IPCS INCHEM Home


    IMAZALIL    JMPR 1977

    IDENTITY

    Imazalil is a proposed common name of the International Organization
    for Standardization (ISO) and a British Standard recommended common
    name.

    Chemical name

    1-(ß-allyloxy-2,4-dichlorophenthyl)imidazole
    1-[2-(2,4-dichlorophenyl)-2-(2-propenyloxy)-ethyl] -1H-imidazole

    Synonyms

    Florasan R (R), Fungaflor (R), R 23979 (imazalil), R 18531
    (imazalil nitrate), R 27180 (imazalil sulphate)

    Structural formula

    CHEMICAL STRUCTURE 8

    Other information on identity and properties

    a) Composition of technical imazalil

    The technical material as manufactured contains approximately 97.5-98%
    (w/w) imazalil. Detailed information on the impurities in technical
    imazalil was supplied to the Joint Meeting (Pattyn, 1976).

    b) Physical and chemical properties of imazalil

    Physical state: Pure imazalil is a hygroscopic, nearly colourless
    liquid. Technical imazalil is a slightly yellowish to brownish oily
    liquid.

    Molecular weight: 297.18

    Freezing point: -10°C - -15°C

    Boiling point: -130°C. at 10-3mm Hg

    Vapour pressure: 7 × 10-8mm Hg at 20°C; 4 × 10-5mm Hg at 70°C

    Refractive index: n 20 1.5643
                        D

    Specific gravity: d23 1.2429

    Solubility of imazalil and its salts (g product / 100 ml solvent at
    20°C)

                                                                                           
    solvent                   imazalil                imazalil          imazalil
                               (base)                  nitrate          sulphate
                                                                                       
    water                       0.14                    2.38               >50
    methanol                     >50                    >100               >50
    ethanol                      >50                    31.18              36.3
    2-propanol                   >50                    4.57               4.42
    exylene                      >50                    0.49               <0.005
    toluene                      >50                    0.87               <0.005
    n. heptane.                 5.41                   <0.001              <0.005
    benzene                      >50                                       <0.005
    4-methyl-2-pentanone         >50                    1.76               0.03
    hexane                      5.21                   <0.005              <0.005
    petroleum ether             6.16                   <0.005              <0.005

                                                                                       

    
    Stability:     Imazalil is thermally stable up to approximately 285°C
                   (Helsen, 1976). It is chemically stable at room
                   temperature in the absence of light. Decomposition
                   occurs at elevated temperatures (80°C) and under the
                   influence of light. The shelf life is more than 2
                   years. In aqueous solution the product is stable up to
                   40°C at pHs ranging from 2.4 to 7.0 for at least 8
                   weeks (Anon., 1975a). When refluxed for 72 hours the
                   compound remains stable in water and in 1 N sodium
                   hydroxide, but decomposes in 1 N hydrochloric acid.

    c) Physical and chemical properties of imazalil nitrate and sulphate

    Physical state:     Imazalil nitrate is a slightly beige to brownish
                        coloured amorphous, non-hygroscopic powder.

    Imazalil sulphate is a white to beige crystalline, hygroscopic powder.

    Melting range: Imazalil nitrate = 80 - 90°C
                   Imazalil sulphate 118 - 130°C

    Stability:     Imazalil nitrate and imazalil sulphate are thermally
                   stable up to approximately 150°C and 270°C,
                   respectively.

    d) Formulations

    Imazalil is used as 20% (w/v) emulsifiable concentrate, 50% (w/w)
    wettable powder, and as a seed dressing (also used in combination with
    guazatine).

    EVALUATION FOR ACCEPTABLE DAILY INTAKE

    BIOCHEMICAL ASPECTS

    Absorption, distribution and excretion

    Imazalil in rapidly absorbed, distributed, metabolized and excreted by
    rats. Two groups of five male and two groups of five female rats were
    given a single 20 mg/kg oral dose of 3H-labelled imazalil sulphate.
    Almost 90% of the administered radioactivity was excreted within 96
    hours, with approximately equal quantities detected in the urine and
    faeces. Tissue residues ranged from 5.4 to 6.1% of the administered
    radioactivity 48 hours after dosing and from 1.8 to 3.5% 96 hours
    after dosing. The highest levels of radioactivity were found in the
    liver, lung and kidneys. Analysis of the urine from dosed animals
    indicated that 4% of the tritium was volatile by lyophilization. Thus
    tritium exchange apparently occurred to a minor extent. (Heykants at
    al., 1975).

    Five male rats were given a single oral 20 mg/kg dose of 3H-labelled
    imazalil sulphate to study the absorption, distribution, metabolism
    and excretion of imazalil in the rat. Approximately 90% of the
    administered radioactivity was excreted within 96 hours with
    comparable quantities excreted in the urine and faeces. Similar
    results were found when a single oral dose of
    alpha-(2,4-diochlorophenyl)-1H-imidazole-1-ethanol (a metabolite of
    imazalil) was administered. In both these studies, up to approximately
    2% of the administered radioactivity was identified as tritiated water
    indicating exchange of the tritium label. The relative amount of
    tritiated water found in the urine increased with time (Meuldermans et
    al., 1977b).

    Biotransformation

    Studies involving a single 20 mg/kg oral dosing of rats with
    3H-labelled imazalil sulphate indicate that extensive metabolism of
    imazalil occurs in the rat. In one study,
    alpha-(2,4-dichlorophenyl)-1H-imidazole-1-ethanol and
    2,4-dichloromandolic acid were identified as the major metabolites in
    the urine. In this study 10%, of the radioactivity in the urine and 3%
    of the radioactivity in the faeces was identified as unchanged
    imazalil (Heykants et al., 1975).

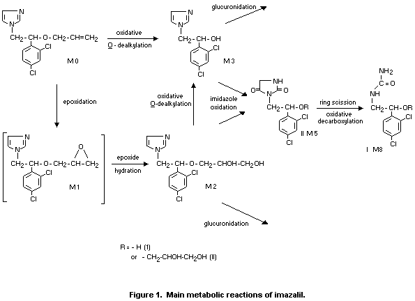
    In a more extensive metabolic study, the major metabolites identified
    are shown in Figure 1. Several metabolites detected are shown. The
    compound shown in brackets in Figure 1 were not identified in the
    studies. In contrast to the study described above, no unchanged
    imazalil was detected in the urine and only 0.1% of the administered
    radioactivity was identified as unchanged imazalil in the faeces.
    (Meuldermans al., 1977b).

    Tritium labelled imazalil sulphate was incubated with rat liver
    homogenates to study the in vitro metabolism of imazalil. The two
    metabolites identified were 
    -(2,4-dichlorophenyl-1-1H-imidazole-1-ethanol and
    1- [-(2,4-dichlorophenyl-2-(2,3-dihydroxypropyloxy)ethyl] -1H
    -imidazole (Meuldermans et al., 1977a).

    Experiments on the biotransformation of imazalil in plants are
    described in the section "Fate of residues".

    TOXICOLOGICAL STUDIES

    Special studies on mutagenicity

    Groups of male (6/group) and female (10/group) mice were administered
    a single dose of imazalil in arachis oil, by gavage, at levels of 10,
    40 or 160 mg/kg, to determine dominant lethal effects. Positive
    controls received 210 mg/kg cyclophosphamide. Negative controls
    received only the oil at the same volume 0.1 ml/10g body weight, as
    all other groups. Following dosing each male was mated with 4
    untreated females at weekly intervals, for eight consecutive weeks.
    The females were caged with single untreated males for a maximum of 5
    days. This was repeated for 5 consecutive weeks. No significant
    dose-related differences were observed in untreated females and the
    negative controls nor in the treated females when the number of dead
    and live implants were expressed as a percentage of corpora lutea vs.
    total implants (Marsboom, 1976a, 1976b).

    Special studies on reproduction

    Three separate reproduction studies were carried out using differing
    dosing periods. In all three the dietary doses based on active
    ingredient were 0, 5, 20 or 80 mg/kg.

    In the first study groups of 20 female rats received imazalil on a
    non-continuous basis for 3 generations. Prior to and after the period
    of organogenesis and throughout lactation the females of the first and
    second generations received only the basal laboratory diet. In each of
    these generations, the dams received the various levels from day 6
    through day 15 of pregnancy. In the third generation, the dams
    received the various levels from 3 weeks until 3 months of age and
    further from day 1 to 21 after mating. There was a trend toward a
    lower number of live births at the 80 mg/kg level in all generations.
    No other effects were noted at any other level. No abnormalities were
    noted in any foetuses in any generation which were not within the
    normal range for the rats used (Marsboom, 19750).

    In the second study, rats (20/Sex/group) received the various levels
    of imazalil as follows: males for 60 days prior to pairing with
    females and through copulation; females for 14 days prior to pairing
    all throughout pregnancy. Pregnancy rate was not effected at any level
    regardless of treatment of either sex. Test group data for all other
    measured or observed parameters were comparable to the control data
    (Marsboom, 1977a).

    In the third study 20 females/group received the various levels of
    imazalil from day 16 of pregnancy through a 3 week lactation period.
    No differences in percentage of pregnancies or average duration of
    gestation were noted between test and control groups. Average size was
    slightly decreased in the high level (9) compared with the control
    (11). The percentage of dead foetuses was higher in the 80 mg/kg group
    (27%) when compared to the control (4%), 5 mg/kg (0%) and 20 mg/kg,
    (1%) groups. No abnormalities were observed in offspring from control
    or test groups (Marsboom, 1975a).

    Special study on teratology

    Groups of female rats (20/Group) were fed imazalil nitrate from days 6
    through 15 of pregnancy, at levels of 0, 5, 20 and 80 mg/kg day.

    Foetuses were delivered by caesarean section on day 21. There were no
    differences between the control group and the test groups in regard to
    average number of implantations, number of live or dead foetuses,
    distribution of embryos or resorbed foetuses in either uterine horn,
    weights or number of pups, or body weight gains, food consumption,
    survival, and number of pregnancies among the dams. No abnormalities
    were noted among the pups in the control and various test groups with
    waved ribs in one litter of the 80 mg/kg group (Marsboom, 1970).

    FIGURE 5



        Acute Toxicity

                                                                                     

    Species                  Route     Sex       LD50           Reference
                                                                                     

    Rat                      Oral      M         376            Niemegeers, 1973

                             ip        M         288            Niemegeers, 1977
                                       F         155

                             Dermal    M         4200           Van Ravestyn &
                                       F         4800           Marsboom, 1975

                             Oral*     M         374            Niemegeers, 1976
                                       F         362
                                                                                     

    *(20% EC formulation)

    
    The observed signs of intoxication were tremors, ataxia, sedation,
    salivation, hypothermia, lacrimation, righting reflex loss, lung
    oedema and clonic closures.

    Imazalil was given, as a single dose by gavage, to 5 dogs (3 males and
    2 females) at 100 mg/kg and to 3 dogs (1 male and 2 females) at 640
    mg/kg. All dogs except one, receiving 160 mg/kg vomited within 15
    minutes, and those receiving 640 mg/kg within 10 minutes after dosing.
    No mortality or abnormal behavior, except diarrhoea in one 160 mg/kg
    dog, occurred during the 7 day observation period. An
    LD50 >640 mg/kg was postulated (Niemegeers, 1975),

    Short term studies

    Rat

    Groups of rats (40/sex/group) were fed imazalil nitrate at dietary
    levels of 0, 5, 20 and 80 mg/kg day for 14 weeks.

    Histological examination revealed no changes which could be attributed
    to imazalil in any organs or tissues except the livers of the 80 mg/kg
    group, which showed a fatty reaction localized in the midzonal to
    centrilobular areas and vacuolization coincident with fatty spots in
    Scarlet-red stained sections.

    Appearance, behaviour, survival, food consumption, or urinalysis were
    not affected at any level. Body weights of the 80 mg/kg group were
    slightly depressed.

    Hematological and blood chemistry values were within normal limits,
    except for an increase in bilirubin in both sexes in the 20 mg/kg
    group (P < 0.001) and both sexes in the 80 mg/kg (P < 0.01) group
    (Marsboom et al., 1971).

    Dog

    Groups of dogs (3/sex/group) received technical grade imazalil, in
    arachis oil, at levels of 0, 1.25, 5 or 20 mg/kg by capsule 7
    days/week for two years. The 20 mg/kg level produced frequent emesis
    and frequent and abundant salivation, after compound administration,
    in all dogs. Examination of tissues revealed no compound or dose
    related effects except for slight ground glass aspect of the
    cytoplasma in the centrilobular areas of the liver in the dogs
    receiving 5 and 20 mg/kg. Controls and the 1.25 mg/kg dosed dogs
    showed a normal and comparable weight gain during the study. At 5
    mg/kg, weight gain was slightly lower (P < 0.05). The 20 mg/kg groups
    gain was also lower (P < 0.01) than the controls at 24 months. All
    other parameters, measured or observed, were within normal limits and
    comparable to those of the control group (Marsboom et al., 1977b).

    Long term studies

    Rat

    Groups of rats were fed a 50% wettable powder of imazalil at dietary
    concentrations equivalent to 0, 5, 20 and 80 mg/kg/day (active
    ingredient) for 6, 12 and 24 months. At 6 months the livers of many 80
    mg/kg rats, particularly females, showed centrilobular swelling and
    numerous large vacuoles. No evident fatty degeneration was seen but a
    tendency to some fatty surcharge was noted. At 12 months these changes
    were still present. In addition, livers of the high level group
    females exhibited a tendency to more concentrated glycogen in the
    centrilobular areas. No other effects were noted which could be
    attributed to the compound administration. Except for liver and
    kidneys no consistent changes in weight or body weight ratios were
    noted in any group at any termination. At 6 months the livers of the
    80 mg/kg females were significantly increased in both absolute weight
    and ratio. At 12 and 24 months the livers of female were not
    significantly different.

    In males receiving 20 and 80 mg/kg, the 12 month liver weights and
    ratios were increased significantly but not at the 24 month
    termination. At 6 and 24 months kidney weights and ratios were
    significantly increased in the 80 mg/kg female group. This trend was

    present at 12 months but not of statistical significance. Males
    receiving this level exhibited, at 6 months, a trend toward increased
    kidney weights and a significant increase in their kidney/body weight
    ratio. At 12 months male kidney weights were significantly higher than
    their control values, but at 24 months this difference was not
    evident. Hematological and blood chemistry revealed no consistent
    changes, except that at 6 months bilirubin values for the female 20
    and 80 mg/kg groups were significantly elevated. This trend continued
    throughout the study in the 80 mg/kg females but was not statistically
    significant at the 12 and 24 month terminations. Males did not exhibit
    this trend at any level during the study. Urinalysis produced nothing
    remarkable. The dietary administration of imazalil did not produce a
    compound- or dose-related effect on body weight gains, food
    consumption, appearance, behaviour or survival rate (Marsboom at al.,
    1975b).

    COMMENTS

    Imazalil is moderately acutely toxic to mammals. Preliminary studies
    indicate that it is rapidly absorbed, metabolized and excreted by the
    rat. The major metabolites are
    alpha-(2,4-dichlorophenyl)-1H-imidazole-l-ethanol and
    2,4-dichloromandelic acid. Dominant lethal mutagenic effects were not
    evident in male and female mice. No teratological effects were noted
    in rats and no reproductive effects were observed in a three
    generation rat study. However, survival of pups at weaning was
    adversely affected at levels higher than 5 mg/kg. Long-term studies in
    the rat and a study in the dog were inadequate because of unresolved
    questions concerning rat kidney and dog liver pathology. Because of
    these concerns, only a temporary ADI for humans was established for
    this compound based on short-term studies.

    TOXICOLOGICAL EVALUATION

    Level causing no toxicological effect

    Rat: 5 (mg/kg bw)/day

    Dog: 1.25 (mg/kg bw)/day

    ESTIMATE OF A TEMPORARY ACCEPTABLE DAILY INTAKE FOR HUMANS

    0-0.01 mg/kg bw

    RESIDUES IN FOOD AND THEIR EVALUATION

    USE PATTERN

    Mode of action

    Imazalil is a systemic fungicide from the group of N-substituted
    imidazoles. Members of this chemical class affect the cellular
    permeability barrier of the yeasts. The fungitoxic action of imazalil
    on Penicillium may also involve the inhibition of the cell membrane
    functions.

    Uptake and membrane effects noted in several studies suggest that
    imazalil inhibits ergosterol biosynthesis in fungal cells (Van
    Bossche, 1977

    Under natural conditions, the probability of the development of
    resistant strains of fungi is much lower with the polygenic system of
    imazalil than with the oligogenic system of the benzimidazole type
    fungicides. Most probably, occurrence of resistant strains to imazalil
    under field conditions is an extremely rare phenomenon which must
    involve 21 genes on 8 loci, linked with 6 groups (Laville et al.,
    1977; van Tuyl, 1977).

    Pre-harvest treatments

    Imazalil is active against a large number of fungi imperfecti, e.g.
    Alternaria spp., Aspergillus, Cercospora, Colletotrichum,
    Fusarium, Helminthosporium, Penicillium, Thielaviopsis. Some
    fungi of the class "Ascomycetae" are also well controlled, e.g.
    Erysiphe spp., Podosphaera, Sphaerotheca, Venturia.

    Owing to its high specific activity (4 - 5 g a.i./100 kg seed) against
    Helminthosporium spp., Fusarium spp., and Septoria spp.,
    imazalil has largely contributed to replacing mercury-containing
    cereal seed treatment products (Bartlett and Ballard, 1975). Products
    containing imazalil are registered and sold in Sweden, Denmark, The
    Netherlands, Italy, France and United Kingdom.

    As a foliar spray imazalil is used on ornamentals and cucurbitacae.

    Further development work is being carried out and registration for
    foliar application against leaf spot diseases in bananas will be
    applied for. Sigatoka "Mycosphaerella musicola" and Black Sigatoka
    "Mycosphaerella fijiensis var. diformis", have developed
    resistance against benzimidazoles in important banana-growing areas.
    Imazalil has proved to control both Sigatoka forms and black leaf
    streak (Stover, 1976; Melin and al., 1976) under practical conditions
    sprayed by aircraft in a spray oil or oil-in-water emulsion.
    Registration and tolerances have been applied for in banana-producing
    and banana-importing countries.

    Post-harvest treatments

    a) Citrus

    Imazalil has been investigated world-wide as a post-harvest fungicide
    because of its effectiveness against benzimidazole-resistant strains
    of plant pathogenic fungi. Laville at al. (1977a) contributed to the
    development of imazalil as a post-harvest fungicide and stressed the
    need for a replacement for benzimidazoles.

    Imazalil is not only curative, but also preventive against infections
    occurring after treatment during packing, transport and storage until
    the fruit reaches the consumer.

    At application rates of less than 2 g a.i./tonne of fruit and residue
    levels below 2 mg/kg, imazalil treated fruit can be stored for more
    than 3 months. Application techniques and exact dosage are facilitated
    by the high solubility in water and waxes.

    b) Banana

    Frossard at al. (1976) and Stover (1976) have reported excellent
    results. Imazalil water-soluble powder (imazalil sulphate) was used in
    these experiments in water at 500 mg a.i./ka dip or spray. As
    resistance to benzimidazoles had already been detected, Frossard et
    al. (1976) concluded that there was a need for replacement.

    Main uses

    The main application fields and registered uses of imazalil are
    summarized in Tables 1a and 1b.

    RESIDUES RESULTING FROM SUPERVISED TRIALS

    The residues of imazalil resulting from supervised trials after
    pre-harvest application on cucumbers or gherkins under glass and on
    green, unripe bananas are shown in Table 2. Residues in/on cucumbers
    are below 0.5 mg/kg, oven when imazalil is used between croppings.

    When imazalil in applied as a post-harvest fungicide, residues on
    bananas do not exceed 2 mg/kg whole fruit and are below 0.2 mg/kg in
    the pulp. Residue data for citrus fruits have shown that imazalil
    residues are below 5 mg/kg on whole citrus fruits or on the peel and
    below 0.1 mg/kg in the pulp, when imazalil in used in accordance with
    good post-harvest practice in packing houses.

    The residue levels on citrus fruit largely depend on the amount of
    imazalil applied. There was no significant difference between residues
    when Valencia oranges were stored up to 32 days at 4°C or 22 - 25°C,
    or as a result of different formulations or types of application
    (Greenberg and Resnick, 1977). Residue data obtained after
    post-harvest application are summarized in Table 3.

        TABLE 1a. Main application fields of imazalil

                                                                                       

                                            Formulation and mode of  Concentration
                                            application              a.i.
                                                                                       

    Ornamentals
    Powdery mildew                          spray 0:15%              30 g/hl
                                            E.C. 20%                 (300 ppm)

    Cucurbits
    Powdery mildew                          spray 0 025%             5g/hl
                                            0.05%                    10 g/hl
                                            E.C. 20%                 (50-100 ppm)

    Cereal seed treatment
    Leaf stripe (Helminthosporium 8pp)      liquid 2.5% a.i.         5 g/100 kg
                                                                     seed

    Septori spp.
    Fusarium spp.                           powder 2.5% a.i.         (50 ppm)

    Post-harvest treatment of citrus,
    bananas,                                dip 75% W.P.             66g/hl
    pome fruit and pears against                                     (500 ppm)
    fruit rots

    Penicillium spp.                        spray 75% W.P.           66g/hl
    Alternaria spp.                                                  (500 ppm)
    Diplodia spp.                           wax 95% techn.           2000 ppm
    Thielaviopsia spp.                                               in wax
    Colletotrichum musarum
    Fusarium moniliforme
    Gloeosporium musarum

    Foliar treatment bananas
    Sigatoka disease                        spray 50% ULV            150-200 g.
    Cercospora muses                        in oil                   a.i. per ha.
                                                                                       
    

        TABLE 1b. Registrations (existing and applied for) for commercial application of imazalil

                                                                                                            

    Country        Crop            Application         Dosage rate       Pre-harvest        Limitations
                                   type                kg a.i./ha        interval, days
                                                                                                            

    Italy          ornamentals     foliar spray        0.2-0.4           -                  -
    U.K.           ornamentals     foliar spray        0.2-0.4           -                  -
    France         cucurbits       foliar spray        0.2-0.4           2                  outdoors only
    Denmark        barley          seed dressing       0.005-0.01        -                  -
    Holland        cereals         seed dressing       0.005-0.01        -                  -
    Sweden         cereals         seed dressing       0.005-0.01        -                  -
    U.K.           cereals         seed dressing       0.005-0.01        -                  -
                                                                                                            


    TABLE 2. Residues of imazalil (base; mg/kg) resulting from pre-harvest treatments

                                                                                                  

    Crop                Application
    &      a)         no.     rate
    Country                     kg     Formulation    Residues at interval (days) after last
                                a.i./                                application
                                ha                    0              1              3/4
                                                                                                  

    Cucumbers under
    glass NL b)

    whole fruit         5       0.3    EC 20%         0.13-0.18      0.11-0.12      0.04-0.09
    flesh                                             0.05-0.08      0.11-0.12      0.04-0.08
    peel                                              0.60-0.85      0.05-0.15      0.04-0.13

    whole fruit         5       0.4    EC 20%         0.33-0.42      0.14-0.21      0.05-0.12
    flesh                                             0.16-0.35      0.08-0.22      0.05-0.12
    peel                                              0.98-1.43      0.14-0.53      0.07-0.12

    whole fruit         5       0.6    EC 20%         0.33-0.47      0.18-0.30      0.08-0.18
    flesh                                             0.23-0.34      0.18-0.30      0.08-0.18
    peel                                              0.98-1.53      0.15-0.27      0.11-0.19

    whole fruit   Bc)   3       0.2    EC 20%         <0.01-0.07
    flesh               g/l                           <0.01-0.04
    peel                                              <0.01-0.24

    Gherkins under
    glass        NLd)   7       0.4    EC 20%                                       <0.01-0.01
                        6       0.6    EC 20%                                       0.03-0.05

    Bananas (green)
               BH e)    9       0.25-  EC 50%         (1-2 days + 10 days transport)
                                0.5

    whole fruit                                                                     <0.02-0.02
    pulp                                                                            <0.02
                                                                                                  

    TABLE 2 (Continued)
    a) trials in: B = Belgium, BH = British Honduras, NL = Netherlands
    b) Wynants & Woestenborghs, 1976
    c) Nangniot, 1977
    d) ten Broeke & Dornseiffen, 1977
    e) Anonymous, 1976c,g



    TABLE 3. Residues of imazalil (base; mg/kg) resulting from post-harvest treatments

                                                                                                                                      

    Crop               Rate and type of application       Residues at interval (weeks) after (last)         References
    &                                                     application
    Country a)                                               0-1        2         3-4       6

                                                                                                                                      

    Bananas     BH    0.5 g/l   spray-water              (13
    (ripened)                                            weeks
                                                         after
                                                         treatment)
                                                                                         0.64-1.1            Anonymous, 1976c
    whole fruit                                                                          0.02-0.07
          pulp                                                                           0.48-1.1            Anonymous, 1976g
    whole fruit       pre-harvest treatment + 0.5 g/l                                    0.03-0.15
          pulp                  spray water

    Citrus
    fruits
    not
    specified   ZA    1 g/kg or 1 wax-prep.?
    whole fruit                                          0.5-0.6     0.5-0.6   0.3-0.5   0.2-0.4             Beijers, 1976
           pulp                                             <0.1        <0.1      <0.1      <0.1
           peel                                          2.2-2.6     1.9-2.1   1.0-1.5

    not
    specified   ZA    0.5 g/l 1 aqueous prep.
    whole fruit                                          <0.1-0.1    <0.1-0.1  <0.1-0.1  <0.1-0.1            Beijers, 1976
          pulp                                              <0.1        <0.1      <0.1      <0.1
          peel                                           0.2-0.5     0.3-0.6   0.1-0.3   0.1-0.3

    Grapefruit
    whole
    fruit       IL    0.5-4 g/l aqueous dip              0.7-2.2                                             Greenberg & Resnick,
                      0.5-4 g/kg wax spray               1.0-4.0                                             1977
                      (25-100 g/l ULV (?)                1.5-8.0)

    TABLE 3. (Continued)

                                                                                                                                      

    Crop               Rate and type of application       Residues at interval (weeks) after (last)         References
    &                                                     application
    Country a)                                               0-1        2         3-4       6

                                                                                                                                      
    Grapefruit  USA
    whole fruit       0.5-1g/kg aqueous dip              0.7-1.0                                             Kraght, 1977b
                      0.5-1g/kg aqueous drench           0.8-1.0
                      1-2g/kg aqueous spray              0.4-0.7
                      2-4g kg wax spray                  0.5-2.2
                            foamer 0.2%?                     0.2

    Oranges
    whole fruit IL    0.1-1 g/l aqueous dip              0.5-1.4                                             Greenberg & Resnick,
                      2.5-8 g/kg wax dip                 2.0-11                                                  1977
    (Valencia)        2-3 g/kg wax dip                   0-5-2.0     1.2-2.5   0.1-3.2
    (Shamuti)         1-2 g/kg wax dip                   0.6-2.2

    whole fruit I     0.5g/l aqueous dip or                                    0.8-1.6   0.01                Maier-Bode, 1976
          pulp          2g/l wax spray                                         1.9-4.2
          peel

    Oranges

    (Navel)

    whole
    fruit       MA    1g/l aqueous dip or                                                1.2-1.7             Corpel & Gauthier,
          pulp        1-4g/l wax spray                                                   0.01-0.03           1977
          peel                                                                           1.3-4.3

    peel              1g/kg dip                          See Table                                           Anon.,1975b
                                                         4, p. 000

    whole
    fruit       ZA    1.5-3g/kg wax spray                1.4-1.6     0.6-1.2   1.0-2.0   0.6-1.2             Beijers, 1975
                      1.5-3g/kg aqueous dip              0.1-0.8     0.2-0.8

    TABLE 3. (Continued)

                                                                                                                                      

    Crop               Rate and type of application       Residues at interval (weeks) after (last)         References
    &                                                     application
    Country a)                                               0-1        2         3-4       6

                                                                                                                                      
    whole
    fruit       ZA    0.25-1g/kg wax spray                                               0.04-0.32           Bliss & Orme,
          pulp                                                       (time               0.01-0.02           1976
                                                                     after
                                                                     treatment
          peel                                                       unknown)            0.16-0.72

    (Navel
    whole
    fruit       USA   0.5g/kg aqueous dip,
                      drench or spray                    0.3-5.2                                             Kraght, 1977b
                      1g/kg aqueous dip,
                      drench or spray                    0.6-5.7
                      2g/kg wax spray                    0.04-1.9
                      4/kg                               0.4-3.7

    Tangerines  USA   0.5-1g/kg aqueous dip,
                      drench or spray                    0.2-0.3                                             Kraght, 1977b
                      2-4g/kg wax spray                  0.3-2.0
                                                                                                                                      

    a) trials in
    BH = British Honduras
    I = Italy
    IL = Israel
    MA = Morocco
    USA = United States of America
    ZA = South Africa

    

    FATE OF RESIDUES

    In animals

    Approximately 44% of a single dose of 20 mg 3H-imazalil per kg to
    rats was excreted with the urine within 4 days after treatment and
    approximately 46% was excreted with the faeces. Only 3% of the
    administered dose was excreted unchanged with the faeces indicating an
    almost complete absorption from the gastro-intestinal tract. In
    addition to unchanged imazalil (approximately 5% of the dose) the
    urine contained at least 4 metabolites, probably formed by
    dealkylation. Two of them were identified as
    alpha-(2,4-dichlorophenyl)-1H-imidazole-1-ethanol and
    2,4-dichloromandelic acid; 48 hours after administration,
    concentrations higher than 1 mg/kg were found only in the liver, the
    lung and the kidneys. Nearly the same concentrations were found in
    male and female rats. Accumulation of imazalil in fatty tissues did
    not occur (Heykants at al., 1975). This study is also referred to
    previously ("Biochemical aspects").

    In plants

    Fourteen weeks after treatment of oranges with a solution containing
    1000 mg/kg (3H-2-ethyl labelled)-imazalil, approximately 50% of the
    radioactivity remaining was found in the peel in an organo-soluble
    form; 30% was bound to the insoluble residue of the peel. In the flesh
    of the fruit 18% of the remaining radioactivity was present as the
    metabolite alpha-(2,4-dichlorophenyl)-1H-imidazole-l-ethanol (T 824).

    CHEMICAL STRUCTURE 9

    The polar, hydrophilic fraction containing nearly 50% of the
    radioactivity present in the methanol extract of the peel did not
    contain tritiated water or other volatile radioactivity. Since
    concentrations of radioactivity were identical before and after
    lyophilisation of this fraction, it seems that no label loss is to be
    expected during metabolism (Anon., 1976a).

    A similar test was conducted under conditions closer to commercial
    practice. In addition, a more rigorous solvent extraction procedure
    was used in order to recover more radioactive material.

    As metabolites were expected to be present in very small amounts, the
    fruit was treated with 4 times the normal concentration, 2000 mg
    a.i./1 aqueous dip for 1 minute. The oranges were stored for 12 weeks
    and the distribution of radioactivity in the fruit and the presence of
    metabolites were studied during and after this period.

    Most of the radioactivity (89%) remained as unchanged imazalil, in
    contrast to the above results where considerable degradation was
    reported. This was due to the extreme storage conditions used in the
    above trial (high temperature and light), which are completely
    artificial and not related to commercial practice. No tritium exchange
    was detected, thus the tritium labelling was suitable for the purpose
    of the study. 99.5% or more of the radioactivity in the
    3H-imazalil-treated oranges was solvent-extractable: about 0.5% or
    less remained in the insoluble residue. After 12 weeks of storage
    approximately 10-12% of the original radioactivity appeared in the
    form of an unknown water-soluble compound (Kraght, 1977a).

    The distribution of imazalil in/on oranges was determined at intervals
    after treatment at 1000 mg/kg (Anon., 1975b). Results are shown in
    Table 4.

    Gherkins sprayed seven times with imazalil under practical conditions
    in a glasshouse were sampled three days after the last application,
    then stored at -18°C for 3-7 weeks. Residues in/on the gherkins were
    between 0.03 -0.05 mg imazalil/kg and at or below 0.01 mg
    T 824-metabolite/kg (ten Broeke and Dornseiffen, 1977).

    Barley seeds treated with 3H-imazalil were sown in perlite. After 3
    weeks the plants were harvested and the roots and leaves extracted
    separately. Large amounts of radioactivity were present in an
    unextractable form in both the roots and the leaves. In a methanol
    extract of the roots imazalil accounted for 33% of the total
    radioactivity and in a toluene extract for 81%. A certain amount of
    the methanol-insoluble residue may consist of physically bound
    imazalil. Only about 7% or less of the label was the metabolite T 824
    (Anon., 1976b).


        TABLE 4. Distribution of imazalil in oranges after treatment at 1000 mg/kg

                                                                                                         

                       Imazalil, mg/kg, at indicated interval after dipping (Anon., 1975b)
                                                                                                         

                        0 weeks             4 weeks             8 weeks             12 weeks
                        dipped              dipped              dipped              dipped
                        ´ min.    1 min.    ´ min.    1 min.    ´ min.    1 min     ´ min.    1 min.

    peel                0.9       2.4       0.51      0.85      2.3       1.7       0.8       1.4
                        4.0       2.5       0.55      0.49      1.2       1.5       0.7       1.5

    pulp                n.d.      n.d.      0.053     0.047     0.047     0.12      0.10      0.36
                        0.13      n.d.      0.027     0.062     0.14      0.11      0.09      0.06
                                                                                                         

    n.d. = not determined.

    Comments:   -degradation of imazalil m orangss is slow;
                -half-life is estimated to be 12 to 20 weeks
                -only small amounts of imazalil are present in the fruit flesh and part
                 of this may result from contamination during peeling.

    

    Barley seeds were treated with a dose of 3H-imazalil corresponding
    to 10 g a.i./100 kg seed. After germination on water agar for 9 days,
    42% of the radioactivity was found in the agar and 37% in the seed
    coats. Only 10% of the total radioactivity was present in the roots
    and 2% in the leaves of the seedlings.

    Barley seeds treated with 3H-imazalil at 10 g a.i./100 kg were also
    sown in soil. Plants were harvested after 1 and 3 weeks. Soil and
    plant parts were analyzed for radioactivity. Most of the radioactivity
    was present in the soil directly around the seed coats, 76% and 29% in
    the seed coats. After 3 weeks the green parts of the plants contained
    only 6% of the radioactivity which had originally adhered to the
    seeds.

    In soil

    The half-life of imazalil (1 mg/kg in a sandy loam and a clay loam)
    was 4-5 months (Anon., 1976e), After a 36 weeks incubation period 6-7%
    of the initially applied 3H-imazalil was present as the metabolite
    T 824: alpha-(2,4-dichlorophenyl)-1H-imidazole-1-ethanol. About 13%
    was found to consist of more polar compounds than imazalil and T 824,
    but could not be identified. 9-13% could not be extracted and was
    probably due to unchanged imazalil bound to soil constituents. Little
    or no loss of label occurred. The results are given in Table 5.

        TABLE 5. Extractable and unextractable radioactivity from soils after treatment
    with 1 mg/kg 3H-imazalil (mean result from 2 flasks) Anon.,  1976e
                                                                                            

                                            Radioactivity as% of that initially
                                            applied to soil
                                                 Sandy loam               Clay loam

    Weeks incubation                        0       16       36       0      16      36
                                                                                            

    Methanol extract
    (fraction 1)                            63      67.5     62       66.5   51      44

    Methanol-NaOH extract
    (fraction 2)                            18      14.5     18.5     17     25.5    30
    Unextracted radioactivity               12.5    9        9        8      13      12

    Total                                   93.5    89.5     89.5     91.5   89.5    86
                                                                                            

    
    Imazalil in a 20% E.C. formulation was sprayed 1, 4 and 7 times with
    14 days interval, directly on the soil of field plots sown with spring
    barley. High dosage rates and water volumes were used in order to

    obtain detectable residue levels in the soil layers (0.1, 0.4 and 2.8
    kg a.i./ha in 4000 1 water/ha). Results at the two lower
    concentrations are shown in Table 6.

        TABLE 6. Concentration of imazalil in field soil treated with varying
    doses of imazalil
    (Anon., 1976f; Anon., 1976h)
                                                                                  

    Dosage rate              Depth          imazalil (mg/kg) after months
                             (cm)           0            1              3
                                                                                  

    untreated                0-10           <0.01        <0.01          <0.01
                             10-20          <0.01         <0.01          <0.01
    1 X 0.1 kg a.i./ha       0-10           0.021        0.019          0.016
                             10-20          <0.01        <0.01          <0.01
    4 X 6.4 kg a.i./ha       0-10           0.066        0.074          0.048
                             10-20          0.013        0.016          <0.01
    7 X 0.4 kg a.i./ha       0-10           0.085        0.14           0.087
                             10-20          <0.01         0.018          0.017
                                                                                  

    
    Comments; - Residue levels were very low in the upper layer of 0-10
              cm, 0.085-0.14 mg/kg after 7 applications, although
              practically 90% of the 7 × 4000 1/ha spraywash came into
              direct contact with the soil.

              - There was no leaching of practical significance within 6
              months into the soil layer 10-20 cm deep; residues of 0.018
              mg/kg were close to the detection limit.

              - No accumulation occurred even after 7 sprays at the
              highest dosage.

              - The half-life for the initial concentration of 0.021 mg/kg
              was 6.5 ± 2.5 months.

    METHODS OF RESIDUE ANALYSIS

    Gas-chromatographic procedures for the determination of imazalil in
    and on citrus fruit are described by various authors (Wynants and
    Woestenborghs, 1975b) Greenberg and Resnick, 1977, Wynants, 1977a;
    Kraght, 1977b)

    The methods comprise extraction of imazalil as the free base in
    alkaline solution with an organic solvent (e.g. benzene, ethyl acetate
    or chloroform). Clean-up can be achieved by repeated extraction in
    acidified aqueous and alkaline organic solution. For the final

    gas-chromatographic determination 3% OV-17 on Supelcoport in a glass
    column (300°C silanized) and an electron capture detector can be used.
    Flame-photometric, alkali-flame and electrolytic conductivity
    detectors, although less sensitive then ECD, are much more selective
    and thus avoid many interferences which may be encountered with the
    ECD. The lower limit of determination depends, inter alia, on the
    commodity to be analysed and is generally between 0.01 and 0.1 mg/kg.
    Recoveries were 80-95%.

    Similar methods for the determination of imazalil residues in or on
    cucurbitaceae (Wynants and Woestenborghs, 1975a), bananas (Anonymous,
    1976d), wheat and wheat-straw (ten Broeke and Dornseiffen, 1976) are
    also available.

    Recently a new method has been developed for the determination of
    imazalil and its metabolite
    alpha-(2,4-dichlorophenyl)-1H-imidazole-1-othanol (T824), based on the
    above principles but using heptane/isoamyl alcohol (95/5, v/v) for the
    extraction. When T 824 is converted by
    N,O-bis(trimethylsilyl)acetamide to a silyl ether it can be
    quantatively determined by GC with 3% OV-225 on Gas Chrom Q using an
    ECD (Wynants, 1977b; ten Broeke and Dornseiffen, 1977).

    NATIONAL TOLERANCES

    No national tolerances were known to the Meeting.

    APPRAISAL

    Imazalil is a systemic fungicide which is effective against fungi
    imperfecti and some fungi of the class "Ascomycetae". It is also
    effective against benzimidazole-resistant strains of plant pathogenic
    fungi. It is formulated as a seed dressing for cereals, an
    emulsifiable concentrate and a wettable powder. The main pre-harvest
    applications for the latter formulations are on bananas and cucurbits:
    other uses are being developed. Imazalil is also highly effective
    against fungal infections on bananas and citrus fruit after harvest.
    It is used in several European countries.

    In plants alpha-(2,4-dichlorophenyl)-1H-imidazole-1-ethanol and other
    unidentified polar, hydrophilic compounds are the main degradation
    products. The half-lives of imazalil on oranges and in soil are 12-20
    weeks and 4-5 months respectively. No accumulation in soil was
    observed.

    Following pre-harvest application in accordance with good agricultural
    practice, the maximum residue levels of imazalil in or on cucumbers
    and gherkins under glass were below 0.5 mg/kg. Post-harvest
    application at recomended dosages resulted in residues of imazalil
    below 2 mg/kg on bananas and below 0.2 mg/kg in the pulp. Residues
    were below 5 mg/kg on citrus fruit and below 0.1 mg/kg in the peeled

    fruit and in wheat straw; residues in/on wheat grain were below 0.01
    mg/kg.

    Residue levels on citrus fruit largely depend on the dosage applied;
    no significant differences in the residue levels on fruits which were
    stored for 32 days at 40°C and 22-25°C were noticed.

    Gas-chromatographic methods for the determination of imazalil in
    various crops, suitable for regulatory purposes, have been elaborated.

    RECOMMENDATIONS

    The following temporary maximum residue limits are recommended on the
    basis of data resulting from supervised trials involving pre- and
    post-harvest uses. They refer to imazalil only.

    Commodity           Temporary limit,         Pre- or post-harvest
                        mg/kg                    interval (days) on
                                                 which recommendations
                                                 is based (post-harvest
                                                 in brackets)
                                                                         
    Citrus fruit
    (whole)             5                        (0-42)

    Bananas
    (whole)             2                        (0-100)

    Cucumbers,
    gherkins            0.5                      0-1

    Bananas
    (without peel)      0.2                      (0-100)

    Citrus fruit
    (without peel)      0.1                      (0-42)

    Wheat straw         0.1

    Wheat (grain)       0.01*

                    
    * at or about the limit of determination.

    FURTHER WORK OR INFORMATION

    REQUIRED (by July 1981)

    1.   Comparative acute toxicity studies of the different salts.
    2.   Farther long-term studies.

    DESIRABLE

    1.   Pharmacokinetic studies of the different salts.
    2.   Metabolic studies with imazalil labelled with 14C.
    3.   Further information on the nature and level of metabolites and
         degradation products in plants.


    REFERENCES

    Anonymous (1975a) "Physico-chemistry of R 18531 -imazalil nitrate,
    R 23979 - imazalil, and R 27180 -imazalil sulphate". Janssen
    Pharmaceutica; Pre-formulation report no. 496; 750107.

    Anonymous (1975b) "Degradation of imazalil in oranges". Biochemical
    Department of the Organisch Chemisch Instituut TNO - Utrecht - The
    Netherlands; Progress report of project 1.1; 751106.

    Anonymous (1976a) "Metabolism of imazalil applied to oranges".
    Biochemical Department of the Institute for Organic Chemistry TNO
    - Utrecht - The Netherlands; Report of project 1.II; 760224.

    Anonymous (1976b) "Metabolism of imazalil in barley plants".
    Biochemical Department of the Institute for Organic Chemistry
    - Utrecht - The Netherlands; Addition to the first report of project
    2; 760521.

    Anonymous (1976c) "Testicide residue report - imazalil on bananas".
    Jansses Pharmaceutica., 760816.

    Anonymous (1976d) "Procedure for imazalil in whole bananas". Janssen
    Pharmaceutica; 761009.

    Anonymous (1976e) "A study of the fate of imazalil in soil".
    Biochemical Department of the Institute for Organic Chemistry TNO
    - Utrecht - The Netherlands; Report of Project 4; 761021.

    Anonymous (1976f) "Degradation of imazalil in soil under field
    conditions". Biochemical Department of the Institute for Organic
    Chemistry TNO - Utrecht - The Netherlands; Report of project 5, part
    1; 761105. Attached letter of TNO - 770524.

    Anonymous (1976g) "Residue summary sheets for imazalil in bananas".
    Morse Laboratories, Ltd. - Sacramento - California - U.S.A.; 761129.

    Anonymous (1976h) "Degradation of imazalil in soil under field
    conditions". Biochemical Department of the Institute for Organic
    Chemistry TNO - Utrecht - The Netherlands; Report of project 5, part
    2; 761209.

    Bartlett, D.H., Ballard, N.E. (1975) "The effectiveness of guazatine
    and imazalil as seed treatment fungicides in barley". Proc. 8th Brit.
    Insect. Fung. Conf. - 1975.

    Beijers, H.P. (1975) "Imazalil residues in citrus samples". SABS
    - South Africa; Report no. 0311/8882/M410; 751128.

    Beijers, H.P. (1976) "Imazalil residues in citrus samples". SABS Rep.
    No. 0311/8960/N400; Pretoria, 10 Nov. 1976.

    Bliss, G.W., Orme, J.P.R. (1976) "Certificate of analysis - Analysis
    of residues of imazalil in oranges". Huntingdon Research Centre;
    Huntingdon - U.K. report VPT/2; 761223.

    ten Broeke, R., Dornseiffen, J.W. (1976) "Imazalil residues in wheat
    and wheat-straw". Keuringsdienst van Waren - Amsterdam; Rapport
    KvW 197/Vondelingenplaat 1976-8; 761020.

    ten Broeke, R., Dornseiffen, J.W. (1977) Residues of imazalil and its
    metabolite T 824 in gherkins under glass. KvW 203/4.2. (2.1.01) 1976;
    July 1977.

    Corpel J., Gauthier, M. (1977) "Campagne orange du Marco".
    Commissariat a l'energie atomique; Centre d'études nucléaires de
    Cadarache; 770407.

    Frossard, P., Laville, E., Plaud, G. (1976) "Etude des traitements
    fongicides appliques aux bananes aprés récolte; III: Action de
    l'imazalil". Fruits 31, 361-364 (1976).

    Greenberg, R., Resnick, C., (1977) "A gas-liquid chromatographic
    method for determining imazalil residues in citrus fruit"; Pestic.
    Sci. 8, 59-64 (1977).

    Helsen, W. (1976) "Thermal stability of imazalil and salts". Janssen
    Pharmaceutica; memo dated 760813.

    Heykants, J., Meuldermans, W., Hurkmans, R. (1975) "On the excretion,
    metabolism and tissue distribution of imazalil-3H in the male and
    female Wistar rat". Janssen Pharmaceutica; Department of drug
    metabolism; 7512.

    Kraght, A.J. (1977a) "Metabolism of imazalil applied to
    oranges - Metabolite study by tracer technique". Pennwalt
    Corporation - Decco Division - U.S.A. 770518.

    Kraght, A.J. (1977b) "Residue data of imazalil on citrus". Pennwalt
    Corporation - Decco Division - U.S.A.; 770518.

    Laville, E., Herding, P.R., Dagan, Y., Rahat, M., Kraght, A.J. (1977)
    "Studies on imazalil as potential treatment for control of citrus
    fruit decay". Proc. Int. Soc. Citriculture, 1977.

    Maier-Bode, H. (1976) "Imazalil residues in oranges after post-harvest
    treatment". Rickenbach - Federal Republic of Germany; 760622.

    Marsboom, R. (1970) Potential of R18531 for Embryotoxicity and 
    Teratogenic Effects in Rats Receiving R18531 Orally. Unpublished
    report from Janssen Pharmaceutical submitted to the World Health
    Organization by Pennwalt Corporation.

    Marsboom, R., Vandesteen, R., Herin, V. and Pardoel, L. (1971) Safety
    Evaluation of R18531 During 14 Weeks of Oral Treatment to Rats.
    Unpublished report from Janssen Pharmaceutical submitted to the World
    Health Organization by Pennwalt Corporation.

    Marsboom, R. (1975a) Oral Embryotoxicity and Teratogenicity Study in
    Wistar Rate During the Peri- and Postnatal Study (Segment III). A
    report from Jansses Pharmaceutical submitted to the World Health
    Organization by Pennwalt Corporation. (unpublished report)

    Marsboom, R., Herin, V., Vandesteene, R. and Pardoell L. (1975b) Oral
    Toxicity Study in Wistar Rats (repeated dosage for 6, 12 or 24
    months). Unpublished report from Janssen Pharmaceutical submitted to
    the World Health Organization by Pennwalt Corporation.

    Marshboom, R. (1975c) Oral Three Generation Study in Wistar Rats.
    Unpublished report from Janssen Pharmaceutics, submitted to the WorId
    Health Organization by Pennwalt Corporation.

    Marshboom, R. (1976a) Dominant Lethal Test in Male Mice. Unpublished
    report from Janssen Pharmaceutica, submitted to the World Health
    Organization by Pennwalt Corporation.

    Marsboom, R. (1976b) Dominant Lethal Test in Female Mice (single oral
    dose). Unpublished report from Janssen Pharmaceutica, submitted to the
    World Health Organization by Pennwalt Corporation.

    Marsboom, R. (1977a) Oral Male and Female Fertility Study in Wistar
    Rats (Segment I). Unpublished report from Janssen Pharmaceutical
    submitted to the World Health Organization by Pennwalt Corporation.

    Marsboom, R., Herin, V., Van Desteene, R. and Van Belle. (1977b) Oral
    Toxicity Study in Beagle Dogs (repeated dosage for 24 months).
    Unpublished report from Janssen Pharmaceutical submitted to the World
    Health Organization by Pennwalt Corporation.

    Melin, Ph., Plaud, G., Tezenas du Moricel, H., Laville, E. (1976)
    "Action do l'imazalil sur le niveau d'infestation et l'état
    d'évolution de la cercosporiose". Fruits 31 (10)t 599-602 (1976).

    Meuldermans, W., Swysen, E., Lauwers, W., Heykrantz, Jr. (1977a) An
    in-vitro Study of Imazalil - 3H in the Rat. Unpublished report from
    Janssen Pharmaceutica, submitted to the World Health Organization by
    Pennwalt Corporation.

    Meuldermans, W., Hurkmans, J., Lanwers, W., and Heykants, J. (1977b)
    The Excretion and Biotransformation of Imazalil and One of Its
    Metabolites (R14821) in the Wistar Rat. Unpublished report from
    Janssen Pharmaceutical Department of Drug Metabolism and Analytical 
    Department, submitted to the World Health Organization by Pennwalt
    Corporation.

    Nangniot, P. (1977) "Teneurs résiduaires an imazalil dans des
    concombers". Centre de Recherche de
    Phytophaxmacie - Gembloux - Belgique; 770428.

    Niemegeers, G.J.E. (1973) Acute Oral Toxicity in Rats. Unpublished
    report from Janssen Pharmaceutica, submitted to the World Health
    Organization by Pennwalt Corporation.

    Niemegeers, C.J.E. (1976) Acute Oral Toxicity of R23979 - 20% E.C. in
    Rats. Unpublished report from Janssen Pharmaceutica, submitted to the
    World Health Organization by Pennwalt Corporation.

    Niemegeers, G.J.E. (1977) Acute Intraperitoneal Toxicity of R23979 in
    Wistar Rats. Unpublished report from Janssen Pharmaceutica, submitted
    to the World Health Organization by the Pennwalt Corporation.

    Pattyn, W. (1976) "Purity of R23979 -imazalil technical". Janssen
    Pharmaceutica; Chemical Quality Control Department; 761001.

    Stover, R.H. (1976) "Imazalil efficacy data". Vining C. Dunlap
    Laboratories of the United Fruit Company in Honduras; 761102.
    Attachment: Stover, R.H., Dickson, J.D. "Leaf sport of bananas caused
    by Mycosphaerella musicola: Methods of measuring spotting prevalence
    and severity". Tropical Agriculture 47, 289-302. (1970)

    Van den Bossche, H. (1977) Studies on the mode of action of imazalil.
    Janssen Pharmaceutica; 770425. Unpublished.

    Van Ravestyn, O. and Marsboom, R. (1975) Acute Dermal Toxicity in Rats
    (single dosage). Unpublished report from Janssen Pharmaceutical
    submitted to the World Health Organization by Pennwalt Corporation.

    Van Tuyl, J.Y. (1977) Genetics of fungal resistance to systemic
    fungioides. Mededelinger
    Landborwhogeschool - Wageningen - Netherlands; 77-2.

    Wynants, J, Woestenborghs, R. (1975a) "A gas-chromatographic assay
    method for imazalil in cucumbers". Janssen Pharmaceutics; 7512.

    Wynants, J., Woestenborghs, R. (1975b) "A gas-chromatographic assay
    method for imazalil in citrus fruit". Janssen Pharmaceutics; 7512.

    Wynants, J., Woestenborghs, R. (1976) "Residue analysis of imazalil in
    cucumbers". Janssen (1976) Pharmaceutics; 7601.

    Wynants J. (1977a) "Chromatographic assay methods of imazalil in
    citrus fruit". Proc. Int. Soc. Citriculture, 1977, vol. H: 38.

    Wynants J. (1977b) "Residue detection method for imazalil and its
    metabolite T824". Janssen Pharmaceutics; provisional report; 770420.
    


    See Also:
       Toxicological Abbreviations
       Imazalil (ICSC)
       Imazalil (Pesticide residues in food: 1980 evaluations)
       Imazalil (Pesticide residues in food: 1984 evaluations)
       Imazalil (Pesticide residues in food: 1984 evaluations)
       Imazalil (Pesticide residues in food: 1985 evaluations Part II Toxicology)
       Imazalil (Pesticide residues in food: 1986 evaluations Part II Toxicology)
       Imazalil (Pesticide residues in food: 1991 evaluations Part II Toxicology)
       Imazalil (JMPR Evaluations 2000 Part II Toxicological)
       Imazalil (JMPR Evaluations 2001 Part II Toxicological)
       Imazalil (JMPR Evaluations 2005 Part II Toxicological)