IPCS INCHEM Home


    THIOPHANATE-METHYL      JMPR 1973

    IDENTITY

    Chemical name

         1.2-alpha-(3-methoxycarbonyl-2-thioureido)benzene.

    Synonyms

         Dimethyl 4.4'-o-phenylene bis(3-thioallophanate)
         Topsin-methylR, Cercobin-MethyR, NF 44.
         Topsin - MR, Cercobin MR, MildothaneR, Pelt 44R,
           Enovit MR, NeotopsinR

    Structural formula

    CHEMICAL STRUCTURE 1


    Other information on identity and properties

         Molecular weight:   342.40
         State:              Crystalline solid, colourless
         Melting point:      17°C decomposed
         Solubility:         Chloroform          2.62% (w/w)
         (at 21°C)           Methanol            2.92%   "
                             Acetone             5.81%   "
                             Ethyl acetate       1.19%   "
                             Acetonitrile        2.44%   "
                             Cyclohexane         4.30%   "
                             Slightly soluble in n-Hexane and water.

    Stability:               Stable in acidic solutions. At pH = 7 slight,
                             but measurable formation of methyl
                             benzimidazol-2-ylcarbamate (MBC). Unstable in
                             alkaline solution.

    Purity of
    technical material:      Purity              96.1%
                             Sulfur              1.0%
                             Sodium chloride     1.5%
                             Loss on drying      0.5%
                             Other components    0.9%

    EVALUATION FOR ACCEPTABLE DAILY INTAKE

    Biochemical aspects

         The potential metabolites of thiophanate-methyl described on the
    basis of chemical reactivity are as follows:


    FIGURE 1
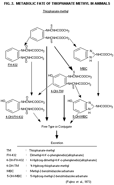
    FIGURE 2

         In vitro transformation of thiophanate methyl to methyl
    benzimidazole carbamate, was dependent on pH and temperature (Fuchs et
    al., 1972).

         In studies reported by Noguchi et al. (1971) and Fujino et al.
    (1973) 14C- or 35S-labelled thiophanate-methyl were fed to rats, mice
    and dogs. 80-100% of the administered amounts were recovered in faeces
    and urine within 96 hours after administration of the compound. With
    faeces 60%, 16-27% and 14% respectively were excreted for the three
    species, while urinary excretion accounted for 30%, 66-78% and 74%,
    respectively, of the administered thiophanate-methyl. Fujino et al.
    (1973) have suggested the metabolism scheme shown in Fig. 2. They
    report that the major part of faecal excretion was in the form of
    unmetabolized thiophanate-methyl, while the minor parts consisted of
    4-hydroxy-thiophanate-methyl (4-OH-TM) and
    dimethyl-4.4'-O-phenylenebisallophanate (FH-432). Methyl
    2-benzimidazol carbamate (carbendazim) and 5-hydroxy-MBC (5-OH-MBC)
    were also observed during TLC identifications of metabolites of faecal
    extracts. It was, however, questioned whether these two were actual
    metabolites in faeces or if they were compounds produced during the
    analytical procedures from thiophanate-methyl and 4-OH-TM,
    respectively.

         Thiophanate-methyl and a number of metabolites could be liberated
    enzymatically or by acid treatment from water soluble conjugates in
    rat urine in the same studies by Fujino et al. (1973). Identified
    compounds were thiophanate-methyl, 4-OH-TM, 4-OH-FH-432, FH-432,
    5-OH-MBC and MBC (Fig. 2). As was the case in faeces, the two of these
    compounds, namely MBC and 5-OH-MBC, may possibly have been formed
    during the analytical procedures.

         In the earlier study by Noguchi et al. (1971) of the conversion
    of thiophanate methyl by rat liver microsomes, MBC and 5-OH-MBC were
    also found to be present. Evidence for enzyme induction could not be
    attained with liver microsomes prepared from rats fed daily with 600
    ppm of thiophanate-methyl for three months.

         Although the presence of phenylene-thiourea has been suggested
    there is no evidence from the studies in rats, mice and dogs that this
    metabolite actually is formed.

         Thiophanate-methyl has been reported to be reasonably unstable on
    leaf surfaces with the majority of material degrading to MBC and the
    oxygen analogue of thiophanate. In contrast to animal studies where
    these two metabolites appear to be of minor significance they appear
    to be significant metabolites in plants (Soeda et al., 1972a and b).
    In aqueous solution following irradiation by UV or sunlight MBC was
    the only metabolite found (Buchenauer et al., 1973).


         The hazard to the environment associated with the use of
    thiophanate-methyl appears to be minimal. It is unstable in soil
    degrading within one week and appears to be relatively selective in
    that levels of up to 1000 ppm had no effect on a soil population of
    bacteria, fungi and actinomycetides (Noguchi, 1972).

    Effects on enzymes and other biochemical parameters

         Male rats administered 1000 mg/kg orally were examined for
    cholinesterase activity in blood and brain four hours following
    dosing. No significant change in erythrocyte, serum or brain
    cholinesterase was observed over the period (Hashimoto et al., 1972b).

    TOXICOLOGICAL STUDIES

    Acute toxicity

         Signs of poisoning include tremors 1-2 hours after high level
    exposure which lead to tonic or clonic convulsions. Nose bleeding and
    lacrimation were observed in rats. A slight decrease in respiratory
    rate, lethargy, disappearance of tonus of abdominal muscle, discharge
    from the eye and mydriasis were observed in rabbits and dogs
    (Hashimoto of al., 1972a).

                                                                            

    Species                   Route LD50 (mg/kg)     References
                                                                            

    Rat            M          oral     7 500           Hashimoto et al.1972a;

                   M          ip       1 640           Noguchi of al., 1970a

                   F          oral     6 640           "

                   F          ip       1 140           "

                   M & F      dermal   >10 000         "

    Mice           M          oral     3 510           "

                   M          ip       790             "

                   F          oral     3 400           "

                   F          ip       1 110           "

                   M & F      dermal   >10 000         "

    Guinea-pig     M          oral     3 640           "

                   F          oral     6 700           "

    (cont'd)
                                                                            

    Species                   Route LD50 (mg/kg)     References
                                                                            

    Rabbit         M                   2 270           "

                   F                   2 500           "

    Dog            M                   4 000           "

                   F                   4 000           "

    Japanese
    Quail          M & F               >5 000          "
                                                                            


    Contact phototoxicity and photosensitivity

         Thiophanate-methyl applied to the shaved skin of rabbits and
    guinea-pigs was exposed to erythrogenic and nonerythrogenic light.
    There was no evidence of phototoxicity in either species.
    Thiophanate-methyl was topically applied to the shaved skin of
    guinea-pigs four times over a nine-day period and three weeks later.
    After exposure the area was exposed to erythrogenic and
    nonerythrogenic radiation. No positive photosensitivity reactions were
    noted (Noguchi and Hashimoto, 1971; Hashimoto et al., 1972).

    Subacute dermal toxicity

         Groups of guinea-pigs (five per group) were administered
    thiophanate-methyl to the abraded dorsum daily for 30 days at a dosage
    level of 0, 2, 20 and 200 mg/kg. No evidence of dermal toxicity or
    irritation was noted (Noguchi and Hashimoto, 1972).

    Inhalation toxicity

         Groups of 10 male mice were exposed to formulations of
    thiophanate-methyl for periods of time of 30, 60, 120 minutes at a
    concentration of 100 mg/litre through an aerosol generator. There were
    no deaths in any group including the controls although such findings
    as lacrimation, salivation and nasal discharge were observed soon
    after exposure. All animals appeared normal within 24 hours following
    exposure (Hashimoto et al., 1972a).

    Dermal irritation

         Rabbits were dermally administered thiophanate-methyl at levels
    of 1, 0.1, and 0.01 g daily for 21 days. A slight reversible erythema
    was observed in the highest dose group. No skin irritation was evident
    in the two lower dose groups (Noguchi and Hashimoto, 1970a; Hashimoto
    et al., 1972a).

    Cutaneous sensitization

         Guinea-pigs were examined for cutaneous sensitization by
    intradermal injection of 50 µl and 100 µl at a 1% aqueous solution on
    alternate days for 20 days. Two weeks later the guinea-pigs were
    challenged with 50 µl injected into the same area. Animals treated
    with thiophanate-methyl exhibited no primary irritation and only a
    slightly sensitive state (Noguchi and Hashimoto, 1970a; Hashimoto et
    al., 1972a).

    Pharmacological properties

         Thiophanate-methyl administered to rats at dosages up to 1500
    mg/kg caused a slight increase in body temperature. Mice administered
    500 mg/kg subcutaneously appeared to have a slight transient
    insensitivity to heat. Studies with mice and rats administered
    thiophanate-methyl at levels of 100 or 500 mg/kg subcutaneously showed
    neither a sedative nor hypnotic effect. Oral administration of 1000
    mg/kg to mice resulted in no significant mydriatic effect. No surface
    anaesthetic action or irritation of the mucous membrane of the eye of
    rabbit was observed following the administration of up to 10%
    thiophanate-methyl in saline instilled into the conjunctival sac of
    rabbits. Studies on excised mouse intestine at levels of up to 1 X
    10-3 mg/ml, resulted in no atropine-like or papaverine-like activity.
    The same concentrations did not inhibit the contraction of excised
    guinea-pig intestine by histamine hydrochloride or of an excised strip
    of guinea-pig aorta by epinephrine. After a single oral dose of
    thiophanate-methyl of 100 mg/kg, the blood pressure of rat did not
    change. Following high oral administration of thiophanate-methyl to
    rabbits, there was a slight transitory decrease in white blood cell
    count. In a similar manner, the white cell count of rabbits was also
    depressed within a short period of time following acute oral
    administration of 1000 mg/kg.

         A temporary fall in blood pressure in the rabbit, followed by a
    persistent rise and a persistent bradycardia was observed following
    i.v. or oral administration of 1000 mg/kg. There was no change in
    respiration or ECG following acute oral administration. Lethal doses
    of thiophanate-methyl showed an immediate blood pressure drop to zero,
    gradual disturbance of the ECG followed by cessation of respiration.

         Except at very high levels there was no unusual pharmacological
    properties attributed to thiophanate-methyl. All adverse
    pharmacological properties were completely reversible within a short
    period of time (Hashimoto of al., 1972b; Noguchi and Hashimoto,
    1970e).

    Special studies on carcinogenicity

    Mouse. A carcinogenicity study was performed on mice of the ICR-SCL
    strain.

         Groups of mice (50 males and 50 females per group) were fed
    thiophanate-methyl in the diet at levels of 0, 10, 40, 160 and 640 ppm
    for 24 months. A sample of thiophanate-methyl used in this study was
    approximately 94% active ingredient with impurities of 2% sulfur and
    2% inorganic chloride, 2% unknown volatile substances and less than
    0.5% aromatic amines. Animals in this study were SPF-derived and were
    maintained under barrier-conditions to minimize infection. Diets were
    prepared at an institute outside of the laboratory performing the
    study and food was allotted bi-weekly during which time food
    consumption data were recorded. Body weights were recorded initially
    and monthly throughout the study with daily mortality and behavioural
    examinations. Pathological examinations, using H&E stains primarily,
    were performed on all animals which died or were sacrificed prior to
    the conclusion of the study. After 105 weeks all animals were
    sacrificed and histological examinations were performed on a variety
    of tissues.

         There was a slight retardation of growth in males at 640 ppm in
    the diet although this was not reflected in females. Food consumption
    was comparable to that of controls. Mortality and average survival
    time over 105 weeks was the same in controls and at all dietary
    levels. A variety of tumours was found in all groups including the
    controls. All hepatomas observed in the experiment were benign liver
    cell adenomas except for three liver cell derived adenocarcinomas (1
    female at 40 ppm and one male and one female at 160 ppm). The
    incidence of hepatoma was similar in all of the experimental groups
    including the controls. Pulmonary benign adenomas were also
    significantly observed in all cases with no differences in the control
    or any feeding group. Leukaemia was also observed frequently with a 20
    to 30% incidence in each group. In consequence, there was essentially
    no difference in occurrence of tumours between experimental and
    control groups. The results of this study indicate that the ingestion
    of thiophanate-methyl in the diet in levels up to 640 ppm to a mouse
    strain which appears to be significantly susceptible to various
    tumours results in no carcinogenic activity related to
    thiophanate-methyl feeding (Kosaka and Tsubura, 1973).

    Special studies on cytogenicity

         Male rats were administered thiophanate-methyl daily for five
    days by intraperitoneal injection at levels of 0, 62.5, 125, 250, 500
    and 1000 mg/kg/day. Bone marrow and spermatogonial cells examined
    showed no abnormal chromogomal configurations (Makita et al., 1973).

    Special studies on mutagenicity

         Groups of 10 males ICR-strain mice were administered
    thiophanate-methyl intraperitoneally at a single dose level of 0, 8,
    40, 200, 400 or 500 mg/kg and mated with virgin females which were
    replaced weekly for a period of eight weeks. At a dosage of 400 mg/kg
    and above there appeared to be a reduction in the incidence of
    pregnancies. However, there was no systematic variation indicative of
    a mutagenic potential over the entire eight-week mating period (Makita
    et al., 1973).

    Special studies on reproduction

         Groups of Charles-River rats (10 males and 20 females per group)
    were fed levels of thiophanate-methyl in the diet at 0, 40, 160, 640
    ppm in a three-generation, two-litters per generation reproduction
    study. There were no apparent effects of thiophanate-methyl at levels
    up to and including 640 ppm on any of the reproduction parameters
    measured in this experiment. In addition, gross and histological
    examinations of the F3b generation were performed on several tissues
    and organs of three-week-old rats and a further group of animals was
    examined for skeletal abnormalities. In no instance was there any
    effect of feeding thiophanate-methyl on reproduction. There was a
    definitive effect on the growth of animals fed dietary levels of 640
    ppm (Palmer et al., 1972).

    Special studies on teratogenicity

         Thiophanate-methyl was administered to pregnant ICR mice from day
    1 to day 15 of gestation at levels of 0, 40, 200, 500 and 1000
    mg/kg/day. At 1000 mg/kg/day there was a significantly reduced number
    of living fetuses. No (significant) differences in the number of
    implantation sites, body weight of fetuses or fetal mortality or body
    weight were observed at the lower dosage levels. The administration of
    thiophanate-methyl did not produce gross internal or external
    abnormalities and the study did not reveal any teratogenic properties
    under these experimental conditions (Noguchi and Hashimoto, 1970a;
    Makita et al., 1973).

    Short-term studies

    Mouse. Groups of six-week-old SPFICR-strain mice (12 males and 12
    females per group) were fed thiophanate-methyl at levels of 0, 12.8,
    64, 390, 1600 and 8000 ppm in the diet for six months. Daily

    observations were made on their behaviour and mortality and body
    weight and food consumption data were recorded weekly. Haematological
    and gross and microscopic examination of tissues and organs were
    performed at the end of the feeding period.

         There were no unusual behavioural patterns and incidence of
    mortality was not related to the feeding of thiophanate. Growth of all
    mice at levels of 1600 ppm and below was not affected by
    thiophanate-methyl with a retardation of growth observed at 8000 ppm.
    Food intake and haematological examinations were normal. Gross
    pathology at the termination of the experiment showed that there was
    an increase in the mean weight of liver in animals fed 8000 ppm with
    an increase in liver to body weight ratio. This was noted in both
    males and females. There were no effects of this kind noted at a dose
    level of 1600 ppm. Pathological abnormalities were noted in liver at
    8000 ppm in both males and females. There was swelling of large
    hepatic cells with concurrent swelling. It was observed that the
    protoplasm of these cells were oedema-like or granule-like. Although
    such pathological abnormalities were found in some mice of other
    groups as well as the control, it appeared to be more prevalent in the
    8000 ppm animals. In the present experiment the no-effect level of
    thiophanate-methyl is considered to be 1600 ppm (Noguchi and
    Hashimoto, 1970b).

         Groups of SPF-Sprague Dawley rats (12 males and 12 females per
    group) were fed thiophanate-methyl in the diet at levels of 0, 12.8,
    64, 320, 1600, 8000 ppm for six months under SPF conditions. Daily
    checks of mortality and abnormal behaviour were made throughout the
    experiment with body weight and food intake data recorded weekly. At
    the conclusion of the study, haematology, clinical chemistry and
    urinalyses were performed. Gross and microscopic examination of
    tissues and organs was also performed at the conclusion of the feeding
    period.

         There were no behavioural abnormalities observed during the
    six-month feeding study and mortality was not related to food intake
    of thiophanate-methyl, Examination of growth curves indicated a severe
    retardation of both males and females fed 8000 ppm in the diet. There
    did not appear to be any retardation in growth of animals fed 1600 ppm
    or below. Food intake of all groups was comparable with control
    values. All haematological values were comparable with controls as
    were the values obtained from urine analysis. At 8000 ppm there was a
    slight decrease in glucose and GOT levels and an increase in total
    cholesterol. Gross and histological examination of tissues showed only
    the liver and thyroid glands to be slightly affected by
    thiophanate-methyl in the diet. There was an increase in liver weight
    and liver to body weight ratio although there were no pathological
    changes such as cloudy swelling and irregularity in the size of the
    hepatic cells which was noted in the studies in mice. In the thyroid
    gland some abnormalities such as small follicles, cubic epithelium
    cells and a decrease in colloidal substance were observed in those
    animals fed 8000 ppm. These changes were not observed in animals fed

    1600 ppm and were not accompanied by any change in the PBI values.
    Abnormal findings were not noted in any other tissues.

         From these studies it appears that a no-effect level of 1600 ppm
    in the diet of rats for six months would result in no unusual effect
    (Noguchi and Hashimoto, 1970c).

    Dog. Groups of pure bred beagle dogs (five males and five females
    per group - four males and four females per group at the highest dose
    level) were administered thiophanate-methyl at levels of 0, 2, 10, 30
    and 250 mg/kg/day for two years. The animals were approximately six
    months old at the time of the inception of the testing and were housed
    singly in indoor kennels. In all groups one male and one female were
    sacrificed at 12 months with the remaining animals sacrificed after 24
    months on test. Dosing was performed by oral administration of
    thiophanate-methyl by capsule once a day seven days a week for two
    years. Doses were given to individual animals related to the body
    weight and were adjusted weekly. Clinical signs of any abnormalities
    were recorded daily. Food consumption and body weight changes were
    recorded weekly. Throughout the study the eyes were examined for any
    changes and electro cardiographs were taken periodically.
    Haematological examinations, blood chemistry analyses and urinalyses
    were performed periodically. At the conclusion of the study gross and
    microscopic examination of tissues and organs was performed on all
    animals.

         There was no mortality or adverse behavioural changes observed in
    these animals during the course of the study. Growth of the animals
    fed 250 mg/kg/day was slightly retarded in both males and females.
    There did not appear to be a significant decrease in any other group.
    There did not appear to be any significant differences in the
    haematological studies, blood chemistry, urinalysis, ophthalmological
    examinations, or the ECG during the course of the 24-month study.
    Pathological (gross and histological) examination of the animals
    sacrificed at 12 months did not show any significant changes in the
    tissues examined with regard to gross pathology and organ weight
    ratios. Slight changes observed at 250 mg/kg in the thyroid gland were
    difficult to determine from the one year data on dogs.. Animals
    sacrificed at 24 months showed an elevated thyroid weight in both
    males and females at 50 and 250 mg/kg although there were no changes
    in the PHI values. Although the average weight of the thyroid of the
    two highest dose groups was heavier than that of the controls,
    histological examination showed no differences in the thyroid of the
    control and the experimental groups. Histological findings in all
    other tissues were also normal.

         The no-effect level in this two-year study in dogs is considered
    to be 50 mg/kg/day based upon the marginal effect noted in thyroid
    weight at the conclusion of the study. Although this increased thyroid
    weight was not reflected in the histological examination or PBI
    values, it has been noted in other species (rat). A more noticeable
    effect was observed at 250 mg/kg relating to retarded growth in both
    males and females (Hashimoto and Fukuda, 1972).

    Long-term studies

    Rat (See also under the section: "Special studies on
    carcinogenicity"). Groups of SPF-Sprague-Dawley strain rats (35 males
    and 35 females per group, 50 males and 50 females were used as
    controls) were fed thiophanate-methyl in the diet at levels of 0, 10,
    40, 160, 640 ppm for two years.

         The animals were maintained under SPF conditions. The sample of
    thiophanate-methyl fed in this experiment was approximately 94% active
    ingredient with impurities of 2% sulfur, 2% inorganic chlorides, 2%
    unknown volatile substances and less than 0.5% aromatic amines. The
    animals were fed dietary levels of thiophanate methyl for a period of
    10 days during which behaviour and mortality were recorded daily and
    after which food consumption was measured on all animals. Body weight
    and growth were recorded weekly. Haematology, blood chemistry and
    urinalyses were performed periodically over the two-year study. At the
    conclusion of the study animals were sacrificed and gross and
    microscopic examination of tissues and organs was performed.

         There was no effect of feeding levels of up to 640 ppm of
    thiophanate-methyl in the diet of rats on behaviour and mortality over
    a two-year period. Growth curves indicate a slight retardation of
    growth in both male and female rats in fed diets containing 640 ppm.
    Food consumption at all dietary levels was comparable with the control
    groups. Haematological data, urinalysis data and clinical blood
    chemistry data were not abnormal in any of the groups examined. Gross
    pathological examination of animals showed no changes in organ weight
    in any group with the exception of slight increases in kidney weight
    and kidney to body weight ratio, primarily in the males at the highest
    level of feeding. There was no indication of increased thyroid weight
    or an increase in liver size as was observed in shorter duration test
    with rats. In addition there were frequent observations of
    inflammation of the lung, fibroadenoma of the breast and the
    occurrences of pituitary tumours. The administration of
    thiophanate-methyl was not believed to be responsible for the
    occurrence of these abnormalities. At the end of two years there was a
    dose response in a degenerative change in the testis which underwent a
    degeneration and atrophy including spermatogenesis. In this particular
    dose-response change several cases were noted in other groups
    including the control. This effect was probably not related to
    ingestion of thiophanate-methyl. At the end of two years there was
    also some change in the thyroid where colloidal epithelial cells were
    enlarged. This enlargement took place primarily in the males of the
    highest dose group. There was no apparent effect on the occurrence of
    tumours and the only significant effects appear to be in the decreased
    growth observed at 640 ppm in the diet.

         Based upon retardation of growth a no-effect level would be
    considered to be 160 ppm in the rat fed thiophanate-methyl for two
    years (Hashimoto and Tsubura, 1972).

    Observations in man

         Sixteen workers concerned with the production of
    thiophanate-methyl were examined periodically for 3.5 years. Blood and
    urine analysis were carried out every six months. No adverse effects
    were found with these workers with regard to blood chemistry and urine
    analysis (Mori, 1972).

    Comments

         Thiophanate-methyl is degraded in plants to carbendazim and
    hydroxylated derivatives. A question was raised if the apparent
    occurrence of carbendazim in mammals may be an analytical artefact. A
    theoretical metabolite of potential toxicological significance,
    phenylene thiourea, has not been reported in plant or animal systems.
    Thiophanate-methyl has a low acute toxicity in various species of
    animal and shows pharmacological activity only at very high levels.

         Adequate short-term and long-term studies are available in both
    rats and dogs. The results of a three-generation reproduction study,
    mutagenesis studies and a cytogenicity study were negative.
    Thiophanate-methyl did not appear to be a carcinogen in a susceptible
    strain of mice and two-year studies in rats and dogs gave rise to
    retardation of growth only at high dietary levels (640 ppm). There was
    a marginal increase in thyroid weight at higher dose levels which was
    not accompanied by adverse biochemical or histological effects. The
    long-term study in the rat was used as a basis for estimating an ADI
    for man.

    TOXICOLOGICAL EVALUATION

    Level causing no toxicological effect

         Mouse:    160 ppm in the diet equivalent to 23 mg/kg bw

         Rat:      160 ppm in the diet equivalent to 8 mg/kg bw

         Dog:      50 mg/kg bw/day

    Estimate of an acceptable daily intake for man

         0-0.08 mg/kg bw

 

   RESIDUES IN FOOD AND THEIR EVALUATION

    Use pattern

         Thiophanate-methyl was first registered for use as a systemic
    fungicide in Japan in May 1971. By 1973 it has obtained provisional
    clearance for safe use in Great Britain for a number of specified
    preharvest treatments on food crops and ornamentals and for
    post-harvest dipping of apples.

         Thiophanate-methyl is formulated into wettable powders containing
    50 and 70% active ingredient.

         Recommended use levels are from 0.02-0.07% a.i. usually applied
    at the rate of 1-5 kg a.i. per ha for pears, peaches and citrus and of
    up to 2 kg a.i. per ha for other fruits and vegetables. Repeated
    applications are claimed to be advantageous.

         Thiophanate-methyl is reported to be very similar to benomyl
    (BenlateR) as regards both its systemic functions (Aelbers, 1970)
    and the rather broad spectrum of fungal diseases against which it is
    effective (Bollen, 1971). It is claimed effective against apple and
    pear scab, powdery mildew and different moulds, rots and blight.
    Pre-harvest application on citrus trees should effectively reduce
    Penicillium decay on citrus fruits under post-harvest storage.

         The similarity between thiophanate-methyl and benomyl seems well
    explained by the fact that both compounds are converted into methyl
    2-benzimidazolecarbamate (MBC), which is reported to be the principal
    fungitoxic compound to which both chemicals owe their major activity
    (Vonk and Sijpesteijn, 1971; Selling et al., 1970).

    Residues resulting from supervised trials

         Data derived from extensive field trials in several countries on
    thiophanate-methyl residues have been presented by the manufacturer
    (Nippon Soda Company Ltd, 1973a). A summarized list of a selection of
    the maximum residues found in these trials is presented in Table 1
    (Nippon Soda Company Ltd, 1973b). The majority of information in
    Table 1 shows residue levels at 0 or 1 day after last application.
    Generally, the major part of residues is in the form of unchanged
    thiophanate-methyl, while methyl 2-benzimidazolecarbamate (MBC) is
    usually detectable in smaller amounts, averaging 10% of the total.

    Apples, pears, peaches

         Generally, higher levels of thiophanate-methyl residues are found
    in these fruits after post-harvest treatments than after pre-harvest
    sprayings. This is partly due to higher initial deposits from dipping
    and partly connected to volatility losses to which the pre-harvest
    treated fruits are subjected. During storage experiments performed in
    the United Kingdom by the manufacturer, pears treated after harvest


        TABLE 1.  RESIDUES OF THIOPHAMATE-METHYL AND MBC IN VARIOUS CROPSa,b
                                                                                                  

    Crop              Application                   Residues Found (ppm)
                                                                             
                      Rate, approx.     Frequency   Thioph.-methyl        MBC       Country
                                                                                                  

    Apple             1.4 kg/ha         10×         1.4                   -         Fed. Rep. Ger.
                      0.6 g/l           1×          0.83                  0.14      Canada
                      1-2 kg/ha         17×+
                      +1000 pp.         Dipping     3.8                   0.8       UK
                      2100 ppm          Dipping     3.4                             Italy
    Banana            1000 pp.          Dipping     Peel: 0.3             0.4       Australia
                                                    Pulp: 0.1             <0.2
    Beans, broad      2 kg/ha           1×          0.1                   0.5       UK
      "    dwarf      1 kg/ha           1×          2.3                   0.1       UK
      "    french     1.5 kg/ha         1×          0.2                   0.2       US
      "    kidney     0.75 kg/ha        2×          0.2                             Japan
      "    runner     1 kg/h.           1×          1.8                   0.1       UK
    Blackcurrant      5.4-7.5 kg/ha     4×          0.day:19.4            4.9       UK
                      5.4-7.5 kg/ha     4×          7.day:7.0             3.3       UK
                      1 kg/ha           4.5×        3.0                   2.3       UK
    Carrots           1000 ppm          Dipping     5.0                   0.2       UK
    Celery            low pp.           Dipping     28.0                  0.8       UK
    Cherries          1.4 g/l           3×          2.0                   0.2       Australia
                      2 kg/ha           5×          0.46                  0.64      USA
    Citrus            3.5 kg/ha         1×          Peel: 12.2            2.1       Japan
                                                    Pulp: 0.3             <0.2
    Cucumber          1 kg/ha           6×          0.45                  0.09      Japan
    Gherkins          1 g/l                         1.87                  0.33      Netherlands
    Gooseberries      1 kg/ha           4×          3.0                   0.4       UK
    Grapes            1.4 kg/ha         5×          3.3                   -         Fed. Rep. Ger.
                      1.4 kg/ha         19×         2.8                             Japan
                      2.4 g/l           6×          0.6                   <0.2      Australia
    Lettuce           1 kg/ha           3×          0.day:10.0            0.6       UK
                                                    7.day:0.1             <0.2
                      2.8 kg/ha         6×          0.day:24.5            5.0       Japan
                                                    7.day:3.8             1.5
                      2.2 kg/ha         1×          0.day:4.1                       New Zealand

    TABLE 1.  (Cont'd.)
                                                                                                  

    Crop              Application                   Residues Found (ppm)
                                                                             
                      Rate, approx.     Frequency   Thioph.-methyl        MBC       Country
                                                                                                  

    Mushroom          about 5 g/m2      1×          <0.1                  0.7       UK
    Onion             2.5 kg/ha         10×         0.05                  0.02      Japan
    Orange            1000 ppm          Dipping     Peel: 1.2             <0.3      Australia
                                                    Pulp: 0.2             <0.3      Australia
                                                    Juice: 0.4            <0.2      Australia
                      1000 ppm          Dipping     Peel: 2.3             0.23      USA
                      2100 ppm          Dipping     8.8                             Italy
    Peach             2.4 g/l           4×          5.0                   0.4       Australia
    Pear              1000 ppm          Dipping     2.2                   <0.1      UK
                      2100 ppm          Dipping     3.9                             Italy
    Plum              1 kg/ha           6×          0.86                  0.37      USA
    Raspberries       1 kg/ha           8×          9.6                   2.3       UK
    Strawberries      1.5 kg/ha         1×          0.day:14.6                      UK
                                                    7.day:3.0
                      1 kg/ha           4-5×        0.day:3.8             1.2       Netherlands
                      (under glass)                 7.day:3.6             0.9
                                                    14.day:0.9            0.6

    Sugarbeet         0.35 kg/ha        2×          Leaf:3.6                        Fed. Rep. Oar.
                                                    Root: <0.2
    Wheat, winter     0.5 kg/ha         1×          Straw: <0.2 (50 days)
                                                    Grain: <0.2
    Tomato            2 kg/ha           5×          9.7                   0.4       UK
                                                                                                  

    a Residues reported are maximum residues, i.e. levels found on 0. or 1. day after application,
        except when otherwise stated.

    b Analytical methods used were as follows (see monograph text):
        TLC-method: Australia, Japan, New Zealand
        Colorimetry: Canada, UK, USA
        UV-spectrophotometry: Japan, Federal Republic of Germany
        Oscillopolarography: Italy, Netherlands (TLC-bioassay for MBC).
    
    with thiophanate-methyl showed no pronounced decrease of residues
    (about 2 ppm) during 61 days, while on the other hand, residues of
    about 1 ppm on apples decreased well below 0.1 ppm during four weeks
    on the trees after spraying.

    Grapes and wine

         Lemperle et al. (1973) found that thiophanate-methyl residues, as
    well as those of other benzimidazole fungicides, are transferred
    nearly quantitatively into unclarified musts during wine production.
    During clarification and fermentation small amounts may disappear. A
    considerable part of the thiophanate-methyl residues which are present
    in grapes may therefore be found in wines.

    Leafy vegetables

         The residue data supplied by the manufacturer indicate that even
    relatively high residues are subject to pronounced losses, which may
    be explained as usual growth dilution effect to which volatility
    losses from the foliar surfaces may be added. From field trials with
    lettuce performed in Japan, half-life values of the order of 1-2 days
    for thiophanate-methyl have been deducted, while the MBC-metabolite
    present in smaller amounts disappeared more slowly, corresponding to
    half-life values of 5-6 days.

         For comparison, the half-life of thiophanate-methyl on apple and
    grape leaves under controlled conditions was found to be in the order
    of 15 and 12 days, respectively (Soeda et al., 1972).

    Carrots, celery, sugarbeets

         When subjected to post-harvest treatments with thiophanate-methyl
    these root-crops take up considerable amounts of residues. Dipping of
    carrots and celery performed in the United Kingdom with 0.1% a.i. gave
    total residues of thiophanate-methyl + MBC of 5.2 and 28.8 ppm,
    respectively. Pre-harvest sprays gave high, though rapidly
    disappearing, residues on the green tops above soil, but no detectable
    residues in the edible roots.

    Fate of residues

         Substantial evidence has been presented by the manufacturer that
    methyl 2-benzimidazolecarbamate (MBC) is produced as the major
    metabolite (Noguchi et al., 1971) although only gradually released
    from thiophanate-methyl when applied on foliar surfaces (Kikuchi,
    1973). Vonk and Sijpesteijn (1971) found that the fungitoxic activity
    of thiophanate-methyl is increased by aging in aqueous media. They
    concluded that MBC is responsible for the fungitoxic effect of the
    fungicide and indicated that the rate of conversion from
    thiophanate-methyl may be increased by the fungal metabolic activity.
    Selling et al. (1970) also observed the conversion of
    thiophanate-methyl to MBC in tap water. A 4% transformation was noted

    when kept at pH = 7.0 in water for seven days, while
    thiophanate-methyl remained stable in methanol or chloroform for 50
    days at 24°C (Noguchi et al., 1971).

    Plants

         Conversion of thiophanate-methyl to MBC has been followed after
    uptake through the roots and after foliar treatment of French bean
    seedlings (Phaseolus vulgaris) by Noguchi et al. (1971). After 21 days
    34.3% of the original amount had been converted on the leaves, while
    87.5% was metabolized into MBC when absorbed through the roots in a
    water culture. In a most recent publication, the formation of MBC from
    thiophanate-methyl is further described by Buchenauer et al. (1973).
    They found that the transformation to a great extent is
    light-catalyzed (requiring at the same time the presence of water). A
    42% transformation of thiophanate-methyl residues was found in cotton
    leaves, when subjected to four days of sunlight as opposed to only
    about 6%, when the plants were kept under dimlight conditions.

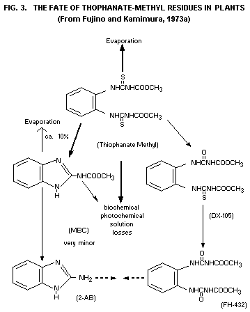
         A minor metabolite, 2-aminobenzimidazole (2-AB), also formed from
    MBC in benomyl treated plants is detected as a result of
    thiophanate-methyl applications as well (Fujino, A. and Kamimura,
    1973a). It is further reported by the same authors that two
    oxygen-analogues (DX-105 = 1-(3-methyoxy-carbonyl-2
    thioureido)-2-(3-methoxycarbonylureido) benzene and FH-132 =
    dimethyl-4.4-O-phenylenbis(allophanate)) has recently been identified
    by a reverse isotopedilution method (see Fig. 3).

    Soil

         Thiophanate-methyl is degraded almost entirely within seven days
    in sandy loam and silty loam soils at temperatures from 23°C to 33°C
    (Pujino and Kamumura, 1973b). MBC is identified as the major
    metabolite, which is subsequently degraded at a more moderate rate.
    Sixty days after treatment residual MBC was present at the level of
    20% at 23°C and 2-15% at 33°C in both soil types, calculated on the
    basis of the amount of thiophanate-methyl applied. No influence from
    thiophanate-methyl was indicated in these experiments on soil
    micro-organisms, when measured by bacterial counts (total bacteria,
    gram-negative and actinomycetes). With increased levels of
    thiophanate-methyl (up to 5000 ppm) increased oxygen uptake increased
    significantly, suggesting that thiophanate-methyl was used as a source
    of nitrogen by bacteriae.

         The conversion of thiophanate-methyl to MBC is significantly more
    rapid in unsterilized than in sterile soils. Similarly, the MBC formed
    is less persistent in the unsterilized soil, which suggests that
    micro-organisms may be involved in the degradation of both compounds.
    TLC-identification patterns further indicate that
    dimethyl-4.4'-o-phenyleneallophanate (or 111-432, see Fig. 3) may be
    an intermediate metabolic step in the microflora-induced degradation,
    as this compound is not found as a metabolite in sterilized soils
    (Kosaka et al., 1972).

    FIGURE 3

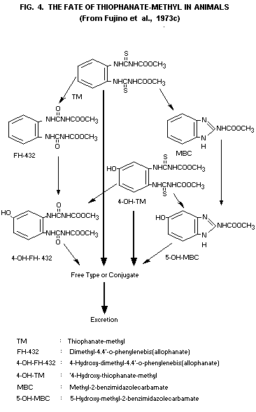
    FIGURE 4

         Radio-activity recovery experiments in which water was percolated
    through treated loams (sandy and silty) did not give evidence of any
    migration of thiophanate-methyl or of degradation products deeper than
    4 cm from the treated surface layer.

    Animals

         In studies reported by Noguchi et al. (1971) and Fujino et al.
    (1973c) 14C or 35S-labelled thiophanate-methyl was fed to rats, mice
    and dogs. From 80 to 100% of the administered amounts were recovered
    in faeces and urine within 96 hours after feeding. Sixty per cent.,
    16-27% and 14% were excreted with the faeces by the three species
    respectively, while urinary excretion accounted for 30%, 66-78% and
    74% of the administered thiophanate-methyl respectively.

         Fujino et al. (1973c) report that the major part of faecal
    excretion was in the form of unmetabolized thiophanate-methyl, while
    the minor part consisted of 4-hydroxy-thiophanate-methyl (4-OH-TM) and
    dimethyl-4.4'-o-phenyleneallophanate (FH-432). MBC and 5-hydroxy-MBC
    (5-OH-MBC) were also observed during TLC identifications of
    metabolites from faecal extracts. It was, however, questioned whether
    these two were actual metabolites in faeces or if they were compounds
    produced during the analytical procedures from thiophanate-methyl and
    4-OH-TM, respectively.

         In the same studies by Fujino et al. (1973c) thiophanatemethyl
    and a number of metabolites could be liberated enzymatically or by
    acid treatment from water soluble conjugates in rat urine. Identified
    compounds were thiophanate-methyl, 4-OH-TM, 4-OH-FH-432, FH-432,
    5-OH-MBC and MBC (see Fig. 4). As was the case in faeces, two of these
    compounds, namely MBC and 5-OH-MBC, may possibly have been formed
    during the analytical steps.

         In the earlier study by Noguchi et al. (1971) of the effect of
    thiophanate-methyl in rat liver microsomes, MBC and 5-OH-MBC were also
    found to be present. Evidence for enzyme induction could not be
    obtained with liver microsomes prepared from rats fed daily with 600
    ppm of thiophanate-methyl for three months.

    Methods of residue analysis

         The methods of Pease and Gardiner (1969) and Pease and Holt
    (1971) for benomyl could be applied to thiophanate-methyl after
    conversion to MBC. It is expected that this method should be able to
    differentiate thiophanate-methyl from other benzimidazole fungicides.

         The manufacturer has presented detailed descriptions of methods
    for thiophanate-methyl residue analyses by means of thin-layer
    chromatography (Tannue et al., 1973), colorimetric determination based
    on MBC reaction with bromcresol purple in chloroform (Sugioka et al.,
    1973) and by UV-spectrophotometric measurement of MBC at 282 nm (Ono,
    1973a).

         The UV-spectrophotometric method which is applicable to various
    crops is generally recommended. Thiophanate-methyl and MBC are
    conveniently extracted together from the sample with methyl alcohol,
    and then separated during the clean-up stages through liquid
    partitioning between petroleum ether-iso-octane solvent, and methylene
    chloride and aqueous methanol solutions. Thiophanate-methyl is
    converted into MBC by reflux treatment with cupric acetate in aqueous
    acetic acid solution and thiophanate-methyl and MBC are determined
    separately as MBC by a corrected absorbance measurement technique at
    292 nm from the spectrum recorded between 250 nm and 310 nm.

         The limit of determination with this method is given to 0.02 ppm
    for each of the compounds, thiophanate-methyl and MBC, when analysing
    100 g samples. Recoveries are reported for a number of fruits and
    vegetables from 72 to 81% for thiophanate-methyl and 77-84% for MBC.

         The initial steps of the method (until the conversion of
    thiophanate-methyl into MBC) should be carried out without prolonged
    keeping and possibly under protected light conditions (Ono, 1973b).

         An oscillopolarographic method for the separate determination of
    unchanged thiophanate-methyl has been published (Martens and Chs,
    1972). It has been adapted for residue determinations in a number of
    fruits and vegetables with a limit of determination of 0.02 ppm in
    combination with TLC-Bioassay Technique for the MBC (Civo TNO 1973) as
    this compound gives no oscillopolarographic response.

    National tolerances

         The Meeting was aware of the following national tolerances:

    Australia       Apples, pears, stone fruit    3 ppm
                    citrus, bananas, grapes       1 ppm

    Netherlands     Fruit and vegetables          2 ppm 
                                                  (thiophanate-methyl
                                                  without MBC)

                    Raw cereals                   0.5 ppm
                                                  (thiophanate-methyl
                                                  + MBC, under revision)

    Switzerland     Stone fruit, grapes,
                    strawberries                  3 ppm (calculated
                                                  as MBC)

                    Celeriac                      0.1 ppm

    Appraisal

         Thiophanate-methyl is a new systemic fungicide which is
    characterized by broad-spectrum fungicidal effects as other chemicals
    of the benzimidazole group. Thus it is claimed to be effective in the
    control of different moulds rots and blights although ineffective
    towards some specific plant-pathogenic fungi e.g. Pythium spp.,
    Phytophora sop. and Alternaria spp.

         In countries in which thiopbanate-methyl has obtained
    registration, it is marketed as wettable powders for pre-harvest as
    well as post-harvest treatments. Recommended use levels are from 0.02
    to 0.07%, often with repeated applications.

         Residue data from supervised trials performed with
    thiophanate-methyl in several countries have been provided by the
    manufacturer in support of registrations, including the establishment
    of tolerances. It is noted that in a few cases the data was derived
    from trials involving excessive application rates so that residue
    levels were higher than would be likely following actual good
    agricultural practice. In addition to information on numerous food
    crops, the data includes experiments on soil residues, although direct
    soil treatments are not indicated as recommended practice.

         In plant material and in soils the major metabolite is found to
    be methyl benzimidazolecarbamate, formed by hydrolysis and ring
    closure from thiophanate-methyl. Methyl benzimidazolecarbamate is a
    chemically stable compound which leaves relatively persistent
    residues. Although somewhat conflicting evidence is presented as to
    which degree of transformation takes place in and on plants (possibly
    due to analytical difficulties) it is found reasonably well
    established that methyl benzimidazolecarbamate is formed gradually
    from thiophanate-methyl and that both compounds should be accounted
    for in the evaluation of residue data.

         A minor metabolite, 2-aminobenzimidazole, may be formed from
    methyl benzimidazolecarbamate and be detectable in plant tissues
    following thiophanate-methyl applications. Two oxygen analogues of
    thiophanate-methyl, 
    1-(3-methoxy-carbonyl-2-thioureido)-2-(3-methoxycarbonyl ureido)
    benzene and dimethyl-4, 4-0-phenylenbis (allophanate) have, in
    addition, been described as possible intermediate metabolites. These
    have recently been identified in trace amounts from plant material
    by reverse isotope-dilution technique.

         In soils the degradation of thiophanate-methyl to methyl
    benzimidazolecarbamate is found to be complete within seven days in
    both sandy and silty loams, whereafter the metabolite behaves as a
    more persistent compound which disappears at a more moderate rate. An
    uptake through the roots of plants has been clearly demonstrated.

         Information, however, on the fate of thiophanate-methyl after
    feeding to ruminants is not given, neither is data available on
    residues in animal products, milk, meat and eggs.

         Analytical methods which allow the determination of
    thiophanate-methyl and its main metabolite (MBC) separately are
    available. They are based on UV-spectrometric measurements of MBC
    after separation of the two compounds and they may be adapted for
    regulatory purposes, although a definite multi-residue technique for
    distinguishing the different benzimidazole fungicide seems to be
    lacking.

    RECOMMENDATIONS

         Due to the fact that a certain, not definitely established
    proportion of residues from thiophanate-ethyl applications consist of
    MBC, for which an ADI has not been established, only temporary
    tolerances can be recommended.

         Tolerances given below are measured as the sum of thiophanate-
    ethyl and its major metabolite, methyl benzimidazolecarbamate (MSC)
    and expressed in terms of the latter. Levels indicated are such that
    they are not likely to be exceeded when following good agricultural
    practice, including pre-harvest and post-harvest treatments when
    applicable.

         For the underlined commodities individual adjustments of
    recommendations have been made in order to accommodate good
    agricultural practices for such alternative systemic fungicides, of
    which MBC is also recognized and identified as the major metabolic
    and/or chemical entity (i.e. benomyl and carbendazim).

    Temporary tolerances                              ppm
                                                        expressed as MBC

    Celery                                              20
    Citrus (whole), peaches, grapes, cherries           10
    Apples, tomato*, pears, lettuce*, strawberries*,
    raspberries, gooseberries, blackcurrants*,
    carrots, sugar beet tops    :                       5
    Beans (broad, dwarf, french, runner, kidney)
     gherkins, plums                                    2
    Mushrooms, bananas (whole)                          1
    Cucumbers                                           0.5
    Sugar beet, raw cereals, onions                     0.1

    * At or about limit of determination.

    FURTHER WORK OR INFORMATION

    Required (before temporary tolerances can be confirmed)

    1.   Information on the nature and fate of residues of thiophanate-
         ethyl in meat, milk, and eggs following the feeding of
         thiophanate-methyl at levels likely to be found on forage and
         foodstuffs.

    Desirable

    1.   Further studies on the metabolism of thiophanatemethyl in
         animals, with special reference to the occurrence of carbendazim.

    2.   Further studies on the effect of thiophanate-methyl on the
         thyroid and the testes in the rat and other species of animals.

    3.   Further data on residues on raspberries following good
         agricultural practice.

    4.   Further information on the need for post-harvest treatment of
         carrots and celery.

    REFERENCES

    Aelbers, E., Mededel, Pak. (1970) Landbouw Wet. Gent., 36, 126.
    Cited from Vonk & Sijpesteijn (1971)

    Bollen, G.J. (1972) A comparison of the in vitro antifungal spectra
    of thiophanates and benomyl. Neth. J. Pl. Path. 78, 55

    Buchenauer, H., Edgington, L.V. and Grossmann, F. (1973) Photochemical
    transformation of thiophanate-methyl and thiophanate to alkyl
    benzimidazole-2-yl carbamates. Pest. Sci., 4: 343-348

    CIVO-INO Report No. R.4023 (1973) on residues of thiophanate-methyl
    and its metabolite MBC in strawberries. From Central Institute for
    Nutrition and Food Research, TNO, Zeist (Unpublished)

    Fuchs, A. Van Den Berg, G.A. and Davidse, L.C.A (1972) comparison of
    benomyl and thiophanates with respect to some chemical and systemic
    fungitoxic characteristics. Pest. Biochem. Physiol., 2(2): 191-205

    Fujino, A. and Kamimura, H. 1973a The fate of thiophanate-methyl
    residue on plants under practical use. Paper submitted by Chemical
    Research Division, Nippon Soda Co. Ltd. (Unpublished)

    Fujino, A. and Kamimura, H. 1973b The fate of thiophanate-methyl
    residue in soil under practical use. Paper submitted by Chemical
    Research Division, Nippon Soda Co. Ltd. (Unpublished)

    Fujino, A., Ohnuma, N. Mori, T., Tanoue, T. and Kamimura, H. (1973c)
    The balance and metabolism studies of thiophanate methyl in animals.
    Paper submitted by Nisso institute Per Life Sciences. Nippon Soda Co.
    Ltd. (Unpublished)

    Hashimoto, Y., Makita, T., Mori, T., Nishibe, T., Noguchi, T., Tsuboi,
    S. and Ohta, G. (1970) Toxicological Evaluations of Thiophanate (I).
    Acute and Subacute toxicity of a new fungicide, thiophanate (Acute
    Ingredient of NF-35), 1,2 hrs. (ethoxy-carbonyl-thioureido)
    - benzene. Pharmacometrics, 4(1): 5-21

    Hashimoto, Y.  Makita, T.  Ohnuma, M. and Noguchi, T. (1972a) Acute
    toxicity on Demethyl 4, 4'-O-phenylene bis (3-thio allophanate),
    thiophanate-methyl fungicide. Toxicol. Appl. Pharmacol., 23: 606-615

    Hashimoto, Y., Mori, T., Ohnuma, N. and Noguchi, T. (1972b) Some
    Pharmacologic Properties of a new fungicide, thiephanate-methyl. Tox,
    Appl. Pharmacol., 23: 616-622

    Hashimoto, Y. and Fukuda, Y. (1972) Final Report on the long term oral
    toxicity studies of thiophanate-methyl, Dimethyl 4, 4 -O-phenylenebis
    (3-thioallophanate) in Beagle dogs for 24 months. Unpublished report
    from Nisso Institute for Life Sciences submitted by Nippon Soda Co.
    Ltd.

    Hashimoto, Y. and Tsubura, Y. (1972) Final Report on the Chronic Oral
    toxicity studies of thiophanate-methyl, Dimethyl 4, 4' -O-phenylenebis
    (3-thioallophanate) in rats of Sprague-Dawley Strain for 24 months.
    Unpublished report from Nisso Institute for Life Sciences submitted by
    Nippon Soda Co. Ltd.

    Kikuchi, Masayoshi. (1973) Actual state of thiophanate-methyl residues
    on crops. Paper submitted by Fine Chemicals Division, Nippon Soda Co.
    Ltd. (Unpublished)

    Kosaka, S., Soeda, Y., Hagiwara, S., Hashimoto, S. and Naohara, T.
    (1972) Influences of thiophanate-methyl to soil microorganisms add
    fate of the chemical in soil. Paper submitted by Nisso Institute for
    Life Science, Nippon Soda Co. Ltd. (Unpublished)

    Lemperle, E., Kerner, B., Strecker, H. and Waibel, A. (1973)
    Wirkstoffrückstünde und Gärbeeinflussungen nach Anwendung von
    Fungiziden im Weinbau. Deutsche Leb.-Rdschau, 69, 313

    Makita, T., Hashimoto, Y., and Noguchi, T. (1973) Mutagenic,
    Cytogenetic and teratogenic Studies on thiophanate  methyl. Toxicol
    Appl. Pharmacol, 24(2): 206-215

    Martens, P. H. and Chs, M. Détermination oscillopolarographique des
    residue do thiophanate sur légumes divers. Model. Faknld.
    Landbonetensch., Gent, 37, 891

    Mori, H. 1972 Human Handling experiences from Plant Employees
    manufacturing Topsin (1). Unpublished report from Nisso Takaoka
    Hospital submitted by Nippon Soda Co. Ltd.

    Nippon Soda Co. Ltd. (1973a) Information on usage and the occurrence
    of residues of thiophanate-methyl. Report submitted in August 1973 by
    Nippon Soda Co. Ltd. (Unpublished)

    Nippon Soda Co. Ltd. (1973b) List of maximum residue of
    thiophanate-methyl and its metabolite, MBC in/on edible crops in
    the world. Compiled by the Nippon Soda Co. Ltd. October 1973
    (Unpublished)

    Noguchi, T. and Hashimoto, Y. (1970a) Toxicological evaluation of
    Thiophanate Methyl (I) Acute and subacute toxicity of
    thiophanate-methyl. Unpublished report from Nisso Institute for Life
    Sciences submitted by Nippon Soda Co. Ltd.

    Noguchi, T. and Hashimoto, Y. (1970b) Toxicological evaluation of
    thiophanate methyl (II) studies on the subchronic oral toxicity of
    thiophanate-methyl in mice. Unpublished report from Nisso Institute
    for, Life Sciences submitted by Nippon Soda Co. Ltd.

    Noguchi, T. and Hashimoto, Y. (1970c) Toxicological evaluation of
    thiophanate-methyl (III). Studies on the subchronic oral toxicity of
    thiophanate-methyl in rats. Unpublished report from Nisso Institute
    for Life Sciences submitted by Nippon Soda Co. Ltd.

    Noguchi, T. and Hashimoto, Y. (1970d) Toxicological evaluation of
    thiophanate-methyl (IV). Studies on the teratogenic effect of
    thiophanate-methyl upon the fetus of ICR strain mice. Unpublished
    report from Nisso Institute for Life Sciences submitted by Nippon Soda
    Co. Ltd.

    Noguchi, T. and Hashimoto, Y. (1970e) Toxicological evaluation of
    thiophanate-methyl (V). Some pharmacologic properties of a new
    fungicide thiophanate-methyl. Unpublished report from Nisso Institute
    for Life Sciences submitted by Nippon Soda Co. Ltd.

    Noguchi, T. and Hashimoto, Y. (1971) Study on contact phototoxicity
    and sensitivity to new fungicide, thiophates. Unpublished report from
    Nisso Institute for Life Sciences submitted by Nippon Soda Co. Ltd.

    Noguchi, T., Ohkuma and Kosaka, S. (1971) Chemistry and Metabolism of
    thiophanate fungicides. Proc. Int. Symp. Pesticide Terminal Residues,
    Tot Aviv, pp. 257-270

    Noguchi, T. (1972) Environmental Evaluation of Systemic Fungicides.
    Environmental Toxicology of Pesticides, Academic Press N.Y., pp.
    607-632

    Ono, S. (1973a) Analytical method for residues of thiophanate-methyl
    and 2-methyl benzimidazolecarbamate in crops by U.V.-spectrometry.
    Submitted by Nippon Soda Co. Ltd. (Unpublished)

    Ono, S. (1973b) Stability of thiophanate-methyl under analytical
    procedures. Paper submitted by Nippon Soda Co. Ltd. (Unpublished)

    Palmer, A.K., Lowell, M.R, and Newman, A.J. (1972) Effect of
    thiophanate-methyl on reproductive function of multiple generation in
    the rat. Unpublished report from Huntingdon Research Center submitted
    by Nippon Soda Co. Ltd.

    Pease, H.L. and Gardiner, J.A. (1969) Fluorometric and colorimetric
    procedures for determining residues of benomyl. J. Agr. Food Chem.
    17, 267

    Pease, H.L. and Holt, R.P. Improved method for determining benomyl
    residues. J. Assoc. Off. Analyt. Chem., 54, 1399

    Selling, H.A., Vonk, J.W. and Sijpesteijn, A.K. (1970)  Transformation
    of the systemic fungicide methyl thiophanate into 2-benzimidazole
    carbamic acid methyl ester. Chem. Ind., pp. 1625-1626

    Soeda, Y., Kosaka, S. and Noguchi, T. (1972a) The fate of thiophanate.
    methyl fungicide and its metabolites on plant leaves and glass plates.
    Agr. Biol. Chem., 36(6):  931-936

    Soeda, Y., Kosaka, S. & Noguchi, T. (1972b) Identification of Alkyl
    2-benzimidazole carbamates as a major metabolite of thiophanates
    fungicide in/on the bean plant. Agr. Biol. Chem., 36(6): 817-823

    Sugioka, K., Toyama, N. and Kamimura, H. (1973) Residue analytical
    method of thiophanate-methyl and a transformed product, methyl
    2-benzimidazole (MBC) in soils and plant tissues by colorimetry.
    Submitted by Nippon Soda Co. Ltd. (Unpublished)

    Tanoue, T., Toyama, N. & Karimura, H. (1973) Residue analytical method
    of thiophanate-methyl in plant tissues by thin layer chromatography.
    Submitted by Nippon Soda Co. Ltd. (Unpublished)

    Vonk, J.W. & Sijpesteijn, A.K. (1971) Methyl benzimidazol-2-
    ylcarbamate, the fungitoxic principle of thiophanatemethyl. Pest.
    Sci., 2, 160

    


    See Also:
       Toxicological Abbreviations
       Thiophanate-methyl (WHO Pesticide Residues Series 5)
       Thiophanate-methyl (Pesticide residues in food: 1977 evaluations)
       Thiophanate-methyl (Pesticide residues in food: 1995 evaluations Part II Toxicological & Environmental)