IPCS INCHEM Home



    INTERNATIONAL PROGRAMME ON CHEMICAL SAFETY

    WORLD HEALTH ORGANIZATION



    Toxicological evaluation of certain veterinary drug
    residues in food



    WHO FOOD ADDITIVES SERIES 39





    Prepared by:
    The forty-eighth meeting of the Joint FAO/WHO Expert
    Committee on Food Additives (JECFA)



    World Health Organization, Geneva 1997


    CYFLUTHRIN

    L. Ritter and M.J. Chappel 
    Canadian Network of Toxicology Centres
    University of Guelph, Guelph, Ontario, Canada


    1.  Explanation
    2.  Biological data
        2.1  Biochemical aspects
             2.1.1  Absorption, distribution, and excretion
             2.1.2  Biotransformation
        2.2  Toxicological studies
             2.2.1  Acute toxicity
             2.2.2  Short-term toxicity
             2.2.3  Long-term toxicity and carcinogenicity
             2.2.4  Genotoxicity
             2.2.5  Reproductive toxicity
                    2.2.5.1  Multigeneration reproductive toxicity
                    2.2.5.2  Developmental toxicity
             2.2.6  Special studies on neurotoxicity
             2.2.7  Special studies on tumour promotion
        2.3  Observations in humans
    3.  Comments
    4.  Evaluation
    5.  References


    1.  EXPLANATION

         Cyfluthrin (Figure 1) is a synthetic cyano-containing pyrethroid
    insecticide. It has a broad spectrum of activity and is used as an
    effective ectoparasiticide in industrial settings, as an effective
    vector control agent, and in some countries for the protection of
    stored products. Cyfluthrin can be formulated as wettable powders,
    emulsifiable concentrates, oil-in-water emulsions, oily solutions,
    concentrates, and dust formulations. These formulations can be applied
    as sprays, dusts, fogs, and aerial sprays. The oil formulations are
    commonly used to protect cattle from infestation by flies, lice, and
    tabanids. Technical-grade cyfluthrin consists of a mixture of four
    diastereomeric pairs of enantiomers (giving rise to eight optical
    isomers), which consist of two  cis and two  trans isomeric pairs.
    Cyfluthrin is manufactured with a typical purity of 92% (sum of all
    isomers), with six impurities identified chemically.

         Cyfluthrin was evaluated by the 1987 Joint FAO/WHO Meeting on
    Pesticide Residues (WHO/FAO, 1988), which established an ADI of 0-0.02
    mg/kg bw. Cyfluthrin has not previously been evaluated by the Joint
    Expert Committee on Food Additives.

    FIGURE 1

    2.  BIOLOGICAL DATA

    2.1  Biochemical aspects

    2.1.1  Absorption, distribution, and excretion

         The influence of the formulation vehicle on the rate of
    absorption of cyfluthrin was studied in groups of 14 fasted male
    Wistar rats given single doses by gavage of 10 mg/kg bw dissolved in
    either polyethylene glycol (PEG) 400 or a Cremophor EL:water emulsion.
    Two rats from each group were killed 0.5, 1, 2, 4, 6, 16, and 24 h
    after treatment. The concentrations of cyfluthrin and its respective
    enantiomers were determined in the blood and stomach. When the
    compound was emulsified in the Cremophor EL:water solution, absorption
    was rapid; the  cis isomer was that most frequently detected within
    30 min after treatment. Maximum peak blood concentrations occurred
    within 1 h of treatment. Cyfluthrin emulsified in PEG 400 was not
    detected until 4 h after administration, and peak blood levels were
    observed only 6 h after treatment. Examination of the stomach contents
    revealed a larger quantity of cyfluthrin in the stomachs of rats
    treated with the drug in a PEG 400 emulsion (Eben  et al., 1982).

         Rats

         Four groups of 30 male and 24 female Mura:SPRA (SPF 68 Han) rats
    received 14C radiolabelled cyfluthrin as either oral doses of 0.5 or
    10 mg/kg bw or intravenous or intraduodenal doses of 0.5 mg/kg bw.
    Another group received unlabelled cyfluthrin orally once a day for 14
    consecutive days, followed by a single oral dose of 0.5 mg/kg bw
    14C-cyfluthrin. Excreta, organs, tissues, and blood samples were
    collected at several intervals and assayed for radiolabel.

         After oral administration by any schedule, up to 80% of the
    labelled cyfluthrin was effectively absorbed by females and about 90%
    by males. The half-time for absorption was 30-32 min, and absorption
    commenced 13 min after administration. The absorption half-time was
    dependent on neither dose, sex, nor pretreatment. Excretion was rapid
    and proportional to dose. Less than 2% of radiolabelled drug was
    present 48 h after oral administration. No significant pulmonary
    excretion pathway exists, as < 0.001% was detected in the expired
    gaseous phase as 14CO21. About 98-99% of the orally administered
    dose was readily available for renal and faecal excretion, which would
    be expected to be eliminated within two days. Males excreted two to
    three times more in the urine than in the faeces, whereas the
    renal:faecal excretion ratio in females was 1.2-1.7:1 after oral
    administration. Consequently, the area under the curve (AUC) is two
    times larger for females than males.

         Forty-eight hours after the intravenous administration, 93-95% of
    the dose was excreted, with a renal:faecal excretion ratio of 2.9:1 in
    males and 2.3:1 in females. Therefore, excretion depends somewhat on
    the route of administration and on sex. Rats with bile fistulae
    excreted one-third of the dose within two days, more than 50% of which
    was excreted within 2 h and 90% within 6 h of administration. These
    rats excreted about 50% of the recovered radioactivity via the urine
    and < 12% via faeces. A proportion of the radiolabelled dose excreted
    in bile underwent enterohepatic circulation. 

         The apparent volume of distribution after the intravenous
    treatment was calculated to be 17%, indicating distribution primarily
    to the extracellular fluid. Plasma elimination, i.e. distribution to
    the tissues, was biphasic, with an initial rapid half-time of 2.1 h
    and then a slower, dose- and pretreatment-independent half-time of 
    21 h. The maximum relative concentration in the plasma was independent
    of dose and was observed 2 h after oral administration in male and
    female rats.

         The residues found in the organs and tissues were influenced by
    the route of administration, as the mean relative concentration of
    cyfluthrin in the bodies of males and females at sacrifice was lower
    after oral administration (0.013) than after intravenous injection
    (0.06). Female rats had higher plasma concentrations after oral
    administration of the single high or low dose; 48 h after
    administration, lower concentrations were detected in the bone and
    muscle of animals of each sex and in the testes of males rats. The
    sciatic nerve showed a similar relative concentration value, which may
    explain the toxic effects observed on the peripheral nervous system.
    Higher concentrations were detected in the spleen, adrenal glands,
    liver, and plasma of both males and females and in the ovaries. The
    renal fatty tissue concentration was about seven times higher after
    either oral or intravenous administration, whereas the mean
    concentration in brain was significantly lower ( p = 0.0006-0.006)
    (Klein  et al., 1983).

    2.1.2  Biotransformation

         Rats

         Eight hours after oral administration of 14C-labelled
    cyfluthrin at a dose of 10 mg/kg bw to three male Sprague-Dawley rats,
    about 60% of the labelled cyfluthrin was eliminated in the urine in
    conjugated forms. Conjugates of 4'-hydroxy-3-phenoxyfluorobenzoic acid
    (50%) were identified; a second major metabolite was identified after
    hydrochloric acid hydrolysis as a conjugate of 
    3-phenoxy-4-fluorohippuric acid (40%). These metabolites represented
    33 and 27% of the administered radiolabel, respectively. A glycine
    conjugate constituted 2.5% of the conjugated metabolites (Ecker,
    1982).

         After intraperitoneal injection of 14C-cyfluthrin to Wistar
    (TNO/W 74) albino rats at doses of 1, 5, 10, or 15 mg/kg bw, urine was
    collected for three days. It was found that 24-42% of the alpha-cyano
    group of cyfluthrin was excreted via the kidneys in the thiocyanate
    form (Eben & Thyssen, 1981). 

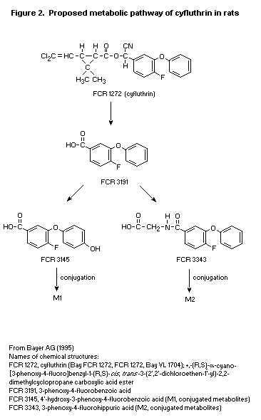
         In another study carried out to characterize the complete kinetic
    behaviour and metabolic pathway of cyfluthrin in rats, four groups of
    five male and five female rats received 14C-cyfluthrin by a protocol
    identical to that described by Klein  et al. (1983). The initial step
    in cyfluthrin biotransformation was ester hydrolysis, giving a 
    3-phenoxy-4-fluorobenzyl alcohol intermediate and the permethric acid
    fraction. The metabolism of permethric acid has been well established
    in the rat in studies with chemically similar pyrethroids. After ester
    hydrolysis, the 3-phenoxy-4-fluorobenzyl alcohol moiety was oxidized
    to the free metabolite 3-phenoxy-4-fluorobenzoic acid. This metabolite
    can then either be conjugated with glycine to form 
    3-phenoxy-4-fluorohippuric acid (a minor metabolite constituting < 3%
    of the recovered urinary radiolabel, dependent on neither sex nor
    dose) or hydroxylated to give 4'-hydroxy-3-phenoxy-4-fluorobenzoic
    acid (conjugates of which account for 41-50% of the total urinary
    radiolabel recovered from rats given one or multiple doses of
    cyfluthrin at 0.5 mg/kg bw). Females tended to excrete more of this
    metabolite as the free form in the faeces than did males. Males and
    females at the high dose (10 mg/kg bw) excreted about 35% of the
    administered dose as conjugates of 
    4'-hydroxy-3-phenoxy-4-fluorobenzoic acid, whereas females excreted
    about 5% more than males as the free metabolite. After repeated oral
    doses of 0.5 mg/kg bw for 14 days, 12-16% of labelled metabolite was
    found in the faeces as cyfluthrin, whereas < 1% was found when single
    oral doses were administered. After a single high dose of 10 mg/kg bw,
    17-19% was recovered in the faeces as parent compound. The authors
    concluded that the metabolism of cyfluthrin is slightly dose-dependent
    (Ecker, 1983).

         The proposed metabolic pathway of cyfluthrin in rats is shown in
    Figure 2.

         Cattle

         A 484-kg lactating Holstein dairy cow  (Bos taurus) was given
    14C-cyfluthrin orally at a dose of 0.5 mg/kg bw after the evening
    milking each day for five consecutive days. Milk was collected in the
    morning and evening throughout the study. The cow was sacrificed on
    day 6 after initial administration, and blood, major organs, fatty
    tissue, and muscle were analysed for radiolabel. The maximum
    concentration of radioactivity in the milk was 0.079 mg/litre
    cyfluthrin equivalents three days after initial dosing; the level then
    declined steadily. Of the radiolabel found in milk, 98% was on
    unmetabolized parent compound. The highest levels of residues were
    found in the liver (0.622 mg/kg), fat (0.195 mg/kg), and kidney (0.188
    mg/kg); brain, skeletal muscle, and myocardium had the lowest levels,
    ranging from 0.015 to 0.040 mg/kg. Most of the radiolabel recovered in

    FIGURE 2

    tissues was on unmetabolized parent compound. Heart and kidney also
    contained a metabolite identified as 
    4-fluoro-3-phenoxybenzenemethanol, and liver also contained 
    4-fluoro-3-phenoxybenzaldehyde (Shaw  et al., 1983).

    2.2  Toxicological studies

    2.2.1  Acute toxicity

         Cyfluthrin induces signs of toxicity in the species that have
    been studied that are typical of cyano-containing type-II pyrethroid
    poisoning. After oral administration, the symptoms of toxicity include
    increased salivation, uncoordinated movements, increased activity and
    vocalization, and reduced, laboured breathing. These signs appeared
    within 10-60 min after dosing; the survivors usually recovered within
    7-10 days (Flucke & Thyssen, 1980). Apathy, straddle-legged gait
    (mostly in the rear legs), and reduced sensitivity to external stimuli
    were observed after the acute intoxication phase. Rabbits showed signs
    of apathy and suppression of appetite, while dogs vomited for up to 
    5 h after treatment with 50-100 mg/kg bw.

         Anti-inflammatory, analgesic, anti-epileptic and sedative agents
    and compounds that regulate neuromuscular transmission failed to
    provide adequate protection against the oral toxicity of cyfluthrin.
    Likewise, calcium, cyanide antidotes and blood pressure regulators had
    no antagonistic effects. Tetrazepam, the active ingredient of
    Musaril(R), a centrally acting muscle relaxant, increased the oral
    LD50 in rats by a factor of 1.6 and delayed the onset of mortality
    (Heimann, 1983a); however, the antagonistic effect was weak and did
    not provide complete protection. Atropine sulfate at 50 mg/kg bw
    combined with methocarbamol at 100 mg/kg bw had a moderate but
    incomplete protective effect against the oral toxicity of cyfluthrin.
    When one-half of the dose was administered to male rats 20 min, 3 h,
    and 24 h after treatment with cyfluthrin, the LD50 increased from
    2100 to 3100 mg/kg bw (Watanabe & Iyatomi, 1984).

         Sub-additive effects were seen when cyfluthrin was combined in
    equitoxic doses with methamidophos, propoxur, dichlorvos, or
    fenfluthrin (Heimann, 1983b; Flucke, 1984a,b,c). Krotlinger (1988)
    observed a slight super-additive effect after oral administration
    simultaneously with the organophosphorous compound omethoate.

         The studies on the acute toxicity of cyfluthrin are summarized in
    Table 2.



        Table 2. Acute toxicity of cyfluthrin to laboratory animals
                                                                                                                                 

    Species          Sex      Route              Purity         LD50 or LC50     Remarks                Reference
                                                  (%)           (mg/kg bw
                                                                or mg/m3)
                                                                                                                                 
    Mouse (NMRI)     M        Gavage             83.6           291              In PEG 400             Flucke & Thyssen (1980)
    Mouse (NMRI)     F        Gavage             83.6           609              In PEG 400             Flucke & Thyssen (1980)
    Rat (Wistar)     M        Gavage             83.6           1271             Fed, in PEG 400        Flucke & Thyssen (1980)
    Rat (Wistar)     F        Gavage             83.6           869              Fed, in PEG 400        Flucke & Thyssen (1980)
    Rat (Wistar)     M        Gavage             83.6           1189             Fasted, in PEG 400     Flucke & Thyssen (1980)
    Rat (Wistar)     F        Gavage             83.6           590              Fasted, in PEG 400     Flucke & Thyssen (1980)
    Rat              NR       Gavage             cis:trans      425              cis:trans isomer       Flucke & Thyssen (1981)
                                                                                 55:45 in PEG 400
    Rat              M        Gavage             NR             795              Fasted, in PEG 400     Heimann (1984)
    Rat              M        Gavage             NR             926              Fasted, in PEG 400     Heimann (1983a) warm)
    Rat              M        Gavage             NR             499              Fasted, in xylol       Heimann (1983c)
    Rat              M        Gavage             NR             505              Fasted, in             Heimann (1983c)
                                                                                 isododecan
    Rabbit (New      M        Gavage             83.6           > 1000           In PEG 400             Flucke & Thyssen (1980)
    Zealand)
    Dog (beagle)     M        Gavage             83.6           > 100a           In PEG 400             Flucke & Thyssen (1980)
    Hen (white       F        Gavage             84-94          5000             In PEG 400             Thyssen et al. (1981)
    Leghorn)
    Hen (white       F        Gavage             93.5           > 5000           In Cremophor           Sachsse & Zbinden (1985)
    Leghorn)                                                                     EL:dw
    Hen (white       F        Gavage             93.5           4500             In PEG 400             Sachsse & Zbinden (1985)
    Leghorn)
    Mouse            F        Oral               NR             < 100            Fasted, in             Heimann (1982)
                                                                                 Cremophor EL:dw
    Rat              M        Oral               NR             254              Fasted, in acetone:    Heimann (1982)
                                                                                 oil (1:10)
    Rat              M        Oral               NR             396              Fasted, in dimethyl    Heimann (1982)
                                                                                 sulfoxide
    Rat              M        Oral               NR             16.2             Fasted, in             Heimann (1982)
                                                                                 Cremophor EL:dw
    Rat              M        Oral               NR             500-1000         N-Dimethyl             Heimann (1982)
                                                                                 pyrroliodone
                                                                                                                                 

    Table 2. (continued)

                                                                                                                                 
    Species          Sex      Route              Purity         LD50 or LC50     Remarks                Reference
                                                  (%)           (mg/kg bw
                                                                or mg/m3)
                                                                                                                                 
    Rat              M        Oral               93             155              Fasted, in acetone:    Heimann (1987)
                                                                                 peanut oil
    Rat              F        Oral               93             160              Fasted, in acetone:    Heimann (1987)
                                                                                 peanut oil
    Dog (beagle)     M&F      Oral               95             > 100a           In Cremophor           Hoffmann (1981a)
                                                                                 EL:dw
    Sheep            M&F      Oral               NR             1000             50% premix with        Hoffmann (1981b)
                                                                                 Wessalon
    Rat              M        Intraperitoneal    83.6           66               In PEG 400             Flucke & Thyssen (1980)
    Rat              F        Intraperitoneal    83.6           104              In PEG 400             Flucke & Thyssen (1980)
    Rat              M        Intraperitoneal    NR             20               In Cremophor           Heimann (1982)
                                                                                 EL:dw
    Rat              F        Intraperitoneal    NR             24               In Cremophor           Heimann (1982)
                                                                                 EL:dw
    Rat              M        Intraperitoneal    NR             34               In PEG 400             Heimann (1982)
    Rats             F        Intraperitoneal    NR             94               In PEG 400             Heimann (1982)
    Mouse            M        Subcutaneous       83.6           > 2500           In PEG 400             Flucke & Thyssen (1980)
    Mouse            F        Subcutaneous       83.6           > 2500           In PEG 400             Flucke & Thyssen (1980)
    Rat              M        Dermal             83.6           > 5000           NR                     Flucke & Thyssen (1980)
    Rat              F        Dermal             83.6           > 5000           NR                     Flucke & Thyssen (1980)
    Rat              M&F      Inhalation         83.6           > 1089           In 1:1 ethanol:        Flucke & Thyssen (1980)
                              (1-h)                                              PEG 400
    Rat              M&F      Inhalation         83.6           469-592          In 1:1 ethanol:        Flucke & Thyssen (1980)
                              (4-h)                                              PEG 400
    Rat              M&F      Inhalation         cis:trans      180-326          cis:trans isomer in    Flucke & Thyssen (1981)
                              (4-h)                                              55:45 PEG 400
    Rat              M&F      Inhalation         93             405              PEG 400:ethanol        Pauluhn (1987)
                              (4-h)                                              1:1
                                                                                                                                 

    M, male; F, female; NR, not reported; dw, deionized water; PEG, polyethylene glycol 
    a Vomiting occurred at 50-100 mg/kg, no higher dose used
    
    2.2.2  Short-term toxicity

         Mice

         Groups of 18 mice of each sex received diets containing 0, 300,
    1000, or 3000 mg/kg cyfluthrin in the feed. After one month, 12 rats
    of each sex in each group were sacrificed; the remainder were
    sacrificed after four weeks of recovery on control diet. Mice at the
    highest dose developed ataxia, salivation, and/or emaciation. One
    female mouse at 3000 mg/kg feed died. Body-weight gain was depressed
    in males at 3000 and in females at 1000 mg/kg feed. Decreased growth
    rates were not seen during the recovery period, as all mice recovered
    to normal control values. In males at 3000 mg/kg feed, alkaline
    phosphatase and blood urea nitrogen levels were slightly increased,
    while those of glutamate pyruvate transaminase and cholesterol were
    normal throughout. Necropsy after treatment revealed dark-red livers
    in some mice at 3000 mg/kg feed; this effect was not observed after
    the recovery period. The relative weights of the submaxillary glands
    and kidneys were increased in animals at the highest dose, and males
    at this dose also had significantly increased relative liver weights.
    The weights of both the liver and the submaxillary gland returned to
    normal after the four-week recovery period, while those of the kidney
    remained elevated. Histopathological examination revealed minimally
    increased chromatin in the nuclei of hepatocytes of males receiving
    1000 mg/kg feed or more (Watanabe  et al., 1982a) and in females at
    the high dose. Mice receiving 1000 mg/kg feed or more had cytoplasmic
    swelling of the glandular epithelium of the submaxillary glands. These
    findings all disappeared after the four-week recovery period. The NOEL
    was 300 mg/kg feed, equivalent to 45 mg/kg bw per day (Watanabe 
     et al., 1982b).

         Rats

         Groups of 20 SPF Wistar albino rats of each sex received doses of
    0, 5, 20, or 80 mg/kg bw per day cyfluthrin (purity, 85%) dissolved in
    PEG 400 by gavage once daily for four weeks followed by a six-week
    observation period. The high dose was lowered to 40 mg/kg bw per day
    in weeks 2 and 4 because of severe intoxication. Physical appearance
    and behaviour were assessed daily throughout the study, and body
    weights were measured at the start of each week. Blood measurements
    and urinalysis were performed on five male and five female rats from
    each group at the end of the four-week treatment period and at the end
    of the six-week observation period. 

         The control group and rats given doses of 5 or 20 mg/kg bw per
    day behaved normally, but rats at the highest dose developed symptoms
    of apathy, ruffled coat, dyspnoea, salivation, hyperkinesis, ataxia,
    and uncoordinated movements. The symptoms were more pronounced during
    weeks 1 and 3 of treatment at the highest dose. Deaths occurred only
    in rats at the high dose, 6/20 males dying between treatment days 3
    and 21 and one female on day 26; no deaths were noted during the
    recovery period. The body-weight gain of male rats at the high dose
    was reduced by 10% during week 4 of treatment, but the weights

    returned to normal during the recovery period. The body weights and
    body-weight gain of females were not affected by treatment.
    Haematological parameters were all within the normal ranges, and no
    toxicologically relevant, group-specific or dose-related differences
    from controls were seen in serum enzyme activities or electrolyte
    concentrations. The plasma activity of glutamate pyruvate transaminase
    was slightly higher in rats receiving the highest dose than in
    controls. Urinalysis and gross and histopathological examination
    revealed no treatment-related variations from normal. Likewise, no
    differences in blood chemical parameters were seen at the end of the
    observation period. The absolute and relative weights of the adrenal
    glands were increased in female rats at the end of treatment with the
    highest dose, while only the relative weight of the liver was higher
    in males at the high dose in comparison with the control animals. The
    increase in relative adrenal weights was not accompanied by
    histopathological changes. No deaths occurred during the recovery
    period. No gross pathological changes related to administration of
    cyfluthrin were seen after treatment or recovery, and there were no
    signs of delayed neurotoxicity at the end of the recovery period. The
    NOEL was 20 mg/kg bw per day (Flucke & Schilde, 1980).

         Groups of 18 rats (strain unspecified) of each sex received diets
    containing 0, 100, 300, or 1000 mg/kg cyfluthrin for one month, when
    12 rats of each sex per group were sacrificed; the remainder were
    killed after one month of recovery on control diet. Rats at the
    highest dose developed straddled gait, salivation, and/or nervousness
    during treatment, but these symptoms disappeared rapidly during the
    recovery period. The body-weight gain, food intake, and water
    consumption of animals of each sex at 1000 mg/kg feed were depressed
    but returned to normal during the recovery period. Urinalysis
    indicated a higher incidence of urobilinogen and ketone bodies in rats
    at 1000 mg/kg feed, but, again, these signs returned to normal after
    the end of treatment. The haematological effects seen after treatment
    with 1000 mg/kg feed included a decrease in erythrocyte count,
    haematocrit, and haemoglobin content, which also returned to normal
    after the four-week recovery period. No significant effects were seen
    on liver microsomal enzyme activity. Total protein and blood glucose
    levels were significantly decreased in male rats given 300 mg/kg feed.
    No effects were seen on macroscopic examination. Histopathologically,
    minimal degeneration of single fibres of the sciatic nerve was noted
    occasionally after the treatment period. Cytoplasmic swelling,
    increasing the size of the glandular epithelium of the submaxillary
    glands was observed at the high dose, but these alterations
    disappeared after the recovery period. On the basis of the depressed
    blood glucose levels in male rats at 300 mg/kg feed, the NOEL was 100
    mg/kg feed, equivalent to 5 mg/kg bw (Watanabe  et al., 1982a).

         Groups of 30 male and 30 female Wistar rats received diets
    containing 0, 30, 100, or 300 mg/kg cyfluthrin (purity, 84.2%) diluted
    in an oil vehicle (Wessalon S; equivalent to a 50% premix) for three
    months. They were observed daily for alterations in appearance and
    behaviour, while body weights and food consumption were recorded
    weekly. Five male and five female rats from each group were killed

    after one and four weeks for interim examinations, including
    microsomal enzyme induction assays ( N- and  O-demethylase and
    cytochrome P450 content). All rats that survived the treatment were
    sacrificed at the end of treatment and examined.

         Appearance and behaviour were not modified during treatment, even
    at the highest dose. No effects were found on body weight, food
    consumption, haematological, clinical chemical or urinary parameters,
    or mortality rates. Blood sugar and cholesterol levels were within the
    normal range throughout treatment. At week 1, a dose-independent
    increase in  N-demethylase activity was seen in all treated males and
    in  O-demethylase activity in females at 100 and 300 mg/kg feed; the
    activity of enzymes of the cytochrome P450 system was significantly
    increased only in males at 300 mg/kg feed at this time. By three
    months, no differences were seen in the activities of the microsomal
    enzymes in any treated group. No treatment-related effects were seen
    on gross or histopathological examination. No toxic effects were seen
    at any dose (Loser & Schilde, 1980).

         Groups of 28 male and 28 female Sprague-Dawley rats received
    diets containing 0, 100, 300, or 1000 mg/kg cyfluthrin (purity, 95%)
    incorporated into the powdered diet on a 0.4% maximum clay carrier,
    daily for three months. Body weights were recorded weekly and food
    consumption and efficiency were determined. After treatment, 20 rats
    at each dose were autopsied immediately, and the remaining eight rats
    in each group were allowed to recover on a control diet for a 
    one-month observation period before autopsy. Clinical chemical and
    urinary parameters were investigated before each sacrifice.

         Only the rats at the highest dose showed signs of intoxication.
    Both males and females of this dose showed abnormal gait and excess
    salivation, increasing in incidence until the second week of feeding,
    after which a gradual decrease was noted, although recovery from this
    effect was somewhat delayed in males. By the third month of treatment,
    no such symptoms were seen in any group. Mortality was not affected by
    treatment. The food consumption and body-weight gains of females and
    males at the highest dose were significantly lower than those of the
    control group. The body-weight gain depression in females appeared to
    recover after cessation of treatment, while that of the males remained
    significantly low. Overall feed efficiency did not vary between
    groups. The results of urinalysis and haematological examination were
    within the normal physiological range and revealed no 
    treatment-related effects. Biochemical analysis showed that rats at
    300 or 1000 mg/kg feed had significantly increased blood urea nitrogen
    levels, and males at 1000 mg/kg feed had significantly increased
    aspartate aminotransaminase activity. The blood glucose levels were
    depressed in males at 300 or 1000 mg/kg feed and in females at 1000
    mg/kg feed. All biochemical parameters were within normal limits after
    the recovery period. The absolute weights of the liver, heart, and
    lung were decreased in male rats at the high dose, and females at this
    dose had depressed liver, kidney, adrenal, and ovarian weights. In
    both males and females at the high dose, the relative weight of the
    submaxillary gland was increased. No other treatment-related gross

    pathological effect was observed. Degeneration of single fibres of the
    sciatic nerve was noted in 5/20 males and 3/20 females at the high
    dose after the three-month treatment period, and in 1/8 males at the
    high dose after the one-month recovery. The authors concluded that the
    damage was mild and minimal, corresponding to partial loss of the
    myelin sheaths of single nerve fibres. The NOEL was 100 mg/kg feed,
    equal to 6.2 mg/kg bw per day (Oikawa & Iyatomi, 1983).

         Rabbits

         In a three-week study of dermal toxicity, groups of three New
    Zealand white rabbits of each sex were given dermal applications of 0,
    50, or 250 mg/kg bw cyfluthrin (purity, 85%) dissolved in PEG 400 on
    the intact or abraded skin. The treatments were applied five times a
    week for a contact time of 6 h/day for three weeks, and then the
    rabbits were killed and examined. Tissues were collected for
    microscopic examination from controls and rabbits at the high dose;
    the testes were collected from animals at 50 mg/kg bw per day. No
    effects were observed on appearance, behaviour, or haematological,
    clinical chemical, or urinary parameters. All rabbits survived the
    treatment period. No toxicologically significant effect on body-weight
    gain was observed. Gross and histopathological examination showed no
    alterations due to treatment with cyfluthrin. The NOEL was 250 mg/kg
    bw per day (Flucke & Vogel, 1980).

         Dogs

         Groups of six male and six female beagle dogs were fed cyfluthrin
    (purity, 84.8%) in the diet at concentrations of 0, 65, 200, or 600
    mg/kg for six months. No deaths occurred, and the physical appearance
    of the dogs remained normal. Tests of reflexes and measurement of body
    temperature showed no significant alterations. Five males and six
    females receiving the high dose showed signs of uncoordinated, stiff
    gait of the hind limbs, persisting for several hours, on several
    occasions after week 21. Vomiting after dosing occurred slightly more
    often in animals at the high dose than in controls. Diarrhoea occurred
    in all groups including controls, but much more frequently in dogs at
    the high dose, from the time of initiation of treatment. No effects
    were found on food intake or water consumption in the controls or in
    dogs at 65 or 200 mg/kg feed, but males at the high dose had slightly
    lower food consumption during the first week of treatment. No group
    differences in food consumption were observed by the sixth week. Lower
    mean body weights were seen in males and females at 200 or 600 mg/kg
    feed from week 2 to the end of treatment. Males at 200 and females at
    600 mg/kg feed had lower average weight gains between weeks 1 and 26
    of treatment, whereas the average body weights of males at the high
    dose were similar to those of controls at the end of the feeding
    period. No effects were found on ophthalmoscopic, haematological,
    clinical chemical, or urinary parameters or on organ weights; no
    treatment-related changes were seen grossly or histologically. The
    NOEL was 65 mg/kg feed, equal to 2 mg/kg bw per day (Hoffmann &
    Kaliner, 1981).

    2.2.3  Long-term toxicity and carcinogenicity

         Mice

         Groups of 50 male and 50 female mice SPF strain CF1/W74 mice
    received a diet containing 0, 50, 200, or 800 mg/kg cyfluthrin in the
    form of a 50% premix with Wessalon S for 23 months. Clinical
    examinations were carried out on 10 mice of each sex at each dose 6,
    12, 18, and 23 months after the initial administration. After
    treatment, five mice of each sex from each group were selected
    randomly for analysis of fluoride accumulation in bone and teeth. The
    remaining mice were killed and examined grossly, and tissues were
    taken for histopathological examination. Neither appearance nor
    behaviour was altered in any group. No effects were observed on
    mortality, haematological parameters, fluoridation of bones or teeth,
    food intake, or water consumption. The body-weight gain of treated
    animals was not affected at doses up to and including 200 mg/kg feed,
    but mean body-weight gain was significantly reduced in females at the
    high dose and males at this dose had a slightly lower body-weight gain
    than controls. Plasma alkaline phosphatase activity was increased in
    all treated males at the six-month examination; however, at the end of
    the study several controls also showed elevated alkaline phosphatase
    activity. Alanine aminotransaminase activity was slightly increased in
    males at the high dose after 12 and 18 months of treatment. All other
    clinical chemical values were within normal ranges. No 
    treatment-related alterations were seen at autopsy, and the relative
    and absolute organ weights were not affected by treatment. Urinalysis
    and microscopic examination revealed no evidence of treatment-related
    damage at any dose. The incidence and histological type of 
    non-neoplastic and neoplastic alterations were all within normal
    ranges. The NOEL was 200 mg/kg feed, equivalent to 30 mg/kg bw per day
    (Suberg & Loser, 1983a).

         Rats

         Groups of 65 male and 65 female SPF BOR:WISW strain rats received
    a diet containing 50, 150, or 450 mg/kg cyfluthrin premixed with
    Wessalon S for two years. The control group consisted of 65 rats of
    each sex fed untreated diet. Both the control and the test diets were
    given ad libitum. All rats were observed twice a day for alterations
    in appearance, behaviour, and activity. Body weights were determined
    weekly up to week 4, then every other week to conclusion of treatment.
    After seven days of treatment, five rats of each sex at each dose were
    killed in order to measure mixed-function enzyme induction and
    cytochrome P450 content. Clinical tests were conducted on 10 rats of
    each sex per dose 6, 12, 18, and 24 months after the start of
    treatment. After one and two years, five rats of each sex per dose
    were killed in order to determine the fluoride content of their bones
    and teeth. Rats that died during treatment and five rats of each sex
    per dose killed at one year were examined grossly. All remaining rats
    were autopsied and examined grossly and histologically at the end of
    treatment.

         No treatment-related effects were seen on appearance, behaviour,
    activity, or food consumption. There were no treatment-related effects
    on body-weight gain at the low dose, but rats at 150 mg/kg feed
    appeared initially to have slightly decreased body-weight gain. The
    high dose consistently induced significantly decreased body-weight
    gain throughout the experiment. No treatment-related effects were seen
    on mortality, and no effects were seen on haematological or urinary
    parameters, gross appearance, organ weights, or histopathological
    manifestations.  N-Demethylase activity was increased by 30% in males
    and 20% in females after seven days at the high dose, but there were
    no effects on  O-demethylase activity or P450 enzyme induction.
    Induction of the microsomal enzyme  N-demethylase in rats at the high
    dose is considered not to be of toxicological relevance as no specific
    morphological alteration or damage to the liver was seen at
    histopathological examination. No significant differences in fluoride
    accumulation in bones and teeth were noted at interim sacrifice.
    Significant, dose-related differences were found after two years of
    treatment, but the biological relevance of this finding was questioned
    by the authors, as minimal changes in fluoride accumulation were seen
    and the assay method involved large experimental error. The results of
    the final necropsy showed isolated but significant differences in
    organ weights, which were attributable to dissimilar body weights and
    were not dose-related; they were considered to be of little
    toxicological significance. The absolute kidney and liver weights were
    decreased in rats at the high dose; however, there was no 
    dose-dependent effect on the relative weights. The incidence of
    tumours was not altered by treatment at any dose, and no other
    treatment-related alterations were observed histologically. The NOEL
    was 50 mg/kg feed, equal to 2 mg/kg bw per day (Suberg & Loser,
    1983b).

         Dogs

         Groups of six beagle dogs of each sex, 22-30 weeks old, were fed
    a diet containing 0, 40, 160, or 640 mg/kg cyfluthrin for one year. No
    effects on appearance or behaviour were seen in dogs at 40 or 160
    mg/kg feed. Two dogs at the highest dose had slight disturbances in
    movement, clumsy gait primarily in the hindquarters, and a reluctance
    to move. This observation was made only once during weeks 36-37 of the
    study. Reflex tests indicated no deviations in any treated animals.
    Body temperature, mortality, and feed and water consumption were not
    affected by treatment. The body-weight gain of males at the high dose
    was slightly lower than that in the other groups; females at this dose
    had somewhat higher weight gains than those at other doses. Males at
    the high dose had a higher incidence of vomiting, and soft, pasty
    faeces were observed more frequently than in controls and in the other
    groups. Ophthalmoloscopy, haematology, clinical chemistry, and
    urinalysis revealed no treatment-related alterations. At termination
    of treatment, all of the dogs were killed and necropsied, and the
    tissues of males at the high dose and of controls were evaluated
    histologically. No significant treatment-related effects were found at
    autopsy. Treatment had no effect on absolute or relative organ
    weights, except that the mean spleen weight of females at the high

    dose was absolutely and relatively higher than that of female
    controls; however, the histopathological appearance was normal in all
    treated animals. Microscopic examination of the sciatic nerve showed
    no pathological alterations. The NOEL was 160 mg/kg feed, equal to 5.1
    mg/kg bw per day (Hoffmann & Schilde, 1983).

    2.2.4  Genotoxicity

         Cyfluthrin had no mutagenic potential  in vivo or  in vitro. 
    The results of assays for genotoxicity with cyfluthrin are summarized
    in Table 3.

    2.2.5  Reproductive toxicity

    2.2.5.1  Multigeneration reproductive toxicity 

         Rats

         Groups of 10 male and 20 female SPF-Cpb rats, five to six weeks
    old, received diets containing 0, 50, 150, or 450 mg/kg cyfluthrin as
    a 50% premix with Wessalon S in the feed, given ad libitum 105 days
    before and throughout mating, gestation, and rearing of pups. The
    parameters measured included behaviour, growth, food consumption,
    mortality, fertility, viability during gestation and lactation,
    development of the young, parental body-weight gain, and male:female
    ratio. The study was conducted for three generations, with two litters
    per generation. F0 parents produced F1a and F1b litters; F1b
    parents produced F2a and F2b litters; and F2b parents produced
    F3a and F3b litters. The parameters assessed included fertility,
    litter size, fetal birth weight, fetal variability, and parental
    weight gain. Gross and histopathological examinations were also
    performed on F2b parental animals and F3b pups.

         Treatment did not affect appearance, behaviour, or survival,
    although one F2a pup receiving 150 mg/kg feed and another receiving
    450 mg/kg feed had convulsions. Treatment did not consistently affect
    birth weight or litter size at birth. A decrease in pup survival from
    birth through five days of lactation was seen in animals from the
    F3a and F3b matings at 150 or 450 mg/kg feed, and decreased
    survival of pups on days 5-28 of lactation was noted among pups at the
    high dose in all matings. Similarly, body weight was consistently
    suppressed in F3a and F3b generation rats at 150 and 450 mg/kg
    feed during the 28-day lactation period. Necropsy revealed decreased
    absolute liver and kidney weights in rats at 150 and 450 mg/kg feed;
    this was probably related to the decreased body-weight gain in these
    animals. No effect was observed on relative organ weights. The NOEL
    was 50 mg/kg feed, equal to 3 mg/kg bw per day (Loser & Eiben, 1983).


        Table 3. Results of assays for genotoxicity with cyfluthrin

                                                                                                                                              

    End-point           Test object                            Concentration          Purity (%)   Results     S9     QA     Reference
                                                                                                                                              

    In vitro
    Reverse mutation    Salmonella typhimurium TA100, TA98,    20-24 000 µg/plate     83.6         Negative    +      No     Herbold (1980a)
                        TA1535, TA1537                                                             Negative    -
    Reverse mutation    Salmonella typhimurium TA100, TA98,    5-5000 µg/plate        95.0         Negative    +      No     Nagane et al. 
                        TA1535, TA1537, TA1538                                                     Negative    -             (1982)
    Reverse mutation    Salmonella typhimurium TA100, TA98,    10-25 000 µg/plate     95.0         Negative    +      No     Ohta & Moriya 
                        TA1535, TA1537, TA1538                                                     Negative    -             (1982)
    Reverse mutation    Escherichia coli B/r WP2 try- hcr-     5-5000 µg/plate        95.0         Negative    +      No     Nagane et al. 
                                                                                                   Negative    -             (1982) 
    Reverse mutation    Escherichia coli WP2 hcr               10-25 000 µg/plate     95.0         Negative    +      No     Ohta & Moriya 
                                                                                                   Negative    -             (1982)
    Reverse mutation    Saccharomyces cerevisiae S138,         312.5-10 000 µg/ml     95.0         Negative    +      No     Brusick (1982a,b)
                        S211a)                                                                     Negative    -
    Reverse mutation    Saccharomyces cerevisiae D7            625-10 000 µg/ml       95.0         Negative    +      No     Brusick (1982c)
                                                                                                   Negative    -
    Gene mutation       Chinese hamster ovary K1-BH4 cells,    3-10 µl/ml             94.7         Negative    +      Yes    Yang & Louie 
                        hprt locus                                                                 Negative    -             (1985)
    Chromosomal         Chinese hamster lung cells             3.3 × 10-5-3.3 × 10-3  93.7         Negative    +      Yes    Sasaki et al. aber
    ration                                                     mol/litre                           Negative    -             (1986)
    Chromosomal         Human lymphocytes                      500-5000 µg/ml         95.1-95.5    Negative    +      No     Herbold (1988)
    aberration                                                                                     Negative    -
    Sister chromatid    Chinese hamster ovary cells            3-20 µg/ml             Technical    Negative    +      Yes    Putman (1985)
    exchange                                                                                       Negative    -
    DNA damage          Escherichia coli pol A+ and pol A1-    62.5-1000 µg/plate     95.0         Negative    +      No     Herbold (1981a)
                                                                                                   Negative    -
    DNA damage          Bacillus subtilis H17, M45 rec-        200 µg/disc            95.0         Negative    +      No     Nagane et al.(1982)
    DNA damage          Bacillus subtillus H17, M45 rec-       100-10 000 µg/disc     95.0         Negative    +      No     Ohta & Moriya
                                                                                                                             (1982)
    Unscheduled DNA     Male Sprague-Dawley rat primary        17-5000 µg/ml          94.7         Negative           Yes    Curren (1985)
       synthesis        hepatocytes
                                                                                                                                              

    Table 3. (continued)

                                                                                                                                              

    End-point           Test object                            Concentration          Purity (%)   Results     S9     QA     Reference
                                                                                                                                              

    Mitotic gene        Saccharomyces cerevisiae D7            625-10 000 µg/ml       95.0         Negative    +      No     Brusick (1982c)
      conversion                                                                                   Negative    -
    Mitotic crossing    Saccharomyces cerevisiae D7            625-10 000 µg/ml       95.0         Negative    +      No     Brusick (1982c)
      over                                                                                         Negative    -

    In vivo
    Micronucleus        Male and female NMRI mice,             2 × 7.5,  2 × 15       83.6         Negative           No     Herbold (1980b)
       formation        bone-marrow erythroblasts              mg/kg bw orally
    Dominant lethal     Male NMRI/ORIG Kisslegg mice           30, 60 mg/kg bw        83.6         Negative           No     Herbold (1981b)
       mutation                                                orally
                                                                                                                                              

    a S9, 9000 × g fraction of rat liver
    
    2.2.5.2  Developmental toxicity

         Rats

         Groups of 25 outbred pregnant female Wistar KFM-HAN (SPF) rats
    received 0, 1, 3, or 10 mg/kg bw per day cyfluthrin (purity, 93.4%) in
    a 1% Cremophor EL solution in drinking-water by gavage on days 6-15 of
    gestation. Clinical signs, body weights, and food consumption were
    recorded. On day 21 of gestation, females were killed, caesarean
    sections performed, and the pups were necropsied. Although the
    standard was not specified, the study conduct underwent periodic
    inspections by the quality assurance unit of the laboratory.

         No effects on mortality were observed. Partial hair loss occurred
    in one female at 3 mg/kg bw per day. Body-weight gain was not affected
    by the low or middle doses. Rats receiving the high dose had 7.7%
    lower corrected mean body-weight gain. Mean food consumption was 14%
    lower in rats at the high dose on days 6-11 after mating. Mating,
    fertility, and gestation parameters were normal, and no dose-related
    difference was seen on examination and necropsy of dams. One dam at
    the high dose totally resorbed its litter. Litter size, fetal body
    weight, and sex ratio were not affected by treatment. The incidences
    of visceral and skeletal anomalies were not increased by treatment in
    a dose-dependent manner. No teratogenic effects were seen. As a
    maternal maximum tolerated dose was not achieved in this study, the
    authors did not report a NOEL (Becker, 1983).

         Groups of 25 Bay:FB30 rats received cyfluthrin dissolved in PEG
    400 at doses of 0, 3, 10, or 30 mg/kg bw per day by gavage during days
    6-15 of gestation. They were mated in a 2:1 ratio with males. The
    pregnant females were killed on day 20 of gestation for examination of
    their uterine contents. Six rats at 10 or 30 mg/kg bw per day were
    reported to have occasional 'high-stepping gait'; at the highest dose,
    they showed signs of ataxia and decreased motility. No effects on
    maternal weight gain were seen that were attributable to treatment.
    Litter size, frequency of resorptions, and placental weights were not
    affected by treatment, even at the highest dose. Likewise, no
    treatment-related increase in the incidence of stunted growth or bone
    anomalies was observed in the fetuses. The author concluded that
    cyfluthrin had no specific teratogenic or embryotoxic effect. As 6/25
    rats at 10 mg/kg bw per day showed signs of toxicity, the NOEL for
    maternal toxicity was 3 mg/kg bw per day; the NOEL for fetal toxicity
    was 30 mg/kg bw per day (Schluter, 1982).

         Rabbits

         In the first part of a two-part study, groups of 15 Himalayan
    rabbits received cyfluthrin at 0, 3, 10, or 30 mg/kg bw per day in
    Cremophor EL as a solution in drinking-water by gavage on days 6-18 of
    gestation. The dams were killed on day 29 of gestation. Maternal
    appearance and behaviour were not affected. Lower mean fetal and
    placental weights were observed, and a higher incidence of

    arthrogryposis (persistent flexure or contracture of a joint) was
    observed in the nine fetuses of rabbits receiving 10 or 30 mg/kg bw
    per day.

         Because an embryotoxic effect was observed, a second study was
    conducted. Groups of 15 pregnant Himalayan rabbits received cyfluthrin
    at 0, 10, or 30 mg/kg bw per day in Cremophor EL as a solution in
    drinking-water by gavage during days 6-18 of gestation. The dams were
    killed on day 29 of gestation, and the fetuses removed for
    examination. Doses up to and including 30 mg/kg bw per day had no
    effect on behaviour or appearance. One dam at the high dose died of an
    unknown cause on day 26 of gestation. Mean weight gain was affected by
    treatment, and the average weight gain of the animals at 30 mg/kg bw
    per day was statistically significantly lower than that of controls.
    Treatment had no effect on the fertilization rate or gestation or on
    embryonic development, including implantation rate, litter size, and
    rate of resorptions. The incidence of skeletal anomalies was not
    increased at any dose. One case of arthrogryposis occurred in the
    control group. There was no indication of embryotoxicity or
    teratogenicity. The NOEL for maternal toxicity was 30 mg/kg bw per day
    and that for embryotoxicity was 30 mg/kg bw (Schluter, 1981).

         Groups of 15 pregnant female Himalayan CHBB:HM rabbits received
    cyfluthrin at 0, 5, 15, or 45 mg/kg bw per day by gavage in 0.5%
    aqueous Cremophor EL emulsion during days 6-18 of gestation. Dams were
    observed for clinical signs and body weight. On day 29 of gestation,
    the dams were killed and their fetuses removed by caesarean section
    and examined for anomalies. No effects were observed on mortality,
    behaviour, appearance, insemination rate, or maternal weight gain. Two
    rabbits at the high dose aborted on gestation days 25 and 28, and one
    completely resorbed its implants. The authors concluded that the
    effects seen at the high dose were treatment-related. Litter size,
    placental weights, and fetal body weights were not affected by
    treatment. The rate of resorptions appeared to be dose-related.
    Although arthrogryposis was seen in rabbits at the high dose, the
    event was considered to be spontaneous. The NOEL for maternal toxicity
    was 15 mg/kg bw per day and that for embryotoxicity was 45 mg/kg bw
    per day (Roetz, 1983).

         In a more recent study, cyfluthrin was tested for its embryonic
    and teratogenic potential in pregnant chinchilla rabbits (Chb:CH
    hybrids, SPF). Groups of 16 pregnant rabbits received 0, 20, 60, or
    180 mg/kg bw per day by gavage during days 6-18 of gestation. They
    were killed 28 days after mating, and the fetuses were removed by
    caesarean section. The study was conducted in accordance with the
    specifications of the US FIFRA GLP (40 CFR Part 160), OECD test
    guideline 414, and US EPA test guideline Vol. 43 Series 163.83-3
    Subdivision F, Hazard Evaluation.

         Clinical observations, appearance, and behaviour were not
    affected by treatment. No deaths occurred. Food consumption and 
    body-weight gain were reduced in a dose-dependent manner in animals at
    60 and 180 mg/kg bw per day but were significantly increased 24-28
    days after mating. A dose-related, statistically significant increase
    in post-implantation losses, due to increased embryonic resorptions,
    was observed in rabbits given the two higher doses. Necropsy revealed
    no significant alteration due to treatment. The sex ratio and fetal
    body weights were unaffected by treatment, and no significant
    alterations were found in fetal heads or brains. Skeletal alterations
    were seen, including ossification of vertebrae, sternebrae, and ribs,
    but these findings were considered to be within the normal spontaneous
    range. There was no indication of a teratogenic effect. On the basis
    of the increased post-implantation losses, the NOEL for maternal and
    embryonic toxicity was 20 mg/kg bw per day (Becker & Biedermann,
    1992).

    2.2.6  Special studies on neurotoxicity

         Rats

         Fifty male Sprague-Dawley received technical-grade cyfluthrin
    (purity, 95%) as a 1.6% solution in PEG 400 by gavage at a dose of 80
    mg/kg bw per day on five consecutive days. The dose was reduced to 40
    mg/kg bw per day on days 6-14 owing to the onset of mild to severe
    symptoms of toxicity. Twenty-five male rats received PEG 400 alone.
    All rats were observed for appearance and behaviour throughout
    treatment and a recovery period of three months. Ten treated and five
    control rats were killed, and their tissues examined histologically on
    the days 1 and 5 of treatment and one, two, and three months after
    treatment; tissues from two treated and one control males were also
    examined at each time point by electron microscopy. The treated rats
    showed symptoms of intoxication throughout the dosing period,
    including abnormal, straddled gait, slow leg movements, and excess
    salivation, but no symptoms were observed five days after treatment.
    The body-weight gain of the treated rats was depressed in comparison
    with controls throughout treatment but recovered during the
    observation period. Histological examination revealed a minimal degree
    of axonal degeneration (swelling and demyelination) in single fibres
    of the sciatic nerve in 6/8 rats at the first examination, in 3/8 five
    days to one month after treatment, and in 2/9 two months after
    treatment. A similar lesion was reported in the femoral nerve of one
    treated male examined on the fifth day after treatment but was no
    longer seen three months later No alterations were reported in any
    other nervous or muscular tissue examined. Electron microscopy
    revealed dilatation of neurotubules, accompanied by proliferation of
    neurofilaments and degeneration of mitochondria, which was maximal one
    month after treatment but was not seen after three months. A NOEL was
    not identified (Oikawa  et al., 1983).

         Groups of 15 male and 15 female Wistar TNO/W74 albino rats
    received cyfluthrin (purity, 83.3%) emulsified in PEG 400 by gavage
    daily on seven days a week for 35 weeks. The doses administered ranged
    from 30 to 80 mg/kg bw per day and were varied intermittently, so that
    the rats had signs of acute toxicity after each administration.
    Clinical observations were recorded daily, while body weights were
    recorded weekly. Clinical chemistry was evaluated at the end of the
    study, and liver, kidney, adrenal gland, brain, spinal cord, and
    sciatic nerve tissues from five treated and five control rats of each
    sex were examined microscopically.

         The treated group displayed characteristic signs of acute
    toxicity throughout the study, including apathy, ruffled coat, and
    respiratory disturbances. Increased salivation, tremor, and
    uncoordinated gait were observed in some rats immediately after
    dosing. No paralysis of the extremities was observed. Treated males
    had a 20-25% reduction in body-weight gain, while no effect was seen
    on female body-weight gain. Treatment had no effect on clinical
    chemical parameters or induction of cytochrome P450 or  N- or 
     O-demethylase activity. The mortality rate was significantly higher
    among treated than control males. Gross pathological and microscopic
    examination showed no treatment-related pathological alterations in
    any organ examined. The weights of the liver and kidney were lower in
    treated males, due mostly to their reduced body weight. Although the
    authors reported no histological damage to the nervous tissue, rats
    that died during the treatment period were not examined, limiting the
    usefulness of this study. A NOEL was not identified (Thyssen & Vogel,
    1982).

         Groups of five male and five female Wistar (SPF-Cpb) rats
    received cyfluthrin at 0 or 60 mg/kg bw per day for two weeks by
    gavage, and a supplementary group of male rats received doses of 0 or
    50 mg/kg bw per day. Modified preparation techniques, i.e. perfusion
    of animals with formalin and fixation of the spinal column with cord
    in toto, were used to determine the neurotoxic effect of cyfluthrin.
    Symptoms of acute toxicity were observed in all treated animals,
    including tremor, altered gait, and increased vocalization. Four males
    at 60 mg/kg bw per day died between treatment days 5 and 8, but gross
    pathologicam examination revealed no specific alterations. The 
    body-weight gain of females was not affected by treatment, but
    decreases were seen for males at 50 or 60 mg/kg bw per day. Small,
    fresh brain haemorrhages were seen in all four males that died on
    test. The authors concluded that the 'most likely explanation is that
    these are the result of a terminal cardiovascular disorder with
    necrosis of the vascular walls'. Since this finding was not seen in
    control animals, a treatment-related effect could not be ruled out. A
    NOEL was not identified (Heimann & Kaliner, 1983).

         In a supplementary study, neuromuscular dysfunction was assessed
    in the tilting plane test. Groups of 10 male rats received cyfluthrin
    dissolved in Cremophor EL as a single oral administration by stomach
    tube, at doses of 0, 0.1, 0.3, or 1.0 mg/kg bw in the first experiment
    and 0, 0.01, 0.03, or 0.1 in the second. Diazepam was given at a

    single oral dose of 5 mg/kg bw as a positive control. The angle at
    which the animal started to slide from a tilting plane was evaluated
    for each rat 30 min and 2, 5 and 7 h after administration.

         At a dose of 0.01 mg/kg bw, cyfluthrin had no effect at any time
    interval. At 0.03 mg/kg bw, the slip angle was marginally
    significantly ( p < 0.05) reduced, only at 7 h. At 0.1 mg/kg bw
    cyfluthrin, the angle was reduced at 5 h but was normal at other times
    (Polacek, 1984). In view of the lack of a standardized protocol for
    this study, the use of Cremophor EL as a vehicle (which can
    substantially enhance the acute toxicity of cyfluthrin), and the
    absence of a dose- or time-dependent reduction in slip angle, the
    Committee considered this study inappropriate for assessing
    neurotoxicity.

         Hens

         In a study of delayed neurotoxicity, 10 adult laying hens were
    given single doses of cyfluthrin in carbowax at 5000 mg/kg bw by
    gavage, and a group of 20 hens received the same dose twice at an
    interval of one week. Hens given the single dose were observed for
    mortality and symptoms of toxicity and were killed 56 days after
    treatment; those given two doses were killed 49 days after treatment.
    No treatment-related effects on body-weight gain, mortality, or gross
    pathological appearance were observed. No symptoms characteristic of
    delayed neurotoxicity were observed in hens given the single dose; one
    hen given two doses had abnormal appearance and behaviour but
    recovered the next day, while another developed ataxia complicated by
    decreased activity and was killed in extremis on day 32. As
    histopathological examination revealed no lesions in the brain, spinal
    cord, or sciatic nerve tissue, characteristic delayed neurotoxicity
    was not indicated in this study (Hixon, 1981).

         Groups of white Leghorn hens were treated with cyfluthrin
    (purity, 85-94%) in PEG 400 by gavage as either a single dose of 1000,
    2500, or 5000 mg/kg bw, two doses of 5000 mg/kg bw at a three-week
    interval, or daily administration of 5000 mg/kg bw for five
    consecutive days. The single or multiple doses of 5000 mg/kg bw
    induced noticeable behavioural alterations, episodes of drowsiness,
    weight loss, uncoordinated gait, and some deaths. Several surviving
    hens showed signs of excitation before recovery. Gross pathological
    examination of hens at the high dose revealed spotty, brittle livers
    and pale, slightly mottled kidneys. Histopathological examination
    revealed minimal damage to the sciatic nerve, including axonal
    swelling and fragmentation, proliferation of Schwann cells, and
    increased vacuolization of myelin sheaths (Thyssen  et al., 1981). 

         The authors of these two studies concluded that a delayed
    neurotoxic effect was not apparent or consistent and indicated that
    the histopathological findings were attributable to the normal
    background neuropathic alterations seen in hens.

         A group of 12 hens received a single oral dose of cyfluthrin in
    PEG 400 at 4300 mg/kg bw and were observed for three weeks. A second
    group of 16 hens received two doses of 4300 mg/kg bw three weeks apart
    by gavage and were allowed to recover for eight weeks. A final group
    of 12 hens received doses of 1500 mg/kg bw per day by gavage for five
    consecutive days and were allowed to recover for eight weeks. All
    animals were autopsied after the recovery periods. Neurotoxic esterase
    activity was determined in the brains and spinal cords from five hens
    of each group 24, 48, and 72 h and seven days after treatment. The
    study was carried out in accordance with the specifications of OECD
    GLP and US EPA Pesticide Assessment Guidelines, Subdivision F, Hazard
    Evaluation, paragraph 81-7.

         All treated hens showed signs of drowsiness and emaciation. One
    control hen, two receiving 4300 mg/kg bw per day, and one receiving
    1500 mg/kg bw per day died during treatment. One hen at the high dose
    and one given multiple low doses were killed in extremis. No symptoms
    of delayed-type neurotoxicity were seen in any treated birds. Food
    consumption and body weights were not affected by treatment, and no
    significant inhibition of neurotoxic esterase activity was noted in
    any treated bird examined. No histopathological changes were seen in
    hens receiving 1500 mg/kg bw per day cyfluthrin. Histopathological
    examination of two hens receiving the high dose, one as a single dose
    and one as two doses, showed slight axonal degeneration of single
    nerve sites in the sciatic nerve and/or spinal cord (Sachsse, 1986).

         Groups of 15 white Leghorn Lohmann strain laying hens were given
    cyfluthrin formulated in PEG 400 at a dose of 5000 mg/kg bw per day or
    tri-ortho-cresylphosphate as a positive control, orally for three
    consecutive days. Three hens from each group were killed 24 h after
    the first and second administration to determine neurotoxic esterase
    activity; the remaining hens were killed 24 h after the third
    administration. Hens receiving cyfluthrin displayed increased
    salivation, dyspnoea, ruffled coat, and increased vocalization. Two
    hens died after the second dose and six after the third dose. No
    inhibition of neurotoxic esterase activity and no characteristic
    delayed-type neurotoxicity were seen (Flucke & Eben, 1985).

    2.2.7  Special studies on tumour promotion  in vitro

         As inhibition of intercellular communication is a common property
    of known or suspected tumour promotors (Trosko  et al., 1981; Chen 
     et al., 1984; Malcolm  et al., 1985), inhibition of cellular
    communication may be indicative of tumour-promoting potential.
    Cyfluthrin at doses of 5-15 µmol/litre did not inhibit intracellular
    communication (metabolic cooperation) in V79 fibroblasts and had no
    effect on mutant cell recovery (Warngard & Flodstrom, 1989).


    2.3  Observations in humans

         The symptoms and signs of acute poisoning resulting from exposure
    to different pyrethroids are similar. Clinical analysis of 573 cases
    of acute pyrethroid poisoning due to occupational or accidental
    exposure revealed symptoms including burning, itching, and tingling
    sensations of the skin, which resolved after several hours. Washing
    was not an effective treatment. The systemic symptoms included
    dizziness, headache, nausea, anorexia, and fatigue; vomiting was most
    common in cases due to ingestion of pyrethroids. Although less
    frequently reported, tightness of the chest, paraesthesia,
    palpitation, blurred vision, and increased sweating were observed in
    some cases. Coarse muscular fasciculations were observed in more
    serious cases. Convulsions and coma can also result from acute
    poisoning with pyrethroids (He  et al., 1989).

         Several cases of acute occupational exposure to cyfluthrin have
    been reported. The most significant effect is pronounced irritation
    and burning of the skin and especially mucosal areas (lips, prepuce).
    The symptoms usually appear after 1-2 h and last for one or two days.
    A stinging sensation was observed 12-24 h after facial and mucosal
    contact. A greater risk was associated with exposure to powdered
    compound than to liquid formulations. The irritating effect was
    probably due to a local action on sensitive nerve pathways and sensory
    nerve cells (Flucke, 1979) and was reversible. With proper measures,
    such as protective gloves and clothing, training, and avoidance of
    dermal contact, occupational exposure and its potential effects can be
    minimized (Miksche, 1979; Faul, 1984, 1988; Kollert, 1988). 

    3.  COMMENTS

         Cyfluthrin was evaluated by the 1987 Joint FAO/WHO Meeting on
    Pesticide Residues (JMPR) (WHO/FAO, 1988), which established an ADI of
    0-0.02 mg/kg bw. The same data and several new studies were reviewed
    by the present Committee. The studies were performed according to
    appropriate standards for study protocol and conduct.

         In rats, cyfluthrin is readily absorbed and distributed. About
    98% of radiolabelled drug was eliminated in urine and faeces within 48
    h after oral administration, with similar amounts eliminated after
    intravenous administration. In lactating dairy cattle, orally
    administered cyfluthrin was also readily absorbed and distributed. The
    concentration of cyfluthrin in milk reached a maximum three days after
    initial dosing and then declined steadily. In cattle, the liver,
    kidney, and fat contained the highest levels of residues, primarily of
    unmetabolized parent compound. The major metabolic transformation is
    ester hydrolysis to a 3-phenoxy-4-fluorobenzyl alcohol intermediate
    and a permethric acid moiety. After ester hydrolysis, the benzyl
    alcohol moiety is oxidized to the free 3-phenoxy-4-fluorobenzoic acid
    metabolite, which can be either conjugated with glycine or oxidized to
    give 4'-hydroxy-3-phenoxy-4-fluorobenzoic acid.

         The acute oral LD50 values in rats ranged from 16 to more than
    1000 mg/kg bw, depending on the vehicle used. At lethal or near-lethal
    doses, signs typical of the toxicity of this class of pyrethroids were
    observed. WHO has classified cyfluthrin as 'moderately hazardous'
    (WHO, 1996).

         Several short-term studies of the toxicity of orally administered
    cyfluthrin were available in which it was tested in rats (four weeks;
    three months), mice (four weeks), and dogs (six months), at doses
    ranging from 5 to 450 mg/kg bw per day. Cyfluthrin reduced body weight
    and increased liver and kidney weights. At lethal or near-lethal
    doses, signs of neurotoxicity were observed, including ataxia,
    abnormal gait, and increased vocalization. Histological evidence of
    limited axonal demyelination of the sciatic nerves was observed at
    these doses, which was completely reversed within three months of
    cessation of treatment. In separate studies, the NOEL in rats ranged
    from 5 mg/kg bw per day on the basis of depressed blood glucose levels
    to 20 mg/kg bw per day on the basis of mortality and decreased 
    body-weight gain. The NOEL in mice was 43 mg/kg bw per day on the
    basis of swelling of the submaxillary glandular epithelium. The NOEL
    in dogs was equivalent to 2 mg/kg bw per day, on the basis of lowered
    mean body weights. 

         In a three-week study of toxicity, rabbits were treated by dermal
    application of cyfluthrin (in polyethylene glycol 400) at 0, 50, or
    250 mg/kg bw per day for 6 h per day, five days per week for three
    weeks. No toxicological effects were observed at any dose.

         In a study in which dogs received cyfluthrin at up to 640 mg/kg
    of feed, equal to 23 mg/kg bw per day, for one year, two out of six
    dogs at the highest dose exhibited slight disturbances in movement and
    gait on one occasion. There was no histopathological evidence of
    neurotoxicity. Slight increases in the weights of the spleens of
    females were observed at the high dose. The NOEL was therefore 160
    mg/kg feed, equal to 5.1 mg/kg bw per day.

         In long-term studies of toxicity and carcinogenicity in rats and
    mice treated at dietary concentrations of cyfluthrin up to 450 and 800
    mg/kg feed (equal to 19 mg/kg bw per day in rats and equivalent to 120
    mg/kg bw per day in mice), respectively, the toxic effects were
    largely non-specific and were essentially restricted to minor
    alterations in body weight, organ weights, and blood biochemical
    parameters. The NOELs were 50 mg/kg feed in rats, equal to 2 mg/kg bw
    per day, and 200 mg/kg feed in mice, equivalent to 30 mg/kg bw per
    day, both on the basis of decreased body-weight gain. Cyfluthrin
    treatment was not associated with increased tumorigenesis in either
    rats or mice.

         In a three-generation study of reproductive toxicity in rats,
    cyfluthrin at dietary concentrations of 0, 50, 150, or 450 mg/kg feed
    had no consistent effect on birth weight or litter size. A decrease in
    viability during lactation was noted in animals of the third
    generation at the two higher levels, and weight gain was consistently
    depressed in these animals. The NOEL was 50 mg/kg feed, equivalent to
    2.5 mg/kg bw per day, on the basis of body-weight depression. 

         In a study of developmental toxicity, cyfluthrin was not
    embryotoxic or teratogenic in rats given doses up to 30 mg/kg bw per
    day on gestation days 6-15. The NOEL was 3 mg/kg bw per day for
    maternal toxicity on the basis of clinical signs of altered gait and
    30 mg/kg bw per day, the highest dose tested, for developmental
    effects. The developmental toxicity of cyfluthrin has also been
    evaluated in rabbits which received doses of 0, 20, 60, or 180 mg/kg
    bw per day by gavage on days 6-18 of gestation. Food consumption and
    body-weight gain were reduced and a dose-related increase in 
    post-implantation losses was observed in the groups at 60 and 180
    mg/kg bw per day. The NOEL for maternal and embryotoxicity was 20
    mg/kg bw per day on the basis of resorptions. The NOEL for
    developmental toxicity was 180 mg/kg bw per day, the highest dose
    tested.

         Cyfluthrin has been tested for its ability to induce DNA damage,
    chromosomal aberrations, and gene mutations  in vitro and chromosomal
    aberrations  in vivo. Negative results were obtained in all of these
    studies. These results, in conjunction with those of the studies of
    carcinogenicity in rodents, indicate that cyfluthrin is neither
    genotoxic nor carcinogenic.

         In studies of the neurotoxicity of cyfluthrin in rats, daily oral
    doses of 30-80 mg/kg bw in polyethylene glycol 400 for up to 35 weeks
    resulted in characteristic signs of acute toxicity, including
    salivation, tremor, and abnormal gait. Histological evidence of
    limited swelling and fragmentation of myelin was observed only
    infrequently, and these signs were completely reversible within three
    months of cessation of treatment. Rats were also evaluated in a
    neurobehavioural test, the inclined plane test, after administration
    of single oral doses of up to 0.1 mg/kg bw cyfluthrin in
    polyethoxylated castor oil (Cremophor EL). The results were
    inconsistent and not dose-dependent. Hence, the Committee considered
    that the results of this test were not useful for assessing
    neurotoxicity in this case.

         Although cyfluthrin is not an organophosphorus compound, it was
    also evaluated for its ability to induce delayed-type neurotoxicity in
    several studies in adult hens given single or multiple oral treatments
    of up to 5000 mg/kg bw. The only neurological effects observed were
    acute behavioural disturbances and minor changes in sciatic nerves,
    including Schwann-cell proliferation and vacuolization of the myelin
    sheath. Cyfluthrin produced no symptoms of delayed-type neurotoxicity
    and no inhibition of neurotoxic target esterase in brain, spinal cord,
    or the peripheral nervous system. 

         The Committee concluded that cyfluthrin does not cause
    irreversible neurological damage and that the observed effects on the
    nervous system occur only at high doses.

    4.  EVALUATION

         The Committee concluded that the effects most relevant for the
    toxicological evaluation of cyfluthrin were those observed in the
    long-term study in rats fed the compound in the diet. The NOEL was 50
    mg/kg in feed, equal to 2 mg/kg bw per day, on the basis of depression
    of body-weight gain. Using this NOEL and a safety factor of 100, the
    Committee established an ADI for cyfluthrin of 0-20 µg/kg bw. The
    Committee noted that the same value had been established by the JMPR
    in 1987.

    5.  REFERENCES

    Bayer AG (1995) Chemical structure of cyfluthrin. Toxicological expert
    opinion in accordance with Council Regulation (EEC) 2377/90 and
    Directive (EEC) 81/852 as amended by Directive 92/18 (EEC).
    Unpublished report from Bayer Institute of Toxicology. Submitted to
    WHO by Bayer AG, Leverkeusen, Germany. 

    Becker, H. (1983) Embryotoxicity (including teratogenicity) study with
    FCR 1272 in the rat. Unpublished report No. R 2774 from Research and
    Consulting Co. AG, Itingen, Switzerland. Submitted to WHO by Bayer AG,
    Leverkeusen, Germany. 

    Becker, H. & Biedermann, K. (1992) Embryotocity study (including
    teratogenicity) with FCR 1272 in the rabbit. Unpublished report No.
    5770 from Bayer Institute of Toxicology. Submitted to WHO by Bayer AG,
    Leverkeusen, Germany. 

    Brusick, D.J. (1982a) Mutagenicity evaluation of FCR 1272 in the
    reverse mutation induction assay with Saccharomyces cerevisiae strains
    S138 and S211, final report. Unpublished report No. 2200 from Bayer
    Institute of Toxicology. Submitted to WHO by Bayer AG, Leverkeusen,
    Germany. 

    Brusick, D.J. (1982b) Evaluation of FCR 1272 in the reverse mutation
    induction assay with Saccharomyces cerevisiae strains S138 and S211,
    addendum to the final report. Unpublished report No. 2248 from Bayer
    Institute of Toxicology. Submitted to WHO by Bayer AG, Leverkeusen,
    Germany. 

    Brusick, D.J. (1982c) Evaluation of FCR 1272 in the induced mitotic
    crossing over, reverse mutation and gene conversion assay in
    Saccharomyces cerevisiae strain D7. Addendum to final report.
    Unpublished report No. 2249 from Bayer Institute of Toxicology.
    Submitted to WHO by Bayer AG, Leverkeusen, Germany. 

    Chen, T.H., Kavanagh, T.J., Chang, C.C. & Trosko, J.E. (1984)
    Inhibition of metabolic cooperation in Chinese hamster V79 cells by
    various organic solvents and simple compounds. Cell Biol. Toxicol., 1,
    155-171. Submitted to WHO by Bayer AG, Leverkeusen, Germany.

    Curren, R. (1985) Unscheduled DNA synthesis in rat primary
    hepatocytes. Unpublished report No. 701 (Mobay) from Microbiological
    Associates, Bethesda, MD, USA. Submitted to WHO by Bayer AG,
    Leverkeusen, Germany. 

    Eben, A. & Thyssen, J. (1981) Thiocyanate excretion in rats' urine
    after intraperitoneal administration of FCR 1272 and decamethrin in
    comparable doses and after exposure to defined FCR 1272 concentrations
    in the inhalation air. Unpublished report No. 10130 from Bayer
    Institute of Toxicology. Submitted to WHO by Bayer AG, Leverkeusen,
    Germany. 

    Eben, A., Heimann, K.G. & Machemer, L. (1982) Comparative study of
    rats on absorption of FCR 1272 after single oral administration in
    polyethylene glycol 400 or Cremophor EL/water as formulation vehicle.
    Unpublished report No. 1632 from Bayer Institute of Pharmacokinetics.
    Submitted to WHO by Bayer AG, Leverkeusen, Germany. 

    Ecker, W. (1982) Biotransformation of (F-phenyl-UL-14C)-cyfluthrin;
    characterization and preliminary identification of metabolites.
    Unpublished report No. 1632 from Bayer Institute of Pharmacokinetics.
    Submitted to WHO by Bayer AG, Leverkeusen, Germany. 

    Ecker, W. (1983) [Fluorobenzene ring-UL-14C]FCR 1272;
    [fluorobenzene-UL-14C]Cyfluthrin: Metabolism part of the general
    metabolism studies in the rat. Unpublished report No. 2059 from Bayer
    Institute of Toxicology. Submitted to WHO by Bayer AG, Leverkeusen,
    Germany. 

    Faul, J. (1984) Cyfluthrin (FCR 1272). Unpublished letter report of 2
    July 1984 from Bayer Institute of Toxicology. Submitted to WHO by
    Bayer AG, Leverkeusen, Germany.

    Faul, J. (1988) Medical data on employees in cyfluthrin formulation.
    Letter of 28 March 1988 from Bayer Medical Department. Submitted to
    WHO by Bayer AG, Leverkeusen, Germany.

    Flucke, W. (1979) Irritant effects after work with FCR 1272.
    Memorandum dated 8 October 1979 from Bayer Institute of Toxicology.
    Submitted to WHO by Bayer AG, Leverkeusen, Germany. 

    Flucke, W. (1984a) FCR 1272 (cyfluthrin); BOQ 5812315 (propoxur);
    study for combination toxicity. Unpublished report No. 12544 from
    Bayer Institute of Toxicology. Submitted to WHO by Bayer AG,
    Leverkeusen, Germany. 

    Flucke, W. (1984b) FCR 1272 (cyfluthrin); DDVP (dichlorvos); study for
    combination toxicity. Unpublished report No. 12567 from Bayer
    Institute of Toxicology. Submitted to WHO by Bayer AG, Leverkeusen,
    Germany.

    Flucke, W. (1984c) FCR 1272 (cyfluthrin); NAK 1654 (fenfluthrin);
    study for combination toxicity. Unpublished report No. 12572 from
    Bayer Institute of Toxicology. Submitted to WHO by Bayer AG,
    Leverkeusen, Germany. 

    Flucke, W. & Eben, A. (1985) FCR 1272. Study for effect on the
    neurotoxic target enzyme (NTE) with the chicken  (Gallus 
     domesticus). Unpublished report No. 13821 from Bayer Institute of
    Toxicology. Submitted to WHO by Bayer AG, Leverkeusen, Germany. 

    Flucke, W. & Schilde, B. (1980) FCR 1272. Subacute oral toxicity study
    on rats. Unpublished report No. 9039 from Bayer Institute of
    Toxicology. Submitted to WHO by Bayer AG, Leverkeusen, Germany. 

    Flucke, W. & Thyssen, J. (1980) FCR 1272. Acute toxicity studies.
    Unpublished report No. 8800 from Bayer Institute of Toxicology.
    Submitted to WHO by Bayer AG, Leverkeusen, Germany. 

    Flucke, W. & Thyssen, J. (1981) FCR 1272 ( cis:trans isomer ratio =
    55:45); acute toxicity study. Unpublished report No. 9673 from Bayer
    Institute of Toxicology. Submitted to WHO by Bayer AG, Leverkeusen,
    Germany. 

    Flucke, W. & Vogel, O. (1980) FCR 1272. Subacute dermal toxicity study
    on rabbits. Unpublished report No. 8928 from Bayer Institute of
    Toxicology. Submitted to WHO by Bayer AG, Leverkeusen, Germany. 

    He, F.S., Wang, S.G., Liu, L.H., Liu, L.H., Chen, S.Y., Zhang, Z.X. &
    Sun, J.X. (1989) Clinical manifestation and diagnosis of acute
    pyrethroid poisoning. Arch. Toxicol., 63, 54-58.

    Heimann, K.G. (1982) FCR 1272; comparative tests for acute toxicity
    with various formulation aids. Unpublished report No. 10931 from Bayer
    Institute of Toxicology. Submitted to WHO by Bayer AG, Leverkeusen,
    Germany.

    Heimann, K.G. (1983a) Test to determine antidote effect against FCR
    1272 toxicity in rats. Unpublished report No. 11854 from Bayer
    Institute of Toxicology. Submitted to WHO by Bayer AG, Leverkeusen,
    Germany. 

    Heimann, K.G. (1983b) Cyfluthrin and methamidophos study for
    combination toxicity. Unpublished report No. 12003 from Bayer
    Institute of Toxicology. Submitted to WHO by Bayer AG, Leverkeusen,
    Germany. 

    Heimann, K.G. (1983c) Determination of acute toxicity (LD50), letter
    report of 22 February 1983. Unpublished report from Bayer Institute of
    Toxicology. Submitted to WHO by Bayer AG, Leverkeusen, Germany. 

    Heimann, K.G. (1984) Determination of acute toxicity (LD50), letter
    report of 5 September 1984. Unpublished report from Bayer Institute of
    Toxicology. Submitted to WHO by Bayer AG, Leverkeusen, Germany. 

    Heimann, K.G. (1987) FCR 1272 (c.n. cyfluthrin); study for acute oral
    toxicity to rats (formulation acetone and peanut oil). Unpublished
    report No. 10931 from Bayer Institute of Toxicology. Submitted to WHO
    by Bayer AG, Leverkeusen, Germany. 

    Heimann, K.G. & Kaliner, G. (1983) FCR 1272. Study for neurotoxic
    effect on rats after subacute oral administration (with addendum).
    Unpublished reports Nos 12338 and 12338a from Bayer Institute of
    Toxicology. Submitted to WHO by Bayer AG, Leverkeusen, Germany. 

    Herbold, B. (1980a) FCR 1272. Salmonella/microsome test for detection
    of point-mutagenic effects. Unpublished report No. 9273 from Bayer
    Institute of Toxicology. Submitted to WHO by Bayer AG, Leverkeusen,
    Germany. 

    Herbold, B. (1980b) Micronucleus test on mouse to evaluate FCR 1272
    for mutagenic potential. Unpublished report No. 9435 from Bayer
    Institute of Toxicology. Submitted to WHO by Bayer AG, Leverkeusen,
    Germany. 

    Herbold, B. (1981a) FCR 1272 cyfluthrin.  Pol A1-test on  E. coli to
    evaluate effects for DNA damage. Unpublished report No. 10450 from
    Bayer Institute of Toxicology. Submitted to WHO by Bayer AG,
    Leverkeusen, Germany. 

    Herbold, B. (1981b) Dominant lethal test on male mouse to evaluate FCR
    1272 for mutagenic potential. Unpublished report No. 9678 from Bayer
    Institute of Toxicology. Submitted to WHO by Bayer AG, Leverkeusen,
    Germany. 

    Herbold, B. (1988) FCR 1272 (c.n. cfluthrin).  In vitro cytogenetic
    study with human lymphocytes for the detection of induced clastogenic
    effects. Report No. 17358 from Bayer Institsute of Toxicology.
    Submitted to WHO by Bayer AG, Leverkeusen, Germany.

    Hixon, E.J. (1981) Investigative neurotoxicity studies in hens.
    Unpublished report No. 165 from Mobay Chemical Corporation, Corporate
    Toxicology Department. Submitted to WHO by Bayer AG, Leverkeusen,
    Germany. 

    Hoffmann, K. (1981a) FCR 1272 (Cyfluthrin); acute oral toxicity to
    dogs. Unpublished report No. T6010889 from Bayer Institute of
    Toxicology. Submitted to WHO by Bayer AG, Leverkeusen, Germany. 

    Hoffmann, K. (1981b) FCR 1272. Acute toxicity to sheep after oral
    administration. Unpublished report No. 9750 from Bayer Institute of
    Toxicology. Submitted to WHO by Bayer AG, Leverkeusen, Germany.

    Hoffmann, K. & Kaliner, G. (1981) FCR 1272. Chronic toxicity study on
    dogs (six-month feeding experiment). Unpublished report No. 9991 from
    Bayer Institute of Toxicology. Submitted to WHO by Bayer AG,
    Leverkeusen, Germany.

    Hoffmann, K. & Schilde, B. (1983) FCR 1272 (Cyfluthrin). Chronic
    toxicity to dogs on oral administration (12 months feeding study).
    Unpublished report No. 11983 from Bayer Institute of Toxicology.
    Submitted to WHO by Bayer AG, Leverkeusen, Germany.

    Klein, O., Weber, H. & Suwelak, D. (1983) Biokinetic part of the
    general metabolism studies in the rat. Unpublished report No. 11872
    from Bayer Institute of Pharmacokinetics. Submitted to WHO by Bayer
    AG, Leverkeusen, Germany.

    Kollert, W. (1988) Medical data on workers employed in cyfluthrin
    production and formulation/registration of the active ingredient in
    Brazil. Letter report of 2 March 1988. Unpublished report from Bayer
    Institute of Toxicology. Submitted to WHO by Bayer AG, Leverkeusen,
    Germany.

    Krotlinger, F. (1988) E6876 and FCR 1272 (c.n. omethoate, cyfluthrin);
    study for combination toxicity on rats. Unpublished report No. 16968
    from Bayer Institute of Pharmacokinetics. Submitted to WHO by Bayer
    AG, Leverkeusen, Germany.

    Loser, E. & Eiben, R. (1983) FCR 1272. Multigeneration study on rats.
    Unpublished report No. 11870 from Bayer Institute of Pharmacokinetics.
    Submitted to WHO by Bayer AG, Leverkeusen, Germany.

    Loser, E. & Schilde; B. (1980) FCR 1272. Subchronic toxicity study on
    rats. Unpublished report No. 9386 from Bayer Institute of Toxicology.
    Submitted to WHO by Bayer AG, Leverkeusen, Germany.

    Malcolm, A.R., Mills, L.J. & Mckenna, E.J. (1985) Effects of phorbol
    myristate acetate, phorbol dibutyrate, ethanol, dimethylsulfoxide,
    phenol and seven metabolites of phenol on metabolic cooperation
    between Chinese hamster V79 lung fibroblasts. Cell Biol. Toxicol., 1,
    269-284. Submitted to WHO by Bayer AG, Leverkeusen, Germany.

    Miksche, L. (1979) Symptoms of irritation when working with FCR 1272.
    Unpublished report of 2 August 1979 from Bayer Institute of
    Toxicology. Submitted to WHO by Bayer AG, Leverkeusen, Germany.

    Nagane, M., Hatanaka, J. & Iyatomi, A. (1982) FCR 1272. Mutagenicity
    test on bacterial system. Unpublished report No. 213 from Nihon
    Tokushu Noyaku Seiko K.K. Agricultural Chemicals Institute, Japan.
    Submitted to WHO by Bayer AG, Leverkeusen, Germany.

    Ohta, T. & Moriya, M. (1982) FCR 1272; Microbial mutagenicity study.
    Unpublished report dated 17 May 1982 from Bayer Institute of
    Toxicology. Submitted to WHO by Bayer AG, Leverkeusen, Germany.

    Oikawa, K., Iyatomi, A. & Watanabe, M. (1983) FCR 1272. Special
    toxicological study - morphological effects on the nervous system of
    rats. Unpublished report dated 30 June 1983 from Nihon Tokushu Noyaku
    Seiko K.K. Agricultural Chemicals Institute, Japan, and St Marianna
    Medical College, Department of Pathology. Submitted to WHO by Bayer
    AG, Leverkeusen, Germany.

    Pauluhn, J. (1987) FCR 1272; study of the acute inhalation toxicity to
    rats using OECD guideline No. 403. Unpublished report No. 15612 from
    Bayer Institute of Toxicology. Submitted to WHO by Bayer AG,
    Leverkeusen, Germany.

    Polacek, I. (1984) Study of FCR 1272 on neuromuscular dysfunction in
    the tilting plane test on rats. Unpublished report No. R2896 from
    Bayer Institute of Toxicology. Submitted to WHO by Bayer AG,
    Leverkeusen, Germany.

    Putman, D. (1985) Sister chromatid exchange assay in Chinese hamster
    ovary (CHO) cells. Test article Baythroid (FCR 1272), technical
    cyfluthrin. Unpublished report No. 693 (Mobay) from Microbiological
    Associates, Bethesda, MD, USA. Submitted to WHO by Bayer AG,
    Leverkeusen, Germany.

    Roetz, R. (1983) FCR 1272 [Cyfluthrin]. Study for embryotoxic effects
    on rabbits after oral administration. Unpublished report No. 11855
    from Bayer Institute of Toxicology. Submitted to WHO by Bayer AG,
    Leverkeusen, Germany.

    Sacchse, K. (1986) Acute delayed neurotoxicity study with FCR 1272
    (common name cyfluthrin) in the hen. Unpublished report No. 3690 from
    Research and Consulting Company AG, Itingen, Switzerland. Submitted to
    WHO by Bayer AG, Leverkeusen, Germany.

    Sacchse, K. & Zbinden, K. (1985) Acute oral toxicity study with FCR
    1272 in the hen. Unpublished report No. R3622 from Research and
    Consulting Company AG, Itingen, Switzerland. Submitted to WHO by Bayer
    AG, Leverkeusen, Germany.

    Sasaki, Y., Imanishi, H., Watanabe, M. & Ohta, T. (1986) Cyfluthrin:
     In vitro cytogenetics test. Unpublished report from Kodaira
    Laboratories, Institute of Environmental Toxicology, Japan. Submitted
    to WHO by Bayer AG, Leverkeusen, Germany.

    Schluter, G. (1981) FCR 1272 [Cyfluthrin]. Study of embryotoxic and/or
    teratogenic effects after oral administration to rabbits. Unpublished
    report No. 10170 from Bayer Institute of Toxicology. Submitted to WHO
    by Bayer AG, Leverkeusen, Germany.

    Schluter, G. (1982) FCR 1272 [Cyfluthrin]. Evaluation for embryotoxic
    and teratogenic effects on orally dosed rats. Unpublished report No.
    10562 from Bayer Institute of Toxicology. Submitted to WHO by Bayer
    AG, Leverkeusen, Germany.

    Shaw, H.R., Ayers, J.E. & McCann, S.A. (1983) Metabolism of Baythroid
    in a dairy cow. Unpublished report No. 86043 from Bayer Institute of
    Toxicology. Submitted to WHO by Bayer AG, Leverkeusen, Germany.

    Suberg, H. & Loser, E. (1983a) FCR 1272 (Cyfluthrin). Chronic toxicity
    study on mice (feeding study over 23 months). Unpublished report No.
    12035 from Bayer Institute of Toxicology. Submitted to WHO by Bayer
    AG, Leverkeusen, Germany.

    Suberg, H. & Loser, E. (1983b) FCR 1272 (Cyfluthrin). Chronic toxicity
    study on rats. Unpublished report No. 11949 from Bayer Institute of
    Toxicology. Submitted to WHO by Bayer AG, Leverkeusen, Germany.

    Thyssen, J. & Vogel, O. (1982) FCR 1272. Study for nerve damage effect
    on the rat after 5-months oral application. Unpublished report No.
    10705 from Bayer Institute of Toxicology. Submitted to WHO by Bayer
    AG, Leverkeusen, Germany.

    Thyssen, J., Kaliner, G. & Groning, P. (1981) Neurotoxicity studies on
    hens. Unpublished report No. 9753 from Bayer Institute of Toxicology.
    Submitted to WHO by Bayer AG, Leverkeusen, Germany.

    Trosko, J.E., Yotti, L.P., Dawson, B. & Chang, C.C. (1981)  In vitro 
    assay for tumor promoters. In: Stich, H.F. & San, R.H.C., eds, 
    Short-term Tests for Chemical Carcinogens, New York, Springer-Verlag,
    pp. 420-427. Submitted to WHO by Bayer AG, Leverkeusen, Germany.

    Warngard, L. & Flodstrom, S. (1989) Effects of tetradecanoyl phorbol
    acetate, pyrethroids and DDT in the V79. Cell Biol. Toxicol., 5, 
    67-75. Submitted to WHO by Bayer AG, Leverkeusen, Germany.

    Watanabe, M. & Iyatomi, A. (1984) FCR 1272; antidotal test.
    Unpublished report No. 271 from Bayer Institute of Toxicology.
    Submitted to WHO by Bayer AG, Leverkeusen, Germany.

    Watanabe, M., Hatanaka, J., Uwanuma, Y., Itoh, H. & Iyatomi, A.
    (1982a) FCR 1272; short-term toxicity tests on rats (4-week feeding
    and 4-week recovery tests). Unpublished report No. 215 from Bayer
    Institute of Pharmacokinetics. Submitted to WHO by Bayer AG,
    Leverkeusen, Germany.

    Watanabe, M., Hatanaka, J., Uwanuma, Y., Itoh, H. & Iyatomi, A.
    (1982b) FCR 1272; short-term toxicity tests on mice (4-week feeding
    and 4-week recovery tests). Unpublished report No. 221 from Bayer
    Institute of Pharmacokinetics. Submitted to WHO by Bayer AG,
    Leverkeusen, Germany.

    WHO (1996) The WHO Recommended Classification of Pesticides by Hazard
    and Guidelines to Classification 1996-1997 (WHO/PCS/96.3),
    International Programme on Chemical Safety, Geneva.

    WHO/FAO (1988) Pesticide Residues in Food - 1987 Report. FAO Plant
    Production and Protection Paper 84, Rome.

    Yang, L. & Louie, A. (1985) CHO/HGPRT mutation assay in the presence
    and absence of exogenous metabolic activation. Test article Baythroid
    (FCR 1272), technical cyfluthrin. Unpublished report No. 694 from
    (Mobay) Microbiological Associates, Bethesda, MD, USA. Submitted to
    WHO by Bayer AG, Leverkeusen, Germany.
    


    See Also:
       Toxicological Abbreviations
       Cyfluthrin (ICSC)
       CYFLUTHRIN (JECFA Evaluation)
       Cyfluthrin (Pesticide residues in food: 1987 evaluations Part II Toxicology)
       Cyfluthrin (UKPID)