IPCS INCHEM Home


    INSECTICIDES

    CYPERMETHRIN & alpha-CYPERMETHRIN

    First draft prepared by
    Mrs Ir. M.E.J. Pronk,
    Dr G.J.A. Speijers,
    Mrs M.F.A. Wouters
    Toxicology Advisory Centre
    National Institute of Public Health and Environmental Protection
    Bilthoven, Netherlands

    Dr L. Ritter
    Canadian Network of Toxicology Centres
    University of Guelph
    Guelph, Ontario, Canada

    1.   Explanation

    2.   Biological data
         2.1   Biochemical aspects
               2.1.1   Absorption, distribution and excretion
               2.1.2   Effects on liver enzymes
         2.2   Toxicological data
               2.2.1   Acute toxicity
               2.2.2   Short-term toxicity studies
               2.2.3   Long-term toxicity/carcinogenicity studies
               2.2.4   Reproductive toxicity studies
               2.2.5   Special studies on embryotoxicity and
                       teratogenicity
               2.2.6   Special studies on genotoxicity
               2.2.7   Special studies on neurotoxicity
               2.2.8   Special studies on biochemistry and
                       electrophysiology
               2.2.9   Special studies on sensitization
               2.2.10  Special studies on skin and eye irritation
         2.3   Observations in humans

    3.   Comments

    4.   Evaluation

    5.   References

    1.  EXPLANATION

         Cypermethrin and alpha-cypermethrin are highly active synthetic
    pyrethroid insecticides, effective against a wide range of pests in
    agriculture, public health and animal husbandry. Cypermethrin has been
    widely used throughout the world since the late 1970s while
    alpha-cypermethrin has been available commercially since the mid
    1980s.

         Cypermethrin and alpha-cypermethrin are neuropoisons acting on
    the axons in the peripheral and central nervous system by interacting
    with sodium channels in mammals and insects.

         Cypermethrin and alpha-cypermethrin have not been previously
    evaluated by the Committee. However, cypermethrin was reviewed by the
    Joint FAO/WHO Meeting on Pesticide Residues (JMPR) in 1979 and 1981
    (FAO, 1980, 1982); an ADI of 0-0.05 mg/kg bw was established at the
    1981 meeting. Studies reviewed in 1979 and 1981, which were not
    available at the present meeting were considered in this evaluation on
    the basis of the JMPR summaries.

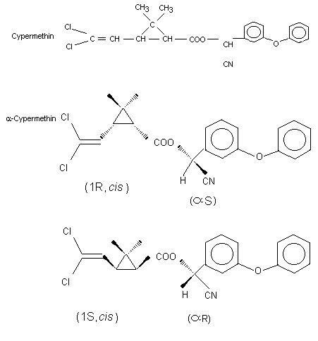
         Cypermethrin consists of eight isomers, four cis and four trans
    isomers, the cis isomers being the more biologically active. Depending
    on the manufacturing source, the cis:trans ratio varies from 40:60 to
    80:20. In the studies submitted for evaluation the cis:trans ratio was
    in the range of 48:52 to 50:50. The purity varied between 92-95.1%.

         alpha-Cypermethrin contains more than 90% of the insecticidally
    most active enantiomer pair of the four cis isomers of cypermethrin as
    a racemic mixture.

    CHEMICAL STRUCTURE 7

    2.  BIOLOGICAL DATA

    2.1  Biochemical aspects

    2.1.1  Absorption, distribution and excretion

         According to the JMPR (FAO, 1980, 1982) cypermethrin is readily
    absorbed and rapidly eliminated via urine and faeces of mice, rats,
    dogs, sheep and cows. Absorption from the gastrointestinal tract is
    more rapid with the trans isomer than with the cis isomer. The highest
    mean concentrations are found in body fat, liver, kidney, muscle, skin
    and milk. The clearance rate from adipose tissue is slow and the
    elimination half-life in rats and mice ranges from 10 to 20 and from
    20 to 30 days, respectively. The data suggest a potential for
    bioaccumulation in the body following continuous exposure. With
    respect to the chemical and especially the isomeric complexity of the
    molecule, the metabolic profile due to all of its isomers is extremely
    complex. Cypermethrin is readily cleaved at the ester linkage to
    produce the cyclopropane carboxylic acid and a 3-phenoxybenzoyl moiety
    that is further metabolised by oxidation at the 4'position. The
    resultant phenol is almost totally conjugated with sulfate. The
    4'-hydroxy sulfate forms the major aryl metabolite (16%), and
    3-phenoxybenzoic acid is the second most important (5%). The other
    identified aryl metabolites are 3-(4-hydroxyphenoxy)benzoic acid (1%)
    and the glycine conjugate,  N-(3-phenoxybenzoyl) glycine (1%).

    2.1.1.1  Rats

         Eight female Wistar rats were orally dosed with 2.5 mg
    14C-benzyl-labelled cis-cypermethrin/kg bw. They were killed in
    groups of two at 8, 14, 25 and 42 days after dosing, and the
    radioactivity in fat, liver and kidney was measured. Selected fat
    samples were analysed for parent compound. Between days 14 and 42,
    radioactivity was eliminated from the fat with a half-life of 20-25
    days. Residues in liver and kidney were 30 to 40 times lower than
    those in fat, but were eliminated at a similar rate. In two pooled fat
    samples taken 8 and 24 days after dosing, 90-100% of the radioactivity
    was in the form of the parent compound (Crawford & Hutson, 1978).

    2.1.1.2  Chickens

         Six Warren laying hens were treated daily for 14 days with 10 mg
    14C-phenoxy-labelled cypermethrin/kg food (equivalent to 1.25 mg/kg
    bw per day) in gelatin capsules in the diet. Eggs and excreta were
    collected dally. The hens were killed 4.5 hours after the last dose,
    and liver, muscle and fat samples were collected. Of the total
    radioactivity, 95.2% was recovered. Radioactivity in eggs plateaued 8
    days after the start of dosing and reached 0.05 mg/kg. Most
    radioactivity was found in the yolk and was a mixture of parent

    compound and material that was closely associated with neutral lipids
    and phosphatidyl cholines. In tissues, highest radioactivity was found
    in the liver (0.37 µg/g). This radioactivity was composed of parent
    compound (0.05 µg/g) and a mixture of very polar metabolites that were
    not hydrolysed to significant amounts of 3-phenoxybenzoic acid or its
    4-hydroxy derivative. Fat contained 0.08 µg/g and about 60% of the
    residue was present as parent compound. Residues in muscle
    (0.01-0.02 µ/g) were too low for characterization (Hutson & Stoydin,
    1987).

    2.1.1.3  Sheep

         Two male sheep were each treated dermally (single dose) with a
    mixture of 962 mg 14C-cypermethrin (both cyclopropyl- and
    benzyl-labelled), equivalent to 21.9 mg/kg bw in acetone. After 24
    hours (sheep 1) and 6 days (sheep 2) the animals were killed, and
    radioactivity in fat, muscle, liver, kidney and skin (application
    area) was measured. Urine and faeces were collected up to the time the
    sheep were killed. One sheep treated with acetone served as a control.
    Another sheep was treated orally (single dose) with 177 mg 14C-
    cypermethrin mixture in a gelatin capsule (equivalent to 3.9 mg/kg
    bw). Urine and faeces were collected for 2 days and tissues were
    assayed. When applied dermally radioactivity was slowly absorbed
    and eliminated. Less than 0.5% was excreted in urine within 24 hours
    and only 2% over a 6-day period. Faecal elimination was also slow,
    0.5% of the dose being eliminated in 6 days. About 30% of the applied
    radioactivity was recovered from the application areas of both sheep.
    Very little radioactivity was found in the tissues. In liver, kidney,
    renal fat and subcutaneous fat (other than the application area),
    residues ranged from 0.09 to 0.3 µg/g and muscle samples contained
    0.03 to 0.06 µg/g.

         Following oral treatment, the elimination of radioactivity was
    rapid, 61% of the administered radioactivity being eliminated within
    48 hours. Urinary elimination comprised 41% of the dose and faecal
    elimination 20.5%. Residues found in tissues were comparable to those
    found after dermal application. Most of the radioactivity in the fat
    samples of all sheep was found to be parent compound. In muscle, liver
    and kidney samples, only a small percentage of the total tissue
    radioactivity was identified as parent compound (Crawford & Hutson,
    1977).

    2.1.1.4  Cattle

    a) Cypermethrin

         Two lactating Friesian cows were fed twice daily a diet
    containing 0.2 mg 14C-benzyl-labelled cypermethrin/kg feed. Cow I
    was treated for 20 days and cow II for 21 days. A control cow was
    maintained under identical conditions. The radioactivity in milk,
    urine and faeces was measured daily and after 20-21 days of dosing the
    cows were sacrificed and blood, major organs and tissues were analysed
    for radioactivity. Total recovery of the radioactivity was 97.8%. The
    major route of excretion was via the urine (54%) and faeces (43%).
    Milk contained 0.5% of the dose. The residues in muscle, blood and
    brain were less than 0.005 µg/g. Liver contained 0.006 µg/g, kidney
    0.004 µg/g, bile 0.027 µg/g, renal fat 0.011 µg/g and subcutaneous fat
    0.009 µg/g.

         The urinary metabolites were tentatively identified as
     N-(3-phenoxy-benzoyl)glutamic acid, the major metabolite, and
    3-(4-hydroxyphenoxy) benzoic acid  O-sulphate, the minor metabolite
    (ratio 4:1). In faeces 36% was eliminated as unchanged parent compound
    (Hutson & Stoydin, 1976).

         Two lactating Friesian cows were fed twice daily for 7 days a
    diet containing 5 mg 14C-cypermethrin (cyclopropyl-labelled)/kg
    feed. A third cow was treated similarly with 14C-benzyl-labelled
    cypermethrin. A control cow was maintained under identical conditions.
    The radioactivity in the milk, urine and faeces was measured daily.
    After 7 days of dosing the cows were killed and their blood, major
    organs and tissues were analysed for radioactivity. Total recovery of
    radioactivity was 92.4% for the cows dosed with cyclopropyl-labelled
    cypermethrin and 89.6% for the cow dosed with benzyl-labelled
    cypermethrin. The major route of excretion was similar for both label
    compounds. Urinary excretion accounted for about 49% of the dose while
    faecal excretion accounted for about 38%. An equilibrium between
    ingestion and excretion was reached after 3-4 days. Very low levels of
    radioactivity were determined in milk (0.003-0.013 µg/g), tissues
    (muscle, blood, brain 0.07 µg/g, liver, kidney 0.13 µg/g and renal and
    subcutaneous fat 0.10 µg/g). The urinary metabolites included the
    glutamic acid conjugate of 3-phenoxybenzoic acid (68%), 3-phenoxy-
    benzoylglycine (16%) and 3-phenoxybenzoic acid (9%). 3-(4-Hydroxy-
    phenoxy)benzoic acid and its  O-sulfate conjugate appeared to be
    present in only small amounts (1%) (Crawford, 1978).

         One lactating cow was administered a diet containing 10 mg
    14C-benzyl-labelled cypermethrin/kg feed twice daily for 7 days.
    Milk, urine and faeces were collected daily for radioassay. The cow
    was killed 16 hours after the last dose and samples of fat, muscle,
    liver and kidney were analysed. An untreated cow was held as control.

    Total recovery was 93%. Radioactivity was rapidly eliminated in equal
    proportions in the urine and faeces. Radioactivity in milk was
    < 0.2%. Analysis of milk revealed that the radioactivity was due to
    unchanged cypermethrin, which was located mostly in the lipophilic
    components (cream or butterfat). Radioactivity in tissues was
    generally in the order: liver (0.21 µg/g) > kidney (0.11 µg/g) > fat
    (0.1 µg/g) > blood (0.04 µg/g) > muscle (0.01 µg/g). The residue in
    fat was largely unchanged cypermethrin. Radioactivity in liver and
    kidney was due mainly to  N-(3-phenoxybenzoyl)glutamic acid. The
    liver and kidney metabolites were hydrolysed in hot acid to 3-phenoxy-
    benzoic acid and its 4'-hydroxy derivative (Croucher  et al., 1980).

    b) alpha-Cypermethrin

         One lactating cow received orally 125 mg 14C-alpha-cypermethrin
    (benzyl labelled)/dose twice daily for 4 consecutive days (target dose
    250 mg/day). Another cow received the same dose of unlabelled alpha-
    cypermethrin. (The overall calculated daily dietary concentrations
    were 19 and 14 mg/kg, respectively). The animals were killed 6 hours
    after the last dose. Urine, faeces, milk, kidneys, liver, fat and
    muscle were analysed for radioactivity.

         The major route of excretion of radioactivity was via the faeces,
    accounting for 34% of the total administered dose. Urinary excretion
    accounted for 23% of the dose and milk less than 1%. Total radioactive
    residues in milk accounted for 0.014 mg/kg on day 2 and rose to
    0.2 mg/kg by day 4 of dosing. The major proportion (93%) of the milk
    residues was confined to the cream fraction. Residues in tissues were
    highest in liver, renal fat, omental fat, subcutaneous fat and kidney
    (0.56, 0.48, 0.43, 0.39 and 0.22 mg/kg, respectively). Plasma
    contained 0.08 mg/kg and muscle samples contained < 0.03 mg/kg
    residues.

         The liver and kidney contained a range of components. The liver
    extract contained at least eight metabolites with a broad range of
    polarities. One component (16%) had similar chromatographic properties
    to alpha-cypermethrin. The kidney extract contained at least nine
    metabolites with a broad range of polarities, one component (20% of
    the profile) had similar chromatographic properties to alpha-
    cypermethrin. Muscle, fat and milk contained mainly a single
    component (muscle 85%, fat 91% and milk 97% of the exact profile),
    which in each case had similar chromatographic properties to
    alpha-cypermethrin. Urinary metabolites were analysed using HPLC. 
    The two major components (44% and 20%) had identical chromatographic
    properties to  N-(3-phenoxybenzoyl)glutamic acid and 
     N-(3-phenoxybenzoyl)glycine, respectively. A minor component 
    (3%) had identical chromatographic properties to 3-phenoxybenzoic 
    acid (Dunsire & Gifford, 1993; Morrison & Richardson, 1994).

    2.1.2  Effects on liver enzymes

         Six Wistar rats/sex were randomly selected from each of the
    control and 1000 mg cypermethrin/kg food group at termination of a
    2-year feeding study. The activity of hepatic  p-nitroanisole
     o-demethylase (PNOD) was determined in each of these rats. In male
    rats treated with cypermethrin, PNOD activity, expressed as per gram
    of liver, was significantly increased (38%). The total PNOD activity
    of liver was also increased (30%), but, owing to great inter-animal
    variation, statistical significance was not reached. Treated females
    exhibited increases in PNOD activity when expressed per gram of liver
    (21%) and per whole liver (39%), but only the latter was significant
    (Potter & McAusland, 1980).

    2.2  Toxicological data

    2.2.1  Acute toxicity

         Acute toxicity studies of cypermethrin and alpha-cypermethrin are
    summarized in Tables 1 and 2.

         Cypermethrin-induced signs of toxicity were typical of
    cyano-containing pyrethroid intoxication. After oral administration
    signs of intoxication included sedation, ataxia, splayed gait, tip-toe
    walking, with occasional tremors and convulsions. These signs of
    toxicity appeared within a few hours following dosing, and survivors
    recovered within 3 days. The acute toxicity after dermal
    administration is of a low order (Coombs  et al., 1976).

         alpha-Cypermethrin-induced clinical signs, like those of
    cypermethrin, are typical of cyano-containing pyrethroid. The observed
    signs included ataxia, abasia, gait abnormalities, choreoathetosis,
    tip-toe walking, and increased salivation, lacrimation, piloerection,
    tremor and clonic convulsions. Surviving animals recovered within 7
    days (Rose, 1982b, 1983).

    2.2.2  Short-term toxicity studies

    2.2.2.1  Mice

         Groups of eight mice (CD-1)/sex received diets containing 0, 200,
    400, 800, 1200 or 1600 mg alpha-cypermethrin/kg feed for 29 days. One
    male fed 1600 mg/kg and one female fed 1200 mg/kg were killed in a
    moribund condition. These animals showed neurological disturbances.
    Mice at 1200 and 1600 mg/kg developed ungroomed coats, ataxia/abnormal
    gait, over-activity or hunched posture. At 800 mg/kg some animals 
    had ungroomed coats and abnormal gait. Body weight (gain) was
    dose-relatedly decreased in mice at 1200 and 1600 mg/kg and in females

    at 800 mg/kg. A similar, but less marked effect was apparent in males
    receiving 800 mg/kg and females receiving 400 mg/kg. Food consumption
    was lowered in rats at 1200 and 1600 mg/kg during the first 2 weeks. A
    depression in lymphocyte numbers was noted in males receiving 1600
    mg/kg. ALAT and ASAT levels were increased in males at 1600 mg/kg.
    Urea levels were increased in all dosed males and females, without
    clear dose relation. Plasma albumin and A/G ratio were decreased in
    males at 1600 mg/kg. Relative kidney weight was increased in males at
    800, 1200 and 1600 mg/kg. Relative lung weight was increased in males
    at 1600 mg/kg. No macroscopic or microscopic effects were seen. The
    NOEL was 400 mg/kg feed, equal to 57 mg/kg bw per day (Green, 1993).

         Groups of 12 mice (CD-1)/sex received diets containing 0, 50, 250
    or 1000 mg alpha-cypermethrin/kg feed for 13 weeks. Four males at
    1000 mg/kg died during week 12 probably due to stress of treatment and
    refusal of food and water. The relative kidney weights of these
    animals appeared to be slightly higher. One mouse at 250 mg/kg died.
    Clinical signs included thin build, ungroomed coat, hair loss and
    encrustations of the dorsal body surface in animals receiving
    1000 mg/kg, ungroomed haircoat in mice at 250 mg/kg, hair loss and
    encrustations in males at 250 mg/kg and hair loss in two males at
    50 mg/kg. Body weight gain was markedly lower in mice at 1000 mg/kg
    and lower in mice at 250 mg/kg. Food consumption was slightly higher
    in mice at 1000 mg/kg. Overall food conversion efficiency of animals
    receiving 1000 mg/kg (and to a lesser extent 250 mg/kg) was lower than
    that of controls. In males at 1000 mg/kg, PVC, Hb, RBC, total WBC and
    leucocyte counts were decreased. ASAT was increased in a dose-
    dependent manner in males at 250 and 1000 mg/kg, and glucose was
    decreased in males at 1000 mg/kg. Serum AP was increased in females at
    1000 mg/kg. Urinary specific gravity was increased in mice at the
    highest dose level. In males at 1000 mg/kg relative brain, adrenal,
    heart, kidney, liver, spleen, lung and testes weight were increased.
    In females relative liver weight was increased at 250 and 1000 mg/kg
    and relative brain and spleen weight at 1000 mg/kg. Two males and
    eleven females treated at 1000 mg/kg were considered to be emaciated
    at necropsy. No histological changes were observed. Owing to the hair
    loss seen at 50 mg/kg, a NOEL was not identified (Amyes  et al.,
    1994).

    2.2.2.2  Rats

    a) Cypermethrin

         In a 5-week feeding study, groups of six rats/sex (Charles River)
    received diets containing 0, 25, 100, 250, 750 or 1500 mg cyper-
    methrin/kg feed. No effects were found in haematological, macroscopic
    or microscopic examinations. In the highest dose group, rats developed
    piloerection, nervousness and incoordinated movement from week

    2 onwards. Body weight gain, food intake and terminal body weight
    were all reduced for both sexes at 1500 mg/kg. Relative liver
    weight and blood urea levels were increased at the highest dose level
    (only a summary available) (Coombs  et al., 1976).

        Table 1.  Acute toxicity of cypermethrln in animals
                                                                                              

    Species1     Route       Purity2     LD50         Remark              Reference
                                         mg/kg bw
                                                                                              

    Mouse        oral        98.1%       88           5% in corn oil      Rose, 1982a

    Mouse        oral        ?           82           5% in corn oil      Coombs et al., 1976

    Mouse        oral        98.1%       1126         40% in DMSO         Rose, 1982a

    Mouse        oral        98.1%       657          50% aq. susp.       Rose, 1982a

    Mouse        percutan.   98.1%       > 100        5% in corn oil      Rose, 1982a

    Rat          oral        ?           251          5% in corn oil      Coombs et al., 1976

    Rat          oral        98.1%       4000         40% in DMSO         Rose, 1982a

    Rat          oral        98.1%       3423         50% aq. susp.       Rose, 1982a

    Rat          oral        ?           > 2000       techn. conc.        Price, 1984

    Rat          percutan.   ?           > 2000       techn. conc.        Price, 1984

    Rat          percutan.   ?           > 1600       40% in xylene       Coombs et al., 1976

    Rat          i.p.        ?           approx.      40% in corn oil     Coombs et al., 1976
                                         2600

    Hamster      oral        ?           203          5% in corn oil      Coombs et al., 1976

    Guinea-pig   oral        ?           approx.      20% in corn oil     Coombs et al., 1976
                                         500
                                                                                              

    1    Both male and female animals were used in all of the studies
    2    cis:trans isomer ratio 51:49; ? - unknown

    Table 2.  Acute toxicity of alpha-cypermethrin in animals
                                                                                              

    Species1    Route       Purity     LD50          Remark                 Reference
                            (%)        mg/kg bw
                                       or mg/m3
                                                                                              

    Mouse       oral        96.6       35            5% in corn oil         Rose, 1982b

    Mouse       oral        96.6       762           40% in DMSO            Rose, 1982b

    Mouse       oral        96.6       798           50% aq. suspension     Rose, 1982b

    Mouse       percut.     96.6       > 100         5% in corn oil         Rose, 1982b

    Rat         oral        techn.     64            50% aq. CMC            Gardner, 1993

    Rat         oral        96.6       4000          40% in DMSO            Rose, 1982b

    Rat         oral        96.6       > 5000        50% aq. suspension     Rose, 1982b

    Rat         dermal      techn.     > 2000        undiluted              Gardner, 1993

    Rat         inhal       95.6       1590          as aerosol             Jackson, 1993
                                                     (MMAD 9 µm)
                                                                                              

    1    Both male and female animals were used in all of the studies
    
         Groups of 12 rats/sex (Wistar) were fed diets containing 0 (24
    rats/sex), 25, 100, 400 or 1600 mg cypermethrin/kg feed for 91-95
    days. There were no deaths, no clinical signs and no macroscopic or
    microscopic changes. In the highest dose group a reduced body weight
    gain was observed. During the first week reduced food consumption was
    observed in both sexes at 1600 mg/kg. This could be attributed to the
    palatability of the diet. During week 13, females at 1600 mg/kg had
    reduced food intake. Males at 1600 mg/kg showed decreases in Hb, MCV
    and eosinophil counts, and an increase in prothrombin time. In males
    at 400 mg/kg there was also a decrease in eosinophil numbers. The mean
    plasma urea concentration in the 1600 mg/kg groups was increased.
    Relative liver weight was increased in males and females at 1600 mg/kg
    and in males at 400 mg/kg. Relative kidney weight was increased in
    males at 1600 mg/kg. The NOEL was 100 mg/kg feed, equivalent to
    5 mg/kg bw per day (Pickering, 1981).

    b) alpha-Cypermethrin

         Groups of 10 Wistar rats/sex received diets containing 0 (20
    rats/sex), 20, 100, 200, 400 or 800 mg alpha-cypermethrin/kg feed for
    5 weeks. Observations included mortality, clinical signs, body weight
    and food consumption, haematology, clinical chemistry, urinalysis,
    organ weight, and macroscopic and microscopic lesions.

         One male at 800 mg/kg died unrelated to treatment and two males
    at 800 mg/kg were killed, owing to signs of severe neurological
    disturbance. Both sexes at 800 mg/kg produced abnormal gait and
    increased sensitivity to noise. Abnormal gait was seen in one male at
    400 mg/kg. The mean body weights and food intake of both males and
    females fed 400 or 800 mg/kg were significantly lower than those of
    controls. In both males and females at 800 mg/kg and in males at
    400 mg/kg prothrombin time was increased. In males at 800 mg/kg the
    kaolin-cephalin coagulation time was increased and the percentage of
    polymorphic neutrophils was increased at 800 mg/kg. In females
    platelet count, total leucocyte count and absolute values of
    polymorphic neutrophils and lymphocytes were increased, but the Hb and
    haematocrit values were decreased. The MCV was decreased at 200, 400
    and 800 mg/kg but not in a dose-related manner. Relative brain, liver
    and kidney weights were increased in males fed 800 mg/kg and relative
    brain and liver weights were increased in males fed 400 mg/kg. In
    females at 800 mg/kg relative brain, liver and kidney weights were
    increased. One male at 800 mg/kg that was removed from the study
    showed scanty axonal lesions of the sciatic nerves. The NOEL was
    200 mg/kg feed, equivalent to 10 mg/kg bw per day (Thorpe, 1982).

         In a range finding study groups of five male and five female rats
    were fed diets containing a-cypermethrin at concentrations of 0, 50,
    200, 800 or 1200 mg/kg feed for up to 6 weeks. No effects were found
    on food consumption, haematology and clinical chemistry and
    microscopy. All rats at 1200 mg/kg and all males at 800 mg/kg were
    killed during weeks 2 to 4 because of severe clinical signs. These
    signs included high stepping, splayed gait, abasia and hyper-
    sensitivity. Cachexia was seen in extreme cases. There were no
    significant changes in fore or hind limb grip strength or hind limb
    landing foot splay. Female rats fed 800 mg/kg had a lower mean body
    weight and food intake compared to controls. These females also had a
    lower leucocyte count. Microscopic examination revealed lymphocytolysis
    and iymphocyte depletion of the cortical region of the thymus in males
    fed 800 mg/kg and males and females at 1200 mg/kg (Fokkema, 1994a).

         Groups of 30 male and 30 female Wistar rats received diets
    containing 0 (60 rats/sex), 20, 60, 180 or 540 mg alpha-
    cypermethrin/kg feed for 90 days. After 6 weeks 10 rats/sex
    (controls 20/sex) were sacrificed for interim examinations. Three
    males at 540 mg/kg developed an abnormal gait consisting of splayed
    hind limbs. Skin sores and fur loss were observed in all males with
    the highest incidence at 540 mg/kg and in females at 0 and 540 mg/kg.
    Two males, one from controls and one at 540 mg/kg were removed because
    of severe skin lesions. Reduced body weight and reduced food
    consumption were seen in rats at 540 mg/kg. During the second part of
    the study, body weight gain was also reduced in males at 60 and
    180 mg/kg, but not in a clearly dose-related manner. Food consumption
    was lower at 60 mg/kg than at 180 mg/kg. At termination the Hb value
    was decreased in males and females at 540 mg/kg. MCV and MCHC were
    decreased in females at 540 mg/kg. Platelet counts were increased in
    males and females at 540 mg/kg. The number of lymphocytes was
    increased and the number of eosinophils was decreased in males at
    540 mg/kg. Urea concentration was increased in females at 540 mg/kg.
    AP was decreased in females at 180 and 540 mg/kg. Urinary volume was
    decreased in females at 540 mg/kg and specific gravity was increased
    in males and females at 540 mg/kg. In females fed 540 mg/kg, relative
    spleen, heart and brain weights were increased. In both sexes at
    540 mg/kg relative kidney weight was increased and relative liver
    weight was increased in both sexes at 180 and 540 mg/kg. Relative
    testis weight was increased in males at 540 mg/kg. Histopathological
    investigations showed a solitary form of axonal degeneration,
    affecting the fibre only, in the sciatic nerve, in two males fed
    540 mg/kg, but there were no clinical signs of toxicity. The NOEL was
    60 mg/kg feed, equivalent to 3 mg/kg bw per day (Clark, 1982).

    2.2.2.3  Rabbits

         Occluded dermal applications of 0, 2, 20 or 200 mg cyper-
    methrin/kg bw in PEG 300 were made to abraded and intact skin of
    groups of 10 male and 10 female NZW rabbits/sex. The applications were
    made for 6 h/day, 5 days/week for 3 weeks. No effects were observed on
    haematology, clinical chemistry or following macroscopic or micro-
    scopic examination. Slight to severe skin irritation was observed
    in rabbits at 200 mg/kg bw and slight to moderate skin irritation was
    observed in rabbits receiving 2 and 20 mg/kg bw. Decreased food
    consumption and body weight gain was observed in rabbits treated with
    200 mg/kg bw. Absolute and relative gonad weights were reduced in male
    rabbits at 200 mg/kg bw. The NOEL was 20 mg/kg bw (Henderson &
    Parkinson, 1981).

    2.2.2.4  Dogs

    a) Cypermethrin

         In a 5-week feeding study, groups of three beagle dogs/sex
    received diets containing 0, 15, 150 or 1500 mg cypermethrin/kg feed.
    No effects were found on body weight, food consumption, ophthalmo-
    scopy, haematology, clinical chemistry, macroscopy, liver weight or
    following microscopic examination. In the highest dose group dogs
    developed signs of intoxication, including apprehension, diarrhoea
    and vomiting, licking and chewing of the paws, whole body tremors, a
    stiff exaggerated hind leg gait, ataxia, inappetence, and decreased
    body weight gain. Relative thyroid weight and blood urea levels were
    increased and blood glucose levels were decreased (only a summary
    available) (Coombs  et al., 1976).

         Groups of beagle dogs (four/sex) were fed cypermethrin (purity
    98%) in the diet at concentrations of 0, 5, 50, 500 or 1500 mg/kg feed
    for 13 weeks. No mortality occurred. Dogs at 1500 mg/kg developed
    diarrhoea, anorexia and tremors as well as ataxia, incoordination and
    hyperaesthesia. Also a reduced food intake and body weight gain was
    seen. Due to the clinical signs two dogs/sex at 1500 mg/kg had to be
    killed. Minor variations in haematology were observed; the kaolin-
    cephalin clotting time was consistently lower throughout the study in
    female dogs at 500 mg/kg. However, because of the lack of a dose-
    response relationship, the variability of this parameter throughout
    the study, and the fact that there were no changes in the prothrombin
    time, this finding is not considered to be relevant. No effects were
    seen on clinical chemistry parameters or on organ weights. Microscopic
    examination of tissues and organs revealed a non-specific focal
    bronchopneumonia in the lungs of the dogs at 1500 mg/kg. A pink colour
    of the optic disc was noted in ophthalmological examinations. The NOEL
    was 500 mg/kg feed, equivalent to 12.5 mg/kg bw per day (Buckwell &
    Butterworth, 1977).

         A further experiment was undertaken to determine the cause of the
    pink discoloration, which occurred in all groups. Cypermethrin was fed
    to two groups of three male dogs at concentrations of 0 or 500 mg/kg
    food for 13 weeks. Specific ophthalmological examinations were made to
    evaluate the degree of coloration of the optic disc. At the end of 13
    weeks, there were no consistent differences between the colour of the
    optic discs of the treated dogs and the controls (Buckwell &
    Butterworth, 1977).

    b) alpha-Cypermethrin

         This study was conducted in two parts.

         In the first part one male and one female beagle dog were fed
    alpha-cypermethrin in the diet at concentrations of 200 mg/kg feed for
    7 days, 400 mg/kg feed for 2 days and 300 mg/kg feed for 7 days. Due
    to severe intoxication of the animals receiving 400 mg/kg, dosing was
    discontinued after 2 days. The animals were fed the control diet and
    in week 3 treatment was commenced at 300 mg/kg. After the third week
    the dogs were killed.

         Clinical signs including ataxia, body tremors, subdued behaviour,
    head nodding, food regurgitation, diminished response to stimuli and
    inflammation of gums and tongue were obtained when dogs were dosed
    with 300 and 400 mg/kg. Body weight loss was observed at 300 mg/kg.
    Examination of the cellular composition of blood and the chemical
    components of plasma showed no abnormalities, and no macroscopic
    changes were observed.

         In the second part one male and one female beagle dog were fed
    alpha-cypermethrin in the diet at 300 mg/kg food for 3 days (male dog)
    or 4 days (female dog), and then 250 mg/kg food for 7 days. At
    300 mg/kg the same effects were obtained as above. At 250 mg/kg only
    the female dog developed the clinical signs shown by the dogs treated
    with 300 and 400 mg/kg (Greenough & Goburdhun, 1984).

         Groups of four beagle dogs/sex received diets containing dose
    levels of 0, 30, 90 or 270 (six dogs/sex) mg alpha-cypermethrin/kg
    feed for 13 weeks. No effects on mortality, body weight, food
    consumption, ophthalmoscopy, haematology, clinical chemistry,
    macroscopy, organ weights or microscopy were seen. One female at
    270 mg/kg was killed, because of severe head and body tremors, ataxia,
    poor limb coordination, inflamed gums and elevated temperature. All
    dogs at 270 mg/kg developed marked clinical signs, including body
    tremors, head nodding, lip licking, subduedness, ataxia, agitation and
    high stepping gait. The NOEL was 90 mg/kg, equivalent to 2.25 mg/kg bw
    per day (Greenough  et al., 1984).

         Four groups of beagle dogs (four/sex) received via the diet 0,
    60, 120 or 240 mg alpha-cypermethrin/kg feed dally for 52 weeks. No
    effects were observed on body weight, food consumption, ophthalmo-
    scopy, haematology, clinical chemistry, urinalysis or organ weights,
    and no changes were observed in macroscopic or microscopic examinations.
    Two males at 240 mg/kg developed skin reddening on the tail. Abdominal
    skin reddening and alopecia were seen in another male at 240 mg/kg and
    one female at 120 mg/kg. The tail reddening caused obvious irritation
    and resulted in ulceration and necrosis in one male leading to
    amputation of part of the tail. The NOEL was 60 mg/kg feed, equivalent
    to 1.5 mg/kg bw per day (Dean & Jackson, 1995).

    2.2.3  Long-term toxicity/carcinogenicity studies

    2.2.3.1  Mice

         Groups of mice (70/sex, SPF-Swiss-derived) received diets
    containing 0 (2 groups), 100, 400 or 1600 mg cypermethrin/kg feed for
    up to 101 weeks. Ten mice/sex were killed after 52 weeks for interim
    necropsy. Observations included mortality, clinical signs, body weight
    gain, food consumption, haematology, clinical chemistry, organ
    weights, and macroscopy and microscopy. Body weight gain of both males
    and females at 1600 mg/kg was reduced when compared to the combined
    control groups. Several haematological changes, consistent with mild
    anaemia, were found in the 1600 mg/kg group at the interim kill, but
    not at termination. At interim kill and at termination, an increase in
    thrombocytosis and absolute and relative liver weight was seen in
    males at 1600 mg/kg. An increase in the incidence of benign
    alveologenic tumours was observed in females at 1600 mg/kg, but was
    within historical control incidence. In this study the NOEL was
    400 mg/kg feed, equal to 57 mg/kg bw per day (Lindsay  et al., 1982).

    2.2.3.2  Rats

         Groups of 48 Wistar rats/sex received diets containing 1, 10, 100
    or 1000 mg cypermethrin/kg feed for 2 years. The control group
    consisted of 96 rats/sex and was fed untreated diet for 2 years. After
    6 and 12 months six rats/sex were sacrificed and after 18 months 12
    rats/sex were sacrificed (controls, respectively, 12 and 24 rats/sex).
    The only effects observed were reductions in body weight and food
    consumption in males and females at 1000 mg/kg. No dose-related
    effects were observed on mortality, clinical chemistry, haematology,
    clinical chemistry, organ weights, macroscopy or microscopy. No
    difference between control and treated groups were found in the
    sciatic nerves. There was no increase in compound-related tumours. The
    NOEL was 100 mg/kg feed, equivalent to 5 mg/kg bw per day (McAusland
     et al., 1978).

    2.2.3.3  Dogs

         Groups of four beagle dogs/sex (5´-7 months of age) were fed
    diets containing 0, 3, 30, 300 or 1000 mg cypermethrin/kg food for 2
    years. Groups of four dogs/sex were allocated to a satellite study and
    received a diet containing 0, 300 or 1000 mg/kg cypermethrin (data
    concerning this satellite group have only been included in the report
    to aid interpretation of the results of the main study). Due to severe
    signs of intoxication observed at the 1000 mg/kg level, the
    concentration was reduced to 750 mg/kg at week 4 of the study and,
    when signs of intoxication persisted during weeks 6-8, animals in the
    high-dose group were fed a control diet for 10 days to allow them to
    recover. Following the 10 days of control diet, the dogs were fed

    cypermethrin at a concentration of 600 mg/kg food for the remainder of
    the study. No effects were observed on ophthalmoscopy, clinical
    chemistry, organ weights, macroscopy or microscopy. No abnormalities
    were found in the sciatic nerves, brain or spinal cord. One male dog
    in the satellite group fed 1000 mg/kg convulsed and died. Signs of
    intoxication appeared within 24 hours of the initiation of dosing and
    consisted of licking and chewing of the paws, a stiff high stepping
    gait, whole body tremors, head shaking, incoordination, ataxia and, in
    some cases, convulsions. These signs were observed at 1000 mg/kg and
    to a lesser extent at 750 mg/kg, but not at 600 mg/kg. The body
    weights of male dogs in the highest dose group were significantly
    lower than the controls, probably due to initial reduction in food
    consumption observed at 1000 mg/kg. In the satellite group no effect
    on body weight gain was seen. Apart from some occasionally decreased
    sodium levels in the males given the highest dose, no consistent
    haematological changes were seen. The NOEL was 300 mg/kg feed,
    equivalent to 7.5 mg/kg bw per day (Buckwell, 1981).

    2.2.4  Reproductive toxicity studies

         Groups of 30 rats/sex (Wistar) received diets containing 0, 10,
    100 and 500 mg cypermethrin/kg feed for 5 weeks prior to mating and
    then throughout pregnancy and lactation for three successive
    generations. Two litters were bred per generation. The first litters
    were discarded at weaning. Males and females from the second litter
    were randomly selected to breed the next generation. A significant
    reduction in body weight gain was seen in the male and female parent
    rats receiving 500 mg/kg in all three generations. This was correlated
    with a reduction in food consumption. Litter size was reduced at
    500 mg/kg in the F1a litter at birth and after 7 and 21 days. Litter
    weights were reduced at 500 mg/kg in the F1a, litters on days 7, 14
    and 21 of lactation. No other effects on fertility or reproduction
    parameters were found. The NOEL for maternal and reproduction toxicity
    was 100 mg/kg feed, equivalent to 5 mg/kg bw per day (Hend  et al.,
    1978; Fish, 1979; Thorpe, 1985).

    2.2.5  Special studies on embryotoxicity and teratogenicity

    2.2.5.1  Rats

    a) Cypermethrin

         Groups of 25 pregnant female rats (Sprague-Dawley) received by
    gavage 0, 17.5, 35 or 70 mg cypermethrin/kg bw per day in corn oil
    during days 6 to 15 of gestation. The females were sacrificed on day
    21 of gestation for examination of their uterine contents. One female
    at 70 mg/kg bw per day was found dead and one female at 70 mg/kg bw
    per day was killed for ethical reasons following severe convulsions.
    Eleven out of 25 females at the 70 mg/kg bw per day group showed
    neurological disturbances (ataxia, convulsions, hypersensitivity to

    noise). A dose-related reduction in body weight gain was observed in
    the groups given 35 and 70 mg/kg bw per day. There were no indications
    of any embryotoxic or teratogenic effects. The NOEL for maternal
    toxicity was 17.5 mg/kg bw per day and the NOEL for embryotoxicity was
    70 mg/kg bw per day (Tesh  et al., 1978).

    b) alpha-Cypermethrin

         In a range-finding study, five pregnant female Sprague-Dawley
    rats received daily, by gavage, 0, 3, 9, 15 or 18 mg alpha-cyper-
    methrin/kg bw in corn oil during days 6-15 of gestation. Maternal
    body weights, food consumption and clinical observations were
    recorded. On day 20 of gestation the females were killed and the
    fetuses were weighed, sexed and externally examined. Four dams at
    18 mg/kg bw per day and one dam at 15 mg/kg bw per day showed hindlimb
    splay and unsteady gait during dosing. Mean body weight gain was
    reduced in a dose-related manner at 9, 15 and 18 mg/kg bw per day and
    at 15 and 18 mg/kg bw per day food consumption was reduced. No other
    treatment-related abnormalities were observed (Irvine & Twomey, 1994).

         In another study, groups of 24 pregnant female Sprague-Dawley
    rats received by gavage 0, 3, 9 or 18 mg alpha-cypermethrin (purity
    95.6%)/kg bw per day in corn oil during days 6-15 of gestation.
    Following marked clinical signs of toxicity the dose level of 18 mg/kg
    bw per day was lowered to 15 mg/kg bw per day on day 10 of gestation.
    Clinical signs, body weights and food consumption were recorded. On
    day 20 of gestation the females were killed and necropsied. The
    fetuses were weighed, sexed and examined for external, visceral and
    skeletal abnormalities.

         Females at 18 mg/kg bw per day showed unsteady gait,
    piloerection, limb splay and hypersensitivity to sound. After
    reduction of the dose level the signs were similar but less marked.
    After treatment with 18/15 mg/kg bw per day a lowered body weight gain
    and food consumption was seen. At 9 mg/kg bw per day a slight body
    weight reduction was seen. Mean fetal weights were slightly reduced at
    18/15 mg/kg bw per day. There was no indication for teratogenicity.
    The NOEL for maternal and fetal toxicity was 9 mg/kg bw per day
    (Irvine, 1994c).

    2.2.5.2  Rabbits

    a) Cypermethrin

         In a range-finding study, groups of four female pregnant rabbits
    (NZW) received during days 6 to 18 of gestation by gavage 0, 25, 50,
    100 or 120 mg cypermethrin/kg bw per day in corn oil. The dams were
    sacrificed on day 29 of gestation. No adverse effects were seen in the
    mothers and fetuses (Tesh  et al., 1984a).

         Groups of 16 pregnant NZW rabbits received by gavage 0, 20, 50 or
    120 mg cypermethrin/kg bw per day in corn oil during days 6 to 18 of
    gestation. The dams were killed on day 29 of gestation. One control
    female, three females receiving 20 mg/kg bw per day and two females in
    each of the groups receiving 50 and 120 mg/kg bw per day were killed
    for ethical reasons. Necropsy revealed evidence of respiratory tract
    infection and/or gastrointestinal tract infection not related to the
    substance. Two females at 20 mg/kg bw per day and two females at
    120 mg/kg bw per day aborted during the post-treatment phase of the
    investigation. The number of implantations, live young and
    resorptions, pre- and post-implantation losses, and fetal and
    placental weights were unaffected by treatment. There was no
    indication for embryotoxicity or teratogenicity. The NOEL for
    embryo-toxicity was 120 mg/kg bw per day (Tesh  et al., 1984b, 1988).

         Groups of pregnant rabbits (20 rabbits/group, 30 rabbits were
    used as an additional control group) were administered cypermethrin
    dissolved in corn oil at dose levels of 0, 3, 10 or 30 mg/kg bw per
    day orally from days 6 to 18 of gestation. On day 28 of gestation the
    rabbits were killed and examination was made of live fetuses, dead
    fetuses, resorption sites and corpora lutea. Live fetuses were
    maintained for 24 hours to assess viability. Fetuses were also
    examined for gross somatic and skeletal deformities. There was no
    significant mortality or difference in weight gain during the period
    of gestation. There were no significant differences between control
    and test groups with respect to pregnancy, fetal death and survival.
    Although a wide range of skeletal and visceral abnormalities was found
    in the course of the study, there were no differences between control
    and test groups with respect to abnormalities. It was concluded that
    oral dosing up to 30 mg/kg bw during the major period of organogenesis
    resulted in no teratogenic effects in offspring (FAO, 1980).

    b) alpha-Cypermethrin

         In a range finding study groups of five mated female NZW rabbits
    received by gavage 0, 5, 15, 25 or 30 mg a-cypermethrin/kg bw per day
    as solutions in corn oil, during days 7-19 of gestation. On day 28 of
    pregnancy the females were killed and a necropsy was performed. The
    fetuses were weighed, sexed and externally examined. One female each
    at 15 and 25 mg/kg bw per day was killed prematurely. At 25 and
    30 mg/kg bw per day marked reductions in body weight and food
    consumption were seen. There was no indication for either
    embryotoxicity or teratogenicity (Irvine, 1994a).

         In another study, groups of 16 pregnant NZW rabbits received by
    gavage 0, 3, 15 or 30 mg alpha-cypermethrin/kg bw per day in corn oil
    during days 7-19 of gestation. Maternal clinical signs, body weight
    and food consumption were recorded. The females were killed on day 28
    of pregnancy. The uterus was weighed and the numbers of corpora lutea,
    implantations and live fetuses were counted. The fetuses were weighed,
    sexed and examined for external, visceral and skeletal abnormalities.

         Two control females, three at 15 mg/kg bw per day and two at
    30 mg/kg bw per day were killed, because of severe weight loss and low
    food consumption. One female at 15 mg/kg bw aborted on day 28. In all
    groups, including controls, there was a similar mean body weight loss
    after the onset of dosing, which continued until day 11. At 30 mg/kg
    bw per day there was a further reduction in mean body weight gain
    towards the end of the dosing period. Food consumption reflected the
    changes in mean body weight gain. The NOEL for maternal toxicity was
    3 mg/kg bw per day and the NOEL for embryotoxicity was 30 mg/kg bw.
    There was no indication for teratogenicity (Irvine, 1994b).

    2.2.6  Special studies on genotoxicity

         Results of genotoxicity studies carried out cypermethrin and
    alpha-cypermethrin are summarized in Tables 3 and 4.

    2.2.7  Special studies on neurotoxicity

    2.2.7.1  Rats

    a) Cypermethrin

         Groups of 6 or 12 rats/sex were administered single oral doses of
    100, 200 or 400 mg cypermethrin/kg bw (purity 97%) as a 5% dispersion
    in corn oil. The observation period was 9 days. The rats were then
    killed and examined histologically. All rats showed signs of
    intoxication. At 400 mg/kg bw, within 4 hours of dosing, rats
    developed signs of intoxication, including coarse tremors, spasmodic
    movements of the body and tail and bleeding from the nose. Tip-toe
    walking was also seen in some rats. All animals, except one, were
    killed, owing to the severity of the signs. Histological examination
    revealed swelling of the myelin sheaths and breaks of some of the
    axons of the sciatic nerves. At 200 mg/kg bw similar effects were
    observed; eight rats of each sex died or were killed within 48 h of
    dosing. The remaining four rats survived the observation period. At
    100 mg/kg bw all animals survived the 9 days. One female out of 12
    showed minimal lesions in the sciatic nerve in this group. A NOEL
    could not be determined (Carter & Butterworth, 1976).

         In a neuromuscular dysfunction test, Wistar rats (10/sex) were
    treated by gavage with 0, 25, 50, 100, 150 or 200 mg cypermethrin/kg
    bw per day in DMSO for 7 consecutive days. The rats were killed 3-4
    weeks after the start of dosing, and right and left sciatic/posterior
    tibial nerves were analysed. Neuromuscular function was assessed by
    means of the inclined plane test and peripheral nerve damage by
    reference to ß-glucuronidase and ß-galactosidase activity increases in
    nerve tissue homogenates.

        Table 3.  Results of mutagenicity assays on cypermethrin
                                                                                                             

    Test system        Test object         Concentration          Purity     Results        References
                                                                  (%)
                                                                                                             

    In vitro

    Gene mutations     S. typhimurium      0.2-2000               93.5       negative2      Brooks,
      assay            TA1525, TA100,      µg/plate1                                        1980
                       TA1538, TA98,                                                        Dean,
                       TA1537                                                               1981

    Gene mutations     E.coli WP2 or       0.2-2000               93.5       negative2      Dean,
      assay            WP2 uvrA            µ/plate1                                         1981

    Mitotic gene       Saccharomyces       0.01-5.0               93.5       negative       Dean,
      conversions      cerevisiae JD1      mg/litre1                                        1981
      assay

    Host-mediated      S. cerevisiae       25 and 50              93.5       negative       Brooks,
      assay            JD1                 mg/kg bw                                         1980
      in mice

    Cell               BHK 21/C113         31.25-250              93.5       negative       Dean,
      transformation   cells               µg/ml1                                           1981
      assay

    Chromosomal        RL4 liver cells     7.5-30 µg/ml           93.5       negative       Dean,
      aberrations                                                                           1981
      assay
                                                                                                             

    Table 3.  Results of mutagenicity assays on cypermethrin (cont'd).
                                                                                                             

    Test system        Test object         Concentration          Purity     Results        References
                                                                  (%)
                                                                                                             

    In vivo

    Chromosome         Chinese hamster     2x oral dose of        ?          negative       Dean,
      aberration                           20 or 40 mg/kg                                   1977
      assay in bone                        bw (2 successive
      marrow                               days)

    Dominant           mouse               single oral dose       ?          negative       Dean
      lethal assay                         of 6.25, 12.5 or                                 et al.,
                                           25 mg/kg bw or                                   1977
                                           5 daily doses of
                                           2.5 or 5 mg/kg
                                           bw per day

    Host-mediated      mouse/              orally 0, 25, 50       ?          negative       JMPR,
      assay            S. cerevisiae       mg/kg                                            1979

    DNA damage         CD rats             m 100 mg/kg, f 150     ?          negative       Creedy &
      assay                                mg/kg; 1, 4, 16                                  Wooder,
                                           hour exposure                                    1977
                       Wistar rats         m 300 mg/kg; 1, 4,                negative       Creedy &
                                           16 hour exposure                                 Wooder,
                                           f 450 mg/kg, 1 hour                              1977
                                           exposure f 337.5
                                           mg/kg, 4 and 16
                                           hour exposure
                                                                                                             

    1    with and without metabolic activation
    2    at 200 and 2000 µg/plate, formation of visible droplets in the top agar was seen

    Table 4.  Results of mutagenicity assays on alpha-cypermethrin
                                                                                                             

    Test system          Test object           Concentration      Purity      Results            References
                                                                  (%)
                                                                                                             

    In vitro

    Gene mutations       S. typhimurium        31.5-5000          95.6        negative           Brooks &
    assay1               TA98, TA100,          µg/ml                          (no toxicity)      Wiggins,
                         TA1535, TA1537                                                          1992
                         TA1538
                         E. coli WP2 uvrA

    Gene mutations       S. cerevisiae         31.25-4000         95.8        negative           Brooks,
    assay1               XV185-14C             µg/ml                                             1984

    Gene mutations1      L5178Y mouse          3.3-50 µg/ml       95.4        negative           Vanderwaart,
    assay                lymphoma cells                                                          1994

    Chromosomal          human peripheral      -act: 93.75-1000   95.6        negative           Brooks &
    aberrations          lymphocytes           µg/ml                          precipitation      Wiggins,
    assay1                                     +act: 125-1000                 was seen           1993
                                               µg/ml

    In vivo

    Chromosomal          rat femoral           single oral dose   95.8        negative           Clare &
    aberrations          bone marrow           2-8 mg/kg3                                        Wiggins,
                                                                                                 1984
                                                                                                             

    Table 4.  Results of mutagenicity assays on alpha-cypermethrin (cont'd).
                                                                                                             

    Test system          Test object           Concentration      Purity      Results            References
                                                                  (%)
                                                                                                             

    Micronucleus         mouse                 single oral dose   95.4        negative           Vanderwaart,
    assay                                      1-10 mg/kg bw                                     1995

    Alkaline             rat                   single oral dose   96.5        negative           Wooder,
    elution                                    40 mg/kg, 6                                       1981
    analysis                                   hours exposure
    assay2
                                                                                                             

    1    With and without metabolic activation
    2    The effect of alpha-cypermethrin on the integrity of rat liver DNA was investigated
         by this method
    3    Initially doses of 10, 20 or 40 mg/kg were used, but the animals exhibited severe
         signs of toxicity and the experiment was terminated at these doses. Surviving
         females were evaluated for chromosomal damage and none was observed
    
         At 200 mg/kg bw per day 50% of the males and 62.5% of the females
    died, at 150 mg/kg bw per day two females and one male died and at
    100 mg/kg bw per day one female died but no males. No mortalities
    occurred in the other groups. A dose-related (in severity and
    duration) increase was seen in clinical signs at doses > 100 mg/kg bw.
    These signs included salivation, ataxia, splayed hind limb gait,
    hyperexcitability to auditory stimuli, tremor and choreoathetosis. At
    the same dose levels body weight gain was also reduced.

         A dose-related transient functional impairment was found in rats
    treated with cypermethrin in the inclined plane test. This effect was
    maximal at the end of the 7-day subacute dosing regimen. At doses
    which caused mortality, significant increases in ß-glucuronidase and
    ß-galactosidase were found 3-4 weeks after the start of dosing in the
    distal portion of the sciatic/posterior tibial nerves. There was no
    direct correlation between the time course of the neuromuscular
    function and the neurobiochemical changes. The NOEL was 50 mg/kg bw
    per day (Rose & Dewar, 1983).

         The effects of some pyrethroids, including cypermethrin, on
    amplitude and pre-pulse inhibition of the acoustic startle reflex were
    studied in male Wistar rats. The pyrethroids were suspended in corn
    oil. Cypermethrin was given orally at dose levels of 0, 0.5, 1 or
    2 mg/kg bw to 12 males. Each animal received all doses of cyper-
    methrin. The intersession interval was one week. Animal behaviour
    was observed by the experimenter before and after the test session for
    a period of 10 minutes and the effects of the pyrethroids on overt
    behaviour were measured by scoring the presence of pawing and
    salivation, burrowing, hyperactivity, hyperreactivity to an external
    stimulus, fine tremors of low intensity and fluid loss. Neither
    cypermethrin nor the other pyrethroids tested affected the amplitude
    or the latency of the startle reflex (Hijzen  et al., 1988).

    b) alpha-Cypermethrin

         The acute neurotoxicity of alpha-cypermethrin was studied in
    Crl:CD:BR rats in two separate acute studies, each using four groups
    of ten animals/sex or five rats per sex (additional study). The groups
    received a single dose of 0, 4, 20 or 40 mg alpha-cypermethrin/kg bw
    in corn oil. During the 14-day observation period, clinical signs and
    body weight were analysed. In the main study a detailed clinical
    assessment for neurotoxicological effects was performed. This included
    a functional observational battery (FOB) and measurements of fore and
    hind limb grip strength, hindlimb landing foot splay and motor
    activity. In each study five rats/sex were killed on day 15 and brain,
    eyes, muscle, nerves, spinal cord and spinal ganglia were analysed.

         One male rat in each of the 20 and 40 mg/kg bw groups of the
    additional study was found dead on the day after dosing. Clinical
    signs were seen in male rats dosed with 20 and 40 mg/kg bw. The signs
    (similar in both studies) developed between 3 to 8 hours after dosing
    and resolved by three days after dosing. The signs included abnormal/
    splayed gait, thrashing, prostration, vocalization, piloerection,
    hunched posture, unkempt appearance, soiled/stained body areas and
    diarrhoea. The signs in females were similar but lower in frequency.
    In addition to these signs there were also isolated cases of
    twitching, tremors, abasia, hypersensitivity, pale eyes, soft faeces
    and thinning of the fur.

         During FOB conducted 5 hours after dosing, gait abnormalities and
    clinical signs of increased reactivity were seen in most male rats
    dosed with 20 and 40 mg/kg bw. In females the signs were less
    frequent. In the 20 and 40 mg/kg bw groups there was a increase in
    very slight to slight sporadic fibre degeneration in the sciatic
    nerve. The changes were more frequent in the proximal than in the
    distal part of the nerve. The NOEL was 4 mg/kg bw (Fokkema, 1994b).

    c) Cypermethrin and alpha-cypermethrin

         This experiment was performed in two phases. The first phase was
    conducted to determine the time course for neurochemical changes in
    Wistar rats occurring in the sciatic/posterior tibial nerve (SPTN),
    trigeminal nerve and trigeminal ganglion following treatment with
    cypermethrin for 5 days/week for 4 weeks. Cypermethrin was
    administered at 150 mg/kg bw per day in DMSO (reduced to 100 mg/kg bw
    per day in arachis oil, after 10 doses, because of mortality),
    alpha-Cypermethrin was dosed at 37.5 mg/kg bw per day in DMSO (also
    reduced after 10 days to 25 mg/kg bw per day in arachis oil). Five
    animals per sex, treated with either cypermethrin and alpha-cyper-
    methrin, were killed at 2, 3, 4, 5, 6, 8, 10 or 12 weeks and examined.

         Dosing resulted in the death of 56% of the cypermethrin-treated
    animals and 21% of the alpha-cypermethrin-treated animals. The most
    frequent signs of intoxication included abnormal gait, ataxia,
    lethargy, chromodacryorrhoea, salivation and hypersensitivity to
    sensory stimuli. The ß-glucuronidase and ß-galactosidase activities in
    the SPTN were increased at 5, 6 and 8 weeks, when compared to
    controls. The increase was maximal after 5 weeks, and after 12 weeks
    was comparable to controls. No significant enzyme changes were found
    in the trigeminal ganglia and trigeminal nerve of treated animals.

         Phase 2 was conducted to establish the dose level which did not
    cause peripheral nerve degeneration in the SPTN, trigeminal nerve and
    ganglia. Groups of 10 rats/sex were dosed with 37.5, 75 or 150 mg
    cypermethrin/kg bw per day in DMSO or 10, 20 or 40 mg alpha-cyper-
    methrin/kg bw per day in DMSO, 5 days/week for 4 weeks. A control
    group of 10 animals was used.

         Signs of intoxication similar to those reported in phase 1 were
    seen at the highest dose levels. A large increase in ß-glucuronidase
    and ß-galactosidase activities in the SPTN was seen at 150 mg/kg bw
    per day cypermethrin and 40 mg/kg bw per day alpha-cypermethrin. In
    the groups administered 75 mg/kg bw per day cypermethrin or 20 mg/kg
    bw per day alpha-cypermethrin a small increase in ß-galactosidase was
    found in both the distal and proximal sections of the SPTN. The
    magnitude of the enzyme changes was similar to those of phase 1.
    Significant enzyme changes were also found in the trigeminal ganglia
    and to a lesser extent in the trigeminal nerve of the groups
    administered 75 or 150 mg/kg bw per day cypermethrin and 20 or
    40 mg/kg bw per day alpha-cypermethrin. The NOELs were 37.5 mg/kg bw
    cypermethrin and 10 mg/kg bw alpha-cypermethrin (Rose, 1983).

    2.2.7.2.  Chickens

         In a delayed neurotoxicity study, six adult domestic hens
    received 1000 mg cypermethrin/kg bw per day in DMSO for 5 days. After
    3 weeks the dosing regime was repeated and a further three weeks later
    the birds were killed. A positive (tri- ortho-tolyl phosphate) and
    negative control (not dosed) group were used.

         None of the cypermethrin-treated hens developed any signs of
    intoxication. Histological examination of the nervous system revealed
    no lesions. All birds receiving the positive control developed
    clinical signs of neurological damage within 15 days and became
    progressively more unsteady and ataxic thereafter. Histological
    examination of these animals showed lesions in the cerebellum, sciatic
    nerve and spinal cord, including axonal and myelin degeneration
    (Owen & Butterworth, 1977).

    2.2.7.3  Hamsters

         The 1979 JMPR (FAO, 1980) evaluated some neurotoxicity studies
    with cypermethrin in hamsters. At doses of > 794 mg/kg bw, all
    treated hamsters showed clinical signs of poisoning, including
    tremors, abnormal irregular movements and an unusual gait. As in the
    cases of rats, axon and myelin degeneration was noted in all groups
    treated. The lesions included swelling and breaks in the axons and
    clumping of myelin.

         Hamsters treated orally with a single dose of 40 mg/kg bw,
    followed by four doses of 20 mg/kg bw, developed weight loss and
    sometimes mortality. There was loss of fur and dermal ulceration.
    There was no effect in the mean slip angle experiment, and a marginal
    increase in ß-galactosidase was observed in peripheral nerve.

         Hamsters treated orally with doses of 5, 10 or 20 mg/kg bw per
    day for 5 days showed no mortality. Lower body weight gain was
    observed at 20 mg/kg bw per day. One female (out of 5) at the highest
    dose developed hyperexcitability. There was a significant deficit in
    the mean slip angle test, females showing an earlier dose-related
    deficit than noted in males. ß-Galactosidase activity was increased at
    all dose levels 3 weeks after the onset of the experiment. This effect
    was significant at the two highest dose levels. In this experiment
    dermal irritation and fur loss were noted.

         In another experiment hamsters were orally treated with
    30 mg/kg bw per day for 5 days. There was no mortality and there were
    no differences in weight gain. There was some transient skin
    irritation accompanied by skin ulceration. One male (out of 16) had an
    unusual gait. There was a slight deficit in the inclined plane test
    which was noted in the early parts of the experiment. Increases in
    both ß-glucuronidase and ß-galactosidase were evident in peripheral
    nerve tissue.

    2.2.8  Special studies on biochemistry and electrophysiology

         In three independent experiments with Wistar rats the effects of
    varying doses of cypermethrin (purity 98%, 10% in DMSO) on the
    trigeminal ganglion and three sections of the maxillary branch of the
    trigeminal nerve (proximal, distal and endings) were determined.
    Increases in ß-galactosidase activity in these tissues were taken as
    evidence of axonal degeneration.

         The three studies involved repeated oral administration of
    cypermethrin at 150 mg/kg bw per day for 5 or 7 days and 0, 25, 50,
    100 or 200 mg/kg bw per day for 5 or 7 days. Mortality occurred in
    animals receiving 100 mg/kg bw per day or more. A dose-related
    transient functional impairment, assessed by means of the inclined
    plane test was found in the first week. Significant increases in
    ß-glucuronidase and ß-galactosidase activity of the sciatic, tibial or
    trigeminal nerves only occurred with 5 or 7 doses of 150 or
    200 mg/kg bw per day. Increased activity of the enzymes in the distal
    portion of nerves was found, but even in the most severely intoxicated
    animals the magnitude of this increase was less than that induced by
    the known neurotoxic agent methylmercury chloride (Dewar & Moffett,
    1978).

         Cypermethrin (1:1 cis:trans) was administered to male and female
    rats at dose levels ranging from 25 to 200 mg/kg bw per day for 5
    consecutive days by oral intubation as a 10% w/v solution in DMSO. A
    dose-related functional deficit was observed when the mean slip angle
    test and the landing foot spread test were applied to the animals. The
    deficit was maximal from days 6 to 14 after the beginning of

    treatment, and complete functional recovery occurred within 4 weeks.
    Substantial variation in data from the landing foot spread test was
    noted. Data were inconsistent over the course of the study.
    ß-Glucuronidase activity was increased in a dose-dependent fashion in
    both males and females. The results suggested that cypermethrin
    produced a primary axonal degeneration, readily measurable 28 days
    after treatment as an increase in ß-glucuronidase activity and in
    deficits in specific behavioural-function testing of rats (FAO, 1980).

         Electrophysiological studies were performed to determine whether
    acute or subacute intoxication with cypermethrin produced changes in
    the conduction velocity of slower fibres in peripheral nerves or
    alterations in the maximal motor conduction velocity. There was no
    evidence to suggest that cypermethrin, at doses that induced severe
    clinical signs of intoxication, including ataxia, had any effect on
    maximal motor conduction velocity or conduction velocity of the slower
    motor fibres in peripheral nerves. Doses used in the study ranged from
    a single dose of 200 mg/kg bw to 7 consecutive doses of 150 mg/kg bw
    followed by two doses of 400 mg/kg bw. At near-lethal doses there were
    no effects on conduction velocity even in the presence of clinical
    signs of acute intoxication and at dose levels where previous studies
    had shown functional degeneration. These electro-physiological
    findings are reflective of motor function, which would suggest that
    the physiological and functional deficits observed as a result of
    acute intoxication are primarily sensory in nature (FAO, 1980).

    2.2.9  Special studies on sensitization

    2.2.9.1  Cypermethrin

         Two out of 20 guinea-pigs developed a positive reaction to
    cypermethrin in the Magnusson Kligman test, indicating that
    cypermethrin is not a sensitizer (Coombs  et al., 1976).

    2.2.9.2  alpha-Cypermethrin

         No positive reactions were obtained in a Magnusson-Kligman test
    performed with guinea-pigs (Gardner, 1993).

    2.2.10  Special studies on skin and eye irritation

    2.2.10.1  Cypermethrin

         A single application of undiluted technical cypermethrin was
    moderately irritant to occluded rabbit skin (Coombs  et al., 1976).

         A single application of undiluted technical cypermethrin to
    rabbit eyes produced a mild transient conjunctivitis and blepharism
    lasting 2 days (Coombs  et al., 1976).

    2.2.10.2  alpha-Cypermethrin

         Six NZW rabbits receiving a semi-occlusive topical application
    with 500 mg alpha-cypermethrin technical developed very slight
    erythema in two animals up to 72 hours after removal of the dressings.
    There were no other dermal reactions (Gardner, 1993).

         Six NZW rabbits receiving an instillation of 0.1 ml (equivalent
    to 45 mg) alpha-cypermethrin technical developed slight conjunctival
    redness and ocular discharge up to 72 hours after treatment. No cornea
    or iris irritation was observed (Gardner, 1993).

    2.3  Observations in humans

         The symptoms and signs of acute poisoning resulting from
    pyrethroids are very similar. Apart from the irritative symptoms of
    the skin and respiratory tract (or digestive tract in ingestive
    poisoning), acute pyrethroid poisoning is clinically characterized by
    abnormalities of nervous excitability.

         Occupationally exposed people had abnormal skin sensations
    described as burning, itching or tingling, which could be exacerbated
    by sweating or washing and readily disappeared after several hours.
    Systemic symptoms included dizziness, headache, nausea, anorexia and
    fatigue. Vomiting was more prominent in patients with ingestive
    poisoning than in occupational poisoning cases. Other symptoms such as
    chest tightness, paraesthesia, palpitation, blurred vision and
    increased sweating were less frequently seen. The more serious cases
    developed coarse muscular fasciculations in large muscles or
    extremities (Van den Bercken & Vijverberg, 1989; He  et al., 1989).

         Urine obtained from operators spraying cypermethrin in
    experimental trials was analysed for the presence of the chlorinated
    cyclopropane carboxylic acid metabolite. This metabolite was observed
    in the urine of exposed workers at levels up to 0.4 µg/ml (the limit
    of detection was estimated to be 0.05 µg/ml).

         Cypermethrin sprayers were found to have residues on the exposed
    parts of their bodies. The rate of dermal exposure of the operators
    during spraying ranged from 1.5 to 46.1 mg/hour. There was a
    reasonable relationship between the total cypermethrin deposited
    dermally and the excretion in urine. The levels of the cyclopropane
    carboxylic acid metabolite in the 24-hour urine were between <0.05
    and 0.32 mg (not specified). This, together with the finding of 0.6 mg
    (not specified) of this metabolite in 72-hour urine from one man, led
    to the estimation that approximately 3% of the total dermal dose was
    absorbed and rapidly excreted by the operators (FAO, 1980).

         In a controlled experiment with sprayers, no abnormalities were
    found in clinical and neurological examinations, blood chemistry or
    peripheral nerve function tests (including the trigeminal nerve). In
    some electroneurophysiological tests (motor conduction velocity, slow
    fibre conduction velocity and cornea reflex), a significant change
    within the normal range appeared to exist for the group sprayers
    between pre- and post-exposure measurements. These changes probably
    reflect seasonal variations (FAO, 1982).

    3.  COMMENTS

         The Committee considered toxicological data on cypermethrin and
    alpha-cypermethrin, including the results of acute, short-term, and
    reproductive studies, and studies on pharmacokinetics and metabolism,
    genotoxicity, long-term toxicity/carcinogenicity and neurotoxicity.
    Results of effects in humans were also considered.

         Cypermethrin is a mixture of four cis and four trans isomers. The
    cis isomers are more biologically active and more persistent than the
    trans isomers, alpha-Cypermethrin is a mixture of the two most active
    cis isomers. A typical cypermethrin sample contains 25% alpha-
    cypermethrin. Cypermethrin and alpha-cypermethrin are alpha-cyano or
    type II pyrethroids that cause neurotoxicity in mammals and insects.
    They affect nerve membrane sodium channels, causing a long-lasting
    prolongation of the normally transient increase in sodium permeability
    of the membrane during excitation. At high dose levels, these type II
    pyrethroids induce salivation and tremors that progress to
    characteristic clonic-tonic convulsions (choreoathetosis and
    salivation syndrome).

         After oral administration, cypermethrin is readily absorbed,
    distributed and excreted in rats, chickens, sheep and cattle.
    Cypermethrin is primarily eliminated in urine and faeces in about
    equal proportions. Less than 1% is excreted in milk. When cypermethrin
    was applied dermally to sheep, 2.5% was eliminated in urine and faeces
    within 6 days and after an oral dose about 60% was eliminated within 2
    days.

         Studies in cattle indicated that absorption, distribution and
    excretion were comparable for cypermethrin and alpha-cypermethrin. The
    major metabolic route for both cypermethrin and its isomers, including
    alpha-cypermethrin, is cleavage of the ester bond followed by
    hydroxylation and conjugation of the cyclopropyl and phenoxybenzyl
    portions of the molecule. The data suggest that there is no isomeric
    interconversion during metabolism.

         The acute oral toxicity of cypermethrin and alpha-cypermethrin is
    moderate to high. WHO has classified these substances as "moderately
    hazardous" (WHO, 1996). In rats and mice, the oral LD50 ranges from
    82 to 4000 mg/kg bw for cypermethrin and from 35 to > 5000 mg/kg bw
    for alpha-cypermethrin, depending on the vehicle used. At lethal or
    near lethal doses the signs are typical of type-II pyrethroids and
    include salivation, ataxia, gait abnormalities and convulsions.

         Several oral short-term toxicity studies with cypermethrin were
    available. Cypermethrin has been tested in rats (5 weeks and 90 days)
    and dogs (5 weeks and 13 weeks) at dose levels ranging from 25 to
    1600 mg/kg feed (equivalent to 1.25-80 mg/kg bw per day) and 5 to
    1500 mg/kg feed (equivalent to 0.125-37.5 mg/kg bw per day),
    respectively. In these studies, the clinical signs included ataxia,

    abnormal gait, nervousness, and, particularly in dogs, inappetence,
    diarrhoea, vomiting and hyperaesthesia. In both rats and dogs,
    cypermethrin caused decreases in body weight gain, food intake, and a
    number of haematological parameters, increases in some organ weights
    and plasma urea levels, and, at lethal or near-lethal doses, effects
    on the nervous system. For cypermethrin the lowest NOEL in short-term
    studies was in a 90-day study with rats administered 25, 100, 400 or
    1600 mg/kg feed (equivalent to 1.25-80 mg/kg bw per day). Male rats
    given 1600 mg/kg feed showed decreases in haemoglobin concentration,
    mean corpuscular volume and eosinophil numbers, and increases in
    prothrombin time, plasma urea levels and relative liver and kidney
    weights. The decrease in eosinophil numbers and increase in relative
    liver weight were also observed in males at 400 mg/kg feed. In female
    rats, reduced food intake and increased relative liver weight were
    noted in rats given 1600 mg/kg feed. The NOEL in this study was
    100 mg/kg feed, equivalent to 5 mg/kg bw per day.

         alpha-Cypermethrin was tested in oral short-term toxicity studies
    with mice (29 days and 13 weeks), rats (5 weeks, 6 weeks and 90 days)
    and dogs (13 weeks and 52 weeks) at dose levels ranging from 50 to
    1600 mg/kg feed (equivalent to 7-240 mg/kg bw per day), 20 to
    1200 mg/kg feed (equivalent to 1.25-60 mg/kg bw per day) and 30 to
    270 mg/kg feed (equivalent to 0.75-6.75 mg/kg bw per day),
    respectively. In these studies, alpha-cypermethrin caused the same
    effects as described for cypermethrin in the short-term studies. The
    signs of toxicity included ataxia, abnormal gait, increased
    sensitivity to noise, hyperactivity, hunched posture and, as
    demonstrated histologically, axonal degeneration of the sciatic
    nerves. For alpha-cypermethrin the lowest NOEL was in a 52-week study
    with dogs. In this study a diet containing 60, 120 or 240 mg/kg feed
    (equivalent to 1.5 to 6 mg/kg bw per day) was administered. Dogs given
    120 and 240 mg/kg feed showed skin reddening, ulceration and necrosis.
    The NOEL in this study was 1.5 mg/kg bw per day.

         A three-generation reproductive toxicity study with cypermethrin
    was performed in rats at dose levels of 10, 100 or 500 mg/kg feed
    (equivalent to 0.5-25 mg/kg bw per day). At the highest dose a
    reduction in body weight gain and food consumption and a concomitant
    reduction in litter size and weight were seen in the F1a progeny
    only. No other effects on fertility or reproduction parameters were
    observed. The NOEL was 100 mg/kg feed, equivalent to 5 mg/kg bw per
    day.

         Cypermethrin did not cause embryotoxicity or teratogenicity in
    rats at doses up to 70 mg/kg bw per day or in rabbits at doses up to
    120 mg/kg bw per day. alpha-Cypermethrin did not cause embryotoxicity
    or teratogenicity in rats at doses up to 9 mg/kg bw per day or in
    rabbits up to 30 mg/kg bw per day. The NOELs for maternal toxicity in

    rats were 17.5 and 9 mg/kg bw per day for cypermethrin and
    alpha-cypermethrin, respectively, while the NOELs for maternal
    toxicity in rabbits were 30 and 3 mg/kg bw per day for cypermethrin
    and alpha-cypermethrin, respectively.

         Cypermethrin and alpha-cypermethrin have been tested in a wide
    variety of  in vitro and  in vivo genotoxicity studies. All of the
    results were negative.

         Two long-term toxicity/carcinogenicity studies with mice and rats
    were available on cypermethrin. Mice received a diet containing 100,
    400 or 1600 mg/kg feed (equal to 14-228 mg/kg bw per day) for 101
    weeks. At 1600 mg/kg feed reduced body weight gain, changes in
    haematological parameters and increased liver weight were observed. No
    effects were observed at 400 mg/kg feed, equal to 57 mg/kg bw per day.
    In a study in which rats received diets containing 1, 10, 100 or
    1000 mg/kg feed (equivalent to 0.05-50 mg/kg bw per day) for 2 years,
    the only effects observed were reductions in body weight and food
    consumption at 1000 mg/kg feed. The NOEL was 100 mg/kg feed,
    equivalent to 5 mg/kg bw per day.

         In a two-year toxicity study, dogs received diets containing
    3, 30, 300 or 1000 mg cypermethrin/kg feed (equivalent to
    0.075-25 mg/kg bw per day). The dose level of 1000 mg/kg feed was
    reduced to 600 mg/kg feed owing to severe intoxication. At 300 mg/kg
    feed, equivalent to 7.5 mg/kg bw per day, no effects were seen. The
    Committee concluded that cypermethrin was not carcinogenic in these
    studies.

         Long-term toxicity/carcinogenicity or reproductive toxicity
    studies were not available on alpha-cypermethrin. The Committee noted
    the absence of reproductive toxicity and carcinogenicity associated
    with administration of cypermethrin, which contains 25% alpha-
    cypermethrin. The Committee also noted the absence of genotoxicity
    for either cypermethrin or alpha-cypermethrin, the absence of
    carcinogenicity associated with compounds of similar structure and
    the similar metabolism and disposition of the two compounds. In view
    of the foregoing, the Committee concluded that it was unnecessary to
    request the results of long-term toxicity/carcinogenicity or
    reproductive toxicity studies on alpha-cypermethrin.

         Several studies on the neurotoxicity of cypermethrin and
    alpha-cypermethrin in rats were available. In these studies high oral
    doses of cypermethrin and alpha-cypermethrin caused clinical signs
    that included coarse tremor and spasmodic body and tail movements.
    Evidence of axonal damage in the sciatic/posterior tibial nerves and
    the trigeminal nerve and ganglion was indicated by significant
    increases in ß-glucuronidase and ß-galactosidase in nerve tissue
    homogenates, in addition to abnormal neuromuscular function tests. In

    the inclined plane test, cypermethrin (in DMSO) caused transient
    functional impairment. The lowest NOEL for neurotoxicity was
    37.5 mg/kg bw per day for cypermethrin (in DMSO) and 4 mg/kg bw per
    day for alpha-cypermethrin (in corn oil), indicating that the toxicity
    may be influenced by the vehicle used.

         Humans occupationally exposed to cypermethrin developed skin
    sensation as a first reaction, followed by systemic effects such as
    dizziness, headache, nausea, paraesthesia and increased sweating. In
    more serious cases, muscular fasciculations developed in large muscles
    or in the extremities. In experiments with operators spraying
    cypermethrin, no clinical nervous system abnormalities were observed.
    However, exposure levels were not measured.

    4.  EVALUATION

         The Committee established an ADI of 0-50 µg/kg bw for
    cypermethrin on the basis of the NOEL of 5 mg/kg bw per day in 90-day,
    2-year and reproductive toxicity studies in rats and the application
    of a safety factor of 100. The Committee established an ADI of
    0-20 µg/kg bw for alpha-cypermethrin on the basis of the NOEL of
    1.5 mg/kg bw per day in a 52-week study in dogs and the application of
    a safety factor of 100.

    5.  REFERENCES

    Amyes, S.J., Holmes, P., Irving, E.M., Green, C.F., Virgo, D.M., &
    Sparrow, S. (1994). Alpha-cypermethrin: preliminary toxicity study by
    dietary administration to CD-1 mice for 13 weeks. Unpublished report
    No. 92/SHL009/0849 from Pharmaco-LSR Ltd, Suffolk, England. Submitted
    to the WHO by Cyanamid, Wayne, NJ. USA.

    Brooks, T.M. (1980). Toxicity studies with agricultural chemicals:
    Mutagenicity studies with RIPCORD in microorganisms  in vitro and in
    the host-mediated assay (Experiment Nos 1846 and 1847). Unpublished
    report TLGR.80.059 from Shell Toxicology Laboratory (Tunstall).
    Submitted to the WHO by Cyanamid, Wayne, NJ, USA.

    Brooks, T.M. (1984). Genotoxicity studies with Fastac: the induction
    of gene mutation in the yeast  Saccharomyces cerevisiae. Unpublished
    report No. SBGR.84.117 from Shell Research Limited, Sittingbourne
    Research Centre. Submitted to the WHO by Cyanamid, Wayne, NJ, USA.

    Brooks, T.M. & Wiggins, D.E. (1992). FASTAC TM: Bacterial mutagenicity
    studies. Unpublished report No. SBTR.92.022 from Shell Research
    Limited, Sittingbourne Research Centre. Submitted to the WHO by
    Cyanamid, Wayne, NJ, USA.

    Brooks, T.M. & Wiggins, D.E. (1993). FASTAC TM:  In vitro chromosome
    studies using cultured human lymphocytes. Unpublished report
    No. SBTR.93.007 from Shell Research Limited, Sittingbourne Research
    Centre. Submitted to the WHO by Cyanamid, Wayne, NJ, USA.

    Buckwell, A.C. (1981). A 2-year feeding study in dogs on WL 43467
    (Experiment No. 1412). Unpublished report No. SBGR.81.126 (plus two
    addenda) from Shell Toxicology Laboratory (Tunstall). Submitted to the
    WHO by Cyanamid, Wayne, NJ, USA.

    Buckwell, A.C. & Butterworth, S. (1977). Toxicology studies on the
    pyrethroid insecticide WL 43467: a 13-week feeding study in dogs
    (Experiment No. 1112). Unpublished report No. TLGR 0127.77 (including
    addendum and corrigendum) from Shell Toxicology Laboratory (Tunstall).
    Submitted to the WHO by Cyanamid, Wayne, NJ, USA.

    Carter, B.I. & Butterworth, S.T.G. (1976). Toxicity of insecticides:
    The acute oral toxicity and neuropathological effects of WL 43467 to
    rats. Unpublished report No. TLGR.0055.76 from Shell Research,
    Sittingbourne Research Centre. Submitted to the WHO by Cyanamid,
    Wayne, NJ, USA.

    Clare, M.G. & Wiggins, D.E. (1984). Genotoxicity studies with fastac:
     in vivo cytogenetic test using rat bone marrow. Unpublished report
    No. SBGR.84.120 from Shell Research Limited, Sittingbourne Research
    Centre. Submitted to the WHO by Cyanamid, Wayne, NJ, USA.

    Clark, D.G. (1982). WL85871: A 90-day feeding study in rats.
    Unpublished report No. SBGR.81.293 from Shell Research Limited,
    Sittingbourne Research Centre. Submitted to the WHO by Cyanamid,
    Wayne, NJ, USA.

    Coombs, A.D., Carter, B.I., Hend, R.W., Butterworth, S.G., & Buckwell,
    A.C. (1976) Toxicity studies on the insecticide WL 43467: Summary of
    results of preliminary experiments. Unpublished report
    No. TLGR.0104.76 from Shell Toxicology Laboratory (Tunstall).
    Submitted to the WHO by Cyanamid, Wayne, NJ, USA.

    Crawford, M.J. (1978). The excretion and residues of radioactivity in
    cows treated orally with 14C-labelled WL 43467. Unpublished report
    No. TLGR.0029.78 from Shell Toxicology Laboratory (Tunstall).
    Submitted to the WHO by Cyanamid, Wayne, NJ, USA.

    Crawford, M.J. & Hutson, D.H. (1977). The elimination and retention of
    WL 43467 when administered dermally or orally to sheep. Unpublished
    report No. TLGR.0098.77 from Shell Toxicology Laboratory (Tunstall).
    Submitted to the WHO by Cyanamid, Wayne, NJ, USA.

    Crawford, M.J. & Hutson, D.H. (1978). The elimination of residues from
    the fat of rats following the oral administration of [14C-benzyl]
    WL 43381 (cis-WL 43467). Unpublished report No. TLGR.0078.78 from
    Shell Toxicology Laboratory (Tunstall). Submitted to the WHO by
    Cyanamid, Wayne, NJ, USA.

    Creedy, C.L. & Wooder, M.F. (1977) Studies on the effect of WL 43467
    upon the integrity of rat liver cell DNA  in vivo. Unpublished report
    No. TLGR.0043.77 from Shell Toxicology Laboratory (Tunstall).
    Submitted to the WHO by Cyanamid, Wayne, NJ, USA.

    Croucher, A., Stoydin, G., Cheeseman, M.E., Buckwell, A.C., &
    Gellatly, J.B.M. (1980). The metabolic fate of cypermethrin in the
    cow: elimination and residues derived from 14C-benzyl label.
    Unpublished report No. TLGR.80.121 from Shell Toxicology Laboratory
    (Tunstall). Submitted to the WHO by Cyanamid, Wayne, NJ, USA.

    Dean, B.J. (1977). Toxicity studies with WL 43467: Chromosome studies
    on bone marrow cells of Chinese hamsters after two daily oral doses of
    WL 43467. Unpublished report No. TLGR.0136.77 from Shell Toxicology
    Laboratory (Tunstall). Submitted to the WHO by Cyanamid,
    Wayne, NJ, USA.

    Dean, B.J. (1981). Toxicity studies with agricultural chemicals:
     In vitro genotoxicity studies with RIPCORD (Experiment
    No. AIR-1820). Unpublished report No. TLGR.80.116 from Shell
    Toxicology Laboratory (Tunstall). Submitted to the WHO by Cyanamid,
    Wayne, NJ, USA.

    Dean, I. & Jackson, F. (1995). WL85871: 52-week oral (dietary)
    toxicity study in dogs (IRI Project No. 652238). Unpublished report
    No. IRI/11110 from Inveresk Research International, Scotland.
    Submitted to the WHO by Cyanamid, Wayne, NJ, USA.

    Dean, B.J., Van der Pauw, C.L., & Butterworth S.T.G. (1977). Toxicity
    studies with WL 43467: Dominant lethal assay in male mice after single
    oral doses of WL 43467. Unpublished report No. TLGR.0042.77 from Shell
    Toxicology Laboratory (Tunstall). Submitted to the WHO by Cyanamid,
    Wayne, NJ, USA.

    Dewar, A.J. & Moffett, B.J. (1978). Toxicity studies on the
    insecticide WL 43467: Biochemical studies on the effect of WL 43467 on
    the rat trigeminal nerve and ganglion. Unpublished report No.
    TLGR.0162.77 from Shell Toxicology Laboratory (Tunstall). Submitted to
    the WHO by Cyanamid, Wayne, NJ, USA.

    Dunsire, J.P. & Gifford, L.J. (1993). The distribution of
    [benzyl-14C]WL85871 (FASTAC) in the lactating cow (nature of residue
    study to EPA guidelines - Live phase) (IRI Project No. 153667).
    Unpublished report No. IRI/9879 from Inveresk Research International,
    Scotland. Submitted to the WHO by Cyanamid, Wayne, NJ, USA.

    FAO (1980). Pesticide residues in food-1979. Report of the Joint
    Meeting of the FAO Panel of Experts on Pesticide Residues in Food and
    the Environment and the WHO Expert Group on Pesticide Residues. Rome,
    Food and Agriculture Organization of the United Nations (FAO Plant
    Production and Protection Paper, No. 20).

    FAO (1982). Pesticide residues in food-1981. Report of the Joint
    Meeting of the FAO Panel of Experts on Pesticide Residues in Food and
    the Environment and the WHO Expert Group on Pesticide Residues. Rome,
    Food and Agriculture Organization of the United Nations (FAO Plant
    Production and Protection Paper, No. 37).

    Fish, A. (1979). Corrigendum I in Group Research Report
    No. TLGR.0188.78. Unpublished data from Shell Toxicology Laboratory
    (Tunstall). Submitted to the WHO by Cyanamid, Wayne, NJ, USA.

    Fokkema, G.N. (1994a). WL85871 (FASTAC): A 6-week range finding
    feeding study in the rat. Unpublished report No. SBTR.93.002 from
    Shell Research Limited, Sittingbourne Research Centre. Submitted to
    the WHO by Cyanamid, Wayne, NJ, USA.

    Fokkema, G.N. (1994b). WL85871 (FASTAC): An acute oral (gavage)
    neurotoxicity study in the rat. Unpublished report No. SBTR.92.027
    from Shell Research Limited, Sittingbourne Research Centre. Submitted
    to the WHO by Cyanamid, Wayne, NJ, USA.

    Gardner, J.R. (1993). FASTAC technical: Acute oral and dermal toxicity
    in rat, skin and eye irritancy in rabbit and skin sensitisation
    potential in guinea pig. Unpublished report No. SBTR.92.033 from Shell
    Research Limited, Sittingbourne Research Centre. Submitted to the WHO
    by Cyanamid, Wayne, NJ, USA.

    Green, C.F. (1993). Alphacypermethrin: Preliminary toxicity study by
    dietary administration to CD-1 mice for four weeks. Unpublished report
    No. LSR 92/0346 from Life Science Research Limited. Submitted to the
    WHO by Cyanamid, Wayne, NJ, USA.

    Greenough, R.J. & Goburdhun, R. (1984). WL 85871: Oral (dietary)
    maximum tolerated dose study in dogs (IRI Project No. 631087).
    Unpublished report No. IRI/3107 from Inveresk Research International,
    Scotland. Submitted to the WHO by Cyanamid, Wayne, NJ, USA.

    Greenough, R.J., Cockrill, J.B., & Goburdhun, R. (1984).
    WL 85871: 13-week oral (dietary) toxicity study in dogs (IRI Project
    No. 631092). Unpublished report No. IRI/3197 from Inveresk Research
    International, Scotland. Submitted to the WHO by Cyanamid,
    Wayne, NJ, USA.

    He, F., Wang, S., Liu, L., Chen, S., Zhang, Z. & Sun, J. (1989).
    Clinical manifestations and diagnosis of acute pyrethroid poisoning.
     Arch. Toxicol., 63, 54-58.

    Hend, R.W., Hendy, R. & Fleming, D.J. (1978). Toxicity studies on the
    insecticide WL 43367: a three generation reproduction study in rats.
    Unpublished report No. TLGR.0188.78 from Shell Toxicology Laboratory
    (Tunstall). Submitted to the WHO by Cyanamid, Wayne, NJ, USA.

    Henderson, C. & Parkinson, G.R. (1981). Cypermethrin technical:
    subacute dermal toxicity study in rabbits (CTL Study No. LB0019).
    Unpublished report No. CTL/P/588 from ICI Central Toxicology
    Laboratory. Submitted to the WHO by Cyanamid, Wayne, NJ, USA.

    Hijzen, T.H., de Beun, R., & Slanger, J.L. (1988). Effects of
    pyrethroids on the acoustic startle reflex in the rat.  Toxicology,
    49, 271-276.

    Hutson, D.H. & Stoydin, G. (1976). The excretion of radioactivity from
    cows fed with radioactively labelled WL 43467. Unpublished report
    No. TLGR.0075.76 from Shell Toxicology Laboratory (Tunstall).
    Submitted to the WHO by Cyanamid, Wayne, NJ, USA.

    Hutson, D.H. & Stoydin, G. (1987). Excretion and residues of the
    pyrethroid insecticide cypermethrin in laying hens.  Pestic. Sci.,
    18, 157-168.

    IPCS (1996) The WHO recommended classification of pesticides by hazard
    and guidelines to classification 1996-1997. World Health Organization,
    Geneva, p. 23 (Document WHO/PCS/96.3).

    Irvine, L.F.H (1994a). Oral (gavage) rabbit developmental toxicity
    dose ranging study. Unpublished report No. SLN/3/92 from Toxicol
    Laboratories Limited, Ledbury, England. Submitted to the WHO by
    Cyanamid, Wayne, NJ, USA.

    Irvine, L.F.H. (1994b). Oral (gavage) rabbit developmental toxicity
    (teratogenicity) study. Unpublished report No. SLN/4/93 from Toxicol
    Laboratories Limited, Ledbury, England. Submitted to the WHO by
    Cyanamid, Wayne, NJ, USA.

    Irvine, L.H.F. (1994c). Alphacypermethrin. Oral (gavage) rat
    developmental toxicity (teratogenicity) study. Unpublished report
    No. SLN/2/92 from Toxicol Laboratories Limited, Ledbury, England.
    Submitted to the WHO by Cyanamid, Wayne, NJ, USA.

    Irvine, L.F.H & Twomey, K. (1994). Alphacypermethrin. Oral (gavage)
    rat developmental study. Unpublished report No. SLN/1/92 from Toxicol
    Laboratories Limited, Ledbury, England. Submitted to the WHO by
    Cyanamid, Wayne, NJ, USA.

    Jackson, G.C. (1993). Alphacypermethrin: Acute inhalation toxicity in
    rats, 4-hour exposure. Unpublished report No. SLL 266/930770 from
    Huntingdon Research Centre, England. Submitted to the WHO by Cyanamid,
    Wayne, NJ, USA.

    Lindsay, S., Banham, P.B., Chart, I.S., Chalmers, D.T., Godley, M.J.,
    & Taylor, K. (1982). Cypermethrin: Lifetime feeding study in mice
    (CTL Study No. PM0366). Unpublished report No. CTL/P/687 (including 1
    supplement) from ICI Central Toxicology Laboratory. Submitted to the
    WHO by Cyanamid, Wayne, NJ, USA.

    McAusland, H.E., Butterworth, S.T.G., & Hunt, P.F. (1978). Toxicity
    studies on the insecticide WL 43467: A two-year feeding study in rats.
    Unpublished report No. TLGR.0189.78 (including 4 corrigenda/addenda)
    from Shell Toxicology Laboratory (Tunstall). Submitted to the WHO by
    Cyanamid, Wayne, NJ, USA.

    Morrison, B.J. & Richardson, K.A. (1994). WL85871 (alphacypermethrin,
    FASTAC): The metabolism of 14C-WL85871 after repeated oral dosing in
    the lactating cow; in-life phase and metabolite profiling (Experiment
    No. 6046). Unpublished report No. SBTR.93.063 from Sittingbourne
    Research Centre, Sittingbourne, England. Submitted to the WHO by
    Cyanamid, Wayne, NJ, USA.

    Owen, D.E. & Butterworth, S.T.G. (1977). Toxicity of pyrethroid
    insecticides: Investigation of the neurotoxic potential of WL 43467 to
    adult domestic hens. Unpublished report No. TLGR.0134.77 from Shell
    Toxicology Laboratory (Tunstall). Submitted to the WHO by Cyanamid,
    Wayne, NJ, USA.

    Pickering, R.G. (1981). A 90-day feeding study of WL 43467 in rats
    (Experiment No. 1806). Unpublished report No. TLGR.80.143 from Shell
    Toxicology Laboratory (Tunstall). Submitted to the WHO by Cyanamid,
    Wayne, NJ, USA.

    Potter, D. & McAusland, H.E. (1980). Toxicity studies on the
    insecticide WL43467: A study of liver microsomal enzyme activity in
    rats fed WL 43467 for 2 years (Experiment No. 1105). Unpublished
    report from Shell Toxicology Laboratory (Tunstall). Submitted to the
    WHO by Cyanamid, Wayne, NJ, USA.

    Price, J.B. (1984). Toxicology of pyrethroids: the acute oral and
    percutaneous toxicity of Ripcord (WL-43467). Technical concentrate
    (Project No. SRCAIR84). Unpublished report No. SBGR.84.299 from Shell
    Research Limited, Sittingbourne Research Centre. Submitted to the WHO
    by Cyanamid, Wayne, NJ, USA.

    Rose, G.P. (1982a). Toxicology of pyrethroids: the acute oral and
    percutaneous toxicity of WL 85871 (cis-2-Ripcord) in comparison with
    Ripcord. Unpublished report No. SBGR.82.130 from Shell Research
    Limited, Sittingbourne Research Centre. Submitted to the WHO by
    Cyanamid, Wayne, NJ, USA.

    Rose, G.P. (1982b). Toxicology of pyrethroids: the acute oral and
    percutaneous toxicity of WL 85871 (cis-2-RIPCORD) comparison with
    RIPCORD. Unpublished report No. SBGR.82.130 from Shell Research
    Limited, Sittingbourne Research Centre. Submitted to the WHO by
    Cyanamid, Wayne, NJ, USA.

    Rose, G.P. (1983). Neurotoxicity of WL85871. Comparison with WL43467:
    The effect of twenty oral doses of WL85871 or WL43467 over a period of
    4 weeks on the rat sciatic/posterior tibia nerve, trigeminal nerve and
    trigeminal ganglion. Unpublished report No. SBGR.83.185 from Shell
    Research Limited, Sittingbourne Research Centre. Submitted to the WHO
    by Cyanamid, Wayne, NJ, USA.

    Rose, G.P. & Dewar, A.J. (1983). Intoxication with four synthetic
    pyrethroids fails to show any correlation between neuromuscular
    dysfunction and neurobiochemical abnormalities in rats.
     Arch. Toxicol., 53, 297-316.

    Tesh, J.M., Tesh, S.A., & Davies, W. (1978). WL 43467: Effects upon
    the progress and outcome of pregnancy in the rat. Unpublished report
    of Life Science Research. Submitted to the WHO by Cyanamid,
    Wayne, NJ, USA.

    Tesh, J.M., Ross, F.W., & Wightman, T.J. (1984a). WL 43467: Effects of
    oral administration upon pregnancy in the rabbit. 1. Dosage range
    finding study. Unpublished test report No. 84/SHL003/014 from of Life
    Science Research. Submitted to the WHO by Cyanamid, Wayne, NJ, USA.

    Tesh, J.M., Ross, F.W., & Wightman, T.J. (1984b). WL 43467: Effects of
    oral administration upon pregnancy in the rabbit. 2. Main study.
    Unpublished test report No. 84/SHL004/043 from Life Science Research.
    Submitted to the WHO by Cyanamid, Wayne, NJ, USA.

    Tesh, J.M., Ross, F.W., & Wightman, T.J. (1988). Supplementary report
    to LSR report No. 84/SHL004/043. Unpublished report No. 88/SHL004/775
    from Life Science Research. Submitted to the WHO by Cyanamid,
    Wayne, NJ, USA.

    Thorpe, E. (1982). A 5-week feeding study with WL 85871 in rats
    (Experiment No. 2095). Unpublished report No. SBGR.81.212 from Shell
    Research Limited, Sittingbourne Research Centre. Submitted to the WHO
    by Cyanamid, Wayne, NJ, USA.

    Thorpe, E. (1985). Fourth corrigendum/addendum to TLGR.0188.78.
    Unpublished report from Shell Research Limited, Sittingbourne Research
    Centre (Four volumes). Submitted to the WHO by Cyanamid,
    Wayne, NJ, USA.

    Van der Bercken, J. & Vijverberg, H.P.M. (1989). Neurotoxicological
    effects of pyrethroid insecticides. Unpublished report from the
    Department of Veterinary Pharmacology, Pharmacy and Toxicology.
    University of Utrecht, The Netherlands. Submitted to the WHO by
    Cyanamid, Wayne, NJ, USA.

    Vanderwaart, E.J. (1994). Evaluation of the mutagenic activity of
    Fastac technical in a  in vitro mammalian cell gene mutation test
    with L5178Y mouse lymphoma cells (with independent repeat).
    Unpublished report No. 087367 from Notox B.V., The Netherlands.
    Submitted to the WHO by Cyanamid, Wayne, NJ, USA.

    Vanderwaart, E.J. (1995). Micronucleus test in bone marrow cells of
    the mouse with Fastac technical. Unpublished report No. 087378 from
    Notox B.V., The Netherlands. Submitted to the WHO by Cyanamid,
    Wayne, NJ, USA.

    WHO (1996). The WHO recommended classification of pesticides by hazard
    and guidelines to classification 1996-1997 (WHO/PCS/96.3). Available
    from the International Programme on Chemical Safety, World Health
    Organization, Geneva, Switzerland.

    Wooder, M.F. (1981). Studies on the effect of WL 85871 on the
    integrity of rat liver DNO  in vivo (Experiment No. 2103).
    Unpublished report No. SBGR.81.225 from Shell Toxicology Laboratory
    (Tunstall). Submitted to the WHO by Cyanamid, Wayne, NJ, USA.
    


    See Also:
       Toxicological Abbreviations
       Cypermethrin and alpha-cypermethrin (WHO Food Additives Series 53)