of fruit as a dip for
    seed potatoes and as a seed treatment. Application rates vary
    according to the crop/disease situation and regional conditions.
    Residue data were obtained from supervised trials carried out in
    various countries with different climatic conditions. Studies with
    unlabelled and 14C-phenyl-labelled products showed that iprodione
    does not appreciably penetrate through the plant cuticle. The residue
    on the surface of the plants had a half-life of about 30-60 days. It

    was converted into
    1-(3,5-dichlorophenyloarbamoyl)-3-isopropyl-2,4-dioxoimida-zolidine,
    1-(3,5-dichlorophenylcarbamoyl)-3-isopropylhydantoin, RP 30228, which
    represented up to 35% of the remaining residue. 2-5% of this residue
    consisted of minor degradation products, including
    1-carbamoyl-3-(3,5-dichlorophenyl)hyclantoin (RP 32490).

    Wheat and strawberry plants grown on soil treated with iprodione took
    up small amounts of the compound (equivalent to 0.7-1.3% of the total
    applied to the soil surface). Within the plant the parent compound was
    converted into metabolite RP 30228, Small amounts of RP 32490 and some
    more polar unidentified products. The degradation of residues in soil
    follows the same pattern. The half-life at initial levels of 2 and 5
    mg/kg is about 30 days. After 12 months incubation under aerobic
    conditions at 23-25°C no more than 3% of the remaining residue is in
    the form of unchanged iprodione. The parent compound is only slightly
    mobile, remaining mainly in the upper 0-15 cm layer. The metabolits RP
    30228 is less soluble in water than the parent compound (0.5 mg/l
    compared to 13 mg/l) and virtually all remained in the 0-5 cm layer.
    Residues in wine were approximately 15-25% of those on the harvested
    grapes.

    Gas-chromatographic methods using electron capture detectors have been
    developed for the analysis of residues in several fruits and
    vegetables, must and wine, which are suitable or can be adapted for
    regulatory purposes. The limit of determination is generally about
    0.01-0.02 mg/kg. No loss of residue was found over more than 1 year at
    -18°C.

    RECOMMENDATIONS

    The following maximum residue limits for iprodione on various fruits
    and vegetables are recommended. They refer to iprodione, excluding any
    metabolites.

                                                                                                  
    Commodity              Limit, mg/kg     pre-harvest interval
                                            on which
                                            recommendations are based        post-harvest
                                                                             treatment
                                                                                              
    Apples, pears                    10     10-14                            +
    Grapes                           10     14-21
    Lettuce                          10     14-21(281)
    Peaches                          10     10-14                            +
    Plums                             7     14
    Strawberries                      7     14
    Blackcurrants                     5     10-21
    Cucumbers                         5     3-6
    Sweet peppers                     5     3-6

                                                                                              
    Commodity              Limit, mg/kg     pre-harvest interval
                                            on which
                                            recommendations are based        post-harvest
                                                                             treatment
                                                                                              

    Raspberries                       5     10-21
    Tomatoes                          5     3-7
    Rice (hulled, unpolished)         3     21
    Chicory (witloof) sprouts         1     throughout forcing
    Beans, dry                      0.2     14-21
    Garlic, onions                  0.1     1
                                                                                              

    1 Glasshouse use.

    
    FURTHER WORK OR INFORMATION

    DESIRABLE

    1. Information on the fate of iprodione residues in milk, meat and
    eggs when food wastes containing iprodione residues are used as
    components of animal feeds.

    2. Residue data on grain and straw from supervised trials on cereal
    crops treated according to good agricultural practice.

    3. Further information about the effects of processing and cooking on
    iprodione residues in a range of commodities.

    REFERENCES

    Barre, P., R. Cordonnier, A. Dugal, L. Lacroixy M. Laurent et M. Buys
    (1976) Etude, dens le raisin et le vin, des résidus d'un fongicide
    antibotrytis, le 26019 R.P. et leur effects our la fermentation
    alcoholique. Progrés Agricole et Viticole 93 (11) 2-8.

    Coquet, B. (1973a) Recherche du pouvoir teratogéne chez le rat OFA par
    voie orals du produit 26019 R.P. Unpublished report from Centre de
    Recherche et d'Elevage des Onoins, No. 731016.

    Coquet, B. (1973b) Recherche du pouvoir teratogéne chez le lapin pax
    voie orale du produit 26019 R.P. Unpublished report from Centre de
    Recherches et essais biologiques, Les Onoins, No. 730925.

    Coquet, B. (1977c) Essai de toxocité chronique (3 mois) chez le chien
    par voie orals du produit 26019 R.P. Unpublished report from Centre de
    Recherche et d'Elevage des Onions, No. 731008

    Coquet B. (1976) Influence du produit 26019 R.P. sur la reproduction
    du rat (Essai sur 3 générations). Unpublished report from Institut
    Franc. de Recherche et Essais Biologique, No. 760435 submitted by
    Rhône-Poulenc.

    Davies, V.A. and Lowe C.Y. (1974) Fungicides: Formulation LPA 2043:
    Acute Oral and Dermal Toxicity in the Rat. Unpublished report from May
    and Baker Ltd., England, No. RG 2037.

    Detaille, J.Y., Pasquet, J., Mazuret, A. and Mondot, S. (1973)
    Antifongique 26019 RJ., Phaxmacologie générale chez le chien
    anesthésié au pento barbital. Unpublished report des Laboratoires do
    Recherches de la Société des Usines Chimiques Rhône-Poulenc, subm.
    by Rhône-Poulenc.

    Ganter, P., Julou, L., Pascal, S., Pasquet, J., Populaire, P.,
    Delesque, M., LeBail, R. and Myan, J. (1973a) Produit No. 26019 R.P. -
    Toxicété à terms (5 mois) chez le rat par voie orale, on comparaison
    avec la dichlozoline (Selex, N.D. Sumitomo = 23319 R.P.). Unpublished
    report from Laboratoires do Recherches de la Société des Usines

    Chimiques Rhône-Poulenc, No. D.S.Ph. No. 171249 submitted by
    Rhône-Poulenc.

    Ganter, P. and Girard, P. (1973b) Produit 26019 R.P. - Examen
    histologique de la toxicité oculaire du 26019 R.P. chez le chien aprés
    un traitement do 3 mois. Unpublished report from Laboratoires de
    Recherches de la Société des Usines Chimiques Rhône-Poulenc, No.
    D.S.Ph. No. 17131, submitted by Rhône-Poulenc.

    Hastings, S.E., Huffmann, K.W and Gallo, M.A. (1974) Dominant Lethal
    Mutagenicity in Mice. Unpublished report from Boss and Clark, Division
    of Rhodia Inc., No. SEH 74:69.

    Hastings, S.E., Huffman, K.W. (1975) Chronic Toxicologic and
    Carcinogenic Study with R.P. 26019 in Mice. Unpublished report from
    Rhodia, Inc., Hess and Clark Division, No. SEH 75:113, submitted by
    Rhône-Poulenc. 

    Hastings, S.E., Winbigler, J.C. and Kiggins, E.M. (1976) Chronic
    Toxicologic and Carcinogenic Study with R.P. 26019 in Rats.
    Unpublished report from Rhodia, Inc., Hess and Clerk Division, No.
    76:57, submitted by Rhône-Poulenc.

    Laurent, M. and Buys, M. (1974) Etude du métabolisme chez le rat.
    Unpublished report from Société des Usines chimiques Rhône-Poulenc.

    Laurent, M., Brunie, B., Buys, M., Heusse, D. and Chabassol, Y. (1976)
    Etude du métabolism chez le rat á l'aide du produit marqué au 14C.
    Unpublished report from Rhône-Poulenc, Direction des Recherches et du 
    Développement, Centre de Recherches Nicolas Grillet, Vitry-sur-Seine,
    C.N.G. -An No. 18548, submitted by Rhône-Poulenc.

    Pasquet, J. and Mazuret, A. (1974) Product 26019 R.P. Toxicité aigue
    chez le rat par voie intrapéritonéale. Unpublished report from
    Laboratoires de Recherches de la Socété des Usines Chimiques
    Rhône-Poulenc, No. 174621 submitted by Rhône-Poulenc.

    Pasquet J. and Nazuret, A. (1975a) Glycophene (26019 R.P.) -
    Formulation LFA 2043 (wettable powder at 50% of glyoophene) Acute
    toxicity and Dermal and Ocular tolerance. Unpublished report from
    Rhône-Poulenc. No. 18182 submitted by Rhône-Poulenc.

    Pasquet J. and Mazuret, A. (1975b) Glycophene (26019 R.P.). Etude de
    l'action sensibilisante outanée chez le cobaye. Unpublished report
    from Centre Nicolas Grillet, France, No. 18081, submitted by
    Rhône-Poulenc.

    Pasquet, J., Shirasu, Y., Moriya, M. and Katto, K. (1976) Mutagenicity
    Testing on Glycophene in Microbial Systems. Unpublished report from
    Institute of Environmental Toxicology, Toxicology Division, submitted
    by Rhône-Poulenc.

    Rhône-Poulenc (1977a) Dosages de residue dans les fruits a noyau
    (prune, Pêche, cerise) at a pepins (poire, pomme). Unpublished report
    R.P./R.D./C.N.G. No. 19 157.

    Rhône-Poulenc (1977b) Dosage de residue dans les petits fruits
    (fraises - framboises - cassis). Unpublished report R.P/R.D./C.N.G.
    No. 19 193.

    Rhône-Poulenc (1977c) 26019 R.P. Residus dans les raisins, ls mout, le
    vin et l'alcohol. Unpublished report R.P./R.D./C.N.G. No. 19 177.

    Rhône-Poulenc (1977d) Rovral-26019 RP. Dosages de residue dans les
    legumes. Unpublished report R.P./R.D./C.N.G. No. 19 191.

    Rhône-Poulenc (1977e) Rovral-26019 RP. Dosages de residue dans les
    cereales (blé et riz). Unpublished report R.P/R.D./C.N.G. No. 19 170.

    Rhône-Poulenc (1975a) 26019 Methods de dosage des residue dans les
    vegetaux et derives. Unpublished report R.P./R.D/C.N.G. -An. No. 2736.

    Rhône-Poulenc (1975b) 26019, Discussion at évaluation des performances
    de la méthode de dosage des résidus. Unpublished report
    R.P./R.D./C.N.G. -An No. 2658.

    Rhône-Poulenc (1973) Produit No. 26019 R.P. Metabolisms dans les
    vegetaux et dans le sol. Unpublished report S.W. C.R.P. -D.S.Ph.D.S.
    An Nord No. 17 374.

    Rhône-Poulenc (1977f) Dégradation du 26019 R.P. absorbé par les
    racines ou déposé sur les feuilles des vegetaux (fraisiers et blé) a
    l'aide de 26019 R.P. marqué au 14C. Unpublished report
    R.P./R.D./C.N.G. et C.N.G. An No. 19201.

    Rhône-Poulenc (1976) Degradation of RP 26019 in the soil. Treatments
    with 2 and 5 ppm 14C labelled product. Unpublished report
    R.P./R.D./C.N.G. No. 18785.
    


    See Also:
       Toxicological Abbreviations
       Iprodione (Pesticide residues in food: 1980 evaluations)
       Iprodione (Pesticide residues in food: 1992 evaluations Part II Toxicology)
       Iprodione (Pesticide residues in food: 1995 evaluations Part II Toxicological & Environmental)