IPCS INCHEM Home



    INTERNATIONAL PROGRAMME ON CHEMICAL SAFETY

    WORLD HEALTH ORGANIZATION



    Toxicological evaluation of certain veterinary drug
    residues in food



    WHO FOOD ADDITIVES SERIES 39





    Prepared by:
    The forty-eighth meeting of the Joint FAO/WHO Expert
    Committee on Food Additives (JECFA)



    World Health Organization, Geneva 1997


    FLUAZURON

    First draft prepared by
    M.E.J. Pronk and G.J. Schefferlie
    Centre for Substances and Risk Assessment
    National Institute of Public Health and the Environment
    Bilthoven, The Netherlands


    1.  Explanation
    2.  Biological data
        2.1  Biochemical aspects
             2.1.1   Absorption, distribution, and excretion
             2.1.2   Biotransformation
        2.2  Toxicological studies
             2.2.1   Acute toxicity
             2.2.2   Short-term toxicity
             2.2.3   Long-term toxicity and carcinogenicity
             2.2.4   Genotoxicity
             2.2.5   Reproductive toxicity
                     2.2.5.1 Multigeneration reproductive toxicity
                     2.2.5.2 Developmental toxicity
             2.2.6   Special studies on target animals
             2.2.7   Special studies on heat degradation
    3.  Comments
    4.  Evaluation
    5.  References


    1.  EXPLANATION

         Fluazuron is an ectoparasiticide used for topical tick control in
    beef cattle. It has not been evaluated previously by the Committee.

         The chemical name of fluazuron is 3-[3-(3-chloro-5-
    trifluoromethyl-2-pyridinyloxy)-4-chlorophenyl]-1-(2,6-
    difluorobenzoyl)urea. The structure is shown in Figure 1. The purity
    of technical-grade fluazuron that was used in the studies of toxicity
    was > 98% and 99.2% in most studies.

    FIGURE 1

         Fluazuron belongs to the class of benzoylphenyl urea derivatives,
    which inhibit the growth and development of arthropod insects and
    members of the order Acarina by acting on chitin formation. These
    'insect growth regulators' do not act on the insect nervous system.
    Fluazuron specifically affects ticks. Chitin synthesis in ticks occurs
    during engorgement, moulting, and embryogenesis. Female ticks that
    have absorbed a minimal amount of fluazuron show signs of disturbed
    engorgement and lay eggs from which either no or non-viable larvae
    hatch. Male ticks that take up minimal amounts of plasma are not
    visibly affected by the compound. Fluazuron interrupts the life cycle
    of immature ticks by interfering with cuticle formation during
    engorgement and moulting. The affected ticks die.

    2.  BIOLOGICAL DATA

    2.1  Biochemical aspects

    2.1.1  Absorption, distribution, and excretion

         Rats

         Fluazuron uniformly radiolabelled with 14C in the
    4-chlorophenyl moiety ([U-14C-Cl]phenyl-labelled fluazuron; specific
    activity, 48.1 µCi/mg) was administered orally in
     N-methylpyrrolidone and PEG 200 by stomach tube to Tif:RAIf (SPF)
    rats at a dose of 0.5 mg/kg bw per day for one week. Three rats of
    each sex were killed 24 h and 2, 4, 8, and 12 weeks after the final
    dose. Urine and faeces were collected daily during treatment and for
    one week thereafter. After sacrifice, subcutaneous, renal, and
    abdominal fat, blood, brain, kidneys, skeletal muscle, liver, and the
    remaining carcass were sampled for radiolabel with a liquid
    scintillation counter. The study was certified for compliance with GLP
    and quality assurance.

         By 24 h after the last dose, about 60% had been absorbed from the
    gastrointestinal tract into the general circulation, as calculated
    from the amount of radiolabel in urine, tissues, and carcass. During
    the administration and observation periods, a total of 62% of the
    administered dose was excreted, with 59% via the faeces and only 3%
    via the urine. The extent of absorption and the route and rate of
    excretion were independent of sex. At 24 h, the highest residue levels
    were found in the adipose tissues (12-18 mg/kg fluazuron equivalents)
    and significantly lower levels in other tissues: liver, 1.3; kidney,
    0.84; lungs, 0.53; muscle, 0.39; and brain, 0.20 mg/kg. The same
    distribution was seen at all time points. By 12 weeks after the last
    dose, the amount of residual radiolabel had declined to 0.15-0.26
    mg/kg fluazuron equivalents in adipose tissues and to < 0.03 mg/kg in
    all other tissues. The depletion of radiolabel from all tissues
    followed first-order kinetics, with a half-time of about 13 days for
    all tissues in animals of each sex. The ratio in fat:blood (201 ± 28)
    was relatively constant over the experimental period (Schulze-Aurich,
    1992a).

         Cattle

         Male cross-bred beef cattle received single topical applications
    of [U-14C-Cl]phenyl-labelled fluazuron (as the commercial pour-on
    formulation Acatak; specific activity, 4.86 µCi/mg) at a dose of 1.5
    mg/kg bw, administered on both sides of the spine between the shoulder
    and the rump. The animals were slaughtered in groups of three during
    weeks 2, 4, 6, and 16 after treatment. Blood, urine, and faeces were
    collected from the animals slaughtered at the end of the study at
    several times after treatment. At slaughter, samples were taken of
    ventral and dorsal subcutaneous, renal, and omental fat; blood; brain;
    kidney; hindquarter, forequarter, and tenderloin muscle; liver; bile;

    and skin at the site of administration. All samples were analysed for
    radiolabel with a liquid scintillation counter. The study was
    certified for compliance with GLP and quality assurance.

         The total intake was at least 60% of the administered dose, as
    indicated by urinary and faecal excretion. It was not clear, however,
    whether intake was via the dermal and/or the oral route (licking); the
    portion absorbed into the systemic circulation was also unknown.
    Fluazuron was slowly absorbed and distributed to tissues. Radiolabel
    was initially observed in plasma 16 h after treatment. The mean plasma
    levels remained fairly constant between 9 and 35 days after treatment,
    ranging from 0.035 to 0.041 mg/litre fluazuron equivalents. The levels
    declined thereafter, with a mean elimination half-time of about 73
    days, to a mean level of 0.007 mg/litre 16 weeks after treatment. The
    main route of elimination was the faeces (40% of the administered dose
    within the first four weeks, increasing gradually to 62% by 16 weeks),
    whereas renal excretion was of minor importance (1% of the dose after
    16 weeks). There was some indication of biliary excretion. Maximum
    residue levels were found two weeks after administration in almost all
    tissues. The levels were highest in renal fat (4.8 mg/kg fluazuron
    equivalents), omental fat (4.3 mg/kg), subcutaneous fat (ventral: 3.9
    mg/kg; dorsal: 2.8 mg/kg), and skin (3 mg/kg). Lower levels were found
    in liver (0.5 mg/kg), kidney (0.4 mg/kg), muscle (0.1 mg/kg), and
    brain (0.08 mg/kg). The levels decreased slowly up to 16 weeks after
    treatment, when they were 0.5-0.6 mg/kg in fat, 0.05-0.06 mg/kg in
    liver and kidney, and 0.01-0.02 mg/kg in muscle and brain. The
    depletion half-times for the different tissues varied from 4.5 to 5.5
    weeks, but that in skin was 1.5 weeks (McLean & Dunsire, 1996).

         Castrated Hereford steers received single subcutaneous injections
    of [U-14C-Cl]phenyl-labelled fluazuron in a vehicle consisting of
    PEG 200 dilaurate, Cremophor EL, citric acid, and
     N-methyl-2-pyrrolidone (specific activity, 3.95 µCi/mg) behind the
    left shoulder at a dose of 1.5 mg/kg bw. The animals were slaughtered
    in groups of three, two days and 2, 6, and 16 weeks after treatment.
    Blood, urine, and faeces were collected at several times after
    treatment. At slaughter, samples were taken of subcutaneous, renal,
    and omental fat; blood; brain; kidney; hindquarter and forequarter
    muscle; liver; bile; and skin at the site of administration. All
    samples were analysed for radiolabel with a liquid scintillation
    counter. The study was certified for compliance with GLP and quality
    assurance.

         The compound was absorbed slowly from the injection site, the
    mean maximum plasma level of 0.1 mg/litre fluazuron equivalents being
    reached after 48 h. The plasma levels declined with a mean elimination
    half-time of about 78 days; by 16 weeks after treatment, the mean
    plasma level was still 0.01 mg/litre. The main route of elimination
    was the faeces (23% of the administered dose after 16 weeks), whereas
    renal excretion was of minor importance (1% of the dose after 16
    weeks). There was some indication of biliary excretion. In all tissues
    except subcutaneous fat, maximum residue levels were found 48 h after
    administration. The levels were highest in renal fat (4.6 mg/kg

    fluazuron equivalents) and omental fat (3.3 mg/kg), with lower levels
    in liver (0.8 mg/kg), kidney (0.5 mg/kg), brain (0.2 mg/kg), and
    muscle (0.1 mg/kg). In subcutaneous fat, a maximum residue level of
    2.7 mg/kg was found two weeks after dosing. The residue levels were
    comparable in all tissues after two and six weeks; after 16 weeks, the
    levels had declined to 0.9-1 mg/kg in fat and 0.1 mg/kg in both liver
    and kidney. The radiolabel collected at the injection site accounted
    for 52% of the administered dose after 48 h (643 mg/kg fluazuron
    equivalents), 26% after six weeks (396 mg/kg), and 5% after 16 weeks
    (52 mg/kg) (Cameron  et al., 1992).

    2.1.2  Biotransformation

         Rats

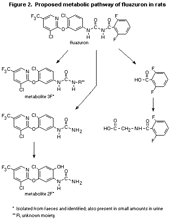
         In the study of Schulze-Aurich (1992a) described above,
    metabolites were identified in all tissue, faecal, and urine samples
    by thin-layer chromatography and in fat and faeces also by
    high-performance liquid chromatography and mass spectrometry-nuclear
    magnetic resonance. In all tissues taken at all times of sacrifice,
    the residues consisted only of unchanged fluazuron. In faeces, six
    metabolic fractions were present and two metabolites were identified:
    2F (3.2% of the dose) and 3F (5.8% of the dose) (see Figure 2), but
    the major compound was unchanged fluazuron (26% of the dose). In
    urine, eight metabolic fractions were found, including metabolites 2F
    (0.6% of the dose) and 3F (0.45%); no unchanged fluazuron was present.
    Hence, fluazuron is metabolized slowly but to a significant extent;
    the pattern of metabolites in faeces indicates that about two-thirds
    of the dose is metabolized and one-third is eliminated unchanged.
    Metabolism proceeds by cleavage of the urea moiety, followed by
    hydroxylation in position 6 of the phenyl ring, leading to 3-[3-(3-
    chloro-5-trifluoromethyl-2-pyridinyloxy)-4-chloro-6-
    hydroxyphenyl]urea. The main cleavage product, 2,6-difluorobenzoic
    acid, is partly conjugated with glycine to form 2,6-difluorohippuric
    acid.

         Cattle

         The nature of the residues in tissues, faeces, and bile of cattle
    after pour-on administration of fluazuron at 1.5 mg/kg bw was
    investigated by means of thin-layer chromatography and, in fat, also
    by mass spectrometry. The study was certified for compliance with GLP
    and quality assurance. Fluazuron is not extensively metabolized after
    pour-on administration, as unchanged fluazuron was the only
    radiolabelled component detected in almost all tissues taken at all
    slaughter times, generally accounting for > 90% of the total
    residues. Additional metabolites were detected at low levels only in
    muscle (3% of the total residues) and skin (24%) samples taken at 16
    weeks. Two metabolic fractions were found in faeces. The major
    compound was unchanged fluazuron (about 92% of the radiolabel), while
    the other, more polar fraction accounted for 3% of faecal radiolabel.
    In bile, unchanged fluazuron was the major compound (76% of
    radiolabel), and the other 24% remained at the origin of the
    chromatography system (Johnson  et al., 1996).

    FIGURE 2

         The nature of the residues in tissues and excreta of steers after
    subcutaneous administration of fluazuron at 1.5 mg/kg bw was
    investigated by thin-layer chromatography. The study was certified for
    compliance with GLP and quality assurance. In all tissues taken at all
    slaughter times, unchanged fluazuron was the only detectable fraction,
    accounting for more than 90% of the total residues. In faeces, eight
    metabolic fractions were found. The major compound was unchanged
    fluazuron (about 70% of radiolabel), while the other, unidentified
    fractions were more polar. Urine contained only unidentified
    metabolized products, which were more polar than unchanged fluazuron.
    Within 16 weeks of treatment, about 24% of the administered dose was
    eliminated in faeces and urine, 16% as unchanged fluazuron and 8% as
    its degradation products. Hence, fluazuron is metabolized to a lesser
    extent in cattle than in rats (Schulze-Aurich, 1992b).

    2.2  Toxicological studies

    2.2.1  Acute toxicity

         In studies of technical-grade fluazuron in distilled water
    containing 0.5% carboxymethylcellulose and 0.1% polysorbate 80 in male
    and female Tif:RAIf (SPF) rats, one study that followed OECD test
    guideline 401 with quality assurance certification showed an oral
    LD50 value of > 5000 mg/kg bw (Schoch, 1986a); in a study in the
    same strain that followed OECD test guideline 402 with quality
    assurance certification, the dermal LD50 was > 2000 mg/kg bw
    (Schoch, 1986b). In a study that followed OECD test guideline 403, the
    LC50 after exposure by inhalation was > 5994 mg/m3 (Hartmann &
    Schoch, 1987). The toxic symptoms observed were sedation, dyspnoea,
    exophthalmos, ruffled fur, and abnormal body positions. The animals
    recovered within 6-11 days.

         Three male New Zealand white rabbits received an instillation of
    0.1 ml (56 mg) technical-grade fluazuron in a study that followed OECD
    test guideline 405 with GLP and quality assurance certification. The
    animals developed slight redness and chemosis of the cornea and
    conjunctivae  up to 24 h. No irritation of the iris was observed
    (Schoch, 1986c).

         In a study that followed OECD test guideline 404 with GLP and
    quality assurance certification, three male New Zealand white rabbits
    that received a semi-occlusive topical application of 0.5 g
    technical-grade fluazuron developed no dermal reactions (Schoch,
    1986d).

         In 10 male and 10 female Pirbright white guinea-pigs submitted to
    an optimization test, in a study that followed OECD test guideline 404
    with GLP and quality assurance certification, no skin sensitization
    was observed after challenge with technical-grade fluazuron
    intradermally in 20% propylene glycol or epidermally in  vaseline
    (Schoch & Gfeller, 1987).

    2.2.2  Short-term toxicity

         Rats

         In a study of dermal toxicity that followed OECD test guideline
    410 with GLP and quality assurance certification, gauze patches
    moistened with distilled water and technical-grade fluazuron at doses
    of 0, 10, 100, or 1000 mg/kg bw were applied to the shaven skin of
    groups of five male and five female Tif:RAIf (SPF) rats for 6 h/day,
    five days per week for three weeks. The only effect observed was a
    slight but significant prolongation of prothrombin time in male rats
    at the two higher doses. The NOEL was 10 mg/kg bw per day (Schoch
     et al., 1988).

         Groups of 10 male and 10 female Tif:RAIf (SPF) rats received
    technical-grade fluazuron by gavage for four weeks at intended doses
    of 0, 10, 100, or  1000 mg/kg bw per day. The vehicle was distilled
    water containing 0.5% carboxymethylcellulose and 0.1% Tween 80. Since
    no clinical signs of toxicity were observed, the upper dose was
    increased to 2000 mg/kg bw per day from day 10 onwards. The final
    actual doses were 0, 3.2-5.6, 35-60, and 1660-1920 mg/kg bw per day.
    The study was certified for compliance with GLP and quality assurance.

         No treatment-related effects were seen on mortality rate,
    clinical or ophthalmoscopic signs, body weight, or food or water
    consumption, macroscopically or microscopically. Although treated
    animals showed some statistically significant changes in blood
    chemistry, these were not considered to be treatment-related (i.e. not
    dose-related or of no biological relevance). All males at the medium
    and high doses had a slight, statistically significant, dose-related
    increase in prothrombin time and a slight, statistically significant,
    dose-related decrease in platelet count. The mean liver weight was
    increased in all treated animals, reaching statistical significance in
    those at the two higher doses. Males at these doses also had a
    decrease in mean thymus weights, which was statistically significant
    only at the highest dose. These weight changes were not accompanied by
    histopathological findings. The NOEL was 3.2-5.6 mg/kg bw per day, but
    the validity of the study is limited due to the fact that the doses
    intended to be the low and medium doses were not reached (Thevenaz
     et al., 1987).

         Groups of 20 male and 20 female Tif:RAIf (SPF) rats were fed
    technical-grade fluazuron in the diet at concentrations of 0, 100,
    600, 3500, or 20 000 mg/kg feed for three months, to give calculated
    mean daily intakes of 0, 6.4, 39, 220, or 1300 mg/kg bw for males and
    0, 6.6, 41, 240, or 1400 mg/kg bw for females. The study followed OECD
    test guideline 408 with GLP and quality assurance certification.

         No treatment-related effects were seen on mortality, clinical or
    ophthalmoscopic signs, or macroscopically. Although body weight and
    food consumption were marginally lower in treated males than in
    controls, food conversion was not influenced. Treated males and
    females showed some statistically significant changes in blood

    chemistry; however, as these findings did not reflect any consistent
    alteration (i.e. not dose-related or of no biological relevance), they
    were not considered to be treatment-related. All treated males had
    slightly increased prothrombin time (dose-related, statistically
    significant in rats at 3500 and 20 000 mg/kg feed), in platelet count
    (not dose-related, significant at 3500 mg/kg feed), and in lymphocyte
    count (dose-related, significant at 20 000 mg/kg feed). The absolute
    and relative weights of the liver and glycogen deposition were
    significantly increased in all treated males, due, at least at 100
    mg/kg feed, to poor study design, as sections were not made at random.
    Changes in the absolute and relative weights of the heart (males),
    kidney, ovaries, and adrenals (females) were not accompanied by
    abnormal histopathological findings. Fluazuron treatment resulted in
    slight to moderate hepatocellular hypertrophy in males and females at
    3500 and 20 000 mg/kg feed and a slight increase in the incidence and
    intensity of thyroid follicular hypertrophy and pituitary cell
    hypertrophy in males at these doses. The authors considered the NOEL
    to be 600 mg/kg feed (equal to 39-41 mg/kg bw per day); however,
    effects on liver weight were observed in males at this dose. The
    Committee concluded that the NOEL was 100 mg/kg feed, equal to 6.4
    mg/kg bw per day, on the basis of effects on the liver. It should be
    noted that similar findings were not observed in a long-term study of
    toxicity and carcinogenicity in rats (see below) (Basler  et al., 
    1987).

         Dogs

         In a one-month range-finding study, groups of two male and two
    female pure-bred beagle dogs were given technical-grade fluazuron at
    doses of 200 or 50 000 mg/kg feed, equal to mean daily intakes of 8.5
    or 2200 mg/kg bw per day, respectively. The study was certified for
    compliance with GLP and quality assurance. No deaths occurred.
    Clinical symptoms, food consumption, body-weight gain,
    ophthalmoscopic, haematological, clinical, and urinary parameters, and
    macroscopic and histopathological findings indicated no change that
    could be considered to be related to treatment (Bloch  et al., 1987).

         In a three-month study, groups of four to six pedigree beagle
    dogs of each sex were fed diets containing technical-grade fluazuron
    at 0, 500, 5000, or 50 000 mg/kg feed. The study followed OECD test
    guideline 409 with GLP and quality assurance certification. As several
    animals in each group showed alterations indicative of an infection
    (possibly leptospirosis) during the experiment, the study was not
    considered useful for evaluating the safety of fluazuron. The only
    findings of note that could not be attributed to the infectious
    disease were degenerative, inflammatory, or hypertrophic changes in
    the major arteries of females at 5000 and 50 000 mg/kg; however, this
    effect was not confirmed in a 52-week feeding study with an interim
    kill at 13 weeks (see below) (Gretener  et al., 1988).

         Groups of six male and six female beagle dogs received diets
    containing technical-grade fluazuron at 0, 200, 3000, or 50 000 mg/kg
    feed for one year. Two dogs of each sex per group were killed for
    interim examinations after 13 weeks. The observations included
    mortality, clinical signs, body weight, food consumption,
    ophthalmoscopy, haematology, blood chemistry, urinalysis, organ
    weights, and macroscopic and microscopic examinations. The calculated
    mean intakes were 0, 7.5, 110, or 1900 mg/kg bw per day for males and
    0, 7.1, 120, or 2000 mg/kg bw per day for females. The study followed
    OECD test guideline 452 with GLP and quality assurance certification.
    No deaths occurred. Treatment mainly affected two males at the high
    dose (one killed at 13 weeks and the other at 52 weeks), which had
    decreased food consumption, transient body-weight loss, and increased
    activities of alkaline phosphatase and aspartate and alanine
    aminotransferases from week 13 onwards; histopathological examination
    revealed minimal multifocal areas of haemorrhage with slight
    multifocal chronic inflammation of the liver. A slight increase in
    alkaline phosphatase activity was also found in males at the middle
    dose from week 13 onwards and in females at the high dose from week 39
    onwards. Females at the high dose also had a slightly decreased
    phosphorus concentration. The NOEL was 200 mg/kg feed, equal to 7.5
    mg/kg bw per day, on the basis of changes in hepatic enzyme activities
    (Briffaux, 1988a, 1990).

    2.2.3  Long-term toxicity and carcinogenicity

         Mice

         Groups of 60 male and 60 female Tif: MAGf (SPF) mice were fed
    diets containing technical-grade fluazuron at doses of 0, 40, 400,
    4000, or 9000 mg/kg feed for two years, equal to average achieved
    intakes of 0, 4.5, 45, 450, or 990 mg/kg bw per day for males and 0,
    4.3, 43, 430, or 970 mg/kg bw per day for females. The observations
    included clinical signs, mortality, body weight, food and water
    consumption, haematological changes (10 animals of each sex per
    group), and organ weights; detailed macroscopic and histopathological
    examinations were perfomed. The study followed OECD test guideline 451
    with GLP and quality assurance certification.

         Clinical signs, body weight, and food consumption were unaffected
    by treatment, as was survival (40-45% for controls, 43-58% for treated
    animals). Water consumption was increased consistently in females at
    9000 mg/kg feed and in females at 400 and 4000 mg/kg feed in the
    second year of the study, but in females at 40 mg/kg feed and in all
    treated males it was comparable to that of controls. Haematological
    examination revealed no treatment-related changes, and the organ
    weights and macroscopic findings at necropsy were comparable in
    control and treated animals. The treatment-related non-neoplastic
    changes included an increased incidence of cataract of the crystalline
    lens characterized by mild necrosis and calcification of subcapsular
    lens fibres in animals of each sex at 4000 and 9000 mg/kg feed and a
    trend to increased diffuse hyperplasia of prostatic glandular tissue
    in males at 4000 and 9000 mg/kg feed. In addition, the following

    uterine changes, which were not dose-related, were noted: increased
    incidences of inflammatory polyps at 400, 4000, and 9000 mg/kg feed,
    increased dilatation of the lumen at 4000 and 9000 mg/kg feed, and
    increased incidences of haematomas and dilatation of blood vessels
    associated with thrombosis at 9000 mg/kg feed. Tumour incidences were
    not increased, although a marginally increased incidence of systemic
    infiltration with malignant lymphoma was observed in some organs of
    some animals at the high dose. The total number of lymphomas per
    animal and the total number of animals bearing lymphomas were not
    significantly different from those among controls. On the basis of the
    pathological changes in the uterus, the NOEL was 40 mg/kg feed, equal
    to 4.3 mg/kg bw per day (Bachmann  et al.,  1991a).

         In the same study, the total amount of fluazuron in the body
    appeared to reach a maximum at approximately 400 mg/kg feed: the
    fluazuron level was 4.9-8.7 µg/ml in blood and 880-970 mg/kg in fat in
    animals of each sex at 4000 and 9000 mg/kg feed and only slightly
    lower in those at 400 mg/kg feed. At 40 mg/kg feed, a steady state was
    not reached. The blood:fat ratio was approximately 1:200 in all groups
    (Maier, 1991a).

         Rats

         Groups of 80 male and 80 female Tif:RAIf (SPF) rats received
    diets containing technical-grade fluazuron at 0, 50, 500, 10 000, or
    20 000 mg/kg feed for two years, equal to average achieved intakes of
    0, 1.9, 18, 380, or 780 mg/kg bw per day for males and 0, 2.1, 21,
    440, or 920 mg/kg bw per day for females. Ten rats of each sex were
    killed after one year for interim necropsy. The observations included
    clinical signs, mortality, body weight, food consumption,
    ophthalmoscopy, haematology (20 rats of each sex per group), blood
    chemistry (10 of each sex per group), urinalysis (10 of each sex per
    group), and organ weights; detailed macroscopic and histopathological
    examinations were performed. The study followed OECD test guideline
    453 with GLP and quality assurance certification.

         The survival of the animals (56-67% for controls, 54-73% for
    treated animals) was not affected by treatment. Minor effects were
    observed in animals at the highest dose at interim sacrifice but not
    at terminal sacrifice. In females, the relative liver and kidney
    weights were significantly decreased, with no associated morphological
    changes; in males, minimal hypertrophy of hepatocytes was seen.
    Females at the highest dose also had decreased body-weight gain during
    the second year of treatment, but this failed to reach statistical
    significance. The findings were considered not to be of toxicological
    significance. The incidence of tumours was not increased. The total
    amount of fluazuron in the body appeared to reach a maximum at 500
    mg/kg feed: the level was 1.3-2.3 µg/ml in blood and 290-440 mg/kg in
    fat in animals of each sex at 500 mg/kg feed and above. At 50 mg/kg
    feed, a steady state was not reached. The blood:fat ratio was
    approximately 1:200 in all groups (Bachmann  et al., 1991b; Maier,
    1991b).

    2.2.4  Genotoxicity

         The results of tests for genotoxicity carried out with fluazuron
    are summarized in Table 1.

    2.2.5  Reproductive toxicity

    2.2.5.1  Multigeneration reproductive toxicity

         In a preliminary study of reproductive toxicity, groups of seven
    male and 14 female Ico:OFA Sprague-Dawley rats received
    technical-grade fluazuron at dietary concentrations of 0, 200, 1000,
    7000, or 20 000 mg/kg feed. Males were dosed for two weeks before
    mating and during the mating period and were sacrificed thereafter.
    Females were dosed from two weeks before mating up to 21 days  post 
     partum, when both the females and their litters were sacrificed. The
    study was certified for quality assurance.

         There were no deaths or treatment-related clinical signs in
    animals of either sex during the study. The food consumption and
    body-weight gain of F0 animals and the precoital period and duration
    of the gestation period were not affected by treatment, and no effects
    were seen on insemination, fecundity, fertility, resorption indices,
    stillbirths, nursing behaviour, the numbers of live F1 pups, their
    physical development, or neonatal or postnatal mortality. The mean
    weight at birth of F1 pups was not affected by treatment, but a
    slight retardation in growth rate was seen towards the end of the
    lactation period in animals at 7000 and 20 000 mg/kg feed. No
    treatment-related effects were seen in any animal at necropsy
    (Briffaux, 1988b).

         In a two-generation study of reproductive toxicity, groups of 30
    male and 30 female Ico:OFA Sprague-Dawley rats received diets
    containing technical-grade fluazuron at 0, 100, 1500, or 20 000 mg/kg
    feed for at least 100 days before mating and then throughout gestation
    and lactation for two successive generations. Two litters were bred
    per generation. Males and females of the first F1 litter (F1a)
    were selected to breed the next generation. After weaning of the F1b
    and F2b pups, the parental animals were killed and necropsied.
    Unselected F1a pups and F1b, F2a, and F2b pups were killed and
    necropsied after 21 days of lactation. The study followed OECD test
    guideline 416 with GLP and quality assurance certification.

         The only effects found were on food consumption and body weight,
    not on reproductive function. F1 females at the high dose showed a
    slight reduction in body weight in the first gestation period, and the
    food consumption of those at the middle and high doses tended to be
    slightly reduced at the end of both lactation periods. Neonatal
    viability of both generations of rats at the high dose was slightly
    reduced after the first matings, but the litters from subsequent
    matings were not affected. Pup viability from day 4  post partum to
    weaning was not affected by treatment during any phase of the study.
    The body weights at birth of pups in all litters were comparable to

    those of controls, but the body-weight gain of those at the high dose
    was reduced for all generations (F1a, F1b, F2a, F2b) and of
    those at the middle dose for the F1a, F2a, and F2b generations.
    The NOEL was 100 mg/kg feed, equivalent to 5 mg/kg bw per day, on the
    basis of postnatal toxicity (Barrow & Briffaux, 1991).

    2.2.5.2  Developmental toxicity

         Rats

         Technical-grade fluazuron was administered by gavage in a 0.1%
    aqueous solution of polysorbate 80 at doses of 0, 10, 100, or 1000
    mg/kg bw per day to groups of 24 mated female Tif:RAIf (SPF) rats on
    days 6-15 of gestation. On day 21 of gestation, the dams were killed
    and necropsied, and the fetuses were weighed, sexed, and examined for
    external, visceral, and skeletal abnormalities. The study followed
    OECD test guideline 414 with GLP and quality assurance certification.
    One dam at the middle dose aborted its entire litter. No
    treatment-related effects were observed in dams, and the numbers of
    implantations, live young, and resorptions and fetal and litter
    weights were unaffected by treatment. There was no indication of
    teratogenicity. Hence, fluazuron at doses up to 1000 mg/kg bw per day
    had no maternal, embryo- or fetal toxicity or teratogenicity (Thouin,
    1988).

         Rabbits

         Groups of 20 mated female Chinchilla-type rabbits received
    technical-grade fluazuron suspended in 3% (w/w) aqueous corn starch by
    gavage at doses of 0, 10, 100, or 1000 mg/kg bw per day on days 7-19
    of pregnancy. The dams were killed and necropsied on day 29 of
    pregnancy, and various parameters examined. Fetuses were subjected to
    gross necropsy and visceral and skeletal examination. The study
    followed OECD test guideline 414 with GLP and quality assurance
    certification. One female at the high dose died due to faulty
    intubation, and another resorbed all of its implants. The incidence of
    post-implantation loss was slightly increased in all treated groups,
    mainly due to a slightly higher rate of early resorptions, but was
    still within the historical control range and was considered not to be
    related to treatment. The number of live fetuses and the litter weight
    were unaffected by treatment. The body weights of the fetuses of all
    treated dams were slightly increased; the increases in group means
    were statistically significant but the litter means were not. No other
    effects were observed. Hence, at doses up to 1000 mg/kg bw per day
    fluazuron induced no maternal, embryo or fetal toxicity and was not
    teratogenic (Thomann, 1988).


        Table 1. Results of assays for genotoxicity with fluazuron

                                                                                                                  

    End-point        Test object             Concentration        Result         S9     QA        Reference
                                                                                                                  

    In vitro
    Reverse          S. typhimurium          1.14-278 µg/mla      Negative       +      No        Deparade &
       mutation      TA98, TA100,                                 Negative       -                Arni (1985)
                     TA1535, TA1537
    Gene             V79 Chinese             12.5-500 ng/ml       Negative       +      Yes       Dollenmeier & 
       mutation      hamster cells           0.625-25 µg/ml       Negative       -                Puri (1987)
    Chromosomal      Human lymphocytes       14.1-225 µg/ml       Negative       +      Yes       Strasser &  
       aberration                            7.5-120.0 µg/ml      Negative       -                Muller (1987)
    DNA repair       Rat hepatocytes         0.4-300 µg/ml        Negative              Yes       Puri & Muller (1987)
    DNA repair       Human fibroblasts       0.2-50 µg/ml         Negative              Yes       Meyer & Puri (1987)

    In vivo
    Nuclear          Chinese hamster         1.25-5.0 g/kg bwb    Negativec             Yes       Strasser & Arni 
       anomalies     bone marrow                                                                  (1987)
                                                                                                                  

    S9, 9000 × g fraction of rat liver; QA, quality assurance
    a  No cytotoxicity, but precipitation occurred at the highest dose in the presence of S9 
    b  Daily doses given by gavage on each of two consecutive days; cyclophosphamide used as a positive control 
    c  The authors considered 5.0 g/kg bw to be the highest applicable dose, but as cytotoxicity was not 
       determined it was not clear whether the bone marrow was exposed.
    

    2.2.6  Special studies on target animals

         In a study of tolerability, groups of three male and three female
    Hereford cattle received the pour-on formulation Acatak at 0
    (control), once, three times, or five times the recommended dose of 2
    mg/kg bw fluazuron, along the back from the neck to the rump. The
    animals were observed for the following eight weeks and monitored for
    subclinical side-effects. The study was certified for quality
    assurance. Apart from the formation of a crusty layer on the skin and
    coat, which caused no irritation or discomfort to the animals, the
    formulation was well tolerated at all doses. No drug-related changes
    were observed in body weight, feed consumption, body temperature, or
    haematological or blood biochemical parameters (Bowen & Strong, 1993).
    When the label instructions for application of the pour-on formulation
    Acatak were followed, a crusty layer formed on the coats of the
    cattle, but the animals displayed no clinical signs of irritation.
    Histopathological examination showed only minor pathological changes
    in the skin, which had no effect on the hide quality (Strong, 1993;
    Strong & Bowen, 1993).

         Subcutaneous injection of Acatik, a commercial formulation
    containing fluazuron as the active ingredient, induced no side-effects
    or local reactions at the injection site in cattle receiving single
    doses of 1 mg/kg bw fluazuron or dogs receiving double doses of 2.5
    and then 5 mg/kg bw (Suarez, 1988; Genchi, 1990).

    2.2.7  Special studies on heat degradation

         The degradation of fluazuron residues present in cattle meat and
    fat was investigated after normal dry cooking, cooking in water or
    oil, or microwave treatment. The meat and fat samples were derived
    from steers treated with fluazuron at 1.5 mg/kg bw by subcutaneous
    injection, which is not the recommended route of administration. The
    study was certified for compliance with GLP and quality assurance.
    Residues of fluazuron were partly (in meat) or completely (in fat)
    degraded to [3-(3-chloro-5-trifluoro-methyl-2-pyridinyloxy)-4-
    chlorophenyl]-1-amine. This degradation product did not show mutagenic
    potential in an assay for reverse mutation in  Salmonella typhimurium
    strains TA98, TA100, TA1535, and TA1537 or in  Escherichia coli 
    strain WP2uvrA, when the known mutagen found in cooked meat, MeIQx
    (2-amino-3,8- dimethylimidaz[4,5-f]quinoxaline), was used as the
    reference substance (Schulze-Aurich, 1992c; Maier, 1993).

    3.  COMMENTS

         The Committee considered the results of studies on the
    pharmacokinetics, metabolism, acute, short-term and long-term
    toxicity, carcinogenicity, genotoxicity, and reproductive toxicity of
    fluazuron. All of the studies critical for the evaluation were carried
    out according to appropriate standards for study protocol and conduct.

         Analysis 24 h after oral administration of radiolabelled
    fluazuron to rats showed that an average of 60% was absorbed through
    the gut. Most of the absorbed radiolabel was taken up into adipose
    tissues, while significantly lower levels were found in liver, kidney,
    lung, muscle, and brain. Ninety percent of the radiolabel in tissues
    was attached to unchanged fluazuron. Fluazuron was eliminated slowly
    from adipose tissues, following first-order kinetics, with a half-life
    of about 13 days. Elimination occurred primarily in the faeces. One
    week after administration, 59% had been excreted in faeces and 3% in
    urine. About one-third of the dose was eliminated as unchanged
    fluazuron in the faeces; the remaining two-thirds was metabolized by
    cleavage of the urea moiety between the benzoyl carbon and the urea
    nitrogen, followed by hydroxylation in the phenyl ring.

         When radiolabelled fluazuron was administered topically to
    cattle, radiolabel was slowly absorbed, either percutaneously, orally
    (by licking), or by both routes. A steady state between absorption and
    elimination was observed for three to four weeks after treatment. The
    absorbed radiolabel was taken up mainly by adipose tissues and to a
    lesser extent by other tissues. Depletion of fluazuron from plasma and
    tissues was slow, with half-lives of elimination of 10.5 and 4.5-5.5
    weeks, respectively. The major route of elimination was the faeces
    (62% of the dose within 16 weeks), while renal excretion was of minor
    importance (1% of the dose within 16 weeks). There was some indication
    of biliary excretion. Fluazuron was not extensively metabolized, as
    unchanged fluazuron accounted for more than 90% of the total residues
    in tissues and faeces. A similar slow absorption, distribution, and
    elimination pattern was observed after subcutaneous administration of
    radiolabelled fluazuron to steers. The pattern of metabolites excreted
    in faeces was somewhat more complex, however, indicating that about
    one-third of the fluazuron was metabolized into more polar
    metabolites. Although the fate of fluazuron in rats was similar to
    that in cattle, they metabolized fluazuron to a greater extent than
    cattle.

         Orally administered fluazuron was found to have low acute
    toxicity, with an LD50 value of > 5000 mg/kg bw in rats.

         The short-term toxicity of fluazuron was evaluated by oral
    administration to rats and dogs. In a 28-day study, rats received
    fluazuron by gavage at doses of 0, 10, 100, or 2000 mg/kg bw per day.
    Increased prothrombin time and liver weight and decreased platelet
    counts and thymus weight were observed, mainly in animals at the two
    higher doses, and particularly in males. Male rats were also more
    sensitive than females to the effects of fluazuron in a 13-week

    feeding study at dietary concentrations of 0, 100, 600, 3500, or
    20 000 mg/kg feed (equal to 6.4-1400 mg/kg bw per day). Male rats at
    the two higher doses had increased prothrombin time, platelet and
    lymphocyte counts, and absolute and relative liver weights, as well as
    hypertrophy of thyroid follicular cells, pituitary cells, and
    hepatocytes. In males, increases in absolute and relative liver
    weights were also observed at 600 mg/kg feed. In females,
    hepatocellular hypertrophy occurred at 3500 and 20 000 mg/kg feed. The
    NOEL was 100 mg/kg feed, equal to 6.4 mg/kg bw per day, on the basis
    of effects on the liver.

         In a one-year feeding study, dogs received fluazuron at dietary
    concentrations of 0, 200, 3000, or 50 000 mg/kg feed. Effects were
    observed primarily in males at the highest dose, consisting of
    decreased food consumption, transient body-weight loss, increased
    serum activities of alkaline phosphatase and aspartate and alanine
    aminotransferases, and minimal multifocal haemorrhage with slight
    multifocal chronic inflammation in the liver. A slight increase in
    alkaline phosphatase activity was also observed in males at 3000 mg/kg
    feed and in females at 50 000 mg/kg feed. The NOEL was 200 mg/kg feed,
    equal to 7.5 mg/kg bw per day, on the basis of changes in hepatic
    enzyme activities.

         In a study of carcinogenicity, mice received diets containing 0,
    40, 400, 4000, or 9000 mg/kg feed for two years (equal to 4.3-990
    mg/kg bw per day). Females at the two higher levels showed increased
    water consumption, cataracts, and uterine changes (inflammatory
    polyps, luminal dilatation and, at 9000 mg/kg feed only, haematomas
    and dilatation of blood vessels associated with thrombosis). Increased
    water consumption and inflammatory uterine polyps were also observed
    in females at 400 mg/kg feed. Male mice at the two higher levels had
    cataracts, and a trend to an increasing frequency of diffuse
    hyperplasia of prostatic glandular tissue was observed. The NOEL was
    40 mg/kg feed, equal to 4.3 mg/kg bw per day, on the basis of
    pathological changes in the uterus.

         In a long-term study of toxicity and carcinogenicity, rats were
    given fluazuron at 0, 50, 500, 10 000, or 20 000 mg/kg feed for two
    years (equal to 1.9-920 mg/kg bw per day), and a proportion of the
    animals were killed at one year. No toxicologically significant
    effects were observed at any dose. The toxic effects on the liver
    observed in the 13-week study in rats were not observed after either
    one or two years.

         In the long-term studies of toxicity, the total amount of
    fluazuron in the body appeared to reach a maximum at relatively low
    levels (approximately 400 and 500 mg/kg feed, equal to 43 and 18 mg/kg
    bw per day, in mice and rats, respectively), as the concentration of
    the compound in blood and fat did not increase at higher levels. The
    reason is not clear. It is not known whether a similar effect occurred
    in the short-term studies, because blood and fat levels were not
    measured.

         Fluazuron has been tested  in vitro for its ability to induce
    reverse mutations in Salmonella typhimurium, gene mutations in Chinese
    hamster cells, chromosomal aberration in human lymphocytes, and DNA
    repair in rat hepatocytes and human fibroblasts. It has also been
    tested  in vivo for its ability to induce nuclear anomalies in
    Chinese hamster bone marrow. All the results were negative. On the
    basis of these data and the results of the bioassays in rodents, the
    Committee concluded that fluazuron has no genotoxic or carcinogenic
    potential.

         In a two-generation study of reproductive toxicity in rats at
    dietary concentrations of 0, 100, 1500, or 20 000 mg/kg feed
    (equivalent to 5-1000 mg/kg bw per day), fluazuron had no adverse
    effects on reproductive function. The only effects observed were
    slightly retarded growth of pups at 1500 and 20 000 mg/kg feed and a
    slight increase in neonatal mortality at 20 000 mg/kg feed. The NOEL
    was 100 mg/kg feed, equivalent to 5 mg/kg bw per day, on the basis of
    postnatal toxicity.

         Fluazuron was not maternally toxic and did not cause
    embryotoxicity, fetotoxicity, or teratogenicity in rats or rabbits at
    oral doses up to 1000 mg/kg bw per day.

         Because fluazuron belongs to a class of insect growth regulators
    that do not act on the nervous system and because the central nervous
    system was not a target organ in the short-term or long-term studies
    of toxicity in rats, mice, or dogs, special studies of neurotoxicity
    have not been performed. The Committee concluded that such studies
    were unnecessary.

    4.  EVALUATION

         The Committee established an ADI of 0-40 µg/kg bw for fluazuronâ
    on the basis of the NOEL of 4.3 mg/kg bw per day for pathological
    changes in the uterus in the two-year study in mice and a 100-fold
    safety factor. The ADI was rounded to one significant figure, as is
    the usual practice (Annex 1, reference 91, section 2.7).

    5.  REFERENCES

    Bachmann, M., Hunter, B., Gretener, P., Krinke, G., Landes, C.,
    Christen, P., Seewald, W., Heinemann, G.W. & Basler, W. (1991a) CGA
    157419 tech: Lifetime carcinogenicity study in mice. Unpublished
    report No. 860086 from Ciba-Geigy Ltd, Stein, Switzerland. Submitted
    to WHO by Ciba-Geigy Ltd, Basel, Switzerland.

    Bachmann, M., Hunter, B., Gretener, P., Froehlich, E., Faccini, J.M.,
    Krinke, G., Christen, P., Seewald, W., Heinemann, G.W. & Basler, W.
    (1991b) CGA 157419 tech: Carcinogenicity and chronic toxicity study in
    rats. Unpublished report No. 860087 from Ciba-Geigy Ltd, Stein,
    Switzerland. Submitted to WHO by Ciba-Geigy Ltd, Basel, Switzerland.

    Barrow, P. & Briffaux, J.P. (1991) CGA 157419 tech: Two generation
    oral (dietary administration) reproduction study in the rat.
    Unpublished report No. 860089 from Hazleton France, L'Arbresle, France
    (Hazleton report No. 710779). Submitted to WHO by Ciba-Geigy Ltd,
    Basel, Switzerland.

    Basler, W., Fankhauser, H., Gretener, P., Froehlich, E., Heider, K. &
    Gfeller, W. (1987) CGA 157419 tech: 3-month oral toxicity study in
    rats (administration in food). Unpublished report No. 860080 from
    Ciba-Geigy Ltd, Basel, Switzerland. Submitted to WHO by Ciba-Geigy
    Ltd, Basel, Switzerland.

    Bloch, I., Frei, T., Luetkemeier, H. & Wilson, J. (1987) CGA 157419:
    4-week oral range-finding toxicity (feeding) study in beagle dogs.
    Unpublished report No. 860083 from Research & Consulting Company AG,
    Itingen, Switzerland (RCC report No. 072977). Submitted to WHO by
    Ciba-Geigy Ltd, Basel, Switzerland.

    Bowen, F.L. & Strong, M.B. (1993) The tolerability of cattle to
    exposure to the acarine growth regulator Acatak. Unpublished report
    No. 93/3/1398 from Ciba-Geigy Ltd, Kemps Creek, Australia. Submitted
    to WHO by Ciba-Geigy Ltd, Basel, Switzerland.

    Briffaux, J.P. (1988a) CGA 157419 tech: 52 week oral (dietary
    administration) toxicity study in the beagle dog. Interim report for
    the first 13 weeks of the study. Unpublished report No. 860085 from
    Hazleton France, L'Arbresle, France (Hazleton report No. 712829).
    Submitted to WHO by Ciba-Geigy Ltd, Basel, Switzerland.

    Briffaux, J.P. (1988b) CGA 157419: Preliminary study for a
    2-generation oral (dietary administration) reproduction study in the
    rat. Unpublished report No. 860400 from Hazleton France, L'Arbresle,
    France (Hazleton report No. 703623). Submitted to WHO by Ciba-Geigy
    Ltd, Basel, Switzerland.

    Briffaux, J.P. (1990) CGA 157419 tech: 52 week oral (dietary
    administration) toxicity study in the beagle dog. Unpublished report
    No. 860085 from Hazleton France, L'Arbresle, France (Hazleton report
    No. 094089). Submitted to WHO by Ciba-Geigy Ltd, Basel, Switzerland.

    Cameron, B.D., Somers, K. & Speirs, G.C. (1992) The distribution and
    excretion of [U-14C]Cl-phenyl CGA 157419 after subcutaneous
    injection to cattle. Unpublished report No. 141232 from Inveresk
    Research International, Tranent, Scotland, United Kingdom (Inveresk
    report No. 6189). Submitted to WHO by Ciba-Geigy Ltd, Basel,
    Switzerland.

    Deparade, E. & Arni, P. (1985) Salmonella Cobas. Bact. pilot test with
    CGA 157419 techn. (test for mutagenic effects on bacteria).
    Unpublished report No. 850235 from Ciba-Geigy Ltd, Basel, Switzerland.
    Submitted to WHO by Ciba-Geigy Ltd, Basel, Switzerland.

    Dollenmeier, P. & Puri, E. (1987) CGA 157419 tech: V79 Chinese hamster
    point mutation test (with and without microsomal activation).
    Unpublished report No. 860071 from Ciba-Geigy Ltd, Basel, Switzerland.
    Submitted to WHO by Ciba-Geigy Ltd, Basel, Switzerland.

    Genchi, C. (1990) Tolerability of Acatik formulation A-8560 A in dogs.
    Unpublished report from Facolta di Medicina Veterinaria, Universita
    degli studi di Milano, Milan, Italy. Submitted to WHO by Ciba-Geigy
    Ltd, Basel, Switzerland.

    Gretener, P., Froehlich, E., Heider, K., Christen, P. & Gfeller, W.
    (1988) CGA 157419 tech: 3-month subchronic oral toxicity study in
    beagle dogs. Unpublished report No. 860084 from Ciba-Geigy Ltd, Stein,
    Switzerland. Submitted to WHO by Ciba-Geigy Ltd, Basel, Switzerland.

    Hartmann, H.R. & Schoch, M. (1987) CGA 157419 tech: Acute aerosol
    inhalation toxicity in the rat. Unpublished report No. 860078 from
    Ciba-Geigy Ltd, Basel, Switzerland. Submitted to WHO by Ciba-Geigy
    Ltd, Basel, Switzerland.

    Johnson, S., Johnston, A.M. & Prout, M.S. (1996)
    [Chlor-phenyl-(U)-14C]-CGA 157419: Nature of metabolites in excreta
    and tissues in ruminant cattle following single topical
    administration. Unpublished report No. 156940 from Inveresk Research,
    Tranent, Scotland, United Kingdom (Inveresk report No. 13026).
    Submitted to WHO by Ciba-Geigy Ltd, Basel, Switzerland.

    Maier, W. (1991a) CGA 157419: Determination of residues in whole blood
    and fat of mice after subchronic and chronic exposure. Summary report
    and assessment. Unpublished report from Ciba-Geigy Ltd, Basel,
    Switzerland. Submitted to WHO by Ciba-Geigy Ltd, Basel, Switzerland.

    Maier, W. (1991b) CGA 157419: Determination of residues in whole blood
    and fat of rats after subchronic and chronic exposure. Summary report
    and assessment. Unpublished report from Ciba-Geigy Ltd, Basel,
    Switzerland. Submitted to WHO by Ciba-Geigy Ltd, Basel, Switzerland.

    Maier, W. (1993) CGA 157419: Toxicological assessment of heat
    degradation products. Unpublished report from Ciba-Geigy Ltd, Basel,
    Switzerland. Submitted to WHO by Ciba-Geigy Ltd, Basel, Switzerland.

    McLean, C.L. & Dunsire, J.P. (1996) The absorption, distribution,
    excretion, and residue depletion of [chlor-phenyl-(U)-14C]-CGA
    157419 in ruminant cattle following topical administration.
    Unpublished report No. 155601 from Inveresk Research, Tranent,
    Scotland, United Kingdom (Inveresk report No. 12446). Submitted to WHO
    by Ciba-Geigy Ltd, Basel, Switzerland.

    Meyer, A. & Puri, E. (1987) CGA 157419 tech: Autoradiographic
    DNA-repair test on human fibroblasts (OECD-conform). Unpublished
    report No. 861231 from Ciba-Geigy Ltd, Basel, Switzerland. Submitted
    to WHO by Ciba-Geigy Ltd, Basel, Switzerland.

    Puri, E. & Muller, D. (1987) CGA 157419 tech: Autoradiographic
    DNA-repair test on rat hepatocytes (OECD-conform). Unpublished report
    No. 861230 from Ciba-Geigy Ltd, Basel, Switzerland. Submitted to WHO
    by Ciba-Geigy Ltd, Basel, Switzerland.

    Schoch, M. (1986a) CGA 157419 tech: Acute oral toxicity in the rat.
    Unpublished report No. 860073 from Ciba-Geigy Ltd, Basel, Switzerland.
    Submitted to WHO by Ciba-Geigy Ltd, Basel, Switzerland.

    Schoch, M. (1986b) CGA 157419 tech: Acute dermal toxicity in the rat.
    Unpublished report No. 860076 from Ciba-Geigy Ltd, Basel, Switzerland.
    Submitted to WHO by Ciba-Geigy Ltd, Basel, Switzerland.

    Schoch, M. (1986c) CGA 157419 tech: Acute eye irritation/corrosion
    study in the rabbit. Unpublished report No. 860074 from Ciba-Geigy
    Ltd, Basel, Switzerland. Submitted to WHO by Ciba-Geigy Ltd, Basel,
    Switzerland.

    Schoch, M. (1986d) CGA 157419 tech: Acute dermal irritation/corrosion
    study in the rabbit. Unpublished report No. 860075 from Ciba-Geigy
    Ltd, Basel, Switzerland. Submitted to WHO by Ciba-Geigy Ltd, Basel,
    Switzerland.

    Schoch, M. & Gfeller, W. (1987) CGA 157419 tech: Skin sensitization
    test in the guinea pig (optimization test). Unpublished report No.
    860066 from Ciba-Geigy Ltd, Basel, Switzerland. Submitted to WHO by
    Ciba-Geigy Ltd, Basel, Switzerland.

    Schoch, M., Gretener, P., Froehlich, E., Germer, M., Krinke, G. &
    Gfeller, W. (1988) CGA 157419 tech: 21-day repeated dose dermal
    toxicity in the rat. Unpublished report No. 860077 from Ciba-Geigy
    Ltd, Stein, Switzerland. Submitted to WHO by Ciba-Geigy Ltd, Basel,
    Switzerland.

    Schulze-Aurich, J. (1992a) Absorption, distribution, depletion of
    residues and metabolic pathways of [U-14C]Cl-phenyl CGA 157419 in
    the rat. Unpublished report No. 8/92 from Ciba-Geigy Ltd, Basel,
    Switzerland. Submitted to WHO by Ciba- Geigy Ltd, Basel, Switzerland.

    Schulze-Aurich, J. (1992b) The nature of the metabolites in tissues
    and excreta of male cattle after single subcutaneous administration of
    [U-14C]Cl-phenyl CGA 157419. Unpublished report No. 9/92 from
    Ciba-Geigy Ltd, Basel, Switzerland. Submitted to WHO by Ciba-Geigy
    Ltd, Basel, Switzerland.

    Schulze-Aurich, J. (1992c) The fate of residues of [U-14C]Cl-phenyl
    CGA 157419 in cattle tissues upon cooking. Unpublished report No.
    10/92 from Ciba-Geigy Ltd, Basel, Switzerland. Submitted to WHO by
    Ciba-Geigy Ltd, Basel, Switzerland.

    Strasser, F. & Arni, P. (1987) CGA 157419 tech: Nucleus anomaly test
    in somatic interphase nuclei of Chinese hamster. Unpublished report
    No. 860068 from Ciba-Geigy Ltd, Basel, Switzerland. Submitted to WHO
    by Ciba-Geigy Ltd, Basel, Switzerland.

    Strasser, F. & Muller, D. (1987) CGA 157419 tech: Chromosome studies
    on human lymphocytes  in vitro. Unpublished report No. 860070 from
    Ciba-Geigy Ltd, Basel, Switzerland. Submitted to WHO by Ciba-Geigy
    Ltd, Basel, Switzerland.

    Strong, M.B. (1993) Effect of Acatak treatment on hide quality.
    Unpublished report No. 93M/MBS/46 from Ciba-Geigy Ltd, Kemps Creek,
    Australia. Submitted to WHO by Ciba-Geigy Ltd, Basel, Switzerland.

    Strong, M.B. & Bowen, F.L. (1993) Reaction of cattle skin to Acatak.
    Unpublished report No. 93/6/1410 from Ciba-Geigy Ltd, Kemps Creek,
    Australia. Submitted to WHO by Ciba-Geigy Ltd, Basel, Switzerland.

    Suarez, M. (1988) Acatik field trial. Unpublished report No. NPP 84.04
    from Ciba-Geigy Ltd, Argentina. Submitted to WHO by Ciba-Geigy Ltd,
    Basel, Switzerland.

    Thevenaz, P., Gretener, P., Zak, F., Malinowski, W., Landes, C.,
    Basler, W. & Gfeller, W. (1987) CGA 157419 tech: 28-day oral
    cumulative toxicity study in rats (gavage). Unpublished report No.
    860081 from Ciba-Geigy Ltd, Basel, Switzerland. Submitted to WHO by
    Ciba-Geigy Ltd, Basel, Switzerland.

    Thomann, P. (1988) CGA 157419 tech: Developmental toxicity
    (teratogenicity) study in rabbits. Unpublished report No. 860090 from
    Ciba-Geigy Ltd, Basel, Switzerland. Submitted to WHO by Ciba-Geigy
    Ltd, Basel, Switzerland.

    Thouin, M.H. (1988) CGA 157419 tech: Teratogenicity study in rats.
    Unpublished report No. 860088 from Ciba-Geigy Ltd, Basel, Switzerland.
    Submitted to WHO by Ciba-Geigy Ltd, Basel, Switzerland.
    


    See Also:
       Toxicological Abbreviations
       FLUAZURON (JECFA Evaluation)