IPCS INCHEM Home


    FAO/PL:1968/M/9/1

    WHO/FOOD ADD./69.35

    1968 EVALUATIONS OF SOME PESTICIDE RESIDUES IN FOOD

    THE MONOGRAPHS

    Issued jointly by FAO and WHO

    The content of this document is the result of the deliberations of the
    Joint Meeting of the FAO Working Party of Experts and the WHO Expert
    Committee on Pesticide Residues, which met in Geneva, 9-16 December,
    1968.

    FOOD AND AGRICULTURE ORGANIZATION OF THE UNITED NATIONS

    WORLD HEALTH ORGANIZATION

    Geneva, 1969

    FENCHLORPHOS

    IDENTITY

    Chemical names

         0,0-dimethyl 0-2,4,5-trichlorophenyl phosphorothioate;

         0,0-dimethyl 0-(2,4,5-trichlorophenyl) phosphorothioate
         (IUPAC)

    Synonyms

         Ronnel, Ectoral(R), Etrolene(R), Nankor(R), Trolene(R), Korlan(R)

    Formula

    CHEMICAL STRUCTURE 

    Other information on identity and properties

    Technical fenchlorphos is a light tan solid melting at 34-37°C (41°C
    when pure). It has a mild mercaptan odour. It is stable at
    temperatures up to 60°C and in neutral and slightly acid media. It is
    unstable in alkaline and strongly acid media and upon prolonged
    exposure in aqueous preparations. In solution, most cations other than
    copper have little or no effect. At room temperature, the compound is
    soluble in most organic solvents and is practically insoluble in
    water.

    The technical product is supplied in a variety of concentrations and
    formulations (emulsifiable concentrate, wettable powder, mineral
    blocks, mineral granules, medicated premix).

    EVALUATION FOR ACCEPTABLE DAILY INTAKE

    Biochemical aspects

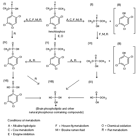
    Fenchlorphos and its oxygen analogue are susceptible to hydrolysis in
    animals at either the methyl-phosphate or phenylphosphate bond.
    Hydrolysis at both sites has been demonstrated with alkali and bovine
    rumen juice; and in rat, house-fly, and cow metabolic studies (Plapp
    et al., 1958a, 1958b; Menzie, 1966). The following pathways in animals
    are suggested from these studies:

    FIGURE 

    P32-labelled fenchlorphos was given orally to rats at a dose level of
    100 mg/kg body-weight. The highest concentration was reached in the
    tissues after 12 hours. The residues persisted for more than seven
    days and were found to consist of fenchlorphos and its oxygen
    analogue. These compounds were hydrolysed at either the
    methyl-phosphate or the phenyl-phosphate linkage and the resulting
    phosphoric acids were excreted in the urine. In the rat approximately
    60 per cent of the administered dose was excreted within two days. In
    a cow treated orally with 100 mg/kg body-weight the metabolism was
    identical to that in the rat but excretion in the urine did not occur
    as rapidly. After the first day, 20 per cent of the dose had been
    excreted and 50 per cent after six days. A milk sample taken eight
    hours after treatment contained 30 ppm of fenchlorphos but this level
    had decreased to 0.4 ppm after seven days. A calf fed this milk at
    various intervals never showed more than 1.5 ppm of fenchlorphos and
    metabolites in its blood, nor was there any depression in
    cholinesterase level (Plapp and Casida, 1958a).

    Sheep given oral doses of 100 mg/kg of P32-labelled fenchlorphos
    attained the highest concentrations in the blood after four hours.
    Within 21 days 70 per cent of the administered dose had appeared in
    the urine and seven per cent in the faeces. The concentration in the
    fat fell from about 30 ppm after one week to less than 1 ppm after six
    weeks (Millar, 1965).

    The oxygen analogue of fenchlorphos is a more potent cholinesterase
    inhibitor than fenchlorphos itself, but the principal hydrolytic
    mammalian metabolites are poor inhibitors of cholinesterase being
    equal to or less active than the parent compound (Leng, 1958a; Smith,
    1968).

    Acute toxicity (oral)

                                                                
                              LD50 (mg/kg
    Animal       Sex          body-weight)       References
                                                                

    Mouse        Female          2140        McCollister et al.,
                                             1959

    Rat          Male            1740               "

    Rat          Female        > 2000               "

    Rat          Male            1250        Gaines, 1960

    Rat          Female          2630        Gaines, 1960

    Guinea-pig   Male            3140        McCollister et al.,
                                             1959

                                                                
    Rabbit       Male and         640               "
                 female

    Dog          Male and       > 500               "
                 female      (causes emesis)
                                                                

    Short-term studies

    Rat. Groups of 20 rats (10 of each sex) were fed 0.5, 1.5, 5, 15 and
    50 mg/kg/day of fenchlorphos in their diets for 105 days. Mortality
    records, food consumption, growth and final average body and organ
    weights were closely comparable in experimental and control groups.
    Histologic examination revealed no evidence of adverse effects
    attributable to fenchlorphos, except in the male and female rats at
    the 50 mg/kg/day level where there was some evidence in the liver of a
    slight granular degeneration or cloudy swelling of the parenchymal
    cells of the entire lobule. In the kidneys, there appeared to be some
    cloudy swelling and vacuolation of the renal tubular epithelium with
    very slight interstitial nephritis. Following 105-day administration
    of fenchlorphos in the diet, all rats, including those that had
    received the 50 mg/kg/day level, showed essentially complete recovery
    of any depressed cholinesterase activity within six to eight weeks
    after being placed on the control ration only. Microscopic examination
    of the tissues from the animals fed 50 mg/kg/day, sacrificed after 30
    and 45 days on the recovery ration, showed no evidence of any residual
    pathological effects (McCollister et al., 1959).

    Dog. One female dog per dosage level was fed 10, 30, 100 and 300 ppm
    fenchlorphos in the diet for 12 months. All dogs were normal in
    behaviour, appetite and growth. Haematological findings, final body
    and organ weights and terminal blood urea nitrogen values showed no
    significant deviations from the control. Microscopic examination of
    all major organs revealed no evidence of detrimental effects
    attributable to the test compound. However, the general pattern of
    cholinesterase measurements indicated no significant changes in plasma
    or red blood cell cholinesterase activity in the dogs that received
    the equivalent of the 10, 30 or 100 ppm of fenchlorphos in their diet,
    although there was significant depression at higher levels
    (McCollister et al., 1959).

    In another study, groups of dogs (four of each sex) were fed
    fenchlorphos in their diet twice daily, six days a week for two years
    at dosage levels of 1, 3 or 10 mg/kg/day. No evidence of adverse
    effect was seen as judged by body-weight gain, food intake, general
    appearances and behaviour, routine clinical laboratory investigations,

    organ weight analysis, gross and microscopic examination of the
    tissues, and brain or red cell cholinesterase activity. Plasma
    cholinesterase activity in the dogs receiving 10 mg/kg/day was
    consistently significantly below that of the controls. The depression
    at the 3 mg/kg/day dosage was significant on only 50 per cent of the
    occasions tested, and only very rarely in the dogs fed 1 mg/kg/day.
    The over-all average of plasma cholinesterase activity measurements
    for the dogs fed the 3 mg/kg/day dose level was 82 per cent of the
    pre-treatment control activity (Noel et al., 1965).

    Long-term studies

    Rat. Groups of rats each containing 10 or 15 males and 10 or 15
    females were fed diets containing 0.5, 1.5, 5, 15 and 50 mg/kg/day of
    fenchlorphos for periods up to two years. All groups appeared normal
    in general appearance and behaviour. Growth curves, mortality records,
    haematological data, food consumption and organ weights showed no
    significant differences from the control groups. In the rats fed 50
    mg/kg/day histological examination of both sexes revealed central
    lobular, granular degeneration and some necrosis of the parenchymal
    cells in the liver, and evidence of cloudy swelling of tubular
    epithelium in the kidneys together with interstitial nephritis. No
    gross or histological abnormalities were observed in the rats fed dose
    levels below 50 mg/kg/day. After two years no significant inhibition
    of red blood cell or brain cholinesterase was observed in rats of
    either sex receiving fenchlorphos at levels of 5 mg/kg/day or lower.
    Male rats were more sensitive to plasma cholinesterase inhibition than
    wore females, the no-effect levels being 5 mg/kg/day and 0.5 mg/kg/day
    respectively (McCollister et al., 1959).

    Special studies

    (a) Reproduction

    Groups of eight male and 16 female rats were maintained on diets
    containing 100 or 300 ppm of fenchlorphos through three generations
    with two litters per generation. Fertility, reproduction and lactation
    were normal as judged by indices of fertility, gestation, viability
    and lactation, body-weight records and teratological examination of
    foetuses. A similar group of rats maintained at a level of 1000 ppm
    through three generations showed no significant effects except for the
    viability and lactation indices in the F1b and F2b generations, and
    slightly depressed average body-weights. All three dietary
    concentrations lowered plasma cholinesterase activity. Red cell
    cholinesterase was not depressed at the 100 ppm dietary level;
    however, depression was seen at the 300 and 1000 ppm dietary levels
    (McCollister et al., 1967).

    (b) Potentiation

    Single oral dosages of fenchlorphos were administered jointly to rats
    with 10 other commercial organo-phosphorus insecticides. No
    significant potentiation problem was seen for such combinations under
    ordinary conditions of field application and use of fenchlorphos
    (McCollister et al., 1959). Dietary combinations of fenchlorphos (100
    ppm) with EPN (20 or 70 ppm) or malathion (100 ppm) fed to dogs for 10
    weeks produced additive or less than additive red blood cell or plasma
    cholinesterase inhibition effects (Keller, 1961).

    (c) Neurotoxicity

    Nineteen mature hens were given intraperitoneal injections of either
    2000 or 3000 mg/kg of fenchlorphos dissolved in diethyl succinate. The
    surviving hens (10 of the 16 given 3000 mg/kg) showed no neurotoxic
    effects within the 90-day observation period following treatment
    (Hymas, 1961).

    (d) Studies on the metabolite, 2,4,5-trichlorophenol

    Groups of young male and female rats were fed dietary levels of 100,
    300, 1000, 3000 and 10 000 ppm of 2,4,5-trichlorophenol for 98 days.
    Records were kept concerning appearance, behaviour, mortality, food
    consumption, body and organ weights and terminal haematological tests
    (urea nitrogen, leucocyte counts, haematocrits and haemoglobin
    values). No evidence of adverse effects was noted at the 1000 ppm
    levels or less. At 3000 and 10 000 ppm the rats showed diuresis and
    slight pathological changes of the kidney and liver, and at the 10 000
    ppm level there was a slight decrease in growth (McCollister et al.,
    1961).

    Observations in man

    Twenty human subjects were fed varying amounts of fenchlorphos in 250
    mg portions over a period of three to seven days. Ten of these
    volunteers received a total of 2500 mg each over three days, for an
    average of about 11.9 mg/kg/day. Seven individuals discontinued the
    treatment at the end of three days because of side effects which
    included sporadic abdominal cramps, anorexia, blurred vision,
    diarrhoea, headache, heartburn, malaise, nausea and weakness. The
    three remaining individuals, who suffered no symptoms, received a
    total of 9500 mg each over seven days, for an average of 19.4
    mg/kg/day. Red blood cell cholinesterase depression and marked plasma
    cholinesterase depression occurred in the latter three cases after 72

    hours, one and two weeks. In another test, 10 persons received a total
    of 3000 mg each over four days for an average of 10.7 mg/kg/day with
    no symptoms related to the treatment. Another group of nine
    individuals under treatment for schistosomiasis received the 10.7
    mg/kg/day for 14 days without any effect on red blood cell
    cholinesterase. Plasma cholinesterase was reduced in both tests,
    markedly in eight of them after 72 hours. No other clinical signs or
    symptoms of toxicity due to the treatments were seen in
    haematological, liver function and urinalysis tests (Gould, 1961;
    Slomka, 1964).

    Comments

    On the basis of many short- and long-term experiments on animals
    including reproduction studies, the tolerability of relatively high
    doses is evident without ascertaining any irreversible changes in the
    organism. These data confirm experience from medical treatment of
    humans. An additive effect with some organo-phosphorus compounds was
    reported. Possible effect on aliesterase activity was not followed up.
    For the present the most sensitive reported effect from oral doses of
    fenchlorphos is the inhibition of cholinesterase activity. The
    no-effect level for red blood cell cholinesterase inhibition in dogs
    and rats is 3-5 mg/kg/day, for plasma cholinesterase inhibition it
    varies from 0.5-5 mg/kg/day. The data from human volunteers are
    inadequate.

    TOXICOLOGICAL EVALUATION

    Levels causing no significant toxicological effect

         Rat: 0.5 mg/kg per day;
         Dog: 1 mg/kg per day.

    Estimate of acceptable daily intake for man

         0-0.01 mg/kg body-weight.

    RESIDUES IN FOOD AND THEIR EVALUATION

    Use pattern

    Fenchlorphos is used to control ectoparasites, such as horn-flies,
    screw-worms, ticks, fleece-worms (fly strike), lice and sheep keds of
    livestock (swine, cattle, sheep). Premises such as farm buildings,
    food processing plants, restaurants, supermarkets, food-packing

    plants, dwellings, yards, parks and outdoor areas are treated with
    fenchlorphos for control of flies, mosquitos, roaches, bed-bugs,
    silverfish, fleas, ticks, spiders and ants. Applications are made in
    the form of sprays, "pour-ons", dips, dusts, aerosols, cattle
    backrubbers, oral drenches, smears and baits (Anon., 1967). Sprays are
    used at one-half to two per cent fenchlorphos for buildings and
    yards, wetting them sufficiently to result in a dose of approximately
    216-864 mg/m2 of surface area. Coverage of livestock with
    three-quarter per cent spray or less results in doses of less than 25
    mg/kg of body-weight. The Dow Chemical Co. is preparing new
    recommendations for withdrawal intervals between treatment and
    slaughter for cattle, sheep and goats. At present, withdrawal periods
    range from two to 12 weeks between last treatment and slaughter. Beef
    cattle and dairy heifers are fed insecticide mineral blocks or
    granules containing 5.5 per cent fenchlorphos for the control of horn
    flies and cattle grubs. Cattle grub control is also obtained by
    feeding cattle for seven consecutive days on food treated with 0.6 per
    cent fenchlorphos (18 mg/kg/day).

    The registered uses for fenchlorphos in the United States of America
    are given in Anon. (1966, 1968). The registered plant uses of
    fenchlorphos are for most fruit and vegetables in the Netherlands and
    for bananas in the United States of America and Canada.

    Residues resulting from supervised trials

    Residues of fenchlorphos accumulate to a high degree in the fat of
    animals and tend to be retained there. Most residue data were
    therefore determined in the fat (Plapp and Casida, 1958; Ivey et al.,
    1967). It has not been determined whether the oxygen analogue is
    similarly stored. Several studies, utilizing cholinesterase inhibition
    for analysis, indicated that appreciable residues of the oxygen
    analogue did not occur. Verification of this point with modern
    instrumentation (glc) would be desirable.

    Residues from typical supervised trials are summarized in the
    following table:


                                                                                                                    
                                 Dosage         No. or duration     Days after      Residues
    Treatment      Animal        active              of               last             in          Reference
                               ingredient         treatments        treatment      tissue* ppm
                                                                                                                
    Spray          Cattle      1%, 1 gal              1                 7          3.0-7.5  )
                                                                                   fat      )
                                                                                            >      Anon., 1959
                                                                       14          0.66-1.6 )
                                                                                   fat      )

    Tip-spray      Sheep       0.4%, 600 ml           1                 7          0.35 fat )
                                                                                            >      Miller, 1965
                                                                       14          0.04 fat )

    Back-rubber    Cattle      1 or 2%          for 28 days            14          0.0 fat,        Ivey et al.,
                                                                                   int.            1967
                                                                                   organs

    Pour-on        Calf        4 oz. 5%         5 times                 7          0.23-0.45)      Dishburger
                               formulation      3 week                             fat      )      et al., 1966
                               each time        intervals              14          0.0-0.21 )
                                                                                   fat      )
                                                                       21          0.0-0.04 )
                                                                                   fat

    Dip            Sheep       0.5%             3 times,               28          5.7 fat  )
                                                2 week                                      >      Anon., 1959
                                                intervals              43          1.2 fat  )
                                                

    Bedding        Pig         5%               for 28               0-14          0.0-0.03 )
                               granules         days                               fat      >      Teekell
                                                                                            )      et al., 1963

    (continued)
                                                                                                                
                                 Dosage         No. or duration     Days after      Residues
    Treatment      Animal        active              of               last             in          Reference
                               ingredient         treatments        treatment      tissue* ppm
                                                                                                                

    Litter         Hen         5% granules )                                       0.0-0.04 )      Miller, 1962;
                                           )                                       egg yolk )
                                           )    for 10-50                                   )
                               4% emulsion )    days                               0.0 egg  )      Smith at al.,
                                           )                                       white    )      1965;
                               5% dust     )                                       0.0      )      Dishburger &
                                                                                   liver,   )      Rice, 1965
                                                                                   muscle   )

    Spray          Cow         2 qts 0.5%             1                 1          0.21 milk)
                                                                        5          0.05 milk)      Claborn et al.,
                                                                       10          0.00 milk)      1965

    Oral           Cow         145 mg/kg              1                 1          0.47 milk)
                                                                        3          0.02 milk)      Leahy, 1960

    Back-rubber    Cow         2% in oil        4 times                            < 0.01 milk     Ivey et al., 1967
                                                daily for
                                                14 days

    Barn           Cow         36 mg/ft2              1                 -          0.02 milk       Leng, 1958b
                                                                                                                

    * If one figure is listed it is a maximum value.
    

    Fate of residues

    In animals

    After administration of P32-labelled fenchlorphos to a cow, the
    highest levels of radioactivity appeared in the fat, kidneys and
    lungs. In another test, 18 mg/kg/day was fed for seven days to cattle
    and the concentration in the blood fell to 0.01-0.05-ppm 72 hours
    after feeding was stopped.

    The major measurable residue occurring in significant quantities is
    fenchlorphos. Residues of the oxygen analogue, if present, appear to
    be negligible in cows (Plapp and Casida, 1958).

    Evidence of residues in food, in commerce or at consumption

    Analyses were made in 1968 by the United States Department of
    Agriculture of 149 tissue samples from slaughter houses located in
    Louisiana, Texas, Oklahoma, Indiana and Nebraska (Stewart,1968). From
    0.01-0.10 ppm of fenchlorphos was found in only four of the samples. A
    level of 0.25 ppm in tissues was used as the working tolerance
    limitation for organo-phosphorus insecticides.

    In total diet studies conducted by the United States Food and Drug
    Administration between June 1964 and June 1968 on 104 composites in
    each of four food classes, only trace amounts (trace = <0.0005 ppm)
    were found in about one per cent of the composites (Duggan. 1968).

    Methods of residue analysis

    (For key to metabolite numerals, see above chart)

    Enzymatic inhibition

    Although fenchlorphos is a poor inhibitor of cholinesterase in
    vitro, it can be converted by treatment with bromine into the oxygen
    analogue which is a potent cholinesterase inhibitor. Metabolites I,
    III, IV and VII are poor inhibitors of fly head cholinesterase using
    the colorimetric method described by Ellman et al. (1961). Presumably,
    metabolites II, VI, VIII and IX are also poor inhibitors.

    Analytical methods based on the high sensitivity of the manometric
    measurement of cholinesterase inhibition of the oxygen analogue were
    used to detect residues of fenchlorphos. Sensitivities ranged from
    0.005-0.5 ppm in analyses of milk, fat, blood, egg white and egg yolk.
    Beam and Hankinson (1964) have described a colorimetric cholinesterase
    inhibition assay for fenchlorphos and other pesticides in milk. A
    variety of other esterase methods for fenchlorphos, some utilizing
    paper or thin-layer chromatography, have also been reported (McKinley

    and Read, 1962; McKinley and Johal, 1963; Coffin and Savary, 1964;
    el-Refai and Hopkins, 1965). While some of these methods of analysis
    are very sensitive to fenchlorphos and its oxygen analogue, they are
    not suitable for routine regulatory purposes.

    2,4,5-Trichlorophenol colorimetric detection method

    Fenchlorphos can be determined by hydrolysis to the
    2,4,5-trichlorophenol moiety, which is in turn analysed by the
    4-aminoantipyrine colorimetric method. The method, with various
    modifications, has a sensitivity of 0.02-0.1 ppm in pea pods, pea
    vines, peas, tomatoes, bananas and in body tissues of sheep and cattle
    (Duggan et al., 1967; Claborn and Ivey, 1964).

    Tapernoux and Magat (1963) have described a method based on
    ultra-violet spectrometry of the phenol for residues of fenchlorphos
    in beef, meat and fat. Most colorimetric methods for fenchlorphos do
    not distinguish between the phenol (III) and the parent compound and
    give, therefore, a maximum limit rather than an actual quantity.

    Gas chromatographic methods

    A gas chromatographic method of analysis for fenchlorphos appears to
    be the method of choice based on accuracy, specificity, sensitivity
    and speed. Gas chromatographic methods utilizing a large variety of
    detectors (micro-coulometric, electron-capture, thermionic, flame
    photometric, microwave-powered emission) for the determination of
    fenchlorphos in many foods have been described (Bache and Lisk, 1967;
    Burke and Holswade, 1964, 1966; Burke and Giuffrida, 1964; Egan et
    al., 1964; Gehrt, 1967; Horiguchi et al., 1964; Moye, 1967; Nelson,
    1966; Onley and Bertuzzi, 1966; Stevens, 1967). Sensitivities are in
    the order of 0.001-0.1 ppm.

    Gas chromatography multi-pesticide residue studies by a number of FDA
    laboratories of the United States of America, using an
    electron-capture detector (ECGC), validated a sensitivity of about
    0.01 ppm for fenchlorphos in apples, oats, cabbage, peppers, grapes,
    feed pellets, green peppers, red cabbage, rutabagas, olive oil, and
    cheese (Wells, 1967).

    Fenchlorphos residues have also been determined by use of ECGC with a
    sensitivity of 0.001 ppm in milk and 0.005 ppm in body tissues from
    cattle after proper extraction and clean-up methods. Fenchlorphos
    recoveries of 87 per cent from milk, 77 per cent from fat and 85-94
    per cent from other tissues may be obtained (Claborn and Ivey, 1965).
    Hydrolysis of fenchlorphos and its phenol metabolites may be used to
    determine the phenol. Wessel (1967, 1968) reported on a collaborative
    study of the accuracy of residue determinations for fenchlorphos added
    to lettuce and apples using the potassium chloride thermionic
    detection (KCITD) and ECGC. Average recoveries were 91-94 per cent
    with KCITD and 94-98 per cent by ECGC for residues of fenchlorphos
    added at the 0.5 ppm level to apples and the 5.0 ppm level to lettuce.

    There is little doubt that several of the methods cited may be useful
    for either regulatory or referee purposes (but only for the parent
    compound or its phenol hydrolysis product).

    The lack of a quantitative residue method to analyse for the oxygen
    analogue of fenchlorphos, which has been mentioned in metabolic
    studies, has been noted. The determination of this compound by flame
    photometric gas chromatography with virtually no clean-up can probably
    be accomplished by the general procedure described by Beroza and
    Bowman (1968); with other detectors, a clean-up would probably be
    necessary. Clean-up of milk and crude crop extracts by sweep
    co-distillation prior to determining fenchlorphos by gas
    chromatography with thermionic detection has been reported (Storherr
    and Watts, 1965; Watts and Storherr, 1967) and is undoubtedly useful
    for this purpose.

    Thin-layer chromatography

    Methods for the separation and detection of fenchlorphos and other
    organo-phosphorus insecticide residues on thin layer chromatograms
    have been described by Abbott et al. (1967), Bunyan (1964), el-Refai
    and Hopkins (1965), Fischer (1968), Kovacs (1964), Ragab (1967, 1967a)
    and Rahn and Urban (1964). Such methods can be valuable for
    confirmation of identity.

    National tolerances

                                                                

    Country                     Crop                Tolerance (ppm)
                                                                

    Canada              Bananas (peel)                  0.5

    Netherlands         Fruit, vegetables (except
                        potatoes), unprocessed
                        cereals, unsifted flour         0.4

    United States of    Bananas (peel)                  0.5
    America
                                                                

    Fenchlorphos is currently registered for use on a "no residue" basis
    for animal applications and/or building pest control operations in the
    following areas:

    United States       Japan               United Kingdom of
     of America         Korea                 Great Britain and
    Canada              Australia             Northern Ireland
    Argentina           New Zealand         Germany
    Brazil              Italy               Switzerland

    Uruguay             France              Union of South Africa
    India               Finland             Algeria
    Republic of         Sweden              Ivory Coast
     China (Taiwan)     Netherlands         Jordan
    Malaysia            Spain               Israel
    Viet-Nam            Portugal            Turkey

    RECOMMENDATIONS FOR TOLERANCES AND PRACTICAL RESIDUE LIMITS

    Appraisal

    This compound is used in many countries to control ectoparasites of
    livestock; it is fed to animals, applied externally, and used on
    premises. At present its application on plants is very limited, and
    adequate residue data and use patterns were not available for study
    for the purpose of recommending tolerances for raw agricultural
    plant products.

    Residues resulting from animal treatment consist essentially of
    fenchlorphos although there may be some oxygen analogue and its
    phenolic hydrolysis product present. Good agricultural practice
    results in residues for which a 7.5 ppm tolerance of fenchlorphos in
    the fat of meat is required. This residue is well within limits set by
    the acceptable daily intake (0.01 mg/kg) because fat of meat comprises
    a small fraction of the total diet.

    Residues in milk diminished to about 0.02 ppm three or four days after
    dosing dairy cow at rates of intake higher than normal.

    Yolk of eggs from treated hens (dust or emulsifiable concentrate)
    contained as much as 0.04 ppm of the insecticide.

    Residues of fenchlorphos were not found in appreciable amount in
    cattle tissues from slaughter houses and in total diet studies in the
    United States of America.

    Published gas-liquid chromatography methods of determining residues of
    fenchlorphos appear to be adequate for regulatory purposes. One of
    these should be selected for regulatory purposes and one should be
    evaluated as a referee method.

    Residue data are available only from the United States of America and
    the United Kingdom. Use pattern and residue data from other countries
    have not been submitted.

    Recommendations

    Temporary tolerances

    The following temporary tolerances, to be in effect until 1972, are to
    apply to raw agricultural products moving in commerce unless otherwise
    indicated. In the case of fruit and vegetables the tolerances should

    be applied as soon as practicable after harvest and in any event prior
    to actual retail to the public. In the case of commodities entering
    international trade, the tolerances should be applied by the importing
    country at the point of entry or as soon as practicable thereafter.

         Meat (on fat basis, at slaughter)            7.5 ppm
         Yolk of eggs                                 0.05 ppm
         Whole milk                                   0.04 ppm

    The above tolerances include the oxygen analogue. In the case of
    commodities entering international trade, the tolerances should be
    applied by the importing country at the point of entry or as soon as
    practicable thereafter.

    Further work or information

    Required before 30 June 1972:

    1. If use of the compound is to be extended to fruit and vegetables,
       data from several countries on the required rates and frequencies of
       application, pre-harvest intervals, and the resultant residues.

    2. Data from several countries other than the United States of America
       and the United Kingdom on animal use patterns and resultant residues.

    3. Data on residue levels in raw agricultural products moving in
       commerce.

    4. Data from countries other than the United States of America on
       residue levels found in total diet studies.

    5. Comparative evaluation of methods of analysis for regulatory
       purposes.

    Desirable:

    1. Collaborative studies to establish a referee method.

    2. Estimation of effect on aliesterase activity in animals and man.

    3. Determination of no-effect level with respect to cholinesterase
       activity in man.

    4. Data on the fate of the trichlorophenol metabolite.

    5. More adequate human data.

    REFERENCES

    Abbot, D. C., Burridge, A. S., Thomson, J. and Webb K. S. (1967) A 
    thin-layer chromatographic screening test for organophosphorus
    pesticide residues. Analyst, 92: 170-175

    Anon. (1959) Residue data in support of application of KORLAN(R) for
    use on livestock. The Dow Chemical Company, Midland, Michigan.
    Unpublished report

    Anon. (1966) Ronnel, U.S.D.A. Summary of registered agricultural
    pesticide chemical uses. Issued October 1, 1966. Washington, D.C.

    Anon. (1967) Suggested guide for the use of insecticides to control 
    insects affecting crops, livestock, households, stored products,
    forests and forest products, 1967. Agr. Handbook No. 331, U.S.D.A.,
    Supt. of Documents, U.S. Government Printing Office, Washington, D.C.
    20402

    Anon. (1968) Technical Information Bulletin. 1968 registered livestock
    and household uses for Ronnel and registered livestock uses for
    "RUELENE". The Dow Chemical Company, Midland, Michigan 48640

    Bache, C. A. and Lisk, D. J. (1967) Selective residue determination of
    sulfur-, halogen- and phosphorus-containing pesticides by
    helium-plasma emission spectrometry. J. Ass. Offic. Anal. Chem., 50:
    1246-1250

    Beam, J. E. and Hankinson, D. J. (1964) Application of the
    acetyl-cholinesterase inhibition method for detecting organophosphate
    residues and elated compounds in milk. J. Dairy Sci., 47: 1297-1305

    Beroza, M. and Bowman, M. C. (1968) Gas chromatography of pesticide 
    residues containing phosphorus or sulfur with the flame photometric
    detector. Environmental Sci. Technol., 2: 450-457

    Brody, S. S. and Chaney, J. E. (1966) Flame photometric detector. The
    application of a specific detector for phosphorus and for sulfur
    compounds sensitive to subnanogram quantities. J. Gas Chromatogr.,
    4: 42-46

    Bunyan, P. J. (1964) The detection of organo-phosphorus pesticides on
    thin-layer chromatograms. Analyst, 89: 615-618

    Burke, J. and Giuffrida, L. (1964) Investigations of electron capture 
    gas chromatography for analysis of multiple chlorinated pesticide
    residues in vegetables. J. Ass. Offic. Agr. Chem., 47: 326-345

    Burke, J. and Holswade, W. (1964) Gas chromatography with
    microcoulometric detection for pesticide residue analysis. J. Ass.
    Ofic. Agr. Chem., 47: 845-859

    Burke, J. A. and Holswade, W. (1966) A gas chromatographic column for 
    pesticide residue analysis: Retention times and response data. J. Ass.
    Offic. Anal. Chem., 49: 374-385

    Claborn, H. V. and Ivey, M. C. (1964) Colorimetric determination of 
    nemacide and Ronnel in animal tissues. J. Ass. Offic. Agr. Chem.,
    47: 871-875

    Claborn, H. V. and Ivey, M. C. (1965) Determination of
    0,0-dimethyl  0-2,4,5-trichlorophenyl phosphorothioate in animal
    tissues and milk. J. Agr. Food Chem., 13: 353-354

    Claborn, H. V., Mann, H. D., Berry, I. L. and Hoffman, R. A. (1965)
    Comparisons of residues in milk resulting from two types of spray
    applications of DDT, Shell compound 4072 and Ronnel. J. Econ.
    Entomol., 58:922-923

    Coffin, D. E. and Savary, G. (1964) Procedure for extraction and
    clean-up of plant material prior to determination of organophosphate
    residues. J. Ass. Offic. Agr. Chem., 47: 875-881

    Dishburger, H. J. and Rice, J. R. (1965) Residue analysis for Ronnel 
    in tissues from chickens confined on litter treated with KORLAN(R).
    The Dow Chemical Company, Lake Jackson, Texas. Unpublished report

    Dishburger, H. J., Rice, J. R. and Muniza, R. A. (1966) Ronnel
    residues in the fat of cattle following multiple pour-on applications
    of KORLAN(R). The Dow Chemical Company, Lake Jackson, Texas.
    Unpublished report

    Duggan, R. E. (1968) U.S. Dept. of Health, Education and Welfare, Food 
    and Drug Administration, Washington, D.C. Private communication

    Duggan, R. E., Barry, H. C., Johnson, L. Y. and Williams, S. (1967)
    Pesticide Analytical Manual, vol. II. Methods for individual pesticide
    residues (Ronnel). U.S. Dept. of Health, Education and Welfare, Food
    and Drug Administration, Washington, D.C. (July, 1967 revision)

    Egan, H., Hammond, E. W. and Thomson, J. (1964) The analysis of
    organo-phosphorus pesticide residues by gas chromatography. Analyst,
    89: 175-178

    Ellman, G. L., Courtney, D. K., Andres, Jr, V., Featherstone, R.M.
    (1961) A new and rapid colorimetric determination of acetyl-
    cholinesterase activity. Biochem. Pharmacol., 7: 88-95

    el-Refai, A., and Hopkins, T. L. (1965) Thin-layer chromatography and 
    cholinesterase detection of several phosphorothiono insecticides and
    their oxygen analogs. J. Agr. Food Chem., 13: 477-481

    Fischer, R. (1968) Identification and quantitative estimation of 
    organophosphorus insecticides in biological material. III. Arch.
    Toxicol., 23: 129-135

    Gaines, T. B. (1960) The acute toxicity of pesticides to rats.
    Toxicol. appl. Pharmacol., 2: 88-99

    Gehrt, A. J. (1967) Ultraviolet spectrophotometric and gas
    chromatographic methods for Ronnel in feeds. J. Ass. Offic. Anal.
    Chem., 50: 257-261

    Gould, A. H. (1961) Human volunteer tests concerning the oral toxicity 
    of Ronnel. Arnold H. Gould, M.D., Washington D.C. Unpublished report

    Horiguchi, M., Ishida, M. and Higosaki, N. (1964) Determination of
    some organophosphorus insecticides by gas-liquid partition
    chromatography. Chem. Pharm. Bull. (Tokyo), 12:(11), 1315-1319

    Hymas, T. A. (1961) Checking Ronnel for neurotoxic effect in 20-month
    old hens. To G. E. Lynn, The Dow Chemical Co. Unpublished report

    Ivey, M. C., Eschle, J. L., Claborn, H. V. and Graham, O. H. (1967)
    Ronnel residues in the meat and milk of cattle exposed to
    Ronnel-impregnated backrubber used for horn-fly control. J. Econ.
    Entomol., 60: 712-716

    Keller, J. G. (1961) Ten-week dietary feeding. Dogs. (Potentiation
    study) Final report revised. Hazleton Laboratories Inc. Unpublished
    report

    Kovacs, M. F. (1964) Thin-layer chromatography for organo
    thiophosphate pesticide residue determination

    Leahy, J. S. (1960) Determination of the rate of excretion of
    0,0-dimethyl 0-2,4,5-trichlorophenyl phosphorothioate in cows
    milk following oral administration of Ronnel. Nutritional Research
    Unit, Huntingdon, England. Unpublished report

    Leng, M. L. (1958a) Cholinesterase inhibitory power of various Ronnel 
    metabolites. The Dow Chemical Co. Unpublished report

    Leng, M. L. (1958b) Ultramicrodetermination of 0,0-dimethyl
    0-2,4,5-trichlorophenyl phosphorothioate and its phosphate analogue
    in milk. The Dow Chemical Company, Midland, Michigan. Unpublished
    report

    McCollister, D. D., Oyen, F. and Rows, V. K. (1959) Toxicological
    studies of 0,0-dimethyl-0-(2,4,5-trichlorophenyl) phosphorothioate
    (Ronnel) in laboratory animals. J. Agr. Food Chem., 7: 689-693

    McCollister, D. D., Lockwood, D. T. and Rowe, V. K. (1961) Toxicologic
    information on 2,4,5-trichlorophenol. Toxicol. appl. Pharmacol., 3:
    63-70

    McCollister, D. D., Copeland, J. R. and Oyen, F. (1967) Results of 
    fertility and reproduction studies in rats maintained on diets
    containing Ronnel. The Dow Chemical Co. Unpublished report

    McKinley, W. P. and Johal, P. S. (1963) Esterase inhibition technique
    for the detection of organophosphorus pesticides, II. Simplified
    version for routine checking. J. Ass Offic. Agr. Chem., 46: 840-842

    McKinley, W. P. and Read, S. I. (1962) Esterase inhibition technique
    for the detection of organophosphorus pesticides. J. Ass. Offic. Agr.
    Chem., 45: 467-473

    Menzie, C. (1966) Metabolism of pesticides. Wildlife No. 96, Fish and 
    Wildlife Service, U.S. Dept. of Interior, pages 167-169

    Millar, K. R. (1965) Residues in tissues of sheep following dosing and 
    tip spraying with 32P-labelled Ronnel. New Zealand J. Agric. Res.,
    8: 302-312

    Miller, P. W. (1962) Ronnel in eggs from chickens treated with various 
    applications of KORLAN(R). The Dow Chemical Company, Midland,
    Michigan. Unpublished report.

    Moye, H. A. (1962) An improved microwave emission gas chromatography 
    detector for pesticide residue analysis. Anal. Chem., 39: 1441-1445

    Nelson, R. C. (1966) Screening procedure for organothiophosphate
    pesticide residues on fruits and vegetables by micro-coulometric gas
    chromatography. J. Ass. Offic. Anal. Chem. 49: 763-765

    Noel, P. R., Mawdesley-Thomas, L. E., Chesterman, H., Jolly, D.  and
    Street, A. E. (1965) Ronnel. Chronic toxicity study in the dog. Final
    report. Huntingdon Research Centre. Unpublished report

    Onley, J. H. and Bertuzzi, P. F. (1966) Rapid extraction procedure for
    chlorinated pesticide residues in raw animal tissues and fat and meat
    products. J. Ass. Offic. Anal. Chem., 49: 370-374

    Plapp, F. W. and Casida, J. E. (1958a) Bovine Metabolism of
    organophosphorus insecticides, metabolic fate of 0,0-dimethyl
    0-(2,4,5-trichlorophenyl) phosphorothioate in rats and a cow. 
    J. Agr. Food Chem., 6: 662-667

    Plapp, F. W. and Casida, J. E. (1958b) Hydrolysis of the
    alkyl-phosphate bond in certain dialkyl aryl phosphorothioate
    insecticides by rats, cockroaches and alkali, J. Econ. Entomol., 51:
    800-803

    Ragab, M. T. H. (1967) Direct fluorescent detection of
    organothiophosphorus pesticides and some of their sulfur-containing
    breakdown products after thin-layer chromatography. J. Ass. Offic.
    Anal. Chem., 50: 1088-1098

    Ragab, M. T. H. (1967a) 4-(p-nitrobenzyl) pyridine as a spray
    reagent  for organophosphorus pesticides and some of their breakdown
    products on thin-layer chromatograms. Bull. environmtl. Contamination
    Toxicol., 2: 279-288

    Rahn, H. W. and Urban, G. (1964) Detection of insecticidal phosphoric 
    acid esters and their hydrolytic cleavage products. Pharmazie, 19:
    597-602

    Slokma, M. B. (1964) Toxicity of Ronnel with special reference to 
    humans. Pitman-Moore Research Center, The Dow Chemical Co. Unpublished
    report

    Smith, C. T., Shaw, F. R., Anderson, D. L., Callahan, R. A. and 
    Ziener, W. H. (1965) Ronnel residues in eggs of poultry. J. Econ.
    Entomol., 58: 1160-1161

    Smith, G. N. (1968) Cholinesterase inhibition of fenchlorphos and 
    metabolites. The Dow Chemical Co. Unpublished report

    Stevens, R. K. (1967) A rapid specific method for the gas
    chromatographic determination of organophosphate pesticides in cold
    pressed citrus oil. J. Ass. Offic. Anal. Chem., 50: 1236-1242

    Stewart, J. H. (1968) U.S. Department of Agriculture, Washington, D.C. 
    Private communication

    Storherr, R. W. and Watts, R. R. (1965) A sweep codistillation cleanup
    method for organophosphate pesticides. J. Ass. Offic. Agr. Chem.,
    48: 11-54-58

    Tapernoux, A. and Magat, A. (1963) Analysis of beef meat and fat for 
    residues of Ronnel, an organophosphate used in the treatment of bovine
    hypodermosis. Ann. Fals. Expert. Chim., 56: (658) 266-270

    Teekell, R. A., Rice, J. R. and McGregor, W. S. (1963) Ronnel residues 
    in  pig fat after being on litter treated with KORLAN(R) insecticide
    granules. The Dow Chemical Company, Lake Jackson, Texas. Unpublished
    report.

    Watts, R. R. and Storherr, R. W. (1967) Sweep codistillation clean-up 
    for milk for determination of organophosphate and chlorinated
    hydrocarbon pesticides. J. Ass. Offic. Anal. Chem., 50: 581-585

    Wells, C. E. (1967) Validation study of a method for pesticide 
    residues in foods and animal feeds. J. Ass. Offic. Anal. Chem., 50:
    1205-1215

    Wessel, J. R. (1967) Collaborative study of a method for multiple 
    organophosphorus pesticides in non-fatty foods. J. Ass. Offic. Anal.
    Chem., 50: 430-439

    Wessel, J. R. (1968) Collaborative study of three gas chromatographic
    dual detection systems for analysis of multiple chlorinated and
    organophosphorus pesticides. J. Ass. Offic. Anal. Chem., 51: 666-675
    


    See Also:
       Toxicological Abbreviations
       Fenchlorphos (ICSC)
       Fenchlorphos (Pesticide residues in food: 1983 evaluations)