First draft prepared by
Dr P.J. Abbott
Australia–New Zealand Food Authority, Canberra, Australia
|
Application of the Procedure for the Safety Evaluation of Flavouring Agents |
|
Short-term studies of toxicity and long-term studies of toxicity and carcinogenicity |
The Committee evaluated a group of 15 furfuryl derivatives (Table 1) by the Procedure for the Safety Evaluation of Flavouring agents. The group comprises the parent furfuryl alcohol, the corresponding aldehyde, furfural, five esters formed from furfuryl alcohol and simple aliphatic carboxylic acids, five esters formed from simple aliphatic alcohols and furoic acid, and three structurally related furfuryl derivatives (5-methylfurfural, 2-benzofurancarboxaldehyde, and 2-phenyl-3-carbethoxyfuran). These flavouring agents were grouped on the basis of the criterion that all are hydrolysed and/or metabolized to furoic acid or a substituted furoic acid.
Table 1. Summary of the results of the safety evaluation of furfuryl alcohol and 14 related flavouring agentsa
|
Flavouring agent |
No. |
CAS No. and structure |
Step B3b |
Step B4 |
Conclusion based on current intake |
|
Structural class II |
|||||
|
Furfuryl alcoholc |
451 |
98-00-0 ![]() |
No |
Yes. The NOEL of 53 mg/kg bw per day for the related substance, furfural (Jonker, 2000), is > 10 000 times the estimated daily intake of furfuryl alcohol when used as a flavouring agent. |
No safety concern |
|
Furfuryl acetatec |
739 |
623-17-6 ![]() |
No |
Yes. The NOEL of 53 mg/kg bw per day for the related substance, furfural (Jonker, 2000), is > 100 000 times the estimated daily intake of furfuryl acetate when used as a flavouring agent. |
No safety concern |
|
Furfuryl propionatec |
740 |
623-19-8 ![]() |
No |
Yes. The NOEL of 53 mg/kg bw per day for the related substance, furfural (Jonker, 2000), is > 100 000 times the estimated daily intake of furfuryl propionate when used as a flavouring agent. |
No safety concern |
|
Furfuryl pentanoatec |
741 |
36701-01-6 ![]() |
No |
Yes. The NOEL of 53 mg/kg bw per day for the related substance, furfural (Jonker, 2000), is > 100 000 times the estimated daily intake of furfuryl pentanoate when used as a flavouring agent. |
No safety concern |
|
Furfuryl 3-methyl- butanoatec |
743 |
13678-60-9 ![]() |
No |
Yes. The NOEL of 53 mg/kg bw per day for the related substance, furfural (Jonker, 2000), the related substance, furfural (Jonker, 2000), furfuryl 3-methylbutanoate when used as a flavouring agent. |
No safety concern |
|
Furfuralc |
450 |
98-01-1 ![]() |
No |
Yes. The NOEL of 53 mg/kg bw per day (Jonker, 2000) is > 1000 times the estimated daily intake of furfural when used as a flavouring agent. |
No safety concern |
|
5-Methylfurfural |
745 |
620-02-0 ![]() |
No |
Yes. The NOEL of 53 mg/kg bw per day for the related substance, furfural (Jonker, 2000), is > 10 000 times the estimated daily intake of 5-methylfurfural when used as a flavouring agent. |
No safety concern |
|
Methyl-2-furoatec |
746 |
611-13-2 ![]() |
No |
Yes. The NOEL of 53 mg/kg bw per day for the related substance, furfural (Jonker, 2000), is > 10 000 times the estimated daily intake of methyl 2-furoate when used as a flavouring agent. |
No safety concern |
|
Propyl 2-furoatec |
747 |
615-10-1 ![]() |
No |
Yes. The NOEL of 53 mg/kg bw per day for the related substance, furfural (Jonker, 2000), is > 10 million times the estimated daily intake of propyl 2-furoate when used as a flavouring agent. |
No safety concern |
|
Structural class III |
|||||
|
Furfuryl octanoatec |
742 |
39252-03-4 ![]() |
No |
Yes. The NOEL of 53 mg/kg bw per day for the related substance, furfural (Jonker, 2000), is > 1 000 000 times the estimated daily intake of furfuryl octanoate when used as a flavouring agent. |
No safety concern |
|
Amyl 2-furoatec |
748 |
1334-82-3 ![]() |
No |
Yes. The NOEL of 53 mg/kg bw per day for the related substance, furfural (Jonker, 2000), is > 10 million times the estimated daily intake of amyl 2-furoate when used as a flavouring agent. |
No safety concern |
|
Hexyl 2-furoatec |
749 |
39251-86-0 ![]() |
No |
Yes. The NOEL of 53 mg/kg bw per day for the related substance, furfural (Jonker, 2000), is > 10 million times the estimated daily intake of hexyl 2-furoate when used as a flavouring agent. |
No safety concern |
|
Octyl 2-furoatec |
750 |
39251-88-2 ![]() |
No |
Yes. The NOEL of 53 mg/kg bw per day for the related substance, furfural (Jonker, 2000), is > 1 000 000 times the estimated daily intake of octyl 2-furoate when used as a flavouring agent. |
No safety concern |
|
2-Benzofurancarbox-aldehyde |
751 |
4265-16-1 ![]() |
No |
Yes. The NOEL of 25 mg/kg bw per day (Posternak et al., 1969) is > 100 million times the estimated daily intake of 2-benzofuran- carboxaldehyde when used as a flavouring agent. |
No safety concern |
|
2-Phenyl-3-carbeth- oxyfuran |
752 |
50626-02-3 ![]() |
No |
Yes. The NOEL of 13 mg/kg bw per day (Posternak et al., 1969) is > 400 times the estimated daily intake of 2-phenyl-3-carbeth- oxyfuran when used as a flavouring substance. |
No safety concern |
CAS: Chemical Abstracts Service; N/D: no intake data reported
a
Step 2: None of the substances in this group is expected to be metabolized to innocuous products.b
The thresholds for human intake for classes II and III are 540 µg/day and 90 µg/day, respectively. All intake values are expressed in µg/day.c
A group ADI of 0–0.5 mg/kg bw was established by the Committee at its present meeting for furfural, furfuryl alcohol, furfuryl acetate, furfuryl propionate, furfuryl pentanoate, furfuryl octanoate, furfuryl 3-methylbutanoate, methyl 2-furoate, propyl 2-furoate, amyl 2-furoate, hexyl 2-furoate, and octyl 2-furoate (see monograph addendum on furfural, p. 1).The Committee has evaluated only one member of this group previously, namely furfural (No. 450). Furfural was considered by the Committee at its thirty-ninth and fifty-first meetings (Annex 1, references 101 and 137), but no ADI was established. At its present meeting, the Committee established a group ADI of 0–0.5 mg/kg bw for furfural, furfuryl alcohol, and a number of derivatives of furfuryl alcohol and furoic acid on the basis of a NOEL of 53 mg/kg bw per day in a 13-week study in rats given furfural, with a safety factor of 100 (see monograph addendum on furfural, p. 3).
Seven of the 15 substances have been detected as natural components of foods (Maarse et al., 1994, 1996) including roasted coffee, beer, milk, roasted almonds, white bread, and whisky.
The total annual volume of production of the 15 substances in this group was reported to be 6600 kg in Europe (International Organization of the Flavor Industry, 1995) and 4500 kg in the USA National Academy of Science, 1989; (Lucas et al., 1999). These values are equivalent to total daily per capita intakes of 940 µg in Europe and 590 µg in the USA. Furfural accounted for approximately 55% of the total per capita intake in Europe (520 µg/day) and 77% of that in the USA (460 µg/day). The annual volumes of use and estimated per capita intake of furfuryl alcohol and 14 related substances are shown in Table 2.
Table 2. Annual volume and estimated per capita intake of furfuryl alcohol and related substances in Europe and the United Statesa
|
Substance (No.) |
Most recent annual volume (kg)a |
Intakeb |
Consumption ratioc |
|
|
µg/day |
µg/kg bw per day |
|||
|
Furfuryl alcohol (451) |
|
|
3800 |
|
|
Europe |
1438 |
210 |
3 |
|
|
USA |
186 |
24 |
0.4 |
|
|
Furfuryl acetate (739) |
|
|
85 |
|
|
Europe |
129 |
18 |
0.3 |
|
|
USA |
159 |
21 |
0.3 |
|
|
Furfuryl propionate (740) |
|
|
– |
|
|
Europe |
14 |
2 |
0.03 |
|
|
USA |
37 |
5 |
0.1 |
|
|
Furfuryl pentanoate (741) |
|
|
– |
|
|
Europe |
2 |
0.3 |
0.005 |
|
|
USA |
104 |
14 |
0.2 |
|
|
Furfuryl octanoate (742) |
|
|
– |
|
|
Europe |
0.1 |
0.01 |
0.0002 |
|
|
USA |
45 |
6 |
0.1 |
|
|
Furfuryl 3-methylbutanoate (743) |
|
|
– |
|
|
Europe |
0.2 |
0.03 |
0.0005 |
|
|
USA |
10 |
1 |
0.02 |
|
|
Furfural (450) |
|
|
|
66 |
|
Europe |
3613 |
520 |
9 |
|
|
USA |
3470 |
460 |
8 |
|
|
5-Methylfurfural (745) |
|
|
750 |
|
|
Europe |
1120 |
160 |
3 |
|
|
USA |
191 |
25 |
0.4 |
|
|
Methyl-2-furoate (746) |
|
|
3 |
|
|
Europe |
243 |
35 |
0.6 |
|
|
USA |
279 |
37 |
0.6 |
|
|
Propyl 2-furoate (747) |
|
|
– |
|
|
Europe |
N/D |
N/D |
N/D |
|
|
USA |
0.5 |
0.1 |
0.001 |
|
|
Amyl 2-furoate (748) |
|
|
– |
|
|
Europe |
N/D |
N/D |
N/D |
|
|
USA |
0.5 |
0.1 |
0.001 |
|
|
Hexyl 2-furoate (749) |
|
|
– |
|
|
Europe |
N/D |
N/D |
N/D |
|
|
USA |
0.5 |
0.1 |
0.001 |
|
|
Octyl 2-furoate (750) |
|
|
– |
|
|
Europe |
18 |
3 |
0.04 |
|
|
USA |
0.5 |
0.1 |
0.001 |
|
|
2-Benzofurancarboxaldehyde (751) |
|
|
– |
|
|
Europe |
N/D |
N/D |
N/D |
|
|
USA |
0.1 |
0.01 |
0.0002 |
|
|
2-Phenyl-3-carbethoxy furan (752) |
|
|
– |
|
|
Europe |
0.1 |
0.01 |
0.0002 |
|
|
USA |
13 |
2 |
0.03 |
|
N/D, no intake data reported; –, no quantitative information available on natural occurrence in foods
a
From International Organization of the Flavour Industry (1995) and Lucas et al. (1999)b
Intake (µg/person per day) calculated as follows: [(annual volume, kg) ´ (1 ´ 109 µg/kg) / (population ´ survey correction factor ´ 365 days)], where population (10%, ‘eaters only’) = 32 ´ 106 for Europe and 26 ´ 106 for the USA. The correction factor = 0.6 for Europe and 0.8 for the USA, representing the assumption that only 60% and 80% of the annual volume of the flavour, respectively, was reported in the poundage surveys (International Organization of the Flavor Industry, 1995; Lucas et al., 1999). Intake (µg/kg bw per day) calculated as follows: [(µg/person per day)/body weight], where body weight = 60 kg. Slight variations may occur from rounding.c
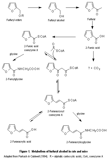
Calculated as follows: (annual consumption in food, kg)/(most recent reported volume as a flavouring agent, kg)Furfuryl esters are hydrolysed to furfuryl alcohol and the corresponding carboxylic acid. Furfuryl alcohol (No. 451) is subsequently oxidized to furfural (No. 450), which is then oxidized to 2-furoic acid. Furoate esters (Nos 746–750) are or are predicted to be hydrolysed directly to 2-furoic acid and the corresponding alcohol. Furoic acid forms a coenzyme A (CoA) thioester, which may be either metabolized to a glycine conjugate that is excreted in urine or condensed with acetyl CoA to form 2-furanacryloyl CoA, which is converted to a glycine conjugate and excreted in urine. The three remaining furfuryl derivatives (Nos 745, 751, and 752) are expected to follow similar metabolic pathways, i.e. ester hydrolysis, oxidation, and glycine conjugation, with side-chain oxidation (No. 745) or aromatic oxidation (Nos 751 and 752). In rodents, a minor pathway has been identified which involves furan ring oxidation to produce carbon dioxide and as yet unidentified metabolites.
|
Step 1. |
In applying the Procedure for the Safety Evaluation of Flavouring Agents to the above-mentioned substances, the Committee assigned nine of the 15 substances (Nos 450, 451, 739–741, 743, and 745–747) to structural class II (Cramer et al., 1978). Furfuryl propionate (No. 740) was assigned to this class because it is structurally closely related to furfuryl acetate (No. 739) and furfuryl pentanoate (No. 741). The remaining six substances (Nos 742 and 748–752) were assigned to structural class III. |
|
Step 2. |
The data on the metabolism of individual members of the group were sufficient to draw conclusions about their probable metabolic fate. Most (Nos 450, 451, 739–743, and 746–750) are predicted to be metabolized to 2-furoic acid or a 2-furoic acid derivative, which is either conjugated with glycine and excreted in the urine or condensed with acetyl CoA and conjugated with glycine before excretion in the urine. Because of concern about the results of the toxicological studies on furfural in rodents, these substances cannot be predicted to be metabolized to innocuous products. The evaluation of all substances in this group therefore proceeded via the right-hand side of the scheme. |
|
Step B3. |
The estimated daily per capita intakes of all 15 substances in this group are below the threshold of concern for the respective structural classes (i.e. 540 µg/day for structural class II and 90 µg/day for structural class III). Accordingly, the evaluation of all 15 substances in the group proceeded to step B4. |
|
Step B4. |
For furfural, the NOEL of 53 mg/kg bw per day in a 13-week feeding study in rats (Jonker, 2000) provides an adequate margin of safety (> 1000 times) in relation to the known levels of intake of this substance. This NOEL is also appropriate for furfuryl alcohol (No. 451) and the structurally related substances furfuryl acetate (No. 739), furfuryl propionate (No. 740), furfuryl pentanoate (No. 741), furfuryl octanoate (No. 742), and furfuryl 3-methylbutanoate (No. 743), because all of these esters would be hydrolysed to furfuryl alcohol (No. 451) and then oxidized to furfural (No. 450). The NOEL for furfural is also appropriate for the esters of furoic acid, methyl 2-furoate (No. 746), propyl 2-furoate (No. 747), amyl 2-furoate (No. 748), hexyl 2-furoate (No. 749), and octyl 2-furoate (No. 750), which would be hydrolysed to furoic acid, the major metabolite of furfural. The NOEL for furfural is also appropriate for 5-methylfurfural (No. 745), which would participate in the same metabolic pathways and also undergoes alkyl oxidation. For 2-benzofurancarboxal-dehyde (No. 751), the NOEL of 25 mg/kg bw per day in a 90-day feeding study in rats (Posternak et al., 1969) provides an adequate margin of safety (> 1 000 000 times) in relation to the known levels of intake of this substance. For 2-phenyl-3-carbethoxyfuran (No. 752), the NOEL of 13 mg/kg bw per day in a 90-day feeding study in rats (Posternak et al., 1969) provides an adequate margin of safety (> 1000 times) in relation to the known levels of intake of this substance. |
Table 1 summarizes the evaluation of furfuryl alcohol and 14 related substances used as flavouring agents.
In the unlikely event that all foods containing the nine substances in structural class II (together with allyl 2-furoate evaluated previously by the Committee) were consumed concurrently on a daily basis, the estimated combined intake would exceed the threshold for human intake for class II. In the unlikely event that all foods containing the six substances in structural class III were consumed concurrently on a daily basis, the estimated combined intake would exceed the threshold for human intake for class III. Given the wide margin of safety between the level of intake and the NOEL for furfural and the fact that the available detoxication pathways (glycine conjugation or condensation followed by glycine conjugation) would not be saturated at the current levels of intake, the Committee concluded that the combined intake would not raise concern about safety.
On the basis of the predicted metabolism of these substances and data on their toxicity, the Committee concluded that consumption of furfuryl alcohol and the 14 related substances in this group at the current levels of intake would not raise concern for safety. In applying the Procedure, the Committee noted that all of the available data on toxicity are consistent with the results of the safety evaluation.
This monograph summaries key data relevant to the evaluation of the 15 flavouring substances in this group, which includes the parent alcohol, furfuryl alcohol, the corresponding aldehyde furfural, five esters formed from furfuryl alcohol and simple aliphatic carboxylic acids, five esters formed from simple aliphatic alcohols and furoic acid, and three structurally related furfuryl derivatives (5-methylfurfural, 2-benzofurancarboxyaldehyde, and 2-phenyl-3-carbethoxyfuran).
Seven of the 15 substances have been detected as natural components of foods (Maarse et al., 1994, 1996). Quantitative data on natural occurrence and consumption ratios have been reported for five substances in the group, and these indicate that they are consumed predominantly from traditional foods (i.e. consumption ratio >1) (Stofberg & Kirschman, 1985; Stofberg & Grundschober, 1987; see Table 2).
The daily per capita intake of this group of flavouring agents is 940 µg/day in Europe (16 µg/kg bw per day) and 600 µg/day in the USA (10 µg/kg bw per day). Furfural accounted for approximately 55% of the total per capita intake in Europe (520 µg/day) and 77% in the USA (460 µg/day).
A recent study showed that furfural is formed in vivo during oxidative damage to DNA by hydroxylation of the C5’ repair of deoxyribose (Dix et al., 1996). The oxidized deoxyribose fragment forms furfural, which may react subsequently with adenine bases to produce kinetin (N6-furfuryladenine), which has been found in human DNA (Barciszewski et al., 1996, 1997a,b). The amount of furfural formed by this mechanism would be expected to be extremely small and the substance would be short-lived.
Substances were considered to be members of this group on the basis that all furfuryl alcohol derivatives are hydrolysed and/or metabolized to furoic acid or a substituted furoic acid.
Furfural is converted to furfuryl alcohol by enteric bacteria under both aerobic and anaerobic conditions (Boopathy et al., 1993). Both substances are therefore anticipated to be present in the gastrointestinal tract of animals given furfural. Furfuryl alcohol and furfural are rapidly absorbed in the gastrointestinal tract of rodents (Nomeir et al., 1992). At doses of 0.1–200 mg/kg bw, both are absorbed, metabolized, and excreted, primarily in the urine (Rice, 1972; Nomeir et al., 1992; Parkash & Caldwell, 1994). The results of the studies described below support this conclusion.
When [14C]furfuryl alcohol at doses up to 27.5 mg/kg bw or [14C]furfural at doses up to 12.5 mg/kg bw were administered to rats by gavage in corn oil, 83–89% of the radiolabel was excreted in the urine and 2–4% in the faeces, and 7% was exhaled as 14C-carbon dioxide within 24 h. Residual radiolabel was distributed primarily to the liver and kidneys, the amount generally being proportional to the dose (Nomeir et al., 1992). Similar results were obtained by Parkash & Caldwell (1994) after oral administration of [14C]furfural at doses up to 60 mg/kg bw in rats and up to 200 mg/kg bw in mice.
A similar pattern of absorption, distribution, and excretion was reported for alkyl-substituted furfural derivatives. In rats given [14C]5-methylfurfural at doses up to 500 mg/kg bw by gavage, 70–82% of the administered dose was excreted in urine and 8–13% in faeces within 48 h. In mice given the same dose, a similar pattern of excretion were observed (Godfrey et al., 1999).
In general, furfuryl esters (furfuryl acetate, furfuryl propionate, furfuryl pentanoate, furfuryl octanoate, and furfuryl 3-methylbutanoate) are expected to be hydrolysed to furfuryl alcohol and the corresponding saturated aliphatic carboxylic acid, while furoate esters (methyl 2-furoate, propyl 2-furoate, amyl 2-furoate, hexyl 2-furoate, and octyl 2-furoate) are expected to be hydrolysed to 2-furoic acid and the corresponding saturated aliphatic alcohol. Hydrolysis is catalysed by classes of enzymes recognized as carboxylesterases or esterases (Heymann, 1980), the most important of which are the A-esterases. In mammals, A-esterases occur in most tissues of the body (Heymann, 1980; Anders, 1989), but they predominate in the hepatocytes (Heymann, 1980).
Evidence that hydrolysis may occur in the gastrointestinal tract comes from experiments by Grundschober (1977), who demonstrated that the structurally related substances isoamyl furylpropionate and ethyl furylpropionate were completely hydrolysed within 2 h by pancreatin. Similarly, Paul et al. (1948) showed that the glycine conjugate of furoic acid is the major metabolite in the urine of rats given furfuryl diacetate, furfuryl propionate, or methyl furylacrylate orally. This experiment demonstrates that these esters are hydrolysed in vivo to furfuryl alcohol, the metabolic precursor of furoic acid. The esters of furfuryl and furoate can be predicted to be hydrolysed to the parent alcohol and acid, respectively. Buck (2000) demonstrated rapid hydrolysis of furfuryl alcohol esters by preparations of rat liver, rat intestinal mucosa, and rat blood. While the rate of hydrolysis of these esters was slower in a human blood preparation, it was faster than those for other compounds with sterically hindered ester bonds, such as cinnamyl and linalyl esters.
After hydrolysis of the furfuryl esters, furfuryl alcohol is oxidized to furfural, which is subsequently oxidized to 2-furoic acid (Paul et al., 1948; ; Rice, 1972; Nomeir et al., 1992; Parkash & Caldwell, 1994). The major metabolic detoxication pathway for furoic acid involves formation of a CoA thioester, which is then either conjugated with glycine and excreted in the urine or condensed with acetyl CoA to form the CoA thioester of 2-furanacrylic acid. 2-Furanacryloyl CoA is also conjugated with glycine and excreted primarily in the urine (see Figure 1). A minor metabolic pathway has been reported in rodents whereby carbon dioxide is produced, presumably by furan-ring oxidation (Nomeir et al., 1992; Parkash & Caldwell, 1994).

A number of experiments provide evidence that these pathways exist. In rats, the glycine conjugate of furoic acid was detected in urine collected for 6 h after a single oral dose of 20 mg of furfuryl alcohol, furfural, furoic acid, furfuryl diacetate, furfuryl propionate, furanacylic acid, or methyl furanacrylate (Paul et al., 1948).
Furfuryl alcohol and furfural have been shown to participate in common pathways of detoxication in rodents. In groups of four male Fischer 344 rats, [14C]furfuryl alcohol at oral doses up to 27.5 mg/kg bw or [14C]furfural at 12.5 mg/kg bw were oxidized to furoic acid, which was excreted mainly in the urine, either as the glycine conjugate (73–80%) or free (1–6%). Furoic acid was also condensed with acetyl CoA and excreted in the urine as the glycine conjugate of furanacrylic acid (3–8%). In rats given furfural at 12.5 mg/kg bw, 7% was exhaled as carbon dioxide. Over the dose ranges studied, the extent of metabolism, the relative amounts of metabolites, and the rates of excretion were linear (Nomeir et al., 1992).
Single oral doses of [14C]furfural (0.1, 10, or 60 mg/kg bw) given to male and female Fischer 344 rats or [14C]furfural (1, 20, or 200 mg /kg bw) given to male and female CD-1 mice were metabolized to the glycine conjugates of furoic acid (76–84% in rats and 65–89% in mice) and furanacrylic acid (16–24% in rats and 10–17% in mice) within 24 h. Male mice at the high dose expired < 5% of the radiolabel as [14C]carbon dioxide, but expired radiolabel was not measured in mice at other doses. The absorption, tissue distribution, extent of metabolism, relative amounts of metabolites, including carbon dioxide, and the rates of excretion in rodents were linear over the range of doses investigated (0.1–200 mg/kg bw) (Parkash & Caldwell, 1994).
The condensation of furoic acid with acetyl CoA to yield furanacrylic acid appears to be a dynamic equilibrium favouring the CoA thioester of furoic acid (Parkash & Caldwell, 1994), as suggested by the observation that furoic acid was excreted in the urine of dogs given furanacrylic acid (Friedmann, 1911). An analogous equilibrium was established between other aromatic carboxylic acids (e.g. benzoic acid and cinnamic acid) (Nutley et al., 1994). Excretion of free furoic acid and furanacrylic acid in animals given higher doses suggests that the capacity for glycine conjugation may be limited, probably by the supply of endogenous glycine (Gregus et al., 1993).
In rats, the metabolic fate of 5-methylfurfural is similar to that of furfural. Two urinary metabolites were identified when rats were given an oral dose of an aqueous solution containing 5-methylfurfural at 80, 120, or 160 mg/kg bw. The principal metabolite was the glycine conjugate of 5-methylfuroic acid (> 40%); 5-methylfuryl methyl ketone was a minor metabolite (6.6–7.8%). 5-Methylfuryl methyl ketone was also a urinary metabolite of 5-methylfuroic acid, suggesting that the ketone is formed directly from the acid (Liebert, 1988). In a manner similar to the formation of furan-acrylic acid from furfural, the CoA thioester of 5-methylfuroic acid condenses with acetyl CoA to form an alpha-ketoester which sequentially undergoes hydrolysis and decarboxylation to form 5-methylfuryl methyl ketone. 5-Methylfuryl methyl ketone may be excreted in the urine or reduced to the corresponding alcohol before excretion, in a manner similar to that of structurally related furyl ketones (Boyd et al., 1975).
Groups of male Fischer 344 rats and male B6C3F1 mice were given [14C]-5-methylfurfural at a dose of 5, 10, 100, or 500 mg/kg bw by oral gavage. 5-Hydroxymethyl-2-furoic acid was the major urinary metabolite in both species and accounted for 77–90% of the recovered radiolabel at each dose. The quantity of the glycine conjugate N-(5-hydroxymethyl-2-furoyl)-glycine excreted by rats was inversely proportional to the dose, possibly due to glycine depletion at higher doses. 2,5-Furandicarboxylic acid accounted for only 2–4% of the recovered radiolabel in rats and 4–6% in mice (Godfrey et al., 1999). Similarly, 5-hydroxymethylfurfural administered to rats as single oral doses of 0.08–330 mg/kg bw was excreted mainly as 5-hydroxymethyl-2-furoic acid and to a lesser extent as N-(5-hydroxymethyl-2-furoyl)glycine (Germond et al., 1987).
The formation of labelled carbon dioxide in rats and mice presumably occurs via decarboxylation of furoic acid. No evidence of decarboxylation has been observed in humans (Flek & Sedivec, 1978). Since heteroaromatic and aromatic carboxylic acids do not normally decarboxylate in vivo (Caldwell, 1982), it can be assumed that oxidation of furoic acid in rodents precedes the loss of carbon dioxide. Epoxidation (Ramsdell & Eaton, 1990) or hydroxylation (Ravindranath & Boyd, 1985; Koenig & Andreesen, 1990) of the furan ring may yield reactive intermediates such as furfural-2,3-epoxide, acetylacrolein or alpha-ketoglutaric acid, which are readily decarboxylated. Biochemical changes in the lungs and livers of animals exposed to furfural indicate that ring oxidation may be catalysed by a cytochrome P450b isoenzyme to yield a reactive intermediate such as an epoxide or acylacrolein, which is subsequently conjugated with glutathione (Gupta et al., 1991; Mishra et al., 1991). There is no evidence of ring oxidation in humans at low levels of exposure. Essentially all the furfural absorbed (2 mg/kg bw) by inhalation in a study in humans was excreted in the urine as furoylglycine and furanacrylic acid, and no free furoic acid was found (Flek & Sedivec, 1978).
In summary, the component linear saturated alcohols and carboxylic acids (C1–C8) formed by ester hydrolysis of furfuryl esters and furoic acid esters participate in fatty acid beta-oxidation and the citric acid cycle or in the C1 tetrahydrofolate pathway, eventually to yield carbon dioxide and water (Voet & Voet, 1990). The available data indicate that most of the 15 furfuryl derivatives would be hydrolysed and/or oxidized to yield furoic acid. In humans, furoic acid would be efficiently excreted as either 2-furoylglycine or 2-furanacryloylglycine (2-furanacryluric acid).
LD50 values after oral administration are available for four of the 15 furfuryl derivatives. The values reported in rodents range from 50 mg/kg bw for furfural (Fassett, 1963) to 2200 mg/kg bw for 5-methylfurfural (Moreno, 1978). Most of the values fall between 100 and 250 mg/kg bw (Boyland, 1940; Gajewski & Alsdorf, 1949; Haag et al., 1959; Jenner et al., 1964). In rodents, signs of acute toxicity are seen mainly in the liver, and high doses are associated with hepatic cirrhosis accompanied by sporadic eosinophilic degeneration of hepatic cells. Nuclear pyknosis, eosinophilic necrosis, and increased hepatocyte mitosis have also been reported (Shimizu & Kanisawa, 1986). The changes observed in cytosolic and mitochondrial enzyme activities are indicative of increased hepatocellular catabolism (Jonek et al., 1975; Kaminska, 1977).
The results of short-term and long-term studies of the toxicity of the substances in this group are shown in Table 3. Details of the studies that were critical to evaluating the safety of furfuryl alcohol, furfural, 2-benzofurancarboxaldehyde, and 2-phenyl-3-carbethoxy furan are given below.
Table 3. Results of short-term studies of toxicity and long-term studies of toxicity and carcinogenicityon furfuryl alcohol and related substances
|
No. |
Substance |
Species, sex |
No. test groupsa/ no. per groupb |
Route |
Duration |
NOEL (mg/kg bw per day) |
Reference |
|
738 |
Furfuryl alcohol |
Mice; M, F |
5/5 |
Inhalation |
16 days |
Not identified |
National Toxicology Program (1999) |
|
738 |
Furfuryl alcohol |
Mice; M, F |
6/10 |
Inhalation |
14 weeks |
Not identified |
National Toxicology Program (1999) |
|
738 |
Furfuryl alcohol |
Mice; M, F |
4/50 |
Inhalation |
105 weeks |
Not identified |
National Toxicology Program (1999) |
|
738 |
Furfuryl alcohol |
Rats; M, F |
5/5 |
Inhalation |
16 days |
Not identified |
National Toxicology Program (1999) |
|
738 |
Furfuryl alcohol |
Rats; M, F |
6/10 |
Inhalation |
14 weeks |
Not identified |
National Toxicology Program (1999) |
|
738 |
Furfuryl alcohol |
Rats; M, F |
4/50 |
Inhalation |
105 weeks |
Not identified |
National Toxicology Program (1999) |
|
744 |
Furfural |
Mice; M, F |
5/10 |
Gavage |
16 days |
Not identified |
National Toxicology Program (1990) |
|
744 |
Furfural |
Mice; M, F |
5/20 |
Gavage |
13 weeks |
Not identified |
National Toxicology Program (1990) |
|
744 |
Furfural |
Mice; M, F |
3/100 |
Gavage |
2 years |
Not identified |
National Toxicology Program (1990) |
|
744 |
Furfural |
Rats; M, F |
5/10 |
Gavage |
16 days |
Not identified |
National Toxicology Program (1990) |
|
744 |
Furfural |
Rats; ,M, F |
5/20 |
Gavage |
13 weeks |
Not identified |
National Toxicology Program (1990) |
|
744 |
Furfural |
Rats; M, F |
2/100 |
Gavage |
2 years |
Not identified |
National Toxicology Program (1990) |
|
744 |
Furfural |
Rats; M, F |
5/5 |
Diet |
14 days |
120 |
Jonker (1998) |
|
744 |
Furfural |
Rats; M, F |
4/20 |
Dietc |
13 weeks |
60 |
Jonker (2000) |
|
744 |
Furfural |
Hamsters; M, F |
1/70 |
Intratracheal |
36 weeks |
Not identified |
Feron (1972) |
|
751 |
2-Benzofuran carboxaldehyde |
Rats; M, F |
1/32 |
Diet |
90 |
25 (M) d27 (F)d |
Posternak et al. (1969) |
|
752 |
2-Phenyl-3-carbethoxy furan |
Rats; M, F |
1/30 |
Diet |
90 |
13 |
Posternak et al. (1969) |
M, male; F, female
a
Total number of test groups does not include control animals.b
Total number per test group includes both male and female animals.c
Furfural was administered in the food in microencapsulated form.d
Single doseThe component aliphatic acyclic alcohols and carboxylic acids formed by hydrolysis of the furfuryl and furoic acid esters are acetic acid, propionic acid, valeric acid, octanoic acid, methanol, propanol, pentyl alcohol, hexyl alcohol, and octyl alcohol. The alcohols are readily oxidized to the corresponding acids, which are endogenous to humans. The results of short-term and long-term studies of oral administration of seven of these simple aliphatic acids indicate no evidence of toxicity at an intake of 400 mg/kg bw per day or more (Butterworth et al., 1978; Bueld & Netter, 1993).
Furfuryl alcohol (No. 738)
No short- or long-term studies on the toxicity of furfuryl alcohol administered orally were available, but the substance has been administered by inhalation to both mice and rats. Since furfuryl derivatives are expected to be absorbed rapidly (Flek & Sedevic, 1978), regardless of the route of administration, these studies are described here; however, the NOELs reported by the authors of these studies are not relevant to ingestion of furfural alcohol in the diet, since the toxic effects observed were confined mainly to the olfactory system and respiratory tract (Feron & Kruysse, 1978; Mellick et al., 1991; National Toxicology Program, 1999). While these studies are of limited value for assessing the potential toxicity of oral exposure to furfuryl alcohol, the findings may provide some indication of potential long-term toxicity.
Groups of 10 B6C3F1 mice of each sex were exposed to furfuryl alcohol by inhalation at a concentration of 0, 2, 4, 6, 8, 16, or 32 ppm for 6 h/day, 5 days/week, for 14 weeks. No deaths were reported. The hearts of males exposed to 32 ppm weighed significantly less than those of controls. Dose-dependent increases in the incidences of non-neoplastic lesions of the respiratory, olfactory, and transitional epithelium were observed in all treated groups (National Toxicology Program, 1999).
Groups of 50 B6C3F1 mice of each sex were exposed to furfuryl alcohol by inhalation at a concentration of 0, 2, 4, 8, or 32 ppm for 6 h/day, 5 days/week, for 105 weeks. The body weights were measured weekly for the first 12 weeks, monthly until week 91, and every 2 weeks thereafter. Clinical signs of toxicity were recorded monthly for the first 91 weeks and every 2 weeks thereafter. Complete necropsies and microscopic examinations were performed on all test and control animals. The survival rates for all treated groups were comparable to those of chamber controls. The mean body weights of exposed females were significantly reduced during the second year of exposure, but the body weights of males were similar to those of controls throughout the study. Male mice exposed to 32 ppm had a significantly increased incidence of renal tubular degeneration (control, 0/50; 32 ppm, 48/50) and a significantly increased combined incidence of renal tubular adenomas and carcinomas (control, 0/50; 32 ppm, 5/50). The incidences of a variety of non-neoplastic lesions of the nose were significantly increased in all treated groups with respect to controls. Corneal degeneration was significantly more frequent in females exposed to 32 ppm furfuryl alcohol than in control mice (control, 3/49; 32 ppm, 26/50) (National Toxicology Program, 1999).
Groups of 10 Fischer 344/N rats of each sex were exposed to furfuryl alcohol by inhalation at a concentration of 0, 2, 4, 6, 8, 16, or 32 ppm for 6 h/day, 5 days/week, for 14 weeks. No deaths were reported. The body weights of females exposed to 32 ppm of furfuryl alcohol were significantly reduced at the end of the study when compared with chamber controls. Dose-dependent increases in the incidences of non-neoplastic lesions of the respiratory, olfactory, and transitional epithelium were observed in all treated groups (National Toxicology Program, 1999).
Groups of 50 Fischer 344/N rats of each sex were exposed to furfuryl alcohol by inhalation at a concentration of 0, 2, 4, 8, or 32 ppm for 6 h/day, 5 days/week, for 105 weeks. The observations and examinations followed the same protocol used in the corresponding study in mice, described above. All males exposed to 32 ppm had died by week 99, but the percentage survival of the other groups was comparable to that of the chamber control group. The terminal body weights of males exposed to 32 ppm were significantly lower than those of controls. No treatment-related clinical effects were observed. Males at the highest dose had significantly increased incidences of mineralization and renal tubular hyperplasia, as revealed in step-section analysis of kidney tissues. A dose-related increase in the severity of renal nephropathy was reported in exposed males and females. Significantly increased incidences of parathyroid gland hyperplasia (control, 10/50; 32 ppm, 25/50) and fibrous osteodys-trophy in the bones (control, 2/50; 32 ppm, 34/50) were reported in males at the highest dose (National Toxicology Program, 1999).
In a 13-week study, groups of 10 Fischer 344 rats of each sex were exposed by inhalation to atmospheres containing furfuryl alcohol at a concentration of 0, 2, 4, 8, 16, or 32 ppm. No treatment-related effects were observed on survival or organ weights. The final body weights of animals of each sex at 32 ppm were slightly reduced. Sperm morphology and vaginal cytology in animals at 0, 2, 8, and 32 ppm did not reflect significant reproductive toxicity, except for a slight increase in the number of spermatid heads in males at 8 and 32 ppm. Histological evaluation revealed lesions typical of chronic irritation of the nasal cavity and respiratory epithelia. These changes were minimal in animals at 2 and 4 ppm. No hepatic effects were reported (Mellick et al., 1991).
Furfural (No. 744)
A 16-day study in B6C3F1 mice given furfural at a dose of 0, 25, 50, 100, 200, or 400 mg/kg bw per day, a 13-week study in B6C3F1 mice at doses of 0, 75, 150, 300, 600, or 1200 mg/kg bw per day, and a 2-year study in B6C3F1 mice at doses of 0, 50, 100, or 175 mg /kg bw per day, all by gavage in corn oil (National Toxicology Program, 1990) were evaluated by the Committee at its fifty-first meeting (Annex 1, reference 137).
Two sets of studies of orally administered furfural have been conducted in Fischer 344N rats: one by the National Toxicology Program (1990) in which furfural was administered by gavage in corn oil, and one conducted by Jonker (1998, 2000) with microencapsulated furfural in the diet. A 16-day study in rats given furfural at a dose of 0, 15, 30, 60, 120, or 240 mg/kg bw per day, a 13-week study in rats at a dose of 0, 11, 22, 45, 90, or 180 mg/kg bw per day, and a 2-year study in rats at a dose of 0, 30, or 60 mg/kg bw per day, all by gavage in corn oil (National Toxicology Program, 1990) were evaluated by the Committee at its fifty-first meeting (Annex 1, reference 137). A 14-day study in rats at doses of 0, 30, 60, 90, 120, or 180 mg/kg bw per day and a 13-week study in rats at doses of 0, 30, 60, 90, or 180 mg/kg bw per day, both with microencapsulated furfural, were evaluated by the Committee at the present meeting and are summarized in the monograph addendum on furfural.
Syrian golden hamsters were given 0.2 ml of 1.5% furfural in physiological saline (about 25 mg/kg bw), 0.5% benzo[a]pyrene (8.3 mg/kg bw), or 1.5% furfural plus 0.5% benzo[a]pyrene intratracheally once per week for 36 weeks. No respiratory tract or peritracheal tumours were found. No tumorigenic effects were observed after the administration of furfural alone (Feron, 1972).
The effect of furfural on the carcinogenic potential of benzo[a]pyrene and N-nitrosodiethylamine was evaluated in male and female hamsters exposed to atmospheres containing 400 ppm (1550 mg/m3) of furfural for 7 h/day, 5 days/week, for 9 weeks, 330 ppm (1280 mg/m3) for the next 11 weeks, and 250 ppm (970 mg/m3) for an additional 32 weeks. The respiratory effects included atrophy and downward growth of the olfactory epithelium, degenerative changes in Bowman’s glands, and the appearance of cyst-like structures in the lamina propria beneath the olfactory epithelium. Although exposure to furfural was irritating to the olfactory epithelium, the treatment was not toxic to the liver (Feron & Kruysse, 1978).
2-Benzofurancarboxaldehyde (No. 751)
Groups of 16 Charles River rats of each sex were maintained on basal diets or diets containing 2-benzofurancarboxaldehyde at a concentration calculated to result in an average daily intake of 25 mg/kg bw for males and 27 mg/kg bw for females, for 90 days. Weekly measurements of body weight and food intake showed no significant differences between treated and control animals. Clinical chemistry, haematology, and urine analyses conducted during weeks 7 and 13 revealed normal values. The organ weights at necropsy, gross examination, and histology showed no treatment-related effects. The NOEL was 25 mg/kg bw per day (Posternak et al., 1969).
2-Phenyl-3-carbethoxy furan (No. 752)
Groups of 15 Wistar rats of each sex were maintained on basal diets containing 2-phenyl-3-carbethoxy furan at a concentration calculated to result in an average daily intake of 13 mg/kg bw, for 90 days. Weekly measurements of body weight and food intake showed no significant differences between treated and control animals. Clinical chemistry, haematology, and urine analyses conducted during weeks 7 and 13 revealed normal values. The organ weights at necropsy, gross examination, and histology showed no treatment-related effects. The NOEL was 13 mg/kg bw per day (Posternak et al., 1969).
The results of studies of the genotoxicity of furfurylalcohol and related substances are shown in Table 4.
Table 4. Studies of the genotoxicity of furfuryl alcohols and related substances
|
No. |
Substance |
End-point |
Test object |
Concentration |
Resulta |
Reference |
|
738 |
Furfuryl alcohol |
Reverse mutation |
S. typhimurium TA98, TA100, TA1535, TA1537 |
294 µg/plate |
Negativea,b |
Florin et al. (1980) |
|
738 |
Furfuryl alcohol |
Reverse mutation |
S. typhimurium TA98, TA100, TA1535 |
Ł 10 000 µg/plate |
Negativea,b |
Mortelmans et al. (1986) |
|
738 |
Furfuryl alcohol |
Reverse mutation |
S. typhimurium TA100 |
2500–12 500µg/ml |
Negativea,b |
Stich et al. (1981a) |
|
738 |
Furfuryl alcohol |
Reverse mutation |
S. typhimurium TA98, TA100, TA102 |
Ł 198 000 µg/plate |
Negativea,b |
Aeschbacher et al. (1989) |
|
738 |
Furfuryl alcohol |
Reverse mutation |
S. typhimurium TA98, TA100 |
81–323 µg/plate |
Negativea,b |
Shinohara et al. (1986) |
|
738 |
Furfuryl alcohol |
Reverse mutation |
S. typhimurium TA1535, TA100, TA1537 (modified assay) |
200 000 µg/ml |
Positivea,b |
McGregor et al. (1981) |
|
738 |
Furfuryl alcohol |
DNA repair and H17 (rec+) |
B. subtilis M45 (rec–) µg/disc |
2000–20 000 |
Positivea,b |
Shinohara et al. (1986) |
|
738 |
Furfuryl alcohol |
Sister chromatid exchange |
Chinese hamster ovary cells |
245 µg/ml |
Positivea,b |
Stich et al. (1981b) |
|
738 |
Furfuryl alcohol |
Sister chomatid exchange |
Human lymphocytes |
Ł 196 µg/ml |
Negative |
Jansson et al. (1986) |
|
738 |
Furfuryl alcohol |
Siser chromatid exchange |
Human lymphocytes |
Ł 970 µg/ml |
Negative |
Gomez-Arroyo & Souza (1985) |
|
738 |
Furfuryl alcohol |
Chromosomal aberration |
Chinese hamster ovary cells |
2000 µg/ml |
Positive |
Stich et al. (1981b) |
|
738 |
Furfuryl alcohol |
Gene conversion |
S. cerevisiae strain D7 |
13 500–16 000 µg/ml |
Positivea |
Stich et al. (1981a) |
|
738 |
Furfuryl alcohol |
Sex-linked recessive l lethal mutation |
D. melanogaster |
Ł 6500 ppm by injection |
Negative |
Rodriguez-Arnaiz et al. (1989) |
|
738 |
Furfuryl alcohol |
Sister chromatid exchange |
Adult human lymphocytes |
32 300 mg/m3 in occupational atmosphere |
Negative |
Gomez-Arroyo & Souza (1985) |
|
738 |
Furfuryl alcohol |
Sister chomatid exchange |
Adult human lymphocytes |
32 300 mg/m3 in occupational atmosphere |
Negative |
Gomez-Arroyo & Souza (1985) |
|
738 |
Furfuryl alcohol |
Chromosomal aberration |
Mouse bone-marrow cells drinking-water |
0.5 mg/kg bw in |
Negative |
Sujatha & Subramanyam (1994) |
|
|
|
|
|
1–2 mg/kg bw in drinking-water |
Positive |
|
|
738 |
Furfuryl acetate |
Reverse mutation |
S. typhimurium TA1535, TA98, TA100 |
33–666 µg/plate |
Positivea,b |
Mortelmans et al. (1986) |
|
744 |
Furfural |
Reverse mutation |
S. typhimurium TA 1535, TA100, TA1537, TA1538, TA98 |
0.1–1000 µg/ml |
Negativea,b |
McMahon et al. (1979) |
|
744 |
Furfural |
Reverse mutation |
S. typhimurium TA100, TA98, TA1535 |
Ł 3460 µg/plate |
Negativea,b |
Loquet et al. (1981) |
|
|
|
|
|
5766 µg/plate |
Positivea (weakly) |
|
|
744 |
Furfural |
Reverse mutation |
S. typhimurium TA100, TA98, TA102 |
Ł 115 320 µg/plate |
Negativea,b |
Aeschbacher et al. (1989) |
|
744 |
Furfural |
Reverse mutation |
S. typhimurium TA100, TA98 |
15–63 µg/plate |
Negativea,b |
Shinohara et al. (1986) |
|
744 |
Furfural |
Reverse mutation |
S. typhimurium TA104 |
5–500 µg/plate |
Positiveb |
Shane et al. (1988) |
|
744 |
Furfural |
Reverse mutation |
S. typhimurium TA100, TA102 |
5–500 µg/plate |
Negativeb |
Shane et al. (1988) |
|
744 |
Furfural |
Reverse mutation |
S. typhimurium TA104, TA102 |
96 µg/plate |
Negative |
Marnett et al. (1985) |
|
744 |
Furfural |
Reverse mutation |
S. typhimurium TA98, TA100, TA1535 |
Ł 6667 µg/plate |
Negativea,b |
Mortelmans et al. (1986) |
|
744 |
Furfural |
Reverse mutation |
S. typhimurium TA98, TA100 |
Ł 1000 µg |
Negativea |
Osawa & Namiki (1982) |
|
744 |
Furfural |
Reverse mutation |
S. typhimurium TA98, TA100, TA1535, TA1537 |
33– 6666 µg/plate |
Negativea,b |
National Toxicology Program (1990 ) |
|
744 |
Furfural |
Reverse mutation |
S. typhimurium TA100 |
8000 µg/plate |
Positivea,b |
Zdzienicka et al. (1978) |
|
744 |
Furfural |
Reverse mutation |
S. typhimurium TA98 |
8000 µg/plate |
Negativea,b |
Zdzienicka et al. (1978) |
|
744 |
Furfural |
Reverse mutation |
S. typhimurium TA100, TA102 |
100–10 000 µg/plate |
Negativea |
Dillon et al. (1998) |
|
744 |
Furfural |
Reverse mutation |
S. typhimurium TA104 |
100–10 000 µg/plate |
Equivocala |
Dillon et al. (1998) |
|
744 |
Furfural |
Reverse mutation |
S. typhimurium TA102, TA104 |
100–10 000 µg/plate |
Negativeb |
Dillon et al. (1998) |
|
744 |
Furfural |
Reverse mutation |
S. typhimurium TA100 |
100–10 000 µg/plate |
Equivocalb |
Dillon et al. (1998) |
|
744 |
Furfural |
Reverse mutation |
S. typhimurium TA100 (modified assay) |
426 µg/plate |
Negativea,b |
Kim et al. (1987) |
|
744 |
Furfural |
Reverse mutation |
S. typhimurium TA100, TA1535, TA1537 (modified assay) |
200 000 µg/ml |
Negative |
McGregor et al. (1981) |
|
744 |
Furfural |
Reverse mutation |
E. coli WP2, WP2 uvrA (modified assay) |
0.1–1000 µg/ml |
Negativea,b |
McMahon et al. (1979) |
|
744 |
Furfural |
SOS induction |
S. typhimurium TA1535/ pSK1002 |
1932 µg/ml |
Negativea,b |
Nakamura et al. (1987) |
|
744 |
Furfural |
DNA repair |
B. subtilis H17 (rec+) and M45 (rec–) |
Ł 1000 µg |
Negativea |
Osawa & Namiki (1982) |
|
744 |
Furfural |
DNA repair |
B. subtilis H17 (rec+) and M45 (rec–) |
0.6 ml |
Negativea,b |
Matsui et al. (1989) |
|
744 |
Furfural |
DNA repair |
B. subtilis H17 (rec+) and M45 (rec–) |
1700–17 000 µg/disc |
Positivea,b |
Shinohara et al. (1986) |
|
744 |
Furfural |
Forward mutation |
L5178Y mouse lymphoma cells, Tk+/– locus |
25–100 µg/ml |
Negativea |
McGregor et al. (1988) |
|
744 |
Furfural |
Sister chromatid exchange |
Chinese hamster ovary cells |
2500–4000 µg/ml |
Positivea,b |
Stich et al. (1981b) |
|
744 |
Furfural |
Sister chromatid exchange |
Chinese hamster ovary cells |
Ł 1170 µg/ml |
Positivea,b |
National Toxicology Program (1990) |
|
744 |
Furfural |
Sister chromatid exchange |
Human lymphocytes |
Ł 0.035 mmol/La0.07– 0.14 mmol/Lc |
Negativea,b |
Gomez-Arroyo & Souza (1985) |
|
744 |
Furfural |
Chromosomal aberration |
Chinese hamster ovary cells |
500 µg/ml |
Negative |
Nishi et al. (1989) |
|
744 |
Furfural |
Chromosomal aberration |
Chinese hamster ovary cells |
Ł 40 mmol/L(3840 mg) |
Positivea,b |
Stich et al. (1981b) |
|
744 |
Furfural |
Chromosomal aberration |
Chinese hamster ovary cells |
3000 µg/ml |
Positive |
Stich et al. (1981a) |
|
744 |
Furfural |
Chromosomal aberration |
Chinese hamster ovary cells |
Ł 1230 µg/ml |
Positivea,b |
National Toxicology Program (1990) |
|
744 |
Furfural |
Unscheduled DNA synthesis |
Human liver slices |
0.005–10 mmol/L |
Negative |
Adams et al. (1998) |
|
744 |
Furfural |
Sex-linked recessive lethal mutation |
D. melanogaster |
1000 mg/kg of diet |
Negative |
Woodruff et al. (1985) |
|
744 |
Furfural |
Sex-linked recessive lethal mutation |
D. melanogaster |
100 mg/kg by injection |
Positive |
Woodruff et al. (1985) |
|
744 |
Furfural |
Sex-linked recessive lethal mutation |
D. melanogaster |
Ł 6500 mg/kg by injection |
Negative |
Rodriguez-Arnaiz et al. (1989) |
|
744 |
Furfural |
Chromosomal loss |
D. melanogaster |
Oral or injected dose of 3750–5000 mg/kg of diet. Mated with repair-proficient females |
Negative |
Rodriguez-Arnaiz et al. (1992) |
|
744 |
Furfural |
Chromosomal loss |
D. melanogaster |
Oral or injected dose of 3750–5000 mg/kg of diet. Mated with repair-deficient females |
Positive |
Rodriguez-Arnaiz et al. (1992) |
|
744 |
Furfural |
Reciprocal trans- location |
D. melanogaster |
100 mg/kg by injection |
Negative |
Woodruff et al. (1985) |
|
744 |
Furfural |
Sister chromatid exchange |
Mouse bone-marrow cells |
50–200 mg/kg bw by injection |
Negative |
National Toxicology Program (1990) |
|
744 |
Furfural |
Spermhead abnormalities |
Mice |
4000 mg/kg of diet daily for 5 weeks |
Negative |
Subramanyam et al. (1989) |
|
744 |
Furfural |
Somatic chromo-somal mutation |
Swiss albino mouse bone- marrow cells |
1000–2000 mg/kg of diet |
Negative |
Subramanyam et al. (1989) |
|
|
|
|
|
4000 mg/kg bw for 5 days |
Positive |
|
|
744 |
Furfural |
Sister chromatid exchange |
Adult human lymphocytes |
9454 mg/m3 in occupational atmosphere |
Negative |
Gomez-Arroyo & Souza (1985) |
|
744 |
Furfural |
Chromosomal aberration |
Adult human lymphocytes |
9454 mg/m3in occupational atmosphere |
Negative |
Gomez-Arroyo & Souza (1985) |
|
744 |
Furfural |
Unscheduled DNA synthesis |
B6C3F1 mice |
50–320 mg/kg bw orally |
Negative |
Edwards (1999) |
|
744 |
Furfural |
Unscheduled DNA synthesis |
Fischer 344 rats |
5–50 mg/kg bw orally |
Negative |
Phillips et al. (1997) |
|
745 |
5-Methylfurfural |
Reverse mutation |
S. typhimurium TA1537, TA100, TA1535 |
288 µg/plate |
Negativea,b |
Florin et al. (1980) |
|
745 |
5-Methylfurfural |
Reverse mutation |
S. typhimurium TA98, TA100, TA102 |
96,100 µg/plate |
Negativea,b |
Aeschbacher et al. (1989) |
|
745 |
5-Methylfurfural |
Reverse mutation |
S. typhimurium TA98, TA100 |
79–316 µg/plate |
Negativea,b |
Shinohara et al. (1986) |
|
745 |
5-Methylfurfural |
DNA repair |
B. subtilis H17 (rec+) and M45 (rec–) |
0.55–5500 µg/disk |
Positivea,b |
Shinohara et al. (1986) |
|
745 |
5-Methylfurfural |
Sister chromatid exchange |
Chinese hamster ovary cells |
2200–4070 µg/ml |
Positivea,b |
Stich et al. (1981b) |
a
Without metabolic activation from a 9000 ´ g supernatant of rat liverb
With metabolic activationc
Concentration added to cultureAdams, T.B., Lake, B.G., Beamad, J.A., Price, R.J., Ford, R.A. & Goodman, J.I. (1998) An investigation of the effect of furfural on the unscheduled DNA synthesis in cultured human liver slices. Toxicologist, 42, 79.
Aeschbacher, H.U., Wolleb, U., Loliger, J., Spadone, J.C. & Liardon, R. (1989) Contribution of coffee aroma constituents to the mutagenicity of coffee. Food Chem. Toxicol., 27, 227–232.
Anders, M.W. (1989) Biotransformation and bioactivation of xenobiotics by the kidney. In: Hutson, D.H., Caldwell, J. & Paulson, G.D., eds, Intermediary Xenobiotic Metabolism in Animals, New York: Taylor & Francis, pp. 81–97.
Barciszewski, J., Siboska, G.E., Pedersen, B.O., Clark, B.F.C. & Rattan, S. (1996) Evidence for the presence of kinetin in DNA and cell extracts. FEBS Lett., 393, 197–200.
Barciszewski, J., Siboska, G.E., Pedersen, B.O., Clark, B.F.C. & Rattan, S. (1997a) Furfural; a presursor of the cyokinin hormone kinatin, and base propenals are formed by hydroxyl radical damage to DNA. Biochem. Biophys. Res. Commun., 238, 317–319.
Barciszewski, J., Siboska, G.E., Pedersen, B.O., Clark, B.F.C. & Rattan, S. (1997b) A mechanism of the in vivo formation of N6-furfuryladenine, kinetin, as a secondary oxidative damage product of DNA. FEBS Lett., 414, 457–460.
Boopathy, R., Bokang, H. & Daniels, L. (1993) Biotransformation of furfural and 5-hydroxymethyl furfural by enteric bacteria. J. Ind. Microbiol., 11, 147–150.
Boyd, M.R., Burka, L.T. & Wison, B.J. (1975) Metabolism studies with alkyl 14-C-ipomeanol in rats. Toxicol. Appl. Pharmacol., 32, 147–157.
Boyland, F. (1940) Experiments on the chemotherapy of cancer. 4. Further experiments with aldehydes and their derivatives. Biochem. J., 34, 1196–1201.
Buck, N.R. (2000) The hydrolysis of cinnamyl and furfuryl esters. Unpublished report from the University of Southampton, United Kingdom. Submitted to WHO by the Flavor and Extract Manufacturers Association of the United States.
Bueld, J.E. & Netter, K.J. (1993) Factors affecting the distribution of ingested propionic acid in the rat forestomach. Food Chem. Toxicol., 31, 169–176.
Butterworth, K.R., Gaunt, I.F., Heading, C.E., Grasso, P. & Gangolli, S.D. (1978) Short-term toxicity of n-amyl alcohol in rats. Food Cosmet. Toxicol., 16, 203–207.
Caldwell, J. (1982) Conjugation reactions in foreign-compound metabolism: Definition, consequences, and species variations. J. Drug Metab. Rev., 13, 745–777.
Cramer, G.M., Ford, R.A. & Hall, R.L. (1978) Estimation of toxic hazard—A decision tree approach. Food Cosmet. Toxicol., 16, 255–276.
Dillon, D., Combes, R. & Zeiger, E. (1998) The effectiveness of Salmonella strains TA100, TA102 and TA104 for detecting mutagenicity of some aldehydes and peroxides. Mutagenesis, 13, 19–26.
Dix, T.A., Hess, K.M., Medina, M.A., Sullivan, W., Tilly, S.L. & Webb, T.L. (1996) Mechanism of site-selected DNA nicking by the hydrodioxyl (perhydroxyl) radical. Biochemistry, 35, 4578–4583.
Edwards A. (1999) An in vivo unscheduled DNA synthesis assay in the mouse with furfural. Report No. 3389/1/1/99. Unpublished report from BIBRA International, Carshalton, United Kingdom. Submitted to WHO by the Flavor and Extract Manufacturers’ Association of the United States.
Fassett, D.W. (1963) Aldehydes and acetals. J. Ind. Hyg. Toxicol., 2, 1959–1989.
Feron, V.J. (1972) Respiratory tract tumors in hamsters after intratracheal instillations of benzo(a)pyrene alone and with furfural. Cancer Res., 32, 28–36.
Feron, V.J. & Kruysse, A. (1978) Effects of exposure to furfural vapour in hamsters simultaneously treated with benzo(a)pyrene or diethylnitrosamine. Toxicology, 11, 127–144.
Flek, J. & Sedivec, V. (1978) The absorption, metabolism and excretion of furfural in man. Arch. Occup. Environ. Health, 41, 159–168.
Florin, I., Rutberg, L., Curvall, M. & Enzell, C.R. (1980) Screening of tobacco smoke constituents for mutagenicity using the Ames’ test. Toxicology, 15, 219–232.
Friedmann, E. (1911) [Behaviour of furfuracrylic acid and furoylacetic acid in the animal body.] J. Biochem. Z., 35, 40–48 (in German).
Gajewski, J.R. & Alsdorf, W.R. (1949) Studies on furan compounds: Toxicity and pharmacological action of furfuryl alcohols. Fed. Proc., 8, 294.
Germond, J., Philippossian, G., Richli, U., Bracco, I. & Arnaud, M. (1987) Rapid and complete urinary elimination of [14C]-5-hydroxymethyl-2-furaldehyde administered orally or intravenously to rats. J. Toxicol. Environ. Health, 22, 79–89.
Godfrey, V.B., Chen, L., Griffin, R.J., Lebetkin, E.H. & Burka, L.T. (1999) Distribution and metabolism of (5-hydroxymethyl)furfural in male F344 rats and B6C3F1 mice after oral administration. J. Toxicol. Environ. Health Part A, 57, 199–210.
Gomez-Arroyo, S. & Souza, V. (1985) In vitro and occupational induction of sister-chromatid exchanges in human lymphocytes with furfuryl alcohol and furfural. Mutat. Res., 156, 233–238.
Gregus, Z., Fekete, T., Varga, F. & Klaassen, C.D. (1993) Dependence of glycine conjugation on availability of glycine: Role of the glycine cleavage system. Xenobiotica, 23, 141–153
Grundschober, F. (1977) Toxicological assessment of flavoring esters. Toxicology, 8, 387–390.
Gupta, G.D., Misra, A. & Agarwal, D.K. (1991) Inhalation toxicity of furfural vapours: An assessment of biochemical response in rat lungs. J. Appl. Toxicol., 11, 343–347.
Haag, H.B., Finnegan, J.K., Larson, P.S. & Smith, R.B., Jr (1959) Studies on the acute toxicity and irritating properties of the congeners in whisky. Toxicol. Appl. Pharmacol., 1, 618–627.
Heymann, E. (1980) Carboxylesterases and amidases. In: Enzymatic Basis of Detoxication, New York: Academic Press, Vol. 2, pp. 291–323. Submitted to WHO by the Flavor and Extract Manufacturers’ Association of the United States.
International Organization of the Flavour Industry (1995) European Inquiry on Volume of Use. Unpublished report to the Flavor and Extract Manufacturers’ Association of the United States, Washington DC, USA.
Jansson, T., Curvall, M., Hedin, A. & Enzell, C.R. (1986) In vitro studies of biological effects of cigarette smoke condensate. II. Induction of sister-chromatid exchanges in human lymphocytes by weakly acidic, semivolatile constituents. Mutat. Res., 169, 129–139.
Jenner, P.M., Hagan, E.C., Taylor, J.M., Cook, E.L. & Fitzhugh, O.G. (1964) Food flavorings and compounds of related structure. I. Acute oral toxicity. Food Cosmet. Toxicol., 2, 327–343.
Jonek, J.J., Konecki, J. & Kaminski, M. (1975) Histoenzymatic changes in liver in acute poisoning with furfural. J. Morphol. Embryol., 21, 47–51.
Jonker, D. (1998) 14-day range-finding oral toxicity study in rats with micro-encapsulated furfural. Unpublished report from TNO Nutrition and Food Research Institute, Zeist, Netherlands. Submittted to WHO by the Flavor and Extract Manufacturers’ Association of the United States.
Jonker, D. (2000) Sub-chronic (13-week) oral toxicity study in rats with micro-encapsulated furfural. TNO Report V99.520, Vols 1–3. Unpublished report from TNO Nutrition and Food Research Institute, Zeist, Netherlands. Submitted to WHO by the Flavor and Extract Manufacturers’ Association of the United States.
Kaminska, O. (1977) Morphological and histochemical investigations of liver and kidneys in different stage of furfural poisoning. Fol. Histochem. Cytochem., 15, 150–151.
Kim, S.B., Hayase, F. & Kato, H. (1987) Demutagenic effects of alpha-dicarbonyl and alpha-hydroxycarbonyl compounds against mutagenic heterocyclic amines. Mutat. Res., 177, 9–15.
Koenig, K. & Andreesen, J.R. (1990) Xanthine dehydrogenase and 2-furoyl-coenzyme A dehydrogenase from Pseudomonas p. Fu1; two molybenum-containing dehydrogenases of novel structural composition. J. Bacteriol., 172, 5999–6009.
Liebert, J.J. (1988) Metabolism of 5-methyl-2-furfural in rats. III. Identification and determination of 5-methyl-2-furyl methyl ketone. Xenobiotica, 18, 887–892.
Loquet, C., Toussaint, G. & LeTalaer, J.Y. (1981) Studies of mutagenic constituents of apple brandy and various alcoholic beverages collected in western France. Mutat. Res., 88, 155–164.
Lucas, C.D., Putnam, J.M. & Hallagan, J.B (1999) 1995 Poundage and Technical Effects Update Survey, Washington DC: Flavor and Extract Manufacturers’ Association of the United States.
Maarse, H., Visscher, C.A., Willimsens, L.C., Nijssen, L.M. & Boelens, M.H., eds (1994) Volatile Components in Food—Qualitative and Quantitative Data, 7th Ed., Centraal Instituut Voor Voedingsonderzioek TNO, Zeist, Netherlands.
Maarse, H., Visscher, C.A., Willimsens, L.C., Nijssen, L.M. & Boelens, M.H., eds (1996) Volatile Components in Food—Qualitative and Quantitative Data, Centraal Instituut Voor Voedingsonderzioek TNO, Zeist, Netherlands.
Marnett, L.J., Hurd, H.K., Hollstein, M.C., Levin, D.E., Esterbauer, H. & Ames, B.N. (1985) Naturally occurring carbonyl compounds are mutagens in Salmonella tester strain TA104. Mutat. Res., 148, 25–34.
Matsui, S., Yamamoto, R.. & Yamada, H. (1989) The Bacillus subtilis/microsome rec-assay for the detection of DNA damaging substances which may occur in chlorinated and ozonated waters. Water Sci. Technol., 21, 875–887.
McGregor, D.B., McConville, M.L., Prentice, R.D.M. & Riach, C.G. (1981) Mutagenic activity of 123 compounds with known carcinogenic potential. Submitted to WHO by the Flavor and Extract Manufacturers’ Association of the United States.
McGregor, D.B., Brown, A., Cattanach, P., Edwards, I., McBride, D. & Caspary, W.J. (1988) Responses of the L5178Y tk+/tk– mouse lymphoma cell forward mutation assay II: 18 coded chemicals. Environ. Mol. Mutag., 11, 91–118.
McMahon, R.E., Cline, J.C. & Thompson, C.Z. (1979) Assay of 855 test chemicals in ten tester strains using a new modification of the Ames test for bacterial mutagens. Cancer Res., 39, 682–693.
Mellick, P.W., Leach, C.L., Chou, B.J., Irwin, R.D. & Roycroft, J.H. (1991) Nasal toxicity in F344 rats inhaling furfuryl alcohol for 2 or 13 weeks. Toxicologist, 11, 183.
Mishra, A., Dwivedi, P.D., Verma, A.S., Sinha, M., Mishra, J., Lal, K., Pandya, K.P. & Dutta, K.K. (1991) Pathological and biochemical alterations induced by inhalation of furfural vapor in rat lung. J. Bull. Environ. Contam. Toxicol., 47, 668–674.
Moreno, O. (1978) Acute oral toxicity in rats. Unpublished report by MB Research Laboratories Inc. Submitted to WHO by the Flavor and Extract Manufacturers’ Association of the United States.
Mortelmans, K., Haworth, S., Lawlor, T., Speck, W., Tainer, B. & Zeiger, E. (1986) Salmonella mutagenicity tests: II. Results from the testing of 270 chemicals. Environ. Mutag., 8, 1–119.
Nakamura, S.-I., Oda, Y., Shimada, T., Oki, I. & Sugimoto, K. (1987) SOS-inducing activity of chemical carcinogens and mutagens in Salmonella typhimurium TA1535/pSK1002: Examination with 151 chemicals. Mutat. Res., 192, 239–246.
National Academy of Sciences (1989) 1987 Poundage and Technical Effects Update of Substances Added to Food, Washington DC.
National Toxicology Program (1990) Toxicology and Carcinogenesis Studies of Furfural (CAS No. 98-01-1) in F344/N Rats and B6C3F1 Mice (Gavage Studies), NTP Technical Report Series No. 382; NIH Publication No. 90-2837, Research Triangle Park, North Carolina, USA.
National Toxicology Program (1999) Toxicology and Carcinogenesis Studies of Furfuryl Alcohol (CAS No. 98-00-0) in F344/N Rats and B6C3F1 Mice (Inhalation Studies), NTP Technical Report Series 482; NIH Publication No. 99-3972, Research Triangle Park, North Carolina, USA.
Nishi, Y., Miyakawa, Y. & Kato, K. (1989) Chromosome aberrations induced by pyrolysates of carbohydrates in Chinese hamster V79 cells. Mutat. Res., 227, 117–123.
Nomeir, A.A., Silveria, D.M., McComish, M.F. & Chadwick, M. (1992) Comparative metabolism and disposition of furfural and furfuryl alcohol in rats. Drug Metab. Disposition, 20, 198–204.
Nutley, B.P., Farmer, P. & Caldwell, J. (1994) Metabolism of trans-cinnamic acid in the rat and the mouse and its variation with dose. J. Food Chem. Toxicol., 32, 877–886.
Osawa, T. & Namiki, M. (1982) Mutagen formation in the reaction of nitrite with the food components analogous to sorbic acid. Agric. Biol. Chem., 45, 2299–2304.
Parkash, M.K. & Caldwell, J. (1994) Metabolism and excretion of [14C]-furfural in the rat and the mouse. Food Chem. Toxicol., 32, 887–895.
Paul, H.E., Austin, F.L., Paul, M.F. & Ells, U.R. (1948) Metabolism of the nitrofurans. I. Ultraviolet absorption studies of the urinary products after oral administration. J. Biol. Chem., 180, 345–363.
Phillips, B.J., Jackson, L.I., Tate, B., Price, R.J., Adams, T.B., Ford, R.A., Goodman, J.I. & Lake B.J. (1997) Furfural does not induce unscheduled DNA synthesis (UDS) in the in vivo rat hepatocyte DNA repair assay. Submitted to WHO by the Flavor and Extract Manufacturers’ Association of the United States.
Posternak, J.M., Linder, A. & Vodoz, C.A. (1969) Summary of toxicological data. Toxicological tests on flavor matters. Food Cosmet. Toxicol., 7, 405–407.
Ramsdell, H.S. & Eaton, D.L. (1990) Species susceptibility to aflatoxin B1 carcinogenesis: Comparative kinetics of microsomal biotransformation. Cancer Res., 50, 615.
Ravindranath, A. & Boyd, M.R. (1985) Metabolic activiation of 2-methylfuran by rat microsomal systems. Toxicol. Appl. Pharmacol., 78, 370–376.
Rice, W.W. (1972) Furfural: Exogenous precursor of certain urinary furans and possible toxicologic agent in humans. Clin. Chem., 18, 1550–1551.
Rodriguez-Arnaiz, R., Morales, P.R., Moctezuma, R.V. & Salas, R.M.B. (1989) Evidence for the absence of mutagenic activity of furfuryl alcohol in tests of germ cells in Drosophila melanogaster. Mutat. Res., 223, 309–311.
Rodriquez-Arnaiz, R., Morales, P.R. & Zimmering, S. (1992) Evaluation in Drosophila melanogaster of the mutagenic potential of furfural in the mei-9(a) test for chromosome loss in germ-line cells. Mutat. Res., 280, 75–80.
Shane, B.S., Troxclair, A.M., McMillin, D.J. & Henry, C.B. (1988) Comparative mutagenicity of nine brands of coffee to Salmonella typhimurium TA100, TA102, and TA104. Environ. Mol. Mutag., 11, 195–206.
Shimizu, A. & Kanisawa, M. (1986) Experimental studies on hepatic cirrhosis and hepato-carcinogenesis. I. Production of hepatic cirrhosis by furfural administration. Acta Pathol. Jpn., 36, 1027–1038.
Shinohara, K., Kim, E. & Omura, H. (1986) Furans as the mutagens formed by amino-carbonyl reactions. In: Fujimaki, M., Namaiki, M. & Kato, H., eds, Developments in Food Science 13: Amino–Carbonyl Reactions in Food and Biological Systems, Tokyo: Kodansha Ltd.
Stich, H.F., Rosin, M.P., San, R.H.C., Wu, C.H. & Powrie, W.D. (1981a) Intake, formation, and release of mutagens by man. In: Gastrointestinal Cancer, Endogenous Factors (Banbury Report 7), Cold Spring Harbor, New York: CSH Press, pp. 247–266.
Stich, H.F., Rosin, M.P., Wu, C.H. & Powrie, W.D. (1981b) Clastogenicity of furans found in food. Cancer Lett., 13, 89–95.
Stofberg, J. & Grundschober, F. (1987) Consumption ratio and food predominance of flavoring materials. Perfumer Flavorist, 12, 27.
Stofberg, J. & Kirschman, J.C. (1985) The consumption ratio of flavoring materials: A mechanism for setting priorities for safety evaluation. Food Chem. Toxicol., 23, 857–860.
Subramanyam, S., Sailaja, D. & Rathnapra, D. (1989) Genotoxic assay of two dietary furans by some in vivo cytogenic parameters. Environ. Mol. Mutag., 14, 239.
Sujatha, P.S. & Subramanyam, S. (1994) Clastogenicity of furfuryl alcohol in a mouse bone marrow system. Med. Sci. Res., 22, 281–284.
Voet, D. & Voet, J.G. (1990) Biochemistry, New York: John Wiley & Sons.
Woodruff, R.C., Mason, J.M., Valencia, R. & Zimmering, S. (1985) Chemical mutagenesis testing in Drosophila. V. Results of 53 coded compounds tested for the National Toxicology Program. Environ. Mutag., 7, 677–702.
Zdzienicka, M., Tudek, B., Zielenska, M. & Szymczyk, T. (1978) Mutagenic activity of furfural in Salmonella typhimurium TA100. Mutat. Res., 58, 205–209.
See Also:
Toxicological Abbreviations