IPCS INCHEM Home


    INTERNATIONAL PROGRAMME ON CHEMICAL SAFETY

    WORLD HEALTH ORGANIZATION



    TOXICOLOGICAL EVALUATION OF CERTAIN 
    VETERINARY DRUG RESIDUES IN FOOD



    WHO FOOD ADDITIVES SERIES 45





    Prepared by the
    Fifty-fourth meeting of the Joint FAO/WHO
    Expert Committee on Food Additives (JECFA)



    World Health Organization, Geneva, 2000

    DICYCLANIL

    First draft prepared by
    M.E.J. Pronk and G.J. Schefferlie
    Centre for Substances and Risk Assessment,
    National Institute of Public Health and the Environment,
    Bilthoven, The Netherlands

            Explanation 
            Biological data 
                Biochemical aspects
                    Absorption, distribution, and excretion 
                    Biotransformation 
                Toxicological studies 
                    Acute toxicity
                    Short-term studies of toxicity 
                    Long-term studies of toxicity and carcinogenicity
                    Genotoxicity
                    Reproductive toxicity 
                        Multigeneration studies 
                        Developmental toxicity
                    Special studies: Pharmacological effects
            Comments 
            Evaluation 
            References 


    1.  EXPLANATION

         Dicyclanil is a pyrimidine-derived regulator of insect growth
    used for topical treatment of sheep to prevent larval infestation by
    the blowfly  (Lucilia cuprina). It is used as a pour-on formulation
    containing 5% (w/v) of the drug. Data were provided on the use of
    dicyclanil applied as a pour-on formulation to sheep at a maximum dose
    of 0.1 g/kg bw. Dicyclanil has not previously been evaluated by the
    Committee.

         The chemical name of dicyclanil (CAS No. 112636-83-6) is
    4,6-diamino-2-cyclopropylamino-pyrimidine-5-carbonitrile. The purity
    of the technical-grade material used in the pivotal studies of
    toxicity and pharmacology was 94.3%, unless otherwise stated.

    2.  BIOLOGICAL DATA

    2.1  Biochemical aspects

    2.1.1  Absorption, distribution, and excretion

         Five groups of three male Han Wistar rats received a single dose
    of 50 mg/kg bw technical-grade dicyclanil in polyethylene glycol
    200:ethanol (5:3 v/v) by oral gavage. Blood samples were taken from
    one group each at 2, 4, 8, 16, and 24 h after administration. The
    maximum concentration of dicyclanil in plasma, approximately 20 µg/ml,

    was found in the animals sampled at 8 h. The concentration in plasma
    from animals sampled at 24 h ranged from 1.6 to 3.6 µg/ml. The study
    was of unconventional design, without GLP or quality assurance
    certification. The pharmacokinetics of dicyclanil could not be
    calculated (Dubach-Powell, 1996).

         [2-14C]Pyrimidyl-labelled dicyclanil (purity, 98%) in
    polyethylene glycol 200: ethanol (5:3 v/v) was administered to
    Tif:RAIf (SPF) rats by oral gavage for 7 consecutive days at a dose of
    0.5 or 20 mg/kg bw per day. Urine and faeces were collected throughout
    treatment, until the time of death. Three rats of each sex per dose
    were killed 24 and 72 h after the last dose, and abdominal fat,
    kidneys, liver, skeletal muscle, plasma, whole blood, gastrointestinal
    tract with contents, and the residual carcass were taken for analysis.
    All samples were analysed for radiolabel by liquid scintillation
    counting. The study was certified for compliance with GLP and quality
    assurance.

         On the basis of the radiolabel in urine and tissues, absorption
    from the gastrointestinal tract represented 80-85% of the administered
    dose. Within 24 h after the last dose, 93-96% of the total dose had
    been excreted, predominantly via the urine (79-83%) and to a lesser
    extent via the faeces (6-12%). During the following 48 h, only an
    additional 2-3% was excreted, indicating rapid elimination of the
    absorbed material. The concentration of radiolabel in tissues 24 h
    after the final dose of 0.5 mg/kg bw was < 4 µg/kg as dicyclanil
    equivalents, except in liver (270 µg/kg), blood (170 µg/kg), kidneys
    (37 µg/kg), and residual carcass (23 µg/kg). At 72 h, these
    concentrations had declined to 40-80% of their values at 24 h, except
    in blood, where the levels declined very slowly. The radiolabel in
    blood was associated with erythrocytes. The concentrations of residues
    in tissue were proportional to the dose. No differences were observed
    between males and females (Hassler, 1994).

    2.1.2  Biotransformation

         In the study of Hassler (1994) described above, the metabolites
    in urine, faeces, and tissues were characterized by thin-layer
    chromatography and those in urine and faeces also by high-performance
    liquid chromatography. Further investigations on the same samples
    included solid-phase extraction, high-voltage electrophoresis, and
    nuclear magnetic resonance, infrared, and mass spectroscopy. This
    study was certified for compliance with GLP and quality assurance
    (Thanei, 1996a).

         The metabolic pattern in urine, faeces, and selected tissues
    constituted up to 12 metabolite fractions and was essentially
    independent of dose and sex. One major fraction, representing 48-54%
    of the total dose, dominated the urinary metabolite pattern and was
    identified as  N-(4,6-diamino-5-cyano-pyrimidin-2-yl)propionamide.
    The parent compound was also found in urine, where it accounted for
    2-7% of the total dose. Other identified urinary metabolites were
    2,4,6-triaminopyrimidin-5-carbonitrile (9-10%),

    3-(4,6-diamino-5-cyanopyrimidin-2-ylamino)propionic acid (4-10%), and
    2-(4,6-diamino-5-cyanopyrimidin-2-ylamino)-3-hydroxypropionic acid
    (1-3%). All these metabolites were also identified in faeces, but at
    markedly lower concentrations, each fraction representing < 3% of the
    total dose. The parent compound accounted for approximately 1% of the
    total dose in faeces. Besides polar metabolites,
    2,4,6-triaminopyrimidin-5-carbonitrile was the major metabolite in
    liver and kidneys, with smaller amounts of parent compound and
    probably  N-(4,6-diamino-5-cyanopyrimidin-2-yl)propionamide. A
    similar but quantitatively different metabolic pattern was observed in
    muscle and fat, which contained more nonpolar metabolites (most
    pronounced in fat) (Hassler, 1994; Thanei, 1996a).

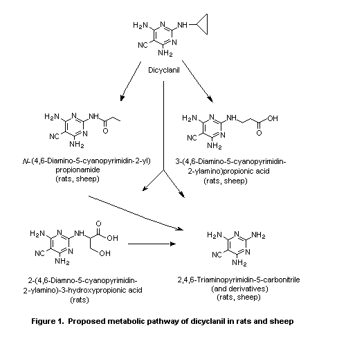
         Biotransformation of dicyclanil in rats is limited to the
    cyclopropyl ring, while the cyano group is metabolically stable.
    Biotransformation in rats involves oxidative opening of the
    cyclopropyl ring at various positions, followed by further oxidation
    and cleavage of the cyclopropyl- N-bond (i.e. dealkylation). Most of
    the metabolites are the result of more than one transformation. The
    metabolic pathways of dicyclanil in sheep treated topically are
    essentially the same as those in rats (Phillips, 1996; Thanei, 1996b;
    Löffler, 1998). The proposed metabolic pathway of dicyclanil in rats
    and sheep is given in Figure 1.

    2.2  Toxicological studies

    2.2.1  Acute toxicity

         In studies with technical-grade dicyclanil in distilled water
    containing 0.5% carboxymethylcellulose in 0.1% aqueous polysorbate 80
    in male and female Tif:RAIf (SPF) rats, one study that followed OECD
    test guideline 401 with GLP and quality assurance certification showed
    an LD50 value after oral administration of 560 mg/kg bw in males and
    of approximately 500 mg/kg bw in females. Common signs of toxicity
    observed were piloerection, hunched posture, and dyspnoea. All animals
    had reduced locomotor activity, with ataxia in some males. At
    necropsy, involuted testes were found in two males that had received
    200 mg/kg bw dicyclanil (Hartmann, 1992a). In a study that followed
    OECD test guideline 402 with GLP and quality assurance certification,
    the LD50 after dermal application was > 2000 mg/kg bw in both males
    and females. The only signs of toxicity observed were piloerection and
    hunched posture (Hartmann, 1992b). In a study that followed OECD test
    guideline 403 with GLP and quality assurance certification, rats of
    the same strain were exposed by nose only to a dicyclanil aerosol for
    4 h (minimal mean aerodynamic diameter, 0.9-2.5 µm). The LC50 after
    exposure by inhalation was 3400 mg/m3 for males and 3000 mg/m3 for
    females. The toxic signs observed were piloerection, hunched posture,
    dyspnoea, and reduced locomotor activity. Spotted lungs were found in
    animals exposed to higher doses of dicyclanil, and abdominal
    distention was found in males that survived the high dose (Hartmann,
    1993). In all studies, the surviving animals recovered within 2-12
    days.

    FIGURE 1

         Three male New Zealand white rabbits (Chbb:NZW) received a
    semi-occlusive topical application of 0.5 g of technical-grade
    dicyclanil moistened with distilled water containing 0.5%
    carboxymethylcellulose in 0.1% aqueous polysorbate 80 to their shaved
    flanks. The study followed OECD test guideline 404, with GLP and
    quality assurance certification. Only very slight erythema was
    observed 1 ( n = 3) to 24 h ( n = 1) after removal of the patch
    (Hagemann, 1992a).

         In a study that followed OECD test guideline 405 with GLP and
    quality assurance certification, three female New Zealand white
    rabbits (Chbb:NZW) received an instillation of 0.1 ml (84 mg) of
    technical-grade dicyclanil into the conjunctival sac of one eye. The
    other eye served as control. The cornea appeared to be unaffected by
    treatment; one animal showed an affected iris 1 h after instillation
    but recovered within 24 h. Slight chemosis of the conjunctiva was
    observed in two animals 1 h after instillation, but they recovered
    within 24 h. Redness of the conjunctiva was seen in all animals,
    although at different grades (score 1 or 2), and recovery to normal
    occurred within 1-7 days (Hagemann, 1992b).

         In 10 male and 10 female Pirbright white Tif:DHP guinea-pigs
    submitted to an optimization test that followed OECD test guideline
    406 with GLP and quality assurance certification, no significant skin
    sensitization (1/20 positive) was observed after epidermal challenge
    with 20% technical-grade dicyclanil in vaseline, this being a
    subirritant dose. When the skin barrier was intentionally bypassed,
    i.e. by intradermal challenge with a 0.1% solution of technical-grade
    dicyclanil in 10% propylene glycol, 13 of 20 treated animals showed
    positive reactions versus 3 of 20 animals given the vehicle
    ( p < 0.01) (Hagemann, 1993).

    2.2.2  Short-term studies of toxicity

          Rats 

         In a 28-day range-finding study, groups of five male and five
    female Tif:RAIf (SPF) rats received technical-grade dicyclanil
    (purity, > 98%) in the diet at a concentration of 0, 100, 500, or
    2000 mg/kg of diet, equal to average achieved intakes of 0, 9.5, 50,
    and 150 mg/kg bw per day for males and 0, 9.4, 49, and 160 mg/kg bw
    per day for females. The study followed OECD test guideline 407
    (adapted to the objectives of a range-finding study) without GLP or
    quality assurance certification.

         No treatment-related deaths occurred. Piloerection was observed
    in animals of each sex at the highest dose during the second half of
    the study. Dose-dependent reductions in food consumption, body-weight
    gain, and final body weight were noted in all treated groups. These
    were particularly marked in males at the high dose. Water consumption
    was reduced in females at 500 and 2000 mg/kg of diet. Increased
    incidences of anisocytosis and polychromasia of erythrocytes and a
    slightly lower (not statistically significant) leukocyte count were

    noted in males at the high dose. In both males and females at this
    dose, higher plasma concentrations of urea and cholesterol and
    increased activities of aspartate aminotransferase (twofold) and
    alanine aminotransferase (five- to sevenfold) were noted.
    Hypoglycaemia and lower plasma total bilirubin concentrations were
    also observed in these animals, although the changes were not
    statistically significant in females. Males at the high dose also had
    slightly lower plasma globulin and calcium concentrations, while
    females at this dose had an increased plasma phosphate concentration.
    Consistent with the reduced body weights of all treated animals, the
    absolute weights of a number of organs were decreased, whereas the
    relative weights of a number of other organs were increased. The only
    notable changes in organ weights which could be considered to be
    treatment-related effects were reductions in the absolute and relative
    weights of the prostate in males at the intermediate and high doses
    and of the adrenals in females at the low and intermediate doses. No
    macroscopic changes were found, apart from emaciation at the high
    dose. Histopathologically, reduced spermatogenesis in the testes was
    seen in 1/5 males at 500 mg/kg of diet and 5/5 males at 2000 mg/kg of
    diet, accompanied by accumulation of cellular debris in the epididymal
    duct in all those at the high dose. These animals also showed
    immaturity of the prostate. In 1/5 females at 500 mg/kg of diet and in
    4/5 females at 2000 mg/kg of diet, polyovular ovarian follicles, as
    indicated by hypercellularity, were seen (Bachmann, 1991).

         In a 3-month study of toxicity, groups of 10 male and 10 female
    Tif:RAIf (SPF) rats received technical-grade dicyclanil in the diet at
    a concentration of 0, 5, 25, 125, or 500 mg/kg of diet, equal to
    average achieved intakes of 0, 0.31, 1.6, 8.0, and 33 mg/kg bw per day
    for males and 0, 0.31, 1.7, 8.4, and 34 mg/kg bw per day for females.
    Ten additional animals of each sex in the control and high-dose groups
    were kept for a 4-week recovery period. The study followed OECD test
    guideline 408, with GLP and quality assurance certification.

         No treatment-related deaths or clinical signs were observed.
    Slight reductions in body-weight gain and food consumption were
    observed in animals of each sex at the high dose and in males at 125
    mg/kg of diet. Owing to a compensatory increase in food intake during
    the recovery period, the body weights of animals at the high dose were
    comparable to those of the controls by the end of the recovery period.
    Chemical analysis of blood revealed slightly lower plasma glucose
    concentrations in males and females at 125 and 500 mg/kg of diet at
    the end of the treatment period, but this was reversed within the
    recovery period. Higher organ:body weight ratios were observed for
    kidneys, brain, and testis in males at the high dose and for liver and
    brain in females at this dose, these changes being reversible within
    the 4-week recovery period. Although the relative epididymidal weights
    were increased in males at doses > 25 mg/kg of diet, this was
    considered not to be toxicologically significant because the absolute
    epididymidal weights were not different from those of controls and
    there were no abnormal histopathological findings. No
    treatment-related ophthalmological or haematological changes were
    observed, and no gross or microscopic alterations were observed. One

    female at the high dose that was alllowed to recover had a mammary
    tumour, which was considered to be of spontaneous origin. On the basis
    of the reduction in body-weight gain, the NOEL was 25 mg/kg of diet,
    equal to 1.6 mg/kg bw per day (Bachmann, 1993).

         In a study that followed OECD test guideline 410 with GLP and
    quality assurance certification, groups of five male and five female
    Tif:RAIf (SPF) rats received dermal applications of  technical-grade
    dicyclanil at a dose of 0, 5, 30, 300, or 1000 mg/kg bw per day, 6
    h/day on 5 days per week for 4 weeks. Dicyclanil was dissolved in
    water containing 0.5% carboxymethylcellulose and 0.1% polysorbate 80
    and was applied under an occlusive dressing to a clipped dorsal area
    of the skin. At the end of each application period, the site was
    washed with lukewarm water.

         None of the animals died and no treatment-related clinical signs
    were observed. Apart from a few incidental findings, no signs of local
    skin irritation were seen. Male rats at 300 and 1000 mg/kg bw per day
    showed dose-dependently decreased body weights and body-weight gain
    and slightly lower food consumption. The plasma concentrations of
    sodium and calcium were slightly reduced in these animals. Females at
    the high dose showed increased absolute and relative liver weights. A
    similar effect was observed in females at 300 mg/kg bw per day but did
    not reach statistical significance. The absolute, but not the
    relative, weight of the brain of females was increased at doses
    > 30 mg/kg bw per day, without histopathological findings. No
    treatment-related effects were noted on gross examination. Microscopic
    examination showed hepatocyte hypertrophy in males at 1000 mg/kg bw
    per day and in females at 300 and 1000 mg/kg bw per day. The NOEL was
    30 mg/kg bw per day, on the basis of decreased body-weight gain and
    changes in the liver (Marty, 1995).

          Dogs 

         In a 28-day range-finding study, groups of two male and two
    female beagles were given technical-grade dicyclanil (purity, > 98%)
    in the diet at a concentration of 0, 200, 1000, or 2500 mg/kg of diet,
    equal to average achieved intakes of 0, 5.6, 31, and 66 mg/kg bw per
    day for males and 0, 6.2, 30, and 50 mg/kg bw per day for females. The
    study followed OECD test guideline 409 (adapted to the objectives of a
    range-finding study) without GLP (except for the pathology report) or
    quality assurance certification.

         No treatment-related deaths occurred. The clinical signs included
    body tremors (in animals of each sex at 2500 mg/kg of diet), vomiting
    (in animals of each sex at 2500 mg/kg of diet and in one male at 1000
    mg/kg of diet), dyspnoea and slight apathy (in males at 2500 mg/kg of
    diet). Animals at the high dose lost weight and had reduced food
    consumption, and females at 1000 mg/kg of diet also showed a slight
    reduction in food consumption. The reduction in food consumption did
    not appear to be due to unpalatability. One male and one female at the
    high dose showed a prolonged prothrombin time, and the other male at
    the high dose had a slightly increased number of blood platelets.

    Alanine aminotransferase activity was markedly increased and alkaline
    phosphatase activity slightly increased in one male at the high dose
    and in one female at the intermediate and one at the high dose;
    aspartate aminotransferase activity was also increased in the female
    at the high dose. Very slight decreases were observed in plasma
    potassium concentrations in males at the intermediate and high doses,
    in plasma glucose concentration in females at the high dose, and in
    the plasma concentrations of urea, creatinine, and total bilirubin in
    males and females at the high dose. Urinary analysis revealed an
    increased incidence of proteinuria in males at the high dose and
    females at the intermediate and high doses. The absolute and relative
    weights of the testis and thymus were markedly decreased and those of
    the heart slightly decreased at 2500 mg/kg of diet. In animals of each
    sex at 1000 and 2500 mg/kg of diet, the absolute and relative weights
    of the adrenal and kidney were increased, but without any
    histopathological changes. Microscopic examination revealed hepatic
    toxicity in one female at 1000 mg/kg of diet and in all animals at
    2500 mg/kg of diet. The toxicity included focal or single-cell
    necrosis, inflammatory-cell foci, and a brown granular pigment in
    macrophages. One female at the intermediate dose also had mild
    bile-duct hyperplasia, and one male at the high dose had periportal
    hepatocyte enlargement. The testes of males at this dose showed
    degeneration characterized by reduced numbers of tailed spermatids and
    increased numbers of multinucleated or giant cells. Mild thymic
    atrophy was noted in animals of each sex at the highest dose. The
    heart of one male at this dose was mottled and showed inflammation,
    fibrosis, and haemorrhage. Tubular basophilia or dilatation was
    present in the kidneys of all animals at the high dose, two at the
    intermediate dose, and one at the low dose, but not in controls. This
    lesion is of minimal toxicological significance (Altmann, 1991).

         Groups of four male and four female beagles received
    technical-grade dicyclanil in the diet at a concentration of 0, 20,
    100, 500, or 1500 mg/kg of diet for 3 months, equal to average
    achieved intakes of 0, 0.61, 2.7, 14, and 42 mg/kg bw per day for
    males and 0, 0.71, 3.5, 17, and 42 mg/kg bw per day for females. The
    study followed OECD test guideline 409, with GLP and quality assurance
    certification.

         One male at the high dose was found dead at week 11 after general
    deterioration in clinical condition accompanied by tonic-clonic
    spasms. Post-mortem examination did not reveal the cause of death.
    Animals at the high dose started to show clinical signs from week
    9-11, including slight ataxia, unnaturally raised tails, and frequent
    shaking. In addition, vomitus and traces of blood in the faeces were
    observed. Ophthalmoscopic examinations revealed no treatment-related
    changes. Animals at the high dose lost weight (males only) or had
    reduced body-weight gain with reduced food intake. A very slight
    reduction in food intake was also observed transiently in some animals
    at 500 mg/kg of diet. Slightly reduced haemoglobin concentrations and
    haematocrit values, associated with minor microcytosis and
    hypochromasia of erythrocytes, were recorded in animals at the high
    dose. Increased plasma cholesterol and phospholipid concentrations

    were observed in animals at doses > 100 mg/kg of diet. Plasma
    albumin concentrations were slightly decreased in males and females at
    1500 mg/kg of diet and in females at 500 mg/kg of diet. Decreased
    plasma calcium, potassium, urea, creatinine, and total bilirubin
    concentrations were found in animals at the high dose. Urinary
    analysis revealed no treatment-related effects. The mean absolute and
    relative liver weights were increased in animals at the highest dose
    and in females also at 20, 100 (not statistically significant), and
    500 mg/kg of diet (not dose-related). The absolute and relative
    adrenal weights were also slightly increased at the high dose. The
    absolute and relative weights of the thymus (males), testis, and
    spleen (both sexes) were decreased in animals at the high dose. The
    kidney weights were increased in males (relative) and females
    (absolute and relative) at 1500 mg/kg of diet. Macroscopic examination
    showed no treatment-related effects. Microscopy of the liver showed
    minimal to moderate focal or multifocal subcapsular inflammation with
    fibrosis in 2/4 males and 3/4 females at the high dose. Enlarged
    hepatocytes, diagnosed as cellular oedema, were observed in the
    centrilobular and midzonal region of 3/4 females at 20, 100, and 500
    mg/kg of diet and in 1/4 males and all females at 1500 mg/kg of diet.
    No morphological signs of hepatocellular damage were apparent. Minimal
    atrophy of the white pulp of the spleen was observed in 3/4 males at
    500 and 1500 mg/kg of diet and in all females at 1500 mg/kg of diet.
    Thymic atrophy was found in 3/4 males at 500 mg/kg of diet and in all
    males at 1500 mg/kg of diet. Minimal atrophy of the lymphatic tissue
    of the mesenteric lymph node was observed in 3/4 males at the high
    dose, and minimal to marked atrophy of the glandular tissue of the
    prostate was detected in 3/4 males at 100 mg/kg of diet, 1/4 at 500
    mg/kg of diet, and 4/4 at 1500 mg/kg of diet. Examination of the
    testes revealed minimal tubular atrophy in 3/4 males at the high dose,
    associated with a marked reduction in spermatogenesis in all males of
    this group. A dose-related increase in the frequency of inflammatory
    changes associated with epithelial hyperplasia was found in the
    urinary bladders of females at 100, 500, and 1500 mg/kg of diet
    (Altmann, 1993). The Committee noted that hepatocyte oedema without
    hepatocellular damage is not of toxicological significance. Hence, the
    NOEL was 20 mg/kg of diet, equal to 0.61 mg/kg bw per day, on the
    basis of increased plasma cholesterol concentrations and
    histopathological findings in the prostate and urinary bladder.

         In a 1-year study of toxicity, groups of four male and four
    female beagles received technical-grade dicyclanil in the diet at a
    concentration of 0, 5, 25, 150, or 750 mg/kg of diet, equal to average
    achieved intakes of 0, 0.16, 0.71, 4.4, and 23 mg/kg bw per day for
    males and 0, 0.15, 0.77, 5.1, and 23 mg/kg bw per day for females. Two
    additional animals per sex in the control and high-dose groups were
    maintained for a 4-week recovery period. The observations included
    deaths, clinical signs, body weight, food consumption, ocular,
    neurological, haematological, clinical chemical, and urinary
    parameters, and macroscopic and microscopic end-points. The study
    followed OECD test guideline 452, with GLP and quality assurance
    certification.

         One female at the high dose was found dead on day 13, with no
    previous abnormal clinical signs. One male at the high dose was killed
    on study day 32 after vomiting, showing marked apathy, lying in a
    lateral position, and weight loss correlated to reduced food intake.
    Vomiting was observed in females at the high dose, and the body-weight
    gain (in two animals) and food consumption of females at the high dose
    were slightly reduced. Ocular and neurological examinations revealed
    no treatment-related effects, nor were there any changes in
    haematological or urinary parameters. Throughout the treatment period,
    the plasma cholesterol concentrations were increased in animals of
    each sex at 750 mg/kg of diet (not statistically significant in
    females) and in males at 150 mg/kg of diet; in males, the change was
    not reversed after the 4-week recovery period. Males at the high dose
    showed slightly lower plasma calcium concentrations. Both males and
    females at the high dose had reduced plasma concentrations of
    bilirubin and urea and reduced alkaline phosphatase activity. The
    changes in blood chemistry were partially reversed during the recovery
    period. The absolute and relative liver weights were increased in
    animals at 750 mg/kg of diet, but only the change in absolute weight
    in males was statistically significant. The absolute (statistically
    significant) and relative weights of the heart were decreased in
    females at the high dose. The weight changes were reversed by the end
    of the 4-week recovery period. The macroscopic and microscopic
    findings were confined to the two animals at the high dose that died
    before the scheduled kill. The macroscopic findings consisted of a
    scar in the liver and pale kidneys in the male and a mass and
    haemorrhagic content in the abdominal cavity of the female.
    Histopathologically, both animals showed marked diffuse liver necrosis
    and kidney lesions (more severe in the male). The male also showed
    testicular and prostatic atrophy, and the female had a thrombus in a
    peritoneal blood vessel. The two animals suffered from acute, severe
    liver failure and resulting cardiocirculatory disturbances, and the
    male also showed stress due to weight loss. Their condition was very
    different from that of the other treated dogs in this study, and
    comparable acute, severe liver toxicity was not seen in the 28-day and
    3-month studies in dogs treated with doses up to 2500 and 1500 mg/kg
    of diet, respectively. The lesions seen in the two animals are
    considered to be incidental findings. On the basis of increased plasma
    cholesterol concentrations in males, the NOEL was 25 mg/kg of diet,
    equal to 0.71 mg/kg bw per day (Altmann, 1995). 

    2.2.3  Long-term studies of toxicity and carcinogenicity

          Mice 

         In an 18-month study of carcinogenicity, groups of 60 male and 60
    female Tif:MAGf (SPF) mice were given diets containing technical-grade
    dicyclanil at a concentration of 0, 10, 100, 500, or 1500 mg/kg of
    diet, equal to average achieved intakes of 0, 1.1, 12, 59, and 210
    mg/kg bw per day for males and 0, 1.1, 12, 65, and 200 mg/kg bw per
    day for females. Ten animals per sex from each group were assigned for
    evaluation of haematological parameters. The study followed OECD test
    guideline 451 with GLP and quality assurance certification, but

    histopathological examination of the animals at the high dose (i.e.
    the group that was killed before study termination, see below) was
    limited to the liver and lungs.

         Clinical signs were observed only in males at the highest dose,
    which injured themselves through vigorous scratching. A higher
    mortality rate was noted among males at the high dose and to a lesser
    extent in females at this dose. The self-inflicted injuries and poor
    health of the animals at the high dose led to a decision to terminate
    all surviving animals in this group during weeks 58-59. Doses < 500
    mg/kg of diet did not affect survival. The body weights of males and
    females at 1500 mg/kg of diet were reduced, with an approximately 50%
    reduction in body-weight gain, and those of females at 500 mg/kg of
    diet were reduced with a 30% reduction in body-weight gain. As food
    intake was not affected, higher food consumption ratios were noted in
    animals of each sex at 1500 mg/kg of diet and in females at 500 mg/kg
    of diet. Haematological parameters were not affected by treatment. The
    absolute and relative weights of the liver were increased in animals
    of each sex at 500 mg/kg of diet (for males after adjustment for three
    control outliers). In females at 500 mg/kg of diet, the relative
    weights of the kidney, brain, and adrenals were increased, while the
    absolute weights of these organs were not changed. The
    treatment-related macroscopic findings included enlarged livers
    (characterized histopathologically as hepatocellular hypertrophy) in
    males at 500 mg/kg of diet and in both sexes at 1500 mg/kg of diet,
    and masses and/or nodules of the liver in females at 500 and 1500
    mg/kg of diet. Treatment-related microscopic findings were observed in
    the liver, olfactory epithelium, adrenal gland, and bone marrow.
    Kupffer cell pigmentation (mainly haemosiderin) and hepatocellular
    necrosis were observed in males at > 100 mg/kg of diet. Increased
    numbers of hepatocellular mitotic figures and multinucleated
    hepatocytes were seen in the livers of males at the high dose, and the
    frequency of foci of cellular change was increased in animals of each
    sex at the highest dose. The incidence of heptocellular adenomas was
    higher in females at 500 and 1500 mg/kg of diet (9/53 and 5/60,
    respectively) than in controls (0/52). In addition, the incidence of
    hepatocellular carcinomas was increased in females at the highest dose
    (6/60 versus 0 in all other groups). Pigmentation of the olfactory
    epithelium was observed at increasing incidence and severity in
    animals of each sex at 100 and 500 mg/kg of diet, and males at these
    doses showed an increased incidence of inflammatory cell infiltration
    (cell type not specified) in the underlying Bowman's glands. At 500
    mg/kg of diet, both males and females also showed increased incidences
    of pigmentation of the adrenal glands, recorded as ceroid (i.e. a
    partly oxidized form of lipofuscin) deposition, and of
    hypercellularity of the bone marrow. Treatment with dicyclanil did not
    affect the number of animals with malignant lymphomas. It was noted,
    however, that females at 500 mg/kg of diet had more sites that
    appeared to be infiltrated by malignant lymphoma cells than did
    controls or animals at other doses (Bachmann, 1996a).

         The Committee noted that the doses at which the liver adenomas
    and carcinomas occurred exceeded the maximum tolerated dose for
    females, and that there were signs of hepatocellular proliferation in
    these animals which might have been involved in the hepatic
    carcinogenesis observed. Pigmentation of the olfactory epithelium was
    also observed in a long-term study in rats (Bachmann, 1996b; see
    below) and was further investigated in a separate study (Weber, 1998;
    see below). As the Committee considered the effects on the olfactory
    epithelium to be of no biological significance (see below), the NOEL
    in this study in mice was 10 mg/kg of diet, equal to 1.1 mg/kg bw per
    day, on the basis of effects on the liver.

          Rats 

         In a 2-year study of carcinogenicity and toxicity, groups of 80
    Tif:RAIf (SPF) rats of each sex were given technical-grade dicyclanil
    in the diet at a concentration of 0, 5, 25, 125, or 500 mg/kg of diet,
    equal to average achieved intakes of 0, 0.19, 0.97, 4.8, and 22 mg/kg
    bw per day for males and 0, 0.23, 1.2, 6.0, and 26 mg/kg bw per day
    for females. Haematological, clinical chemical, and urinary analyses
    were performed during weeks 13, 26, 52, 78, and 105 on 20, 10, and 10
    animals of each sex per group, respectively. After 1 year, 10 animals
    of each sex per group were killed. The study followed OECD test
    guideline 453, with GLP and quality assurance certification.

         Treatment with dicyclanil did not affect the incidence of
    clinical signs or survival. Decreased food consumption was noted in
    males and females at the highest dose. The body weights of males and
    females at 500 mg/kg of diet were reduced (with an approximately 25%
    reduction in body-weight gain), as were the body weights of animals at
    125 mg/kg of diet (with a reduction in body-weight gain of < 10%).
    Slight but statistically significant red blood cell dyscrasia and a
    reduced number of monocytes were observed in males at the high dose
    when compared with controls, but the changes were generally
    inconsistent over time, not dose-related, and within the range of
    historical controls and are therefore regarded as toxicologically
    insignificant. Increased concentrations of inorganic phosphate were
    observed in males and females at the high dose throughout the study,
    although the increase was not statistically significant in females.
    Males at 125 mg/kg of diet also had increased inorganic phosphate
    concentrations, but these reached statistical significance only in
    weeks 78 and 105. Lower concentrations of triglycerides were recorded
    for males at 500 mg/kg of diet, although statistical significance was
    achieved only in weeks 13 and 26. Urinary parameters were not
    affected. As a result of the lower terminal body weights, almost all
    of the relative organ weights were increased in males and females at
    the highest dose, especially of the kidney, liver, and epididymides.
    The absolute epididymal weights were also increased in males at the
    high dose at 105 weeks. Males at 125 mg/kg of diet also had increased
    relative liver weights, although these were within historical control
    values. An increased incidence of liver cysts was observed in females
    at the high dose, characterized primarily as unilocular or
    multilocular biliary cysts on microscopic examination. In males at the

    high dose, an increased incidence of masses and nodules in the
    exocrine pancreas was noted, which were characterized
    histopathologically as foci or areas of hyperplasia. Aside from the
    histopathological findings in the pancreas and liver, the only other
    treatment-related histopathological finding was an increased incidence
    of pigmentation of the olfactory epithelium in males at > 25 mg/kg
    of diet and in females at > 125 mg/kg of diet, the effects seen at
    125 and 500 mg/kg of diet being more severe than at lower doses.
    Dicyclanil did not affect the tumour incidence in this study
    (Bachmann, 1996b).

         Weber (1998) studied the histological nature and causes of the
    pigmentation of the olfactory epithelium, using material from male
    rats in the 2-year study (controls and rats given 500 mg/kg of diet)
    and the 3-month study (controls and rats given 500 mg/kg of diet;
    Bachmann, 1993). Material from male control rats of the same strain in
    five other long-term studies was included to provide more reference
    material.

         Minimal to moderate pigmentation was found in controls from the
    long-term studies with dicyclanil and other compounds, but not in
    controls from the 3-month study. Treatment with 500 mg/kg of diet
    resulted in increased pigmentation, which was minimal after 3 months
    and moderate to marked after 12 and 24 months, the degree of
    pigmentation at the later times being similar. Staining indicated that
    the pigment consisted mainly of oxidized lipofuscins and was located
    in the olfactory epithelium and the underlying lamina propria. The
    pigment appeared to be located in secondary lysosomes. Further
    investigations by high-resolution microscopy indicated that the
    supporting cells and secretory cells of Bowman glands were affected by
    the pigmentation. Neuronal olfactory perikarya, nerve bundles of the
    olfactory nerve in the olfactory mucosa, and the olfactory bulbs (in
    the brain) were free of pigment accumulation. Apart from the
    pigmentation, no other treatment-related morphological changes in the
    olfactory mucosa were found. According to the author, the clinical
    signs in the 2-year study gave no indication of a disturbed olfactory
    sense due to dicyclanil treatment. In addition, the presence of
    mucopolysaccharides in the Bowman glands indicated normal functioning
    of the olfactory mucosa in the dicyclanil-treated rats. The author
    concluded that the increased pigmentation of the olfactory epithelium
    in male rats after treatment with dicyclanil results from accumulation
    of lipofuscin in the cytoplasm of supporting cells and secretory cells
    of the Bowman glands and is an enhancement of a natural age-related
    process. In the absence of other morphological changes in the
    olfactory mucosa, the author considered the pigmentation not to be
    detrimental to the structure or function of the olfactory mucosa and,
    therefore, is not to be regarded as adverse (Weber, 1998). 

         Recognizing that the effects on the olfactory epithelium were an
    enhancement of a natural age-related process, the Committee noted that
    dicyclanil had no effect on survival, behaviour, or general
    well-being. As there were no other morphological changes in the
    olfactory mucosa, the Committee concluded that the effect was of no

    biological significance. Therefore, the NOEL in the 2-year study in
    rats was 125 mg/kg of diet, equal to 22 mg/kg bw per day, on the basis
    of changes in body weight and histopathological changes in the liver
    and pancreas.

    2.2.4  Genotoxicity

         The results of studies for genotoxicity with technical-grade
    dicyclanil are summarized in Table 1. The studies were of conventional
    design, with GLP and quality assurance certification, except for the
    study of Ogorek & Arni (1987).

    2.2.5  Reproductive toxicity

         (a)  Multigeneration study

          Rats 

         In a two-generation study of reproductive toxicity with two
    litters per generation, groups of 30 male and 30 female Tif:RAIf (SPF)
    rats received diets containing technical-grade dicyclanil at a
    concentration of 0, 5, 30, 200, or 500 mg/kg of diet from 10 weeks
    before the first mating until necropsy at the end of the lactation
    period. Dams were allowed to litter and suckle their pups naturally.
    When possible, the F1a litters were culled to four pups of each sex
    per litter at day 4  post partum. After weaning, a number of F1a
    pups were selected to be the F1 parents, and the remaining F1a
    pups were necropsied. The F0 parents were then mated a second time,
    and the resulting litters (F1b) were again culled to four pups of
    each sex per litter. After weaning, both the F1b pups and the F0
    parents were necropsied. The same procedure was followed for the F1
    parents in order to produce F2a and F2b generations. The
    observations included clinical signs, deaths, body weight, food
    consumption, reproductive parameters, pup survival and development,
    macroscopic appearance at necropsy, and, for parents in the control
    and high-dose groups, histological appearance of the reproductive and
    target organs. The study followed OECD test guideline 416, with GLP
    and quality assurance certification.

         Effects in F0 parents: The F0 parents showed no
    treatment-related deaths or clinical signs and no effects on male or
    female mating or fertility indices, on maternal gestation or
    parturition indices, or on the duration of gestation. In the premating
    period, males and females showed decreased body-weight gain and food
    intake at 500 mg/kg of diet and, marginally, at 200 mg/kg of diet.
    During both gestation periods, the overall body-weight gain of females
    in all treated groups was similar to that of controls, while in both
    lactation periods the overall body-weight gain of females was
    increased at 500 mg/kg of diet and, marginally, at 200 mg/kg of diet.
    Gross examination and histology revealed no treatment-related effects.
    Secondary to the reduced body weights, the relative weights of most
    organs were increased in males and females at 500 mg/kg of diet. At
    this dose, the absolute weights of the heart and liver of males were
    decreased.

        Table 1.  Results of assays for genotoxicity with dicyclanil

                                                                                                
    End-point         Test object            Concentration        Result        Reference
                                                                                                

     In vitro 
    Reverse           S. typhimurium         20-5000 µg/plate     Negativea     Ogorek & Arni 
    mutation          TA1537, TA98,                                             (1987)
                      TA100

    Reverse           S. typhimurium         313-5000 µg/plate    Negativeb     Hertner (1992)
    mutation          TA1535, TA1537, 
                      TA98, TA100, 
                      E. coli WP2 uvrA

    Gene mutation     V79 Chinese            12.4-400 µg/ml       Negative      Geleick (1992)
                      hamster lung cells,    - S9c
                      hprt locus             24.7-667 µg/ml 
                                             + S9d,e

    Chromosomal       Chinese hamster        20.8-83.4 µg/ml      Negative      Hertner (1993a)
    aberration        ovary cells            -S9c
                                             166.75-667 µg/ml 
                                             +S9d,e

    Unscheduled       Primary rat            6.2-670 µg/mle       Negative      Hertner (1993c)
    DNA synthesis     hepatocytes

     In vivo 
    Micronucleus      Mouse bone             47-188 mg/kg bw;     Negativef     Hertner (1993b)
    formation         marrow                 once by oral gavage
                                                                                                

    a   With and without rat liver S9 fraction; results of cytotoxicity test not given, 
        precipitation not reported
    b   With and without rat liver S9 fraction; precipitation at 5000 µg/plate
    c   Cytotoxic at the highest concentration
    d   Slightly cytotoxic at the highest concentration
    e   The highest concentration represents the limit of solubility in dimethyl sulfoxide.
    f   At all doses and all times, the ratio of polychromatic to normochromatic erythrocytes 
        did not deviate from that in controls; clinical signs of toxicity (including reduced 
        locomotor activity, unkempt fur, ataxia, piloerection, and diarrhoea) were observed 
        at the highest dose tested; doses > 312.5 mg/kg bw resulted in death.
    
         Effects in F1 pups: At all doses and both matings, no
    treatment-related effects were seen in the F1 offspring in terms of
    sex ratio, clinical signs, litter size, the development of physical
    landmarks (surface righting and eye opening), or macroscopic findings
    at necropsy. A slight increase in the pup mortality rate was observed
    on days 0-4  post partum at 500 mg/kg of diet (F1a) and at 30 and
    200 mg/kg of diet (F1b). This was considered not to be
    treatment-related because it could be attributed to two (F1a) or
    three (F1b) litters and no dose-response relationship was found. At
    500 mg/kg of diet, the weights of F1a pups were lower than those of
    controls at birth and on days 14 and 21  post partum, owing to
    reduced weight gain from day 4  post partum onwards. The weights of
    F1b pups at the high dose were similar to those of controls from
    birth through to day 14  post partum. Thereafter, the weight gain
    decreased, resulting in lower pup weights on day 21  post partum.

         Effects in F1 parents: In the F1 parents, no
    treatment-related deaths or clinical signs and no effects on male or
    female mating or fertility indices, on maternal gestation or
    parturition indices, or on the duration of gestation were observed.
    The body weights of the F1 parents at the high dose were lower than
    those of controls throughout the study. Although the body weights of
    males at 200 mg/kg of diet were reduced during the final part of the
    study, the overall body-weight gain of these animals was not different
    from that of controls. During both gestation periods, the overall
    body-weight gain of all treated females was slightly lower than that
    of controls, while in both lactation periods the overall body-weight
    gain of females was increased at 500 mg/kg of diet and, marginally, at
    200 mg/kg of diet. The absolute weights of most organs of males at the
    high dose were decreased, with the exception of those of the testis
    and brain. In females at the high dose, only the absolute weights of
    the heart, liver, and kidney were decreased. At 200 mg/kg of diet, the
    absolute weight of the liver was decreased in animals of each sex. In
    contrast, secondary to the reduced body weights of these two groups,
    the relative weights of most organs were increased, attaining
    statistical significance for most organs at 500 mg/kg of diet and for
    brain (both sexes), kidneys (males only), and testis at 200 mg/kg of
    diet. Gross examination and histology revealed no treatment-related
    effects.

         Effects in F2 pups: At all doses and both matings, no
    treatment-related effects were noted in the F2 offspring in terms of
    sex ratio, mortality rate, clinical signs, litter size, the
    development of physical landmarks (surface righting and eye opening),
    or macroscopic findings at necropsy. The only treatment-related effect
    observed was reduced weight gain in F2a and F2b pups at the
    highest dose from day 4  post partum onwards, resulting in
    significantly lower pup weights on days 14 and 21  post partum.

         The NOEL for parental toxicity was 30 mg/kg of diet, equal to 2
    mg/kg bw per day, on the basis of changes in body weight. The NOEL for
    reproductive toxicity was 500 mg/kg of diet, equal to 24 mg/kg bw per

    day, the highest dose tested. The NOEL for pup toxicity was 200 mg/kg
    of diet, equal to 21 mg/kg bw per day, on the basis of reduced
    body-weight gain (Khalil, 1995).

         (b)  Developmental toxicity

          Rats 

         In a range-finding study, groups of eight pregnant Tif:RAIf (SPF)
    rats received technical-grade dicyclanil (purity, > 98%) in 3%
    aqueous corn starch by oral gavage at a dose of 0, 75, or 150 mg/kg bw
    per day on days 6-15 of gestation. On day 21 of gestation, the dams
    were killed and necropsied, and the fetuses were weighed, sexed, and
    examined for external abnormalities.

         Two dams at the high dose were killed in moribund condition. The
    clinical signs in these animals and in a third animal at the high dose
    included piloerection, salivation, dyspnoea, and hypotonia. Maternal
    body-weight gain and gravid uterine weights were dose-dependently
    decreased in all treated animals, but food consumption was
    dose-dependently decreased only during the first week of treatment.
    Post-implantation loss was dose-dependently increased by treatment,
    owing to early resorptions. Three dams at the high dose resorbed their
    entire litters. The number of viable fetuses and fetal body weights
    were dose-dependently reduced. Three fetuses at the high dose showed
    generalized oedema (FitzGerald, 1990a).

         In the main study, groups of 24 pregnant Tif:RAIf (SPF) rats
    received technical-grade dicyclanil in an aqueous solution of 0.5%
    sodium carboxy-methylcellulose by oral gavage at a dose of 0, 1, 5,
    25, or 75 mg/kg bw per day on days 6-15 of gestation. On gestation day
    21, the dams were killed and necropsied, and the fetuses were weighed,
    sexed, and examined for external, visceral, and skeletal
    abnormalities. The study was of conventional design, with GLP and
    quality assurance certification.

         There were no deaths and no treatment-related clinical signs of
    toxicity. Maternal body weight, body-weight gain, and food consumption
    as well as net body-weight change and carcass weight at necropsy were
    reduced at the highest dose. A marginal decrease in these parameters
    was also observed at 25 mg/kg bw per day. One animal at 75 mg/kg bw
    per day had total, early resorptions and showed haemorrhagic fluid in
    the uterus at necropsy. In animals at 75 mg/kg bw per day, the gravid
    uterine weight was reduced; the number of early postimplantation
    losses was slightly increased and the number of fetuses per litter was
    slightly lower, but without statistical significance. Effects on the
    fetuses were observed only at the highest dose. These included reduced
    fetal weight, a slight increase in the frequency of renal pelvic
    dilatation, and a number of mainly sternebral defects and variations
    due to poor or absent ossification. There was no evidence of
    teratogenicity. The NOEL for maternal toxicity was 5 mg/kg bw per day,
    on the basis of a reduction in body-weight gain. The NOEL for
    developmental toxicity was 25 mg/kg bw per day, on the basis of

    reduced fetal weight, increased renal pelvic dilatation, and increased
    skeletal anomalies and variations consistent with a slight delay in
    skeletal maturation (FitzGerald, 1993a).

          Rabbits 

         In a range-finding study, groups of eight pregnant Russian
    rabbits (strain unspecified) received technical-grade dicyclanil
    (purity, > 98%) in 3% aqueous corn starch by oral gavage at a daily
    dose of 0, 20, or 40 mg/kg bw on days 7-19 of gestation. On day 29 of
    gestation, the dams were killed and necropsied, and the fetuses were
    weighed, sexed, and examined for external abnormalities.

         No treatment-related deaths or clinical signs were observed.
    During treatment, the body-weight gain and food consumption of dams at
    the high dose were considerably reduced. The gravid uterine weights
    were not affected by treatment. The rate of pre-implantation loss was
    slightly reduced and that of postimplantation loss slightly increased
    at 40 mg/kg bw per day, which resulted in a comparable number of
    fetuses to controls. The body weights of female fetuses were slightly
    reduced at this dose. There were no remarkable external fetal changes
    (FitzGerald, 1990b).

         In the main study, groups of 19 pregnant Russian Chbb:HM rabbits
    received technical-grade dicyclanil in an aqueous solution of 0.5%
    sodium carboxy-methylcellulose by oral gavage at a daily dose of 0, 1,
    3, 10, or 30 mg/kg bw on days 7-19 of gestation. On gestation day 29,
    the dams were killed and necropsied, and the fetuses were weighed,
    sexed, and examined for external, visceral, and skeletal
    abnormalities. The study was of conventional design, with GLP and
    quality assurance certification.

         No deaths or treatment-related clinical signs of toxicity were
    observed. Maternal body weight, body-weight gain, and food consumption
    and the carcass weight at necropsy were reduced at 30 mg/kg bw per
    day. Maternal body-weight gain was also reduced at 10 mg/kg bw per
    day. Necropsy of the dams revealed no treatment-related effects, and
    reproductive function was not affected. The body weights of fetuses at
    the highest dose were reduced, and the fetuses showed skeletal
    variations indicative of a slight delay in ossification. There was no
    evidence of teratogenicity. The NOEL for maternal toxicity was 3 mg/kg
    bw per day on the basis of reduced body-weight gain. The NOEL for
    developmental toxicity was 10 mg/kg bw per day on the basis of reduced
    fetal weight and increased skeletal variations consistent with delayed
    ossification (FitzGerald, 1993b).

    2.2.6  Special studies: Pharmacological effects

         The effects of dicyclanil on the central nervous system
    (centrally controlled behaviour, body temperature, locomotor activity,
    hypnotic potentiation, motor coordination), the peripheral nervous
    system, the autonomic nervous system and smooth muscles, the
    cardiovascular and respiratory systems, and the gastrointestinal tract

    were investigated in mice, rats, and guinea-pigs  in vivo and
     in vitro. The effect of dicyclanil on sperm morphology and motility
    was also examined. All of the studies followed the Japanese Guidelines
    for the Registration of Pharmaceuticals (General Pharmacology), with
    GLP and quality assurance certification.

          In vivo, technical-grade dicyclanil in polyethylene glycol
    200:ethanol (5:3 v/v) was administered orally by gavage at a single
    dose of 0, 1, 10, 50, or 100 mg/kg bw to male NMRI mice or male Han
    Wistar rats. Doses < 100 mg/kg bw had no effect on the body
    temperature of rats (Pfister & Gisin, 1996a), on the
    hexobarbitone-induced sleeping time in mice (Pfister & Gisin, 1996b),
    or on gastrointestinal motility in mice (Pfister & Gisin, 1996c). 

         In the modified Irwin test for general behavioural changes,
    treatment of mice with dicyclanil at 100 mg/kg bw slightly inhibited
    both exploratory activity and the startle response. The changes were
    most evident 6 h after treatment, with complete recovery of the
    startle response by 8 h and of exploratory activity by 24 h after
    treatment. Mice treated with 1 or 10 mg/kg bw showed normal behaviour
    (Pfister & Gisin, 1996d). After treatment with the vehicle, reduced
    locomotor activity (static, mobile, and rearing activity and mobile
    and active times) was seen in control mice over 24 h, being most
    pronounced during the first 8 h. These parameters were less markedly
    reduced after treatment with dicyclanil at 1 (not statistically
    significant) or 10 mg/kg bw. Opposite effects were induced by
    dicyclanil at 100 mg/kg bw, when the reduction in static activity was
    more pronounced than in controls while changes in the other parameters
    were comparable. All of the effects were fully reversed by 24 h after
    dosing (Pfister & Hussherr, 1996a). Motor coordination in mice, as
    assessed by recording the time the animals could retain their balance
    on a rotating rod, was inhibited at 100 mg/kg bw but not at 1 or 10
    mg/kg bw. The effect was significant 4 h after dosing but had
    completely disappeared by 24 h (Pfister & Hussherr, 1996b). 

         Treatment of rats with 100 mg/kg bw (the only dose tested)
    resulted in slight increases throughout the observation period (6-8 h
    after dosing) in heart rate (statistically significant) and tidal and
    minute lung volume (statistically significant only when compared with
    values for vehicle-treated animals, which generally had lower values
    than untreated animals). The blood pressure, electrocardiogram, and
    respiratory rate remained unchanged (Pfister & Nordmann, 1996).
    Treatment of rats with 50 mg/kg bw (the only dose tested) had no
    effect on sperm motility, concentration, or morphology. Minor,
    statistically nonsignificant increases in abnormal sperm morphology 6
    weeks after dosing (sperm with head only and with abnormally shaped
    hooks) were completely reversed by 12 weeks after dosing (Pfister &
    Gisin, 1996e.

          In vitro, a concentration of 0, 0.1, 0.3, 1, or 3 mmol/L of
    technical-grade dicyclanil in dimethyl sulfoxide had no significant
    effect on directly induced contractions of skeletal muscle or on
    contractions induced indirectly by phrenic nerve stimulation in the

    isolated phrenic nerve-diaphragm preparation from rats. The authors
    concluded that dicylanil has no effect on the skeletal neuromuscular
    junction (Pfister & Hussherr, 1996c). When dicyclanil was tested on
    ileum isolated from guinea-pigs, dose-dependent antagonistic activity
    against the smooth muscle contractions induced by histamine and
    acetylcholine and against the nonspecific smooth muscle contractions
    induced by barium chloride was observed at concentrations > 0.3, 1,
    and > 0.3 mmol/L, respectively. All of the effects were fully and
    rapidly reversible. Dicyclanil was considered to be only a weak
    antagonist (Pfister & Gisin, 1996f).

    3.  COMMENTS

         The Committee considered the results of studies on the
    pharmacokinetics, metabolism, acute, short-term and long-term
    toxicity, carcinogenicity, genotoxicity, reproductive toxicity, and
    pharmacology of dicyclanil. All of the pivotal studies were carried
    out according to appropriate standards for study protocol and conduct.

         After repeated oral administration of radiolabelled dicyclanil to
    rats, the radiolabel was rapidly and almost completely absorbed and
    was rapidly distributed to the major organs and tissues. Elimination
    was rapid (> 93% of the total dose within 24 h) and was virtually
    complete within 3 days. The major route of elimination was the urine
    (79-83% of the total dose within 24 h), while the faecal route was of
    minor importance (6-12% of the total dose within 24 h).
    Biotransformation in the rat involves oxidative opening of the
    cyclopropyl ring at various positions, followed by further oxidation
    and cleavage of the cyclopropyl-N bond (i.e. dealkylation). The
    metabolic pathways of dicyclanil in sheep treated topically are
    essentially the same as those in rats.

         After oral administration of dicyclanil to rats, the LD50
    values were 560 mg/kg bw in males and approximately 500 mg/kg bw in
    females. Dicyclanil is moderately hazardous when given as a single
    oral dose. 

         In a three-month study of toxicity, rats received dicyclanil in
    the diet at a concentration of 0, 5, 25, 125, or 500 mg/kg of diet.
    Male rats at 125 and 500 mg/kg of diet showed decreased food
    consumption and body-weight gain and slightly decreased plasma glucose
    concentrations. The weights of the kidneys, brain, and testis relative
    to that of the body were increased in males at 500 mg/kg of diet, and
    females at this dose showed decreased food consumption, body-weight
    gain, and plasma glucose concentrations and increased relative weights
    of the liver and brain; plasma glucose concentrations were also
    reduced in females at 125 mg/kg of diet. The NOEL was 25 mg/kg of
    diet, equal to 1.6 mg/kg bw per day, on the basis of the reduction in
    body-weight gain.

         In a 3-month study of toxicity, dogs received dicyclanil in the
    diet at a concentration of 0, 20, 100, 500, or 1500 mg/kg of diet.
    Clinical signs consisting mainly of neurotoxicity, decreased food

    consumption and body-weight gain, and changes in clinical chemistry
    and erythrocyte parameters were observed mainly at the highest dose.
    Plasma cholesterol and phospholipid concentrations were increased in
    animals at concentrations of 100 mg/kg of diet and above. The weights
    of the spleen (males and females), thymus (males only), and testis
    were decreased at 1500 mg/kg of diet. Atrophy of the spleen in males
    and females and atrophy of the thymus, mesenteric lymph node, testis,
    and prostate in males were observed at concentrations of 100 mg/kg of
    diet and above. The weights of the liver, adrenals, and kidneys were
    increased in animals at the highest dose; in females, the liver
    weights were also increased at lower doses. Inflammatory changes were
    seen in the urinary bladder of females at concentrations of 100 mg/kg
    of diet and above and in the livers of males and females at 1500 mg/kg
    of diet. Hepatocyte oedema was observed in females at all doses, but
    hepatocellular damage was not seen at any dose in either sex. The
    Committee noted that hepatocyte oedema without hepatocellular damage
    is not of toxicological significance. Hence, the NOEL was 20 mg/kg of
    diet, equal to 0.61 mg/kg bw per day, on the basis of increased plasma
    cholesterol concentrations and histopathological findings in the
    prostate and urinary bladder.

         In a 1-year study, dogs received dicyclanil in the diet at a
    concentration of 0, 5, 25, 150, or 750 mg/kg of diet. Males showed
    slightly decreased plasma calcium concentrations and increased
    absolute and relative liver weights at 750 mg/kg of diet. Plasma
    cholesterol concentrations were increased in males at 150 and 750
    mg/kg of diet, and this change was not reversed after a 4-week
    recovery period. Females receiving the highest dose vomited and had
    slightly reduced food consumption and body-weight gain, slightly
    increased plasma cholesterol concentrations, increased absolute and
    relative liver weights, and decreased absolute and relative heart
    weights. Macroscopic and microscopic findings consisting of liver
    necrosis, tubular lesions in the kidneys, testicular and prostatic
    atrophy, and vascular thrombus, were found in one male and one female
    at the highest dose that died before their scheduled sacrifice. These
    animals suffered from acute, severe liver failure and resulting
    cardiovascular disturbances and stress due to weight loss. Comparable
    acute, severe liver toxicity was not observed in the 3-month study of
    toxicity in dogs given feed containing dicyclanil at concentrations up
    to 1500 mg/kg of diet. The findings in the two animals were therefore
    considered to be incidental. The NOEL was 25 mg/kg of diet, equal to
    0.71 mg/kg bw per day, on the basis of increased plasma cholesterol
    concentrations in male dogs. The Committee noted that this NOEL is
    supported by the NOEL in the 3-month study of toxicity in dogs. It
    also noted that the histopathological findings observed in the 3-month
    study were not seen in the 1-year study among animals that lived until
    the time of scheduled sacrifice.

         In a study of carcinogenicity, mice received diets containing
    dicyclanil at a concentration of 0, 10, 100, 500, or 1500 mg/kg of
    diet for 18 months. The animals at the highest dose were killed during
    weeks 58-59 because of self-inflicted injuries and poor health. On the
    basis of significant reductions in body-weight gain, the

    concentrations of 500 and 1500 mg/kg of diet in females and 1500 mg/kg
    of diet in males were considered to exceed the maximum tolerated dose.
    The liver was the main target organ in both male and female mice. The
    effects included Kupffer cell pigmentation (with haemosiderin) and
    hepatocellular necrosis in males at doses of 100 mg/kg of diet and
    higher, increased incidences of hepatocellular adenomas in females at
    500 and 1500 mg/kg of diet, and hepatocellular carcinomas in females
    at 1500 mg/kg of diet. The Committee noted that these liver tumours
    were observed only at doses that exceeded the maximum tolerated dose
    and that there were signs of hepatocellular proliferation in these
    animals which might have been involved in the hepatic carcinogenesis
    observed. Pigmentation of the olfactory epithelium (with oxidized
    lipofuscins) was observed in animals of each sex at 100 and 500 mg/kg
    of diet; in the males, this effect was accompanied by an increased
    incidence of inflammatory cell infiltration in the underlying Bowman
    glands. Males and females at 500 mg/kg of diet also showed
    pigmentation of the adrenal glands (with partly oxidized lipofuscins)
    and hypercellularity of the bone marrow. As the Committee considered
    the effects on the olfactory epithelium to be of no biological
    significance, the NOEL was 10 mg/kg of diet, equal to 1.1 mg/kg bw per
    day, on the basis of the effects on the liver.

         In a 2-year study of carcinogenicity and toxicity, rats received
    diets containing dicyclanil at a concentration of 0, 5, 25, 125, or
    500 mg/kg of diet. In animals at the highest dose, food consumption
    and body-weight gain were decreased, and the relative weights of
    almost all organs were increased as a result. Treatment-related
    histopathological alterations were observed in the exocrine pancreas
    (hyperplasia) in males at the highest dose, in the liver (biliary
    cysts) in females at the highest dose, and in the olfactory epithelium
    (pigmentation resulting from accumulation of oxidized lipofuscins) in
    males at doses of 25 mg/kg of diet and above and in females at doses
    of 125 mg/kg of diet and above. Although the latter represents
    enhancement of a naturally occurring age-related process, treatment
    had no effect on survival, behaviour, or general well-being, and there
    were no other morphological changes in the olfactory mucosa.
    Therefore, the Committee concluded that the effect on the olfactory
    epithelium was of no biological significance. Dicyclanil did not
    affect the incidence of tumours. The NOEL was 125 mg/kg of diet, equal
    to 22 mg/kg bw per day, on the basis of changes in body weight and
    histopathological changes in the liver and pancreas.

         Dicyclanil has been tested  in vitro for its ability to induce
    reverse mutation in  Salmonella typhimurium and  Escherichia coli, 
    gene mutation in Chinese hamster lung cells, chromosomal aberrations
    in Chinese hamster ovary cells, and unscheduled DNA synthesis in
    primary rat hepatocytes. It has been tested  in vivo for its ability
    to induce micronuclei in bone-marrow cells of mice treated orally. The
    results of all of these tests were negative. On the basis of these
    data, the Committee concluded that dicyclanil is not genotoxic. 

         Dicyclanil increased the incidence of liver tumours in female
    mice. However, as these tumours occurred in only one tissue of animals
    of one sex and one species at doses that were above the maximum
    tolerated dose, and dicyclanil is not genotoxic, the Committee
    concluded that dicyclanil does not represent a carcinogenic risk for
    humans.

         In a two-generation study of reproductive toxicity, with two
    litters per generation, rats were given dicyclanil in the diet at a
    concentration of 0, 5, 30, 200, or 500 mg/kg of diet. Treatment
    reduced the body-weight gain of the parental animals at the highest
    dose and, marginally, at 200 mg/kg of diet. Secondary to this effect,
    dicyclanil increased the relative weights of most organs in animals at
    the highest dose and of the brain (males and females), kidneys (males
    only), and testis at 200 mg/kg of diet. Reproductive parameters were
    not affected. The only effect of dicyclanil on pups was to reduce
    their weight gain from day 4  post partum onwards. The NOEL for
    parental toxicity was 30 mg/kg of diet, equal to 2 mg/kg bw per day,
    on the basis of changes in body weight. The NOEL for reproductive
    toxicity was 500 mg/kg of diet, equal to 24 mg/kg bw per day, the
    highest dose tested. The NOEL for toxicity to the pups was 200 mg/kg
    of diet, equal to 21 mg/kg bw per day, on the basis of reduced
    body-weight gain.

         In a study of developmental toxicity in rats given dicyclanil at
    a dose of 0, 1, 5, 25, or 75 mg/kg bw per day orally on days 6-15 of
    gestation, the highest dose was toxic to the dams, as seen by
    reductions in body-weight gain, food consumption, and the weight of
    the gravid uterus. Marginal reductions in body-weight gain and food
    consumption were also observed at 25 mg/kg bw per day. The effects on
    the fetuses, observed only at the highest dose, were reduced fetal
    weight, a slightly increased incidence of renal pelvic dilatation, and
    a number of mainly sternebral defects and variations due to poor or
    absent ossification. There was no evidence of teratogenicity. The NOEL
    for maternal toxicity was 5 mg/kg bw per day on the basis of the
    reduction in body-weight gain. The NOEL for developmental toxicity was
    25 mg/kg bw per day on the basis of reduced fetal weight, increased
    renal pelvic dilatation, increased skeletal anomalies, and variations
    consistent with a slight delay in skeletal maturation.

         In a study of developmental toxicity in rabbits given dicyclanil
    at a dose of 0, 1, 3, 10, or 30 mg/kg bw per day orally on days 7-19
    of gestation, dams at 30 mg/kg bw per day had reduced food consumption
    and those at 10 and 30 mg/kg bw per day showed reduced body-weight
    gain. The fetuses of dams at the highest dose had lower body weights
    than controls and an increased incidence of skeletal variations
    indicative of a slight delay in ossification. There was no evidence of
    teratogenicity. The NOEL for maternal toxicity was 3 mg/kg bw per day
    on the basis of reduced body-weight gain. The NOEL for developmental
    toxicity was 10 mg/kg bw per day on the basis of reduced fetal weight
    and skeletal variations consistent with delayed ossification.

         In pharmacological tests  in vitro, dicyclanil at doses up to
    3 mmol/L had no effect on the skeletal neuromuscular junction. At
    concentrations of 0.3 mmol/L and higher, it had slightly antagonistic
    effects on smooth muscle contractions induced by agonists. In mice and
    rats given a single oral dose of 0, 1, 10, 50, or 100 mg/kg bw, the
    highest dose affected general behaviour, locomotor activity, motor
    coordination, heart rate, and tidal and minute lung volume. Locomotor
    activity was also affected at 10 mg/kg bw and, very slightly, at
    1 mg/kg bw. The treatment had no effect on body temperature, hypnotic
    potentiation, gastrointestinal motility, blood pressure, heart beat,
    or respiratory rate.

    4.  EVALUATION

         The Committee established an ADI of 0-7 mg/kg bw, on the basis of
    the NOEL of 0.71 mg/kg bw per day for increased plasma cholesterol
    concentrations in the 1-year study of toxicity in dogs and a safety
    factor of 100. As is its usual practice, the Committee rounded the
    value of the ADI to one significant figure.

    5.  REFERENCES

    Altmann, B. (1991) CGA 183893 tech. 28-Day range finding toxicity
         study in beagle dogs. Unpublished report (test no. 901202) from
         Ciba-Geigy Ltd, Stein, Switzerland. Submitted to WHO by Novartis
         Animal Health Inc., Basel, Switzerland.

    Altmann, B. (1993) CGA 183893 tech. 3-Month subchronic dietary
         toxicity study in beagle dogs. Unpublished report (test no.
         922813) from Ciba-Geigy Ltd, Stein, Switzerland. Submitted to WHO
         by Novartis Animal Health Inc., Basel, Switzerland.

    Altmann, B. (1995) CGA 183893 tech. 12-Month chronic dietary toxicity
         study in beagle dogs. Unpublished report (test no. 922814) from
         Ciba-Geigy Ltd, Stein, Switzerland. Submitted to WHO by Novartis
         Animal Health Inc., Basel, Switzerland.

    Bachmann, M. (1991) CGA 183893 tech. 28-Days range finding study in
         rats (administration in food). Unpublished report (test no.
         901201) from Ciba-Geigy Ltd, Stein, Switzerland. Submitted to WHO
         by Novartis Animal Health Inc., Basel, Switzerland.

    Bachmann, M. (1993) CGA 183893 tech. 3-Month oral toxicity study in
         rats (administration in food). Unpublished report (test no.
         922810) from Ciba-Geigy Ltd, Stein, Switzerland. Submitted to WHO
         by Novartis Animal Health Inc., Basel, Switzerland.

    Bachmann, M. (1996a) CGA 183893 tech. 18-Month oncogenicity study in
         mice. Unpublished report (test no. 922815) from Ciba-Geigy Ltd,
         Stein, Switzerland. Submitted to WHO by Novartis Animal Health
         Inc., Basel, Switzerland.

    Bachmann, M. (1996b) CGA 183893 tech. 24-Month carcinogenicity and
         chronic toxicity study in rats. Unpublished report (test no.
         922816) from Ciba-Geigy Ltd, Stein, Switzerland. Submitted to WHO
         by Novartis Animal Health Inc., Basel, Switzerland.

    Dubach-Powell, J.R. (1996) Pharmacokinetic study of CGA 183893 tech.
         in the rat. Unpublished letter report (RCC project no.
         615295/Ciba project no. 952803) from Research & Consulting
         Company, Itingen, Switzerland. Submitted to WHO by Novartis
         Animal Health Inc., Basel, Switzerland.

    FitzGerald, R.E. (1990a) Preliminary oral toxicity study with CGA
         183893 technical in pregnant rats (Dose range-finding study).
         Unpublished report (test no. 901211) from Ciba-Geigy Ltd, Stein,
         Switzerland. Submitted to WHO by Novartis Animal Health Inc.,
         Basel, Switzerland.

    FitzGerald, R.E. (1990b) Preliminary toxicity study in pregnant
         rabbits with CGA 183893 technical (oral administration) (Dose
         rangefinding study). Unpublished report (test no. 901212) from
         Ciba-Geigy Ltd, Stein, Switzerland. Submitted to WHO by Novartis
         Animal Health Inc., Basel, Switzerland.

    FitzGerald, R.E. (1993a) CGA 183893 technical: Rat oral
         teratogenicity. Unpublished report (study no. 922821) from
         Ciba-Geigy Ltd, Stein, Switzerland. Submitted to WHO by Novartis
         Animal Health Inc., Basel, Switzerland.

    FitzGerald, R.E. (1993b) CGA 183893 technical: Rabbit oral
         teratogenicity. Unpublished report (study no. 922822) from
         Ciba-Geigy Ltd, Stein, Switzerland. Submitted to WHO by Novartis
         Animal Health Inc., Basel, Switzerland.

    Geleick, D. (1992) CGA 183893 tech. Gene mutation test with Chinese
         hamster cells V79 (OECD conform) in vitro. Unpublished report
         (test no. 922827) from Ciba-Geigy Ltd, Basel, Switzerland.
         Submitted to WHO by Novartis Animal Health Inc., Basel,
         Switzerland.

    Hagemann, C. (1992a) CGA 183893 tech. Acute dermal
         irritation/corrosion study in the rabbit. Unpublished report
         (test no. 922803) from Ciba-Geigy Ltd, Stein, Switzerland.
         Submitted to WHO by Novartis Animal Health Inc., Basel,
         Switzerland.

    Hagemann, C. (1992b) CGA 183893 tech. Acute eye irritation/corrosion
         study in the rabbit. Unpublished report (test no. 922802).
         CibaGeigy Ltd, Stein, Switzerland. Submitted to WHO by Novartis
         Animal Health Inc., Basel, Switzerland.

    Hagemann, C. (1993) CGA 183893 tech. Skin sensitization test in the
         guinea pig optimisation test. Unpubished report (test no. 922805)
         from Ciba-Geigy Ltd, Stein, Switzerland. Submitted to WHO by
         Novartis Animal Health Inc., Basel, Switzerland.

    Hartmann, H.R. (1992a) CGA 183893 tech. Acute oral toxicity in the
         rat. Unpublished report (test no. 922801) from Ciba-Geigy Ltd,
         Stein, Switzerland. Submitted to WHO by Novartis Animal Health
         Inc., Basel, Switzerland.

    Hartmann, H.R. (1992b) CGA 183893 tech. Acute dermal toxicity in the
         rat. Unpublished report (test no. 922804) from Ciba-Geigy Ltd,
         Stein, Switzerland. Submitted to WHO by Novartis Animal Health
         Inc., Basel, Switzerland.

    Hartmann, H.R. (1993) CGA 183893 tech. Acute inhalation toxicity in
         the rat. Unpublished report (test no. 922806) from Ciba-Geigy
         Ltd, Stein, Switzerland. Submitted to WHO by Novartis Animal
         Health Inc., Basel, Switzerland.

    Hassler, S. (1994) Absorption, distribution and elimination of
         [2-14C]pyrimidyl CGA 183893 in the rat after multiple oral
         administration. Unpublished report (report no. 7/94; project no.
         012AM01) from Ciba-Geigy Ltd, Basel, Switzerland. Submitted to
         WHO by Novartis Animal Health Inc., Basel, Switzerland.

    Hertner, T. (1992) CGA 183893 tech. Salmonella and
         Escherichia/liver-microsome test. Unpublished report (test no.
         922825) from Ciba-Geigy Ltd, Basel, Switzerland. Submitted to WHO
         by Novartis Animal Health Inc., Basel, Switzerland.

    Hertner, T. (1993a) CGA 183893 tech. Cytogenetic test on Chinese
         hamster cells in vitro (EC conform). Unpublished report (test no.
         922826) from Ciba-Geigy Ltd, Basel, Switzerland. Submitted to WHO
         by Novartis Animal Health Inc., Basel, Switzerland.

    Hertner, T. (1993b) CGA 183893 tech. Autoradiographic DNA repair test
         on rat hepatocytes (OECD conform) in vitro. Unpublished report
         (test no. 922824) from Ciba-Geigy Ltd, Basel, Switzerland.
         Submitted to WHO by Novartis Animal Health Inc., Basel,
         Switzerland.

    Hertner, T. (1993c) CGA 183893 tech. Micronucleus test, mouse (OECD
         conform). Unpublished report (test no. 922823) from Ciba-Geigy
         Ltd, Basel, Switzerland. Submitted to WHO by Novartis Animal
         Health Inc., Basel, Switzerland.

    Khalil, S. (1995) CGA 183893 technical: Rat dietary two-generation
         reproduction study. Unpublished report (study no. 922818) from
         Ciba-Geigy Ltd, Stein, Switzerland. Submitted to WHO by Novartis
         Animal Health Inc., Basel, Switzerland.

    Löffler, A. (1998) The nature of residues in tissues of sheep after
         single topical pour-on administration of [pyrimidine-2-14C]CGA
         183893. Unpublished report (study no. 012AM04) from Novartis Crop
         Protection AG, Basel, Switzerland. Submitted to WHO by Novartis
         Animal Health Inc., Basel, Switzerland.

    Marty, J.H. (1995) CGA 183893 tech. 28-Day repeated dose dermal
         toxicity study in the rat. Unpublished report (test no. 922807)
         from Ciba-Geigy Ltd, Stein, Switzerland. Submitted to WHO by
         Novartis Animal Health Inc., Basel, Switzerland.

    Ogorek, B. & Arni, P. (1987) Salmonella mutagenicity test with three
         strains with CGA 183893 (Test for mutagenic properties in
         bacteria). Unpublished report (experiment no. 871051) from
         Ciba-Geigy Ltd, Basel, Switzerland. Submitted to WHO by Novartis
         Animal Health Inc., Basel, Switzerland.

    Pfister, T. & Gisin, M.(1996a) General pharmacology of CGA 183893
         tech. Effect on the body temperature in the rat. Unpublished
         report (project no. RCC 615317/CG 952803) from Research &
         Consulting Company, Ltd, Itingen, Switzerland. Submitted to WHO
         by Novartis Animal Health Inc., Basel, Switzerland.

    Pfister, T. & Gisin, M. (1996b) General pharmacology of CGA 183893
         tech. Effect on the sleeping time induced by hexobarbitone in the
         mouse. Unpublished report (project no. RCC 615330/CG 952803) from
         Research & Consulting Company, Ltd, Itingen, Switzerland.
         Submitted to WHO by Novartis Animal Health Inc., Basel,
         Switzerland.

    Pfister, T. & Gisin, M. (1996c) General pharmacology of CGA 183893
         tech. Effect on the intestinal motility (charcoal propulsion) in
         the mouse. Unpublished report (project no. RCC 615385/CG 952803)
         from Research & Consulting Company, Ltd, Itingen, Switzerland.
         Submitted to WHO by Novartis Animal Health Inc., Basel,
         Switzerland.

    Pfister, T. & Gisin, M. (1996d) General pharmacology of CGA 183893
         tech. Modified Irwin screen test in the mouse. Unpublished report
         (project no. RCC 615306/CG 952803) from Research & Consulting
         Company, Ltd, Itingen, Switzerland. Submitted to WHO by Novartis
         Animal Health Inc., Basel, Switzerland.

    Pfister, T. & Gisin, M. (1996e) General pharmacology of CGA 183893
         tech. Effect on sperm motility, concentration and morphology in
         the rat. Unpublished report (project no. RCC 615407/CG 952803)
         from Research & Consulting Company, Ltd, Itingen, Switzerland.
         Submitted to WHO by Novartis Animal Health Inc., Basel,
         Switzerland.

    Pfister, T. & Gisin, M. (1996f) General pharmacology of CGA 183893
         tech. Effect on the isolated ileum of the guinea pig. Unpublished
         report (project no. RCC 615363/CG 952803) from Research &
         Consulting Company, Ltd, Itingen, Switzerland. Submitted to WHO
         by Novartis Animal Health Inc., Basel, Switzerland.

    Pfister, T. & Hussherr, D. (1996a) General pharmacology of CGA 183893
         tech. Effect on the locomotor activity in the mouse. Unpublished
         report (project no. RCC 615328/CG 952803) from Research &
         Consulting Company, Ltd, Itingen, Switzerland. Submitted to WHO
         by Novartis Animal Health Inc., Basel, Switzerland.

    Pfister, T. & Hussherr, D. (1996b) General pharmacology of CGA 183893
         tech. Effect on motor co-ordination (rotarod) in the mouse.
         Unpublished report (project no. RCC 615341/CG 952803) from
         Research & Consulting Company, Ltd, Itingen, Switzerland.
         Submitted to WHO by Novartis Animal Health Inc., Basel,
         Switzerland.

    Pfister, T. & Hussherr, D. (1996c) General pharmacology of CGA 183893
         tech. Effect on the isolated phrenic nerve-diaphragm preparation
         of the rat. Unpublished report (project no. RCC 615352/CG 952803)
         from Research & Consulting Company, Ltd, Itingen, Switzerland.
         Submitted to WHO by Novartis Animal Health Inc., Basel,
         Switzerland.

    Pfister, T. & Nordmann, A. (1996) General pharmacology of CGA 183893
         tech. Effect on the cardiovascular and respiratory systems in the
         rat. Unpublished report (project no. RCC 615374/CG 952803) from
         Research & Consulting Company, Ltd, Itingen, Switzerland.
         Submitted to WHO by Novartis Animal Health Inc., Basel,
         Switzerland.

    Phillips, M. (1996) [Pyrimidine-2-14C]-CGA 183893. Nature of
         metabolites in the excreta and tissues of sheep following single
         pour-on administration. Unpublished report (No. 14072; project
         no. 158665) from Inveresk Research, Tranent, Scotland. Submitted
         to WHO by Novartis Animal Health Inc., Basel, Switzerland.

    Thanei, P. (1996a) The metabolism of [2-14C]pyrimidyl CGA 183893 in
         the rat. Unpublished report (No.7/96; project no. 012AM02) from
         Ciba-Geigy Ltd, Basel, Switzerland. Submitted to WHO by Novartis
         Animal Health Inc., Basel, Switzerland.

    Thanei, P. (1996b) The nature of metabolites in tissues and excreta of
         sheep after single topical administration of [2-14C]pyrimidyl
         CGA 183893. Unpublished report (No. 9/96; project no. 012AM03)
         from Ciba-Geigy Ltd, Basel, Switzerland. Submitted to WHO by
         Novartis Animal Health Inc., Basel, Switzerland.

    Weber, E. (1998) CGA 183893 tech. Pigmentation of the olfactory mucosa
         observed after dietary administration to rats. Unpublished report
         (report no. CB 98/05) from Novartis Crop Protection AG, Basel,
         Switzerland. Submitted to WHO by Novartis Animal Health Inc.,
         Basel, Switzerland.
    


    See Also:
       Toxicological Abbreviations
       DICYCLANIL (JECFA Evaluation)