IPCS INCHEM Home


    FENBUTATIN OXIDE      JMPR 1977

    IDENTITY

    Fenbutatin oxide is a British Standard recommended common name and a
    proposed ISO Standard Common Name.

    Chemical name

    IUPAC: bis [tris(2-methyl-2-phenylproply)tin] oxide
    Chemical Abstracts: hexakis(2-methyl-2-phenylpropyl)distannoxane
    American Chemical Society: hexakis (ßß-dimethylphenethyl)distannoxane

    Synonyms

    SD 14114, SD 14114 -U, Torque(R), Vendex(R).

    Structural formula

    CHEMICAL STRUCTURE 6

    Other information on identity and properties

    (a) Composition of the technical Product:

    The technical material contains 97% w/w minimum of fenbutation oxide;
    the main impurities are related organo-tin compounds.

    (b) Physical and chemical properties

    Physical state:     crystaline solid
    Molecular weight:   1053
    Melting point:      138-139°C
    Volatility:         not volatile
    Solubility:         insoluble in water, (approx. 5x10-6 g/1 at 23°C)
                        slightly soluble in most organic solvents;
                        solubility at 23°C in acetone approx 6 g/l in
                        dichlororomethane 370 g/l in benzene 140 g/l
    Stability:          stable to sunlight. Water hydrolyses fenbutatin
                        oxide to tris-(2-methyl-2-phmylpropyl)tin
                        hydroxide; this in reconverted to the parent
                        compound slowly at room temperature and rapidly at
                        98°C.
    Formulations:
    Wettable powder 500 g a.i./kg and suspension concentrate 500 g a.i./l.

    EVALUATION FOR ACCEPTABLE DAILY INTAKE

    BIOCHEMICAL ASPECTS

    Absorption, distribution and excretion

    Groups of 2 male and 2 female rats were fed an average of 19.5 ppm
    119Sn-labelled fenbutatin oxide (with or without a 3 day withdrawal
    period before killing following 3 or 6 day exposure) after 1, 3 or 6
    days to study the absorption, distribution and excretion of
    fenbutatin. Most of the administered 119Sn was rapidly excreted in the
    faeces following multiple dosing (80-90% of the administered 119Sn).
    Essentially no 119Sn was excreted via the urine. The GI tract
    contained approximately 30, 15 and 5% of the administered 119Sn for
    animals sacrificed after 1, 3 or 6 days of dosing. The highest tissue
    concentrations of 119Sn were found in liver (0.015-0.09 mg/kg),
    kidneys, (0.015 0.055 mg/kg) and fat (< 0.01-0.065 mg/kg). No 119Sn
    was detected in brain or bone tissue (Loeffler, 1972). See also the
    section "Fate of residues", "In animals".

    Biotransformation

    Analysis of the faeces from rats dosed with 119Sn-labelled fenbutatin
    oxide indicated that ß, ß-dimethylphenethylotamoic acid and 1, 1, 3,
    3-tetrakis (ß, ß-dimethylphenethyl)-1,3-dihydroxdistannoxane are the
    major metabolites (Loeffler, 1972).

    Effects on enzymes and other biochemical parameters

    In starch gel electrophoretic studies on sera from rate fed either 0
    or 600 ppm in the diet for 6 months (2 buffer systems) control and
    test animal sera were identical. The effect of 1-phenylanatine or heat
    was similar on both sera. Comparisons with intestinal, bone, liver and

    kidney alkaline phosphatase indicated the serum alkaline phosphatase
    was similar to intestinal alkaline phosphatase. Further studies on rat
    sera derived from animals fed 0 or 600 ppm in the diet for one year,
    utilizing heat inactivation, selective substrates and inhibitors,
    confirmed the absence of any difference between control and test
    animal sera, as well an confirming the similarity of the serum
    alkaline phosphatase to intestinal alkaline phosphatase (Pickering,
    1973a). In a further series of studies by the elevation of serum
    alkaline phosphatase observed in rate after administration of 300 ppm
    fenbutatin oxide in the diet for 90 to 120 days may shown to be
    completely reversible following one months, withdrawal from exposure.
    Limited data indicate that the reversal of elevated serum alkaline
    phosphataze in the test rate may be completed within 7 days of
    withdrawal of the fenbutatin oxide (Pickering, 1973b).

    TOXICOLOGICAL STUDIES

    Special studies on neurotoxicity

    Following preliminary studies to determine suitable dose levels and to
    confirm the induction of brain oedema by triethyltin bromide, a
    comparative oedma assay of five organo-tin compounds (including
    fenbutatin oxide, and its metabolite 1, 1, 3,
    3-tetrakis-(ß, ß-dimethylphenethyl)-1, 3-dihydroxydistannoxane) for
    oedma formation in the central nervous system of rats, was undertaken.
    Groups of 15 male rats were intubated with corn oil (10 mg/kg, 40
    mg/kg triethyltin bromide, 1000 mg/kg, fenbutatin oxide, 100 mg/kg 1,
    1, 3, 3-tetrakis (ß, ß-dimethylphenethyl)-1,3-dihydroxydistannoxane
    and sizable doses of two other tin compounds. The triothyltin bromide
    group showed increased brain water content after 48 hrs. Seven of ten
    brains examined at 24 and 48 hrs showed spongeosis of white matter in
    the cerebellum and sometimes of the corpus callosum and pons. No
    histological changes were observed in 4 rats killed after 6 hrs.
    Fenbutatin oxide (24 and 48 hr. kills), and the metabolite (6, 24 and
    48 hr kills) did not show either increased water content or abnormal
    brain histology, although rats on both compounds showed signs of
    intoxication (Samuels and Dix, 1972),

    Special studies on mutagenicity

    Micro-organisms

    In plate tests using Serratia marcesens, strains HY/alpha 13, a
    histidine-requiring auxotroph, HY/alpha 21, a leucine-requiring
    auxotroph, and CV/r c3/alpha 742, a thiamine-requiring spontaneous
    auxotroph, 50 µl hexane solution (which resulted in a precipitate of
    fenbutatin oxide on the agar plate) did not increase the reversion
    rate in any strain, nor was growth inhibited, (Dean, et al., 1972a).
    Neither conversion rate nor cell survival was affected in
    Saccharomyces cerevisiae following exposure for 5 or 16 hrs in pH7
    phosphate buffer containing 0.0025 or 0.005 µg fenbutatin oxide/ml
    solution. In the same system, 20 µg/ml in suspension was ineffective
    in altering conversion rate or cell survival (Dean et al., 1972a).

    Mice

    Groups of 8 male and 8 female mice were treated with 0.005 or 1000 mg
    fenbutatin oxide/kg, in 1% carbomethyl cellulose. Four
    animals/sex/group were killed 90 minutes after i.p. colcemid
    administration and femurs were removed. One hundred bone marrow
    cells/animal were examined. No significant differences in incidence of
    chromosomal aberrations were observed (Dean et al., 1972b).

    In three or four host-mediated assay experiments using Saccharomyces
    cerevisiae and dose levels of 250 or 500 mg fenbutatin oxide/kg,
    conversion rate was unaffected. In the fourth replicate, conversion
    rate was marginally increased at 250 but not at 500 mg/kg (Dean et
    al., 1972a)

    In an 8 week dominant lethal study, 8 male mice/group were dosed once
    with 250 or 500 mg fenbutatin oxide/kg, and were then mated with 3
    females each week. The control group comprised 16 untreated males. No
    significant differences in percentage pregnancies, implant incidence
    or early resorption rate were noted between control and fenbutatin
    oxide treated groups. A positive control group of 8 male mice (200 mg
    Endoxan) showed reduced pregnancy rate and increased resorption and
    decreased implant rates during the first 3 matings after, dosing.
    (Dean and Doak, 1972c).

    Special studies on teratology

    Three groups of 15 pregnant rabbits were dosed by gelatin capsules on
    days 6-18 inclusive of gestation (mating day = day 0), with 3 or 10 mg
    fenbutatin oxide/kg or with 37.5 mg thalidomide/kg. Twenty-six rabbits
    were used as capsule-only treated controls. Rabbits were killed on day
    28 of pregnancy. A repeat experiment differed only in that 20 pregnant
    females/dose level and 30 controls were used, autopsy being on day 29.
    Foetuses were incubated for 24 hrs. following removal from the uterus,
    after which approximately 1/3 were examined for visceral
    abnormalities, and 2/3 for skeletal defects. Prior to clearing for
    skeletal examination, viscera from these animals were also examined
    for defects. Although some maternal deaths occurredy these were random
    between groups. Mean live litter size, resorption rate, foetal loss,
    survival of incubated foetuses, and incidence of anomalies were not
    affected by fenbutatin oxide at either close level. Cromn-rump length
    and foetal weight were comparable to controls except at 3 mg/kg in the
    repeat experiment, where a significant increase was noted. The
    positive control group behaved as expected (Dix and Wilson, 1973).

    Special study on reproduction

    In a standard 3 generation, 2 litter/generation reproduction study,
    groups of 10 male and 20 female rats were fed O, 50, 100 or 300 ppm
    fenbutatin oxide (985 purity). It should be noted that rate of the Fo
    generation commenced on diet and were mated at 100 days of age, and
    that litters were culled to 10 pups/litter on post-partum day 5.

    Necropsy was performed on 10 male and 10 female F3b weanlings from
    the 0 and 300 ppm, and on 5 weanlings/sex from the 50 and 100 ppm
    groups. In the 300 PPM group, parents and pups were smaller, hyper
    active and irritable; mean litter size was slightly reduced in the
    F1b litters, and in the two F3 generations survival to weaning was
    reduced at 300 ppm and testicular organ/body weight ratio was reduced
    in the F3b weanlings. Necropsies of F2b adults did not show any
    compound-related changes. No consistent effects were observed at 50 or
    100 ppm with respect to fertility, gestation, viability or lactation
    indices, litter size, litter weight, or necropsy of F3b weanlings
    Mine et al., 1973).

    Special studies on carcinogenicity

    Groups of 48 male and 48 female Carworth Farm No. 1 strain mice were
    fed 50, 100, 100 or 600 ppm fenbutatin oxide in the diet for 18
    months. A control group comprised 96 males and 96 females. All animals
    were examined grossly at death. Microscopic examination was undertaken
    on all animals dying during the study and on all 600 ppm mice, on
    10/mice/sex at 50, 100 and 300 PPM, and on 45 controls/sex at 18
    months. Survival rate was comparable in all groups and exceeded 75%.
    There was a high incidence of tumours in all groups. However there was
    no indication of compound-or dose-related tumor induction (Granville
    et al., 1973a).

    Acute Toxicity

        TABLE 1a. Acute toxicity of fenbutatin oxide
                                                                                            

    Species             Route             Sex        LD50(mg/kg)         Reference
                                                                                            

    Mouse               Oral              -          1450(1223-1659)      Simpson 1972a
    Rat                 "                 -          2631(1929-4659)
    Dog                 Oral(capsule)     -          >1500
    Rabbit              Oral              -          1500-3000
    Rat                 Dermal            -          >1000
                                                                                            
    
    In mice and rats, death occurred within 10 days. Signs were dyspnoeal
    stained coat and transient diarrhoea. In dogs, vomiting and diarrhoea
    occurred. In rabbits convulsions occurred at the nighest dose, with
    death within 24 hrs. Lower doses caused death up to 18 days after
    dosing. Weight loss was still apparent 3 weeks after dosing, Autopsy
    revealed damage to the gastric mucosa, massive fatty changes in liver,
    reduced spermatogenesis, and multinucleated spermatid production
    (Simpson, 1972a).

        TABLE 1b. Acute toxicity of 50% wettable powder

                                                                                        

    Species             Route          Sex            LD50 (mg/kg)        Reference
                                                                                        

    Rat                 Oral           -              1000                Simpson 1972a
                        Dermal         -              >1000
                                                                                        


    TABLE 1c. Acute toxicity of metabolite*
                                                                                        

    Species             Route          Sex            LD50(mg/kg)         Reference
                                                                                        

    Mouse               Oral           M              420                 Natoff, 1973
                                       F              622
    Rat                 Oral           M,F            242
    Rabbit              Oral           M              >675
                                       F              300-450

    Rat                 Oral           -              132(102-176)        Simpson & Dix,
    Mouse               Oral           -              1051(824-1440)      1972c

                                                                                        

    * 1, 1, 3, 3-tetrakis(ß,ß -dimethylphenethyl)-1,3-dihydroxydistannoxane.
    

    The signs of intoxication in all species were severe diarrhoea,
    followed by loss of body weight which was recorded for rabbits, and
    inanition and emaciation in all species. Deaths occurred up to 16 days
    after dosing the mice, 14 days after dosing the rats and 26 days after
    dosing the rabbits. The observation period for rabbits was curtailed
    at 28 days.

    Short term studies

    Rat

    Five groups of 5 male and 5 female rats were fed 0, 30, 100, 300 or
    1000 ppm fenbutatin oxide in the diet for 5 weeks. Body weight was
    significantly reduced, as was food intake at 300 and 1000 ppm.
    Reductions in absolute brain, heart, liver, spleen and kidney weights
    were noted in both sexes at 1000 ppm. Spleen weight was reduced in
    males at 300 ppm and brain, liver, spleen and kidney weight was

    reduced at 300 ppm in females. Serum alkaline phosphatase was
    increased in both sexes and SGPT levels were elevated in females at
    1000 ppm (Simpson, 1972a).

    Three groups of five male rats were used in a pair feeding study, one
    group being a normal control, the second being fed 600 ppm, and the
    third, pair-fed at the food intake levels of the 600 ppm group, The
    study ran for 5 weeks. Results (daily body weights) indicated that the
    reduction in body weight at 600 ppm can be totally accounted for by
    reduced food intake (Simpson, 1972b).

    Groups of 6 male and 6 female rats were fed 50, 100, 300 or 600 ppm
    fenbutatin oxide (97%) in diet for 3 months. Concurrent controls
    comprised 12 male and 12 female rats. Health and behaviour were
    comparable in all groups. Body weight gain was reduced in males at 600
    ppmv and in females at 300 and 600 ppm. Food intake was reduced in
    males at 600 ppm, and in females during the first 3 or 4 weeks of the
    study at 300 and 600 ppm. Absolute organ weight of liver and kidney
    were reduced in both sexes, heart in females, and brain and spleen in
    males at 600 ppm. At 300 ppm, liver, spleen and kidney absolute
    weights were reduced in males. Organ/body weight ratios were elevated
    for brain in males at 600 ppm, and in females at 300 and 600 ppm.
    Heart and liver weight ratios were elevated in females at 600 and
    heart at 300 ppm. Testes weight ratio was elevated in males at 300 and
    600 ppm. Haematology (haemoglobin, PCV, RBC, WBC, RCV, MOH,
    prothrobmin time and KOCT) was comparable in all groups. Clinical
    chemistry determinations were comparable for total protein, SGOT, and
    electrolytes (K, Na, Cl). BUN and SAP in males were elevated at 300
    and 600 ppm in males, as was SGPT at 300 PPm. In females BUN was
    elevated at 100 ppm and above. Serum protein fractions were comparable
    in all groups. No compound-related gross or histopathological effects
    were noted, (Simpson and Thorpe, 1973a).

    Three groups of rats, 20/sex/control and 10/sex/test group, were fed
    0, 3, 10, 30, 100 or 300 ppm of 99% 1, 1, 3, 3-tetrakis (ß,
    ß-dimethylphenethyl)-1,3-dihydroxydistannoxane for 90 days. Health and
    behaviour were comparable in all groups. Body weights of 300 ppm males
    were significantly decreased throughout the study. This was also true
    for the females in the 30, 100 and 300 ppm group but the suppression
    was not significant. Slight reductions in haemoglobin, erythrocyte
    count and packed cell volume occurred in the 300 ppm males. No changes
    were noted in any of the other groups of either sex. The other
    clinical values of animals killed after 13 weeks showed no
    dose-related differences when compared to the control values. Gross
    and microscopic examination of a wide range of tissues from all
    control, 100 and 300 ppm animals revealed no consistent changes
    associated with exposure to the metabolite. Organ weights of males at
    13 weeks did not differ from control weights, the organ body weight
    ratios were increased for brain, heart, liver, kidneys and testes in
    this group and for the liver in the 100 ppm male group. Brain, spleen
    and kidney weights were reduced in the 300 ppm females, (Simpson and
    Dix, 1972c).

 

    Dog

    Five groups of 2 male and 2 female beagle dogs were orally dosed
    (gelatin capsules) with 0, 10, 30, 100 or 300 mg fenbutatin oxide/kg
    for 5 weeks. Slight vomiting and diarrhoea occurred at 100 and 300
    mg/kg, which was associated with decreased body weigh. At 3O mg/kg and
    above, serum alkaline phosphate was elevated. No pathological changes
    were observed (Simpson, 1972a).

    Groups of dogs (8/sex/control and 4/sex/test group) were administered,
    by capsule, 0, 2.5, 5, 15, 30 or 60 mg/kg 97% fenbutatin oxide daily
    for 2 years. Blood samples were taken every six weeks to measure BUN,
    glucose, plasma protein, sodium, potassium, chloride, SGPT, SGOT, and
    alkaline phosphatage. Every 12 weeks hemoglobin, packed cell volume,
    RBC, WBC, differential WBC counts, prothrombin and
    kaolin-cephalin-coagulation times were determined. Urine analysis was
    carried out every 3 months. Emesis and diarrhoea occurred in most of
    the dosed dogs. These effects continued in some dogs in the 30 and 60
    mg/kg/day groups throughout the study, although at a reduced frequency
    towards the end of the study. Lower dosage groups showed none of these
    effects after the first year. Convulsions occurred in 5 dogs,
    predominantly female, during the second year; control, one female; 2.5
    mg/kg/day, one female; 15 mg/kg/day, one female and one male; and 30
    mg/kg/day, one female. None of the 60 mg/kg/day animals exhibited this
    effect. EEG's with simultaneous single lead monitoring of EEG's of one
    female each in the 0, 2.5 and 30 mg/kg/day groups revealed a normal
    EEG for the control dog and the other 2 dogs showed normal waking
    rhythms but abnormal activity during light sleep. The investigators
    contend that the lack of dose response relationship suggest a
    diagnosis of spontaneous epilepsy not related to exposure to
    fenbutatin oxide. General health and behaviour of all other dogs were
    similar to control dogs. Significant reductions in rate of weight
    gains occurred in both sexes in the toxicity, long term 60 mg/kg/day
    group. Males receiving 30 mg/kg/day exhibited no significant rate of
    gain. This effect was not evident in females of this group.
    Haematological and clinical chemistry and urine data showed no
    differences between control and test groups. Necropsies revealed no
    gross changes. Microscopic examination, including frozen sections of
    liver and kidney stained for lipid, revealed no compound-related
    pathological changes in a wide range of tissues. Organ weights were
    not affected by exposure to the test compound (Granville and Dix,
    1973b).

    Long term studies

    Rat

    Groups of rats (114/sex/control and 72/sex/test group) were fed 0, 50,
    100, 300 or 600 ppm 97% fenbutatin oxide for two years. Rats were
    killed at 3 and 12 months (12/sex/control and 6 sex/test group) and at
    6 months (24/sex/control and 12/sex/test group). Organ weights of
    brain, heart, liver, spleen, kidney and testes were recorded and a

    wide variety of tissues examined from all rats dying or killed at
    interim periods, and from all rats from the 50 and 100 ppm groups.
    Blood determinations were made, at each kill period, for haemoglobin,
    PCV, RBC, WBC and WBC differential counts; prothrombin and
    kaolin-cephalin-coagulation times; BUN; total protein, potassium
    sodium and chloride; SGPT, SGOT and alkaline phosphatase. Also serum
    proteins were fractionated electrophoretically and estimates made of
    albumin and alpha, - ß, and gamma-globin concentrations.

    Fenbutatin oxide rendered the diet unpalatable to both sexes causing,
    in the early months of the study, significant reductions in food
    consumption and body weight gains. Males were more affected than
    females. For the remainder of the study all groups exhibited rates of
    gain to the control except both sexes receiving 300 and 600 ppm, which
    exhibited reduced body weight reduced body weights throughout the
    study. BUN levels were increased at the higher levels for the first 6
    months but remained within normal limits for the remainder of the
    study. Serum alkaline phosphatase activity was increased in both sexes
    at 300 and 600 ppm throughout the study, in the 100 ppm males at 6 
    months, and in the 100 ppm females at 3 months and 2 years. All other
    haemotological and clinical chemistry values remained within normal
    limits at all times. Survival and behaviour were not affected by
    administration of the compound. No compound-related tissue lesions nor
    any increase in tumor incidence were found. Organ weights revealed no
    compound-related differences except kidney weight reduction in all
    treated males and the 600 ppm females at 2 years. No specific
    compound-related lesions were seen in the kidney of any treated group.
    Absolute and relative testes weights, unaccompanied by hypertrophy,
    were noted in the 300 and 600 ppm groups at 2 years. (Simpson et al.,
    1973b).

    COMMENTS

    Fenbutatin oxide is moderately toxic by the oral route producing
    severe gastrointestinal irritation. Acute oral administration to
    rabbits reduced spermatogenesis and resulted in multi-nucleated
    spermatid production. It is excreted rapidly, mostly unchanged in the
    faeces, indicating that it is poorly absorbed. In the rat it is
    metabolized to ß, ß-dimethylphenethylstannonio acid (SD 33608) and 1,
    1, 3, 3-tetrakis-(ß, ß-dimethylphenethyl)-1,3-dihydrox3rdistannoxane.
    The latter metabolite and fenbutatin oxide failed to produce oedema of
    the central nervous system of the rat at 100 and 1000 mg/kg
    respectively. Fenbutatin oxide produced no genotoxic effects in
    several in vitro and in vivo systems. Adequate short- and
    long-term studies are available in rats and dogs as well as teratology

    study study in rabbits, a multi-generation reproduction study in rats,
    and a carcinogenicity study in mice. No-effect levels were
    demonstrated in rats and dogs and an acceptable daily intake for
    humans was established on the basis of these studies. The no-effect
    level was established as 15 mg/kg because of emesis and diarrhoea in
    dog, and because of the known toxic effects of organic compounds on
    the brain a safety factor of 100 was used.

    TOXICOLOGICAL EVALUATION

    Level causing no toxicological effect

       Rat: 50 ppm in diet equivalent to 2.5 mg/kg body weight.

       Dog: 15 mg/kg body weight.

    ESTIMATE OF ACCEPTABLE DAILY INTAKE FOR HUMANS

       0-0.03 mg/kg body weight.

    RESIDUES IN FOOD AND THEIR EVALUATION

    USE PATTERN

    Fenbutatin oxide is used as a specific mitioide against a wide range
    of phytophagous mites. It is recommended especially for the control of
    the mobile stages on a wide variety of crops, including pome and stone
    fruits, citrus fruits, grapes, berry fruits, vegetables and
    ornamentals. Recommendations for use on fruit crops and the
    recommended pre-harvest intervals are given in Table 2.

    The compound is in general used as a foliar spray in a concentration
    range of 0.02 -0.05% a.i., corresponding to approx. 0.4 -1.5 kg
    a.i./ha. Most applications are required while the fruits are
    developing; the number of applications varies with the crop and
    regional conditions.

    The pre-harvest intervals are seldom less than 7 days, except on some
    glasshouse-grown fruits or vegetables; in most instances the
    pre-harvest intervals recommended are at least 14 days.


        TABLE 2. Use pattern and recommended pre-harvest intervals of fenbutatin oxide

                                                                                                                        

    Crop                Pest                    Application rate, a.i.                        Recommended
                                                                                              pre-harvest
                                                                                              intervals
                                                                                        Country        Days
                                                                                                                        

    Apples,         Panonychus ulmi             0.0125-0.05% depending                  Australia      2
                    Tetranychus urticae         on pest and volume of                   Belgium        28
                    Tetranychus mc. danieli     spray liquid used.                      Denmark        28
                    Paratetranychus spp.        For concentrated sprays                 France         7
                    Bryobia rabrioculus         maximum 1.5 kg a. i./ha.                Fed. Rep. of
                                                                                        Germany        14
                    Eotetranychus carpini       Not more than 3 applications            the
                    borealis                    whilst trees are bearing fruit.         Netherlands    42
                                                                                        Italy          30
                    Aculus schlechtendali                                               Mexico         14
                                                                                        Portugal       21
                                                                                        S. Africa      14
                                                                                                       3 days
                                                                                                       on fruit
                                                                                                       for
                                                                                                       canning
                                                                                        Spain          21
                                                                                        Switzerland    21
                                                                                        USA            14
    Pears           Panonychus ulmi             As for apples                           As for apples
                    Tetranychus mc. danieli
                    Tetranychus urticae
                    Epitremeris pyri

    Citrus          Panonychus citri            0.015-0.05 % for                        Italy          60
                    Eotetranychus banksi        concentrated sprays a                   Mexico         14
                    Eotetranychus yumensis      maximum of 2 kg/ha is                   S. Africa      7
                    Tetranychus urticae         recommended. Not more                   Spain          21
                    Brevipalpus californicus    than 4 treatments in                    USA            7
                    Phyllocoptruta oleivora     one year.

    TABLE 2. (Continued)

                                                                                                                        

    Crop                Pest                    Application rate, a.i.                        Recommended
                                                                                              pre-harvest
                                                                                              intervals
                                                                                        Country        Days
                                                                                                                        
    Cherries        Tetranychus urticae         0.02-0.05%; maximum two                 Italy          30
                                                applications whilst trees               Switzerland    21
                                                are bearing fruits.                     the
                                                Concentrated sprays max.                Netherlands    42
                                                1.5 kg a.i./ha.

    Peaches         Tetranychus urticae         0.02-0.05% maximum two                  Australia      2
                    Panonychus ulmi             treatments whilst trees                 Denmark        28
                                                are bearing fruit.                      France         7
                                                Concentrated sprays up to               Italy          30
                                                1 kg a.i./ha.
                                                                                        S. Africa      21
                                                                                        3 days
                                                                                        on fruit
                                                                                        for
                                                                                        canning.
                                                                                        Spain          21
                                                                                        Switzerland    21

    Plums           Tetranychus urticae         0.02-0.05%                              Italy          30
                    Panonychus ulmi             Concentrated sprays up                  Switzerland    21
                                                to 1 kg a.i./ha.                        the
                                                                                        Netherlands    42

    Grapes          Panonychus ulmi             0.02-0.05%                              France         7
                                                Concentrated sprays maximum             Fed. Rep. of
                                                rate up to 1 kg a.i./ha.                Germany        28
                                                                                        Italy          45
                                                                                        Spain          21
                                                                                        Switzerland    21

    TABLE 2. (Continued)

                                                                                                                        

    Crop                Pest                    Application rate, a.i.                        Recommended
                                                                                              pre-harvest
                                                                                              intervals
                                                                                        Country        Days
                                                                                                                        
    Strawberries    Tetranychus
                    urticae                     0.025-0.05%                             the
                                                                                        Netherlands    only before
                                                                                                       blossoming
                                                                                                       and/or after
                                                                                                       harvest.

    Bell-peppers    Tetranychus                 0.02-0.04%                              the            3
                    urticae                                                             Netherlands    (glasshouse)

    Cucumbers       Tetranychus                 0.02-0.05%                              Italy          30
                    urticae                                                             the
                                                                                        Netherlands    3::

    Tomatoes        Tetranychue                 0.02-0.5%                               Italy          30
                    urtical                                                             the
                                                                                        Netherlands    3
                                                                                                       (glasshouse)
                                                                                                                        

    :: includes gherkins glasshouse and outdoors; cucumbers and melons glasshouse only.
    

    RESIDUES RESULTING FROM SUPERVISED TRIALS

    Extensive data were obtained on residues from supervised trials
    carried out in various countries on a variety of fruits and fruits of
    vegetables as follows.

         Citrus fruits:           grapefruit, lemons, oranges
         Pome fruits:             apples, pears
         Stone fruits:            cherries, peaches, plums
         Berry fruits:            grapes, strawberries
         Fruits of vegetables:    bell-peppers, cucumbers, gherkins,
                                  melons, tomatoes

    The data obtained are summarized in Tables 3-11 (Shell International,
    1971-76). In most of the trials fenbutatin oxide was applied as a 50%
    wettable powdery but in a few instances a suspension concentrate
    containing 500 g a.i./l was used (referred to as SC in Tables). The
    application rates in most of the trials are in conformity with good
    agricultural practice. In, some instances higher dosages were also
    applied; these excessive rates are indicated in the Tables.

    It has been demonstrated, using radio-labelled fenbutatin oxide, that
    the residues do not to any great extent penetrate through the akin of
    treated fruit (see also section "Fate of residues"). The residues
    found when analysing the whole fruit were mainly on or in the skin.
    This is also illustrated in samples from some field experiments which
    were examined. before and after removal of the peel.

    Pome fruits

    Apples

    The data in Table 3 were mainly obtained from samples of crops treated
    according to typical use conditions. The results show considerable
    variation according to local conditions.

    In most instances residues in whole fruit were below 3 mg/kg
    fanbutatin oxide from up to 3 treatments made at recommended rates, up
    to 0.05% or 1.5 kg a.i./ha, where pre-harvest intervals were 14 days.
    In a few instances however residues at harvest exceeded this figure,
    but were essentially below 5 mg/kg.

    Some samples were anlaysed after removal of the peel, a common
    practice in processing such as preparation for canning or drying.
    Residues in the pulp were usually below the limits of determination.

    Pears

    The data in Table 4 show that residues arising from recommended
    applications (up to three treatments at up to 0.05 or 1.5 kg a.i./ha)
    in whole fruit harvested 2 weeks after the last application were less
    than 4 mg/kg, with the exception of one trial in the USA. The analysis

    of samples of peeled pears showed that residues of fenbutatin oxide
    seldom exceeded 10% of the levels in the whole fruit.

    Citrus fruits

    Residue data were obtained on grapefruit, lemons and oranges from the
    USA, Brazil, Spain and Italy (see Table 5). Most of the results show
    residues below 4 mg/kg; only in a few cases have higher residues been
    found, in general not exceeding 5 mg/kg.

    Removal of the peel and analysis of the pulp and/or juice has shown
    that the residues were mainly on the skin. In pulp and juice residues
    were below the limit of determination, 0.02-0.05 mg/kg. Only one
    sample of juice analysed contained a higher residue (0.08 ME/1). The
    residue in the pulp did not generally exceed 30% of the level in the
    whole fruit.

    Stone fruits

    Cherries

    Data obtained on cherries (see Table 6) indicate that following
    recommended treatments (up to 0.05% a.i.; minimum pre-harvest interval
    7 days) residues were not above 4 mg/kg in whole fruit without stones,
    except in one trial in USA where a residue of 4.2 mg/kg was recorded 4
    weeks after treatment.

    Peaches

    Residues of fenbutatin oxide an peaches treated according to the
    recommendations (up to 0.05% a.i.) with a minimum pre-harvest interval
    of 14-21 days were in most cases below 5 mg/kg, but sometimes higher.
    It is unlikely that after applying the miticide according to good
    agricultural practice the residue level at harvest would exceed 7
    mg/kg. Residues in the fruit after peeling were considerably lower,
    and did not exceed 0.2 mg/kg. Details are given in Table 7.

    Plums

    The limited data available (Table 8) indicate that residues at harvest
    are unlikely to exceed 3 mg/kg in the whole fruit without stone after
    recommended treatments, i.e. up to 0.05% a.i. and a minimum
    pre-harvest interval of 7 days.

    Grapes

    Residues of fenbutatin oxide (Table 9) following treatment of vines
    according to the recommendation (up to 0.5% or 1 kg. a.i./ha), were
    about 4 mg/kg after 1 week and 0.6-3.2 mg/kg after 3 weeks (excepting
    one erratic figure of 6 mg/kg from a trial carried out in the Federal
    Republic of Germany).



        TABLE 3. Residues of fenbutatin oxide in apples resulting from supervised trials
                                                                                                                                               
                                                 Application                        Residues (mg/kg) at intervals (days) after application
    Crop              Country         Year     No.          rate     formulation.
                                               g/100        1 kg/ha                 0-2     3         7-9       14       19-21    28       32-35
                                                                                                                                               

    Apples
    Granny Smith      Australia       1973     1     19              WP 50%         1.6              1.3      0.45                0.95
    "      "                          1973     1     25              "  "           2.5              2.5
    Josephine                         1974     1     19              "  "           0.94            0.79
    Granny Smith                      1975     2     20              "  "                   1.3      1.5                  2.2     1.6
    "      "                          1975     2     20              sc 500g/l      1.4     1.4                1.1        0.9
    "      "                          1975     2     30              "  "                   1.8      2.0                  2.1     2.0
    Mcintosh          Canada          1976     1     25              WP 50%         0.97    0.90    0.67      0.45
    "                                 1976     1     19              "  "                                                                  0.55
    Cortland                          1976     1     19              "  "                                                                  0.15
    Cardinal          France          1974     1     30     0.3      "  "                           0.26      0.04
    "                                 1974     1     50     0.5      "  "                           0.43      0.09
    Melrose                           1975     1     75     0.6      "  "                                                                  0.07
    Cox's O.P.        Fed. Rep. of
                      Germany         1974     3     25              "  "           1.1             0.82      0.66        0.64    0.21
    James Grieves                     1974     3     25              "  "           1.5             0.83      0.82        0.60    0.53
    Golden Delicious                  1974     3     25              "  "           1.4             0.78      0.82        0.88    0.53
    "      "                          1974     3     25              "  "           1.4             0.87      0.61        0.53    0.24
    Golden Parmane                    1974     4            1.0      "  "           1.9              1.1       1.1        0.74    1.1
    "      "                          1974     3            1.0      "  "           0.82            0.82      0.35        0.27    0.32
    Goudreinet        Netherlands     1974     2     25              "  "                                     0.30                0.26
    "                                 1974     3     25              "  "                                     0.22                0.28
    "                                 1975     2     30              "  "                                     0.23                0.35
    "                                 1975     2     30              "  "                                     0.28                0.37
    Golden Delicious  Italy           1975     1     30              "  "                                      1.2        0.98    0.
    Stark Delicious                   1975     1     30              "  "                                     0.93        0.65    0.60
    Granny Smith      New Zealand     1975     5     19              "  "           0.75    0.60    0.55      0.40
    Starking          Portugal        1974     2            0.6      "  "                                                 0.30    0.68
    "                                 1974     2            1.0      "  "                                                 0.75    1.40
    "                                 1974     2            0.6      "  "                                                 0.29    0.80
    "                                 1974     2            1.0      "  "                                                 0.63    0.80

    TABLE 3. (Continued)
                                                                                                                                               
                                                 Application                        Residues (mg/kg) at intervals (days) after application
    Crop              Country         Year     No.          rate     formulation.
                                               g/100        1 kg/ha                 0-2     3         7-9       14       19-21    28       32-35
                                                                                                                                               
    Granny Smith      South Africa    1976     1     30              WP 50%         1.8     1.3      1.0      0.95
    "      "                          1976     1     50              "  "           2.5     2.4      1.5       1.2
    "      "                          1974     1     100             "  "           2.4     2.9
                                                                                            (4
                                                                                            days)
    Jonathan          Switzerland     1974     3            0.5                                     0.55                  0.43             0.35
                                                                                                     (10
                                                                                                    days)
    Worcester         U.K.            1974     2     25              "  "                                                         0.3
    Worcester         U.K.            1974     2     42+25           wp+sc                                                        0.3
    York Imperial     U.S.A.          1974     5     25     1.25     wp 50%                                   0.93
                                      1974     5     25     1.25     "  "                                      1.3
                                      1974     5     50     2.5      "  "                                      2.6
                                      1974     5     50     2.5      "  "                                      2.2
    Newton            U.S.A.          1973     1     38              "  "                                      1.6

                      (Oregon)                                                                              (1.5-1.7)
    Red delicious     U.S.A.          1973     4     19     1.5                                             0.6-0.94
                      (Oregon)
                                      1973     4     38     3                                                1.6-1.5
                                      1973     4     30     1.5                                             0.25-0.84
    Red delicious     "               1973     4            3.0      "  "                                    2.1-2.0
    Newton Pippin     (California)    1972     1     25              "  "           0.26
    "      "                          1972     1     50              "  "           0.60
    "      "                          1972     1     100             "  "           1.5
    Golden delicious  (Washington)    1971     4     12.5   0.75     "  "           0.9              0.8       0.8                0.7
    "      "                          1971     4     25     1.5      "  "           1.7              1.4       1.0                1.5
    "      "                          1971     4     50     3.0                     3.7              3.5       3.3                2.6
    "      "                          1972     4     12.5   0.75     "  "           1.6                        1.5                1.5
    "      "                          1972     4     25     1.5      "  "           3.5                        2.5                3.1
    "      "                          1972     4     50     3.0      "  "           7.9              4.7       5.0                3.3
    "      "          Michigan        1971     3     12.5   0.25     "  "           1.2              1.0      0.85        0.95    0.90
    "      "                          1971     3     25     0.5      "  "           3.5              2.5       3.3        3.7     2.4
    "      "                          1971     3     50     1.0      "  "           6.1              6.0       4.0        3.7     3.7

    TABLE 3. (Continued)
                                                                                                                                               
                                                 Application                        Residues (mg/kg) at intervals (days) after application
    Crop              Country         Year     No.          rate     formulation.
                                               g/100        1 kg/ha                 0-2     3         7-9       14       19-21    28       32-35
                                                                                                                                               
    "      "                          1972     4     12.5   0.5      "  "           1.8            1.4-1.1   1.1-1.6              0.64-0.68
    "      "                          1972     4     25     1.5      "  "           2.9-2.2        1.3-1.8   2.2-1.8              1.1 -0.9
                                      1972     4     50     2.0      "  "           3.4-6.0        5.4-6.6   5.3-7.0              2.8-4.1


    Ben Davis         New York        1972     4     12.5   0.75     wp 50%         2.3-2.6        2.2-2.2   2.1-1.5              1.3-1.6
    "   "                             1972     4     25     1.5      "  "           5.6-5.4        3.5-4.2   2.8-3.6              3.0-2.5
    "   "                             1972     4     50     3.0      "  "           8.5-8.0        5.6-6.0   5.6-6.2              5.7-3.8
    Rome                              1973     4     12.5            "  "           1.8              1.0       1.1                1.4
                                      1973     4     19              "  "           2.2              1.4       1.6                1.2
                                      1973     4     38              "  "           2.3              2.8       3.2                2.7
                                                                                                                                               

    wp = wettable powder
    sc = suspension concentrate

    TABLE 4. Residues or fenbutatin oxide in pears resulting from supervised trials
                                                                                                                                        

                                                      Application              Residues (mg/kg) at intervals(days) after application
    Crop                Country        Year   No       rate        formulation  0-2     3      7-9     14      19-21   28-31   32-35
                                                     g/1001 kg/ha
                                                                                                                                        
    Pears
    Josephine           Australia      1974   1      19            WP 50%       0.5            0.4     0.3             0.5
    William                            1973   1      19            "  "         0.8            1.1     0.65            0.73
    "                                  1973   1      25            "  "         1.6            1.2
    Packam                             1975   2      20            sc 500g/l            1.5    1.6             1.5     1.3
    "                                  1975   2      30            "  "                 2.3    1.4             1.6     1.2
    "                                  1975   2      20            WP 50%               1.4    1.2             1.3     1.2
    William             France         1976   1      60     0.3    "  "                        0.17            0.11            0.03
    "                                  1976   1      100    0.5                                1.07            0.16            0.10
    Packhams Tr.        S. Africa      1976   1      30            "  "         1.7     1.6    1.4     1.9
    "                                  1976   1      50            "  "         3.6     3.1    2.7     1.6
    Winter Melis        S. Africa      1974   1      100           "  "         3.8     2.5
                                                                                        (5
                                                                                        days)
    Kieffer             USA (Mich.)    1971   3      12.5   0.38   "  "         3.0            1.7     1.6             1.0
    "                                  1971   3      25     0.75   "  "         6.0            5.0     1.9             1.1
    "                                  1971   3      50     1.5    "  "                        4.7     4.0             3.0
    Bartlett            (Wash)         1971   2      12.5   0.25   "  "                        1.5     1.3             0.9
    "                                  1971   2      25     0.5    "  "                        2.7     2.3             1.8
    "                                  1971   2      50     1.0    "  "                        5.3     4.7             4.3
    "                                  1973   4      12.5   0.75   "  "                                0.17            0.18
    "                                  1973   4      25     1.5    "  "                                0.25            0.54
    "                                  1973   4      503    3.0e   "  "                                1.4             1.9
    "                   (Calif)        1973   1      25     1.0    "  "         1.8            1.1     1.1             1.0
    "                                  1973   1      50     2.0    "  "         2.4            1.4     2.1             1.8
    "                   (New York)     1971   3      12.5   0.75   "  "                                                1.2
    "                                  1971   3      25     1.5    "  "                                                2.2
    "                                  1971   3      50     3.0    "  "                                                3.5
    Bosc                               1972   3      12.5   0.38   "  "         4.2            2.3     1.2             0.9
    "                                         3      25     0.75   "  "         6.0            4.6     2.5             2.1
    "                                         3      50     1.5    "  "         8.0            6.3     4.6             3.8
                                                                                                                                        
    e= excessive application
    

    Strawberries

    The limited data available indicate that residues following
    recommended application 0.05% a.i, minimum pre-harvest interval 7
    days), would be unlikely to exceed 4 mg/kg (Table 10):

    Fruit of vegetables

    The very limited data available (Table 11) suggest that residues
    arising from recommended treatments (up to 0.05% a.i., minimum
    pre-harvest interval 3 days) are unlikely to exceed 1 mg/kg.

    FATE OF RESIDUES

    In animals

    Provided fenbutatin oxide is used according to good agricultural
    practice no detectable residues will occur in products of animal
    origin, since crops which are generally used for animal feed are
    rarely treated with this acaricide. In some countries, particularly in
    the USA, cattle are occasionally given processed fruit pulp as a part
    of their diet. Data are available showing that cattle eating feed 
    containing residues of fenbutatin oxide will not produce milk or meat
    containing appreciable residues. See also the section

    "Biochemical aspects".

    Cattle feeding studies

    An experiment, was carried out in which three lactating Guernsey cows
    were fed on a diet containing 119Sn-labelled fenbutatin oxide
    (Shell, 1976). The quantity given was equivalent to 34 ppm fenbutatin
    oxide in the whole ration, which consisted of 5 kg compounded feed and
    10 kg alfalfa cubes per animal per day, and was given twice daily
    during a 21 day period. Milk samples were taken from each animal at
    each milking, and the total radio-activity determined in each sample.

    No radio-activity above background level was found, indicating that
    total residues in whole milk were equivalent to less than 0.01 mg/kg
    fenbutatin oxide. The animals were slaughtered 12 hours after the
    final feeding and the radio-activity was determined in samples of fat,
    muscle, brain, kidney and liver. No residues were detected in brain,
    muscle, fat or liver at a limit of determination equivalent to 0.02
    mg/kg fenbutatin oxide. Similar results were obtained with the kidney
    samples from 2 of the animals, but the third was found to contain
    radio-activity equivalent to 0.03 mg/kg fenbutatin oxide, i.e. just
    above the limit of determination in these tissues.


        TABLE 5. Residues of fenbutatin oxide in citrus fruits resulting from supervised trials

                                                                                                                                               

                                                  Application                    Residues (mg/kg) at intervals (days) after application
                                                    rate
    Crop        Country     Year    No     g/100 1 kg/ha  formulation    0-2          7           14         21     28-31     32-35   58-64
                                                                                                                                      (45)
                                                                                                                                               
    Oranges
    Pera Natal  Brazil      1975    1      30             WP 50%                                                              0.13    0.05
                            1975    2      30             "  "                                                                0.25
                            1975    1      30             "  "                                                     0.27               0.08
                            1975    2      30             "  "                                                     0.42
                            1975    1      30             "  "             0.50   0.30  0.17
                            1975    2      30             "  "             0.75   0.38
                            1975    1      30             "  "             0.38   0.22  0.08
                            1975    2      30             "  "             0.62   0.35
    Oranges     S. Africa   1975    1      30             sc500g/l
                                                                      1.0          1.1         0.65                                   0.65
                            1975    1      30             "  "        0.8         0.60         0.45                                   0.40
    Oranges     Calif.      1972    2      25     1.2     wp 50%      3.0   3.3    1.9   2.1    2.2  1.8           2.5   2.4          1.6   1.7
    Valencia                1972    2      50     2.4     "  "        5.6   6.0    5.0   4.4    4.2  5.0           4.4   3.8          4.0   3.8
                            1972    2      100    4.8     "  "       10.5  11.0    9.5   9.5    7.5  7.5           6.2   5.5
                            1971    1      25     0.44    "  "        1.1   1.3   0.65  0.82    0.8  1.0           0.88  0.96         0.52  0.74
                            1971    1      50     1.      "  "        1.8   3.0    1.5   2.0    1.5  1.7           1.4   1.8          1.5   1.8
                (Florida)   1972    4      12.5   0.9     "  "       0.56  0.62   0.50  0.75   0.74 0.75           0.64  0.75
                            1972    4      25     1.9     "  "        1.5   1.6    1.5   1.5    1.5  2.0           1.5   1.7
                            1972    4      50     3.6     "  "        3.8   4.0    3.2   4.1    3.1  3.2           3.6   3.1
    Lemon
    Nostrana    Italy       1975    1      30             "  "                                                                 0.9    0.5
    Lisbon      USA
                (Ariz.)     1974    2      19     1.4     "  "       0.81         0.23         0.22                0.34
                            1974    2      19     1.4     "  "        2.8          2.0          1.2                1.6
                            1974    2      32e    3.5     "  "        1.6         0.32         0.30                1.2
                            1974    2      32e    3.5     "  "        5.6          5.8          2.9                2.0
                (Calif)     1973    3      12.5   0.37    "  "       0.40  0.25   0.20  0.30   0.15 0.30           <0.05 <0.05        (0.05)
                            1973    3      25     0.75    "  "       0.95  0.70   0.25  0.40   0.30 0.30           <0.05 <0.05        (0.05)
                            1973    3      50     1.5     "  "        1.0  0.90   0.75  0.70   0.35 0.05           0.05  <0.05        0.05  0.20

    TABLE 5. (Continued)

                                                                                                                                               

                                                  Application                    Residues (mg/kg) at intervals (days) after application
                                                    rate
    Crop        Country     Year    No     g/100 1 kg/ha  formulation    0-2          7           14         21     28-31     32-35   58-64
                                                                                                                                      (45)
                                                                                                                                               
    Grapefruit
    Marsh       USA
                (Calif)     1971    1      25     1.8     "  "        0.9   1.3    0.6   0.9    0.8  0.9           0.6   1.0          0.5   0.6
                            1971    1      50e    3.6     "  "        1.2   2.0    0.9   1.4    1.4  2.0           1.4   1.6          1.3   1.6
    Red Blush               1972    2      12.5   0.2     "  "        0.8   0.7   0.45  0.45   0.86 0.74           0.36  0.44         (0.42 0.36)
                            1972    2      25     0.4     "  "        1.6   1.7                 1.3  1.5           0.9   0.7          (0.90 0.68)
                            1972    2      50     0.8     "  "        3.2   2.9                 2.5  2.6           1.9   1.5          (1.7  2.5)
    Marsh       (Florida)   1972    3      12.5   1.0     "  "                                                     0.3   0.4          (0.4  0.5)
                            1972    4      12.5   1.0     "  "        0.7   0.7                                    0.7   0.7          (0.7  0.7)
                            1972    3      25     1.9     "  "                                                     1.1   1.2          (0.4  0.4)
                            1972    4      25     1.9     "  "        1.5   2.8                                    1.7   1.8          (1.4  1.1)
                            1972    3      50e    3.8e    "  "                                                     3.2   3.4          (1.3  1.7)
                            1972    4      50e    3.8e    "  "        3.4   4.8                                    2.8   4.0          (1.8  3.0)
                            1971    3      12.5           "  "       0.71  0.65   0.72  0.65   0.52 0.44
                            1971    3      25             "  "        1.3   1.3    1.8   1.6    1.0 0.75
                            1971    3      50             "  "        3.3   3.3    3.8   3.1    1.8  1.5


                                                                                                                                               
    e= excessive application

    TABLE 6. Residues of fenbutatin oxide in stone fruits resulting from supervised trials

                                                                                                                          

    Crop                Country    Year  No     g/100   1kg/ha   formulation    0.2     7        14      21       28-31
                                                                                                                          

    Cherries
    (sweet and sour)
    Biggerau            Fed. Rep.
                        Germany    1977  3      25               WP 50%         0.70    0.21  0.09
    Rote Leber                     1977  3      25               "  "           1.5     0.17  0.04      0.02
    Schattenmorelle                1977  3      25               "  "           1.1     0.41  0.22      0.09
    Morella                        1977  1      25      0.3      "  "                                   0.90     0.50
                                   1977  1      50      0.6      "  "                                   1.10     1.15
    Bing                USA
                        (Calif)    1976  1      25      1.1      "  "                         1.7
                                   1976  1      50      2.2      "  "                         3.2
    Sour                USA
                        (Mich)     1974  2      12.5                            0.96
                                   1974  2      25                              2.3     1.5   2.2                3.0
                                   1974  2      50                              4.1     3.6   3.9                4.2
                        USA
                        (Wash)     1974  2      25      1.2                                   1.4   2.0
                                   1974  2      50      2.4                                   1.7   1.7
                                   1974  2      100c    4-5                                   3.6   3.8
    Cherries
    Bing                USA
                        (Wash)     1974  2      25      1-2                                   1.4   2.0
                                   1974  2      50      2-4                                   1.7   1.7
                                   1974  2      100c    4-5                                   3.6   3.8
                                                                                                                          

    TABLE 7. Residues of fenbutatin oxide in peaches resulting from supervised trials

                                                                                                                                    

                                                 Application              Residues (mg/kg) at intervals (days) after application

    Crop            Country    Year   No    g/100  1kg/ha  formulation   0-3    7-8   13-14   20-21    28-30      35        42
                                                                                                                                    

    Peach
    Tatura
    Aurora
                    Australia  1975   2     20             sc500/gl      2.2
                               1975   2     30             "  "          3.6
                               1975   2     20             wp 50%        2.7
    Cornish                    1973   1     19             "  "          1.3    1.9   2.5               0.71
                               1973   1     25                           1.8    1.4
    Golden Queen               1974   1     19                           1.4    <0.1                    1.0
                               1974   1     19                                        2.2
                               1974   2     19                                        3.5
    Alberta         Canada     1976   2                                         2.6   0.63
    Royal Gold      France     1977   1     50     0.75                         0.87
    Audenot                    1973   1            0.5                   3.7    2.6   1.9
    Alberta                    1973   1            0.5                   1.6    1.6   1.5       1.3     0.65
    Red. Aven
    P.G.                       1974   1            0.5                   2.0    1.7   0.41
    Vellutata       Italy      1974   1     30                                        0.4       0.3     0.5
    Netturina N7               1974   1     30                                        0.5       0.3     0.5
    Golden Queen    New
                    Zealand    1975   1     19                           0.8    0.65  0.45
    Kakamus         S. Africa  1976   1     30                           7      5.9   4.0
    "                          1976   1     50                           12     7.0   6.0
    Sunblest        USA
                    (Calif)    1973   3     50     1.1                          4.3   3.0
                               1973   3     20                           4.3                            1.0
                               1973   3     50                           7.3          5.7 8.0           2.6
    Red Haven      (Oregon)   1973   3     19     0.3                   3.9    2.8   1.9       1.5
                    (S.
                    Carolina)  1973   3     38     0.6                   7.7    8.2   4.6       5.8

    TABLE 7. (Continued)

                                                                                                                                    

                                                 Application              Residues (mg/kg) at intervals (days) after application

    Crop            Country    Year   No    g/100  1kg/ha  formulation   0-3    7-8   13-14   20-21    28-30      35        42
                                                                                                                                    

    Roter
    Ingelheimer     Fed. Rep.
                    of
                    Germany    1977   3     25     0.25                  9.0    3.4   3.4       2.0     1.8          1.3
    Rekord
    a. Alfter                  1977   3     25     0.25                  8.1    4.7   2.5       2.2     1.5
    Madame
    Roenait                    1977   3     25     0.25                  8.1    3.1   2.5       2.3     3.3
                                                                                                                                    

    TABLE 8. Residues of fenbutatin oxide in plums resulting from supervised trials

                                                                                                                                               

                                            Application                             Residues in mg/kg at intervals (days) after application
                                                rate
    Crop         Country       Year   No    g/100  1 kg/ha    formulation    0         3-4       7         14        21        25-28     32-35
                                                                                                                                               

    Plums

    Auerbacher   Fed.
                 Rep.
                 Germany       1977   3     25     0.25       WP 50%         0.15                0.15      0.15      0.10
    Bühler                     1977   3     25     0.25                      0.25                0.10      0.15      0.10
    Czar         Netherlands   1977   1     25     1.75       sc500/gl       0.3                 0.2       0.1       <0.1      <0.1
                               1977   1     50     3.5        "  "           0.5                 0.4       0.2       0.1       0.1
    Relsey       S. Africa     1976   1     30                wp 50%         1.2       1.3       0.8       0.9
    "                          1976   1     50                "  "           2.2       2.2       1.8       1.0
    Stanley      USA
                 (New York)    1974   2     12.5                                                                               0.31
                               1974   2     25                "  "                                                             0.50
                               1974   2     50                "  "                                                             0.49
    French
    Prunes       (Calif)       1974   2     12.5              "  "                                         0.27                0.35
                               1974   2     25                "  "                                         0.92                0.96
                               1974   2     50                "  "           2.8                 2.3       1.8
    Early
    Halian       (Wash)        1974   2     25                "  "           0.19                0.02      0.11      0.6
                                            50                "  "           0.29                0.73      0.47      0.58
                                            100               "  "           1.03                1.05      0.67      0.69
                                                                                                                                               

    TABLE 9. Residues of fenbutatin oxide in grapes resulting from supervised trials

                                                                                                                                             

                                           Application                    Residues (mg/kg) at intervals(days) after application
                                              rate
    Crop            Country      Year   No    g/100   1kg/ha        formulation     0-3       7        13-14   21      28-31   42-45        56-
                                                                                                                                             
    Grapes
    Semillion       France       1973   1     30                    wp 50                                                                   0.7
                                        1     50                    "  "                                                                    0.9
    Grenache                     1974   1             0.5           "  "
    Merlot Rouge                 1974   1             0.5           "  "
    Lavallet                     1975   1     50                    "  "                                               0.27
    Grenache                     1975   1     50                                                               0.50
    Siebel                       1975   1     125e                  "  "                                   1.1
    Müller          Fed. Rep.
                    of Germany   1975   3     50                    "  "            4.7       3.9      2.5     2.6                          1.2
    Kerner                       1975   3     50                    "  "            4.8       2.1      2.7     3.0                          1.1
    Müller                       1975   3     50                    "  "            4.9       3.3      3.4     2.3             2.9
    Sylvaner                     1975   3     50                    "  "            2.7       1.9      1.6     3.2             1.4
    Riesling                     1975   3     50                    "  "            4.5       1.8      1.6     0.6
    Trollinger                   1975   3     50                    "  "            1.3       1.2      1.1     3.2                          2.3
    Sprühsurgunder               1975   3     50                    "  "            7.1       6.3      6.2     6.3
    Barbera         Italy        1975   1     30                    "  "            7.1                1.3     1.1     0.45
    Nebbiolo                     1975   1     30                    "  "                               1.8     1.1     0.68
    Chasselas       Switzerland  1975   1     100e                  "  "                                                                    2.1
    Rabier          USA
                    (Calif)      1973   3     25      0.5           "  "            0.90      0.68     0.16            0.17
                                 1973   3     50      1.0           "  "            2.0       0.62     3.0             2.3
    Mission                      1973   3             0.5           "  "            1.0       0.45     0.97            0.65
                                 1973   3     50      1.0                           2.2       0.47     0.67            1.2
    Thompson                     1973   3     25      0.5                           1.5       1.5      1.8             1.0
                                 1973   3     50      1.0                           3.9       1.8      1.4             0.66
    Concord         (Michigan)   1974   3     50      1.1                           3.1                2.0     2.2     1.8
                                 1974   3     75      1.7                           5.6                2.8     3.4     2.7
                                              50      1.1                                              2.8
                                              100     2.2                                              2.9
                                                                                                                                             
    e= excessive application

    TABLE 10. Residues of fenbutatin oxide in strawberries resulting from supervised trials

                                                                                                                                              

                                              Application                           Residues (mg/kg) at intervals (days)-after application
                                              Rate
    Crop            Country      Year   No     g/100  1 kg/ha   formulation         0-2       3-4      5-7     10-14   28-32   35-38  42
                                                                                                                                              

    Strawberries
    Gorella (g)     Belgium      1976   1     25      0.9       WP 50%                        0.2      0.1     <0.1    <0.1
    Volla (g)                    1976   1     25      0.9       "  "                          0.40     0.15    0.15    <0.1    <0.1   <0.1
                    France       1977   1     30                "  "                                   0.35    0.20
                    Mexico       1977   1             0.55      sc 500g/l                     2.3      2.0     0.9
                                                      1.1       "  "                          7.0      4.0     5.9
                    Netherlands  1977   1     25                wp 50%                                                 0.50
                                 1977   2     25                "  "                                                   0.65
                                 1977   1     25                "  "                                                           0.15
                                 1977   2     25                "  "                                                           0.30

                                 1977   1     25                sc 500g/l                                              0.65
                                 1977   2     25                "  "                                                   1.1
                                 1977   1     25                "  "                                                           0.25
                                 1977   2     25                "  "                                                           0.50
    Parfaite        S. Africa    1977   1     25      0.13      "  "                0.5       0.2      0.2
                                        1     38      0.19      "  "                0.8       0.5      0.5
    - (g)           UK(Sussex)   1975   1     25                wp 50%              0.7       0.7      0.5     <0.1
    -               (Devon)      1975   1     25                "  "                0.4       0.2      0.5     0.2
    Tioga           USA(Calif)   1974   1     50      1.1       "  "                1.4*
                                 1974   1     100     2.2       "  "                2.4*
    Heidi                        1973   2     80      2.2       "  "                4.9*      4.6      3.4
                                 1973   2     160e    4.4e      "  "                4.8*      5.9      2.9
    G - 4                        1973   4     160e    4.4e      "  "                4.0*      3.3      3.0
    Tioga           (Florida)    1974   6     40      0.55      "  "                1.2*               1.4     0.3
    Catskil         USA
                    (Wisc)       1975   2     100     1.1       "  "                1.6*               0.49
                                        2     200     2.2       "  "                2.2*               1.5
    Northwest       (Wash)       1975   1     50      0.55      "  "                0.70      1.1      0.98
                                        1     100     1.1       "  "                1.1       1.2      1.83
                                        1     200     2.2       "  "                2.4       4.3      3.1

    TABLE 10. (Continued)

                                                                                                                                              

                                              Application                           Residues (mg/kg) at intervals (days)-after application
                                              Rate
    Crop            Country      Year   No     g/100  1 kg/ha   formulation         0-2       3-4      5-7     10-14   28-32   35-38  42
                                                                                                                                              
    Raritan         (New Jersey)        2     50      0.55      "  "                0.86      0.2      0.60
                                        2     100     1.1       "  "                1.4       1.3      0.60
                                        2     200e    2.2e      "  "                5.0       1.9
                                                                                                                                              

    (g) = glasshouse or plastic cover
    e = excessive application
    * = residue after 1 day

    TABLE 11. Residues of fenbutatin oxide in fruits of vegetables resulting from supervised trials

                                                                                                                                               

                                              Application                           Residues (mg/kg) at intervals (days) after application
                                              rate
    Crop           Country       Year   No   g/100        1 kg/ha    formulation      0         2-3      4-5     7       10      14      30
                                                                                                                                               
    cucumbers(g)   Netherlands   1974   1    25                      wp 50%           0.2       0.1      0.1             <0.1
                                 1974   1    25                      "  "             0.2       0.2      0.2             <0.1
    gherkins(g)                  1974   1                 0.75                        1.8       0.8      0.7             0.9
    melons         France        1977   1    30                                                                  < 0.01          <0.01
    sweet
    peppers(g)     Belgium       1976   1                                             1.2       1.0                              0.6
    sweet
    peppers(g)     Netherlands   1976   1                 0.5                         0.4       0.6              0.4             0.1
    tomatoes(g)    Netherlands   1976   1                 0.5                         0.2       0.4              0.4             0.4
    tomatoes       Italy         1974   2    30                                                                                  0.5     0.3
                                 1974   2    30                                                                                          0.2
    tomatoes(g)    UK            1975   1                                                       0.2      0.3     0.4
                                                                                                                                               

    (g) = glasshouse of plastic cover

    

    In a second experiment (Shell, 1973) 3 Guernsey cows were similarly
    given a daily ration containing 34 mg/kg 119Sn-labelled fenbutatin
    oxide for 21 days. Excretion of the ingested fenbutatin oxide was
    mainly via the faeces but small amounts, up to 3% of the daily intake,
    were excreted in the urine. As in the previous experiments no residues
    were found in the milk (limit of determination 0.02 mg/kg) and none in
    the brain, honey fat or most of the muscle samples taken. However
    radio-activity averaging 0.27 mg/kg calculated as fenbutatinoxide was
    found in the kidney and 0.34 mg/kg in the liver of all three animals.
    Radio  activity equivalent to 0.08 mg/kg fenbutatin oxide was found in
    lone lung sample and a just measurable residue equivalent to 0.04
    mg/kg in one muscle sample (gastrocnemius). The limit of determination
    was equivalent to 0.04 mg/kg fenbutatin oxide in all the tissues
    (Shell, 1973). Residue data from field trials indicate that residues
    of fenbutatin oxide in apple pomace from apples containing a residue
    of 4 mg/kg may approach 25 mg/kg (Shell, 1972-74).

    The data from the cattle-feeding studies indicate that cattle fed
    normal amounts (up to 25% of the total diet) of apple pomace made from
    apples treated with fenbutatin oxide according to good agricultural
    practice are unlikely to yield milk containing detectable amounts of
    the acaricide. No measurable residues are likely in muscle tissues,
    but they might occasionally occur at low levels (<0.2 mg/kg) in
    liver and kidney.

    In plants

    Fenbutatin oxide is slowly lost after application to crops. The
    degradation to in-organic tin occurs through successive loss of the
    phenyldimethylethyl groups. The principal organotin degradation
    product found on crops is 1,1,3,3,tetrakis(ß, ß-dimethylphenethyl)-
    1,3-dihydroxydistannoxane, referred to subsequently as SD 31723(Shell,
    1972).

    In studies of the fate of fenbutatin oxide on leaves and fruit of
    apples and citrus (Shell, 1972, 1974a), small apple trees grown in a
    lath-house were treated one to three times with 119Sn-labelled
    fenbutatin oxide with approximately 40µg at each application.
    Recoveries of 119Sn 2 to 33 days after the last application were
    84-96% of the amount applied. Virtually all the radio-activity in the
    fruit was found to be on the outer surface of the skin. Substantial
    amounts of the radio-activity were removed by rinsing with organic
    solvents, or simply by siping the fruit-skin with paper tissues. It
    was shown that less than 5% of the total radio-activity present in the
    fruit originated from the principal breakdown product SD 31723 and
    less than 0.7% from other organotin metabolites including (ß, ß-
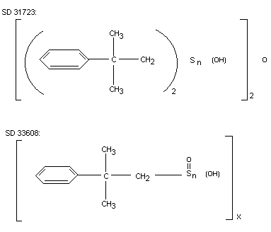
    dimethylphenethystannoic acid polymer (SD 33608). The structural
    formula of the metabolites SD 31723 and SD 33608 are shown on the
    following page. Inorganic tin accounted for nearly 10% of the total
    119Sn on the apples (Shell, 1972).

    CHEMICAL STRUCTURE 7



    In another experiment apples were treated in a similar way either with
    the parent chemical or with SD 31723 and analysed six weeks later. The
    result indicated that the rate of breakdown of SD 31723 exceeded that
    of fenbutatin oxide itself. It was concluded that fenbutatin oxide is
    degraded firstly to SD 31723, and to SD 33608 and eventually to
    inorganic tin compounds. Since SD 31723 was degraded faster than the
    parent compound, it is unlikely to build up treated crops and would
    therefore not be expected to form an appreciable part of any residue
    present.

    Similar experiments were carried out on oranges (Shell, 1974a). Leaves
    were treated with formulated 119Sn-labelled fenbutatin oxide at a
    concentration of 39.5 mg/1 and analysed at intervals up to nine months
    after treatment. 40 days after the treatment 65% of the applied
    radio-activity was still present in the leaves, of which 71% was
    unchanged fenbutatin oxide, 3.4% SD 31723, 0.5% SD 33608 and the rest
    inorganic tin. At the end of the 9-month period the total
    radio-activity present had declined to about 11% of that applied, and
    of this almost 60% was still present as fenbutatin oxide; SD 31723
    accounted for about 3% and SD 33608 for less than 1% whilst inorganic
    tin made up the remainder (Shell, 1974a).

    In other experiments oranges with a diameter of 3-4 cm. were similarly
    treated at a rate corresponding to 0.2/kg on the anticipated weight at
    harvest 6 months later. Some of the oranges were again treated prior
    to harvest to give a total dose corresponding to 0.44 mg/kg on harvest
    weight and left on the tree for a further 2 months.

    The fruit after picking was separated into peel, juice and pulp which
    were separately analysed. No radio-activity was detected in the juice
    or in the pulp of any of the samples, at the limit of determination
    assessed to be 0.001 mg/kg (calculated as fenbutatin oxide). Residues
    in the peel of the fruit harvested 6 months after a single treatment
    averaged 0.095 mg/kg and 2 months after a second treatment 0.172
    mg/kg.

    In both instances approximately 6% of the residue was soluble in
    organic solvents and where analysed was found to consist largely
    (about 90%) of unchanged fenbutatin oxide (Shell, 1974a).

    These results therefore confirmed those obtained on apples.

    Residue data from SD 31723 in crops

    An analytical method for the routine determination of SD 31723 was
    used on numerous samples taken from crops treated in the field with
    fenbutatin oxide. Residues on SD 31723 were generally below the limit
    of determination (usually in these analyses 0.1-0.2 mg/kg, except in
    one set of strawberry samples, where the limit was 0.04 mg/kg).

    Positive residues were found only in one trial with peaches, where
    levels up to 0.3 mg/kg occurred; the residue was solely in the skin.
    These data are in line with the observations in other experiments that
    residues from fenbutatin oxide are sometimes higher in peaches than in
    the other crops studied (Shell, 1976).

    In storage and processing

    Since fenbutatin oxide is moderately stable, insoluble in water and
    remaining largely on the exterior of treated crops, it is clear that
    processing which affects the surface of the crop may considerably
    reduce the residue levels; some details are given below.

    Washing Experiments with apples and citrus showed that fenbutatin
    residues may be considerably reduced by washing. 60% or more of the
    original residue was removed by this process.

    Peeling The removal of the outer peel of the fruit or other
    commodity reduces the residue by at least 75%, depending on the
    commodity.

    Juice extraction Data on residues in extracted citrus juice are
    generally below the limit of determination (0.02-0.05 mg/l). In only
    one instance was a small residue of fenbutatin oxide (0.08 mg/1)
    found.

    Apple juice has been obtained with similarly low residues (Shell,
    1972-1974). From studies with the radio-labelled compound, residues
    would not be expected to occur in the interior of the apples and the
    data on juice confirm that the residues on the surface of the fruit
    are not extracted to an appreciable extent with the juice during its
    preparation. No residues of the main metabolite SD 31723 have been
    found in any juice from treated fruits (Shell, 1972, 1974a).

    Vinification Wine from grapes containing up to 5.6 mg/kg of
    fenbutatin oxide in the whole fruit contained less than 0.02 mg/1, the
    limit of determination (Shell, 1974b, 1975). Similarly the breakdown
    product SD 31723 was not found in the wine at the limit of
    determination of 0.1 mg/1 (Shell, 1975).

    In soil

    Residue degradation in sterile and non-sterile soils. The residue
    degradation of 119Sn-labelled fenbutatin oxide was studied in a
    steam-sterilized and unsterilized Hanford sandy loam (particles 2
    11.1%; between 2 and 20 21.9%; 20 67%; organic material 0.8-1%; pH
    4.6-6.5). 10 mg/kg 119Sn-labelled fenbutatin oxide was mixed into
    both soils which were stored in the same room at ambient temperature.
    Almost all the 119Sn was organosoluble. Fenbutatin oxide decreased
    initially faster in sterile than in normal soil. However the rate of
    decrease later became less in sterile than in live soils. It is
    suggested that steam sterilisation activates catalytically active
    sites on the soil so that more molecules can be degraded initially.
    The subsequent decrease in rate as compared with live soils indicates
    that microbial degradation, which occurred in the latter became the
    main factor in degradation. No accumulation of degradation products
    except 119Sn could be 254 fenbutatin oxide measured (Shell, 1973b)
    see Table 12.

    Metabolism in soil under aerobic and anaerobic conditions

    In other experiment in which 10 mg/kg 119Sn-labelled fenbutatin
    oxide was mixed into the same soil, the residue degradation was
    studied under aerobic and anaerobic conditions. One set of soil
    samples was kept under aerobic conditions at ambient temperatures in a
    glasshouse; another set was kept under nitrogen after an initial 30
    days aerobic period. The amount of solvent-extractable radio-activity,
    which was nearly all 119Sn-fenbutatin oxide, decreased slowly during
    the 180 days of the experiment. No significant differences could be
    found between the rates of degradation under aerobic and anaerobic
    conditions (Shell, 1973a).

        TABLE 12. Radio-activity extracted from sterile and non sterile soil at intervals after treatment
    with fenbutatin oxide
                                                                                   
                                119Sn as mg/kg fenbutatin oxide equivalents
    Days after            sterile soil                       live soil
    treatment
                                                                                   
    0                     10.1                               10.1
    30                    9.3                                9.8
    60                    9.2                                9.1
    90                    9.0                                8.6
    120                   8.7                                8.5
    180                   8.5                                7.9(Shell, 1973b)
                                                                                   
    

    The degradation of 14C-labelled fenbutatin oxide was also studied in
    Hanford sandy loam under outdoor field conditions. The compound was
    applied at a rate of 1.5 kg/ha either as a single application or as
    repeated applications, each at the same rate, at six-monthly
    intervals. The degradation followed first order kinetics during the
    first 12 months and accelerated considerably during the next six
    months so that one-half of the 14C-fenbutatin still present after 12
    months was degraded during the following 6 months. A similar increase
    in the degradation rate was also found in the experiments in which
    14C-fenbutatin oxide was applied repeatedly. Since the environmental
    conditions did not vary significantly from one year to the other, it
    is suggested that adaptation of micro-organisms to the compound was
    the primary cause of the increase. No accumulation of the degradation
    products SD 31723 or SD 33608 could be detected at any time (Shell,
    1974).

    Under the field conditions 14C-labelled fenbutatin oxide applied to
    the soil surface remained mainly in the top 7.5 cm. No measurable
    amounts or very low residues were found in the 22.5-30 cm layer (Table
    13).

        TABLE 13. Carbon-14 extractable from soil after a single application of fenbutatin
    oxide

                                                                                              
    Depth of soil                       14C, as mg/kg fenbutation oxide equivalents after
                                     0            4 months      12 months       18 months
                                                                                              

    0-7´ cm                          1.51         1.04          0.66            0.27
    7´-15 cm                         -.-          0.06          0.06            0.03
    15-22´ cm                        -.-          0.05          < 0.02          0.04
    22´-30 cm                        -.-          0.03          < 0.02          <0.02
                                                                                              
        Mobility in soil and leaching

    A sample of Hanford loam, which had been treated with 14C-labelled
    fenbutatin oxide and aged outdoors for 4 months, was placed on top of
    a column of the same but untreated soil, 30 cm long. The soil was
    saturated with water and leached by applying a total of 50 cm water
    over a period of 51 days. The 14C content in each of the daily
    effluent samples was below the detection limit of 0.002 mg/kg
    equivalents of fenbutatin oxide. The soil on top of the column
    contained 1.22 mg/kg equivalents of fenbutatin oxide initially and
    1.16 mg/kg at the end of the experiments.

    The four 7.5 cm. layers of the column contained 14C equivalent
    respectively to 0.02, 0.017, < 0.01 and < 0.01 mg/kg of fenbutatin
    oxide at the end of the experiments (Loeffler, 1973).

    In air and UV light

    Thin layers of 119Sn fenbutatin oxide on a glass surface when
    exposed to sunlight slowly decomposed to the derivative SD 31723 and
    to more polar compounds such as inorganic tin salts. After 230 hours
    of exposure, 81% of the initial 119Sn deposit was extractable by
    organic solvents and 6% by aqueous solvents. In this sample 76% of the
    organo-soluble 119Sn consisted of unchanged fenbutatin oxide and
    21.3% of the degradation product SD 31723 (Shell, 1973d).

    EVIDENCE OF RESIDUES IN FOOD IN COMMERCE, OR AT
    CONSUMPTION

    No information available.

    METHODS OF RESIDUE ANALYSIS

    Gas-chromatographic methods of analysis for fenbutatin oxide residues
    on fruit crops and fruits or vegetables have been developed (Shell,
    undated, 19746).

    Three modifications of a basic method are available. The finely
    divided crop sample is extracted with methylene chloride,
    concentrated, diluted with hexane and treated with hydrochloric acid,
    to form a chloro-derivative. The resultant solution is then cleaned up
    on an acid alumina column before determination by GLC. The method has
    been adapted for use on samples of milky animal tissues and other
    materials (Shell, undated). The modifications differ only in detail
    and the choice of the method is dependent on the equipment and
    solvents available, the commodities to be analysed and the analyst's
    personal preference. Limits of determination are in general 0.01
    - 0.05 mg/kg.

    Tests have been carried out to determine the loss of residue during
    storage at deep-freeze temperatures (-15°C) whilst awaiting analysis.
    No changes in residue levels could be detected during a period of
    16-18 months (Shell, 19740).

    Two methods have also been developed for the determination of the
    principal breakdown product of fenbutatin oxide, SD 31723. Both
    involve extraction of the finely divided sample with methylene
    chloride as for the parent compound. The extracts are subjected to
    clean-up on an alumina or silica gel column and the eluates are
    concentrated and analysed by a thin layer chromatographic technique.
    After development the plates are treated with a suitable reagent to
    visualize the tin-containing products. The determinations are
    completed by visual comparison of the colour and size of the spots
    with standards run under the same conditions. A limit of determination
    of 0.1-0.2 mg/kg SD 31723 can be achieved (Shell, undated, undated).

    APPRAISAL

    Fenbutatin oxide is used as an acaricide as a foliar application on a
    considerable scale on a wide variety of fruits and fruiting vegetables
    in various countries.

    Fenbutatin oxide is mainly marketed as a 50% wettable powdery but also
    as a suspension concentrate. The rates of application vary depending
    on crop, pest and method of application; normal rates are usually 1-2
    kg a.i./ha.

    The recommended pre-harvest intervals in various countries vary
    considerably for one and the same crop.

    Residue data from supervised trials were obtained from several
    countries. Residues do not penetrate through the skin of treated fruit
    to any great extent, and in the pulp are therefore generally below the
    limit of determination.

    Extensive data are available on the fate of the residues in plants and
    on the levels of residues in products of animal origin arising from
    the feeding of treated commodities including the pulp of treated
    fruits. On apples after 33 days the remaining residue consists of
    about 85% unchanged parent compound, 5% of the principal organotin
    metabolite SD 31723 and about 10% of inorganic tin.

    The degradation of the main metabolite SD 31723 is faster than that of
    the parent compound and thus the metabolite will in general not form
    an appreciable part of any residue present in practical conditions.

    Occasionally residues not exceeding 0.3 mg/kg of the parent compound
    could be found in the kidneys of cows fed with treated feeds and it
    was calculated that these residues mould not exceed 0.2 mg/kg in
    practical circumstances; in meat and milk, residues were undetectable
    (i.e. below 0.02 mg/kg).


        NATIONAL TOLERANCES REPORTED TO THE MEETING

    The following national maximum residue limits for fenbutation oxide are
    established or under consideration:
                                                                                                      
    Country                        Commodity                         maximum residue limit, mg/kg
                                                                                                      
    Australia                      Apples, pears, peaches            3
    Belgium                        Apples, pears                     1
    Fed. Rep. of Germany           Pome fruit                        2
    The Netherlands                Apples, pears, cherries,
                                   plums                             1
                                   Blackberries,
                                   raspberries, strawberries,
                                   black- and red currants           0.2
                                   gherkins (glasshouse
                                   and outdoors)                     1
                                   Cucumbers* , melons*,
                                   bell-peppprs *,
                                   eggplant *, tomatoes *            0.3
    Italy                          Apples, pears, apricots,
                                   cherries, peaches,
                                   plums, citrus fruits,
                                   grapes, cucumbers,
                                   tomatoes                          0.5
    South Africa                   Apples, pears, peaches,
                                   citrus fruits                     2
    Switzerland                    Pome fruit, stone fruit, grapes   1.5
    U.S.A.                         Apples, pears, citrus fruits      4
                                   Liver and kidney of cattle,
                                   goats, horses, pigs and sheep     0.3
                                   Dried apple pomace                20
                                   Dried citrus pulp                 7
                                                                                                      

                                   *glasshouse crops
    

    Fenbutatin oxide applied in field conditions to the soil remains in
    the upper layers and is slowly degraded, forming non-mobile
    metabolites. Washing fruits and vegetables removes 60% or more of the
    original residue, and removal of the outer peel of apples or citrus
    reduces the residue by at least 75%.

    Gas-chromatographic methods for residue analysis for fenbutatin oxide
    in fruit crops, fruits of vegetables, milk and animal tissues are
    available, which are suitable or can be adapted for regulatory
    purposes. Methods for the determination of the principal metabolite
    have also been developed.

    RECOMMENDATIONS

    The following maximum residue limits for fenbutatin oxide are
    recommended. They refer to fenbutatin oxide, excluding any
    metabolites.


    Commodity                Limit, mg/kg             Pre-harvest interval
                                                      on which
                                                      recommendations
                                                      are based

    Dried apple pomace            20                       -
    Dried citrus pulp             7                        -
    Peaches                       7                        14-21
    Apples and pears              5                        14
    Cherries (sour and sweet)     5                        14-21
    Citrus fruits                 5                        7-14
    Plums                         3                        7-14
    Strawberries                  3                        7-14
    Fruits of vegetables
    (cucumbers, eggplants,
    gherkins, melons, sweet
    peppers, tomatoes)            1                        3-7
    Liver and kidney of cattle,
    goats, horses, pigs and
    sheep                         0.2
    Meat of cattle, goats,
    horses,
    pigs and sheep                0.02*
    Milk                          0.02*
                    
    * At or about the limit of determination.

    FURTHER WORK OR INFORMATION

    DESIRABLE

    1.  Further studies to elucidate the EEG findings in the dog.

    2.  Elucidation of species differences in toxic effects on rabbit
    testes.

    REFERENCES

    Dean, B.J., Doak, S.M.A. and Funnell, J. (1972a) Toxicity studies with
    SD 14114: genetic studies with SD 14114 in micro-organisms in vitro
    and in the host-mediated assay. Unpublished report from Tunstall
    Laboratory submitted to the World Health Organization by the Shell
    Chemical Company.

    Dean, B.J., Doak, S.M., Perquin, B.D. and Senner, K. (1972b) Toxicity
    studies with SD 14114: the cytogenetic investigation of bone marrow
    cells of mice after a single oral dose of SD 14114. Unpublished report
    from Tunstall Laboratory submitted to the World Health Organization by
    the Shell Chemical Company.

    Dean, B.J. and Doak, S.M. (1972c) Toxicity studies with SD 14114: the
    effects of a single oral dose of SD 14114 on dominant lethal mutations
    in male mice. Unpublished report from Tunstall Laboratory submitted to
    the World Health Organization by the Shell Chemical Company.

    Dix, K.M. and Wilson, A.B. (1973) Toxicity studies with SD 14114:
    Teratological studies in rabbits given SD 14114 orally. Unpublished
    report from Tunstall Laboratory submitted to the World Health
    Organization by the Shell Chemical Company.

    Granville, G.C., Simpson, B.J. (1973a) and Doak, S.M. Toxicity studies
    on the pesticide SD 14114: an 18 month study in mice. Unpublished
    report from Tunstall Laboratory submitted to the World Health
    Organization by Shell Chemical Company.

    Granville, G.C. and Dix, K.M. (1973b) Toxicity studies on the
    pesticide SD 14114: Two year oral toxicity test in dogs. Unpublished
    report from Tunstall Laboratory submitted to the World Health
    Organization by the Shell Chemical Company.

    Hine, C.H., Eisenlord, G. and Loguvan, G.S. (1973) Results of
    reproduction study of rats fed diets containing SD 14114-V over three
    generations. Unpublished report from Hine Laboratories Inc. submitted
    to the World Health Organization by the Shell Chemical Company.

    Loeffler, J.E. (1972) The fate of Ingested 119Sn SD 14114 in Rats.
    Unpublished report from Shell Development Company, Biological Sciences
    Research Center submitted to the World Health Organization by Shell
    Chemical Co.

    Loeffler, J.E. (1973) Leaching of 14C-SD 14114 from Soil.
    Unpublished report TIR-22-112-73, from Shell International.

    Natoff I.L. (1973) Toxicity studies on the pesticide SD 14114: acute
    oral toxicity studies in the mouse, rat, and rabbit of the metabolite
    SD 31723. Unpublished report from Tunstall Laboratory submitted to the
    World Health Organization by the Shell Chemical Company.

    Pickering, R.G. (1973a) Toxicity studies on the pesticide SD 14114:
    Studies on the origin of the increase serum alkaline phosphatase
    activity (SAP) in rats fed SD 14114. Unpublished report from Tunstall
    Laboratory submitted to the World Health Organization by the Shell
    Chemical Company.

    Pickering, R.G. (1973b) Toxicity studies on the pesticide SD 14114:
    The reversibility of the increase in rat serum alkaline phosphatase
    (SAP) activity produced by SD 14114. Unpublished report from Tunstall
    Laboratory submitted to the World Health Organization by the Shell
    Chemical Company.

    Samules, G.M.R. and Dix, K.M. (1972) Toxicology of the Pesticide SD
    14114: Comparative oldema assay of organotin compounds for oldema
    formation in the central nervous system of rate. Unpublished report
    from Tunstall Laboratory submitted to the World Health Organization by
    Shell Chemical Company.

    Shell Chimie S.A. (1972-1974) Reports TIR-26-131-72, TIR-26-197-73 and
    TIR-26-101-74; unpublished.

    Shell Chimie S.A. (1973) Reports TIR-26-119-73 and TIR-22-126-73,
    unpublished.

    Shell Chimie S.A. (1975) Reports BEGR 0019.75 and BEGR 0020.75,
    unpublished.

    Shell Chirnie S.A. (1976) Report BEGR. 0068.76, unpublished.

    Shell Development Co. G.L.C. Methods for residue analysis of
    fenbutatin oxide. Unpublished methods MMS-R-345-1, MMS-R-391-1 and
    WAMS 215-1 (SAMS-1).

    Shell Development Co. (1972) Fate of 119Sn (SD 14114) on apple
    trees. Unpublished report.

    Shell Development Co. (1972, 1973) Reports TIR-26-113-72 and
    TIR-26-197-73 and TIR-26-101-74, unpublished.

    Shell Development Co. (1974a) Fate of 119Sn (SD 14114) on Orange
    leaves and Oranges. Unpublished report.

    Shell Development Co. (1974b) Reports TIR-24-178-74 and TIR-24-238-74,
    unpublished.

    Shell Development Co. (1974c) Report TIR-26-116-74. Unpublished
    report.

    Shell International (1971,1976) Residue data from Shell Chimie S.A.,
    Shell Development Go. and Shell Research Ltd., Unpublished,

    Shell International (1973a) 119Sn-SD 14114 Metabolism Study in Soil
    under Aerobic and Anaerobic conditions. Unpublished reports.

    Shell International (1973b) 119Sn-SD 14114 Metabolism study in
    sterilized and unsterilized soil. Unpublished report.

    Shell International (1973d) Photochemical Degradation of SD
    14114-119Sn on a glass surface. Unpublished report TIR-22-113-73.

    Shell International (1974) Degradation of 14C-SD 14114 after
    exposure on soil for 18 month. Unpublished report TIR-22-102-74.

    Shell Research Ltd. Residue analysis of SD 14114 (fenbutatin oxide)
    and its main metabolite SD 31723. Unpublished method WAMS 212-1 (SAMS
    212-1).

    Simpson B.J. (1972a) The toxicity of the pesticide SD 14114: Summary
    of results of preliminary experiments. Unpublished report from
    Tunstall Laboratory submitted to the World Health Organization by the
    Shell Chemical Company.

    Simpson B.J. (1972b) Toxicity studies on the pesticide SD 14114:
    Effect of SD 14114, incorporated in the diet, on the growth rate of
    male rats. Unpublished report from Tunstall Laboratory submitted to
    the World Health Organization by the Shell Chemical Co.

    Simpson B.J. and Dix, K.M. (1972c) Toxicity studies on the pesticide
    SD 14114: acute and 90 day feeding studies in the rat of the
    metabolite SD 31723. Unpublished report from Tunstall Laboratory
    submitted to the World Health Organization by the Shell Chemical
    Company.

    Simpson B.J. and Thorpel B. (1973a) Toxicity studies on the pesticide
    SD 14114: Three month feeding study in rats. Unpublished report from
    Tunstall Laboratory submitted to the World Health Organization by the
    Shell Chemical Company.

    Simpson B.J., Grainville, G. and Doak, S.M. (1973b) Toxicity studies
    on the pesticide SD 14114: Two year oral experiment in rats.
    Unpublished report from Tunstall Laboratory submitted to the World
    Health Organization by the Shell Chemical Company.
    


    See Also:
       Toxicological Abbreviations
       Fenbutatin oxide (Pesticide residues in food: 1979 evaluations)
       Fenbutatin oxide (Pesticide residues in food: 1992 evaluations Part II Toxicology)