IPCS INCHEM Home


    ACEPHATE   JMPR 1976

    IDENTITY

    Chemical name

         OS-dimethyl acetylphosphoramidothioate

    Synonyms

         OrtheneR, Ortho 12420, RE 12420, Ortran, Ent. 27822

    Structural formula

    CHEMICAL STRUCTURE 1

    Other information on identity and properties

         Molecular weight         183.16

         State                    White solid

         Melting point            72-80°C (80-90% purity)

         Specific gravity         1.35 (80-90% purity)

         Volatility               Low. Some minor products
                                  of degradation are volatile

         Stability                Relatively stable. Samples should be
                                  stored cool

         Solubility               Water, ca. 65% (w/v) 
                                  Aromatic solvents,   < 5%(w/v)
                                  Acetone )
                                  Ethanol )            >10%(w/v)

    Impurities in the technical material

         The technical product contains 80-90% acephate.

         Among the impurities are:

    OO-dimethyl acetylphosphoramidothioate     max. 5%

    OS-dimethyl phosphoramidothioate           max. 1%

    EVALUATION FOR ACCEPTABLE DAILY INTAKE

    BIOCHEMICAL ASPECTS

    Biotransformation

         Male and female rats were pretreated with single daily oral
    doses of analytical grade acephate (25 mg/kg/day) for 7 days
    followed by a dose of S-methyl 14C acephate. There was no
    difference in the quantitative or qualitative excretion pattern in
    males or females. The excretion was rapid. The majority of the
    radioactive material recovered was found within 12 hours. Urine
    contained 82-95% of the administered dose, 1-4% was exhaled, 1% was
    found in feces. Less than 1% was seen as a residue in tissues and
    organs 72 hours after the last application. The liver was the
    tissue with the highest 14C residue reflecting the normal portal
    detoxication mechanism. Urinary metabolites were identified as
    unchanged acephate (73-77%), O,S-dimethyl phosphorothioate (3-6%)
    and S-methyl acetylphosphoramidothioate (3-4%). No methamidophos
    was observed (Lee, 1972).

         Since only the mentioned metabolites could be detected, the
    metabolic pathway of acephate is not fully elucidated. A probable
    scheme may be as shown in Figure 1.

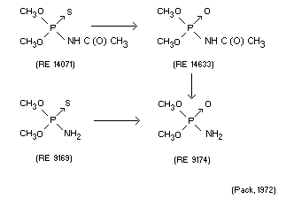
         The metabolic fate of two intermediates used in the
    manufacture of acephate was examined in rats. These products were:

    CHEMICAL STRUCTURE 2

    FIGURE 1

    Immature female rats were administered the above products
    individually in corn oil by oral intubation at a dose of 50 mg/kg.
    Urinary metabolites were characterized as similar to those found in
    human urine from workers exposed in manufacturing procedures.
    Qualitative determination of metabolites suggested the following
    metabolic sequence.

    CHEMICAL STRUCTURE 3

    (Pack, 1972)

    Effects on enzymes and other biochemical parameters

         Acephate and its major plant metabolite methamidophos, as are
    other organophosphate esters, are cholinesterase inhibitors. The
    I50 values (molar concentrations for 50% inhibition) for plasma and
    bovine RBC cholinesterase (acetylcholine hydrolysis) are given
    below:

                                  Human Plasma             Bovine RBC

                        µg/ml     I50, Molar    µg/ml    I50, Molar
    Acephate            >500      >2.7 X 10-3     >500      >2.7 X 10-3

    Methamidophos       23        1.6 X 10-4    4.3      3.1 X 10-5

                                                 (Tucker, 1972)

         Depression of cholinesterase activity was measured following
    oral administration of acephate to male rats. Following a dose of
    900 mg/kg RBC cholinesterase was substantially depressed while
    plasma was unaffected. At the time of sacrifice, all animals
    displayed some typical signs of organophosphate poisoning.
    Administration of a dose of parathion (15 mg/kg) resulted in a
    slightly higher reduction of RBC cholinesterase activity (50-30%)
    with no effect on plasma enzymes (Cavalli and Spence, 1970c).

         Groups of rats (15 females/group) were orally administered
    acephate at levels corresponding to 1200, 100, 30, and 0 ppm as
    daily equivalents in the diet for up to 3 weeks. Another group was
    administered methamidophos at a dose corresponding to 10 ppm. A
    slight depression of RBC-cholinesterase was noted at 100 and 30 ppm
    acephate. The 1200 ppm level caused a significant depression of
    activity. The plasma cholinesterase was only slightly depressed by
    the highest dose level. There was no indication of a build-up of
    cholinesterase inhibition over the 3 week test interval.
    Methamidophos was inhibitory at 10 ppm. Methamidophos was shown to
    be substantially more active an inhibitor than acephate (Cavalli
    and Spence, 1970f).

    TOXICOLOGICAL STUDIES

    Special studies on potentiation

         A study was performed on the acute toxicity of acephate alone
    and in combination with 5 cholinesterase inhibiting pesticides
    (azinphos-methyl, carbaryl, malathion, parathionmethyl and
    oxydemeton-methyl) on male rats. The LD50 values for equitoxic
    mixtures of the paired pesticides differed from single LD50 values
    especially with carbaryl and malathion suggesting that potentiation
    may be a factor in the interaction (Rittenhouse et al., 1972a).

         A similar study in rats with methamidophos and acephate
    indicated that there was no significant potentiation (Kretchmar et
    al., 1972).

    Special studies on neurotoxicity

    Hen

         Groups of adult hens (6 hens/group) were administered acephate
    orally at dosage levels of 0 and 568 mg/kg (an LD50 level). A
    second dose was administered to survivors at 50 day 21 and these
    were observed for an additional 21 days; tri-o-cresyl phosphate
    (TOCP) was administered at 500 mg/kg as a positive control. Samples
    of spinal cord, peripheral nerve and brain were examined
    histologically for signs of myelin disruption.

         Of the hens treated with TOCP, 3 of 6 died and the remaining
    hens displayed signs of clinical ataxia commonly noted with this
    toxicant. One of the 6 hens treated with acephate died after the
    first dosing and 3 more after the second. The remaining hens
    displayed none of the signs of ataxia and on histological examination 
    there was no evidence of myelin degeneration. Acephate does not induce
    ataxia as evidenced by TOCP in hens (Fletcher, et al., 1972b).

    Special studies on reproduction

    Rat

         Groups of rats (8 males and 16 females/group) were fed
    acephate in the diet at dosage levels of 0, 30, 100 and 300 ppm and
    subjected to a standard 3-generation, 2-litter per generation
    reproduction study. Gross and histopathologic examinations were
    performed on the parental animals of all 3 generations, upon
    weanlings of the second litter and upon weanlings of the F3b litter
    for the control and high dose level. No pathologic or microscopic
    changes were noted in the tissues and organs examined.

         Adverse reproductive effects were noted at 100 and 300 ppm.
    Reduced mating and fertility indices (reflected by copulation and
    pregnancies) were noted. There were no effects noted on the ability
    of mothers to maintain pregnancy although survival of pups after
    birth was affected at various times during the 3 generation trial.
    Weanling body weight of pups fed acephate was similar to control
    values. There were no apparent malformations noted in the pups born
    during this study. The results indicate a no-effect level in this
    study based on all observable parameters to be 30 ppm (Haley et
    al., 1973).

    Special studies on teratogenicity

    Rabbits

         Groups of pregnant rabbits (17 does/group) were administered
    acephate by capsule daily from day 6 to day 18 of gestation at
    doses of 0, 1 and 3 mg/kg body weight in a standard teratology
    study. Thalidomide (37.5 mg/kg/day) was used as a positive control.
    There were no deaths or abnormal behavior attributed to acephate.
    There were no effects on the reproduction or teratogenicity
    parameters examined. Total implantation sites, resorptions,
    abortions, number of young and examinations of skeletal tissue were
    normal. Acephate did not elicit a teratogenic response in rabbits
    while the positive control induced resorption, reduced the
    incidence of pups and resulted in an increase in the number of
    terata formed (Ladd et al., 1972).

    Rats

         Groups of pregnant rats (17-20 females/group) were
    administered acephate by gavage daily from day 6 to day 15 of
    gestation (10 doses) at dosage levels of 0, 25, 50, 100 and 200
    mg/kg. Upon sacrifice at day 20 examinations made of the maternal
    and fetal parameters did not indicate a teratological potential for
    acephate in rats. Maternal effects were observed as reduced weight
    gain at 100 and 200 mg/kg and as an increase in resorption sites at
    200 mg/kg. All treated groups reflected acute parasympathomimetic
    signs of poisoning (lacrimation) initially after treatment. No 
    effects were noted with respect to abortion or on the fetal 
    development, both internal and external tissue development including 
    skeletal abnormalities. This study again demonstrated a negative 
    teratogenic potential for acephate (Haley et al., 1971).

    Special studies on mutagenicity

    Mice (dominant lethal)

         Groups of mice (12 males/group) were administered acephate by
    intra peritoneal injection at dose levels of 0, 25, and 50 mg/kg.
    The mice were then mated individually with 3 virgin females weekly
    for 6 consecutive weeks in a dominant lethal test to investigate
    the effects on maturation of male mouse germ cells. A positive
    control (MMS, methyl methanesulfonate) was also used. The females
    were sacrificed 1 week after removal from the breeding cage.
    Analyses were made of implantation sites, resorption sites and
    embryo development to evaluate the in vivo mutagenic potential of
    acephate. In the first week after mating, an increase of
    pre-implantation loss was noted at 50 mg/kg. There were no
    significant differences between groups with respect to
    implantation, resorption or embryo development. The in vivo
    mutagenic data do not indicate acephate to have a potential for
    mutagenic development (Arnold et al., 1971).

         In contrast to the previously referenced in vivo study, a
    series of in vitro microbiological tests has shown acephate to
    elicit a positive response in tested strains of bacteria. In two
    species of bacteria, Salmonella typhimurium and Escherichia
    coli, acephate was positive only in some of the latter strains
    (Hanna and Dyer, 1975).

    Special studies on carcinogenicity

    Mice

         Groups of mice (Swiss White Mice - 50 males and 50
    females/group) were fed acephate in the diet at levels of 0, 300
    and 600 ppm for 18 months. A positive control 
    (N-nitrosodimethylamine) was fed at 10 ppm over this interval. Gross
    pathologic examination for tumor formation and histopathologic
    examination of tumors from animals sacrificed in extremis or
    dying during the study showed no evidence of carcinogenicity due to
    acephate. A similar negative finding was observed in the mice
    sacrificed at the conclusion of the study. There was no unusual
    behavior pattern exhibited by the acephate-fed mice and the
    incidence and pattern of mortality were not influenced by acephate
    in the diet. This study suggests that acephate is not a carcinogen
    in mice (Reyna et al., 1973).

    Special studies on skin sensitization

         In two identical studies, groups of rabbits (8 rabbits/group)
    were administered acephate dermally in acetone at a dose level of
    0.1 ml of a 1% w/v solution or a control acetone treatment daily
    for 16 days. Ten days after the last application, a challenge dose
    at a remote site was applied and dermal irritation graded for a
    sensitization response. None of the animals showed an adverse
    reaction suggesting that by the dermal route acephate is not a
    sensitizing agent (Cavalli and Spence, 1970g and 1970h).

         Groups of guinea pigs (10 albino guinea pigs/group) were
    dermally administered acephate (0.1 ml of a 1% w/v aqueous
    solution) every other day (4-6 hours/day) for 10 treatments. Two
    weeks after the last exposure, the animals were challenged and
    examined for sensitization. There were no indications that acephate
    induced a sensitization reaction under these conditions. A positive
    reaction was obtained with chlorodinitrobenzene, a known sensitizer
    (Ebbens et al., 1971).

    Acute toxicity
        TABLE 1. Acute toxicity of acephate

                                                                                      
                                   LD50
    Species    Route        Sex    (mg/kg)                   Reference
                                                                                      

    Rat        Oral         M&F    1100                      Kretchmar et al, 1971
               Oral         M&F    1494                      Mastri et al, 1970b
               Oral         M&F    2025                      Kretchmar et al, 1972
               Oral         M      945                       Cavalli & Spence, 1970b
               Oral         F      866                       Cavalli & Spence, 1970b
               Oral         M      1230                      Rittenhouse et al, 1972
               IP           M      1106                      Coquet, 1972
               Inhalation   M&F    >1.81 mg/L(4 hr.)         Elliott et al, 1972
               Inhalation   M&F    >12.1 mg/L(1 hr.)         Kruke, 1972a

    Mouse      Oral         M&F    362                       Mastri et al, 1970a

    Rabbit     Oral         M      707                       Narcisse et al, 1972a
               Dermal       M&F    10,250                    Mastri et al, 1970b
                                   (24 hour 75% spray suspension)
               Dermal       M&F    500                       Narcisse et al, 1972b
                                   (no irritation)
                                   (24 hr - 75-S formulation)
               Dermal       M      >2000                     Cavalli & Spence, 1970a

    TABLE 1. (continued)

                                                                                      
                                   LD50
    Species    Route        Sex    (mg/kg)                   Reference
                                                                                      

    Dog        Oral         M&F    <681                      Mastalski et al, 1970
               Oral         M&F    215                       Mastalski et al, 1970
                                   (emetic dose)

    Chicken    Oral         F      >100                      Edds & Bradley, 1971
               Oral         F      568                       Fletcher et al, 1972a
                                                                                      
    
    Eye irritation

         Acephate (100 mg) was instilled into the conjunctival sac of
    rabbits (six animals/group) in an examination for eye irritancy
    properties. Conjunctival irritation was evident with all forms of
    acephate. Where acephate was washed out after a 5 minute exposure
    period, conjunctival irritation and corneal damage were observed.
    The irritation was observed after one week while all eyes were
    normal at 14 days (Narcisse et al., 1971a).

    Vapor inhalation

         Groups of rats (5 male and 5 female/group) were exposed to an
    atmosphere saturated with acephate vapor (derived from passing air
    through crystalline or melted acephate at 90°C). Exposure for 1
    hour to vapor derived from either method did not result in any
    mortality. Animals were examined over a 14 day observation period
    (Cavalli and Spence, 1970d). In an additional study, 5 female rats
    were exposed for four hours to vapors of acephate derived only from
    passing air through crystalline material. There was no mortality or
    morbidity and cholinesterase (undefined) activity was normal
    (Cavalli and Spence, 1970e).

    Aerosol inhalation

         Groups of rats (5 male and 5 female rats/group) were exposed
    to an aerosol concentration of 12.1 mg/1 (90% of particles below 10
    µ) for one hour. There were no signs of poisoning and no mortality;
    gross effects on tissues and organs were not noted (Kruke et al.,
    1972a).

         Groups of rats (10 male and 10 female rats/group) were exposed
    in a 380 l dynamic chamber to aerosols of acephate 1 hour per day,
    5 days per week for two weeks. The aerosol was generated from
    aqueous solutions of 0, 0.25, 1.0 and 4% acephate and had a
    particle size generally under 10 microns. There was no mortality
    and weight gain and general behavior were normal. At the highest

    dose, female uric acid content was increased. There were no other
    effects noted an clinical chemistry, urinalysis or hematology
    parameters including cholinesterase activity. Gross and microscopic
    examination of tissues and organs showed no effect of acephate
    exposure (Kruke et al., 1972b).

    Short-term studies

    Rabbit - (Dermal)

         Groups of rabbits (8 male and 8 female albino rabbits/group)
    were administered acephate to either intact or abraded skin. An
    aqueous solution was applied daily, 6 hours/day, 5 days/week, for
    3 weeks with the daily doses being 0, 0.5, 1.0 and 2.0 g/kg. At the
    conclusion of the study, the animals were sacrificed. There was
    mortality (2/16) observed at the highest dose and
    parasympathomimetic signs of poisoning were observed at 1.0 and 2.0
    g/kg. These two groups also lost weight while no differences in growth 
    or body weight were observed at 0.5 g/kg. The two highest doses showed
    substantial changes in hematology and blood chemistry parameters: 
    reduced RBC count, reduced hemoglobin and hematocrit values and 
    reduced BUN values. In male rabbits only at the low dose group, LDH 
    and SGOT values were reduced. RBC cholinesterase was depressed at all 
    dose levels to about 50% in both sexes whereas plasma cholinesterase 
    was not affected. On gross examination increased liver weights were 
    observed at the two highest dose groups. There were no effects noted 
    on microscopic examination including bone marrow (M/E ratio) studies 
    (Rittenhouse et al., 1972b).

    Hen

         Groups of chickens (25 females and 4-6 males/group) were fed
    acephate in the diet at dosage levels of 0, 3, 10 and 30 ppm for up to
    13 weeks (followed by a 28 day recovery period with control diets).
    Growth, egg production and egg quality was normal. The hatchability of
    eggs at the highest dose was slightly reduced, and reduction was noted
    in growth and development of hatched chicks in the 10 and 30 ppm
    groups. The viability of the hatched chicks was diminished in the
    highest dose group. There were no gross pathological changes in any of
    the birds (Fletcher, 1972a).

    Rat

         Groups of rats (15 males and 15 females/group) were fed acephate
    in the diet for 90 days at levels of 0, 30, 100 and 300 ppm. There was
    no mortality attributed to acephate in the diet. Growth, food
    consumption and observable behavior were normal. Urinalyses, blood
    chemistry and hematology values were normal. Gross and microscopic
    analysis of tissues and organs were performed at the conclusion of the
    study. In the males a decreased liver weight was noted at 300 ppm.
    There were no histological lesions associated with this finding.
    Cholinesterase activity data were not reported (Plank et al., 1971).


        TABLE 2. Acute toxicity of metabolites or possible impurities

                                                                                                                                

                                                                                         LD50
    Compound                       Structure           Species        Route       Sex    (mg/kg)        Reference
                                                                                                                                

    OO-dimethyl                    (CH3O)2P(S)NH2      Rat            Oral        M      633            Cavalli et al, 1968a
    phosphoramidothioate           (RE 9169)                          Oral        F      549

    Signs of poisoning include CNS depression (paresis, hyporeflexia and anesthesia)

                                                       Rabbit         Dermal      M      2500           Cavalli et al, 1969
                                                                                              

    OS-dimethyl                    (CH3O)(CH3S)P       Rat            Oral        M      21             Cavalli et al, 1968b
    Phosphoramidothioate           (O)NH2                             Oral        F      19
                                   (RE 9006)
    Signs of poisoning are standard for parasympathomimetic agents.

                                                       Rabbit         Dermal      M      118            Cavalli et al, 1968c
                                                                                              

    OO-dimethyl acetyl             (CH3O)2P(S)NHC      Rat            Oral        M      1468           Cavalli et al, 1970
    phosphoramidothioate           (O)CH3                             Oral        F      1250
                                   (RE 14071)
    Signs of poisoning are standard for CNS depression - hyporeflexia, hypothermia, pyloerection, constipation, and possibly
    tachycardia.

                                                       Rabbit         Dermal      M      >2000         Rittenhouse et al,1972C
                                                                                              

    OO-dimethyl                    (CH3O)2(CH3S)       Rat            Oral        M      83             Narcisse et al, 1971b
    S-methyl phosphorothioate      P(0)                               Oral        F      63
                                   (RE 15283)

    The signs of poisoning include salivation, tremors, weakness, and prostration - death occurred 4-10 days after dosing.

    TABLE 2. (Cont'd.)

                                                                                                                                

                                                                                         LD50
    Compound                       Structure           Species        Route       Sex    (mg/kg)        Reference
                                                                                                                                

                                                       Rabbit         Dermal      M      109            Narcisse et al, 1971c
                                                                                              

    OS-dimethyl                    (CH3O)(CH3S)P       Rat            Oral               >2000          McCaskey,1972a
    phosphorothioate               (O) (OH)
                                   (RE 18421)          Rabbit         Dermal      M      >2000          Rittenhouse et al, 1972d
                                                                                              

    S-methyl                       (CH3S)P(O)OH        Rat            Oral               >2000          McCaskey, 1972b
    acetylphosphoramidothioate     NHC(O)CH3           Rabbit         Dermal      M      >2000          Rittenhouse et al, 1972e
                                   RE 17245)
                                                                                              

    O-methyl                       (CH3O)P(O)SH        Rat            Oral               >2000          McCaskey, 1972c
    acetylphosphoramidothioate     NHC(O)CH3           Rabbit         Dermal      M      >2000          Rittenhouse et al.,
                                   (RE 17246)                                                           1972f

                                                                                                                                

    

         Groups of rats (from 15 to 35 males and females per group) were
    fed acephate in the diet at levels of 0, 1, 5, 10, 30, 100 and 300 ppm
    for 90 days and a control diet for an additional 4 weeks. Animals were
    sacrificed at various intervals and cholinesterase activity was
    measured using erythrocytes, plasma and brain as enzyme sources.
    Contrary to acute or short term oral administration studies this
    dietary study showed little effect on erythrocyte cholinesterase
    activity at levels below 100 ppm. In contrast, 30 ppm affected plasma
    cholinesterase in weeks 6 and 13 of the test period. Brain
    cholinesterase was depressed consistently at 30 ppm. In general,
    females were more susceptible than males. Recovery of all blood
    enzymes was rapid (within 1 week) while brain cholinesterase was
    slower. All enzyme levels were normal within 4 weeks of feeding
    control diets (Plank et al., 1972).

    Dog

         Groups of dogs (4 male and 4 female beagle dogs/group) were fed
    acephate in the diet at dosage levels of 0, 10, 30 and 100 ppm for 90
    days. At the conclusion of the feeding period half of the groups were
    sacrificed and the remainder maintained for a 40 day recovery period.
    RBC cholinesterase activity was depressed in both sexes at 100 and 30
    ppm while plasma was unaffected. Brain cholinesterase was depressed at
    30 ppm. Recovery of enzyme activity was noted at 28 days after feeding
    stopped and animals were fed control diets.

         Growth, food consumption and behavior were unaffected over the
    course of the study. There were no deaths, and animals appeared
    normal. Analysis of blood and urine and hematologic parameters showed
    no effects of acephate. Gross and microscopic analysis of tissues and
    organs also showed no effects (Lindberg et al., 1971). [A no-effect
    level in the study is 10 ppm (equivalent to 0.32 mg/kg bw) while 30
    ppm produced a minimal depression of cholinesterase.]

         Groups of dogs (4 male and 4 female beagle dogs/group) were fed
    acephate in the diet for two years at levels of 0, 10, 30 and 100 ppm.
    There was no effect on food consumption, growth or behavior. Two dogs
    which did not survive the study died as a result of factors believed
    to be unrelated to the presence of acephate in the diet. No effects
    were noted on blood chemistry, hematology or urine analysis
    parameters. Gross and microscopic examination of a variety of tissues
    and organs showed no effects attributed to acephate. Depression of
    cholinesterase activity was noted in this study in brain and red blood
    cells. Plasma cholinesterase was unaffected at 100 ppm while RBC
    showed reduced activity. Brain cholinesterase was only slightly (N10%)
    depressed at the highest dose level. A no-effect level based on RBC
    cholinesterase depression is 30 ppm over the two year study (Hartke et
    al., 1972).

    Long-term studies

    Rat

         Groups of rats (35 males and 35 females/group) were fed acephate
    in the diet for two years at levels of 0, 30, 100 and 300 ppm. A
    depression of growth was observed in both sexes at 12 months at 100
    and 300 ppm. At 24 months the body weight of both sexes was depressed
    only at 300 ppm. Food consumption was normal. There were no effects on
    mortality, behavior or on hematology, blood chemistry or urine test
    parameters. On gross examination male and female liver weight at 300
    ppm was depressed, but nothing abnormal was noted on histopathologic
    examination of the liver or other tissues and organs. There was no
    suggestion of an increased tumor incidence. Blood and brain
    cholinesterase depression examined during the course of this study
    provided the only effects noted. At 24 months (the only interval
    reported) RBC and plasma cholinesterase values were normal. Brain
    cholinesterase was minimally depressed (26-27% of normal) at 30 ppm.
    The depression was dose dependent suggesting a no-effect level to be
    somewhat below 30 ppm. Cholinesterase was not reported for time
    intervals other than 24 months. A no-effect level based on
    cholinesterase depression cannot be determined in this study. A
    systemic no-effect level of 30 ppm may be estimated based on growth
    reduction over the first year test interval (Plank and Keplinger,
    1973).

    OBSERVATIONS IN MAN

         In a series of reports from areas in the U.S.A. where acephate
    has been used in field applications, 95 individuals exposed from 0.5
    to > 1000 hours under a variety of conditions expressed no symptoms
    or adverse effects of exposure. The survey was primarily subjective as
    clinical measurements were not made (Anonymous, 1976a).

         In a similar survey individuals exposed to acephate in pilot
    plant and formulation processes did not show adverse effects. Several
    of these workers were exposed for up to 15 months (Anonymous, 1976b).
    Analysis of urine from these individuals confirmed exposure to
    acephate. Urinary levels up to 5 ppm acephate were observed (Pack,
    1972b). As expected, other metabolites or technical products of
    production were observed in the urine of individuals exposed in the
    pilot plant. In addition to acephate, these products included the
    oxygen analog of acephate, methamidophos, the oxygen analog of
    methamidophos and trimethyl phosphate. The individuals exposed to
    technical acephate in formulating processes showed only methamidophos
    and trimethyl phosphate as urinary metabolites. Blood and urinary
    samples from 5 individuals were examined over a 10 week period. All of
    the clinical parameters were normal as were standard tests including
    EKG, X-ray and cholinesterase values (Swencicki and Hartz, 1972).

         In a follow-up of agricultural field workers exposed to acephate,
    levels of 1/50 those found in the pilot plant survey were observed in
    the urine. There was no evidence of methamidophos in the urine. As
    expected there were no adverse effects noted (Pack, 1972c).

         A study was conducted where controlled doses of combinations of
    acephate and methamidophos were orally administered to people for
    periods up to 21 days. A cohort of 14 people were divided into 3
    groups containing either 4 or 6 people. They received either a
    combination (methamidophos/acephate) of 1:9, 1:4 or corn oil as a
    control daily (divided into 3 equal doses) for 21 days. The 1:9 group
    was administered the combination for consecutive periods of 21 days at
    doses of 0.1, 0.2 and 0.3 mg/kg/day followed by a 7 day recovery
    period after which the dose was increased to 0.4 mg/kg/day for 10
    days. The 1:4 group received the combination at doses of 0.1 and 0.2
    mg/kg/day for 21 consecutive days before the dosing was halted. The
    protocol called for a total of 4 dose levels (up to 0.4 mg/kg/day)
    each to be administered for 21 days. Blood cholinesterase (plasma and
    RBC) was examined periodically.

         Results are summarized in Table 3. No effects were noted on RBC
    cholinesterase at any treatment level. There was marginal depression
    of the plasma cholinesterase noted In the female group receiving the
    1:9 combination tested at the highest dose (0.4 mg/kg/day). The plasma
    cholinesterase, of the males was substantially affected at the 0.3
    mg/kg dose and was not retested at the higher dose level. The group
    (both males and females) receiving the higher methamidophos:acephate
    ratio (1:4) showed reduction of plasma cholinesterase after two weeks
    of receiving a dose of 0.2 mg/kg/day. The 0.3 mg/kg regimen was not
    used in the 1:4 dose group. This study indicated the minimal dose of
    acephate necessary to decrease plasma cholinesterase for the
    combination of acephate and methamidophos was 0.2 mg/kg/day of a 1:4
    combination of the two toxicants. No effects with this combination
    were noted at 0.1 mg/kg (Garofalo et al., 1973). Thus, a dose level of
    0.03 mg methamidophos/kg bw combined with a dose of 0.2 mg acephate/kg
    bw (ranging from 0.08 to 0.18 mg acephate/kg bw) would be expected to
    reduce cholinesterase activity in man. A no-effect level evaluated
    from this study might be 0.2 mg acephate/kg bw in combination with
    0.02 mg methamidophos/kg bw.

    COMMENTS

         Acephate, a relatively non-toxic organophosphorus pesticide, is
    rapidly absorbed, metabolised and excreted from the body. A toxic
    metabolite, methamidophos, found to occur in plants and soil has not
    been identified in mammals. Methamidophos, a potent
    parasympathomimetic agent acting by inhibition of
    acetylcholinesterase, is also rapidly degraded and excreted in
    mammals. Neither compound persists or accumulates in the body nor
    appears to affect biochemical systems other than cholinesterase.
    Neurotoxicity studies in hens and potentiation studies in rats with
    other antiesterase compounds were negative. Special studies on
    reproduction showed effects at dietary levels of 100 ppm and above as

    evidenced by reduced survival of offspring. In vivo mutagenesis
    and teratogenesis testing was negative as was a special study with
    mice for carcinogenicity. A positive mutagenesis response in a single
    bacterial strain was observed in vitro. In a 2 year study with
    dogs and an 18 month study with mice no observable effects other than
    cholinesterase depression were noted. In a 2 year rat study, a slight
    depression of growth and of brain cholinesterase activity at the
    lowest level tested precluded a definition of a no-effect level.
    However, a no-effect level in both rats and dogs was suggested based
    on 90 day dietary studies which exposed animals at lower levels. In
    random observations with humans occupationally exposed, no adverse
    effects were noted. In a study to define a no-effect level in humans
    based on cholinesterase depression, administration of a combination of
    methamidophos and acephate (1:4 ratio) at a total dose of 0.2
    mg/kg/day reduced plasma cholinesterase. A calculation of the
    individual doses received suggested in one case that 0.16 mg
    acephate/kg body weight in combination with 0.04 mg methamidophos/kg
    (bw) would cause depression of cholinesterase while a dose of 0.08 mg
    or 0.18 mg acephate/kg (bw) both in combination with 0.02 mg
    methamidophos did not reduce plasma cholinesterase activity. Based on
    the studies with both rat and dog, with further assurance afforded by
    the observations in man, an ADI was recommended. This also took into
    account the slight effect noted in the rat 2 year study where 30 ppm
    (equivalent to 1.5 mg/kg) induced a marginal effect on brain
    cholinesterase.

    TOXICOLOGICAL EVALUATION

    Level causing no toxicological effect

         Rat:      10 ppm in the diet equivalent to 0.5 mg/kg body weight

         Dog:      10 ppm in the diet equivalent to 0.32 mg/kg body weight

         Man:      0.18 mg/kg body weight/day

    ESTIMATE OF ACCEPTABLE DAILY INTAKE FOR MAN

         0 - 0.02 mg/kg body weight

    RESIDUES IN FOOD AND THEIR EVALUATION

    USE PATTERN

         Registration of acephate as a contact and systemic insecticide is
    reported from many countries of the American continents, Australia,
    Asia and Europe. It is mostly marketed as soluble powders (s.p.), 75%.
    Occasionally, however, it is also registered as a 50% s.p., as low
    concentration dusts and as 1-5% granules.


    
    TABLE 3. Effect on plasma cholinesterase of combined doses of methamidophos and acephate

                                                                                                                  
                                                  Methamidophos: Acephate Ratio
                                                                                                                  
                                          1:4                                                 1:9
    Total                                                                                                         
    dose       methamidophos:acephate    Plasma Inhibition         methamidophos:acephate    Plasma inhibition
    (mg/kg)    (mg/kg)                   Males    Females          (mg/kg)                   Males     Females
                                                                                                                  

    0.1        0.02 : 0.08               -        -                0.01 : 0.09               -         -

    0.2        0.04 : 0.16               +        +                0.02 : 0.18               -         -

    0.3        0.06 : 0.24               *        *                0.03 : 0.27               +         -

    0.4        0.08 : 0.32               *        *                0.04 : 0.36               *         -
                                                                                                                  

    * Discontinued treatment

    

         Acephate is claimed to be especially active against insects of
    the families Lepidoptera, Homoptera and Hemiptera. A list of suggested
    uses which is typical in many countries is given in Table 4. These
    uses cover suggested protection of both horticultural and agricultural
    crops (fruits, vegetables, root-crops and several industrial crops)
    against larvae, aphids, caterpillars, berry moths, leaf miners,
    beetles etc. Usual application rates are also indicated in Table 4.
    They range from 1-2 kg a.i. per ha on field crops and from 0.05-0.1%
    on fruit trees, bushes etc.

    RESIDUES RESULTING FROM SUPERVISED TRIALS

         A considerable amount of residue data on acephate and its
    behavior in supervised trials and controlled experiments has been
    presented by the originating manufacturer (Chevron Chemical Company).
    Most of the data were generated under American climatic and
    agricultural conditions, although in some cases supplementary data
    from other sources are available.

    TABLE 4. Suggested uses of acephate

                                                                            

                                                           Concentration or
    Crop              Pest                                 dosage of a. i.
                                                                            

    Fruit crops       Aphids                               0.04-0.075%
    (pome, stone,     Codling moths
    citrus)           Chewing and sucking insects
                      Tortrix
                      Citrus, olive scale

    Grape             Grape berry moths                    0.075%

    Vegetables        Aphids                               0.05%
                      Chewing and sucking insects
                      Caterpillars
                      Moths
    Beets             Leaf miners                          0.8-1.0 kg/ha

    Ornamentals       Aphids and Tortrix                   0.05-0.75%

    Hops              Aphids                               0.05-0.25%

    Tobacco           Aphids                               1 kg/ha
                      Budworms
                      Flea beetle

    Corn              Corn borer                           1.5-2 kg/ha

                                                                            

         Generally the residue data from field trials indicate that
    acephate is a relatively non-persistent, systemic insecticide. When
    applied at the recommended rate of about 1 kg a.i./ha, several
    treatments are often applied, commonly at weekly intervals for as many
    weeks as necessary for insect control. A first metabolite, OS-dimethyl
    phosphoramidothioate which is itself the insecticide methamidophos, is
    regularly found in plant material together with acephate, although
    only in the ratio of 1:10 - 1:5.

    Alfalfa, cotton and soybean

         Extensive trials have been made on these three important crops
    (Table 5). Repeated treatments of alfalfa with 1 kg of acephate per ha
    leave total residues on fresh cut green hay of less than 6 mg/kg after
    21 days and a maximum of about 2 mg/kg after 28 days. Curing of the
    hay in the open after harvest did not significantly change the residue
    level. The apparent half-life of acephate on green hay is
    approximately 7 days.

         In cottonseed, the total residues ranged from zero to a maximum
    of About 1.5 mg/kg 21 days after the last treatment with 1 kg/ha. The
    maximum residue levels from a series of experiments are shown in Table
    5. The halflife of such residues is of the order of 14 days. When
    processed, essentially all the residue remains in the cottonseed meal
    while crude oil and refined oil contain practically no acephate or
    methamidophos metabolite (less than 0.03 mg/kg). Immediately after
    treatment at the 1 kg/ha level, green leaves of cotton plants carried
    residues ranging from 60-200 mg/kg. These residues declined, but they
    were still significant, from 7 to 50 mg/kg, after 21 days.

         In soybeans, mature and with shell removed, the total residue
    varied from zero to 0.2 mg/kg 14 days after the last application of
    acephate at the 1 kg/ha rate. Some positive findings are shown in
    Table 5, which illustrates that when processed, most of the residue
    remained in the mill feed, while trace residues only (less than
    0.03 mg/kg) were found in the crude oil and the soya protein flour.

    Vegetables

         Residue data are available from several countries (e.g.
    Australia, the Netherlands, New Zealand, Philippines, U.S.A.) on
    vegetables, mostly leafy vegetables such as broccoli, Brussels
    sprouts, cabbages, cauliflower and lettuce. Repeated applications of
    1 kg acephate per ha are usually recommended and the residue data
    indicate that there is a direct relationship between dosage and
    residue level.

         Residues decline at rates corresponding to the rate of growth
    dilution or somewhat faster and as usual, the outer leaves of the
    vegetables carry higher residues than the inner parts. This is
    exemplified in Table 6 which illustrates typical residue levels of
    both acephate and its metabolite methamidophos found in broccoli.

         Outer leaves of the vegetables may or may not be discarded as
    so-called trimmings before marketing and the final residue on the
    marketed product is therefore dependent on the degree of trimming. To
    take account of this situation a maximum possible residue on a given
    crop may be calculated on the basis of actual analyses of the crop and
    its trimmings, assuming maximum trimming. Such predictions of residues
    are shown in Table 7 for 5 vegetable crops and compared with residues
    actually found. The Table shows that actual residues of acephate + its
    metabolite methamidophos are unlikely to exceed 5-10 mg/kg at
    appropriate preharvest intervals from 3 to 14 days.

    Sugar beets, potatoes and tomatoes

         After repeated foliar treatments of sugar beets with acephate, at
    a weekly rate of 1 kg/ha, high residues were found on the green leaves
    (up to 25-30 mg/kg), while little or no residue (at or below 0.1
    mg/kg) was found in the roots. 21 days after the last application the
    residues in leaves had declined to about 5-6 mg/kg and in the roots to
    zero-0.05 mg/kg. Conversion of the roots to wet pulp completely
    removed any residues.

         In potatoes after similar treatment the total residues in tubers
    are reported to range from 0.04-0.27 mg/kg (Chevron, 1976). This level
    did not change during 3 days, but there was some loss of total residue
    by the 14th day after the last application. This loss was calculated
    to proceed with a half-life of about 21 days.

         Total residues of acephate in tomatoes (mature green or ripe
    fruits) are reported to range from 0.3-2.4 mg/kg after repeated foliar
    treatments at 1 kg/ha (Chevron, 1976). The half-life was 7-14 days on
    these fruits.

         Residues in the pulp and peel of potatoes and tomatoes are
    discussed further below ("Fate of residues in processing and
    cooking"). Some residue data are given in Tables 14 and 15.

    Citrus fruits

         Supervised trials on acephate treatments of oranges, grapefruits,
    lemons and tangeloes have been reported from New Zealand (1976) and
    the U.S.A. From the results, Table 8, it is clear that a significant
    systemic penetration takes place from the peel into the fruit flesh.
    In the grapefruit, the acephate concentration seems to be equilibrated
    throughout the whole fruit.


        TABLE 5. Residues of acephate and its metabolite in alfalfa, cottonseed* and soybeans
                                                                                                                          

                             Application                   Days after                      Residues, mg/kg
                             Rate,                         last                                                         
    Crop                     kg a.i./ha          No.       treatment      Acephate         Methamidophos     Total
                                                                                                                          

    Green hay                (Air spray)         2         21             1.70 - 1.75      0.25 - 0.26       1.95 - 2.01
                             1                             28             0.46 - 0.55      0.07 - 0.10       0.56 - 0.62
    Cured hay                1                   2         21             2.78 - 5.00      0.36 - 0.57       3.14 - 5.57
    (4 days)                 (Air spray)                   28             0.89 - 0.96      0.09 - 0.11       1.00 - 1.05
    Green hay                1                   2         21             -                -                 -
                             (Ground spray)                28             0.76 - 1.56      0.24 - 0.52       1.00 - 2.08
    Cured hay                1                   2         21             -                -                 -
    (4 days)                 (Ground spray)                28             0.33 - 0.52      0.12 - 0.15       0.45 - 0.67
    Green hay                1                   3         0              27.0 - 32.0      1.29 - 1.65       33.3
                             (Ground spray)                14             8.9 - 11.9       1.40 - 1.41       10.3
                                                           21             3.28 - 4.40      0.59 - 0.74       3.87 - 5.14
                                                           28             -                0.21 - 0.29       -
    Green hay                1                   3         21             5.01 - 5.12      0.54 - 0.59       5.55 - 5.71
                             (Ground spray)                28             -                -                 -
    Cottonseed,              1                   8         21             0.48 - 1.15      0.13 - 0.26       0.61 - 1.41
    fuzzy                    2                   8         21             0.47 - 0.83      0.14 - 0.23       0.61 - 1.06
    Cottonseed               1                   8         21             1.00 - 1.19      0.23 - 0.31       1.23 - 1.50
    meal                     2                   8         21             1.27 - 1.48      0.32 - 0.34       1.59 - 1.82
    Crude cottonseed         1                   8         21             0.00 - 0.00      0.00 - 0.00       0.00 - 0.00
     oil                     2                   8         21             0.00 - 0.00      0.00 - 0.00       0.00 - 0.00
    Soybeans                 1                   3         14             0.08 - 0.20      0.00 - 0.01       0.08 - 0.21
    Soybeans, protein        1                   3         14             0.00 - 0.00      0.00 - 0.00       0.00 - 0.00
    flour
    Soybeans,                1                   3         14             0.02 - 0.03      0.00 - 0.00       0.02 - 0.03
    crude oil
    Soybeans,                1                   3         14             0.34 - 0.23      0.04 - 0.07       0.27 - 0.41
    mill feed
                                                                                                                          

    * Residues tabulated for cottonseed and soybeans are maximum levels found in a series of experiments.

    TABLE 6. Residues of acephate and its metabolite methamidophos in broccoli

                                                                                                                          
                             Application                   Days after     Residues, mg/kg
                             Rate                          last                                                 
    Crop part                kg a.i./ha          No.       treatment      Acephate         Methamidophos     Total
                                                                                                                          

    Heads,                   1                   3         0              -                -                 -
    trimmed                                                3              -                -                 -
                                                           7              4.48 - 5.25      0.36 - 0.45       4.84 - 5.70
                                                           14             3.42 - 3.44      0.32 - 0.36       3.74 - 3.80
                             1                   6         0              6.63 - 6.82      0.65 - 0.69       7.32 - 7.47
                                                           3              6.63 - 6.63      0.58 - 0.68       7.21 - 7.31
                                                           7              5.17 - 6.08      0.75 - 0.75       5.92 - 6.83
                                                           14             1.98 - 2.27      0.39 - 0.40       2.66 - 2.38
                             2                   6         0              20.0 - 21.6      1.56 - 1.74       21.7 - 23.2
                                                           3              20.4 - 23.0      1.56 - 1.78       22.2 - 24.6
                                                           7              14.0 - 16.7      1.70 - 1.70       15.7 - 18.4
                                                           14             4.92 - 5.14      0.80 - 0.96       5.7  -  6.1
                             1                   9         0              14.5 - 16.0      1.78 - 1.82       16.3 - 17.8
                                                           3              16.0 - 17.4      1.40 - 1.60       17.4 - 19.0
                                                           7              10.1 - 13.2      1.24 - 1.27       11.3 - 14.5
                                                           14             2.48 - 2.56      0.75 - 0.76       3.24 - 3.31
                             2                   9         0              28.3 - 30.3      3.46 - 3.59       32.1 - 33.9
                                                           3              23.5 - 25.3      2.33 - 2.49       23.8 - 27.8
                                                           7              21.6 - 24.9      2.47 - 2.59       24.1 - 27.5
                                                           14             5.46 - 6.57      1.11 - 1.45       6.57 - 8.02
    Trimmings                2                   6         0              45.4 - 47.9      2.17 - 2.25       47.7 - 50.1
                                                           3              45.4 - 52.9      2.05 - 2.23       47.5 - 55.1
                                                           7              20.8 - 40.4      1.38 - 1.65       22.2 - 42.1
                                                           14             14.6 - 16.1      1.05 - 1.21       15.7 - 17.3

                                                                                                                          

    

    
    TABLE 7.  Predicted maximum+ and actual residues of acephate
              + methamidophos metabolite in some vegetables

                                                                            

    Crop                                             Total Residue,
                   Application         Days after    mg/kg               
                   Rate,               last          Calculated+
    Crop           kg a.i./ha   No.    treatment     maximum+     Found1
                                                                            

    Broccoli       1            3-9    14            5.47         3.80
    (max.25%
    trimming)      2            6-9    14            9.89         8.02
    Brussels       1            8      3             4.79         3.92
    sprouts
    (max. 15%      2            8      3             12.93        10.18
    trimming)

    Cabbage        1            9      3             7.29         2.51
    (max. 20%
    trimming)      2            9      3             12.82        6.38

    Cauliflower    1            7-9    3             6.85         2.30
    (max.50%
    trimming)      2            7-9    3             7.90         4.36

    Lettuce        1            6-8    3             7.35         3.29
    (max. 50%
    trimming)      2            6-8    3             16.17        5.54
                                                                            

    + Based on results from trimmed heads and trimmings, assuming maximum
      possible trimming.

    1 Reported results on heads trimmed according to commercial practice.
    
    FATE OF RESIDUES

    In animals

         The metabolic fate of acephate in rats has been described above
    ("Biotransformation"). Proposed metabolic pathways in mammals are
    shown in the same section (Figure 1).


        TABLE 8. Residues of acephate and its metabolite methamidophos in citrus fruits

                                                                                                                     
                                       Application             Days after                Residues, mg/kg
                                                                                                                     
                                       Concentration           last             Acephate             Methamidophos
    Country           Crop             a.i.            No.     treatment        Peel     Flesh       Peel      Flesh
                                                                                                                     

    New Zealand       Oranges          0.075%          6       1                9.0      0.6         0.98      0.01
                      (25% peel)                               8                9.0      0.7         0.8       0.3
                                                               15               7.6      0.7         0.9       0.09
                                                               24               5.3      0.6         0.6       n.d.

                      Grapefruit       0.075%          6       1                2.9      3.0         n.d.      0.2
                      (30% peel)                               8                3.1      1.9         0.2       0.3
                                                               15               2.6      3.6         0.2       0.2
                                                               24               1.4      5.4         n.d.      0.2

                                                                                Whole fruit          Whole fruit
    U.S.A.            Oranges          0.06%           2-3     20-25            0.33 - 1.1           0.06 - 0.10
                                                               40               0.19 - 1.5           0.02 - 0.08
                                                               100              0.00 - 0.00          0.00 - 0.00

                      Lemons           0.06%           3       20-25            0.08 - 0.18          0.02 - 0.03
                                       0.12%           3       20-25            0.42 - 0.44          0.05 - 0.06

                      Tangeloes        0.06%           3       20               1.4 - 1.6            0.16 - 0.17
                                                                                                                     
    

    Dairy cows and pigs

         9 dairy cows were fed at levels of 3, 10 and 30 ppm of acephate
    +0.6, 2 and 6 ppm of its metabolite methamidophos in the diet for 30
    days. The ratio of acephate to methamidophos was 5:1 because this is
    typical of the ratio in most field crops after treatment with
    acephate.

         The lowest dosage did not give detectable residues in the cows'
    milk. Milk from the higher dosed animals, however, contained between
    0.1 and 0.2% of the daily doses and at levels which rapidly reached a
    plateau where they remained during the 30 days treatment period.
    Average residues found in the milk are shown in Table 9. At withdrawal
    of the daily intake, residues in the milk decreased rapidly. By the
    morning of the second day after withdrawal neither acephate nor its
    metabolite could be observed in the milk.

         Some individual cows were sacrificed after 3-4 weeks of feeding
    with acephate and its metabolite. They showed significant but moderate
    levels of residues in various tissues (Table 10). The highest residue
    of acephate was 0.57 mg/kg in the kidney of an animal at the highest
    dose level, and no tendency to accumulation in tissues was noted. 6
    days after withdrawal, no residues could be detected in liver, kidney,
    heart, muscle or fat.

    TABLE 9. Average1 residues of acephate and its metabolite
             methamidophos in cows' milk

                                                                        
              Dose level                           Residue in milk
           (ppm in dry feed)                        mg/kg ± S.D.1
                                                                      
    Acephate      Methamidophos           Acephate         Methamidophos
                                                                         
    

    3             0.6                     0.00             0.00

    10            2                       0.09 ± 0.005     0.00

    30            6                       0.27 ± 0.06      0.022 ± 0.006
                                                                        

    1 Average for 30 days of three cows per dose level.


         Essentially the same results were obtained by feeding acephate
    and its metabolite to pigs. A linear relationship could be established
    between dose levels and tissue residues. The residues ranged from 0.15
    to 0.58 mg/kg of total residue at the high dose level (i.e. 30 ppm of
    acephate + 6 ppm of metabolite) in tissues which were analysed after 4
    weeks of feeding, namely: muscle, liver, kidney, subcutaneous and

    peritoneal fat, heart and brain. In pigs as in cows, the residues were
    undetectable in all tissues in less than 6 days after withdrawal of
    the diet.

    Chicken and quail

         Tissue samples and eggs were taken from chickens and quail which
    had been subjected to acephate feeding in subacute and chronic
    toxicological studies. Three dose levels were followed: 3, 10 and 30
    ppm of acephate in the diet for 92-140 days. No residues were detected
    in any of the experiments in the fat, kidney or liver of the birds. In
    eggs and muscle tissue, low levels of acephate were observed at the 10
    and 30 ppm feeding levels, namely 0.07 and 0.19 mg/kg respectively in
    chicken eggs, 0.16 and 0.31 mg/kg in quail eggs, 0.01 and 0.02 mg/kg
    in chicken muscle and 0.01 and 0.04 mg/kg in quail muscle (Table 11).
    At the high feeding levels in these studies, trace amounts of
    methamidophos (OS-dimethyl phosphoramidothioate), which is otherwise
    recognised as a plant metabolite only, were observed in muscles as
    well as in eggs.

    In plants

         Studies using 14C-labelled acephate show that the compound is
    readily degraded by plants such as bean seedlings, tomato and cabbage.
    The half-life of acephate in such greenhouse-grown plants has been
    shown to be of the order of 5-10 days. Among several theoretically
    possible metabolites only one, methamidophos or OS-dimethyl
    phosphoramidothioate, is found to be of practical significance.
    Another of the possible metabolites is believed to be present although
    it could not be analytically observed. This is OS-dimethyl
    phosphorothioate, which is thought to be transitional step in the
    complete breakdown to phosphate. The suggested metabolic pathways of
    acephate in plants are shown in Figure 2.

    FIGURE 2


    
    TABLE 10. Residues of acephate and its metabolite methamidophos in cows' tissues

                                                                                                                          

                        Dose level, acephate + methamidophos (ppm in dry feed)
                                                                                                                          

                                3 + 0.6                           10 + 2                              30 + 6
    Tissue              Acephate       Methamidophos       Acephate       Methamidophos       Acephate       Methamidophos
                                                                                                                          

    Liver               0.00           0.00                0.00           0.00                0.08           0.00

    Heart               0.03           0.00                0.10           0.01                0.32           0.06

    Kidney              0.03           0.00                0.21           0.01                0.57           0.05

    Muscle              0.03           0.00                0.08           0.00                0.28           0.04

    Subcutaneous fat    0.00           0.00                0.03           0.00                0.13           0.02

    Peritoneal fat      0.00           0.00                0.02           0.00                0.04           0.00
                                                                                                                          

    Limits of detection: acephate 0.01 mg/kg
                         methamidophos 0.005 mg/kg

    

     TABLE 11. Acephate residues in muscle tissue and eggs from chickens
               and quail
                                                                                 
                                                                          
                            Chickens                        Quail
             
     Feeding      Days        Residues
     level(ppm    of           mg/kg             Days of    Residues, mg/kg
     in diet)     feeding   Muscle   Eggs        feeding    Muscle     Eggs
                                                                                 

     3            7         -        0.00        148        -          -

     10           7         0.01     0.07        148        0.01       0.14-0.19

     30           7         0.12     0.19        148        0.04       0.28-0.34
                                                                                 

         Acephate is readily translocated from soil to plants. Tracer
    studies show that it is taken up and nearly quantitatively moved
    through the roots and throughout the entire plant into the foliage.
    For example, 93-98% of the total residue in radish plants was found to
    be located in the foliage about 28 days after a soil treatment, with
    acephate. Translocation in the other direction, i.e. from the leaves
    to the roots or other parts does not take place.

    In soil

         The fate of acephate in soil has been extensively studied in both
    the laboratory and field.

         Using S-methyl-14C-acephate for soil treatment, it has been
    shown that 14CO2 is released as the acephate decreases. Further, the
    metabolite methamidophos is regularly observed. This is the same
    metabolite as seen in plants, and it has been noted that it does not
    concentrate in soils as it is rapidly degraded. At higher levels of
    fortification a further soil metabolite, methyl acetylphosphoramidate
    has been identified. Independent studies of this compound indicate
    that it has a half-life in soil of about 11 days.

         Quantitatively, the decomposition of acephate in soils is
    relatively rapid. When 9 soils were studied under laboratory
    conditions it was extremely rapid for 8 of them (clay, loams, and
    sandy soils) in which half-lives were from 0.5 to 4 days. In the
    ninth, a muck soil, decomposition was slower with a half-life of 6-13
    days, generally with the higher values associated with dry soils.

         Usually half-lives under field conditions are slightly longer
    than those obtained in laboratory studies. Data have been presented
    from 18 soil tests in 6 major crop producing areas in the United
    States indicating relatively rapid declines with half-lives varying


        TABLE 12. Carry-over of acephate residues to second crop in crop rotation

                                                                                                        

                   Application                                                 Residue, mg/kg
    First        Rate                  A*,       Second         B,**                     Methamidophos
    crop         kg a.i./ha   No.      days      crop           days      Acephate       metabolite
                                                                                                        

    Cabbage      2            5        14        Radish         42        0.00-0.02      0.00-0.00

                                                 Mustard        42        0.00-0.00      0.00-0.00
                                                 tops

    Lettuce      1            8        20        Lettuce        76        0.00-0.00      0.00-0.00

                                                 Beans          85        0.00-0.00      0.00-0.00

                                                 Carrots,       99        0.00-0.00      0.00-0.00
                                                 roots

                                                 Carrots,       99        0.00-0.00      0.00-0.00
                                                 tops

    Cabbage      1            6        11        Mustard        68        0.03-0.07      0.00-0.00
                                                 greens
                                                                                                        

    *A: interval from last treatment to planting of following crop.
    **B: interval from last treatment to harvest of following crop.
    

    from 2 to 15 days. Maximum applications in these tests were 9
    treatments at 1 and 2 kg/ha and no residues of acephate or
    methamidophos could be detected 60 days after the last application.
    The lowest detectable levels were 0.01 mg/kg of acephate and 0.005
    mg/kg of methamidophos.

         The decomposition of acephate in soil has been shown to be mainly
    biological in nature. For instance, by sterilization of the soil the
    otherwise rapid decline in residues is practically halted. On the
    other hand, no adverse effects from soil treatments up to 3 x 20 mg/kg
    could be detected on fungal, bacterial or actinomycetes populations,
    nor were respiration, ammonification, nitrification or sulphur
    oxidation rates affected in any of 3 tested soils.

         Earthworms have been studied and found not to concentrate or
    store acephate or any of its metabolites in their bodies, and it is
    concluded from the study that acephate in soils is not metabolized by
    earthworms.


         As might be expected, the rapid degradation of acephate in soil
    will generally prevent any carry-over from one series of applications
    to a following crop. This has been confirmed both in fast crop
    rotations and with aged treated soils using lettuce, carrots and other
    vegetables as the second crop (Table 12).

    Leaching in soils

         In laboratory studies using column leaching or soil thin-layer
    techniques, it has been clearly shown that acephate and its metabolite
    methamidophos are readily moved by water through soil with little, if
    any, retention by the soil particles. This is in contrast to the
    behaviour of weathered or aged residues. 20 days after soil treatment
    at 2 mg/kg no leaching could be detected, while 15% of the applied
    14C remained in the soil incorporated in natural soil constituents
    after metabolism. This means that leaching into ground water is a
    possibility to be considered, at least in extreme cases of high
    dosages and when measured immediately after treatment. In one such
    case, 0.06 mg/kg of acephate and 0.02 mg/kg of methamidophos were
    observed in water sampled in a depth of 15-30 cm.

         Likewise, acephate and methamidophos could be moved by run-off
    water and detected in both water and soil particles which were
    collected at the edge of a vegetable field and analysed separately.
    After spraying with 1 kg/ha followed by overhead irrigation
    corresponding to 5 cm of rain, residues in the run-off water varied
    from 0.04-0.09 mg/kg in one experiment and up to 0.32 mg/kg in
    another.

    In water

         Acephate is found to be relatively stable in water. Hydrolysis in
    neutral and near-neutral solutions takes place with a half-life of
    about 50 days at 21°C with the formation of
    OS-dimethylphosphorothioate. This product is stable at acid but not
    alkaline pH. Under alkaline conditions it forms S-methyl
    phosphorothioate. Demethylacephate (S-methyl
    acetylphosphoramidothioate) is also formed in neutral water. The major
    plant and soil metabolite, methamidophos, is not formed in water by
    direct hydrolysis. The presence of this metabolite in plants etc. is
    therefore due to biochemical mechanisms.

         Acephate in water is stable to sunlight which, therefore, cannot
    be a major factor in the loss of acephate in the field.

         In two field experiments, acephate was studied in natural ponds.
    Acephate was added to the water at about 0.1 mg/kg and its fate was
    followed by analysis of water, bottom mud and submerged vegetation for
    44 days. Some uptake of acephate in bottom mud and vegetation
    occurred. A rapid degradation, however was noted shortly afterwards
    with half-lives varying from 3 to 10 days in the mud and in
    vegetation. The results from one of these studies are summarised in
    Table 13.

    In the environment

         The water solubility of acephate and its possible movement in
    leaching and run-off waters etc. have attracted special attention and
    the effects of acephate on microorganisms and fish have been followed
    in several special studies.

    TABLE 13. Residues in a natural pond (Iowa) after treatment
              of the water with 0.1 mg acephate per litre

                                                               

                    Residues in sample material, mg/kg1
                                                               
    Days after                                      Submerged
    treatment       Pond water      Bottom mud      vegetation
                                                               

    0               0.11-0.14       0.04-0.03       0.18-0.52
    3               0.09-0.10       0.04-0.06       0.17-0.23
    9/10            0.08-0.08       0.00-0.00       0.09-0.09
    23/24           0.04-0.04       0.00-0.00       0.04-0.04
    44/45           0.00-0.03       0.00-0.00       0.00-0.00
                                                               

    1 No methamidophos metabolite was detected in this study.

         Cylindrotheca fusiformis is a marine diatom which is known as
    part of basic food chains. Tests show that this organism does not
    concentrate acephate or its metabolite methamidophos from culture
    solutions containing 1-100 mg/kg of acephate and 1-10 mg/kg of the
    metabolite.

         The fresh water species, Daphnia magna, is also part of food
    chains. In studies with water containing 1 mg/l of acephate and 0.1
    mg/1 of methamidophos, adult Daphnia behaved similarly to the marine
    diatom, i.e. the concentrations of the compounds in the organisms
    remained practically equal to their concentrations in the water
    without any indication of further build-up. In parallel experiments
    for comparison, DDT was found to concentrate 1000-7000 times in
    diatoms and 550 times in Daphnia.

         Bluegill sunfish were exposed to 1.0 or 0.01 mg/l of acephate for
    35 days followed by a 14 days period in an uncontaminated water
    system. 7-10 days after the exposure started, relatively constant
    levels of acephate of the order of 5-10 times the concentration in the
    water were reached. Thereafter, no further accumulation was observed
    and after removal of the fish a rapid elimination of acephate from
    their tissues occurred. Within 3 days more than 50% had disappeared.

         In none of these experiments were any toxic effects from acephate
    on the organisms under study observed.

         These observations have been further substantiated in a special
    model ecosystem including both a terrestrial and a fresh water aquatic
    phase. The following kinds of organisms were involved in the study:
    algae, fresh water plants, water flea, mosquito, snail, clam, crab,
    mosquito fish, sorghum seedlings and a species of caterpillar. After
    treatment with acephate in the model system none of these organisms
    accumulated acephate or its metabolites or concentrated them in any of
    the tissues.

         It was concluded from the studies that acephate would not persist
    in the environment and could safely be used in and near aquatic
    systems.

    In processing and cooking

         Commercial processing of ripe tomatoes into canned fruits, puree
    and juice reduced the total residue of acephate and its plant
    metabolite methamidophos. The decrease was found to be about 3-7 fold
    from fresh to processed products in a series of experiments, with no
    significant difference between canned tomato, tomato puree and tomato
    juice, as shown in Table 14.

         These results indicate that acephate residues in tomatoes are not
    confined to the outer fruit-layers and the peel. Owing to the systemic
    nature of the insecticide a certain amount penetrates into the fruit
    flesh. This is further confirmed by direct separate analyses of the
    peel and flesh of both tomatoes and potatoes. Table 15 shows that in
    potatoes both acephate and its metabolite methamidophos are evenly
    distributed throughout the potato. In the tomato penetration into the
    interior parts also takes place, although to a smaller extent as there
    is a lower concentration in the pulp than in the peel.

         Washing with water was not effective in removing residues of
    acephate from vegetables (Table 16), which is to be expected since
    residues are to a great extent internal. Boiling for 30 minutes
    removed up to 60% of the acephate and methamidophos from Brussels
    sprouts, however, owing to the water-solubility of the compounds. The
    extracted residue was fully recovered in the boiling water.

         Storage for up to 3 months at -20°C of various processed products
    containing acephate, e.g. canned tomatoes, blanched and frozen
    Brussels sprouts and potato tubers, has been shown not to change the
    residue level.

         Further examples of acephate behavior during the processing of
    cotton seed, soybeans and sugar beets have been mentioned above.

    METHODS OF RESIDUE ANALYSIS

         Analytical methods based on thin-layer chromatography and on
    gas-liquid chromatography for the final determination of acephate have
    been reported (Chevron, 1972). The principal plant and soil metabolite
    methamidophos (0S-dimethyl phosphoramidothioate) is determined
    simultaneously in these methods.

         The methods are described for animal and vegetable products,
    including oily and dry crop samples, and for soil. They involve an
    extraction with ethyl acetate, with acetonitrile/hexane partition for
    samples containing fat and oil, and then clean-up by silicic acid
    column chromatography with 10% methanol in ether as eluant. In its
    most recent development the GLC determination is with thermionic
    detection (Chevron, 1974).

         The limits of determination reported for the GLC methods are
    about 0.01 mg/kg for acephate in various substrates and from
    0.005-0.01 for methamidophos.

         Acephate has been reported to be recovered by the recently
    published multi-residue method of Luke et al. (1975) in which acetone
    extraction is followed by partition between methylene chloride and
    petroleum ether to remove water. The recoveries of acephate in this
    procedure are better than 80%.


        TABLE 14. Acephate and its metabolite methamidophos in fresh and processed tomatoes

                                                                                                  

                       Application        Days after     Residue, mg/kg
                   Rate,                  last
    Product        kg a.i./ha   No.       treatment      Acephate       Methamidophos    Total
                                                                                                  

    Fresh ripe     1            6         7              1.7            0.21-0.30        1.91
    tomato                      7         7              1.5-2.0        0.35-0.41        1.85-2.41
                   2            6         7              3.2-3.7        0.58-0.69        3.89-4.28
                                7         7              2.6-3.5        0.55-0.77        3.15-4.27

    Canned         1            6         7              0.46-0.57      0.18-0.21        0.64-0.78
    tomato                      7         7              0.44-0.47      0.25-0.26        0.69-0.73
                   2            6         7              1.1-1.3        0.39-0.42        1.49-1.72
                                7         7              0.82-0.98      0.45-0.55        1.27-1.53

    Tomato         1            6         7              0.51-0.57      0.21-0.24        0.72-0.81
    puree                       7         7              0.71-0.71      0.25-0.26        0.96-0.97
                   2            6         7              1.3-1.3        0.40-0.42        1.70-1.72
                                7         7              1.1-1.2        0.44-0.46        1.54-1.66

    Tomato         1            6         7              0.63-0.71      0.23-0.23        0.86-0.94
    juice                       7         7              0.79-0.81      0.31-0.33        1.12-1.12
                   2            6         7              1.2-1.4        0.43-0.43        1.63-1.83
                                7         7              1.2-1.3        0.53-0.55        1.73-1.85
                                                                                                  
    


    TABLE 15. Acephate residues in peel and pulp of potatoes and tomatoes

                                                                        

                              Days after
                              last               Residue, mg/kg
    Crop part    Treatment    treatment     Acephate       Methamidophos
                                                                        

    Potato

    peel         1-2 kg/ha    3             0.24-0.86      0.03-0.06

    pulp         -            3             0.34-0.87      0.02-0.04

    peel         -            14            0.24-0.25      0.03-0.04

    pulp         -            14            0.24-0.28      0.03-0.03


    Tomato

    peel         1-2 kg/ha    3             6.8-9.7        0.57-0.78

    pulp         -            3             1.5-2.2        0.38-0.50

    peel         -            14            2.4-2.5        0.56-0.60

    pulp         -            14            1.1-1.2        0.38-0.40

                                                                        


         Further validation of the GLC methods for acephate is reported to
    be in progress.

    NATIONAL TOLERANCES REPORTED TO THE MEETING

         National tolerances reported to the meeting are shown in Table
    17.

    APPRAISAL

         Acephate is a relatively new organophosphorus insecticide with
    both contact and systemic action on sucking and biting insects. Since
    its first marketing in 1970/71 it has been registered in many
    countries for both horticultural and agricultural crop protection.

         Technical acephate is described as a chemical of 80-90% purity of
    which the main impurities are known. It is usually formulated as 50%
    or 75% soluble powders, low concentration dusts and 1.5% granules and
    it is often applied in repeated pre-harvest treatments at the rate of
    1-2 kg/ha or 0.05-0.1% spray dilutions.

         The residue data available are mainly obtained from experiments
    and supervised trials made under North American climatic conditions,
    in a few cases supplemented from other countries. Most of the data are
    from trials under practical conditions which are likely to represent
    the results of good agricultural practice.

         The systemic nature of acephate is demonstrated by a significant
    penetration of residues into the flesh of fruit and the internal parts
    of plants such as tomatoes, potatoes and citrus. It shows relatively
    low persistence.

         Uptake from soils and ready translocation through plants to the
    foliage occurs. The metabolism of acephate has been studied and it is
    suggested that a complete degradation into phosphates and CO2 may
    take place leading to the incorporation of these compounds into plant
    constituents. A major metabolite, 0S-dimethyl phosphoramidothioate is
    considered to represent a transitional step. This metabolite is itself
    the insecticide methamidophos, and it is regularly found as a part
    (10-15%) of acephate residues in plant material.

         The fate of acephate residues when fed to livestock has been
    investigated. Continued feeding gave rise to residues which settled at
    low levels in meat, milk and eggs as well as in most tissues. In all
    cases examined, viz cow, pig, chicken and quail, residues
    disappeared rapidly becoming undetectable within 1 to 6 days of the
    rapid withdrawal of acephate feeding.

         Owing to the water-soluble character of acephate its fate in
    different environmental systems, particularly in soil and water, has
    been thoroughly investigated. In soils, degradation is relatively
    rapid and follows the pathways demonstrated in metabolism. Some
    leaching through the upper soil layers can be traced in extreme cases.
    Degradation of acephate in the various components of different
    ecosystems is relatively fast and no signs of accumulation or
    concentration in any tissues of living organisms have been found.

         Gas-chromatographic methods combined with appropriate extraction
    and clean-up procedures are available for the specific determination
    of acephate, although full validation of the methods has not yet been
    published.

        TABLE 17. National tolerances reported to the Meeting

                                                                                                                           

                                                                Tolerance,                                   Pre-harvest
    Country           Crop                                      mg/kg                                        interval, days
                                                                                                                           

    Australia         Cauliflower, cabbage,
                      lettuce                                   10
                      Brussels sprouts, broccoli,
                      tomatoes                                  6
                      Cottonseed                                2.5
                      Soybeans                                  1
                      Potatoes                                  0.5
                      Fat of meat, meat and milk                0.1

    Netherlands       Brassicas                                 1 (+ 0.1 mg/kg methamidophos)
                      Potato                                    0.02 (+ 0.01 mg/kg methamidophos)1

    New Zealand       Brassicas                                 2.0

    Switzerland       Pome fruit, stone fruit                   2.5
                      Vegetables                                1.5

    U.S.A.            Celery,*                                  10                                           21
                      Lettuce (head)*                           10
                      Cottonseed meal                           8
                      Cottonseed hulls, bell peppers*
                      soybean meal                              4
                      Beans(succulent and dry)*                 3                                            14
                      Cottonseed                                2                                            21
                      Almonds, soybeans                         1                                            35,14
                      Meat, fat, meat by products of cattle,
                      goats, hogs, horses, poultry & sheep      0.1
                      Milk, eggs                                0.1
                                                                                                                           

    1 At or about the limit of determination.
    * Not more than 1 mg/kg of OS-dimethyl phosphoramidothioate.
    

    RECOMMENDATIONS

         The following maximum residue limits are recommended for
    acephate. The plant metabolite 0S-dimethyl phosphoramidothioate is the
    insecticide methamidophos for which separate recommendations are made
    (see "Methamidophos").

                                  Pre-harvest intervals on which
    Commodity                     Limit recommendations are based
                                  mg/kg          days

    Alfalfa                       10             21
    Lettuce                       10             14
    Sugar beet leaves             10             21
    Broccoli                      5              14
    Brussels sprouts              5              14
    Cabbage                       5              14
    Cauliflower                   5              14
    Citrus                        5              7
    Tomatoes                      5
    Cottonseed                    2              21
    Potatoes                      1
    Soybeans                      1              14
    Sugar beets                   1
    Meat and fat of cattle,
    pigs and poultry              0.1
    Milk                          0.1
    Eggs                          0.1

    FURTHER WORK OR INFORMATION

    DESIRABLE

    1.   Further studies to elucidate the metabolic fate of acephate,
         preferably in non-rodent species.

    2.   Further studies to elucidate the contribution of acephate and
         methamidophos alone or in combination in depressing
         cholinesterase activity.

    3.   Validation of methods of residue analysis for regulatory
         purposes, which is reported to be in progress.

    REFERENCES

    Anonymous.     Human exposure reports from field application
    1976a          of orthene by research personnel. Unpublished reports
                   compiled by Chevron Chemical Company,. submitted to the
                   World Health Organization by Chevron Chemical Company.

    Anonymous.     Human exposure reports from operation of orthene
    1976b          pilot plant and formulation of orthene 75S. Unpublished
                   reports compiled by Chevron Chemical Company, submitted
                   to the World Health Organization by Chevron Chemical
                   Company.

    Arnold, D., Kennedy, G., and Keplinger, M. Mutagenic study with
    1971           orthene in albino mice. Unpublished report from
                   Industrial Bio-Test Laboratories, submitted to the
                   World Health Organization by Chevron Chemical Company.

    Cavalli, R., Hallesy, D., and Spence, J. S125 acute oral toxicity of
    1968a          RE9169 (SX 196) in rats. Unpublished report from
                   Standard Oil Company of California, submitted to the
                   World Health Organization by Chevron Chemical Company.

    Cavalli, R., Hallesy, D., and Spence, J. S-86 acute oral toxicity
    1968b          of monitor technical in rats. Unpublished report from
                   Standard Oil Company of California, submitted to the
                   World Health Organization by Chevron Chemical Company.

    Cavalli, R., Hallesy, D., and Spence, Jr. S-98 acute dermal toxicity
    1968c          of monitor technical. Unpublished report from Standard
                   Oil Company of California, submitted to the World
                   Health Organization by Chevron Chemical Company.

    Cavalli, R., Hallesy, D., and Spence, J. S-126 acute dermal
    1969           toxicity of RE9169 (SX 198) in rabbits. Unpublished
                   report from Standard Oil Company of California,
                   submitted to the World Health Organization by Chevron
                   Chemical Company.

    Cavalli, R., Christensen, H., and Spence, J. S-183 the acute oral
    1970           toxicity of RE14.071. Unpublished report from Standard
                   Oil Company of California, submitted to the World
                   Health Organization by Chevron Chemical Company.

    Cavalli, R., and Spence, J. S-160 acute dermal toxicity of
    1970a          RE12,420. Unpublished report from Standard Oil Company
                   of California, submitted to the World Health
                   Organization by Chevron Chemical Company.

    Cavalli, R., and Spence, J. S-181 acute oral toxicity of ortho
    1970b          RE12,420. Unpublished report from Standard Oil Company
                   of California, submitted to the World Health
                   Organization by Chevron Chemical Company.

    Cavalli, R., and Spence, J. S-174 effect of RE12,420 on the
    1970c          acetylcholinesterase of rats. Unpublished report from
                   Standard Oil Company of California, submitted to the
                   World Health Organization by Chevron Chemical Company.

    Cavalli, R., and Spence, J. The acute inhalation toxicity of
    1970d          RE12,420. Unpublished report from Standard Oil of
                   California, submitted to the World Health Organization
                   by Chevron Chemical Company.

    Cavalli, R., and Spence, J. Effect of RE12,420 on the
    1970e          acetylcholinesterase of rats. Unpublished report from
                   Standard Oil Company of California, submitted to the
                   World Health Organization by Chevron Chemical Company.

    Cavalli, R., and Spence, J. Effect of repeated doses of RE12,420
    1970f          on cholinesterase activity in rats. Unpublished report
                   from Standard Oil Company of California, submitted to
                   the World Health Organization by Chevron Chemical
                   Company.

    Cavalli, R., and Spence, J. Skin sensitization potential of RE12,420
    1970g          (75% SS). Unpublished report from Standard Oil Company
                   of California, submitted to the World Health
                   Organization by Chevron Chemical Company.

    Cavalli, R., and Spence, J. Skin sensitization potential of
    1970h          RE12,420. Unpublished report from Standard Oil Company
                   of California, submitted to the World Health
                   Organization by Chevron Chemical Company.

    Chevron Chemical Company. Comparison of methods RM-12B  with RM-12
    1972           and RM-12A. File 740.01, January 21.

    Chevron Chemical Company. Orthene and themmetabolite ortho 9006.
    1974           Residue analysis by thermionic gas chromatography. File
                   740.01, April 25.

    Chevron Chemical Company. Acephate (OrtheneR). Identity and
    1976           residues in food. Vol. 1, 2 and 3. Information, data
                   and laboratory reports covering the research period
                   1971-1973 and submitted to the Joint Meeting 1976. On
                   file in FAO, Plant Protection Division.

    Coquet, B. Determination of the lethal dose 50% by intra-peritoneal
    1972           route in the male rat of ortho 12,420 technical (85%
                   acephate). Unpublished report from Centre de Recherche
                   et d'Elevage des Oncins, submitted to the World Health
                   Organization by Chevron Chemical Company.

    Crossley, J., and Tutass, H. Metabolism of monitor insecticide
    1969           by rats. Unpublished report from Ortho, Division of
                   Chevron Chemical Company, submitted to the World Health
                   Organization by Chevron Chemical Company.

    Ebbens, K., Mastri, C., Keplinger, M., and Fancher, O. Skin
    1971           sensitization test with orthene technical-SX-284 in
                   albino guinea pigs. Unpublished report from Industrial
                   Bio-Test Laboratories, Inc., submitted to the World
                   Health Organization by Chevron Chemical Company.

    Edds, G., and Bradley, R. Acute toxicity study - white Leghorn
    1971           chicks. Unpublished report from the University of
                   Florida, Gainesville, submitted to the World Health
                   Organization by Chevron Chemical Company.

    Elliott, C., Shadberg, K., Goode, J., and Keplinger, M. Acute dust
    1972           inhalation toxicity study with orthene-85% technical in
                   albino rats. Unpublished report from Industrial
                   Bio-Test Laboratories, Inc., submitted to the World
                   Health Organization by Chevron Chemical Company.

    Fletcher, D., Jenkins, D., and Keplinger, M. Toxicity reproduction
    1972a          and residue study with orthen technical SX-331 in white
                   Leghorn chickens. Unpublished report from Industrial
                   Bio-Test Laboratories, Inc., submitted to the World
                   Health Organization by Chevron Chemical Company.

    Fletcher, D., Jenkins, D., and Keplinger, M. Neurotoxicity study
    1972b          with orthene technical, SX.284 in adult hens.
                   Unpublished report from Industrial Bio-Test
                   Laboratories, Inc., submitted to the World Health
                   Organization by Chevron Chemical Company.

    Garofalo, M., Palazzolo, R., and Sanders, R. A study of the effects
    1973           of orthene and monitor on plasma and erythrocyte
                   cholinesterase activity in human subjects during
                   subacute oral administration. Unpublished report from
                   Industrial Bio-Test Laboratories, Inc., submitted to
                   the World Health Organization by Chevron Chemical
                   Company.


    Haley, S., Plank, J., Wright, P., and Keplinger, M. Teratogenic
    1971           study with orthene technical in albino rats.
                   Unpublished report from Industrial Bio Test
                   Laboratories, Inc., submitted to the World Health
                   Organization by Chevron Chemical Company.

    Haley, S., Kennedy, G., and Keplinger, M. Three generation
    1973           reproduction study with RE 12,420 technical in albino
                   rats. Unpublished report from Industrial Bio-Test
                   Laboratories, Inc., submitted to the World Health
                   Organization by Chevron Chemical Company.

    Hartke, K., Burtner, G., Kennedy, G., and Keplinger, M. Two-year
    1972           chronic oral toxicity study with RE 12,420 in beagle
                   dogs. Unpublished report from Industrial Bio-Test
                   Laboratories, Inc., submitted to the World Health
                   Organization by Chevron Chemical Company.

    ICI, Australia. Data submitted through the Codex Contact Point,
    1976           Canberra, Australia.

    Kretchmar, B., Mastri, C., Keplinger, M., and Fancher, O. Acute
    1971           oral toxicity study to determine the efficacy of
                   atropine sulfate and 2-PAM as antidotes for RE 12,420
                   technical intoxication in albino rats. Unpublished
                   report from Industrial Bio-Test Laboratories, Inc.,
                   submitted to the World Health Organization by Chevron
                   Chemical Company.

    Kretchmar, B., Mastri, C., and Keplinger, M. Acute oral potentiation
    1972           study with monitor technical and orthene technical in
                   albino rats. Unpublished report from Industrial
                   Bio-Test Laboratories, Inc. submitted to the World
                   Health Organization by Chevron Chemical Company.

    Kruke, V., Narcisse, J., Cavalli, R., and Spence, J. Acute inhalation
    1972a          toxicity of orthene 75S. Unpublished report from
                   Standard Oil Company of California. submitted to the
                   World Health Organization by Chevron Chemical Company.

    Kruke, V., Rittenhouse, J., Narcisse, J., Cavalli, R., and Spence, J.
    1972b          14-Day aerosol inhalation study in adult rats.
                   Unpublished report from Standard Oil Company of
                   California, submitted to the World Health Organization
                   by Chevron Chemical Company.

    Ladd, R., Jenkins, D., Wright, P., and Keplinger, M. Teratogenic
     1972          study with orthene technical in albino rabbits.
                   Unpublished report from Industrial Bio Test
                   Laboratories, Inc., submitted to the World Health
                   Organization by Chevron Chemical Company.

    Lee, H. Metabolism of orthene in rats. Unpublished report from Ortho
    1972           Division of Chevron Chemical Company, submitted to the
                   World Health Organization by Chevron Chemical Company.

    Lindberg, D., Wright, P., Keplinger, M., and Fancher, O. 90-Day
    1971           study with orthene in Beagle dogs. Unpublished study
                   from Industrial Bio-Test Laboratories, Inc., submitted
                   to the World Health Organization by Chevron Chemical
                   Company.

    Luke, M.A., Froberg. J.E., and Masumoto. H.T. Extraction and
    1975           cleanup of organochlorine, organophosphate,
                   organonitrogen, and hydrocarbon pesticides in produce
                   for determination by gas-liquid chromatography. J. Ass.
                   off. analyt. Chem., 58:1020-1026.

    Magellona, E.D. Report from the Codex Contact Point,  Philippines
    1976           on acephate uses on rice and cabbage.

    Mastalski, K., Jenkins, D., Keplinger, M., and Fancher, O.  Acute
    1970           oral toxicity study on RE 12,420 technical in Beagle
                   dogs. Unpublished report from Industrial Bio-Test
                   Laboratories, Inc., submitted to the World Health
                   Organization by Chevron Chemical Company.

    Mastri, C., Keplinger, M., and Fancher, O. Acute oral toxicity
    1970a          study on RE 12,420 technical in white mice. Unpublished
                   report from Industrial BioTest Laboratories, Inc.,
                   submitted to the World Health Organization by Chevron
                   Chemical Company.

    Mastri, C., Keplinger, M., and Francher, O. Acute oral and dermal
    1970b          toxicity studies on RE 12,420 75% spray suspension
                   formulation. Unpublished report from Industrial
                   Bio-Test Laboratories, Inc., submitted to the World
                   Health Organization by Chevron Chemical Company.

    McCasky, B. Acute toxicity of RE18,421. Unpublished report from
    1972a          Chevron Chemical Company, submitted to the World Health
                   Organization by Chevron Chemical Company.

    McCasky, B. Acute toxicity of RE17,245. Unpublished report from
    1972b          Chevron Chemical Company, submitted to the World Health
                   Organization by Chevron Chemical Company.

    McCasky, B. Acute toxicity of RE17,246. Unpublished report from
    1972c          Chevron Chemical Company submitted to the World Health
                   Organization by Chevron Chemical Company.

    Narcisse, J., Cavalli, R., and Spence, J. Eye irritation potential
    1971a          of orthene technical, orthene 75S (CC-2153) and orthene
                   75S (CC-2152). Unpublished report from Standard Oil
                   Company of California, submitted to the World Health
                   Organization by Chevron Chemical Company.

    Narcisse, J., Cavalli, R., and Spence, J. S-269 the acute oral
    1971b          toxicity of RE15,283. Unpublished report from Standard
                   Oil Company of California, submitted to the World
                   Health Organization by Chevron Chemical Company.

    Narcisse, J., Cavalli, R., and Spence, J. S-270 the acute dermal
    1971c          toxicity of RE15,283. Unpublished report from Standard
                   Oil Company of California, submitted to the World
                   Health Organization by Chevron Chemical Company.

    Narcisse, J., Cavalli, R., and Spence, J. The acute oral toxicity
    1972a          of orthene 75-S to adult male rabbits. Unpublished
                   report from Standard Oil Company of California,
                   submitted to the World Health Organization by Chevron
                   Chemical Company.

    Narcisse, J., Cavalli, R., and Spence, J. The skin irritation
    1972b          potential of orthene 75-S. Unpublished report from
                   Standard Oil Company of California, submitted to the
                   World Health Organization by Chevron Chemical Company.

    New Zealand. Submission on acephate from the National Codex
    1976           Committee of New Zealand.

    Pack, D. The metabolism of RE9169 and RE14,071 in rats. Unpublished
    1972a          report from Chevron Chemical Company, submitted to the
                   World Health Organization by Chevron Chemical Company.

    Pack, D. Orthene occupational exposure-pilot plant and formulations.
    1972b          Unpublished report from Ortho Division of Chevron
                   Chemical Company, submitted to the World Health
                   Organization by Chevron Chemical Company.

    Pack, D. Orthene insecticide occupational exposure - field station
    1972c          personnel. Unpublished report from Ortho Division of
                   Chevron Chemical Company, submitted to the World Health
                   Organization by Chevron Chemical Company.

    Plank, J., and Keplinger, M. Two-year chronic oral toxicity study
    1973           with RE12,420 technical in albino rats. Unpublished
                   report from Industrial Bio-Test Laboratories, Inc.,
                   submitted to the World Health Organization by Chevron
                   Chemical Company.

    Plank, J., Wright, P., Keplinger, M., and Fancher, O. 90-Day
    1971           subacute oral toxicity study with RE12,420 technical in
                   albino rats. Unpublished report from Industrial
                   Bio-Test Laboratories, Inc., submitted to the World
                   Health Organization by Chevron Chemical Company.

    Plank, J., Wright, P., and Keplinger, M. 90-Day cholinesterase
    1972           study with ortho 12,420 technical in albino rats.
                   Unpublished study from Industrial Bio-Test
                   Laboratories, Inc., submitted to the World Health
                   Organization by Chevron Chemical Company.

    Rittenhouse, J., Narcisse, J., Cavalli, R., and Spence, J. The
    1972a          acute oral toxicity to rats of orthene in combination
                   with five other cholinesterase inhibition of materials.
                   Unpublished report from Standard Oil Company of
                   California, submitted to the World Health Organization
                   by Chevron Chemical Company.

    Reyna, M., Kennedy, G., and Keplinger, M. 18-Month carcinogenic
    1973           study with RE12,420 technical in Swiss white mice.
                   Unpublished report from Industrial Bio Test
                   Laboratories, Inc., submitted to the World Health
                   Organization by Chevron Chemical Company.

    Rittenhouse, J., Narcisse, J., Cavalli, R., and Spence, J.
    1972b          21-Day subacute dermal study in rabbits with
                   orthene-75S. Unpublished report from Standard Oil of
                   California, submitted to the World Health Organization
                   by Chevron Chemical Company.

    Rittenhouse, J., Narcisse, J., Cavalli, R., and Spence, J.
    1972c          S-184 the acute dermal toxicity of RE14,071.
                   Unpublished report from Standard Oil Company of
                   California, submitted to the World Health Organization
                   by Chevron Chemical Company.

    Rittenhouse, J., Narcisse, J., Cavalli, R., and Spence, J.
    1972d          S-533. The acute dermal toxicity of RE18,421.
                   Unpublished report from Standard Oil Company of
                   California, submitted to the World Health Organization
                   by Chevron Chemical Company.

    Rittenhouse, J., Narcisse, J., Cavalli, R., and Spence, J. S-514
    1972e          The acute dermal toxicity of RE17,245. Unpublished
                   report from Standard Oil Company of California,
                   submitted to the World Health Organization by Chevron
                   Chemical Company.

    Rittenhouse, J., Narcisse, J., Cavalli, R., and Spence, J.
    1972P          S-515 the acute dermal toxicity of RE17,246.
                   Unpublished report from Standard Oil Company of
                   California, submitted to the World Health Organization
                   by Chevron Chemical Company.

    Swencicki, R., and Hartz, W. Orthene human exposure study
    1972           clinical evaluation. Unpublished study from Standard
                   Oil Company of California, Submitted to the World
                   Health Organization by Chevron Chemical Company.

    Tucker, B. Acetylcholinesterase inhibition of orthene and
    1972           ortho 9006. Unpublished report from Ortho Division of
                   Chevron Chemical Company, submitted to the World Health
                   Organization by Chevron Chemical Company.

    


    See Also:
       Toxicological Abbreviations
       Acephate (ICSC)
       Acephate (Pesticide residues in food: 1979 evaluations)
       Acephate (Pesticide residues in food: 1981 evaluations)
       Acephate (Pesticide residues in food: 1982 evaluations)
       Acephate (Pesticide residues in food: 1984 evaluations)
       Acephate (Pesticide residues in food: 1984 evaluations)
       Acephate (Pesticide residues in food: 1987 evaluations Part II Toxicology)
       Acephate (Pesticide residues in food: 1988 evaluations Part II Toxicology)
       Acephate (Pesticide residues in food: 1990 evaluations Toxicology)
       Acephate (JMPR Evaluations 2002 Part II Toxicological)
       Acephate (JMPR Evaluations 2005 Part II Toxicological)