IPCS INCHEM Home


    CAPTAN     JMPR 1973

    Explanation

         This fungicide was evaluated by the 1965 and 1969 FAO/WHO
    Meetings on Pesticide Residues (FAO/WHO, 1965; FAO/WHO, 1969). A
    temporary acceptable daily intake of 0-0.125 mg/kg was established but
    further information on the metabolism, particularly of the
    trichloromethylthio-moiety, and on the possible teratogenic effect in
    nonhuman primates was requested. It was considered that evidence on
    the effects of feeding a low-protein diet on the toxicity of captan
    was desirable. Further data have been made available and are
    summarized in this monograph addendum.

    EVALUATION FOR ACCEPTABLE DAILY INTAKE

    Biochemical aspects

         Sixteen male and female rats received 82 mg/kg captan labelled
    with 14C in the C=O group orally by gavage as an aqueous solution in
    1% tragacanth/0.05% Tween-20. Two animals received 14C labelled
    cis-1,2,dicarboximido-4-cyclohexene orally and others 14C-labelled
    epoxide of cis-1 2,dicarboximido-4-cyclohexene by the
    intraperitoneal route. Excretion of activity in urine, faeces and
    expired air and activity remaining in organs were determined after
    various periods of time. The results showed that captan was absorbed
    well from the gastrointestinal tract and that 92% of activity was
    excreted in 48 hours and 97% in 96 hours. About 85% was excreted in
    urine and 12% in faeces. Excretion in expired air was <0.1%. After 48
    hours the average activity in tissues had declined to 5% of the level
    at 24 hours and after eight days nearly all tissues contained below an
    equivalent of 1 ppm captan (Hoffman et al., 1973).

         Sixteen male and female rats received 100 mg/kg captan labelled
    with 14C in the trichloromethylthio-moiety and the excretion
    determined after various periods of time. Four days after receiving
    labelled captan orally 16% of activity was recovered from faeces, 23%
    from expired air, 52% in urine and 0.6% in tissues (De Baun et al.,
    1973).

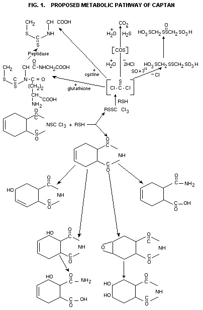
         Identification of metabolites in rats receiving captan labelled
    in various positions showed that the probable metabolic pathway for
    captan is as shown in Fig. 1 (Hoffman et al., 1973; De Baun et al.,
    1973).

         Three goats received daily treatment equivalent to ingesting
    diets containing 0, 20 or 100 ppm unlabelled captan for seven days and
    then the same levels of captan labelled with 14C in the C=0 group for
    three days. Animals were killed six or seven days after the last dose
    of captan. Over 97% of the 80% of activity which could be accounted
    for was excreted rapidly within 48 hours of the last dose. Activity
    was divided evenly between urine and faeces. Milk contained 0.1 to

    FIGURE 1

    0.2% of the administered dose. At autopsy muscle contained 0.1% of the
    administered dose of which 95% was in a water soluble form; it was
    calculated that muscle contained 0.01 ppm or less of captan. Other
    tissues contained less than 0.02% of the dose. Urine contained no
    captan while faeces contained captan or tetrahydrophthalimide (Mitoma,
    1972).

    TOXICOLOGICAL STUDIES

    Special studies on carcinogenicity

    Mouse. Three groups each of 50 male and 50 female Swiss mice were
    fed on diets containing 0, 3750 and 7500 ppm technical captan for 18
    months. A fourth (positive control) group received diet containing 10
    ppm N-nitroso diethylamine. The frequency and total number of deaths
    was similar in all groups. No abnormal behaviour was noted in treated
    groups. Abnormalities found in animals of the positive control group
    consisted of focal hyperplasia and neoplasia in the liver, and
    neoplasia of the lung and forestomach. No tumours were found in mice
    of other groups. No other outstanding differences were noted between
    test and control animals on gross examination at autopsy and
    histopathological examination of 8-11 animals of each sex from the
    groups failed to detect other lesions which could be attributed to
    captan treatment (Reyna et al., 1973a).

    Rat. Groups of 50 male and 50 female rats were fed for two years on
    diets containing 0, 1000 and 2000 ppm technical captan. A positive
    control group of 25 male and 25 female rats received diet containing
    10 ppm N-nitroso diethylamine. The mortality rate was high in positive
    control animals. The rate was similar in males of control and 1000 and
    2000 ppm groups, but the rate in females of the test groups was
    greater than in female controls. This increased mortality in
    captan-treated females was not considered to be of significance, based
    on the authors' experience with their strain of laboratory animal. No
    abnormalities attributable to captan were found on gross examination
    at autopsy. Lesions seen on histological examination of organs from 10
    animals of each sex killed after two years' treatment were those
    common in rats of that age and none could be attributed to ingestion
    of captan. The tumour incidence was not increased by exposure to
    captan. Hepatocellular hyperplasia and benign and malignant tumours of
    the liver and carcinoma of the forestomach seen in positive control
    rats were attributed to treatment with the nitrosamine (Reyna et al.,
    1973b).

    Special studies on mutagenicity

         Host mediated assays were conducted in mice using Salmonella
    typhimurium G.46 and Serratia marcescens a21. The animals received
    a single 500 mg/kg dose of captan. Positive results were attained at
    this dosage level with these two systems (Buselmaier et al., 1972).


 
        Captan was administered to adult male drosophila by topical
    application and injection and to larvae by leg feeding. The results
    showed that no mutagenic changes could be produced in these systems
    (Mollet, 1973, Kramers and Knapp, 1973).

    Special studies on teratogenicity

    Rat. Pregnant rats received a single 3500 mg/kg bw dose of captan on
    one of the days between days 8-15 of gestation. An embryotoxic effect
    was seen with an increased number of post implantation deaths. No
    malformations were grossly visible but haematomas occurred in various
    parts of the body and anophthalmia and microphthalmia, hydrocephalus
    and intracranial haematomas were seen at autopsy of the fetuses
    (Mirkova, 1973).

    Hamster. Groups of two to 10 pregnant hamsters were administered a
    single dose of between 200 and 1000 mg captan/kg bw on days seven or
    eight of gestation or dosed daily from the sixth to the tenth day with
    a total of between 500 and 2500 mg captan/kg bw. They were killed and
    examined on the fifteenth day of gestation. At the highest dosage
    levels maternal mortality was increased and some abnormal fetuses were
    produced but lower dosage levels produced no signs of teratogenic
    activity (Robens, 1970).

    Dog. Four groups of six female beagles were mated with a group of
    six untreated males, each male being mated to one female from each of
    the four test groups. The females then received control diet providing
    30 or 60 mg/kg bw/day or intraperitoneal injections of 0.15 mg/kg of
    6-diazo-5-oxo-alpha-norleucine (DON) on days 20, 21 and 22 of
    gestation. Three females of each group were placed on control diet
    after whelping, the remainder continuing to receive test material
    until they were killed eight weeks after whelping.

         No adult animals died during the test and the growth pattern of
    females and young was unaffected by treatment. The mortality of
    progeny of test groups compared favourably with that of controls.
    Captan did not impair the ability of females to carry the young to
    parturition or affect the weight, length and growth of young. All
    progeny from females treated with DON showed cleft palates and
    clubbing of the extremities but no abnormalities were found in young
    from captan-treated females. No gross or histologically detectable
    abnormalities or skeletal abnormalities were observed which could be
    attributed to treatment with captan (Jackson et al., 1968).

    Acute toxicity
                                                                    
    Animal             Route      LD50         Reference
                                  mg/kg
                                                                    

    Mouse              oral       130            Vasikidge and
                                                 Mandzegamadze, 1973

    Rat                oral       2650           "

    Rabbit             oral       740            "
                                                                    


    Short-term studies

    Mouse. Groups of mice were administered 1.15, 4.0, 5.3 or 10.6 mg
    captan/kg bw daily by gavage for two months or 6.0, 11.6, 14.7 or 530
    mg captan/kg bw daily by gavage for one year. Further details are not
    available. The abnormalities said to occur were changes in the testes,
    reduced sperm motility, prolongation of aestrus cycle, increase of
    serum transaminase activity and reduction of blood prothrombin
    concentration. Male and female rats were unaffected by 10 and 5 mg/kg
    levels respectively and male and female mice by 2.6 and 1.0 mg/kg
    levels respectively. (Vasikidge and Mandzegamadze, 1973).

    Long-term studies

    Mouse. (See under "Special studies on carcinogenicity").

    Rat. (See under "Special study on carcinogenicity")

    Comments

         Extensive investigations have shown that captan is well absorbed
    from the gastrointestinal trace and rapidly metabolized and eliminated
    from the body. The probable metabolic pathways of both the
    tetrahydrophthalimide and trichloromethyl thi-moieties have been
    elucidated.

         Although no further study has been carried out on the embryotoxic
    or teratogenic effects in nonhuman primates it was noted that in one
    experiment previously reported, and since published, effects were not
    found in rhesus or stump tall monkeys which had been exposed to up to
    75 mg captan/kg bw daily during days 21-34 of gestation. No effects
    were seen in the progeny of dogs exposed to twice the dosage levels
    which increased fetal mortality in rhesus monkeys. It was not,
    however, certain that the fetuses of this species were exposed to
    captan or its metabolites. Rats exposed to a single high dose of
    captan during pregnancy produced young with haematomas in various

    parts of the body as well as anomalies of the eye and brain. The
    Meeting felt that these embryotoxic effects should be further
    investigated in view of the known association between agenesis of a
    particular region of the body and haematoma formation. A
    teratogenicity study in hamsters showed that malformations occurred at
    dosage levels causing mortality while at lower dosage levels
    malformations were not observed even though fetal and maternal
    morbidity was increased.

         Two further long-term studies have failed to demonstrate any
    carcinogenic potential in captan.

         Captan gave positive results for mutagenicity in a host mediated
    assay, but negative results were seen in a dominant lethal test using
    mice and in a test for mutagenicity in which drosophila were exposed
    to high dosage levels.

         No studies are reported on the acute effects of the fungicide in
    protein-deficient animals but the further extensive studies reported
    allow estimation of an acceptable daily intake.

    TOXICOLOGICAL EVALUATION

    Level causing no significant toxicological effect

         Mouse:    7500 ppm in diet equivalent to 1070 mg/kg bw/day

         Rat:      2000 ppm in diet equivalent to 100 mg/kg bw/day

         Dog:      100 mg/kg bw/day

         Monkey:   12.5 mg/kg bw/day

    Estimate of acceptable daily intake for man

         0-0.1 mg/kg

    FURTHER WORK OR INFORMATION

    Desirable

    1.   Investigation of the significance of haematoma
         information in the fetus in relation to fetal death and
         malformation.

    2.   Information on the nature, level, and fate of residues
         following washing, blanching, storage, and thermal processing of
         treated crops.

    3.   Residue data obtained by the newer methods of analysis
         on the main commodities for which tolerances have been
         recommended.

    4.   Information on the fate of captan in the soil.

    REFERENCES

    Buselmaier, W. von, Rohrborn, G. and Propping, P.
    1972                Mutagenitäts Untersuchungen mit Pestiziden in
                        Host-mediated Assay und mit dam Dommanten
                        Letaltest an der Maus, Biol. Zbl. 91: 311-325

    De Baun, J. R., Miaullis, J. B., Knarr, J., Mihailovski, A.
    1973                and Menn, J. J. The metabolic rate of captan
                        (trichloromethylthio-14C) in the rat. Unpublished
                        report of Stauffer Agricultural Research Center
                        submitted by Stauffer Chemical Co.

    Hoffman, L. J., De Baun, J. R., Knarr, J. and Menn, J. J.
    1973                Metabolism of N-(trichloromethylthio)-1,2-
                        dicarboximido 14C-4-cyclohexene (captan) in the
                        rat. Unpublished report of Stauffer Agricultural
                        Research Center submitted by Stauffer Chemical Co.

    Jackson, G., Kodras. R. and Fancher, O. E. Progeny study of
    1968                captan (SX-114) in beagle dogs. IBT No. J5438.
                        Unpublished report of Ind. Bio-Test Labs submitted
                        by Chevron Chemical Co.

    Kramers, P. G. N. and Knapp, A. G. A. C. Mutagenicity tests
    1973                with captan and folpet in Drosophila melanogaster.
                        Mutation Research, 21: 149-154

    Mitoma, C. Pilot study to determine the nature and magnitude
    1972                of the residues from ingestion of captan in a
                        ruminating animal. Unpublished report of Stanford
                        Research Institute submitted by Chevron Chemical
                        Co. and Stauffer Chemical Co.

    Mirkova, E. The effect of captan on the Embryogenesis of
    1973                albino rats. Unpublished report, Research
                        Institute of Hygiene and Occupational Health,
                        Sofia

    Mollet, P. Untersuchungen Über Mutagenität und Toxizität
    1973                von captan bei Drosophila. Mutation Research,
                        21: 137-138

    Reyna, M.S. Kennedy, G.L. and Keplinger, M. L. 18-month
    1973a               carcinogenic study with captan technical in Swiss
                        white mice. Unpublished report of Ind. Bio-Test
                        Labs submitted by Chevron Chemical Co.

    Reyna, M. S., Kennedy, G. L. and Keplinger, M. L. Two-year
    1973b               carcinogenic study with captan technical in albino
                        rats. Unpublished report of Ind. Bio-Test Labs
                        submitted by Chevron Chemical Co.

    Robens, J. F. Teratogenic activity of several phthalimide
    1970                derivatives in the golden hamster. Toxicol. Appl.
                        Pharmacol, 16: 24-34

    Vasikidge, V. I. and Mandzegamadze, P. N. Captan toxicity and
    1973                its hygienic standardization in foodstuffs.
                        Unpublished report
    


    See Also:
       Toxicological Abbreviations
       Captan (HSG 50, 1990)
       Captan (ICSC)
       Captan (PIM 098)
       Captan (FAO/PL:1969/M/17/1)
       Captan (WHO Pesticide Residues Series 4)
       Captan (Pesticide residues in food: 1977 evaluations)
       Captan (Pesticide residues in food: 1978 evaluations)
       Captan (Pesticide residues in food: 1980 evaluations)
       Captan (Pesticide residues in food: 1982 evaluations)
       Captan (Pesticide residues in food: 1984 evaluations)
       Captan (Pesticide residues in food: 1984 evaluations)
       Captan (Pesticide residues in food: 1990 evaluations Toxicology)
       Captan (Pesticide residues in food: 1995 evaluations Part II Toxicological & Environmental)
       Captan (IARC Summary & Evaluation, Volume 30, 1983)