IPCS INCHEM Home


    AGP:1970/M/12/1

    WHO/FOOD ADD/71.42

    1970 EVALUATIONS OF SOME PESTICIDE RESIDUES IN FOOD

    THE MONOGRAPHS

    Issued jointly by FAO and WHO

    The content of this document is the result of the deliberations of the
    Joint Meeting of the FAO Working Party of Experts and the WHO Expert
    Group on Pesticide Residues, which met in Rome, 9-16 November, 1970.

    FOOD AND AGRICULTURE ORGANIZATION OF THE UNITED NATIONS

    WORLD HEALTH ORGANIZATION

    Rome, 1971

    PARAQUAT

    IDENTITY

    Chemical name

    1, 1'-Dimethyl-4,4'-bipyridylium ion

    1, 1-Dimethyl-4,4'-bipyridirium

    Synonyms

    (Dichloride)-PP 148, Gramoxone, Preeglone, Weedol Di(methyl
    sulphate)-PP 910, Aerial Gramoxone

    Structural formula

    CHEMICAL STRUCTURE 

    Other relevant chemical properties

    Available as the di(methyl sulphate) or the dichloride which are white
    crystalline solids; the di(methyl sulphate) is deliquescent. The salts
    melt with decomposition in the region of 300°C. Both compounds are
    stable in acid or neutral solutions and unstable in alkaline solution,
    very soluble in water and decompose in ultraviolet light. They are
    inactivated by inert clays and by anionic surfactants. Solutions of
    paraquat become intensely purple on reduction, due to the formation of
    a water-soluble, relatively stable free radical. The reduction is
    autoxidizable, and solutions of the free radical absorb at 396 nm; the
    unreduced form absorbs at 256 nm. Vigorous reduction gives tetrahydro
    derivatives and ultimately the fully saturated base. The redox
    potential (-446 mV) is independent of pH. Concentrated aqueous
    solutions of paraquat corrode steel, tinplate, galvanized iron and
    aluminium.

    Purity

    Technical, 90-95 percent

    EVALUATION FOR ACCEPTABLE DAILY INTAKE

    BIOCHEMICAL ASPECTS

    Absorption distribution and excretion

    Paraquat is not readily absorbed from the gut (Daniel and Gage, 1966).
    Following oral administration, peak concentrations of paraquat in the

    blood are reached within one to six hours. Paraquat does not appear to
    be selectively concentrated by any tissues in the body (Conning et
    al., 1969).

    Paraquat (14C-methyl labelled) administered to rats by an oral or
    subcutaneous route was completely recovered in the excreta. Following
    oral administration of 4-6 mg/kg body-weight of paraquat as the
    dichloride salt, from 99-102 percent of the administered dose was
    recovered in urine (6 percent) and faeces (93-95 per cent). Following
    subcutaneous administration of 21-23 mg/kg body-weight (methyl
    sulphate salt) from 85-112 per cent of the administered dose was
    recovered in the urine and faeces, (in urine 73-96 percent and in
    faeces 14-16 percent). Paraquat appeared to be poorly absorbed from
    the gut. However, 30 percent of a dose of paraquat is present in rat
    faeces as metabolic products. It has been suggested that paraquat may
    be metabolized in vivo by microbial action within the gut. A small
    proportion of these breakdown products may be absorbed from the gut
    (Daniel and Gage, 1966).

    Effect on enzymes and other biochemical parameters

    Studies of the reaction of paraquat with liver cell preparation
    suggest that cyclic reduction and reoxidation of the molecule may be a
    primary mechanism in the effects noted. These effects include a slight
    increase in oxygen uptake by mitochondria (possibly due to poor
    penetration of the mitochondrial membrane), a stimulation of oxygen
    uptake with NADH or ß-hydroxy-butyrate (but not succinate) as a
    substrate in mitochondrial fragments inhibited with Amytal, and an
    increase of NADPH oxidase in microsomes. Free radicals can be produced
    from paraquat incubated anaerobically in the presence of NADPH and
    microsomes derived from rat liver. Purified lipoamide dehydrogenase
    from pig heart is able to reduce paraquat to the free radicals in the
    presence of NADPH. Paraquat also increased the respiration of the
    liver mitochondrial fragments. This action is attributed to the
    activity of flavo-protein dehydrogenases. The property paraquat has of
    undergoing cyclic reduction and oxidation suggests that it could
    interfere in electron-transport processes, diverting electrons from
    the system and reducing oxygen to water. The resting respiration of
    mitochondria was almost unaffected by paraquat, probably because of
    its inability to penetrate the mitochondrial membrane (Gage, 1968a).

    Increased peroxidation occurs after paraquat treatment in plants and
    has been shown to be associated with the peroxidation of microsomal
    phospholipids in animals. An examination of lung lipids from rats
    treated with paraquat revealed no diminution in the content of
    unsaturated fatty acids. Preparations of rat liver either treated with

    paraquat in vitro or taken from animals given paraquat in vivo,
    showed no evidence of direct effect on fatty acid synthesis. Analysis
    of lung lipids up to six days after poisoning with paraquat revealed
    no significant changes in the composition of lung phospholipids. Large
    doses of tocopheryl acetate, given to animals before but not after
    exposure to paraquat, affords some protection against its toxic effect
    (Conning et al., 1969).

    In vitro binding studies have shown paraquat to bind to nucleic
    acids and acidic mucopolysaccharides; the binding is lessened by
    moderate salt concentrations. Paraquat in not bound by plasma protein
    or tissue homogenates, but small amounts may be bound by macrophages.
    In this instance, binding occurs in the cytoplasmic fraction (Conning
    et al., 1969).

    Manktelow (1967), in an attempt to explain the specific action of
    paraquat on lung tissue, has proposed that it interferes with the
    production of lung surfactant. Studies on the effects of expectorants
    on pulmonary congestion in rats administered paraquat (ip, 10 and 20
    mg/kg) confirmed this observation (Cambar and Aviado, 1970).

    Paraquat was found to increase pulmonary resistance and moisture
    content and to decrease pulmonary surfactant, pulmonary compliance and
    respiratory minute volume. None of the expectorants examined had an
    effect on all of the parameters investigated.

    TOXICOLOGICAL STUDIES

    Special studies on reproduction

    Rat

    Six groups of rats (ten males or ten females per group) were examined
    for reproduction and teratogenic effects of paraquat at 0, 30 and 100
    ppm in the diet fed to the parent (F0) generation only. Paraquat at
    100 ppm was fed to F0 males only (mated to control females),F0
    females only (mated to control males) and F0 males and F0 females
    (mated to each other). The paraquat fed parental (F0) generation was
    mated and produced three litters while exposed to paraquat. The F1
    and F2 generations were not directly exposed to paraquat. The
    long-term ingestion of paraquat did not influence growth or fertility
    of the treated rats or of their offspring (Griffiths et al., 1966).

    A single intraperitoneal injection to rats of paraquat (6.5 mg/kg
    body-weight) on day 6 of gestation induced a high incidence of costal
    cartilage malformation in the embryos. This defect was not noted when
    injections were given on days 7-14 of gestation. A dose of 13 mg/kg on
    days 6-14 of gestation did not give this defect, although in most
    cases the dose was abortifacient (Khera and Whitta, 1968).

    Special studies on acute toxicity of a metabolite
    (N-methylisonicotinic acid)

    The acute rat oral LD50 of an unneutralized solution of the
    metabolite N-methylisonicotinic acid is between 2000 and 5000 mg/kg
    body-weight (McElligott, 1966; Clark, 1965b). Neutralization of the
    solution depressed the toxicity further (McElligott, 1966). The acute
    rat ip LD50 of N-methylisonicotinic acid is approximately 500 mg/kg
    body-weight (Clark, 1965b). Two of three male rats survived
    intraperitoneal administration of 4000 mg/kg of neutralized
    N-methylisonicotinic acid methyl sulphate (McElligott, 1966).

    Special studies on subacute toxicity of metabolite
    (N-methylisonicotinic acid)

    Rat

    One group of rats (seven males and seven females) was given
    N-methylisonicotinic acid methyl sulphate by oral intubation for 21
    days at a dose of 2 g/kg body-weight/day. Toxic effects were limited
    to salivation, piloerection and occasional flaccidity. No effects on
    blood chemistry and gross or microscopic pathology were observed
    (McElligott, 1966).

    Groups of rats (25 males and 25 females) were fed N-methylisonicotinic
    acid methyl sulphate in the diet at concentrations of 0, 0.5, 2.0 and
    4.0 percent for 90 days. Weight gains were reduced at the 4 percent
    level in both males and females. Histopathological observations
    include degenerative tubules in testes and degenerate cells in the
    lumen of the tubules in the epididymus at the 4 percent level. No
    abnormal effects were observed in mortality, body-weight, food
    consumption, haematology and gross and microscopic pathology at the 2
    percent level and below (Broadurst et al., 1966).

    Rabbit

    Three female rabbits treated dermally with N-methylisonicotinic acid
    methyl sulphate powder at six alternate 24-hour periods displayed mild
    desquamation but no systemic effects (McElligott, 1966).

    Acute toxicity

    LD50 levels of paraquat in different species are given in Table I.

    After administration of acutely toxic doses to rats, all animals
    displayed the same toxic signs; they appeared healthy for the first 24
    hours, and then became subdued and lethargic; respiration became
    progressively more difficult, and signs of anoxia were evident after
    3-4 days; deaths occurred from 2-14 days after administration and
    followed by inappetance and weight loss; lung congestion was evident
    with varying degrees of consolidation. The pattern of mortality after
    a single oral dose of paraquat indicates that there is a maximum death
    rate in 2-5 days, with some deaths occurring at 10-12 days. Animals

    dying in the second group had marked congestion of the lungs with an
    oedematous fluid in many of the alveoli and excess macrophages in
    others. Cellular proliferation around the bronchi and in the walls of
    the alveoli was marked, and large tracts of the pulmonary tissue
    contained a high proportion of mast cells, with consequent reduction
    in the air-containing cavities.

        TABLE I

    Acute toxicity of paraquat in different species
                                                                                  

                                                    LD50
                                                  (mg ion/kg
    Animal        Route         Salt Form         body-weight)    Reference
                                                                                  

    Chicken       oral          chloride          262             Swan, 1959

    Rat           oral          chloride          120-157         Swan, 1959
                                                                  Clark, 1965a
    Rat           oral          methylsulfate     100-110         Gaines, 1969
    Rat           oral          methylsulfate     127-141         Swan, 1959
                                                                  Clark, 1965a
    Rat           dermal        methylsulfate     80-90           Gaines, 1969
    Rat           ip            chloride          19              Clark, 1965a
    Rat           ip            methylsulfate     16              Clark, 1965a
    Rat           sc            methylsulfate     24              Swan, 1959
    Rat           (4 hr)        chloride          6.4 mg/l        Palazzolo et al.,
                  inhalation                      (LC50)          1964

    Guinea Pig    oral          chloride          30              Swan, 1959

    Rabbit        oral          methylsulfate     126             Swan, 1959
    Rabbit        dermal        chloride          240             McElligott, 1965
    Rabbit        ip            chloride          18.2            McElligott, 1965

    Cat           oral          chloride          35              Swan, 1959

    Sheep         oral          chloride          100             Walley, 1964

    Cow           oral          chloride          50-75           Walley, 1964
                                                                                  
    
    In two tests, instillation of approximately 6-10 mg of paraquat
    (dichloride or dimethyl sulphate salts) into the conjunctival sac of
    rabbits resulted in temporary slight lachrymation and conjunctival
    congestion one to three days after dozing. No permanent damage was
    noted, although in some cases recovery was slow. (McElligott, 1965;
    Clerk et al., 1966; Swan, 1959).

    Short-term studies

    Rabbit

    Multiple percutaneous administration of paraquat to rabbits at doses
    from 2.8 to 116 mg/kg body-weight daily for 20 days resulted in no
    effects seen at 2.8 mg/kg/per day. At 7.3 mg/kg, all animals survived,
    but there was lung congestion with consolidation of the alveoli. Two
    of three animals dosed at 14.5 mg/kg died within 20 days. When the
    site of application was covered by an occlusive dressing, amounts as
    low as 2.8 mg/kg (1.6 mg cation kg) resulted in moist red skin with
    sloughing of the skin (McElligott, 1965).

    Multiple percutaneous non-occluded application of paraquat dichloride
    to five male and five female rabbits at doses of 0, 0.6, 1.5 and 3.0
    mg/kg body-weight/day for 20 days resulted in one male death at 1.5
    mg/kg at 26 days and one male death at 3 mg/kg at 14 days. Signs of
    inactivity, muscular weakness, lassitude, nasal discharge and
    salivation were evident at the highest dose after 5-6 days. Local skin
    reactions were evident at all doses, with recovery occurring only at
    the 0.6 mg/kg level. No adverse affects were noted with regard to
    body-weight or gross and microscopic examination of surviving animals.
    Microscopic examinations of the dead animals revealed significant lung
    damage (Palazzolo and Calandra, 1965).

    Dog

    Five groups of dogs (from two to four males and females per group)
    were fed paraquat in their diet for 26 to 27 months at doses of 0, 10,
    50, 125 and 250 ppm. Dietary feeding of paraquat dichloride at 250 ppm
    over a two month period resulted in body-weight depression, depressed
    food intake respiratory distress and death, with gross and
    histopathologic changes in the heart, kidneys, brain and lung. At 125
    ppm over a 27-month period, the following signs were evident: death;
    depressed food intake body-weight; respiratory distress; and growths
    and microscopic changes in the lungs. Changes in organ-weights and
    decrease weights of spleen, brain and testes. Organ to body-weight
    ratio increases were noted with liver, heart, brain, thyroid and
    adrenal gland, while the spleen to body-weight ratio was decreased. No
    effects were noted at 50 ppm (34 ppm of paraquat ion) (Cervenka et
    al., 1964).

    One group of dogs (three males and three females) were fed paraquat
    dichloride 75 ppm in the diet for two years. Slight alterations were
    seen in the lungs upon gross and microscopic examination which were
    believed to be due to paraquat. No adverse effects were noted on
    body-weight, food consumption, survival, behaviour, haematological
    studies, blood chemistry, urinalysis, liver function tests,
    organ-weights and ratios and growths and microscopic examination of
    tissues other than lungs. The level of paraquat dichloride causing no
    toxicological effect on the dog was 50 ppm (34 ppm paraquat cation)
    (Baran and Calandra, 1965).

    Grazing animals

    Multiple daily oral administration to sheep at 20 mg/kg body-weight
    for five days resulted in death of all animals within two weeks.
    Multiple daily oral administration at 10 mg/kg for five days killed
    one of six sheep in 26 days, while 5 mg/kg for fourteen days resulted
    in listless animals; recovery was very slow (Walley, 1964).

    Multiple daily oral administration to cattle of 20 mg/kg body-weight
    for four days resulted in death within one week. Levels of 10 and 5
    mg/kg body-weight orally for five and fourteen days, respectively,
    resulted in no deaths, but animals were listless and unhealthy;
    recovery was slow (Walley, 1964).

    Five groups of two sheep each and three groups of one calf each were
    exposed for four weeks to levels of 0, 1, 5, 10 or 20 ppm and 0.5 or
    20 ppm of paraquat, respectively, in their drinking water. No adverse
    toxicological effects wore noted after one month (Sarfaty, 1963).

    Cattle suffered no toxic effects over a four-week period when grazed
    on pasture immediately after it had been sprayed with paraquat. Horses
    showed definite ill effects, including local lesions of the mouth and
    increased mucus secretions (Calderbank et al., 1968).

    Ewe lambs were grazed in pastures 30 days after treatment with 1-2
    pounds of paraquat per acre with no effect on their growth or general
    well being (Torell and Kay, 1964).

    Subacute inhalation studies

    One group of dogs (one male and one female), guinea pigs (five males
    and five females) and rats (five males and five females) were exposed
    to an aerosol of paraquat dichloride at a concentration of 0.1 mg/1,
    six hours per day, five days per week, for three weeks. Growth
    depression was evident among the guinea pigs and rats, and the female
    dog lost weight. No effects wore noted with regard to untoward
    behavioural reaction, haematology, blood chemistry and gross or

    microscopic alterations of tissues (Palazzolo et al., 1965). Repeated
    daily 6-hour exposures to rats of paraquat aerosols over a three-week
    period produced signs of lung irritation, but no deaths, at 0.4 mg/l
    (Gage, 1968b).

    Long-term studies

    Rat

    Four groups of rats (30 males and 30 females, 60 of each sex were
    controls) were fed diets containing paraquat dichloride at levels of
    0, 50, 125 and 250 ppm for two years. No adverse effects were seen at
    any level tested on growth, survival, behaviour, tumour incidence,
    haematologic studies, urinalysis, organ weights, ratios of organ to
    brain or organ to body-weight and gross pathologic examination.
    Microscopic examination of tissues and organs at 0 and 250 ppm (170
    ppm of paraquat cation) revealed no adverse effects (Kohn at al.,
    1964).

    OBSERVATIONS IN MAN

    The hazard of paraquat to man has been associated with two general
    areas: accidental ingestion and dermal contamination. Accidental oral
    ingestion of paraquat in small quantities in man has generally
    resulted in death (sometimes delayed). In almost all cases where death
    occurred severe lung damage with proliferation of the alveolar walls
    was evident. These lesions were occasionally accompanied by renal
    failure as evidenced at autopsy by gross damage to the kidneys
    (Bullivant, 1966; Fennelly et al., 1968; Goulding, 1968; Campbell,
    1968; Duffy and O'Sullivan, 1968; Tilling, 1968; Matthew et al., 1968
    and Cowie and Kahn, 1968). In two accidental poisoning cases, recovery
    was complete (McKean, 1968; Lloyd, 1969).

    One suicide case from subcutaneous injection of paraquat resulted in
    delayed death in 17 to 18 days, with severe proliferation of the
    epithelium of the lung. Renal macroscopic or microscopic pathological
    changes were not evident (Almog and Tal, 1967; Herczeg and Reit,
    1968).

    Dermal contamination had been shown to result in damage and
    discolouration of the fingernails. The damage included softening of
    the nail at the base, with occasional loss of the nail. It appeared
    that the damage was local because of the asymmetry of the lesion and
    because the toenails were not affected (Samman and Johnston, 1969).

    Following accidental instillation of paraquat into the eye, symptoms
    of irritation and inflammation of the conjunctiva increase and large
    areas of the conjunctiva and cornea may be shed. With treatment,
    recovery is slow (Calderbank, 1968; Cant and Lewis, 1968).

    COMMENT

    Paraquat is not readily absorbed from the gastrointestinal tract.
    After oral administration, it is excreted primarily in the faeces.

    After subcutaneous administration, it is primarily excreted in urine.
    The metabolic products formed by micro-organisms in the gut appear to
    be more readily absorbed than paraquat. No information is available on
    the toxicity of these metabolites formed by the gut flora. The soil
    metabolite N-methylisonicotinic acid is of a low order of toxicity as
    compared with the parent compound when tested in rats.

    From the available experimental data on animals and clinical
    experiences with man, it is evident that paraquat causes irreversible
    proliferative changes in lung tissue. The level of 75 ppm when fed to
    dogs over a two-year interval may be considered as a threshold dose on
    the basis of this pulmonary effect. An adverse effect on a long-term
    study in rats could not be demonstrated with levels up to 250 ppm.
    These results indicate that the rat is an insensitive species and,
    while the dog in affected by paraquat, its susceptibility may be lower
    than man. Man must be considered more sensitive than other species
    thus far examined. In man, the delayed occurrence of lesions in the
    lung, renal failure and a local effect on corneal epithelium, nasal
    mucosa, skin and fingernails suggest that paraquat my be considered a
    pesticide whose handling be restricted to trained professional
    personnel.

    In addition, studies on prophylaxis and treatment of the toxic effects
    of paraquat were considered to be urgently needed; reproduction
    studies are limited to one species, the rat. For the above-mentioned
    reasons, the Committee considered that it was possible to establish a
    temporary acceptably daily intake for man, based upon the no-effect
    level in the dog.

    TOXICOLOGICAL EVALUATION

    Level causing no toxicological effect

    Rat: 250 ppm in the diet, equivalent to 12.5 mg/kg body-weight/day
         (corresponds to 9.1 mg paraquat ion/mg body-weight/day)

    Dog: 50 ppm in the diet, equivalent to 1.25 mg/kg body-weight/day
         (corresponds to 0.91 mg paraquat ion/kg body-weight/day)

    ESTIMATE OF TEMPORARY ACCEPTABLE DAILY INTAKE IN MAN

    0-0.001 mg/kg body-weight as paraquat dichloride (0-0.0007 mg/kg
    body-weight expressed as paraquat ion)

    RESIDUES IN FOOD AND THEIR EVALUATION

    USE PATTERN

    Herbicide and desiccant; rapidly absorbed by green plants but
    inactivated on contact with soil. Widely used for pre-crop and
    post-crop-emergence weed control, plantation weed control, aquatic
    weed control, pasture renovation, pre-harvest desiccation of hops,
    cotton defoliation and potato haulm and sugar cane desiccation.

    FATE OF RESIDUES

    In animals

    The fate of 14C-paraquat administered orally to cattle was
    investigated by Stevens and Watley (1966). They found that the bulk of
    radioactivity was excreted in the faeces and amounts <5% were
    present, largely as breakdown products, in the urine.

    A group of three cows, orally treated with a single dose of paraquat
    at 8 mg/kg, excreted between 0.003 and 0.008 percent of the dose in
    the milk and 0.24 percent of the dose in the urine within the
    seven-day testing interval (Stevens et al.,1966; Stevens et al.,
    1964). The amount of ingested material in the milk was the same
    irrespective of position of a radioactive label indicating that
    paraquat itself or a metabolite(s) containing methyl groups and intact
    ring structures was present.

    Two calves grazed for three or seven days on pasture containing
    residues of 300-400 ppm paraquat were found to have significant
    residues of paraquat only in the gut and stomach tissues. The kidney
    contained the highest tissue residues of 0.15 ppm, with traces found
    in lungs, heart and liver (Litchfield, 1969).

    In plants

    From observations made with 14C-labelled material, paraquat is
    transported to a slightly greater extent than diquat from the leaves
    of potato plants to the tubers (Slade and Bell, 1966). Coates et al.
    (1966) found appreciable movement in wheat, even in the roots. Slade
    (1966) studied the degradation of labelled paraquat on tomato, broad
    beans and maize plants; the degradation was found to be non-enzymic,
    but could be attributed to sunlight. Using potato plants, experiments
    showed that even if metabolism had occurred in the plant, no
    degradation products were transported to the tubers.

    In soil

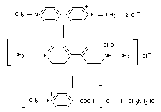
    Paraquat has been shown to be degraded by soil microorganisms
    (Funderburk and Bozarth, 1967) to demethylated paraquat
    (1-methyl-4,4'-dipyridinium ion) and another compound characterized as
    the 1-methyl-4-carboxy-pyridinium ion (N-methylisonicotinic acid).

    The following degradation pathway by bacteria - demethylation of 
    parent molecule and ring cleavage of one of the heterocyclic rings to
    eventually forms the carboxylated N-methyl-pyridinium ion.

    CHEMICAL STRUCTURE 

    In sunlight

    On the plant surface (and in solution), paraquat is rapidly broken
    down photochemically. The two end products from ultraviolet
    irradiation of solutions, both of which have very low toxicities in
    mammals, are identified as N-methyl betaines of iso-nicotinic acid and
    methylamine.

    Slade (1965, 1966) investigated the degradation of paraquat by both
    sunlight and the ultraviolet light from a mercury vapour lamp. Two
    degradation products were identified, 1-methyl-4-carboxypyridinium ion
    and methylamine hydrochloride; the following degradation pathway was
    proposed:

    CHEMICAL STRUCTURE 

    In water

    Paraquat applied to water for aquatic weed control purposes quickly
    disappears due to uptake by weeds and absorption by soil, silt and
    particulate suspended matter (Calderbank, 1968). No information is
    available on the ultimate fate of the chemical in this environment.
    The rate of disappearance in very variable, depending on the movement
    of the water and the presence of mud or suspended matter, but
    treatments within the range of 1-4 mg/litre in the water have resulted
    in only 0.1 mg/litre or less of paraquat being detectable in from 6 to
    14 days after application. Decomposition of the killed weed is rapid,

    any remaining residue of paraquat thus liberated being subsequently
    absorbed on the bottom mud. Such residues in the largely organic muds
    may be more readily available to bacterial degradation than when
    absorbed to clay minerals in soils.

    Evidence of residues in food in commerce or at consumption

    Only when the crop in sprayed directly are significant residues of
    paraquat likely to be found. A summary of residues found in cotton
    after use for desiccation purposes is given in Table II. (Calderbank,
    1968)

    TABLE II
                                                                    
    Paraquat residues in, ten days after desiccation at 0.5 lb
    paraquat/acre (U.S.A. results)

    Fraction analysed                            Paraquat found, ppm
                                                                    
    Cotton as picked, including
    trash and bolls                              2.0

    Ginned seed                                  0.18

    Acid-delinted seed                           0.05

    Mechanically reginned seed                   0.08

    Lint cotton                                  3.0

    Hulls                                        0.13

    Trash                                        3.7

    Crude oil                                    Non-detected

    Meal                                         0.02
                                                               

    Data obtained following use of paraquat as a desiccant on several food
    crops has also been published (Calderbank, 1968); a summary of these
    results is given in Table III.

    METHODS OF RESIDUE ANALYSIS

    An ion-exchange method for determining paraquat residues has been
    developed by Calderbank and Yuen (1965). The method depends on the
    measurement of light absorption at 396 nm of reduced solutions of
    paraquat after concentration and purification by cation-exchange
    chromatography and has been used for a wide variety of food crops,
    water, etc.; limit of sensitivity is 0.01 ppm. Radaelli and Bosetto

    (1968) used it for the determination of residues in clays and mineral
    soils. Paraquat and its photochemical decomposition product,
    4-carboxyl-1-methyl pyridinium chloride, can be determined
    polarographically (Slade and Jackson, 1971).

        TABLE III

    Summary of paraquat residues in food crops, desiccation uses
                                                                           

                                      Rate of          Average Residues
                                      Application      Paraquat
    Crop                              (lb/acre)        (ppm)
                                                                           

    Barley                            0.5  -1.0        3-10

    Wheat                             0.5  -1.0        1-2.5

    Maize                             0.5  -1.2        ND2/0.2

    Rice (with husk)                  0.15 -0.54       0.7-22

    Rice (dehusked or polished)       0.15 -0.54       ND-0.2

    Peas, beans, sunflower seed       0.35 -1.2        ND-2.0

    Sorghum seed                      0.25 -1.0        0.1-0.4

    Cotton (as picked)                0.5  -1.0        2-3

    Onions                            0.5  -2.0        0.05 -0.5

    Potatoes                          0.5  -1.5        0.02 -0.13

    Sugar cane juice                  0.5  -2.0        ND

    Seed oils (sesame,
    sunflower, rape, cotton)          up to 1.2        ND
                                                                           

    1/ 3-21 days after application
    2/ ND = none detected
    
    The lesser duckweed (Lemna minor L) provides a simple sensitive
    bioassay technique for determining paraquat residues in water
    (Funderburk and Lawrence, 1963). Plant extracts containing paraquat
    have been chromatographed on thin layers of silica gel by Slade (1966)
    using 5 M ammonium chloride solution for development. Faust and Hunter
    (1965) determined paraquat in natural surface water at 256 nm
    following chemical clean-up by ion exchange.

    NATIONAL TOLERANCES
                                                                    
    Country        Crop                                    Tolerance
                                                           (ppm)
                                                                    

    U.S.A.         Potatoes                                0.5

                   Apples, pears, apricots, avocados,
                   bananas, cherries, citrus fruits,
                   figs, grapes, papayas, peaches,         0.05
                   nectarines, plums, prunes (fresh)

                   maize, lettuce, melons, peppers,
                   tomatoes                                0.05

                   maize and sorghum grain                 0.05

                   maize, sorghum and soybean forage       0.05

                   Almond hulls                            0.5

                   Almonds, filberts, macadamia            0.05
                   nuts and walnuts

                   Coffee beans, olives, soybeans          0.05

                   Cottonseed                              0.5

                   Sugarbeet (roots and tops)              0.5

    Information has also been received regarding -

                   Cotton (as picked)                      2 mg/kg
                                                                    

    APPRAISAL

    Paraquat is very widely used for weed control in many crops, as an
    aquatic herbicide and as a desiccant on cotton, potato haulm and sugar
    cane. Paraquat in a stable compound in plants. Ultraviolet light,
    sunlight and soil micro-organisms degraded paraquat to
    N-methyl-isonicotinic acid and methylamine hydrochloride. Following
    ingestion by cows, traces of paraquat or its metabolites are secreted
    into the milk. Residues are very unlikely to accrue from soil or
    pre-emergence applications but can occur following use for desiccation
    purposes. The suggested tolerances are based on each desiccation
    usage. The colorimetric procedure of Calderbank and Yuen (1965) should
    be suitable for regulatory purposes.

    RECOMMENDATIONS FOR TOLERANCES, TEMPORARY TOLERANCES
    OR PRACTICAL RESIDUE LIMITS

    TEMPORARY TOLERANCES (effective to June 1974)

    Cottonseed                              0.2 ppm
    Potatoes                                0.1 ppm
    Cottonseed meal                         0.05 ppm
    Cottonseed oil (edible)                 0.05 ppm
    Sugar cane juice                        0.05 ppm

    FURTHER WORK OR INFORMATION

    REQUIRED (before June 1973)

    1. Detailed comparative toxicity and metabolism studies in order to
       elucidate the reason for the comparatively high sensitivity of man 
       to this compound.

    2. Additional reproduction studies on at least one species.

    3. Examination in several species of the toxic effects of metabolites
       formed by the action of the gut flora.

    DESIRABLE

    Long-term oral studies on additional species.

    REFERENCES

    Almog, C.H. and Tal, E. (1967) Death from paraquat after subcutaneous
    injection. Brit. Med. J., 3: 721

    Baran, J. and Calandra, J.C. (1965) Two-year chronic oral toxicity of
    paraquat-beagle dogs. Unpublished report from Industrial Bio-Test
    (Aug. 1964) to ICI through Chevron Chemical Co. to FDA

    Broadhurst, T.O., Griffiths, D. and McElligott, T.F. (1966) Ninety-day
    oral toxicity of N-methyl-isonicotinic acid methosulfate - albino
    rats. Unpublished report IHR/194 (April 1966) ICI Ltd. through Chevron
    Chemical Co. to FDA

    Bullivant, C.M. (1966) Accidental poisoning by paraquat: report of two
    cases in man. Brit. Med. J., 1: 1272-1273

    Calderbank, A. and Yuen, S.H. (1965) An Ion-exchange method for 
    determining paraquat residues in food crops. Analyst, 90: 99-106

    Calderbank, A., McKenna, R.M., Stevens, M.A. and Walley, J.K. (1968)
    Grazing trials on paraquat-treated pasture. J. Sci. Fd. Agric. 19:
    246-250

    Calderbank, A. (1968) The bipyridylium herbicides. Effects on man,
    Advances in pest control research, Metcalf R.L. Ed. vol 8, p. 224
    Interscience Publishers N.Y.

    Cambar, P.J. and Aviado, D.M. (1970) Bronchopulmonary effects of 
    paraquat and expectorants. Arch. environm. Hlth, 20: 488-494

    Campbell, S. (1968) Paraquat poisoning. Clinical Toxicol.,1: 245-249

    Cant, J.S. and Lewis, D.R.H. (1968) Ocular damage due to paraquat and
    diquat. Brit. Med. J., 2: 224

    Cervenka, H., Kay, J.H. and Calandra, J.C. (1964) Chronic oral
    toxicity of paraquat - beagle dogs. Unpublished report from Industrial
    Bio-Test (Aug. 1964) to ICI through Chevron Chemical Co. to FDA

    Clark, D.G. (1965a) The acute toxicity of paraquat. Unpublished report
    IHR/170 (Jan. 1965) from ICI through Chevron Chemical Co. to FDA

    Clark, D.G. (1965b) Unpublished report TR/438 (25 Jan. 1965) from ICI
    Ltd. through Chevron Chemical Co. to FDA

    Clark, D.G., McElligott, T.F. and Hurst, E.W. (1966) The toxicity of
    paraquat. Brit. J. Indust. Med., 23: 26-32

    Coates, G.E., Funderburk, H.H., Lawrence, J.M. and Davis, D.E. (1966) 
    Factors affecting persistence and inactivation of diquat and paraquat.
    Weed Res.,6:58-66

    Conning, D.M., Fletcher, K. and Swan, A.A.B. (1969) Paraquat and
    related bipyridyls. Brit. Med. Bull.,25:245-249

    Cowie, J. and Kahn, J. (1968) Acute renal failure in case of paraquat
    poisoning. Brit. Med. J., 1: 749-750

    Daniel, J.W. and Gage, J.C. (1966) Absorption and excretion of diquat
    and paraquat in rats. Brit. J. Industr. Med.,23: 133-136

    Duffy, B.S. and O'Sullivan, D.J. (1968) Paraquat poisoning. J. Irish
    Med. Assoc.,61: 97-98

    Faust, S.D. and Hunter, N.E. (1965) Chemical methods for the
    determination of aquatic herbicides. J. Am. Water Works Assoc., 57:
    1028-1037

    Fennelley, J.J., Gallagher, J.T. and Carroll, R.J. (1968) Paraquat
    poisoning in a pregnant woman. Brit. Med. J.,3: 722-723

    Funderburk, H.H. and Lawrence, J.M. (1963) A sensitive method for
    determination of low concentrations of diquat and paraquat. Nature,
    199: 1011-1012

    Funderburk, H.H. and Bozarth, G.A. (1967) Review of the metabolism and
    decomposition of diquat and paraquat. J. Agric. Fd. Chem.,15:
    563-567

    Gage, J.C. (1968a) The action of paraquat and diquat on the
    respiration of liver cell fractions. Biochem. J.,109: 757-761

    Gage, J.C. (1968b) Toxicity of paraquat and diquat aerosols generated
    by a size selective cyclone. Effect of particle size distribution.
    Brit. J. Industr. Med.,25: 304-314

    Gaines, T.B. (1969) Acute toxicity of pesticides. Toxicol. Appl.
    Pharmacol.,14: 515-534

    Goulding, R. (1968) Paraquat poisoning. The Practitioner,200:739-740

    Griffiths, D., Ponsford, D.C. and Hurst, E.W. (1966) A study of
    reproduction in rats treated with paraquat in the diet. Unpublished
    report IHR/185 (Jan. 1966) from ICI Ltd.

    Herczeg, E. and Reit, A. (1968) Lungenveranderunger bei todlich 
    verlaufener paraquatvergiftung. Zbl. allg. Path. Anat., 111: 325-328

    Khera, L.S. and Whitta, L.L. (1968) Embryopathic effects of diquat and
    paraquat in the rat. Ind. Med. Surg., 37: 553

    Kohn, F.E., Kay, J.H. and Calandra, J.C. (1964) Two-year chronic oral
    toxicity of paraquat-albino rats. Unpublished report from Industrial
    Bio-Test Laboratories (July 1964) to ICI through Chevron Chemical Co.
    to FDA

    Litchfield, M.H. (1969) Grazing trial on paraquat-treated pasture.
    Unpublished report IHR/257 (April 1969) ICI Ltd.

    Lloyd, E.L. (1969) Recovery after taking Weedol. Brit. Med. J., 2:
    189

    Manktelow, B.W. (1967) The loss of pulmonary surfactant in paraquat
    poisoning. Brit. J. Exptl. Path. 48: 366-369

    Matthew, H., Logan, A., Woodrugg, M.F.A. and Heard, B, (1968) Paraquat
    poisoning - lung transplantation. Brit. Med. J.,3: 759-763

    McElligott, T.F. (1965) The dermal toxicity of paraquat. Unpublished
    ICI report IHR/172 (Jan 1965; through Chevron Chemical Co. to FDA

    McElligott, T.F. (1966) Toxicological report - N-methyl isonicotinic
    acid methosulphate. Unpublished report TR/512 (April 1966) ICI Ltd.
    through Chevron Chemical Co. to FDA

    McKean, W.I. (1968) Recovery from paraquat poisoning. Brit. Med.
    J.,3:292

    Palazzolo, R.J., Kay, J.H. and Calandra, J.C. (1964) Acute aerosol
    inhalation toxicity of paraquat dichloride. Unpublished report from
    Bio-Test Lab. Inc. to ICI (15 April 1964) through Chevron Chemical Co.
    to FDA

    Palazzolo, R.J. and Calandra, J.C. (1965) Sub-acute dermal toxicity of
    paraquat dichloride. Unpublished report by Industrial Bio-Test Lab.
    (Aug. 1966) through California Chemical Co. to FDA

    Palazzolo, R.J., Kay, J.H. and Calandra, J.C. (1965) Sub-acute 
    aerosol inhalation toxicity of paraquat dichloride. Unpublished report
    from Indus. Bio-Test Lab. (Jan. 1965) to ICI Ltd. through Chevron
    Chemical Co. to FDA

    Radaelli, L. and Bosetto, M. (1968) Determination of paraquat in clays
    and mineral soils. Ricerca Scient., 38: 855-857

    Samman, P.D. and Johnston, E.N.M. (1969) Nail damage associated with
    handling of paraquat and diquat. Brit. Med. J., 1: 818-819

    Sarfaty, A.B. (1963) Observational trials on toxicity to sheep and
    cattle. Unpublished report Chevron Chemical Co. to FDA

    Slade, P. (1965) Photochemical degradation of paraquat. Nature, 207:
    515-516

    Slade, P. (1966) The fate of paraquat applied to plants. Weed Res.,
    6: 158-167

    Slade, P. and Bell, E.G. (1966) Movement of paraquat in plants. Weed
    Res., 6: 267-274

    Slade, P. and Jackson, L.S. (1971) Pestic. Sci., in preparation

    Stevens, M.A., Walker, G.H. and Walley, J.K. (1964) The excretion of
    14C paraquat by the cow. Unpublished report IHR/164 (Oct. 1964) by
    ICI through Chevron Chemical Co. to FDA

    Stevens, M.A. and Walley, J.K. (1966) Tissue and milk residues arising
    from the ingestion of single doses of diquat and paraquat by cattle.
    J. Sci. Food Agric., 17: 472-475

    Swan, A.A.B. (1959) Unpublished report by ICI TR/241 (Dec. 1959) 
    submitted through Chevron Chemical Co. to FDA

    Tilling, W. (1968) Paraquat - intoxikation. Dtsch. Medizin. 
    Wchschr.,50: 2439-2441

    Torell, D. and Kay, B.L. (1964) Pasturing of sheep on paraquat treated
    forage. Unpublished report - 383-42 Chevron Chemical Co. to FDA

    Walley, J.K. (1964) Paraquat toxicity in sheep and cattle. Unpublished
    report IHR/166 (April 1964) submitted from ICI through Chevron
    Chemical Co. to FDA
    


    See Also:
       Toxicological Abbreviations
       Paraquat (HSG 51, 1991)
       Paraquat (PIM 399)
       Paraquat (JMPR Evaluations 2003 Part II Toxicological)
       Paraquat (WHO Pesticide Residues Series 2)
       Paraquat (Pesticide residues in food: 1976 evaluations)
       Paraquat (Pesticide residues in food: 1978 evaluations)
       Paraquat (Pesticide residues in food: 1981 evaluations)
       Paraquat (Pesticide residues in food: 1982 evaluations)
       Paraquat (Pesticide residues in food: 1986 evaluations Part II Toxicology)