IPCS INCHEM Home


    INTERNATIONAL PROGRAMME ON CHEMICAL SAFETY

    WORLD HEALTH ORGANIZATION





    TOXICOLOGICAL EVALUATION OF CERTAIN
    VETERINARY DRUG RESIDUES IN FOOD



    WHO FOOD ADDITIVES SERIES: 43





    Prepared by the Fifty-second meeting of the Joint FAO/WHO
    Expert Committee on Food Additives (JECFA)





    World Health Organization, Geneva, 2000
    IPCS - International Programme on Chemical Safety


    INSECTICIDE

    PHOXIM

    First draft prepared by M.E.J. Pronk and G.J. Schefferlie
    Centre for Substances and Risk Assessment
    National Institute of Public Health and the Environment
    Bilthoven, The Netherlands

    Explanation
         Biological data
              Biochemical aspects
                   Absorption, distribution, and excretion
                   Biotransformation
              Toxicological studies
                   Acute toxicity
                   Short-term studies of toxicity
                   Long-term studies of toxicity and carcinogenicity
                   Genotoxicity
                   Reproductive toxicity
                   Special studies on delayed neurotoxicity
                   Studies of metabolites
    Comments
    Evaluation
    References

    1.  EXPLANATION

         Phoxim is an organophosphorus insecticide used for topical
    treatment of cattle, sheep, goats, and pigs. It has not been evaluated
    previously by this Committee. Phoxim was evaluated by the Joint
    FAO/WHO Meeting on Pesticide Residues (JMPR) in 1982 and 1984
    (FAO/WHO, 1983, 1985). The 1984 Joint Meeting established an ADI of
    0-1 µg/kg bw on the basis of inhibition of plasma cholinesterase
    activity. Phoxim was re-evaluated at the present meeting at the
    request of the Codex Committee on Residues of Veterinary Drugs in
    Foods. It is no longer supported for use as a plant protection
    product.

         The chemical name of phoxim is
    diethyl- O-(alpha-cyanobenzylideneamino)-thiophosphate. The structure
    is shown in Figure 1. For reasons of stability, the active ingredient
    phoxim is present as a pre-solution containing phoxim and 1-butanol in
    which the content of phoxim varies from 82 to 91%. The preparation
    used in the studies of toxicity is the pre-solution.

         Organophosphorus insecticides exert their acute effects in both
    insects and mammals by inhibiting acetylcholinesterase in the nervous
    system, with subsequent accumulation of toxic levels of the
    neurotransmitter acetylcholine. This results in over-stimulation of
    central cholinergic neurons and of the parasympathetic nervous and
    neuromuscular systems. Some organophosphorus insecticides also cause
    delayed neuropathic effects by inhibiting neuropathy target esterase
    in the nervous system and by ageing of the inhibited enzyme.

         Phoxim is an insecticide with selective properties: it is toxic
    to insects but virtually non-toxic to mammals. Although differences in
    sensitivity to cholinesterase inhibition contribute to this
    selectivity, metabolism plays a more important role. In both insects
    and mammals, phoxim is oxidatively desulfurated to the oxo-analogue,
    PO-phoxim, which is a more potent inhibitor of cholinesterases than
    phoxim itself. In mammals, however, PO-phoxim is an extremely
    short-lived intermediate and, together with phoxim, is rapidly
    hydrolysed to non-toxic products (Kimmerle, 1968; Vinopal & Fukuto,
    1971).

    2.  BIOLOGICAL DATA

    2.1  Biochemical aspects

    2.1.1  Absorption, distribution, and excretion

         Male Swiss mice (number not given) were given 32P-phoxim
    (specific activity unknown) in olive oil at doses of 10, 110, or 960
    mg/kg bw. Urine and faeces were collected for up to 140 h after
    treatment, and radioactivity in these samples was determined by
    gas-flow counting. At all three doses, the total recovery of
    administered radiolabel in urine and faeces was 73-82%, the majority
    of which was in urine. The excretion rate in urine was, however, slow:
    at 10 and 110 mg/kg bw, only 43 and 22%, respectively, of the
    administered radiolabel was excreted in urine within 24 h, while at
    960 mg/kg bw only 17% was excreted within 30 h. Autopsy of a mouse
    given 110 mg/kg bw at 48 h, at which time approximately 43% of the
    dose had been excreted in urine, revealed that virtually all internal
    radiolabel was in the urinary bladder (88%), gut (8.8%), and liver
    (1.7%). Nearly all of this radiolabel was water-soluble, indicating
    that the P-containing moiety of phoxim was converted almost completely
    to water-soluble derivatives. Apparently, the slow excretion of
    P-derived metabolites in mice is due to their retention or storage in
    the urinary bladder (Vinopal & Fukuto, 1971), although the reason for
    this is unknown.

         Phoxim uniformly radiolabelled with 14C in the phenyl moiety
    (initial specific activity, 32 µCi/mg) was administered orally in
    polyethylene glycol 200 by gavage to Charles River CD rats at 1 or 10
    mg/kg bw (4 µCi at both doses). In the first experiment, groups of
    three male rats were killed 0.5, 1, 4, 7.5, 24, 48, 72, or 144 h after
    treatment with 10 mg/kg bw, and samples of blood, tissues, and organs
    (liver, kidney, muscle, fat, skin, lung, brain, heart, spleen, gonads,
    adrenals, and small and large intestine plus contents) were collected.
    In a second experiment, groups of three male rats were killed 0.5, 1,
    4, and 7.5 h after treatment with 1 or 10 mg/kg bw, and the stomach,


    FIGURE 1

    small and large intestines, and their contents were collected. In a
    third experiment, urine and faeces were collected at intervals for up
    to 10 days after treatment of five male and five female rats with 10
    mg/kg bw, and of five male rats with 1 mg/kg bw. After 10 days, the
    animals were killed, and samples of the same tissues and organs as in
    the first experiment were collected. In addition, bile was collected
    from three male rats with cannulated bile ducts for up to 24 h after
    treatment with 10 mg/kg bw. All samples were analysed for radiolabel
    by liquid scintillation spectrometry.

         Phoxim at 1 or 10 mg/kg bw was rapidly absorbed. In plasma, the
    total residue concentrations reached a maximum of 0.35 and 2.44 µg/ml
    phoxim equivalents, respectively, within 0.5 h of administration, but
    the concentrations decreased to approximately 0.1 µg/ml within 1 h of
    administration of 1 mg/kg bw and remained at that level until at least
    7.5 h. After 10 mg/kg bw, a second peak of 1.9 µg/ml was detected
    after 4 h in the animals in the first experiment but not in those in
    the second. Thereafter, the plasma concentrations decreased to
    approximately 0.8 µg/ml at 7.5 h and to 0.04 µg/ml at 24 h. The
    radiolabel was rapidly taken up into the major organs and tissues,
    with kinetics similar to that in plasma. Over the first 7.5 h after
    administration of 10 mg/kg bw, the total residue concentrations in
    tissues remained fairly constant, with the highest levels in the small
    intestine and its contents and slightly higher concentrations in
    kidney (2.1-6.1 mg/kg phoxim equivalents) and liver (1.2-3.1 mg/kg)
    than in other tissues or organs (0.04-1.2 mg/kg). Thereafter, all
    tissue concentrations declined, to below 0.4 mg/kg at 24 h and to
    below 0.14 mg/kg at 144 h.

         Most of the radiolabel was eliminated in urine within 24 h, and
    elimination was virtually complete within two days, independently of
    sex and dose. The total recovery in urine over 10 days was 93% for
    males and 86% for females at 10 mg/kg bw and 82% for males given 1
    mg/kg bw. In faeces, 4.9, 6.9, and 7.9%, respectively, of the
    administered dose was recovered in the same period. Biliary excretion
    amounted to approximately 4% of the administered dose over 24 h
    (Daniel et al., 1978b).

         [Phenyl-U-14C]phoxim (final specific activity, 20 µCi/mg) was
    administered by oral intubation in gelatin capsules to two female
    German Landrace piglets at a single dose of 5 mg/kg bw (2 mCi per
    animal). Blood, urine, and faeces were collected at intervals for up
    to 24 and 72 h after administration. After the animals were
    slaughtered, samples of liver, kidney, muscle, loin, and subcutaneous
    fat were collected. All samples were analysed for radiolabel by liquid
    scintillation spectrometry. The study was (partly) certified for
    compliance with GLP and quality assurance.

         Phoxim was rapidly absorbed: the total residue concentrations in
    plasma reached a maximum of 2.3 µg/ml phoxim equivalents within 1-2 h
    after administration and declined biphasically with half-lives of 0.6
    h in the initial phase and 25 h in the terminal phase (from 6 h
    onwards). The radiolabel was rapidly eliminated, as 82% of the
    administered dose was excreted via the urine within 24 h (72% within
    the first 8 h) and an additional 1.5% in the following 48 h. Faecal
    excretion amounted to 1.6% of the administered dose after 24 h in one
    animal and to 12% after 72 h in the other. At 24 h, the highest total
    residue concentrations in edible tissues were found in fat (1.3 mg/kg
    phoxim equivalents), followed by liver (0.60 mg/kg), kidney (0.35
    mg/kg), and loin and muscle (0.05 mg/kg). At 72 h, the tissue
    concentrations were approximately half these values (Klein & Weber,
    1988).

         In order to study the dermal bioavailability of phoxim after
    pour-on application, six piglets received 10 mg/kg bw phoxim in
    glycerol-formal by intravenous injection into an ear vein. Seven days
    later, groups of two piglets received a dermal application along the
    mid-line of the back of 100 mg/kg bw phoxim in either dimethyl
    sulfoxide, 1-octanol, or Carbowax. Blood samples were collected at
    regular intervals up to 72 h after intravenous treatment and up to 10
    days after dermal treatment, and the plasma was assayed for phoxim by
    gas chromatography. Only 1.2-2.9% of the dermal dose was absorbed,
    with little difference in the rate or extent of absorption among the
    three vehicles (Gyrd-Hansen et al., 1993).

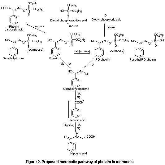
    2.1.2  Biotransformation

         In the study of Vinopal & Fukuto (1971) described above,
    metabolites were identified in two to three pooled 24-h and 30-h urine
    samples from animals treated with 110 and 960 mg/kg bw, respectively,
    by ion-exchange chromatography and thin-layer chromatography. The
    parent drug accounted for only 1 and 2% of the administered dose in
    the samples from the two groups, respectively. Four metabolites were
    detected: diethyl phosphoric acid (59 and 43%, respectively), diethyl
    phosphorothioic acid (20 and 18%, respectively), phoxim carboxylic
    acid (tentatively identified by infrared spectroscopy; 3 and 24%,
    respectively), and either desethyl phoxim or desethyl PO-phoxim
    (identification was tentative; 6 and 5%, respectively). It was
    demonstrated by administration of diethyl phosphorothioic acid itself
    that little, if any, diethyl phosphoric acid is formed by
    desulfuration of this metabolite. Hence, metabolism of phoxim in mice
    proceeds mainly by hydrolysis of the phosphor ester bond, via
    oxidative desulfuration to PO-phoxim with subsequent extremely rapid
    hydrolysis of the phosphor ester bond, and (at high doses only) via
    hydrolysis of the cyano group. De-ethylation is not an important
    pathway.

         The biotransformation of phoxim was studied in groups of five
    fasted male Charles River CD rats after administration of 10 mg/kg bw
    [phenyl-U-14C]phoxim (4-12 µCi per animal) in polyethylene glycol 200
    by oral gavage. Blood was sampled by cardiac puncture 1 h after
    dosing, and urine was collected for periods of 6 and 24 h after
    treatment. Metabolites in plasma and urine were characterized by
    thin-layer chromatography, gas chromatography, and mass spectrometry.
    Samples were pooled for analysis of metabolites. Four radiolabelled
    components were detected in plasma. Most of the radiolabel was in the
    form of the metabolite desethyl phoxim (80%), with smaller amounts in
    desethyl PO-phoxim (12%); no PO-phoxim could be detected. The major
    metabolites in urine (52-94%) were the glucuronic and sulfuric acid
    conjugates of cyanobenzaldoxime (both syn and anti forms). Small
    amounts (12%) of hippuric acid were also detected. The metabolism of
    phoxim in rats involves de-ethylation hydrolysis of the phosphor ester
    bond, followed by conjugation of cyanobenzaldoxime or its further
    metabolism to hippuric acid (Daniel  et al., 1978a).

         In the study of Klein & Weber (1988) described above, metabolites
    were identified in urine and tissue samples from pigs by thin-layer
    chromatography, high-performance liquid chromatography, gas
    chromatography, and mass spectrometry. In urine, two metabolites were
    identified: cyanobenzaldoxime-glucuronide, which was the major
    product, and hippuric acid, together accounting for approximately 90%
    of the urinary radioactivity. In tissues, unchanged phoxim was present
    in fat (90% of the radioactivity present), loin, and muscle.
    Cyanobenzaldoxime was found in muscle, loin, and liver. In kidney, no
    metabolites could be identified, although co-chromatography pointed to
    hippuric acid. The main metabolic pathway for phoxim in pigs is
    hydrolysis of the phosphor ester bond, followed by conjugation of the
    resulting cyanobenzaldoxime. A small amount of cyanobenzaldoxime is
    further oxidized to benzoic acid, which is subsequently metabolized to
    hippuric acid.

         The metabolic pathway of phoxim in various species is shown in
    Figure 2.

    2.2  Toxicological studies

    2.2.1  Acute toxicity

         The results of studies of the acute toxicity of phoxim are shown
    in Table 1. The toxic signs observed at lower oral doses were
    deterioration of general condition and sedative effects. Only at the
    highest, lethal doses were the signs indicative of acute
    cholinesterase inhibition (spasms, trembling, diarrhoea, and red tears
    in rats). Hens were considerably more sensitive to phoxim than mammals
    and showed acute cholinergic signs but no indications of delayed
    paralysis. After inhalation, no signs of cholinesterase inhibition

    FIGURE 2


    were observed, even at the highest doses, when the only effects were
    non-specific ones on the nervous system. No signs of poisoning were
    observed after dermal application. Phoxim was only slightly to
    moderately toxic in all of the mammalian species studied.

         Poorly reported studies of skin irritation indicated that phoxim
    had only a very slight irritating effect on rabbit's skin. The
    calculated overall primary irritation index was < 0.5. Limited
    reports of eye irritation in rabbits showed that phoxim can cause mild
    to moderate irritation of the conjuctivae, without effects on the iris
    or cornea (Lorke & Kimmerle, 1965; Kimmerle & Solmecke, 1970; Flucke &
    Thyssen, 1979).

         In a Magnussen-Kligman maximization test in 40 male DHPW
    guinea-pigs, phoxim induced a sensitization response in 60% of the
    animals, which was shown not to be due to 1-butanol (Flucke, 1984a).
    In an open epicutaneous test (according to Klecak) in 64 male DHPW
    guinea-pigs, administration of phoxim showed no sensitization
    potential (Flucke, 1984b).

    2.2.2  Short-term studies of toxicity

         Mice

         In a study to establish the doses for a study of carcinogenicity,
    groups of 10 male and 10 female SPF B6C3F1 mice were fed diets
    containing phoxim at 0, 5, 30, 150, or 750 mg/kg feed for six weeks,
    equal to 0, 3, 18, 85, and 440 mg/kg bw per day for males and 0, 3,
    20, 100, and 500 mg/kg bw per day for females. The study was certified
    for compliance with GLP. No differences in mortality rate, clinical
    signs, body weight, or food or water intake were observed that could
    be associated with treatment. Plasma alkaline phosphatase activity and
    total protein content were significantly increased in males at the
    high dose. In females, the plasma cholesterol content increased with
    dose, the increase becoming statistically significant from 30 mg/kg
    feed onwards; however, the control concentrations of cholesterol and
    total protein were low in comparison with historical data, and the
    increased levels were still within the historical control range, as
    were the alkaline phosphatase activities in males at the high dose.
    Cholinesterase activity was increasingly reduced with dose in plasma,
    with > 20% inhibition in all treated animals, and in erythrocytes,
    with > 20% inhibition only in females at the high dose. Brain
    acetylcholinesterase activity, which was determined in five animalsof
    each sex in each group, was reduced in all treated groups, with
    reductions of more than 50% in both males and females at the high
    dose; however, the activities in concurrent controls were in the upper
    range of that of historical controls, and the observed reduction
    showed no dose-response relationship, was not always statistically
    significant, and was still within historical control levels, except in
    males at the high dose. Therefore, only the reduction in males at the
    high dose is considered relevant.


        Table 1. Acute toxicity of phoxim
                                                                                                        

    Route              Species       Sex               LD50a or LC50    Reference
                                                                                                        

    Oral               Mouse         Male              2700             Kimmerle (1968)
    (mg/kg bw)                                         1800             Kimmerle & Solmecke (1970)
                                                       1200b            Flucke & Thyssen (1979)

                                     Female            3600             Kimmerle (1968)
                                                       2200             Kimmerle & Solmecke (1970)
                                                       2800-4000        Flucke (1978a,b; 1979a,b; 1980); 
                                                                        Heimann (1982a,b); Mihail
                                                                        (1981, 1982)
                                                       1800b            Flucke & Thyssen (1979)

                                     Unspecified       > 1000c          Lorke & Kimmerle (1965)
                                                       > 2300           Kimmerle (1969)
                                                       > 2000d          Vinopal & Fukuto (1971)
                       Rat           Male              10 000           Lorke & Kimmerle (1965)
                                                       8000             Kimmerle (1968))
                                                       2100             Kimmerle & Solmecke (1970)
                                                       4900b            Thyssen (1976)
                                                       2000b            Flucke & Thyssen (1979)

                                     Female            10 000           Lorke & Kimmerle (1965)
                                                       6500             Kimmerle (1968)
                                                       1900             Kimmerle & Solmecke (1970)
                                                       2900b            Thyssen (1976)
                                                       1400b            Flucke & Thyssen (1979)

                       Guinea-pig    Female            390-560          Kimmerle (1968)
                                                       approx. 660      Kimmerle & Solmecke (1970)

                                     Unspecified       > 1000c          Lorke & Kimmerle (1965)

                       Rabbit        Female            250-380          Kimmerle & Solmecke (1970)

                                     Unspecified       approx. 380c     Lorke & Kimmerle (1965)
                                                       280-560          Kimmerle (1968)

    Table 1. (continued)
                                                                                                        

    Route                    Species        Sex               LD50a or LC50      Reference
                                                                                                        

                             Cat            Female            250-500            Kimmerle & Solmecke (1970)
                                            Unspecified       > 1000c            Lorke & Kimmerle (1965)
                                                              > 1100             Kimmerle (1968)

                             Dog            Female            250-500            Kimmerle & Solmecke (1970)
                                                              > 500b             Flucke & Thyssen (1979)

                                            Unspecified       > 1200             Lorke & Kimmerle (1965)
                                                              > 1100             Kimmerle (1968)

                             Chicken        Female            approx. 38c        Lorke & Kimmerle (1965); 
                                                                                 Kimmerle (1972)
                                                              20e                Thyssen & Kimmerle (1973)
                                                              40b                Pauluhn (1983)

    Intraperitoneal          Rat            Male              2200c              Lorke & Kimmerle (1965)
    (mg/kg bw)                                                2000               Kimmerle (1968)

                                                              1800               Kimmerle & Solmecke (1970)
                                                              1100b              Flucke & Thyssen (1979)

                                            Female            2000c              Lorke & Kimmerle (1965)
                                                              1900               Kimmerle (1968)
                                                              1800               Kimmerle & Solmecke (1970)
                                                              1500b              Flucke & Thyssen (1979)

                             Chicken        Female            approx. 38c        Lorke & Kimmerle (1965); 
                                                                                 Kimmerle (1972)

    Intravenous              Mouse          Female            1100               Kimmerle (1968)
    (mg/kg bw)                                                480b               Kimmerle & Solmecke (1970)

    Dermal                   Rat            Male              > 1200             Lorke & Kimmerle (1965)
    (mg/kg bw)                                                > 1100             Kimmerle (1968)
                                                              > 1100             Kimmerle & Solmecke (1970)

    Table 1. (continued)
                                                                                                        

    Route                    Species        Sex               LD50a or LC50      Reference
                                                                                                        

                                             Male/female      > 5600             Flucke & Thyssen (1979)
                                                              > 5000f            Bomann (1992)g

    Inhalation               Mouse          Male              > 2.1h             Kimmerle (1968)
    (mg/L, 4 h)                                               > 3.1h             Kimmerle & Solmecke (1970)

                                            Unspecified       > 1.3              Kimmerle (1968)
                                                              >1.7h              Kimmerle & Solmecke (1970)

                             Rat            Male              > 2.0h             Kimmerle (1968)
                                                              > 2.6h             Kimmerle & Solmecke (1970)

                                            Female            > 2.2h             Kimmerle (1968)
                                                              > 2.8h             Kimmerle & Solmecke (1970)

                                            Male/female       > 3.0h             Flucke & Thyssen (1979)
                                                              > 4.6              Märtins (1992)g

                                            Unspecified       > 1.3              Kimmerle (1968)
                                                              > 1.7h             Kimmerle & Solmecke (1970)

                             Guinea-pig     Unspecified       > 1.3              Kimmerle (1968)

                             Rabbit         Unspecified       > 1.3              Kimmerle (1968)
                                                              1.2-1.7h           Kimmerle & Solmecke (1970)

    Subcutaneous             Mouse          Male/female       > 5000b            Flucke & Thyssen (1979)
    (mg/kg bw )                             Unspecified       > 1000c            Lorke & Kimmerle (1965)
                                                                                                        

    a  In the reports of Kimmerle (1968), Flucke (1978a,b; 1979a,b; 1980), Heimann (1982a,b), Mihail
       (1981, 1982), Kimmerle & Solmecke (1970), and Flucke & Thyssen (1979), some or all of the
       LD50 values for phoxim (as pre-solution) were cited in microlitres or millilitres per kilogram
       of body weight. These values were converted to milligrams per kilogram of body weight by

    Table 1. (continued)

       correcting for the density of the pre-solution (1.126 mg/µl at 20 °C). In the report of Lorke
       & Kimmerle (1965), some of the LD50 values for pure phoxim were cited in millilitres per
       kilogram of body weight. These values were converted to milligrams per kilogram of body weight
       by correcting for the density of the pure substance (1.176 mg/µl at 20 °C).

    b  Vehicle, water:Cremophor EL

    c  Vehicle, lutrol

    d  Vehicle, olive oil

    e  Vehicle, water

    f  Vehicle, 2% Cremophor EL:physiological saline 

    g  The studies of Bomann (1992) and Märtins (1992) were of conventional design, with GLP
       and quality assurance certification.

    h  Vehicle, ethanol:lutrol 1:1
    

         The only gross change seen on post-mortem examination was
    enlarged spleens in a number of control and treated females. As this
    finding was unrelated to dose and occurred in more control than
    treated animals, it is not considered to be related to treatment. The
    relative kidney weights of females at 150 and 750 mg/kg feed were
    statistically significantly increased with dose. The absolute and
    relative liver weights were increased with dose in all treated
    animals, the increase in relative weight becoming statistically
    significant at 150 mg/kg feed and the increase in absolute weight in
    males only; both the relative and absolute weights were increased
    significantly at 750 mg/kg feed. Histopathological examination only of
    the livers of controls and animals at the high dose revealed
    enlargement of the centrilobular hepatocytes in males and females at
    the high dose, indicating adaptive hypertrophy and possible enzyme
    induction. No evidence of irreversible changes was found. One female
    at the high dose had slight cytoplasmic vacuolation in periportal
    cells, which may not have been related to treatment (Ivens-Kohl &
    Hahnemann, 1989a).

         In a follow-up study, groups of 10 male and 10 female SPF B6C3F1
    mice were fed diets containing phoxim at 0, 0.5, 1, 5, or 30 mg/kg
    feed, equal to 0, 0.28, 0.55, 2.8, and 18 mg/kg bw per day for males
    and 0, 0.35, 0.66, 3.1, and 23 mg/kg bw per day for females, for eight
    weeks. The study was certified for compliance with GLP. No differences
    in mortality rate, clinical signs, body weight, food or water intake,
    or macroscopic or histopathological appearance were observed that
    could be related to treatment. The plasma cholesterol content was
    statistically significantly increased in females at 30 mg/kg feed. As
    in the previous study, however, the control cholesterol content was
    lower than that of historical controls, and the increased level was
    still within the range of historical controls. Cholinesterase activity
    in plasma was reduced by > 40% at the two highest doses, and a small
    inhibition (8-14%) of erythrocyte acetylcholinesterase activity was
    observed in males and females at the high dose. There was no evidence
    of a change in brain acetylcholinesterase activity in any treated
    groups. Although the absolute and relative weights of the liver were
    slightly but statistically significantly increased in females at the
    high dose, no effects on organ weights were found. The NOEL was 5
    mg/kg feed, equal to 3.1 mg/kg bw per day, on the basis of slightly
    increased liver weights in female mice (Ivens-Kohl & Hahnemann,
    1989b).

         Rats

         In a 21-day study of toxicity with special attention to the
    reversibility of cholinesterase inhibition, groups of 15 SPF Wistar II
    rats of each sex received phoxim emulsified in distilled water and
    Cremophor EL by oral gavage at 0, 5, or 50 mg/kg bw per day. Five rats
    of each sex in each group were killed at the end of treatment and two
    and four weeks thereafter. The animals were examined regularly for
    effects on physical appearance, behaviour, body weight, and

    cholinesterase activity in plasma and erythrocytes. Brain
    cholinesterase activity was measured at termination of treatment and
    two weeks thereafter.

         There were no deaths and no treatment-related effects on
    appearance, behaviour, or body weight. Plasma cholinesterase activity
    was reduced by > 20% during treatment in females at the low dose
    (when compared with concurrent controls but not when compared with
    pre-treatment values in the same animals) and in males and females at
    the high dose, but the activity was restored within one week after
    cessation of treatment. Acetylcholines-terase activity in erythrocytes
    was reduced by > 20% in males at the low dose during the first week
    of treatment (when compared with concurrent controls but not when
    compared with pre-treatment values in the same animals) and in females
    at this dose throughout treatment but was restored within one week.
    Erythrocyte cholinesterase activity was decreased by > 20% in males
    and females at the high dose throughout the treatment period but was
    restored within two weeks in males and within four weeks in females.
    Brain acetylcholinesterase activity was within the physiological range
    and very similar to control values in all treated males and in females
    at the low dose, both at termination and two weeks thereafter. Females
    at the high dose showed 30% inhibition of brain acetylcholinesterase
    activity at termination, but this was restored within two weeks. Thus,
    inhibition of cholinesterase activity was more pronounced in female
    than in male rats and was reversible in animals of each sex (Thyssen,
    1976).

         Groups of 15 SPF Wistar II rats of each sex received phoxim
    dissolved in polyethylene glycol 400 (lutrol) by oral gavage at 0, 2,
    5, or 15 mg/kg bw per day for 30 days. The animals were examined for
    effects on physical appearance, behaviour, body weight, and
    cholinesterase activity in plasma and erythrocytes. No
    treatment-related effects were observed on appearance, behaviour or
    body weight. The cholinesterase activity in plasma decreased with dose
    in all treated females and in males at 5 and 15 mg/kg bw per day. The
    acetylcholinesterase activity in erythrocytes was reduced by > 20%
    in males and females at two highest doses (Kimmerle, 1973).

         In a three-month study, groups of 15 young SPF Wistar rats of
    each sex received diets containing phoxim at 0, 4, 12, 40, or 120
    mg/kg feed, equivalent to 0, 0.4, 1.2, 4, or 12 mg/kg bw per day. The
    animals were observed for physical appearance, behaviour, deaths, body
    weight, food consumption, haematological and clincal chemical
    parameters (liver function tests), plasma and erythrocyte
    cholinesterase activity, urinary parameters, organ weights, and
    macroscopic appearance. Brain acetylcholinesterase activity was not
    investigated. Treatment-related effects were found on cholinesterase
    activity in both plasma and erythrocytes, which were decreased by
    > 20% at 40 mg/kg feed (within one month) and 120 mg/kg feed
    (within one week) in animals of each sex. Statistically significantly
    increased weights of the thyroid glands (both absolute and relative)

    and adrenal glands (relative only) were observed in males at 120 mg/kg
    feed. In the absence of data on brain acetylcholinesterase activity,
    the NOEL was 12 mg/kg feed, equivalent to 1.2 mg/kg bw per day, on the
    basis of inhibition of erythrocyte acetyl-cholinesterase activity
    (Löser, 1969a,b).

         In a second three-month study with groups of 15 young SPF Wistar
    rats of each sex, phoxim was administered in the diet at
    concentrations of 0, 5, 15, 50, 150, or 500 mg/kg feed, equivalent to
    0, 0.5, 1.5, 5, 15, or 50 mg/kg bw per day. The animals were
    observed for the same end-points as in the previous study, with the
    addition of histopathological examination. Cholinergic signs (muscle
    twitching, cramps) were observed occasionally in animals at the high
    dose, particularly in the earlier part of the study. Although
    body-weight gain was significantly retarded in males at the high dose,
    animals at 50 mg/kg feed showed a very similar growth curve. Hence,
    the effect on body-weight gain was not consistent or dose-dependent.
    In male rats, cholinesterase activity in plasma and erythrocytes
    decreased by > 20% with doses from 50 mg/kg feed. In female rats,
    cholinesterase activity decreased by > 20% in plasma with doses
    from 15 mg/kg feed (at 1 and 13 weeks only) and in erythrocytes with
    doses from 150 mg/kg feed. Liver weights were statistically
    significantly increased in animals at 150 mg/kg feed (relative) and
    500 mg/kg feed (relative in males and females, absolute in females),
    but there were no significant changes in liver function tests. At the
    high dose, the absolute and relative thyroid weights were increased in
    females, and the relative adrenal weights were increased in males.
    Relative kidney weights were increased at 150 mg/kg feed in females
    and 500 mg/kg feed in males and females. On the basis of inhibition of
    erythrocyte acetylcholinesterase activity in males (in the absence of
    data on brain acetylcholinesterase activity), the NOEL was 15 mg/kg
    feed, equivalent to 1.5 mg/kg bw per day (Löser, 1970a; Vince &
    Spicer, 1971).

         Rabbits

         Groups of three male and three female New Zealand white rabbits
    received dermal applications of phoxim emulsified with Cremophor EL in
    water on 5 × 5 cm areas of shorn intact skin of the flank or back or
    of skin abraded with sandpaper at doses of 0, 0.5, or 15 mg/kg bw per
    day, 7 h/day, five days per week, for three consecutive weeks. The
    treated sites were not occluded. The observations included deaths,
    physical appearance, behaviour, body weight, skin irritation,
    haematological parameters, clinical chemical parameters (liver
    function tests), urinary parameters, gross pathological appearance,
    organ weights, histopathological appearance, and determination of
    plasma, erythrocyte, and brain cholinesterase activities.

         Skin irritation was observed only in animals with abraded skin,
    in which there was a dose-related increase in the time necessary for
    the erythema to disappear. Histopathological examination of the
    treated skin of one control animal with intact skin, of one animal at
    the high dose with intact skin, and of four animals at the high dose
    with abraded skin showed, on average, moderate cellular infiltration
    of the epidermis and corium by round cells, polymorphonuclear
    leukocytes, and isolated inflammatory hair follicles, and a slight
    increase in the thickness of the epithelium. These findings were
    considered to be the result of repeated physical irritation,
    exacerbated by the compound at the highest dose. Plasma and
    erythrocyte cholinesterase activities were reduced in a dose-related
    manner and were inhibited by > 20% at 0.5 mg/kg bw per day in males
    with abraded skin and in females with intact skin only and in all
    animals at 15 mg/kg bw per day. Brain acetylcholinesterase activity
    was reduced by 14% in males with abraded skin at the low dose and by
    23% in all males at the high dose but was not reduced in females
    (Flucke & Schilde, 1978).

         Chickens

         Groups of 10 white Leghorn hens were fed diets containing phoxim
    at a concentration of 0, 5, or 10 mg/kg feed for 28 days, equal to
    average achieved intakes of 0, 0.32, or 0.68 mg/kg bw per day. Phoxim
    had no effect on behaviour, and there were no signs of neurotoxicity.
    Body-weight gain and food consumption were also unaffected. At the
    high dose, a marked depression (> 20% inhibition) in whole blood
    cholinesterase activity was observed (Thyssen & Kimmerle, 1973).

         Dogs

         In a three-month study, beagle dogs were fed phoxim in the diet
    at doses of 0 (three of each sex), 2, 5, or 10 mg/kg feed (two of each
    sex), equivalent to 0, 0.05, 0.13, or 0.25 mg/kg bw per day. Treatment
    did not affect the mortality rate, physical appearance, behaviour,
    food intake, ophthalmoscopic, haematological, clinical chemical (liver
    function tests), or urinary parameters, macroscopic appearance, or
    organ weights. Body-weight gain appeared to be reduced in males at 5
    mg/kg feed and in animals of each sex at 10 mg/kg feed; however, the
    smal number of animals per group and the high intra-group variation
    did not allow statistical analysis. As this effect was not observed at
    higher doses in a second three-month study (see below) or in the first
    three months of a two-year study with larger groups (see below), it
    was discounted. Inhibition of cholinesterase activity by > 20% was
    observed in the plasma of dogs of each sex at 2 mg/kg feed (after one
    month only) and at 5 and 10 mg/kg feed but not in erythrocytes. Brain
    acetylcholinesterase activity was not determined, and
    histopathological examination was not performed. The NOEL was 10 mg/kg
    feed, equivalent to 0.25 mg/kg bw per day, the highest dose tested
    (Löser, 1970b).

         In a second three-month study, in which histopathological
    examination was performed in addition to the observations in the first
    study, beagle dogs were fed phoxim in the diet at doses of 0 (three
    per sex), 50, 200, or 1000 mg/kg feed (two per sex), equivalent to
    0, 1.3, 5, or 25 mg/kg bw per day. Animals at the high dose showed
    signs of cholinergic poisoning (cramps, especially in the abdominal
    region, muscle twitching, and salivation), but none died. Food
    consumption was reduced in females at 1000 mg/kg feed, which resulted
    in weight loss throughout the study, and these animals appeared
    emaciated upon macroscopic examination, with little adipose tissue in
    the subcutaneous connective tissue or in the mesentery. Plasma
    alkaline phosphatase activity was increased in animals of each sex at
    200 and 1000 mg/kg feed, and plasma lactate dehydrogenase activity was
    increased in males at the high dose. Ophthalmoscopic, haematological,
    and urinary determinations showed no treatment-related effects. The
    absolute and relative liver weights were increased in males at the
    high dose, and the relative liver weight was increased in females at
    the high dose, probably because of the body-weight loss, although
    changes were not seen in other tissues. The absolute and relative
    weights of the male gonads were increased at the two highest doses,
    but as the report did not include data on individual animals or
    provide any measure of intra-group variation, the statistical
    significance of these findings could not be determined. In both males
    and females, cholinesterase activity was decreased by > 20% in a
    dose-dependent fashion in plasma at all doses and erythrocytes at 200
    and 1000 mg/kg feed, from within one week. Brain acetylcholinesterase
    activity was not determined. Histopathological examination revealed no
    difference between control and treated animals. The NOEL was 50 mg/kg
    feed, equivalent to 1.3 mg/kg bw per day, on the basis of reduced
    erythrocyte acetylcholinesterase activity (in the absence of data on
    brain acetylcholinesterase activity) and increased plasma alkaline
    phosphatase activity (Löser, 1971; Brooks & Cherry, 1974).

         Groups of four male and four female beagles were fed diets
    containing phoxim at 0, 0.3, 1, or 2 mg/kg feed for three months,
    equivalent to 0, 0.0075, 0.025, or 0.05 mg/kg bw per day. The animals
    were observed for deaths, physical appearance, behaviour, neuronal
    reflexes, food consumption, body weight, ophthalmoscopic,
    haematological, clinical chemical, and urinary parameters, plasma and
    erythrocyte cholinesterase activity, gross and histopathological
    appearance, and organ weights. Brain acetylcholinesterase activity was
    not determined. The only effect observed was reduced plasma
    cholinesterase activity (> 20% inhibition) in both males and
    females at 1 and 2 mg/kg feed. The NOEL was 2 mg/kg feed, equivalent
    to 0.05 mg/kg bw per day, the highest dose tested (Mürmann & Luckhaus,
    1973).

         Monkeys

         Groups of five male and five female rhesus monkeys ( Macaca
     mulatta) received phoxim dissolved in corn oil by oral gavage at
    doses of 0, 0.2, 0.65, or 2 mg/kg bw per day on six days per week for

    six months. The observations included clinical signs, physical
    appearance, behaviour, body weight, haematological, clinical chemical,
    and urinary parameters, and plasma and erythrocyte cholinesterase
    activity. Liver was biopsied before and at the end of treatment for
    histopathological assessment. Brain acetylcholinesterase activity was
    not determined. Although plasma and erythrocyte cholinesterase
    activity was inhibited, there were no signs of cholinergic poisoning
    in animals at doses up to 2 mg/kg bw per day. There was no evidence
    from either clinical chemistry or histopathology of an effect of
    phoxim on the liver. Plasma cholinesterase activity was reduced by
    > 20% in a dose-dependent manner in all treated animals.
    Erythrocyte acetylcholinesterase activity was slightly reduced in
    animals at the highest dose, reaching > 20% inhibition only after
    treatment for four months, when compared with concurrent controls but
    not when compared with pre-treatment values in the same animals. In
    the absence of data on brain acetylcholinesterase activity, the NOEL
    was 0.65 mg/kg bw per day on the basis of slight evidence of
    inhibition of erythrocyte acetylcholinesterase activity (Coulston
     et al., 1978).

    2.2.3  Long-term studies of toxicity and carcinogenicity

         Mice

         In a study of carcinogenicity, groups of 50 male and 50 female
    SPF B6C3F1 mice were fed diets containing phoxim at doses of 0, 1, 5,
    150, or 450 mg/kg feed, equal to average achieved intakes of 0, 0.47,
    2.4, 67, or 200 mg/kg bw per day for males and 0, 0.55, 2.7, 79, or
    210 mg/kg bw per day for females, for 24 months. Ten additional
    animals of each sex at each dose (satellite groups) were killed at 12
    months. The animals were observed for clinical signs, death, body
    weight, food and water consumption, haematological and clinical
    chemical parameters (in 10 animals per group during weeks 27, 53, 79,
    and 105; including plasma and erythrocyte cholinesterase activities),
    organ weights, detailed macroscopic and microscopic examinations, and
    brain acetylcholinesterase activity (in 10 animals of each sex per
    group at the terminal kill). The study was of conventional design,
    with GLP and quality assurance certification.

         Clinical signs, food and water consumption, and haematological
    parameters were unaffected by treatment, as was survival (70-88% of
    controls, 78-90% of treated animals). Statistically significantly
    increased body weights were observed in males at 150 and 450 mg/kg
    feed and in females at 450 mg/kg feed. Plasma cholesterol contents
    were statistically significantly increased in animals of each sex at
    doses of 150 mg/kg feed and higher, from 27 weeks onwards. The total
    bilirubin content was decreased in males at the high dose, while
    females at this dose showed slightly but statistically significantly
    increased plasma alkaline phosphatase and alanine aminostransferase
    activities from one year onwards. Plasma cholinesterase activity was
    decreased in animals of each sex at 5 (23-45% inhibition), 150, and

    450 (94-98% inhibition) mg/kg feed. Erythrocyte acetylcholinesterase
    activity was inhibited by 14-26% in males and females at 150 and 450
    mg/kg feed, and brain acetylcholinesterase activity was reduced in
    animals of each sex at 150 mg/kg feed (19-28%) and 450 mg/kg feed
    (45-54%).

         The weights and macroscopic and microscopic appearance of organs
    showed little treatment-related change, except in the liver. At 450
    mg/kg feed, the absolute and relative liver weights were statistically
    significantly increased in all animals, and histopathological
    examination showed a significant increase in the incidence of
    non-neoplastic hepatic foci, mainly eosinophilic and basophilic types,
    in males (8/50 versus 1/50 in controls). The absolute weights of the
    heart and kidneys were significantly increased in both males and
    females at the high dose, and fermales at these doses had a
    significant reduction in the number of ovarian cysts. The incidences
    of hepatocellular carcinoma were comparable in treated and control
    groups, but the incidences of hepatocellular adenoma were
    statistically significantly increased in males at 150 mg/kg feed (9/50
    versus 1/50 in concurrent controls and 1-7/50 in historical controls)
    and in females at 450 mg/kg feed (8/50 versus 1/50 in concurrent
    controls and 0-2/50 in historical controls). This finding is probably
    not biologically significant in males, as no increase was seen at the
    highest dose (5/50 at both the lowest and highest doses) and the
    incidence was just beyond the range of historical controls. The
    increased incidence of adenomas in females at the high dose is thought
    to be due to the hepatoproliferative effect of the compound. The
    incidence of lymphoreticular tumours was slightly but significantly
    reduced in females receiving 150 and 450 mg/kg feed. The NOEL was 5
    mg/kg feed, equal to 2.4 mg/kg bw per day, on the basis of increased
    plasma cholesterol content and inhibition of brain
    acetylcholinesterase activity (Jäger, 1992).

         Rats

         In a long-term study of toxicity, groups of 50 male and 50 female
    SPF Wistar rats received diets containing phoxim at concentrations of
    0, 15, 75, or 375 mg/kg feed, equal to average achieved intakes of 0,
    0.8, 4, or 18 mg/kg bw per day for males and 0, 1.1, 5.4, or 27 mg/kg
    bw per day for females, for 24 months. The control group comprisd 100
    males and 100 females. Five additional animals of each sex per group
    were used for clinical chemical examinations at 3, 6, and 12 months,
    and 10 males and 10 females per group were used for these examinations
    at termination. The observations included physical appearance,
    behaviour, deaths, body weight, food consumption, haematological,
    clinical chemical (liver function tests), and urinary parameters,
    plasma and erythrocyte cholinesterase activities, absolute organ
    weights, macroscopic and microscopic appearance, and brain
    acetylcholinesterase activity (in five animals of each sex per group).

         Treatment with phoxim did not affect the physical appearance,
    behaviour, survival (76-79% of controls, 74-86% of treated animals),
    or haematological, urinary, or macroscopic appearance of the rats.
    Food consumption was reduced by 10% in males at the high dose, while
    body-weight gain was slightly reduced in females at this dose. The
    results of liver function tests were normal, other than a significant
    reduction in plasma glutamate dehydrogenase activity in males at the
    high dose and in bilirubin content in females at the high dose. Plasma
    and erythrocyte cholinesterase activities were reduced by > 20% in
    a dose-dependent manner throughout the study in rats treated with 75
    and 375 mg/kg feed. Inhibition by > 20% of plasma and erythrocyte
    cholinesterase activities was also observed in females at 15 mg/kg
    feed (at 1, 2, and 52 weeks for plasma cholinesterase; at 2 weeks for
    erythrocyte acetylcholinesterase). Brain acetylcholinesterase activity
    was reduced by 18% in males and 23% in females at the highest dose.
    Absolute liver weights were statistically significantly increased in
    all treated males, but the effect is discounted as an inverse 
    dose-response relationship was seen. The absolute adrenal weights 
    were statistically significantly decreased in a dose-related manner 
    at doses > 75 mg/kg feed in animals of each sex, and the absolute
    weights of the heart, lung, and spleen were statistically
    significantly reduced in females at the high dose. None of the changes
    in organ weights was accompanied by corresponding histopathological
    changes. There was no difference in tumour incidence between control
    and treated animals. The NOEL was 15 mg/kg feed, equal to 0.8 mg/kg bw
    per day, on the basis of changes in adrenal weights (Bomhard & Löser,
    1977; Finn, 1977).

         Dogs

         In a long-term study of toxicity, groups of four beagles of each
    sex received phoxim in the diet at concentrations of 0, 0.3/0.1, 15,
    or 750 mg/kg feed for 104 weeks, equivalent to 0, 0.0075/0.0025, 0.38,
    or 19 mg/kg bw per day. Because plasma cholinesterase activity was
    decreased by 26% in females at week 77, although erythrocyte
    acetylcholinesterase activity was not affected, their dose was reduced
    from 0.3 to 0.1 mg/kg feed from week 83 onwards. The animals were
    observed for deaths, physical appearance, behaviour, neuronal
    reflexes, food consumption, body weight, ophthalmoscopic,
    haematological, clinical chemical, and urinary parameters, gross and
    histopathological appearance, organ weights, and plasma, erythrocyte,
    and brain cholinesterase activity.

         No treatment-related effects were observed on mortality rates,
    behaviour, food consumption, reflexes, or ophthalmoscopic,
    haematological, or urinary parameters. All males at the high dose and
    two of four at the intermediate dose showed a poor nutritional state.
    In the second year, the coats of all males at the high dose were dull,
    ruffled, and ungroomed, and, although the food consumption of these
    animals was unaffected by treatment, they took much longer to eat
    their food ration. The body-weight gain of all treated animals, but

    especially the males, was reduced in a dose-dependent manner between 0
    and 104 weeks due mainly to retarded growth in the second half of the
    study; the effect reached statistical significance only in males at
    the high dose. Plasma alanine aminotransferase activity was
    statistically significantly increased in animals at the high dose from
    week 52 onwards. Plasma alkaline phosphatase activity was
    statistically significantly increased in these animals throughout the
    treatment period. Although it was not increased at lower doses, the
    natural decline was slowed, resulting in statistically significantly
    higher values than in controls in females at the intermediate dose
    from week 26 onwards and in males at the two lower doses from week 52
    onwards. These effects on alkaline phosphatase activity are considered
    to be adaptive, and were probably due to induction, as
    organophosphorus esters are natural substrates for alkaline
    phosphatase. The serum cholesterol concentration was reduced in
    animals at the high dose throughout treatment, reaching statistical
    significance at some times. Cholinesterase activity was reduced
    throughout the experiment in males and females at 15 and 750 mg/kg
    feed, in plasma (60 and 80% inhibition, respectively) and in
    erythrocytes (20-30 and 60-80% inhibition, respectively). The
    cholinesterase activity in plasma and erythrocytes was not reduced in
    males at 0.3 mg/kg feed or in females at 0.1 mg/kg feed. Brain
    acetylcholinesterase activity was significantly reduced, by
    approximately 37%, in animals at the high dose.

         Organ weights and gross and histopathological appearance showed
    little treatment-related change other than in the liver. Histological
    examination revealed hypolasia in both testes of one dog at the high
    dose. As there was no cryptorchism, this effect might be related to
    treatment. The livers of all females and one male at 750 mg/kg feed
    were darker than those of the controls, and some had a markedly
    exaggerated lobular pattern. The absolute and relative weights of the
    liver were statistically significantly increased in all animals at the
    high dose; although the relative weight of the liver was also
    increased in males at the intermediate dose, the increase was not
    statistically significant. Histopathological examination showed
    hepatocytic alterations in three dogs and three bitches at the high
    dose, involving dilated hepatocytes with a light, glassy,
    structureless cytosol. On the basis of inhibition of brain
    acetylcholinesterase activity and effects on the liver, the NOEL was
    15 mg/kg feed, equivalent to 0.38 mg/kg bw per day (Hoffmann &
    Gröning, 1977).

    2.2.4  Genotoxicity

         The results of tests for genotoxicity carried out with phoxim are
    summarized in Table 2. Phoxim was dissolved in dimethyl sulfoxide for
    testing  in vitro and in aqueous 0.5% Cremophor emulsion for testing
     in vivo. The only effect seen  in vitro or  in vivo was induction of
    chromosomal aberrations  in vitro in lymphocytes; however, this
    finding could not be interpreted owing to the cytotoxicity seen at

    concentrations that affected the chromosomes. The summary tables in an
    English translation of the Russian article show that phoxim induced a
    very weak, dose-related increase in the number of cells with
    aberrations, but no details were provided on the exposure time,
    harvesting time, or absence or presence of S9. Furthermore, the
    marginally increased frequencies reached statistical significance
    because the frequency in concurrent controls both  in vitro and  in vivo
    was very low, and these frequencies may have been within the range for
    historical controls, for which data were lacking.

    2.2.5  Reproductive toxicity

    2.2.5.1  Multigeneration reproductive toxicity

         Rats

         Phoxim was administered in the diet to four groups of 10 male and
    20 female Long Evans FB 30 rats throughout mating, gestation, and
    lactation in a three-generation study of reproductive toxicity at
    doses of 0, 15, 75, or 375 mg/kg feed, equivalent to 0, 0.75, 3.8, and
    19 mg/kg bw per day. The pups were suckled for up to four weeks,
    weighed weekly, and examined grossly for malformations; the offspring
    of each first mating (F1a, F2a, and F3a) were then killed. The
    offspring of each second mating (F1b and F2b) were weaned and then
    mated to produce two litters. After the dams of the F0, F1b, and F2b
    generations had successfully nursed their offspring twice, they were
    killed. Gross and histopathological examinations were performed on one
    male and one female four-week-old pup of the F3b generation from each
    of 10 mothers per group.

         There were no differences between the control and treated parents
    in any of the generations with respect to physical appearance,
    behaviour, or body-weight gain, although some parents in the control
    and treated groups died due to pneumonitis. No treatment-related
    effects on fertility (pregnancy rate), litter size at birth or after
    five days (viability index), or pup body weights at birth or during
    four-week lactation were seen in any generation, and there were no
    signs of malformation. The survival of pups in the F1a, F1b, F2a,
    F2b, and F3a generations after four weeks' lactation was normal, but
    the survival of pups in the F3b generation at 375 mg/kg feed was
    slightly but statistically significantly reduced (84% versus 97% in
    controls). Gross and histopathological examinations of the F3b pups
    did not reveal any treatment-related alterations. The NOEL was 75
    mg/kg feed, equivalent to 3.8 mg/kg bw per day, on the basis of
    slightly reduced survival of pups in the second litter of the third
    generation (Löser, 1979).


        Table 2. Results of assays for genotoxicity with phoxim
                                                                                                         

    End-point     Test object                Concentration        Result           GLP/      Reference
                                                                                   QA
                                                                                                         

    In vitro

    Reverse       S. typhimurium TA98,       3.2-3200 nl/         Negativeb        No        Oesch 
    mutation      TA100, TA1537              platea (+ S9)                                   (1977)
                                             32-3200 nl/
                                             platea (- S9)

    Reverse       S. typhimurium TA98,       10-5000 µg/          Negativeb        No        Shirasu 
    mutation      TA100                      plate                                           et al. (1978)

    Reverse       S. typhimurium TA98,       < 5000 µg/           Negativeb        No        Moriya 
    mutation      TA100, TA1535,             plate                                           et al. (1983)
                  TA1537, TA1538; 
                  E. coli WP2 hcr

    Reverse       Saccharomyces              625-10 000           Negativeb        Yes       Herbold 
    mutation      cerevisiae D7              µg/mlc                                          (1985)

    DNA damage    Bacillus subtilis H-17,    1-100% v/v           Negative         No        Shirasu 
                  M-45 rec-                  (0.2-20 µl/disc)                                et al. (1978)

    Chromosomal   Human lymphocytes          30-300 µg/ml         Positive         Yes       Herbold 
    aberration                               (- S9)               at > 100                   (1986)
                                             50-500 µg/ml         µg/ml - S9d
                                             (+ S9)               

    Chromosomal   Human lymphocytes          0.2 and 2            Equivocal        No        Kurinnyi
    aberration                               µg/ml                                           (1979)

    Table 2. (continued)
                                                                                                         

    End-point     Test object                Concentration        Result           GLP/      Reference
                                                                                   QA
                                                                                                         

    In vivo

    Micronucleus  Mouse bone marrow          2 × 250 or           Negativee        No        Herbold 
    formation     (NMRI mice (SPF            500 mg/kg bw                                    (1981)
                  Han) 5/sex per             by gavage with 
                  group)                     an interval of 
                                             24 h
    Dominant      Male NMRI mice             Single dose of       Negative         No        Machemer 
    lethal                                   500 mg/kg bw                                    (1974)
    mutation                                 orally by gavage

    Chromosomal   Mouse bone marrow          1× 10 mg/kg bw       Negative         No        Kurinnyi 
    aberration    (noninbred white           1× 100 mg/kg bw,     Negative                   (1979)
                  mice, 5 males/group)       5× 100 mg/kg bw,     Equivocale
                                             1× 250 mg/kg bw      Equivocale
                                             intragastrically
                                                                                                         

    GLP, good laboratory practice; QA, quality assessment; S9, exogenous metabolic activation
    system from rat liver microsomes

    a At 1000 nl/plate, some test compound separated as droplets from the top agar.

    b With and without S9 

    c No cytotoxicity up to 10 000 µg/ml

    d The mitotic indices were 100, 37, and 1.9% at 30, 100, and 300 µg/ml,
      respectively, in the absence of S9 and 84, 93, and 2.4% at 50, 100,
      and 500 µg/ml, respectively, in the presence of S9. Significant
      increases in chromosomal aberration frequency were found at 100 and
      300 µg/ml in the absence of S9 and at 500 µg/ml in the presence of S9.

    e The ratio of polychromatic to normochromatic erythrocytes at either
      dose did not deviate from that in controls, and no clinical signs of
      toxicity were noted. The doses were chosen on the basis of the results
      of a preliminary test in which mice received 2 × 500 or 1000 mg/kg bw
      orally and the lower dose was tolerated with induction of weak signs.
      In view of this finding and the rapid and almost complete oral
      absorption of phoxim by mice, it is likely that the bone marrow was
      exposed.
    

    2.2.5.2  Developmental toxicity

         Rats

         In a study of developmental toxicity, groups of 20-21 pregnant
    Long Evans FB 30 rats received phoxim in 0.5% aqueous Cremophor
    emulsion by oral gavage at daily doses of 0, 30, 100, or 300 mg/kg bw
    on days 6-15 of gestation. On gestation day 20, the dams were killed
    and necropsied, and the fetuses were weighed, sexed, and examined for
    external, visceral, and skeletal malformations. None of the dams died
    during the study, and no adverse effects were seen on their behaviour
    or general appearance. The body-weight gain of dams at the high dose
    was statistically significantly decreased during treatment but not
    when considered over the entire gestation period. There were no
    evident effects on embryonic or fetal development, and there was no
    indication of teratogenicity up to the highest dose tested. The NOEL
    for maternal toxicity was 100 mg/kg bw per day on the basis of the
    decrease in body-weight gain. The NOEL for developmental toxicity was
    300 mg/kg bw per day, the highest dose tested (Machemer, 1975).

         Rabbits

         In a study of developmental toxicity, groups of 20 pregnant
    Chinchilla rabbits received phoxim in water with 2%
    carboxymethylcellulose by oral gavage at daily doses of 0, 12, 36, or
    72 mg/kg bw on days 6-18 of gestation. On gestation day 28, the dams
    were killed and necropsied, and the fetuses were weighed, sexed, and
    examined for external, visceral, and skeletal abnormalities. The study
    was of conventional design, with quality assurance certification. No
    treatment-related increase in mortality rate was observed. Clinical
    signs of toxicity (diarrhoea, salivation, ventral body position,
    dyspnoea, and abortion) were observed in dams at the high dose, and
    phoxim caused reductions in food consumption and body-weight gain of
    dams during treatment at 72 mg/kg bw. The only effects on fetuses were
    an increased embryonic resorption rate and decreased fetal body
    weights at the highest dose. There was no indication of teratogenicity
    up to the highest dose tested. The NOEL for maternal toxicity was 36
    mg/kg bw per day on the basis of a decrease in food consumption and
    body-weight gain. The NOEL for developmental toxicity was 36 mg/kg bw
    per day on the basis of decreased fetal body weight and an increased
    rate of embryonic resorptions (Becker, 1982).

    2.2.6  Special studies on delayed neurotoxicity

         Hens

         In a study of delayed neurotoxicity, of which only a summary was
    available, groups of one to five white Leghorn hens received a single
    oral or intraperitoneal dose of phoxim dissolved in polyethylene
    glycol, without an antidote. The oral doses used were 25, 38, 50, 250,
    500, or 1000 mg/kg bw, and the intraperitoneal doses were 25, 38, or
    50 mg/kg bw. In a second experiment, hens were given intraperitoneal

    injections of 100 mg/kg bw pralidoxime iodide and 50 mg/kg bw atropine
    sulfate before administration of phoxim at single oral doses of 38,
    50, or 75 mg/kg bw (groups of 7-11 hens) or at single intraperitoneal
    doses of 50, 75, 100, 150, or 200 mg/kg bw (groups of 1-14 hens). In
    both studies, the birds were observed for 42 days; no
    histopathological examinations were carried out, and a positive
    control group was not included. No clinical signs of delayed
    neurotoxicity were observed either with or without antidotal
    protection. A LD50 of 38 mg/kg bw was derived for both oral and
    intraperitoneal administration in the first experiment. The protective
    effect of the antidote was more marked when phoxim was administered
    intraperitoneally than when it was given orally (Kimmerle, 1972).

         In another study of delayed neurotoxicity, 30 white Leghorn hens
    received phoxim emulsified in water and 2% Cremophor EL by oral gavage
    at a dose of 50 mg/kg bw, twice, at an interval of 21 days. Because
    this dose was greater than the LD50, phoxim was administered with
    atropine sulfate, administered intramuscularly at a dose of 50 mg/kg
    bw. A negative control group of six hens received the vehicle and
    atropine sulfate by the same schedule, and a positive control group of
    five hens received a single dose of 375 mg/kg bw
    tri- ortho-cresylphosphate in peanut oil. The hens treated with phoxim
    and atropine and the negative controls were observed for 42 days and
    the positive controls for 24 days. During the observation period, the
    birds were inspected for clinical signs, body weight, and coordination
    of movement. At the end of the observation period, they were killed
    and nervous tissue (brain, spinal cord, and sciatic nerves) was
    removed from six birds treated with phoxim and from all negative and
    positive controls and examined histopathologically. The design of the
    study closely resembled OECD guideline 418 in use in 1984, with GLP
    certification.

         After treatment with phoxim and atropine, the signs of toxicity
    were staggering gait, prostration, apathy, salivation, drooping wings,
    and fluffed plumage. From observation day 5 onwards, the only sign of
    toxicity was staggering gait, while from observation day 26 onwards
    the hens showed no abnormal signs or behaviour. The negative control
    group showed only staggering gate. The positive control group showed
    transient staggering gate in the acute phase, progressive disturbance
    of coordination of movement from observation day 8 onwards, and severe
    paralysis in the final stage which was of sufficient severity that the
    birds were killed prematurely at observation day 24. Histopathological
    examination showed no sign of peripheral neuropathy or demyelination
    in phoxim-treated birds, whereas hens given tri- ortho-cresylphosphate
    showed various degrees of degeneration of peripheral nerves including
    demyelination, axonal lysis, ballooned fibre segments, and activated
    Schwann cells. Thus, at a dose that would be lethal in the absence of
    antidote, phoxim did not induce delayed neurotoxicity in hens (Pauluhn
    & Kaliner, 1984).

    2.2.7  Studies with metabolites

         The oral LD50 of cyanobenzaldoxime (technically pure substance
    formulated in lutrol) was 4500 mg/kg bw in male and 4100 mg/kg bw in
    female rats. The signs of acute oral toxicity comprised slight to
    moderate disturbance of behaviour, no grooming of coats, sedation, and
    dyspnoea. Dermal application of 5000 mg/kg bw had no effect (Thyssen &
    Kimmerle, 1976). The oral LD50 of the glucuronide of
    cyanobenzaldoxime (formulated in aqueous Cremophor EL) in three female
    rats was > 2500 mg/kg bw (Mihail, 1979). The oral LD50 value for
    PO-phoxim in mice was approximately 800 mg/kg bw for the pure
    substance (Kimmerle, 1969) and 1000 mg/kg bw for the pure substance
    dissolved in olive oil (Vinopal & Fukuto, 1971) were determined.

         In a short summary of a study on dermal irritation, 0.5 g of
    cyanobenz-aldoxime applied under a plaster dressing for 24 h to the
    ear did not irritate the skin of hairless rabbits. In a short summary
    of a study on ocular irritation, cyanobenzaldoxime at a dose of 50 mg
    placed in the conjuctival sac of the left eye of rabbits caused severe
    redness and swelling of the conjunctivae, slight redness, swelling of
    the iris, and diffuse opacity of the cornea (Thyssen & Kimmerle,
    1976).

    3.  COMMENTS

         The Committee considered the results of studies on the
    pharmacokinetics, metabolism, acute, short-term, and long-term
    toxicity, carcinogenicity, genotoxicity, reproductive toxicity, and
    delayed neurotoxicity of phoxim. Although most of the studies did not
    meet current standards for study protocol and conduct, they did
    provide satisfactory information for evaluation of the safety of the
    compound.

         After oral administration of radiolabelled phoxim to mice, rats,
    and pigs, the radiolabel was rapidly and almost completely absorbed
    and was rapidly taken up into the major organs and tissues. The main
    route of elimination in mice, rats, and pigs was the urine, while
    faecal excretion was of minor importance. In rats, there was also some
    evidence of biliary excreation. In rats and pigs, elimination was
    rapid (> 80% via the urine within 24 h) and was virtually complete
    with three to four days. In mice, elimination of radiolabel was
    somewhat slower, appraently because of retention of phosphate-derived
    metabolites in the urinary blader. Although there were some
    qualitative and quantitative differences in metabolism between mice,
    rats, and pigs, the main routes of metabolism were the same, involving
    de-ethylation, hydrolysis of the phosphorus ester bond (either before
    or after oxidative desulfuration to yield PO-phoxim), and conjugation
    of the resulting cyanobenzaldoxime. Despite the presence of products
    that were assumed to have arisen from PO-phoxim, no PO-phoxim itself
    was found in mice, rats, or pigs. Hence, if formed, it must be a very
    short-lived intermediate in mammals.

         Animal species differ in their sensitivity to single oral doses
    of phoxim. The LD50 values ranged from 20 to 40 mg/kg bw in chickens,
    from 250 to > 1200 mg/kg bw in guinea-pigs, rabbits, cats, and dogs,
    and from 1200 to 10 000 mg/kg bw in mice and rats. Thus, phoxim is of
    only low or moderate acute oral toxicity in mammalian species.

         The short-term toxicity of phoxim was evaluated after oral
    administration to mice, rats, dogs, and rhesus monkeys. In two dose
    range-finding studies of six and eight weeks' duration, phoxim was
    administered to mice in the feed at concentrations of 0.5-750 mg/kg
    (equal to 0.28-510 mg/kg bw per day). In these studies, phoxim had
    effects on the liver (increased weight and hepatocyte alterations
    indicative of an adaptive response) at concentrations of 30 mg/kg of
    feed and above and on the kidney (increased weight) at doses of 150
    mg/kg of feed and above. Inhibition of plasma cholinesterase activity
    was observed at and above concentrations of 5 m/kg of feed, while
    inhibition of erythrocyte and brain acetylcholinesterase activity was
    observed only at 750 mg/kg of feed. On the basis of a slight increase
    in liver weight in female mice, the overall NOEL in these studies was
    5 mg/kg of feed, equal to 3.1 mg/kg bw per day.

         Studies were carried out in rats which received doses of 2-50
    mg/kg bw per day by gavage for 21 or 30 days or in two studioes at
    4-500 mg/kg of feed in the diet, equivalent to 0.4-50 mg/kg bw per
    day, for three months. In the studies in which phoxim was given by
    gavage, cholinesterase activity in plasma, erythrocytes, and brain was
    inhibited by > 20% at doses of 2, 5, and 50 mg/kg bw per day,
    respectively. In the two studies in which phoxim was administered in
    the diet, signs of cholinergic poisoning were observed at 500 mg/kg of
    feed, organ weight changes at doses > 120 mg/kg of feed, and
    inhibition of cholinesterase activity in plasma at doses > 15 mg/kg
    of feed and in erythrocytes at > 40 mg/kg of feed. The overall NOEL
    in the studies involving dietary administration was 12 mg/kg of feed,
    equivalent to 1.2 mg/kg bw per day, on the basis of inhibition of
    erythrocyte acetylcholines-terase activity (in the absence of data on
    brain acetylcholinesterase activity).

         Three studies of three months' duration in dogs treated in the
    diet were reported, in which phoxim was administered at doses ranging
    from 0.3 to 1000 mg/kg of feed, equivalent to 0.0075-25 mg/kg bw per
    day. Doses of 200 and 1000 mg/kg of feed resulted in changes in the
    weights of gonads and liver and in the activities of alkaline
    phosphatase and lactate dehydrogenase in plasma, inhibition of
    erythrocyte acetylcholinesterase activity, and/or weight loss (females
    only) and signs of cholinergic poisoning. Inhibition of plasma
    cholinesterase activity was observed at doses from 1 to 1000 mg/kg of
    feed. Brain acetylcholinesterase activity was not determined in these
    studies. The overall NOEL was 50 mg/kg of feed, equivalent to 1.3
    mg/kg bw per day, on the basis of inhibition of erythrocyte
    acetyl-cholinesterase activity (in the absence of data on brain
    acetylcholinesterase activity) and increased plasma alkalaine
    phosphatase activity.

         Rhesus monkeys received phoxim by gavage for six months at a dose
    of 0.2, 0.65, or 3 mg/kg bw per day. Apart from marked inhibition of
    plasma cholinesterase activity at doses > 0.2 mg/kg bw per day and
    very slight inhibition of erythrocyte acetylcholinesterase activity at
    2 mg/kg bw per day, phoxim had no effect. In the absence of data on
    brain acetylcholinesterase activity, the NOEL was 0.65 mg/kg bw per
    day on the basis of slight inhibition of erythrocyte
    acetylcholinesterase activity.

         In a 24-month study of carcinogenicity, phoxim was administered
    in the diet at concentrations of 1-450 mg/kg of feed (equal to
    0.47-210 mg/kg bw per day) to mice of a strain known to be highly
    susceptible to the development of liver tumours. Plasma, erythrocyte,
    and brain cholinesterase activities were decreased at doses > 150
    mg/kg of feed. The body weight of males were increased at 150 mg/kg of
    feed and the body weights of both males and females at 450 mg/kg of
    feed. Signs of effects on the liver (including changes in weight, in
    plasma cholesterol and total bilirubin levels, and in plasma alanine
    aminotransferase and alkaline phosphatase activities) were evident at
    450 mg/kg of feed. At this dose, there were also increased incidences
    of non-neoplastic histological changes in the livers of males and of
    hepatocellular adenomas in females. At 150 mg/kg of feed, the only
    effect on the liver was increased plasma cholesterol concentrations in
    animals of each sex. The NOEL was 5 mg/kg of feed, equal to 2.4 mg/kg
    bw per day, on the basis of increased plasma cholesterol
    concentrations and inhibition of brain acetylcholinesterase activity.
    The increase in the incidence of adenomas observed in females at the
    highest dose was thought to be a consequence of the
    hepatoproliferative effect of the compound.

         The long-term toxicity of phoxim was evaluated in rats and dogs
    by oral administration for 24 months at 15-375 mg/kg of feed (equal to
    0.8-27 mg/kg bw per day) to rats and 0.1-750 mg/kg of feed (equivalent
    to 0.0025-19 mg/kg bw per day) to dogs. In rats dosed at 375 mg/kg of
    feed, reductions were seen in food intake in males, in body weight in
    females, and in plasma glutamate dehydrogenase activity, total
    bilirubin level, the weights of the heart, lungs, spleen, and
    adrenals, and plasma, erythrocyte, and brain cholinesterase activity
    in animals of each sex. Decreased plasma and erythrocyte
    cholinesterase activity and adrenal weights were also observed in rats
    at 75 mg/kg of feed. There were no histopathological differences
    between control and treated animals, nor was there any difference in
    the incidence of tumours. The NOEL was 15 mg/kg of feed, equal to 0.8
    mg/kg bw per day, on the basis of lowered adrenal weights at higher
    doses.

         Male and female dogs given phoxim at 750 mg/kg of feed had liver
    damage, as shown by increased liver weights and plasma alanine
    aminotransferase and alkaline phosphatase activities, decreased serum
    cholesterol level, and histopathological alterations to hepatocytes.
    Plasma, erythrocyte, and brain cholinesterase activities were also

    reduced in animals of each sex at this dose. In addition, male dogs
    showed clinical signs of toxicity and decreased body-weight gain.
    Reductions in plasma and erythrocyte cholinesterase activities were
    observed in male and female dogs at 15 mg/kg of feed. The NOEL was 15
    mg/kg of feed, equivalent to 0.38 mg/kg bw per day, on the basis of
    effects on the liver and inhibition of brain acetylcholinesterase
    activity.

         Phoxim has been tested  in vitro for its ability to induce
    reverse mutations in  Salmonella typhimurium and  Saccharomyces
     cerevisiae, DNA damage in Bacillus subtilis, and chromosomal
    aberrations in human lymphocytes. It has also been tested
     in vivo for its ability to induce micronucleus formation,
    chromosomal aberrations, and dominant lethal mutations in mice.
    Cytogenetic alterations were found in human lymphocytes  in vitro at
    a cytotoxic dose in the absence of exogenous metabolic activation. The
    results of all other tests were negative. On the basis of these data
    and the results of the long-term assays in rodents, the Committee
    concluded that phoxim is not genotoxici and is unlikely to have
    carcinogenic potential in humans.

         In a three-generation study of reproductive toxicity, rats were
    given phoxim in the diet at a concentration of 0, 15, 75, or 375 mg/kg
    of feed (equivalent to 0, 0.75, 3.8, and 19 mg/kg bw per day). The
    only effect observed was a slight reduction in the number of pups in
    the second litter of the third generation thaqt survived after four
    weeks' lactation from dams receiving 375 mg/kg of feed. On the basis
    of this effect, the NOEL was 75 mg/kg of feed, equivalent to 3.8 mg/kg
    bw per day.

         In a study of developmental toxicity in rats given a dose of 0,
    30, 100, or 300 mg/kg bw per day orally on days 6-15 of gestation,
    phoxim was toxic to the dams, retarding body-weight gain during
    treatment at the highest dose. It was not embryotoxic, fetotoxic, or
    teratogenic at any dose. The NOEL for maternal toxicity was 100 mg/kg
    bw per day on the basis of reduced body-weight gain. The NOEL for
    developmental toxicity was 300 mg/kg bw per day, the highest dose
    tested.

         A study of developmental toxicity was conducted in rabbits given
    phoxim at a dose of 0, 12, 36, or 72 mg/kg bw per day orally on days
    6-18 of gestation. At the highest dose, phoxim increased the rate of
    embryonic resorption, decreased fetal body weights, and was toxic to
    the dams, which showed signs of toxicity a marked decreases in food
    consumption and in body-weight gain. There was no indication of
    teratogenicity at any dose. The NOEL for maternal toxicity was 36
    mg/kg bw per day on the basis of reduced food consumption and
    body-weight gain. The NOEL for developmental toxicity was also 36
    mg/kg bw per day, on the basis of decreased fetal body weight and an
    increased rate of embryonic resorption.

         In a study of delayed neurotoxicity, hens protected by the
    antidote atropine received phoxim orally at a dose of 50 mg/kg bw,
    which was repeated after 21 days. The birds were then observed for 42
    days. They showed only transient signs of toxicity and no abnormal
    signs or behaviour from day 26 after the second dose. At the end of
    the study, no paralysis was present, and no histological evidence of
    peripheral neuropathy or demyelination was observed. The Committee
    concluded that phoxim does not induce delayed neurotoxicity in hens.
    Although the effect of phoxim on the enzyme neuropathy target esterase
    has not been investigated in hens, the Committee concluded that such a
    study was not necessary in view of the negative results obtained in
    adequately conducted assessments of the capacity of phoxim to induce
    delayed neuropathy.

    4.  EVALUATION

         The Committee established an ADI of 0-4 µg/kg bw for phoxim on
    the basis of the NOEL of 0.38 mg/kg bw per day for effects on the
    liver and inhibition of brain acetylcholinesterase activity in the
    two-year study of toxicity in dogs and a safety factor of 100. This
    ADI differs from that established by the Joint FAO/WHO Meeting on
    Pesticide Residues, as the Expert Committee concluded that inhibition
    of plasma cholinesterase activity is not a relevant end-point for risk
    assessment. The Joint Meeting is now of a similar opinion (FAO/WHO,
    1988).

    5.  REFERENCES

    Becker, H. (1982) Embryotoxicity and teratogenicity study on SRA 7502
    in rabbits. Unpublished report (project no. 004972, report no. R2354)
    from Research & Consulting Company Ltd, Itingen, Switzerland, for
    Bayer AG, Leverkusen, Germany. Submitted to WHO by Bayer AG,
    Leverkusen, Germany.

    Bomann, W. (1992) Volaton VL 80 (c.n.: phoxim). Studies on acute
    dermal toxicity in rats. Unpublished report (study no. T 0040187,
    report no. 21065) from Bayer AG, Fachbereich Toxikologie,
    Wuppertal-Elberfeld, Germany. Submitted to WHO by Bayer AG,
    Leverkusen, Germany.

    Bomhard, E. & Löser, E. (1977) SRA 7502. Chronic toxicology studies in
    rats (feeding experiment over 2 years). Unpublished report (no. 7042)
    from Bayer AG, Institute for Toxicology, Wuppertal, Germany. Submitted
    to WHO by Bayer AG, Leverkusen, Germany.

    Brooks, P.N. & Cherry, C.P. (1974) Pathology report of Bay 77488.
    Sub-chronic toxicological studies in dogs (3-month feeding
    experiment). Addendum to report no. 2579. Unpublished report (no.
    FBA130/73959) from Huntingdon Research Centre, Huntingdon, United
    Kingdom, for Bayer AG, Institut für Toxikologie, Wuppertal-Elberfeld,
    Germany. Submitted to WHO by Bayer AG, Leverkusen, Germany.

    Coulston, F., Griffin, T. & Talley, W. (1978) A safety evaluation
    study of phoxim in rhesus monkeys. Unpublished report from Institute
    of Comparative and Human Toxicology, Albany, New York & International
    Center of Environmental Safety, Holloman, New Mexico, United States.
    Submitted to WHO by Bayer AG, Leverkusen, Germany.

    Daniel, J.W., McLean, J. & Pringuer, M. (1978a)
    Phoxim--Biotransformation in the rat. Unpublished report (no.
    78/BAG6/317) from Life Science Research, Stock, Essex, United Kingdom
    for Bayer AG, Wuppertal, Germany. Submitted to WHO by Bayer AG,
    Leverkusen, Germany.

    Daniel, J.W., Swanson, S. & McLean, J. (1978b) Phoxim:
    Pharmacokinetics and biotransformation in the rat. Unpublished report
    (no. 78/BAG5/194) from Life Science Research, Stock, Essex, United
    Kingdom, for Bayer AG, Wuppertal, Germany. Submitted to WHO by Bayer
    AG, Leverkusen, Germany.

    FAO/WHO (1983) Pesticide Residues in Food--1982. Report of the Joint
    Meeting of the FAO Panel of Experts on Pesticide Residues in Food and
    the Environment and the WHO Expert Group on Pesticide Residues. Rome,
    Food and Agriculture Organization of the United Nations (FAO Plant
    Production and Protection Paper, No. 46).

    FAO/WHO (1985) Pesticide Residues in Food--1984. Report of the Joint
    Meeting of the FAO Panel of Experts on Pesticide Residues in Food and
    the Environment and the WHO Expert Group on Pesticide Residues. Rome,
    Food and Agriculture Organization of the United Nations (FAO Plant
    Production and Protection Paper, No. 62).

    FAO/WHO (1988) Pesticide Residues in Food--1988. Report of the Joint
    Meeting of the FAO Panel of Experts on Pesticide Residues in Food and
    the Environment and a WHO Expert Group on Pesticide Residues. Rome,
    Food and Agriculture Organization of the United Nations (FAO Plant
    Production and Protection Paper, No. 92).

    Finn, J.P. (1977) Chronic toxicity study on rats with SRA 7502 (two
    year feeding study). Unpublished report (no. 612/262/2) from Hazleton
    Laboratories Europe Ltd, Harrogate, United Kingdom, for Bayer AG,
    Institut für Toxikologie, Wuppertal, Germany. Submitted to WHO by
    Bayer AG, Leverkusen, Germany.

    Flucke, W. (1978a) Determination of acute toxicity (LD50)--SRA 7502.
    Unpublished letter report (dated 19 May 1978) from Bayer, Institute of
    Toxicology, Germany. Submitted to WHO by Bayer AG, Leverkusen,
    Germany.

    Flucke, W. (1978b) Determination of acute toxicity (LD50)--SRA 7502
    VL. Unpublished letter report (dated 26 June 1978) from Bayer,
    Institute of Toxicology, Germany. Submitted to WHO by Bayer AG,
    Leverkusen, Germany.

    Flucke, W. (1979a) Determination of acute toxicity (LD50)--SRA 7502
    VL. Unpublished letter report (dated 9 March 1979) from Bayer,
    Institute of Toxicology, Germany. Submitted to WHO by Bayer AG,
    Leverkusen, Germany.

    Flucke, W. (1979b) Determination of acute toxicity (LD50)--SRA 7502
    VL. Unpublished letter report (dated 17 April 1979) from Bayer,
    Institute of Toxicology, Germany. Submitted to WHO by Bayer AG,
    Leverkusen, Germany.

    Flucke, W. (1980) Determination of acute toxicity (LD50)--SRA 7502
    Volaton VL. Unpublished letter report (dated 14 March 1980) from
    Bayer, Institute of Toxicology, Germany. Submitted to WHO by Bayer AG,
    Leverkusen, Germany.

    Flucke, W. (1984a) SRA 7502 (c.n.: phoxim). Determination of skin
    sensitising potential in guinea pigs [in German]. Unpublished report
    (study no. T 6016487, report no. 13071) from Bayer AG, Institut für
    Toxikologie, Wuppertal-Elberfeld, Germany. Submitted to WHO by Bayer
    AG, Leverkusen, Germany.

    Flucke, W. (1984b) SRA 7502 (c.n.: phoxim). Determination of skin
    sensitising potential in an open epicutaneous test with guinea pigs
    [in German]. Unpublished report (study no. T 6016630, report no.
    13086) from Bayer AG, Institut für Toxikiologie, Wuppertal-Elberfeld,
    Germany. Submitted to WHO by Bayer AG, Leverkusen, Germany.

    Flucke, W. & Schilde, B. (1978) Volaton VL. Subacute cutaneous
    toxicity study with rabbits. Unpublished report (report no. 8034) from
    Bayer AG, Institute of Toxicology, Wuppertal-Elberfeld, Germany.
    Submitted to WHO by Bayer AG, Leverkusen, Germany.

    Flucke, W. & Thyssen, J. (1979) Volaton (SRA 7502) active ingredient
    presolution. Acute toxicity studies. Unpublished report (no. 8081)
    from Bayer AG, Institut für Toxikologie, Wuppertal-Elberfeld, Germany.
    Submitted to WHO by Bayer AG, Leverkusen, Germany.

    Gyrd-Hansen, N., Brimer, L. & Rasmussen, F. (1993) Percutaneous
    absorption of organophosphorus insecticides in pigs--The influence of
    different vehicles.  J. Vet. Pharmacol. Ther., 16, 174-180.

    Heimann, K.-G. (1982a) Determination of acute toxicity (LD50)--
    Volaton VL. Unpublished letter report (dated 16 February 1982) from
    Bayer, Institute of Toxicology, Germany. Submitted to WHO by Bayer AG,
    Leverkusen, Germany.

    Heimann, K.-G. (1982b) Determination of acute toxicity (LD50)--
    Volaton VL 80. Unpublished letter report (dated 3 June 1982) from
    Bayer, Institute of Toxicology, Wuppertal, Germany. Submitted to WHO
    by Bayer AG, Leverkusen, Germany.

    Herbold, B. (1981) SRA 7502. Phoxim, Baythion(R)-active ingredient,
    Volaton(R)-active ingredient. Micronucleus test on mouse to evaluate
    SRA 7502 for mutagenic potential. Unpublished report (study no. T
    5010077, report no. 9891) from Bayer AG, Institut für Toxikologie,
    Wuppertal, Germany. Submitted to WHO by Bayer AG, Leverkusen, Germany.

    Herbold, B. (1985) SRA 7502 c.n. Phoxim. Test on S. cerevisiae D7
    investigating for point mutagenic effect. Unpublished report (study
    no. T 2018201, report no. 13708) from Bayer AG, Institute for
    Toxicology, Wuppertal, Germany. Submitted to WHO by Bayer AG,
    Leverkusen, Germany.

    Herbold, B. (1986) SRA 7502 (c.n. phoxim). Cytogenetic study with
    human lymphocyte cultures in vitro to evaluate for harmful effect on
    chromosomes. Unpublished report (study no. T 9021736, report no.
    15148) from Bayer AG, Institute of Toxicology, Wuppertal-Elberfeld,
    Germany. Submitted to WHO by Bayer AG, Leverkusen, Germany.

    Hoffmann, K. & Gröning, P. (1977) SRA 7502. Chronic toxicity study on
    dogs (two-year feeding experiment). Unpublished report (no. 6865) from
    Bayer AG, Institut für Toxikologie, Wuppertal-Elberfeld, Germany.
    Submitted to WHO by Bayer AG, Leverkusen, Germany.

    Ivens-Kohl, I. & Hahnemann, S. (1989a) SRA 7502. Preliminary study on
    mice (administration in feed to determine dosage for a long-term study
    on carcinogenicity in mice). Unpublished report (study no. T1022043,
    report no. 17610) from Bayer AG, Fachbereich Toxikologie, Wuppertal,
    Germany. Submitted to WHO by Bayer AG, Leverkusen, Germany.

    Ivens-Kohl, I. & Hahnemann, S. (1989b) SRA 7502. Preliminary study on
    mice (administration in feed for 8 weeks to determine dose for a
    long-term study). Unpublished report (study no. T9022799, report no.
    17611) from Bayer AG, Fachbereich Toxikologie, Wuppertal, Germany.
    Submitted to WHO by Bayer AG, Leverkusen, Germany.

    Jäger, R. (1992) SRA 7502 (common name: Phoxim). Study for
    oncogenicity in B6C3F1 mice (twenty-four month feeding study).
    Unpublished report (study no. T 2022297, report no. 21624) from Bayer
    AG, Fachbereich Toxikologie, Wuppertal, Germany. Submitted to WHO by
    Bayer AG, Leverkusen, Germany.

    Kimmerle, G. (1968) Bay 77488. Toxicological studies. Unpublished
    report (no. 1067) from Farbenfabriken Bayer AG, Institut für
    Toxikologie, Wuppertal-Elberfeld, Germany. Submitted to WHO by Bayer
    AG, Leverkusen, Germany.

    Kimmerle, G. (1969) Supplement to the toxicology of SRA 7502.
    Unpublished letter report (dated 27 June 1969) from Bayer AG,
    Institute of Toxicology, Germany. Submitted to WHO by Bayer AG,
    Leverkusen, Germany.

    Kimmerle, G. (1972) Phoxim: Tests for neurotoxicity in chickens.
    Unpublished report (dated 21 June 1972) from Farbenfabriken Bayer AG,
    Institute of Toxicology, Wuppertal-Elberfeld, Germany. Submitted to
    WHO by Bayer AG, Leverkusen, Germany.

    Kimmerle, G. (1973) SRA 7502, SRA 7660, LOW 6599, SIR 5126, HOX 3082,
    malathion. Comparative toxicological studies in rats with repeated
    oral administration. Unpublished report (no. 3962) from Bayer AG,
    Institute of Toxicology, Wuppertal-Elberfeld, Germany. Submitted to
    WHO by Bayer AG, Leverkusen, Germany.

    Kimmerle, G. & Solmecke, B. (1970) Bay 77 488. Toxicological studies.
    Unpublished report (no. 2235) from Bayer AG, Institut für Toxikologie,
    Wuppertal-Elberfeld, Germany. Submitted to WHO by Bayer AG,
    Leverkusen, Germany.

    Klein, O. & Weber, H. (1988) [Phenyl-U-14-C]-Phoxim: Biokinetic
    behaviour and biotransformation in the edible tissues of the pig after
    oral administration. Unpublished report (study no. M 183 0138-4,
    PF-report no. 3077) from Bayer AG, Institute for Metabolism Research,
    Leverkusen/Monheim, Germany. Submitted to WHO by Bayer AG, Leverkusen,
    Germany.

    Kurinnyi, A.I. (1979) Cytogenetic activity of the pesticide valexon
    and its influence on the mutability of mouse bone marrow cells.
     Tsitol. Genet., 13, 370-374 (English translation). Submitted to WHO by
    Bayer AG, Leverkusen, Germany.

    Lorke, D. & Kimmerle G. (1965) Toxikologische Untersuchungen mit dem
    Wirkstoff SRA 7502. Unpublished report (dated 14 December 1965) from
    Farbenfabriken Bayer AG, Institut für Toxikologie,
    Wuppertal-Elberfeld, Germany. Submitted to WHO by Bayer AG,
    Leverkusen, Germany.

    Löser, E. (1969a) Bay 77 488. Subchronic toxicology studies in rats
    (study over 3 months). Unpublished report (no. 1205) from
    Farbenfabriken Bayer AG, Institut für Toxikologie,
    Wuppertal-Elberfeld, Germany. Submitted to WHO by Bayer AG,
    Leverkusen, Germany.

    Löser, E. (1969b) Bay 77 488. Subchronic toxicology studies with rats.
    Animal and organ weights (Individual values for report no. 1205).
    Unpublished report (no. 1215) from Farbenfabriken Bayer AG, Institut
    für Toxikologie, Wuppertal-Elberfeld, Germany. Submitted to WHO by
    Bayer AG, Leverkusen, Germany.

    Löser, E. (1970a) Bay 77 488. Subchronic toxicological studies on rats
    (three-month feeding experiment). Unpublished report (no. 2389) from
    Farbenfabriken Bayer AG, Institut für Toxikologie,
    Wuppertal-Elberfeld, Germany. Submitted to WHO by Bayer AG,
    Leverkusen, Germany.

    Löser, E. (1970b) Bay 77488. Subchronic toxicological studies on dogs
    (three-month feeding experiment). Unpublished report (no. 2418) from
    Farbenfabriken Bayer AG, Institut für Toxikologie,
    Wuppertal-Elberfeld, Germany. Submitted to WHO by Bayer AG,
    Leverkusen, Germany.

    Löser, E. (1971) Bay 77488. Subchronic toxicological studies on dogs
    (three-month feeding experiment). Unpublished report (no. 2579) from
    Farbenfabriken Bayer AG, Institut für Toxikologie,
    Wuppertal-Elberfeld, Germany. Submitted to WHO by Bayer AG,
    Leverkusen, Germany.

    Löser, E. (1979) SRA 7502. Multigeneration reproduction study on rats.
    Unpublished report (no. 8447) from Bayer AG, Institut für Toxikologie,
    Wuppertal, Germany. Submitted to WHO by Bayer AG, Leverkusen, Germany.

    Machemer, L. (1974) SRA 7502 (phoxim). Dominant lethal test on male
    mouse to evaluate SRA 7502 for mutagenic potential. Unpublished report
    (no. 4943) from Bayer AG, Institut für Toxikologie,
    Wuppertal-Elberfeld, Germany. Submitted to WHO by Bayer AG,
    Leverkusen, Germany.

    Machemer, L. (1975) SRA 7502 (phoxim). Studies for embryotoxic and
    teratogenic effects on rats following oral administration. Unpublished
    report (no. 5331) from Bayer AG, Institut für Toxikologie,
    Wuppertal-Elberfeld, Germany. Submitted to WHO by Bayer AG,
    Leverkusen, Germany.

    Märtins, T. (1992) Volaton VL 80 (c.n.: phoxim). Acute inhalation
    toxicity in rats in compliance with OECD guideline no. 403.
    Unpublished report (study no. T 2040765, report no. 21429) from Bayer
    AG, Fachbereich Toxikologie, Wuppertal, Germany. Submitted to WHO by
    Bayer AG, Leverkusen, Germany.

    Mihail, F. (1979) Cyanoxim acid glucoside (metabolite of phoxim).
    Unpublished letter report (dated 4 July 1979) from Bayer AG, Institute
    of Toxicology, Wuppertal-Elberfeld, Germany. Submitted to WHO by Bayer
    AG, Leverkusen, Germany.

    Mihail, F. (1981) Determination of acute toxicity (LD50)--Volaton VL.
    Unpublished letter report (dated 4 May 1981) from Bayer, Institute of
    Toxicology, Germany. Submitted to WHO by Bayer AG, Leverkusen,
    Germany.

    Mihail, F. (1982) Determination of acute toxicity (LD50)--Volaton VL.
    Unpublished letter report (dated 1 March 1982) from Bayer, Institute
    of Toxicology, Germany. Submitted to WHO by Bayer AG, Leverkusen,
    Germany.

    Moriya, M., Ohta, T., Watanabe K., Miyazawa, T., Kato, K. & Shirasu,
    Y. (1983) Further mutagenicity studies on pesticides in bacterial
    reversion assay systems.  Mutat. Res., 116, 185-216.

    Mürmann, P. & Luckhaus, G. (1973) SRA 7502. Subchronic toxicity study
    on dogs (three-month feeding experiment). Unpublished report (no.
    4136) from Bayer AG, Institut für Toxikologie, Wuppertal-Elberfeld,
    Germany. Submitted to WHO by Bayer AG, Leverkusen, Germany.

    Oesch, F. (1977) Ames test for Volaton (phoxim). Unpublished report
    (dated 30 November 1977) from Pharmakologisches Institut, Universität
    Mainz, Germany. Submitted to WHO by Bayer AG, Leverkusen, Germany.

    Pauluhn, J. (1983) SRA 7502 (active ingredient of Baythion(R) and
    Volaton(R)) (common name: phoxim). Acute oral toxicity study on
    hens. Unpublished report (study no. T 3006197, report no. 11978) from
    Bayer AG, Institute of Toxicology, Wuppertal-Elberfeld, Germany.
    Submitted to WHO by Bayer AG, Leverkusen, Germany.

    Pauluhn, J. & Kaliner, G. (1984) SRA 7502 (c.n.: phoxim). Study for
    acute neurotoxicity in hens. Unpublished report (study no. T 3016385,
    report no. 12632) from Bayer AG, Institute of Toxicology,
    Wuppertal-Elberfeld, Germany. Submitted to WHO by Bayer AG,
    Leverkusen, Germany.

    Shirasu, Y., Moriya, M. & Watanabe, T. (1978) Phoxim. Mutagenicity
    test on bacterial systems. Unpublished report (dated 18 July 1978)
    from Institute of Environmental Toxicology, Japan. Submitted to WHO by
    Bayer AG, Leverkusen, Germany.

    Thyssen, J. (1976) SRA 7502. Subacute oral cumulation study on rats.
    Unpublished report (no. 5954) from Bayer AG, Institut für Toxikologie,
    Wuppertal-Elberfeld, Germany. Submitted to WHO by Bayer AG,
    Leverkusen, Germany.

    Thyssen, J. & Kimmerle, G. (1973) SRA 7502. Toxicological studies on
    hens. Unpublished report (no. 4236) from Bayer AG, Institut für
    Toxikologie, Wuppertal-Elberfeld, Germany. Submitted to WHO by Bayer
    AG, Leverkusen, Germany.

    Thyssen, J. & Kimmerle, G. (1976) Cyanoxim
    (hydroxiiminophenylacetonitrile). Occupational toxicological study.
    Unpublished report (no. 6392) from Bayer AG, Institute of Toxicology,
    Wuppertal-Elberfeld, Germany. Submitted to WHO by Bayer AG,
    Leverkusen, Germany.

    Vince, A.A. & Spicer E.J.F. (1971) Pathology report on Bay 77 488.
    Subchronic toxicological studies in rats (3 month feeding experiment).
    Addendum to report no. 2389. Unpublished report (no. 4257/71/415) from
    Huntingdon Research Centre, Huntingdon, United Kingdom, for
    Farbenfabriken Bayer AG, Institut für Toxikologie,
    Wuppertal-Elberfeld, Germany. Submitted to WHO by Bayer AG,
    Leverkusen, Germany.

    Vinopal, J.H. & Fukuto, T.R. (1971) Selective toxicity of phoxim
    (phenylglyoxylonitrile oxime O,O-diethyl phosphorothioate).  Pestic.
     Biochem. Physiol., 1, 44-60.
    


    See Also:
       Toxicological Abbreviations