IPCS INCHEM Home

    ADRENOCEPTOR AGONISTS

    CLENBUTEROL

    First draft prepared by
    Dr K.N. Woodward
    Veterinary Medicines Directorate
    Ministry of Agriculture, Fisheries and Food
    Addlestone, Surrey, United Kingdom

    1.   Explanation

    2.   Biological data
         2.1   Biochemical aspects
               2.1.1   Absorption, distribution and excretion
               2.1.2   Biotransformation
               2.1.3   Kinetics in humans
         2.2   Toxicological studies
               2.2.1   Acute toxicity studies
               2.2.2   Short-term toxicity studies
               2.2.3   Long-term toxicity/carcinogenicity studies
               2.2.4   Reproductive toxicity studies
               2.2.5   Special studies on embryotoxicity/teratogenicity
               2.2.6   Special studies on genotoxicity
               2.2.7   Special studies on irritancy
               2.2.8   Special studies on immunotoxicity
               2.2.9   Special studies on pharmacodynamic effects
         2.3   Observations in humans

    3.   Comments

    4.   Evaluation

    5.   References

    1.  EXPLANATION

         Clenbuterol is a ß-adrenoceptor agonist that exerts a potent
    bronchiolytic effect by preferential action on ß2-adrenoceptors in
    smooth muscle, resulting in the relaxation of bronchial smooth muscle
    and a decrease in airway resistance. Similarly, through selective
    binding to ß2-adrenoceptors on uterine smooth muscle cell membranes,
    relaxation of the uterus (tocolysis) occurs. Clenbuterol hydrochloride
    is used for the treatment of respiratory disease in horses and cattle
    (0.8 µg/kg bw, twice daily) and as a tocolytic agent in cattle (a
    single parenteral injection of 0.8 µg/kg bw). Although unapproved for
    use as a repartitioning agent, it is used for this purpose in farm
    animals at doses several orders of magnitude higher than the
    recommended therapeutic dose.

         Clenbuterol is manufactured as a 50 : 50 racemic mixture, most of
    its pharmacological activity being associated with the laevo form. It
    had not previously been evaluated by the Committee. The molecular
    structure of clenbuterol is shown below.

    CHEMICAL STRUCTURE 1

    2.  BIOLOGICAL DATA

    2.1  Biochemical aspects

    2.1.1  Absorption, distribution and excretion

    2.1.1.1  Mice

         Following a single intravenous dose of 5 mg/kg bw 14C-clenbu-
    terol to pregnant mice, autoradiography demonstrated high levels of
    radioactivity in the placenta with lower levels in the fetuses within
    30 minutes after administration. Radioactivity was also found in the
    fetal liver, thymus and spinal column. Total radioactivity in the
    fetuses was significantly less than in maternal animals (Kopitar,
    1969).

    2.1.1.2  Rats

         After oral administration of 2 mg/kg bw 14C-clenbuterol to
    rats, approximately 60% of the radioactivity was found in the 48-hour
    urine sample suggesting good absorption from the gastrointestinal
    system. A further 20% was recovered from faeces over this time. Around
    5-10% was recovered in urine and faeces in the 48-72 hour period.
    Approximately 7% appeared in the bile. Levels in tissues were
    relatively low, except for the liver, kidneys and lungs (Kopitar,
    1970).

         In a separate study using autoradiography, maximum distribution
    after oral doses of 5 or 10 mg/kg bw occurred approximately 3 hours
    after administration. Highest concentrations of radioactivity were
    found in the lungs, liver, kidneys, pancreas and bone marrow, but some
    radioactivity was also found in the brain, adrenal glands, and
    skeletal and cardiac muscles (Kopitar, 1969).

         When previously untreated rats were given a single oral dose of
    5 mg/kg bw clenbuterol by gavage, plasma levels of the drug were
    found to be 3-5 times lower than in rats pre-treated with the drug at
    5 mg/kg bw per day for 6 months. The single dose was found to abolish
    gastrointestinal peristalsis in the rat but after 6 months of compound
    administration, peristalsis returned. This may explain the lower, but
    prolonged plasma levels after the single administration, which
    probably led to a depot effect in the gut (Kopitar & Zimmer, 1973).

         Clenbuterol readily enters the placenta in the pregnant rat. At 3
    hours after an intravenous or oral dose of 14C clenbuterol, there
    was more radioactivity in the placenta than in the blood and tissues
    of maternal animals or fetuses (Richter, 1982).

    2.1.1.3  Dogs

         When beagle dogs were given capsules containing 14C-clen-
    buterol at a dose of 2.5 mg/kg bw, maximum blood and plasma levels
    occurred 8 hours after dosing. Around 85% of the dose was recovered in
    the urine after 96 hours, with 4-9% in the corresponding faecal
    samples. Pretreating dogs for 5 weeks with 2.5 mg/kg bw per day
    clenbuterol led to a slight increase in the rate of absorption in a
    manner similar to that noted in rats (Zimmer, 1974a).

         After single oral doses of 2.5 mg/kg bw, blood concentrations in
    the dog were approximately twice those of rabbits given identical
    doses (Zimmer, 1974b).

         Clenbuterol was found to cross the placenta and enter the fetuses
    in the dog when a single pregnant female was given an oral dose of
    2.5 mg/kg bw 14C-clenbuterol. At 4 hours after administration the
    concentration of radioactivity in fetal plasma was around 16% of that
    in maternal plasma. Approximately 0.4% of the total dose administered
    to the maternal animal was recovered in the fetuses at 4 hours after
    administration (Rominger & Schrank, 1982).

    2.1.1.4  Monkeys

         After intravenous administration of 100 µg 14C-clenbuterol per
    animal (approximately 30 µg/kg bw) to cynomolgus monkeys, around 60%
    of the dose was recovered in the urine and 4% in the faeces within 72
    hours of administration. There was biphasic elimination. It was not
    possible to calculate the half-life for the first and rapid phase, but
    the second phase half-life was 20-30 hours (Chasseaud  et al.,
    1978).

    2.1.1.5  Baboons

         Following a single intravenous dose of 2.5 mg/kg bw 14C-clen
    buterol to male baboons, around 82% of the administered dose was
    recovered in the urine and faeces within 5 days, with the majority of
    this (72%) within 48 hours. Of the 82%, approximately 68% was recovered
    in the urine and 14% in the faeces. A similar pattern was noted in
    baboons given the drug orally. There was a rapid distribution phase and
    the highest levels of radioactivity were found in the lungs, liver and
    kidneys (Schmid, 1982).

         Placental transfer of 14C-clenbuterol was investigated in a
    single pregnant baboon given 3.3 mg/kg bw intravenously. The animal
    was killed 3.5 hours after dosing, and around 1.5% of the total
    administered close was found in the fetus (Schmid, 1980).

    2.1.1.6  Cattle

         In cattle given 0.8 µg/kg bw 14C-clenbuterol using a single
    intramuscular injection, the liver was found to have the highest
    concentrations of radioactivity. In muscle, soon after administration,
    the radioactivity was due almost entirely to parent compound (Schmid,
    1990a).

         In a pilot study with a single cow given 0.8 µg/kg bw 14C-
    clenbuterol orally, the first phase plasma elimination half-life
    was 0.1 hours and the second phase elimination half-life 17 hours. The
    maximum plasma concentration was 0.4 µg/ml with tmax at 8.5 hours.
    Approximately 81% of the dose was excreted in the urine with 13% in
    the faeces over the 96-hour period after dosing; around 1% was
    excreted in the milk (Schmid & Zimmer, 1977a). Similar results were
    noted after intramuscular (Schmid & Zimmer, 1977b) and intravenous
    (Schmid, 1977) administration, but with the latter route plasma levels
    rose much more rapidly. In both cases, radioactivity was found in the
    faeces suggesting biliary excretion.

         When calves were given 0.8 µg/kg bw 14C-clenbuterol intramus-
    cularly, twice a day for 2 days and then orally twice a day for 3 days
    in a consecutive manner, using a combination product also containing
    trimethoprim and sulfadiazine, around 64% of the dose was excreted
    during 15 days in urine and 5% in the faeces. The highest level of
    radioactivity was found in injection site muscle, liver and kidney
    (Hawkins  et al., 1985a). Similar results were seen in another study
    where cattle were given intramuscular injections of 14C-clenbuterol
    (Cameron & Phillips, 1987a).

         In cattle given 21 intramuscular doses of 14C-clenbuterol at a
    dose level of 0.8 µg/kg bw per day, twice daily, the majority of the
    dose was recovered in the urine. The plasma half-life following the
    last dose was of the order of 4 days. Highest levels of radioactivity
    were found in liver and kidney, with much lower levels in muscle and
    fat (Hawkins  et al., 1993a).

         After administration of 7 µg/kg bw 14C-clenbuterol by the
    intramuscular route to a pregnant cow, radioactivity crossed the
    placenta and was found in fetal tissues, including skeletal tissues,
    kidneys and liver, when the animal was killed 3 hours after the
    dosing. Radioactivity was also found in the maternal and fetal eyes
    (Baillie  et al., 1980).

         When lactating cattle were given oral or intramuscular doses of
    14C-clenbuterol at a dose of 0.8 µg/kg bw, radioactivity was found
    in the urine for 48-70 hours after administration. In the first 48
    hours, the majority of the radioactivity in milk was attributable to
    parent compound (Schmid, 1990b).

         Lactating dairy cows treated with 0.8 µg/kg bw 14C-clen-
    buterol, twice daily by the intramuscular route for 3 consecutive days,
    and twice daily by the oral route for a further 2 days followed by a
    single oral dose on day 6, were found to have milk concentrations in
    the range of 0.76-1.03 µg/litre 12 hours after the first dose rising
    to 2.14-2.6 µg/litre after 48 hours. They remained in the range 1.46
    to 3.93 µg/litre throughout the dosing period. Highest tissue concen-
    trations were at the injection site, liver and kidney (Hawkins et al.,
    1985b). Similar results were obtained in another study where dairy
    cattle were given oral, intravenous or intramuscular doses of 0.8 µg/kg
    14C-clenbuterol. In this study approximately 2% of administered
    radioactivity was found in milk (Cameron & Phillips, 1987b).

    2.1.1.7  Horses

         After administration of a single oral dose of 0.8 µg/kg bw
    14C-clenbuterol to a horse, the maximum plasma concentration of
    0.4 µg/ml was reached at approximately 2 hours. The elimination
    half-life was 21 hours. After 144-168 hours, 81% of the administered
    dose was recovered in urine. Following intravenous administration, 82%
    of the administered dose was found in urine, with around 9% in faeces,
    suggesting biliary excretion (Zimmer, 1977).

         In a study with 10 horses, animals were given a single oral dose
    of 0.8 µg/kg bw clenbuterol followed by a single intravenous dose 3
    weeks later. A second group of 10 horses was treated in a similar
    manner, but initially using the intravenous route with the oral dose
    after 3 weeks. Approximately 20-50% of the oral dose (mean 36%) as
    parent drug, was excreted over 108 hours in the urine, while,
    following intravenous administration, some 17-70% of the dose
    (mean 43%) was excreted in the 108-hour urine (Zupan, 1985).

         In a study with a clenbuterol, trimethoprim and sulfadiazine
    combination product, horses were given gelatin capsules containing
    14C-clenbuterol at a dose of 0.8 µg/kg bw, twice daily for 10 days,
    with a single oral dose on day 11. The majority of the dose (70-77%)
    was excreted in the urine and 10-15% in the faeces. The maximum plasma
    concentration was achieved 3-4 hours after the first administration
    and the plasma half-life was 9-10 hours. The mean plasma concentration
    was 0.6-1.2 µg/ml. Highest levels of radioactivity were found in the
    liver and kidneys with very little in fat (Hawkins  et al., 1984).

         Similarly, when 12 horses were given 21 twice daily oral doses of
    0.8 µg/kg bw 14C-clenbuterol, steady-state plasma levels were
    rapidly achieved. Peak levels of 1-1.9 ng equivalents/ml occurred 1-3
    hours after dosing. The terminal half-life was 22 hours. Around 75-91%

    of the dose was excreted in the urine and 6-15% in the faeces. When
    the horses were killed 3 or 12 hours and 9, 12 or 28 days after
    dosing, the highest levels of radioactivity were found in the liver
    and kidney. Levels in fat were extremely low (Johnston & Dunsire,
    1993).

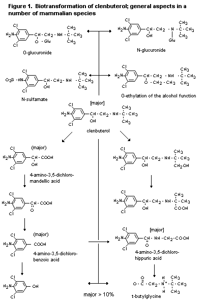
    2.1.2  Biotransformation

         The biotransformation of clenbuterol in rats, rabbits and dogs is
    complex. Five urinary metabolites have been identified in dogs, and
    eight in the rat and rabbit. Unchanged clenbuterol is the major
    compound found in the urine of these species, and a range of oxidative
    and conjugated metabolites are formed. Of these, 4-amino-3,5-dichloro-
    mandelic acid, 3-amino-3,5-dichlorobenzoic acid and 4-amino-3,5-dichlo-
    rohippuric acid are the major components. In the baboon, unchanged
    parent drug is the major urinary component (18%), again with a range
    of metabolites (Zimmer, 1971, 1974b; Johnston & Jenner, 1976; Schmid,
    1982; Schmid & Prox, 1986).

         In cattle, the major compound found in urine (28-52%) and in the
    liver (50-80%) after administration of clenbuterol was the parent
    compound. Small amounts of 4-amino-3,5-dichlorobenzoic acid were found
    in urine and liver, and 4-amino-3,5-dichlorohippuric acid was detected
    in urine (Baillie  et al., 1980; Hawkins  et al., 1993a). In
    muscle, the main component was parent compound (Schmid, 1990a).

         In horses also, parent clenbuterol was the major compound found
    in urine (30-50%). It was also the major component in liver and kidney
    (Zimmer, 1977; Hawkins  et al., 1984; Johnston & Dunsire, 1993). A
    study to examine specifically the nature of the metabolites in horse
    liver confirmed clenbuterol as the major component, but with a smaller
    quantity of a metabolite identified as 1-(4-amino-3,5-dichlorophenyl)-
    1,2-ethanediol (Hawkins  et al., 1993b).

         None of the studies with any species revealed evidence of
    significant covalent binding of clenbuterol or its metabolites.

         Overall, the data suggest that the metabolism of clenbuterol is
    similar in all the species studied and that the major differences are
    quantitative rather than qualitative. The proposed metabolic pathways
    are shown in figure 1.

    2.1.3  Kinetics in humans

         Following a single oral dose of 20 µg 14C-clenbuterol hydro-
    chloride to volunteers, 67% of the administered dose was excreted in
    the urine; faecal excretion was very low. The major compound present
    in the urine was unchanged parent drug. The metabolic profile was
    similar to that noted in animals (Zimmer, 1974c).

         When a single dose of 20 µg 14C-clenbuterol hydrochloride was
    administered orally to volunteers, the highest plasma level was 0.11
    µg/litre, with a tmax, of 2-3 hours. Around 87% of the administered
    radioactivity was detected in the urine; correspondingly lower levels
    of radioactivity were found in the faeces.

         In a repeat-dose phase of the same study, volunteers were given
    40 µg 14C-clenbuterol for 2 days and then 20 µg for a further 2
    days. Around 75% of the dose was detected in the urine. The metabolite
    profile was similar to that noted in animals, and the major urinary
    component was unchanged parent drug; the terminal half-life was around
    34 hours (Zimmer, 1976).

         Oral doses of 80 µg clenbuterol hydrochloride were given to 12
    pregnant women in premature labour. These were followed 12 hours later
    by 2 oral doses of 40 µg, and then by maintenance doses of 20 µg,
    generally at 12-hour intervals. Blood samples were taken on days 2, 4,
    6 and 8 of study, 3 hours after the morning dose. A steady-state
    average concentration of 0.298 µg/litre was achieved, with a minimum
    of 0.28 and a maximum of 0.344 µg/litre. Bioavailability was > 80%
    (Rominger et al., 1987).

         There are no data on  in vivo percutaneous absorption of
    clenbuterol in humans. However, data using a model which utilizes
    excised human skin (Rohr  et al., undated) suggests that some
    absorption can occur (Boehringer, 1991b).

    2.2  Toxicological studies

    2.2.1  Acute toxicity studies

         The results of acute toxicity studies after administration of
    clenbuterol are summarized in Table 1.

         Signs of toxicity in mice, rats and rabbits included lethargy,
    increased heart rates, and tonic-clonic convulsions. After intravenous
    dosing, death, when it occurred, did so either during injection or
    immediately after it. In dogs, all the oral doses employed
    (400-800 mg/kg bw) caused increases in heart rate. Salivation,
    lethargy and tonic-clonic convulsions also occurred.

         In cattle, single intravenous doses of up to 3.6 µg/kg bw
    resulted in increases in heart and respiratory rates (Johnson, 1987).
    Single oral doses of 2.4-12.0 µg/kg bw in horses resulted in sweating
    and elevated heart rates and body temperatures at all dose levels
    (Hamm & Erichsen, 1989).

    CHEMICAL STRUCTURE 2

    Table 1.  Acute toxicity of clenbuterol
                                                                        

    Species     Sex       Route      LD50           Reference
                                     (mg/kg bw)
                                                                        

    Mouse       M         oral       80          Nishikawa et al., 1972
                F         oral       133         Nishikawa et al., 1972
                M & F     s.c        72          Nishikawa et al., 1972
                M & F     i.v        42          Nishikawa et al., 1972
                M         i.p        46          Nishikawa el al., 1972
                M         i.p        72          Nishikawa et al., 1972

    Rat         M & F     oral       175         Nishikawa et al., 1972
                M         oral       82          Nishikawa et al., 1979
                F         oral       170         Nishikawa et al., 1979
                M & F     i.v        30          Nishikawa et al., 1972
                M         i.v        35          Nishikawa et al., 1979
                F         i.v        39          Nishikawa et al., 1979
                M & F     s.c        170         Nishikawa et al., 1972
                M & F     i.p        70          Nishikawa et al., 1972
                M & F     oral1      > 0.125     James, 1990a

    Rabbit      M & F     i.v        84          Nishikawa et al., 1972
                M & F     dermal1    > 0.05      James, 1990b

    Dog         M & F     oral       400-800     Pappritz, 1968
                M & F     i.v        45-52       Pappritz, 1972
                                                                        

    1    Administered as a proprietary veterinary medicinal product
         containing 25 µg clenbuterol per ml

    2.2.2  Short-term toxicity studies

    2.2.2.1  Mice

         Groups of 15 male and 15 female ICR-JCL mice were given daily
    oral doses of 0, 2.5, 12.5 or 62.5 mg/kg bw clenbuterol hydrochloride
    as an aqueous solution, by stomach tube, for 30 days. Body weight gain
    and food consumption were increased in all treated groups in a  dose-
    related manner. There were no adverse effects on haematology. The
    animals from the highest dose group appeared weak and 6 animals died
    during the course of the study.

         At necropsy, there were significant increases in liver weights in
    animals given 12.5 or 62.5 mg/kg bw per day. Ischemic heart damage was
    noted in one animal given 12.5 mg/kg bw per day, and in two animals
    from the highest dose group. The NOEL in this study was 2.5 mg/kg bw
    per day (Kast, 1973a).

    2.2.2.2  Rats

         Groups of 15 male and 15 female Sprague-Dawley JCL rats were
    given daily oral doses of 0, 1, 10 or 100 mg/kg bw per day clenbuterol
    hydrochloride in distilled water, by stomach tube, for 30 days. Signs
    of toxicity were seen at the highest dose and these included 
    salivation, encrusted eyes and noses, and reduced body weight gain and
    food consumption; 50% of these animal died during the course of the
    study. Serum aspartate aminotransferase and glucose concentrations
    were significantly reduced in animals of both sexes given 10 or
    100 mg/kg bw per day.

         Liver weights were significantly reduced in males given the
    highest dose, while ischaemic lesions were seen in cardiac muscle in
    one male and one female given this dose. The NOEL in this study was
    1 mg/kg bw per day based on blood chemistry findings (Kast &
    Tsunenari, 1973a).

         Groups of 15 male and 15 female Sprague-Dawley JCL rats were
    given doses of 0, 1, 5, 25 or 75 mg/kg bw per day clenbuterol
    hydrochloride in the feed for 6 months. At the highest dose level,
    body weight gain and food consumption were reduced. During the first
    week, a reduction in water consumption occurred in the animals given
    this dose, and nine male and five female animals died during the
    course of the study.

         At necropsy, ischaemic lesions of the myocardium were noted
    in all treated animals and there was a dose-related incidence and
    severity. These lesions were also found in another group given
    75 mg/kg bw per day clenbuterol hydrochloride and then allowed a
    4-week recovery period without drug treatment. A NOEL was not
    identified in this study (Kast & Tsunenari, 1973b).

         Groups of 20 male and 20 female FW49/Biberach rats were fed diets
    containing clenbuterol hydrochloride for 18 months. Further groups of
    three male and three female rats were fed treated diets for 14 days,
    followed by a recovery period; these animals were the subject of ECG
    investigations. Another group of 10 female and 10 male rats was fed
    the highest dietary level and then maintained for a 6-week recovery
    period. The overall design of the study, including doses, is set out
    below.

                                                                        

    Dose (mg/kg bw    18-month phase             14-day ECG study2
    per day)          number of animals          numbers of animals
                      males        females       males        females
                                                                        

      0               20           20            3            3
      0.1             24           20            3            3
      0.5             20           20            3            3
      2.5             20           20            3            3
      2.5             101          101           -            -
                                                                        

    1    subject to 6 week recovery period
    2    subject to 21 day recovery period

         Body weight gain in treated groups was slightly increased when
    compared with control values. However, there were no overt signs of
    toxicity, and no deaths occurred. There were no significant haemato-
    logical effects. However, there were reductions in myocardial glycogen,
    skeletal muscle glycogen and liver glycogen values in all treated
    groups, but there was no clear dose response. Histochemical examination
    of the myocardium showed a reduction in enzyme activity, particularly
    in the lowest dose group.

         The ECG examination revealed a bradycardia rather than the
    expected tachycardia, but no explanation was provided for this. Heart
    rates returned to normal 2 days into the recovery period. As the
    results of this study appear to conflict with those of other studies
    (reduction in heart rate rather than the expected increase), and as
    the hearts were not adequately examined macroscopically or micro-
    scopically, an NOEL cannot be identified from this study (Serbedija &
    Bauer, 1973).

         Groups of 15 male and 15 female Sprague-Dawley JCL rats were
    given daily intravenous doses of 0, 1, 4 or 16 mg/kg bw clenbuterol
    hydrochloride for 30 days. Overt signs of toxicity included weakness
    at the two highest dose levels and increased respiratory and heart
    rates at the highest dose level. One female and one male in the 1 and
    4 mg/kg bw per day dose groups respectively, died, while five male and
    five female animals died at the highest dose. There was evidence of
    hepatotoxicity (focal necrosis) in rats given the highest dose. A NOEL
    was not identified in this study (Kast & Tsunenari, 1973c).

         Groups of 30 male and 30 female Chbb: THOM (SPF) rats were
    exposed by the inhalation route to 0 or 0.667 mg/m3 clenbuterol
    hydrochloride in aqueous solution. A further two groups of 15 male and
    15 female rats were exposed to 5.013 or 40.0 mg/m3. The exposures
    were conducted for 0.5-2 hours per day, 7 days per week, for 13 weeks.

    These exposures gave corresponding doses of 0, 0.01, 0.16 and
    2.58 mg/kg bw per day. Groups of 10 male and 10 female control
    animals, and 10 male and 10 female rats exposed to the highest
    concentration were subjected to a 6-week recovery period without
    further exposure to clenbuterol hydrochloride.

         There was no drug-related mortality during the study. Increased
    heart rates were noted in all treated rats. Animals exposed to the
    highest concentration of clenbuterol hydrochloride showed myocardial
    necrosis. Myocardial changes were noted in animals subject to the
    6-week recovery period. As increases in heart rate were noted at all
    concentrations, a NOEL was not identified in this study (Koellmer
     et al., 1977).

         Groups of 20 male and 20 female Charles River CD rats were
    exposed to aerosols of clenbuterol hydrochloride in ethanol with
    dichlorofluoromethane and 1,2-dichlorotetrafluoroethane as 
    propellants, using head-only exposure. Other groups served as controls
    or ethanol/propellant controls. The doses were equivalent to up to
    118 µg/kg bw per day.

         The only treatment-related effects attributable to clenbuterol
    hydrochloride were liver weight reduction and small aggregations of
    alveolar macrophages, which were clearly dose-related (Clark et al.,
    1979).

         However, there were insufficient data on dosimetry to identify a
    NOEL and in addition, there were no measurements of heart-rate or
    other cardiac function parameters.

    2.2.2.3  Dogs

         Groups of three male and three female beagle dogs were given
    starch capsules containing clenbuterol hydrochloride at doses of
    0, 0.4, 4 and 20 mg/kg bw per day, daily for 13 weeks. The highest
    dose was increased to 30 mg/kg bw per day from week 5 and to 40 mg/kg
    bw per day from week 9. Water consumption was normal during the study,
    but a slight decrease in appetite was noted in high-dose animals when
    the dose was increased to 40 mg/kg bw per day. The rate of body weight
    gain significantly fell from this point. One male and two females
    given the highest dose appeared sedated after treatment. One of these
    became increasingly agitated and breathless and died 2-3 minutes after
    receiving the 23rd dose of 20 mg/kg bw per day. Tachycardia occurred
    after the first dose in all treated animals and this persisted until
    the following day. There was a decrease in its severity during
    subsequent weeks, but it continued to be noted in all treated animals.

    A shortening of the P-Q, Q-T and T-P intervals in the ECG,
    corresponding to the increased heart rates, was seen in all treated
    dogs. The dog that died was found to have a severe acute pulmonary
    infection. Myocardial haemorrhage and necrosis, damage to the hepatic
    parenchyma and severe haemorrhagic bronchopneumonia were noted. No
    abnormalities occurred in any of the other animals. As dose-related
    tachycardia occurred at all doses, a NOEL was not identified in this
    study (Leuschner  et al., 1969).

         Groups of three male and three female beagle dogs were given oral
    doses of 0, 2.5 and 40 mg/kg bw per day clenbuterol hydrochloride in
    gelatin capsules for 13 weeks. No animals died during the study, but
    in the first week, all dogs given clenbuterol hydrochloride were
    apathetic, had redness of the skin and eyes, mydriasis and fixed
    pupils. Tachycardia was seen in all dogs. At 2.5 and 40 mg/kg bw per
    day, significant increases in the activities of several serum enzymes,
    including LDH and creatinine kinase, were found. The glycogen levels
    of the left heart muscle were decreased. Myocardial necrosis was seen
    in dogs given the 2.5 and 40 mg/kg bw per day doses. A NOEL was not
    identified in this study (Pappritz & Bauer, 1973a).

         Groups of three male and three female beagle dogs were given
    gelatin capsules containing daily doses of 0, 0.1 or 0.5 mg/kg bw per
    day clenbuterol hydrochloride for 1 year. A group of six male and six
    female dogs were given 2.5 mg/kg bw per day in the same manner, and
    three animals of each sex were maintained on a control diet for 6
    weeks at the end of the study, as part of a recovery phase. No animals
    died during the study. In the first week all drug-treated animals were
    apathetic and had diffuse reddening of the skin. Tachycardia was noted
    in all treated animals, as was mydriasis, episcleral vascular
    injection and conjunctivitis.

         There were no significant effects on food consumption or body
    weights, although dogs given the highest dose gained slightly more
    weight than did those in other groups. No haematological effects were
    seen, but there were increases in some serum enzymes in treated
    groups. Liver glycogen was decreased in dogs given the highest dose
    and this remained decreased at the end of the 6-week recovery period.

         Heart weights were increased in all the treated animals when
    compared with controls, and myocardial necrosis was noted in the
    papillary muscle of the left ventricle of all these dogs, including
    those subject to the 6-week recovery period. There was no dose
    relationship in the cardiotoxicity seen, but histochemical methods
    revealed smaller decreases in the activities of several enzymes in
    cardiac muscle of the 0.1 mg/kg bw per day group than in the other
    treatment groups. A NOEL was not identified in this study
    (Pappritz & Bauer, 1973b).

         Groups of three male and three female beagle dogs were given
    daily intravenous injections of 0, 1, 10 or 1000 µg/kg bw per day
    clenbuterol hydrochloride for 30 days. Dogs given the highest dose of
    clenbuterol hydrochloride were lethargic and all treated animals
    developed tachycardia with associated decreases in the P-Q and Q-T
    intervals in the ECG. At necropsy, one male given the highest dose was
    found to have myocardial necrosis. A NOEL was not identified in this
    study (Pappritz  et al., 1973).

    2.2.2.4  Monkeys

         Groups of three male and three female cynomolgus monkeys were
    exposed to atmospheric levels of clenbuterol hydrochloride as an
    aerosol in ethanol, with dichlorofluoromethane and 1,2-dichlorotetra-
    fluoroethane as propellants, using an oropharyngeal tube, giving doses
    of 25, 50 and 150 µg/kg bw per day for 26 weeks. Half of the daily
    metered dose was given each morning and the remainder in the afternoon.
    Another group of three male and three female monkeys served as sham
    controls with no exposure, while a further group of three male and
    three female monkeys served as placebo controls and were exposed to
    the same aerosol as treated animals, but without the clenbuterol
    hydrochloride.

         No signs of toxicity were seen in this study and food consumption
    and body weights were normal except in high-dose females where a large
    body weight gain occurred. Ophthalmoscopy, haematology, lung mechanics
    and ventilation, blood chemistry and urinalyses were normal. A low
    oxygen tension was noted in high-dose animals in week 10 of the study.
    There were no drug-related changes in heart rate or ECGs. At macro-
    scopic and histo-pathological examination, there were no drug-related
    changes (Collins et al., 1979).

         Thus, the NOEL in this study was of the order of 25 µg/kg bw per
    day by the inhalation route, but this could not be identified as a
    definitive study because of the problems in dosimetry in an inhalation
    study of this type. For example, there were no data on how much drug
    reached the lower respiratory tract and no information regarding blood
    levels. Hence, the degree of systemic exposure was unknown.

    2.2.2.5  Cattle

         In calves given the therapeutic dose of 0.8 µg/kg bw per day
    clenbuterol hydrochloride for 10 days by the oral or intravenous
    routes, only transient tachycardia occurred. When given at 5 times the
    therapeutic dose (4 µg/kg bw per day) for 10 days, tachycardia and
    audibly increased heart force were the only effects noted. When given
    to adult cattle at the therapeutic dose or twice the therapeutic dose
    for periods of up to 9 days, by the oral route, the main effects were
    tachycardia and falls in diastolic blood pressure (Fenner, 1982;
    Cameron et al., 1992).

    2.2.2.6  Horses

         No clinically significant adverse effects were noted in horses
    given 0.8-17.5 µg/kg bw per day clenbuterol hydrochloride by the oral
    route for periods of up to 64 days. Transitory effects included
    tachycardia, sweating, muscle tremors, hyperglycaemia and hypophos-
    phataemia (Erichsen, 1988, 1989; Hamm & Erichsen, 1989; Owen  et
     al., 1990).

         Clenbuterol, like other ß-agonists, leads to tachycardia and
    hypotension. This probably results in reduced myocardial perfusion at
    a time when oxygen demand is high because of increased cardiac rate.
    The end result is hypoxia which probably leads to the necrotic lesions
    seen in the left ventricular papillary muscles (Rosenblum  et al.,
    1965; De Busk & Harrison, 1969; Poynter & Spurling, 1971; Roberts &
    Cohen, 1972; Magnusson & Hansson, 1973; Balazs & Bloom, 1982). This
    explains the cardiac effects noted in the repeated dose (and other)
    studies with clenbuterol.

    2.2.3  Long-term toxicity/carcinogenicity studies

    2.2.3.1  Mice

         Groups of 50 male and 50 female (C57B/6 × DBA/2) mice were given
    clenbuterol in the drinking-water at doses of 0.1, 1.0 and 25.0 mg/kg
    bw per day for 2 years. Groups of 100 males and 100 females were given
    drinking-water only over this period and served as controls. Treated
    animals consumed slightly more food and water than controls, but showed
    no overt signs of toxicity, except for a dose-related increase in body
    weight in the first year and a decrease during the second year.
    Survival after 2 years was good in males (78-86%) and acceptable in
    females (54-60%).

         At termination, there were significant changes in the weights of
    a number of organs when compared with control values. These included
    significant increases in the absolute heart weights of males given
    1 mg/kg bw per day and in females given 25 mg/kg bw per day. There
    were significant increases in relative heart weights in all treated
    male and female mice. The incidences of non-neoplastic lesions,
    including myocardial lesions, were not treatment related. There was no
    increased incidence of any rumour type in treated mice when compared
    with control values (Umemoto, 1984).

    2.2.3.2  Rats

         Groups of 48 male and 48 female Chbb:THOM rats were fed diets
    containing clenbuterol hydrochloride, resulting in daily doses of
    6.25, 12.5, or 25.0 mg/kg bw per day for 2 years. A further group of
    72 rats of each sex was fed a diet containing no clenbuterol hydro-
    chloride. As ß-sympathomiroetic agents are known to induce mesovarian
    
    leiomyomas in some strains of rat, groups of 72 male and 72 female
    Charles River Sprague-Dawley rats were also fed diets containing
    clenbuterol hydrochloride at doses of 0 or 25 mg/kg bw per day for 2
    years. After one control rat began to show signs of clenbuterol-related
    effects, contamination of the feed preparation personnel and equipment
    was confirmed, and the substance was then administered via the
    drinking-water to ensure the same daily doses.

         Treated rats appeared nervous, tense and aggressive, but no
    effects on mortality were seen. Survival was in the range of 70-87% in
    males and 50-71% in females. In both sexes and strains body weight was
    reduced in a dose-related manner. Consumption of drinking-water was
    significantly reduced in SD rats given the highest dose. At
    termination, fibrosis of the subendocardial connective tissue was
    frequently observed in all groups including controls, but the
    incidence was higher in the Chbb:THOM rats, suggesting a drug-
    related effect.

         There was an increased incidence of mesovarian leiomyomas in the
    female Sprague-Dawley rats, but not in the Chbb:THOM rats. The
    incidence is shown in Table 2.

        Table 2.  Incidence of mesovarian leiomyomas in female rats treated with clenbuterol
              hydrochloride for 2 years
                                                                                              

                            Chbb:THOM                                Sprague-Dawley
                            Rats                                     rats
                                                                                              

    Dose                    0       6.25     12.5     25.0           0        25.0
    (mg/kg bw per day)

    Numbers with            0/72    0/48     0/48     0/72           0/72     11/72
    Mesovarian
    leiomyomas
    per group
                                                                                              
    
         There was no increased incidence of any other tumour type
    (Serbedija  et al., 1982).

         Leiomyomas of the smooth muscle of the uterus in mice and
    mesovaria of rats have been reported following long-term treatment
    with ß-agonists (Nelson & Kelly, 1971; Jack  et al., 1983;
    Amemiya  et  al., 1984; Gibson  et al., 1987; Gopinath & Gibson,
    1987; Sells & Gibson, 1987). They are not associated with genotoxicity
    with these agents and are considered to be associated with adrenergic

    stimulation. The ß-agonist salbutamol produced mesovarian leiomyomas
    in rats, but these could be prevented by administration of the
    ß-blocking agent propranolol; a similar phenomenon has been reported
    in mice where the induction of leiomyomas of the uterus by medroxalol
    was prevented by propranolol (Jack  et al., 1983; Gibson  et al.,
    1987). There have been no reports of increased incidences of leiomyomas
    in women following the use of ß-adrenergic agents (Poynter  et al.,
    1978).

    2.2.4  Reproductive toxicity studies

    2.2.4.1  Rats

         Groups of 17-20 pregnant female Chbb:THOM rats were given daily
    oral doses of 0, 1, 7 or 50 mg/kg bw per day clenbuterol hydrochloride
    in distilled water, by gavage, from day 15 of gestation to 21 days
    post-partum when dams and pups were sacrificed. The pups, including
    those that died before day 21, were necropsied and X-rayed. Maternal
    body weights were reduced at the end of the study in animals given
    7 mg/kg bw per day clenbuterol hydrochloride. Those given the highest
    dose were similar to the controls, but these animals were heavier at
    the beginning of the study. Maternal food consumption was reduced in
    all treated groups.

         The number of pups born dead increased in a dose-related manner,
    as did the number of pups dying after birth. At the highest dose all
    the pups died, as shown below.

         Body weights of pups were also reduced in a dose-related manner.
    A NOEL was not identified in this study (Lehman, 1974).

         Groups of 30 male and 30 female Chbb:THOM rats were given daily
    oral doses of 0, 1, 7 or 50 mg/kg bw per day clenbuterol hydrochloride
    in distilled water by gavage. Treatment of the male rats commenced 10
    weeks prior to mating while that of females began 2 weeks prior to
    mating. On day 14 of gestation 50% of the females were killed and the
    uterine contents examined. The remaining female rats were allowed to
    deliver normally and rear their pups until weaning. Dosing of all
    females continued until they were killed on day 14 of gestation or
    after weaning.

         To investigate the cause of the high pup mortality in the study
    of Lehman (1974), the litters of six control dams were exchanged with
    litters from dams given 50 mg/kg bw per day. Surviving dams and pups
    were necropsied at the end of the lactation period. Food consumption
    was increased in treated animals when compared with control values.
    However, body weight was significantly reduced in animals of both
    sexes given the highest daily doses.

         Pup weights at birth were reduced in all treated groups. There
    was a dose-related decrease in the numbers of viable pups which was
    statistically significant at 7 and 50 mg/kg bw per day. All the pups
    in the 50 mg/kg bw per day group died on the first day of lactation
    regardless of whether or not they were suckled by treated or control
    dams. The majority of pups from control dams suckled by dams that were
    given the 50 mg/kg bw per day dose survived.

         There were no substance-related effects on fertility, corpora
    lutea, implantation or resorption rates, and no malformations were
    noted in pups from treated rats. The hearts of three pups from
    high-dose females were examined histologically, but no abnormalities
    were found (Lehman, 1975).

         Groups of 34 male and 34 female Chbb:THOM rats were given daily
    oral doses of 0, 1.5, 7.5 or 15 µg/kg bw per day clenbuterol
    hydrochloride in distilled water, by gavage. The male rats were
    treated for 70 days prior to mating and the females from 14 days prior
    to mating up until the end of gestation. The pups were not treated.
    Dosing of the females continued until the interim sacrifice or after
    weaning.

         On days 13-15 of gestation, 50 pregnant rats were killed and the
    uterine contents examined. The remainder were allowed to give birth
    naturally and the pups reared until 3 weeks old, except for two males
    and two females in each litter which were reared until 10 weeks after
    mating when certain behavioural tests were conducted (pupillary
    reflex, photo-phobia response, hearing, behaviour on a rotating rod,
    behaviour in a Y maze). The animals were then mated and allowed to
    litter naturally.

         There were no effects on fertility attributable to clenbuterol
    treatment, and gestation length, numbers of corpora lutea,
    implantation rates, incidences of resorptions, parental body
    weights and food consumption were unaffected.

         No compound-related effects were seen in the littering phase and
    the pups gained weight normally. Performance in the behavioural tests
    were similar in treated and control groups and the offspring of these
    animals were normal in all respects. The NOEL was 15 µg/kg bw per day
    (Lehman, 1980).

         Similar results were obtained in an almost identical study on
    rats using the same dose levels. Again, the NOEL was 15 µg/kg bw per
    day (Lehman, 1981).

         No teratogenic effects were seen in any of these reproductive
    toxicity studies.

    2.2.5  Special studies on embryotoxicity/teratogenicity

    2.2.5.1  Rats

         Groups of 20 mated female SPF-FW 49 Biberach rats were given oral
    doses of 0, 0.04, 0.2 or 1 mg/kg bw per day clenbuterol hydrochloride
    in distilled water, by gavage on days 6-15 of gestation. No evidence
    of maternal toxicity was seen and there were no compound-related
    effects on the incidences of resorptions, or on litter and fetal
    weights. There were no increased incidences of any type of
    malformation. The NOEL was 1 mg/kg bw per day (Lehman, 1969a).

         Groups of 25 mated female Sprague-Dawley rats were given oral
    doses of 0, 0.01, 1, 10 or 100 mg/kg bw per day clenbuterol
    hydrochloride in distilled water, by gavage, from days 9 to 14 of
    gestation. Approximately 24 hours before the expected delivery date,
    20 dams per dose level were killed and the uterine contents examined
    while the remaining five pregnant animals in each group were allowed
    to deliver naturally.

         Overt signs of toxicity, including weakness, hypersensitivity and
    bloody vaginal discharge were seen in rats given the highest daily
    dose. Maternal body weights were reduced in dams given the 10 or
    100 mg/kg bw per day doses. Animals given these doses had signifi-
    cantly increased incidences of resorptions with corresponding
    reductions in the numbers of viable fetuses. Mean litter weights were
    reduced at both these doses, while mean fetal weight was significantly
    reduced at the highest dose level.

         The incidences of malformations were significantly increased at
    the two highest dose levels used. Anomalies included hydrocephalus,
    anasarca, umbilical hernia, anophthalmia, rib variations and
    splintering of the vertebrae (Kast, 1973b).

         A study was conducted to verify the results of Kast (1973b).
    Groups of 25 mated Sprague-Dawley rats were given 0, 0.01, 1, 10 or
    100 mg/kg bw per day clenbuterol hydrochloride in distilled water, by
    gavage, from days 8 to 17 of gestation. Approximately 24 hours before
    the expected delivery date, 20 dams per group were killed and the
    uterine contents examined. The remainder were allowed to deliver
    naturally.

         Overt signs of toxicity were similar to those in the previous
    study and five dams given the highest dose died. The incidences of
    resorptions were increased in animals given the highest dose; mean
    litter weights and fetal weights were reduced. The incidences of
    malformations were significantly increased at the two highest doses.
    The types of malformation were similar to those seen in the study of
    Kast (1973b).

         In pups derived from animals allowed to deliver naturally, body
    weights were increased at the highest dose. Swimming function was
    retarded in this group. At 10 mg/kg bw per day, two pups were found to
    have hydrocephalus while at the highest dose level, four pups were
    found to have anophthalmia. No malformations were noted in pups from
    the 0.01, 0.1 or 1 mg/kg bw per day groups. The NOEL in both these
    studies was 1 mg/kg bw per day (Kast, 1975).

         Groups of 20 Sprague-Dawley rats were exposed nose only to an
    atmosphere containing clenbuterol hydrochloride during days 6-15 of
    gestation. The estimated doses were 0, 19, 39 and 78 µg/kg bw per day.
    There was no evidence of maternal toxicity or teratogenicity, but
    there were dose-related increases in the incidences of skeletal
    variations, indicative of fetotoxicity, at all dose levels (Palmer
     et al., 1978).

    2.2.5.2  Rabbits

         Groups of 15 mated Russian/Biberach rabbits were given daily oral
    doses of 0, 30, 100 or 300 µg/kg bw per day clenbuterol in distilled
    water, by gavage, from days 6 to 18 of gestation. Three dams given the
    300 µg/kg bw per day dose and one given the highest dose died during
    the study. These deaths were due to bronchopneumonia. Several rabbits
    in each group were found not to be pregnant. Despite these problems,
    at least 10 litters from each dose group were available for
    examination.

         Dams in each dose group showed better weight gains than controls,
    but there was no clear dose relationship. There were no adverse
    effects on the incidences of resorptions, numbers of live fetuses,
    fetal weights or the incidences of malformations. However, there were
    increased incidences of delayed ossification, suggestive of 
    fetotoxicity, in the 100 and 300 µg/kg bw per day groups. The NOEL 
    was 30 µg/kg bw per day (Lehman, 1969b).

         Groups of 10 female Russian/Biberach rabbits were given daily
    oral doses of 0, 0.01, 1 or 50 mg/kg bw per day clenbuterol
    hydrochloride, in distilled water by gavage, on days 8 to 16 of
    gestation. There were no compound-related deaths, but body weight gain
    and food intake was reduced at the highest dose level.

         At the highest dose level, the incidence of resorptions was
    significantly increased, and there was a corresponding decrease in
    the numbers of viable fetuses. Mean litter and fetal weights were
    significantly reduced at this level. There was an increased incidence
    of malformations, notably cleft palate and synostosis, in pups from
    dams given 50 mg/kg bw per day clenbuterol hydrochloride. The NOEL was
    1 mg/kg bw per day (Kast, 1973c).

         Groups of 13-16 mated New Zealand White rabbits were exposed to
    doses of clenbuterol hydrochloride calculated to be 0, 48, 146 or
    300 µg/kg bw per day by the inhalation route using a fine bore tube
    sited over the tracheal opening. The heads of the animals were held in
    an air extraction chamber to minimize rebreathing of aerosol. Dosing
    took place on days 6-18 of gestation.

         Signs of stress were observed in all groups as a result of the
    exposure procedures. Signs included anorexia, lethargy and respiratory
    distress, and some animals died in all groups, including the controls.
    There was a high incidence of malformations in the control groups
    which was probably related to the initial stress. There was no
    increased incidence in animals given 146 or 300 µg/kg bw per day.

         As a result of the high numbers of malformations seen in control
    groups, no firm conclusions could be drawn from this study. However,
    the data suggested that doses of up to 300 µg/kg bw per day clen-
    buterol hydrochloride, when given by inhalation to pregnant rabbits on
    days 6-18 of gestation, were not teratogenic (Palmer  et al., 1980).

         Taken together, the animal data suggested that clenbuterol
    hydrochloride is teratogenic in rats and rabbits at relatively high
    doses. There was evidence of fetotoxicity. The NOEL for maternal
    toxicity and teratogenicity in the rat and rabbit following oral
    administration was 1 mg/kg bw per day. However, the NOEL for
    fetotoxicity in one study in the rabbit was 0.03 mg/kg bw per day.

    2.2.6  Special studies on genotoxicity

         Clenbuterol hydrochloride gave negative results in the Ames test
    with  Salmonella typhimurium strains, in a reversion test with
     Escherichia coli strain WP2(P), in a gene mutation assay with
    Chinese hamster V79 cells, in an  in vivo mouse micronucleus test and
    in an  in vivo cytogenetic assay with Chinese hamster bone marrow.

         In the mouse lymphoma test with L5178Y cells, no increased
    incidences in mutation frequency were observed in the absence of
    metabolic activation. However, with metabolic activation, one of two
    experiments gave positive results at the two highest concentrations
    used (Clements, 1992).

         Viability counts were reduced at these concentrations and
    sampling error may have led to these spurious results (Kirkland, 1992).

         In an in vitro assay with human lymphocytes, at concentrations of
    > 500 µg/ml, an increased incidence of chromosome aberrations was
    noted in the absence (but not in the presence) of metabolic
    activation. This was not dose-dependent.

         The results are summarized in Table 3.

         These data suggest that clenbuterol hydrochloride is not
    genotoxic.

    2.2.7  Special studies on irritancy

    2.2.7.1  Skin irritation

         Clenbuterol hydrochloride was applied to the shaved skin of six
    Russian/Biberach rabbits, using an occlusive dressing, for a period of
    28 days. No evidence of skin irritation was seen (Hewett & Notman,
    1984). Similar results were noted in a further study of skin
    irritation (James, 1990d).

    2.2.7.2  Intramuscular tolerance

         Intramuscular injection of 0.5 ml of a formulation containing
    clenbuterol hydrochloride into the dorsal area of rabbits produced
    only minimal haemorrhage, oedema and necrosis (Kreuzer, 1988).

    2.2.7.3  Eye irritation

         A formulated commercial product containing clenbuterol
    hydrochloride (0.1 ml) was instilled into the left eye of six New
    Zealand White rabbits. The right eye served as a control. Mild
    irritation was noted and this resolved 48 hours after treatment
    (Bailey, 1990).

    2.2.8  Special studies on immunotoxicity

         Clenbuterol hydrochloride, as a formulated commercial product,
    was tested on the guinea-pig using the Buehler technique. The content
    of active ingredient was 70.4 µg/ml in the formulation. It was not a
    sensitizer in this study (James, 1990c).

         Another study employed a 0.2% solution of clenbuterol hydro-
    chloride in 30% aqueous ethanol utilizing guinea-pigs and the
    Magnusson and Kligman maximization test involving the use of Freund's
    adjuvant. No evidence of a sensitizing effect was found (Schuster,
    1984).

        Table 3.  Results of genotoxicity studies on clenbuterol hydrochloride
                                                                                                             

    Test system         Test subject                  Concentration            Results        Reference
                                                                                                             

    Bacterial           Salmonella typhimurium        40-2500 µg/plate         -              Baumeister,
    reversion           TA98, TA100, TA 1535,                                                 1978
                        TA1537, TA1538

                        Escherichia coli              40-1500 µg/plate
                        WP2(P)

    Bacterial           S. typhimurium                10-500 µg/plate          -              Ellenberger,
    reversion           TA98, TA 100, TA 1535,                                                1985
                        TA1537, TA1538

    Forward             Chinese hamster V79           10-100 µg/ml             -              Baumeister,
    mutation            fibroblasts, HGPRT                                                    1985
    assay               locus

    Forward             Mouse lymphoma                300-800 µg/ml            -              Clements,
    mutation            L5178Y                                                                1992
    assay

    In vitro            human lymphocytes             177-2352 µg/ml           +/-            McEnaney,
    cytogenetics                                                                              1992

    In vivo             mouse                         0.006, 0.5, 5.0          -              Friedmann,
    micronucleus                                      mg/kg bw per                            1982
    test                                              day

    In vivo             Chinese hamster               19, 60, 186              -              Holmstrom &
    cytogenetics        (bone marrow)                 mg/kg bw per                            MacGregor,
    test                                              day                                     1986
                                                                                                             
    
    2.2.9  Special studies on pharmacodynamic effects

    2.2.9.1  Studies in animals

         Clenbuterol is a ß2-sympathomimetic agent with a wide range of
    pharmacodynamic effects. It produces a potent, dose-dependent
    bronchiolytic effect, which was demonstrated in guinea-pigs following
    acetylcholine, histamine or bradykinin-induced bronchospasm. Similar
    effects have been reported in cats and dogs. Clenbuterol exerts
    positive chronotropic and inotropic effects on isolated atria. It
    induces tachycardia in rats, dogs, cats and a variety of farm animals,
    accompanied by reductions in systolic and diastolic blood pressure. In
    the isolated uterine horn of the estrus rat, it exerts a pronounced
    relaxing effect on serotonin, oxytocin and bradykinin-induced spasm.
    It has also been shown to exert a relaxing effect on smooth muscle in
    the guinea-pig ileum and to reduce intestinal mobility in the rat and
    mouse.

         Clenbuterol results in a glycogenolytic effect in the rat
    myocardium associated with ß-stimulation. It has no effect on hepatic
    glycogen. It causes a potent dose-dependent reduction of the gastric
    secretion.

         In mice, it causes decreases in spontaneous activity and also
    leads to increases in barbiturate-induced sleeping time. The drug
    results in dose-dependent striated muscle relaxation. However, it has
    no antipyretic or analgesic effects in mice (Engelhardt, A., 1971;
    Engelhardt, G., 1971, 1976).

         Clenbuterol exerted major relaxing effects on spasms induced by
    carbachol in guinea-pig trachea and lung. The effects were antagonised
    by propranolol (Landry, 1983). It also led to decreases in perfusion
    pressure of hind limb blood vessels, inhibitions of contractions of
    the uterus, increases in atrial rate and inhibition of electrically
    stimulated contractions of the ileum (O'Donnell, 1976). It improved
    the rates of mucociliary clearance in the guinea-pig (Streller, 1981).

         In beagle dogs, oral doses of clenbuterol hydrochloride at
    1.5, 3.0, 7.5 and 15.0 µg/kg bw resulted in a dose-dependent
    tachycardia at > 3.0 µg/kg bw. There was a slight tachyphylactic
    effect demonstrated by a diminution of the intensity and duration of
    the response. There was a dose-related reduction in blood pressure and
    the changes in diastolic and systolic pressures ran in parallel. These
    changes occurred at the lowest dose used (Ueberberg, 1976).

         In cattle, intravenous doses of 0.6 µg/kg bw and 1.5 µg/kg bw
    produced no cardiac effects, as shown by ECG examination, whereas
    2.85 µg/kg bw produced pronounced tachycardia. A dose of 0.3 mg/kg bw
    clenbuterol resulted in tocolysis lasting approximately 5 hours
    (Ballarini, 1978). Different lag times in parturition may be induced
    depending on the dose and route of treatment; no adverse effects on
    the dam or calf were noted (Arbeiter & Thurner, 1977).

         Four metabolites of clenbuterol that had been shown to be present
    in the kidneys and liver of treated target animals were tested for
    pharmacodynamic activity. Of these, only one, N-A 1141 (Figure 1) was
    shown to have activity in the guinea-pig. Its bronchiolytic effect was
    less than 20% that of clenbuterol, and, moreover, it accounted for
    only 12% of residues in the liver and kidney 6 hours after treatment
    (Engelhardt, 1971).

    2.2.9.2  Studies in humans

         Patients given 10 µg (0.167 µg/kg bw) clenbuterol by the
    inhalation route showed no signs of tachycardia as determined by ECG.
    There were slight decreases in blood pressure. When patients with
    cardiac arrhythmia were given this dose of clenbuterol, none of the
    patients showed any changes attributable to the drug (Hufnagel, 1974).

         After inhalation exposure of patients with airways disease, onset
    of broncholytic action occurred within 5 minutes and lasted for up to
    6 hours. Pulmonary function effects were greatest with doses of >
    5 µg (0.083 µg/kg bw); only a minimal effect was seen with 2.5 µg
    (0.042 µg/kg bw) (Schuster  et al., 1989).

    2.3  Observations in humans

         A single blinded cross-over study was carried out to examine the
    acute bronchospasmolytic effect and possible side-effects following
    oral administration of placebo and three doses of clenbuterol (1, 2.5
    and 5 µg/day) in patients (three male and three female) with chronic
    obstructive airway disease over a 3 day period. The drug was given
    orally, diluted with water. Observations were carried out over a
    2-hour period following dosing. The average age of the patients was
    55.7 years and they had an average body weight of 73.16 kg.

         None of the 3 doses produced any clear, consistent effects on
    bronchial resistance, thoracic gas volume, radial pulse frequency or
    blood pressure, and no side effects were seen.

         The pharmacological NOEL in this study was 5 µg/day, equivalent
    to 0.08 µg/kg bw per day (Kaik, 1978).

         The bronchospasmolytic effect was examined in two groups of
    patients:

    Group A:  ten patients aged 46-75 years with chronic obstructive
              respiratory disease resulting from pulmonary tuberculosis.

    Group B:  five patients aged 56-67 years with chronic obstructive
              respiratory disease not related to tuberculosis, plus five
              patients aged 34-57 with bronchial asthma.

    The bronchospasmolytic effect was examined after single oral doses of
    1, 2.5, 5, 10, 20, 25 or 30 µg/person, and after a placebo dose.

         In Group A patients, intrathoracic gas volume was significantly
    reduced and vital capacity and pneumometer values significantly
    increased at all dose levels. In Group B patients, airway resistance
    was significantly reduced, but no dose relationship could be
    demonstrated. No significant placebo effect was seen in either group.
    When compared with placebo values, a significantly greater increase
    for both vital capacity and pneumometer values was observed in Group
    A, even at the lowest dose used in this group (5 µg). However, at the
    two lowest doses used in Group B (1 and 2.5 µg), there were no
    significant differences from placebo values. The pharmacological NOEL
    in this study was 2.5 µg, equivalent to 0.042 µg/kg bw (Nolte &
    Laumen, 1972; Nolte, 1980).

         Children who consumed between 0.05-0.075 mg of clenbuterol showed
    only mild tachycardia. A 30-year-old woman who consumed 30 tablets
    equivalent to 0.6 mg clenbuterol (10 µg/kg approximately) developed
    tachycardia and slight hypertension approximately 1 hour after
    consumption. No tablet remains were found on gastric lavage, and
    medicinal charcoal and a saline laxative were given. The following
    day, the patient's pulse rate and blood pressure had returned to
    normal (Boehringer, 1991a).

         Patients (100+) administered doses of 20-60 µg/day (0.3-1.0 µg/kg
    bw per day) for up to 1 year or 20 µg/day (0.3 µg/kg bw per day) for
    up to 6 months showed no adverse effects except for slight tremor and
    occasional, mild tachycardia (Laumen, 1978; Tullgren & Lins, 1987).

    3.  COMMENTS

         The Committee considered toxicological data on clenbuterol,
    including the results of acute, short-term and reproductive toxicity
    studies, as well as studies on teratogenicity, genotoxicity and
    carcinogenicity. Results of pharmacokinetic and pharmacodynamic
    studies in animals and humans were also considered.

         Clenbuterol is well absorbed after oral administration in a
    number of animal species and in humans. An oral dose is largely and
    rapidly excreted in the urine, and the majority of the remainder is
    excreted in the faeces. The biotransformation of clenbuterol is
    complex and a number of metabolites are formed. The major compound
    found in a number of species was unchanged clenbuterol. After oral
    administration of therapeutic doses to lactating cattle, clenbuterol
    was found in the milk.

         When radiolabelled clenbuterol was given orally to pregnant rats,
    dogs, baboons and cattle, radioactivity was detected in the fetuses.

         Clenbuterol was moderately toxic in mice and rats after oral
    administration, LD50 values being in the range of 80-175 mg/kg bw.
    It was less toxic in the dog (LD50 = 400-800 mg/kg bw). It was more
    toxic after parenteral administration, with LD50 values in the range
    of 30-85 mg/kg bw after intravenous administration. The main signs of
    toxicity included lethargy, tachycardia and tonic-clonic convulsions
    after oral administration.

         The main effects noted in the repeat-dose studies were
    tachycardia and, at higher doses, myocardial necrosis. These effects
    are common with ß-agonist drugs. The myocardial necrosis was
    considered to be secondary to hypoxia, due to reduced myocardial
    perfusion at a time of high oxygen demand resulting from increased
    cardiac rate.

         In 30-day repeat-dose studies in mice and rats, NOELs of 2.5 and
    1 mg/kg bw per day, respectively, were identified, largely based on
    cardiac lesions. However, in a range of repeat-dose studies in rats
    using doses of 0.01 to 100 mg/kg bw per day for durations of up to
    18 months, administered through the oral, intravenous and inhalation
    routes, no NOELs were identified. Effects were usually related to
    cardiac function and were seen even at the lowest doses used.
    Similarly, no NOELS could be identified in a range of repeat-dose oral
    studies in dogs. These studies used doses ranging from 0.1 to 40 mg/kg
    bw per day. In a 26-week inhalation study in cynomolgus monkeys, the
    NOEL was 25 µg/kg bw per day, based on a number of observations
    including cardiac effects.

         No evidence of carcinogenicity was noted in a two-year oral study
    in mice with doses of up to 25 mg/kg bw per day. In a two-year study
    with doses of up to 25 mg/kg bw per day in the Chbb:THOM rat, no
    evidence of carcinogenicity was seen. However, in Sprague-Dawley rats
    given 25 mg clenbuterol/kg bw per day orally for 2 years, an increased
    incidence of mesovarian leiomyomas occurred. With the related
    compounds salbutamol in rats and medroxalol in mice, the effects could
    be abolished by administration of the ß-blocking agent propranolol.
    Mesovarian leiomyomas in rats and uterine leiomyomas in mice are known
    to occur following long-term treatment with ß-adrenoceptor agonists
    and the Committee concluded that these were due to adrenergic
    stimulation and not to any genotoxic mechanism. Clenbuterol was not
    genotoxic in a range of in vitro and in vivo genotoxicity studies.

         Epidemiological studies indicate that there have been no
    increased incidences of uterine leiomyomas in women following the use
    of ß-adrenoceptor agonists.

         Clenbuterol had no effects on fertility in a reproductive
    toxicity study in rats using oral doses of 1-50 mg/kg bw per day from
    10 weeks prior to mating in males and two weeks prior to mating in
    females. However, doses of 50 mg/kg bw per day resulted in the deaths
    of pups soon after birth. To investigate the cause of the high pup
    mortality at this dose level, the litters of control dams were
    exchanged with those from dams given 50 mg/kg bw per day. Pups from
    rats given 50 mg/kg bw per day died on the first day of lactation
    regardless of whether they suckled on treated or control dams. The
    mechanism involved in this lethal effect is unknown. A NOEL was not
    identified in this study, because pup weights at birth were reduced in
    all treated animals.

         In a reproductive toxicity study in which male rats were treated
    with 1.5-15 µg clenbuterol/kg bw per day orally for 70 days prior to
    mating and females with the same dose range for 14 days prior to
    mating, no adverse effects on reproduction were noted. The NOEL was
    15 µg/kg bw per day.

         In teratogenicity studies in rats, oral doses of 10 and 100 mg/kg
    bw per day produced teratogenic effects that included hydrocephalus,
    anasarca, umbilical hernia, anophthalmia, rib variations and
    splintering of vertebrae. These were accompanied by signs of maternal
    toxicity. The NOEL was 1 mg/kg bw per day. In three studies in rabbits
    using doses of 30 µg to 50 mg per kg bw per day, signs of feto-
    toxicity, including delayed ossification and cleft palate, occurred.
    The NOEL was 30 µg/kg bw per day.

         Clenbuterol produced a range of pharmacodynamic effects in a
    number of animal species including tachycardia, hypertension and
    muscle relaxing effects. These were seen at single doses as low as
    0.8 µg/kg bw.

         Four metabolites of clenbuterol that had been shown to be present
    in the kidneys of treated target animals were tested for pharmaco-
    logical activity. Of these, only one (N-A 1141) was shown to have
    activity. Its broncholytic effect in the guinea-pig was less than
    20% that of clenbuterol. In addition, it accounted for only 1-2% of
    residues in the liver and kidney of target animals 6 hours after
    treatment.

         In humans, clenbuterol produced a bronchiolytic effect when a
    single dose of 10 µg (0.167 µg/kg bw) was given by the inhalation
    route, but no evidence of tachycardia was seen at this dose. With oral
    doses of clenbuterol of up to 5 µg/day (0.08 µg/kg bw per day) over a
    3-day period, there were no effects on bronchial resistance, thoracic
    gas volume, cardiac rate or blood pressure. The NOEL in this study was
    5 µg/day (0.08 µg/kg bw per day). In a study to investigate the
    bronchospasmolytic effect in humans, patients with obstructive lung
    disease were given oral doses of up to 30 µg per person. Patients
    administered doses of 5 µg or more exhibited bronchospasmolytic
    effects, and the pharmacological NOEL in this study was 2.5 µg per
    person, equivalent to 0.04 µg/kg bw.

    4.  EVALUATION

         The Committee considered the most relevant study for determining
    the ADI to be that concerning the bronchospasmolytic effect in humans.
    The patients had chronic obstructive airway disease and thus were
    likely to be a very sensitive population for this effect. The NOEL
    identified in this study (2.5 µg per person, equivalent to 0.04 µg/kg
    bw) is approximately 25% of the dose in another study in which the
    inhalation route was used, but in which cardiac effects were not
    observed. This NOEL is approximately 50% of the oral dose used in
    another study where, again, cardiac effects did not occur. Hence, this
    NOEL for the bronchospasmolytic effect offers an additional safety
    margin for cardiac effects. The Committee therefore established an ADI
    of 0-0.004 µg/kg bw, based on the NOEL of 0.04 µg/kg bw per day for
    pharmacodynamic effects in humans and a safety factor of 10.

    5. REFERENCES

    Amemiya, K., Kudoh, M., Suzuki, H., Saga, K., & Hosaka, K. (1984).
    Toxicology of mabuterol.  Arzneim.forsch, 34(11a), 1680-1684.

    Arbeiter, K. & Thurner, M. (1977). Effect of the sympathomimetic
    Planipart (NAB 365) on parturition in cattle.  Tierärztl. Umsch.,
    32, 423-427.

    Bailey, D.E. (1990). Primary eye irritation study in rabbits with
    Ventipulmin. Unpublished report No. TX-9005/Ventipulmin from Hazleton
    Laboratories America, Inc., Vienna, VA, USA. Submitted to WHO by
    Boehringer Ingelheim Vetmedica GmbH, Ingelheim am Rhein, Germany.

    Baillie, H.W., Cameron, B.D., Draffan, G.H., & Schmid, J. (1980).
    Investigations of the placental transfer of 14C-N-AB 365 CL in the
    cow. Unpublished report No. 111674 from Inveresk Research
    International. Submitted to WHO by Boehringer Ingelheim GmbH,
    Ingelheim am Rhein, Germany.

    Balazs, T. & Bloom, S. (1982). Cardiotoxicity of adrenergic and
    vasodilating antihypertensive drugs. In: van Stee, E.W. (ed.),
    Cardiovascular Toxicology, Raven Press, New York, pp. 199-220.

    Ballarini, G. (1978). Initial studies of the clinical pharmacology of
    the ß2 sympathomimetic agent NAB 365 (Planipart) and its use for
    pharmacological tocolysis in cows.  Tierärztl. Umsch., 33, 421-427.

    Baumeister, M. (1978). Mutagenicity studies with the substance
    N-AB 365 CL in the plate incorporation assay (Ames test). Unpublished
    report. Submitted to WHO by Boehringer Ingelheim Vetmedica GmbH,
    Ingelheim am Rhein, Germany.

    Baumeister, M. (1985). Mutagenicity study with the substance
    N-AB 365 CL in the V79 (HGPRT)-test. Unpublished report. Submitted to
    WHO by Boehringer Ingelheim Vetmedica GmbH, Ingelheim am
    Rhein, Germany.

    Boehringer (1991a). Summary of case reports of overdosage with
    clenbuterol. Unpublished report. Submitted to WHO by Boehringer
    Ingelheim Vetmedica GmbH, Ingelheim am Rhein, Germany.

    Boehringer (1991b). Estimated transdermal absorption of clenbuterol
    hydrochloride following skin contact with granules and injection
    solutions for veterinary use. Unpublished report. Submitted to WHO by
    Boehringer Ingelheim Vetmedica GmbH, Ingelheim am Rhein, Germany.

    Cameron, B.D. & Phillips, M.W.A. (1987a). The residue kinetics of
    [14C]-NAB 365 CL in the calf. Unpublished report No. 4371 from
    Inveresk Research International. Submitted to WHO by Boehringer
    Ingelheim Vetmedica GmbH, Ingelheim am Rhein, Germany.

    Cameron, B.D. & Phillips, M.W.A. (1987b). The residue kinetics of
    (14C)-NAB 365 CL in the lactating cow. Unpublished report No. 4445
    from Inveresk Research International. Submitted to Boehringer
    Ingelheim Vetmedica GmbH, Ingelheim am Rhein, Germany.

    Cameron, D.M., Crook, D., & Brown, G. (1992). Ventipulmin injection
    solution and Ventipulmin granules. Target species tolerance study in
    calves. Unpublished report No. BOI 139/921030 from Huntingdon Research
    Centre. Submitted to WHO by Boehringer Ingelheim Vetmedica GmbH,
    Ingelheim am Rhein, Germany.

    Chasseaud, L.F., Cresswell D.G., & Savage J.A. (1978).
    Pharmacokinetics of 14C-N-AB 365 during chronic inhalational
    toxicity in cynomolgus monkeys. Unpublished report No. U79-0212 from
    Huntingdon Research Centre. Submitted to WHO by Boehringer Ingelheim
    Vetmedica GmbH, Ingelheim am Rhein, Germany.

    Clark, G.C., Collins, C.J., Heywood, R., Street, A.E., Gibson, W.A.,
    Prentice, D.E., Edmonson, N., Lewis, D.J, & Mahjeed, S.K. (1979).
    Investigation of the effects on rats of inhalation of NAB 365 CL for
    26 weeks. Unpublished report No. BOI 88/78768 from Huntingdon Research
    Centre. Submitted to WHO by Boehringer Ingelheim Vetmedica GmbH,
    Ingelheim am Rhein, Germany.

    Clements, J. (1992). Study to determine the ability of clenbuterol
    hydrochloride to induce mutations at the thymidine kinase (tk) locus
    in mouse lymphoma L5178Y cells using a fluctuation assay. Unpublished
    report No. 2TKREBSG.002 from Hazleton Microtest. Submitted to WHO by
    Boehringer Ingelheim Vetmedica GmbH, Ingelheim am Rhein, Germany.

    Collins, C.J., Clark, G.C., Heywood, R., Street, A.E., Hardy, C.J.,
    Cherry, C.P., Gibson, W.A., Gopinath, C., Harrington S.M., Edmonson,
    N.A., & Howard, E. (1979). Investigation of the effects on monkeys of
    inhalation of NAB 365 CL aerosol for a period of 26 weeks. Unpublished
    report No. BOI 90/78712 from Huntingdon Research Centre. Submitted to
    WHO by Boehringer Ingelheim Vetmedica GmbH, Ingelheim am
    Rhein, Germany.

    De Busk, R.F. & Harrison, D.C. (1969). The clinical spectrum of
    papillary-muscle disease.  N. Engl. J. Med., 281, 1458-1467.

    Ellenberger, J. (1985). Clenbuterol (NAB-365-CL) testing for
    point-mutagenic activity with  Salmonella typhimurium. Unpublished
    report. Submitted to WHO by Boehringer Ingelheim Vetmedica GmbH,
    Ingelheim am Rhein, Germany.

    Engelhardt, A. (1971). Pharmacological exposé of the substance NAB365.
    Supplement to the exposé on the compound NAB 365. Supplementary
    investigations (May 1976) on the pharmacology of the substance NAB 365
    and its metabolites. Unpublished report. Submitted to WHO by
    Boehringer Ingelheim Vetmedica GmbH, Ingelheim am Rhein, Germany.

    Engelhardt, G. (1971). Results of a comparative pharmacological
    investigation of NAB 365 CL, NAB 365 CL-D and NAB365 CL. Unpublished
    report. Submitted to WHO by Boehringer Ingelheim Vetmedica GmbH,
    Ingelheim am Rhein, Germany.

    Engelhardt, G. (1976). Pharmacological profile of the action of
    NAB 365 (clenbuterol), a new bronchodilator with a selective effect on
    the adrenergic ß2 receptors.  Arzneim. Forsch., 26(7a), 1404-1420.

    Erichsen, D.F. (1988). Dose titration of Ventipulmin syrup in horses
    with chronic obstructive pulmonary disease (COPD). Trial
    No: 37-295-86-3. Unpublished report. Submitted to WHO by Boehringer
    Ingelheim Vetmedica GmbH, Ingelheim am Rhein, Germany.

    Erichsen, D.F. (1989). A determination of incremental dose tolerance
    of Ventipulmin syrup in the horse. Trial No.: Range finder 84-VI.
    Unpublished report. Submitted to WHO by Boehringer Ingelheim
    Vetmedica, Ingelheim am Rhein, Germany.

    Fenner, A. (1982). Respiratory rate, minute volume and tidal volume in
    clinically healthy fattening cattle and those with bronchopneumonia -
    taking into account the effects of clenbuterol. Doctoral Thesis,
    Veterinary Faculty, Ludwig-Maximilians University of Munich. Submitted
    to WHO by Boehringer Ingelheim Vetmedica GmbH, Ingelheim am
    Rhein, Germany.

    Friedmann, J.Ch. (1982). Study of the possible mutagenic activity of
    the substance "NAB365Cl" evaluated by the micronucleus test (oral
    route). Unpublished report. Submitted to WHO by Boehringer Ingelheim
    Vetmedica GmbH, Ingelheim am Rhein, Germany.

    Gibson, J.P., Sells, D.M., Cheng, H.C., & Yuh, L. (1987). Induction of
    uterine leiomyomas in mice by medroxalol and prevention by propanolol.
     Toxicol. Pathol., 15, 468-473.

    Gopinath, C. & Gibson, W.A. (1987). Mesovarian leiomyomas in the rat.
     Environ. Health Perspect., 73, 107-113.

    Hamm, D. & Erichsen, D.F. (1989). Acute and subacute toxicity of
    Ventipulmin. Unpublished report. Submitted to WHO by Boehringer
    Ingelheim Vetmedica GmbH, Ingelheim am Rhein, Germany.

    Hawkins, D.R., Elsom, L.F., de-Salis, C.M., Roberts, N.L., & Cameron,
    D.M. (1984). The disposition of the combination product14C-NAB
    365 CL/trimethoprim/sulphadiazine after oral administration to horses.
    Unpublished report No. HRC/BOI 112/84912 from Huntingdon Research
    Centre. Submitted to WHO by Boehringer Ingelheim Vetmedica GmbH,
    Ingelheim am Rhein, Germany.

    Hawkins, D.R., Elsom, L.F., de-Salis, C.M., Morris, G.R., Roberts,
    N.L., Cameron, D.M., Offer, J., & Fish, C. (1985a). The disposition of
    the combination product 14C-NAB 365 CL/trimethoprim/sulphadiazine in
    calves. Unpublished report No. HRC/BOI 111/8468OB from Huntingdon
    Research Centre. Submitted to WHO by Boehringer Ingelheim Vetmedica
    GmbH, Ingelheim am Rhein, Germany.

    Hawkins, D.R., Elsom, L.F., de-Salis, C.M., Morris, G.R.,
    Roberts, N.L., & Cameron, D.M. (1985b). The disposition of the
    combination product 14C-NAB 365 CL/trimethoprim/sulphadiazine in
    dairy cows. Unpublished report No. HRC/BOI 111/84680A from Huntingdon
    Research Centre. Submitted to WHO by Boehringer Ingelheim Vetmedica
    GmbH, Ingelheim am Rhein, Germany.

    Hawkins, D.R., Elsom, L.F., Dighton, M.H., Kaur, A., & Cameron, D.M.
    (1993a). The pharmacokinetics, metabolism and residues of
    14C-clenbuterol (14C-N-AB 365 CL) following intramuscular
    administration to calves. Unpublished report No. HRC/BOI 140/921418
    from Huntingdon Research Centre. Submitted to WHO by Boehringer
    Ingelheim Vetmedica GmbH, Ingelheim am Rhein, Germany.

    Hawkins, D.R., Elsom, L.F., & Dighton, M.H. (1993b). Investigation of
    the metabolic profiles in the livers of the horses following multiple
    oral administration. Unpublished report No. BOI 149/931490 from
    Huntingdon Research Centre. Submitted to WHO by Boehringer Ingelheim
    Vetmedica GmbH, Ingelheim am Rhein, Germany.

    Hewett, Chr. & Notman J. (1984). Dermal tolerance test with repeated
    topical application in the rabbit. Unpublished report. Submitted to
    WHO by Boehringer Ingelheim Vetmedica GmbH, Ingelheim am
    Rhein, Germany.

    Holmstrom, M. & MacGregor, D.B. (1986). NAB 365 CL. Cytogenetic study
    in Chinese hamsters. Unpublished report No 4085 from Inveresk Research
    International. Submitted to WHO by Boehringer Ingelheim Vetmedica
    GmbH, Ingelheim am Rhein, Germany.

    Hufnagel, E. (1974). Results with a new broncholytic agent. Effect on
    heart rate, blood pressure and ECG.  Ärztl. Praxis, 28, 1350-1352.

    Jack, D., Poynter, D., & Spurling, N.W. (1983).  Beta-adrenoceptor
    stimulants and mesovarian leiomyomas in the rat.  Toxicology,
    27, 315-320.

    James, C.N. (1990a). Acute oral toxicity in rats with Ventipulmin
    syrup. Unpublished report No. TX-9003/VENTIPULMIN. Submitted to WHO by
    Boehringer Ingelheim Vetmedica GmbH, Ingelheim am Rhein, Germany.

    James, C.N. (1990b). Acute dermal toxicity study in rabbits with
    Ventipulmin syrup. Unpublished report No. TX-9002/VENTIPULMIN.
    Submitted to WHO by Boehringer Ingelheim Vetmedica GmbH, Ingelheim am
    Rhein, Germany.

    James, C.N. (1990c). Guinea pig sensitisation study - Buehler method
    using Ventipulmin syrup. Unpublished report No. Case #: 64551-05 from
    Arthur D. Little, Inc., Cambridge, MA, USA. Submitted to WHO by
    Boehringer Ingelheim Vetmedica GmbH, Ingelheim am Rhein, Germany.

    James, C.N. (1990d). Primary dermal irritation study in rabbits with
    Ventipulmin syrup. Unpublished report TX-9001/Ventipulmin from Arthur
    D. Little, Inc., Cambridge, MA, USA. Submitted to WHO by Boehringer
    Ingelheim Vetmedica GmbH, Ingelheim am Rhein, Germany.

    Johnston, A.M. & Dunsire, J.P. (1993). Plasma kinetics, metabolism,
    excretion and residue kinetics of [14C]-N-AB 365 CL following oral
    administration to the horse. Unpublished report No. 8346 from Inveresk
    Research International. Submitted to WHO by Boehringer Ingelheim
    Vetmedica GmbH, Ingelheim am Rhein, Germany.

    Johnston, A.M. & Jenner, W.N. (1976). Study of the metabolism of
    14C-labelled N-AB 365 in the male baboon. Unpublished report from
    Inveresk Research International. Submitted to WHO by Boehringer
    Ingelheim Vetmedica GmbH, Ingelheim am Rhein, Germany.

    Johnston, W. (1987). Ventipulmin solution Bovine safety trial.
    Unpublished report. Submitted to WHO by Boehringer Ingelheim Vetmedica
    GmbH, Ingelheim am Rhein, Germany.

    Kaik, G. (1978). Clinico-pharmacological tests using the ß2-sympa-
    thomimetic NAB 365 (clenbuterol) in patients with obstructive
    respiratory disease. Unpublished report from the Medical University
    Clinic of Vienna. Submitted to WHO by Boehringer Ingelheim Vetmedica
    GmbH, Ingelheim am Rhein, Germany.

    Kast, A. (1973a). Subacute toxicity with compound NAB 365 CL on mice,
    oral administration. Unpublished report. Submitted to WHO by
    Boehringer Ingelheim Vetmedica GmbH, Ingelheim am Rhein, Germany.


    Kast, A. (1973b). Teratological testing with the compound N-AB 365-CL
    on rats, oral administration. Unpublished report. Submitted to WHO by
    Boehringer Ingelheim Vetmedica GmbH, Ingelheim am Rhein, Germany.

    Kast, A. (1973c). Teratological testing with the compound NAB-365 CL
    on rabbits, oral administration. Unpublished report. Submitted to WHO
    by Boehringer Ingelheim Vetmedica GmbH, Ingelheim am Rhein, Germany.

    Kast, A. (1975). Teratological testing with the compound N-AB 365 CL
    on rats, oral administration during the period of organogenesis.
    Unpublished report. Submitted to WHO by Boehringer Ingelheim Vetmedica
    GmbH, Ingelheim am Rhein, Germany.

    Kast, A. & Tsunenari, Y. (1973a). Subacute toxicity with compound
    NAB 365 CL on rats, oral administration. Unpublished report. Submitted
    to WHO by Boehringer Ingelheim Vetmedica GmbH, Ingelheim am
    Rhein, Germany.

    Kast, A. & Tsunenari, Y. (1973b). Chronic toxicity of compound
    NAB 365 CL on rats, oral administration per food. Unpublished report.
    Submitted to WHO by Boehringer Ingelheim Vetmedica GmbH, Ingelheim am
    Rhein, Germany.

    Kast, A. & Tsunenari, Y. (1973c). Subacute toxicity with compound
    NAB 365 CL on rats, intravenous administration. Unpublished report.
    Submitted to WHO by Boehringer Ingelheim Vetmedica GmbH, Ingelheim am
    Rhein, Germany.

    Kirkland, D.J. (1992). Review of clenbuterol hydrochloride mutagen-
    icity data in relation to the proposed acceptable daily intake.
    Unpublished report. Submitted to WHO by Boehringer Ingelheim Vetmedica
    GmbH, Ingelheim am Rhein, Germany.

    Koellmer, H., Stotzer, H., & Paulini, K. (1977). Subacute toxicity
    study of the substance N-AB 365-CL in rats using inhalation over a
    period of 13 weeks. Unpublished report. Submitted to WHO by Boehringer
    Ingelheim Vetmedica GmbH, Ingelheim am Rhein, Germany.

    Kopitar, Z. (1969). Autoradiographic investigations on the
    distribution of [14C]-N-AB 365 CL in rats and pregnant mice
    (ADME 1 B). Unpublished report No. U69-0108. Submitted to WHO by
    Boehringer Ingelheim Vetmedica GmbH, Ingelheim am Rhein, Germany.

    Kopitar, Z. (1970). Pharmacokinetic investigations with [14C]-N-AB
    365 CL in rats (ADME 1 B). Unpublished report No. U69-0109. Submitted
    to WHO by Boehringer Ingelheim Vetmedica GmbH, Ingelheim am Rhein,
    Germany.

    Kopitar, Z & Zimmer, A. (1973). Effect of repeated doses of NAB 365 CL
    on the pharmacokinetic profile in rats (ADME 1 D). Unpublished report
    No. U73-0158. Submitted to WHO by Boehringer Ingelheim GmbH, Ingelheim
    am Rhein, Germany.

    Kreuzer, H. (1988). Intramuscular local tolerance in tests with
    Ventipulmin injectable solution  ad us. vet. in rabbits. Unpublished
    report. Submitted to WHO by Boehringer Ingelheim Vetmedica GmbH,
    Ingelheim am Rhein, Germany.

    Landry, Y. (1983). Review of the chief pharmacological properties,
    clinical structures and physiochemical properties of clenbuterol.
    Unpublished report from Laboratoire d'Allergopharmacologie,
    Strasbourg. Submitted to WHO by Boehringer Ingelheim Vetmedica GmbH,
    Ingelheim am Rhein, Germany.

    Laumen, F. (1978). Investigation on long-term treatment and cumulation
    with clenbuterol.  Med. Mon.schr., 29, 455-459.

    Lehman, H. (1969a). Teratology investigations in pregnant rats with
    the substance N-AB 365 CL. Unpublished report. Submitted to WHO by
    Boehringer Ingelheim Vetmedica GmbH, Ingelheim am Rhein, Germany.

    Lehman, H. (1969b). Teratology investigations in pregnant rabbits with
    the substance N-AB 365 CL. Unpublished report. Submitted to WHO by
    Boehringer Ingelheim Vetmedica GmbH, Ingelheim am Rhein, Germany.

    Lehman, H. (1974). Testing of the compound NAB 365 CL for perinatal
    toxicity in rats. Unpublished report. Submitted to WHO by Boehringer
    Ingelheim Vetmedica GmbH, Ingelheim am Rhein, Germany.

    Lehman, H. (1975). Study with substance N-AB 365 CL for fertility
    inhibiting, teratogenic and perinatal toxic effects in rats.
    Unpublished report. Submitted to WHO by Boehringer Ingelheim Vetmedica
    GmbH, Ingelheim am Rhein, Germany.

    Lehman, H. (1980). Test of the substance N-AB 365 CL for fertility-
    inhibiting, embryotoxic and foetotoxic effects in rats. Unpublished
    report of study No. 78 D. Submitted to WHO by Boehringer Ingelheim
    Vetmedica GmbH, Ingelheim am Rhein, Germany.

    Lehman, H. (1981). Test of the substance N-AB 365 CL for fertility-
    inhibiting, embryotoxic and foetotoxic effects in rats. Unpublished
    report of study No. 73 D. Submitted to WHO by Boehringer Ingelheim
    Vetmedica GmbH, Ingelheim am Rhein, Germany.

    Leuschner, F., Leuschner, A., Schwerdtfeger, W., Otto, H., &
    Dontenwill, W. (1969). Report on subacute toxicity studies of NAB 365
    p. o.- batch Z 6191 in beagle dogs. Unpublished report. Submitted to
    WHO by Boehringer Ingelheim Vetmedica GmbH, Ingelheim am
    Rhein, Germany.

    McEnaney, S. (1992). Damaging potential of clenbuterol by its effects
    on cultured human lymphocytes using an in vitro cytogenetics assay.
    Unpublished report No. 2HLREBSG.002 from Hazleton Microtest. Submitted
    to WHO by Boehringer Ingelheim Vetmedica GmbH, Ingelheim am
    Rhein, Germany.

    Magnusson, G. & Hansson, E. (1973). Myocardial necrosis in the rat: a
    comparison between isoprenaline, orciprenaline, salbutamol and
    terbutaline.  Cardiology, 58, 174-180.

    Nelson, L.W. & Kelly, W.A. (1971). Mesovarian leiomyomas in rats in a
    chronic toxicity study of soterenol hydrochloride.  Vet. Pathol.,
    8, 452-457.

    Nishikawa, J., Tsunenari, Y., & Kast, A. (1972). Acute toxicity of NAB
    365 CL in rats, mice and rabbits. Unpublished report. Submitted to WHO
    by Boehringer Ingelheim Vetmedica GmbH, Ingelheim am Rhein, Germany.

    Nishikawa, J., Kast, A., & Klupp, H. (1979). Acute toxicity study with
    clenbuterol (NAB 365 CL) in rats dosed orally or intravenously.
    Unpublished report. Submitted to WHO by Boehringer Ingelheim Vetmedica
    GmbH, Ingelheim am Rhein, Germany.

    Nolte, D. (1980). Comments on the publication "Lung function tests
    with the bronchospasmolytic agent NAB 365". Unpublished report.
    Submitted to WHO by Boehringer Ingelheim GmbH, Ingelheim am
    Rhein, Germany.

    Nolte, D. & Laumen, F. (1972). Pulmonary function tests following the
    bronchospasmolytic agent NAB 365. Unpublished report from Medical
    Clinics and Polyclinics, Justus-Liebig University and Seltersberg
    Sanatorium of Hessen State Insurance Association, Giessen, Germany.
    Submitted to WHO by Boehringer Ingelheim Vetmedica GmbH, Ingelheim am
    Rhein, Germany.

    O'Donnell, S.R. (1976). Selectivity of clenbuterol (NAB 365) in
    guinea-pig isolated tissues containing ß-adrenoceptors.  Arch. Int.
     Pharmacodyn., 224, 190-198.

    Owen, R., Fischer, R., & Erichsen, D.F. (1990). Safety of Ventipulmin
    syrup in horses: 64-day study trial No. 37-295-83-4. Unpublished
    report. Submitted to WHO by Boehringer Ingelheim Vetmedica GmbH,
    Ingelheim am Rhein, Germany.

    Palmer, A.K., Edwards, J.A., & Collins, C.J. (1978). Effect of
    NAB 365 CL metered aerosol on pregnancy of the rat. Unpublished report
    No. BOI 85/78689 from Huntingdon Research Centre. Submitted to WHO by
    Boehringer Ingelheim Vetmedica GmbH, Ingelheim am Rhein, Germany.

    Palmer, A.K., Bottomley, A.M., & Collins, C.J. (1980). Effect of
    NAB 365 CL metered aerosol on pregnancy of the New Zealand White
    rabbit. Unpublished report No. BOI 86/79656 from Huntingdon Research
    Centre. Submitted to WHO by Boehringer Ingelheim Vetmedica GmbH,
    Ingelheim am Rhein, Germany.

    Pappritz, G. (1968). Determination of ALD50 of the substance in the
    dog after oral administration. Unpublished report. Submitted to WHO by
    Boehringer Ingelheim Vetmedica GmbH, Ingelheim am Rhein, Germany.

    Pappritz, G. (1972). Determination of the ALD50 Of NA-B 365 in the
    dog following intravenous administration. Unpublished report.
    Submitted to WHO by Boehringer Ingelheim Vetmedica GmbH, Ingelheim am
    Rhein, Germany.

    Pappritz, G. & Bauer, M. (1973a). Supplementary studies on the
    subacute toxicity of substance N-AB 365 CL in dogs after oral
    administration. Unpublished report. Submitted to WHO by Boehringer
    Ingelheim Vetmedica GmbH, Ingelheim am Rhein, Germany.

    Pappritz, G. & Bauer, M. (1973b). Chronic toxicity study of substance
    NAB 365 in dogs following oral administration. Unpublished report.
    Submitted to WHO by Boehringer Ingelheim Vetmedica, Ingelheim am
    Rhein, Germany.

    Pappritz, G., Bauer, M., & Eckenfels, A. (1973). Subacute toxicity of
    NAB 265 CL in dogs following intravenous administration. Unpublished
    report. Submitted to WHO by Boehringer Ingelheim Vetmedica,
    Ingelheim am Rhein, Germany.

    Poynter, D & Spurling, N.W. (1971). Some cardiac effects of
    beta-adrenergic stimulants in animals.  Postgrad. Med. J., 47, 21-25.

    Poynter, D., Harris, D.M., & Jack, D. (1978). Salbutamol: lack of
    evidence of tumour induction in man.  Br. Med. J., 7 January.

    Richter, I. (1982). Biochemical investigations of the placental
    passage of 14C-clenbuterol in pregnant rats. Unpublished report
    No. U82-0292. Submitted to WHO by Boehringer Ingelheim Vetmedica GmbH,
    Ingelheim am Rhein, Germany.

    Roberts, W.C., & Cohen, L.S. (1972). Left ventricular papillary
    muscles. Description of the normal and a survey of conditions causing
    them to be abnormal.  Circulation, XLVI, 138-154.

    Rohr, U.D., Haczkiewicz, K., Mohr, A., & Orton, B. (undated).
    Validation of an excised human skin model for testing drug candidates
    suited for transdermal drug delivery. Unpublished report from
    Boehringer Ingelheim KG. Submitted to WHO by Boehringer Ingelheim
    Vetmedica GmbH, Ingelheim am Rhein, Germany.

    Rominger, K.L. & Schrank, H. (1982). Placental transfer of
    14C-clenbuterol in the dog. Unpublished report No. U82-0291.
    Submitted to WHO by Boehringer Ingelheim Vetmedica GmbH, Ingelheim am
    Rhein, Germany.

    Rominger, K.L., Förster, H., Hermer, M., Peil, H., & Wolf, M. (1987).
    Clenbuterol plasma levels in patients under tocolytic treatment.
    Unpublished report from Boehringer Ingelheim KG. Submitted to WHO by
    Boehringer Ingelheim Vetmedica GmbH, Ingelheim am Rhein, Germany.

    Rosenblum, I., Wohl, A., & Stein, A.A. (1965). Studies in cardiac
    necrosis. III. Metabolic effects of sympathomimetic amines producing
    cardiac lesions.  Toxicol. Appl. Pharmacol., 7, 344-351.

    Schmid, J. (1977). Pilot pharmacokinetic investigations after
    intravenous administration of N-AB 365 CL in a cow. Unpublished
    report. Submitted to WHO by Boehringer Ingelheim Vetmedica GmbH,
    Ingelheim am Rhein, Germany.

    Schmid, J. (1980). Investigations of the placental transfer of
    14C-N-AB 365 CL in the baboon. Unpublished report from Inveresk
    Research International. Submitted to WHO by Boehringer Ingelheim
    Vetmedica GmbH, Ingelheim am Rhein, Germany.

    Schmid, J. (1982). Pharmacokinetics, metabolism and tissue
    distribution of 14C-N-AB 365 CL in the baboon. Unpublished report
    No. 2220 from Inveresk Research International. Submitted to WHO by
    Boehringer Ingelheim Vetmedica GmbH, Ingelheim am Rhein, Germany.

    Schmid, J. (1990a). Plasma levels and residue analysis in cows and
    calves. Unpublished report No. U90-0092. Submitted to WHO by
    Boehringer Ingelheim Vetmedica GmbH, Ingelheim am Rhein, Germany.

    Schmid, J. (1990b). N-AB 365 CL in the cow's milk after oral and
    intramuscular administration. Unpublished report No. U90-0099.
    Submitted to WHO by Boehringer Ingelheim Vetmedica GmbH, Ingelheim am
    Rhein, Germany.

    Schmid, J. & Prox, A. (1986). Isolation and structural elucidation of
    NAB 365 CL metabolites from dog urine. Unpublished report. Submitted
    to WHO by Boehringer Ingelheim Vetmedica GmbH, Ingelheim am
    Rhein, Germany.

    Schmid, J. & Zimmer, A. (1977a). Pilot pharmacokinetic studies
    following oral administration (single and multiple dosing) of
    14C N-AB 365 CL to a cow. Unpublished report. Submitted to WHO by
    Boehringer Ingelheim Vetmedica GmbH, Ingelheim am Rhein, Germany.

    Schmid, J. & Zimmer, A. (1977b). Pilot pharmacokinetic investigations
    after intramuscular administration (single and multiple doses) of
    N-AB 365 CL in the cow. Unpublished report. Submitted to WHO by
    Boehringer Ingelheim Vetmedica GmbH, Ingelheim am Rhein, Germany.

    Schuster, A. (1984). Skin sensitisation study in guinea pigs.
    Unpublished report No. U84-0673 from Boehringer Ingelheim KG.
    Submitted to WHO by Boehringer Ingelheim Vetmedica GmbH, Ingelheim am
    Rhein, Germany.

    Schuster, D., Deichsel, G., & Feuerer, W. (1989). Dose effect study
    with NAB 365 CL metered dose inhaler in patients with chronic
    obstructive lung disease. Unpublished report from Dr. K. Thomae GmbH,
    Medical Department. Submitted to WHO by Boehringer Ingelheim Vetmedica
    GmbH, Ingelheim am Rhein, Germany.

    Sells, D.M. & Gibson, J.P. (1987). Carcinogenicity studies with
    medroxalol hydrochloride in rats and mice.  Toxicol. Pathol.,
    15, 457-467.

    Serbedija, R. & Bauer, M. (1973). Toxicity study of the substance
    NAB 365 CL in rats over a period of 18 months. Unpublished report.
    Submitted to WHO by Boehringer Ingelheim Vetmedica GmbH, Ingelheim am
    Rhein, Germany.

    Serbedija, R., Lutzen, L., Puschner, H., & Hohbach, Ch. (1982).
    Carcinogenicity study with the substance N-AB 365 CL in rats with oral
    administration for a period of 2 years. Unpublished report. Submitted
    to WHO by Boehringer Ingelheim Vetmedica GmbH, Ingelheim am
    Rhein, Germany.

    Streller, I. (1981). Effect of the ß-adrenergic agents fenoterol,
    orciprenaline, clenbuterol, SOM 987 and SOM 1122 on the mucocilliary
    clearance in the trachea of the anaesthetised guinea-pig. Unpublished
    report. Submitted to WHO by Boehringer Ingelheim Vetmedica GmbH,
    Ingelheim am Rhein, Germany.

    Tullgren, A & Lins L-E. (1987). An open long-term tolerability study
    on NAB 365 (clenbuterol). Unpublished report from Boehringer Ingelheim
    AB, Stockholm, Sweden. Submitted to WHO by Boehringer Ingelheim
    Vetmedica GmbH, Ingelheim am Rhein, Germany.

    Ueberberg, H. (1976). Comparative study of the effects of NAB 365 CL
    and terbutaline sulfate on the dog heart. Unpublished report.
    Submitted to WHO by Boehringer Ingelheim Vetmedica GmbH, Ingelheim am
    Rhein, Germany.

    Umemoto, K. (1984). Carcinogenicity studies with the  beta-adreno-
    ceptor stimulant clenbuterol (NAB-365 CL) in mice by drinking water.
    Unpublished report from Nippon Boehringer Ingelheim. Submitted to WHO
    by Boehringer Ingelheim Vetmedica GmbH, Ingelheim am Rhein, Germany.

    Zimmer, A. (1971). Metabolism and species comparison in the rat,
    rabbit and dog (ADME IV). Unpublished report. Submitted to WHO by
    Boehringer Ingelheim Vetmedica GmbH, Ingelheim am Rhein, Germany.

    Zimmer, A. (1974a). Comparison of the pharmacokinetic profile in the
    dog with single and repeated dosage (ADME 1 D). Unpublished report
    No. U73-0161. Submitted to WHO by Boehringer Ingelheim GmbH,
    Ingelheim am Rhein, Germany.

    Zimmer, A. (1974b). Pharmacokinetics and metabolism pattern in the
    rabbit and dog (ADME I). Unpublished report No. U74-0116. Submitted to
    WHO by Boehringer Ingelheim GmbH, Ingelheim am Rhein, Germany.

    Zimmer, A. (1974c). Metabolism in man; comparison with dog and rabbit,
    using radioactive substance. Unpublished report. Submitted to WHO by
    Boehringer Ingelheim Vetmedica GmbH, Ingelheim am Rhein, Germany.

    Zimmer, A. (1976). Administration of clenbuterol in man. Single doses,
    multiple doses, and metabolite samples. Unpublished report. Submitted
    to WHO by Boehringer Ingelheim Vetmedica GmbH, Ingelheim am
    Rhein, Germany.

    Zimmer, A. (1977). Preliminary investigations of pharmacokinetics in a
    horse. Unpublished report. Submitted to WHO by Boehringer Ingelheim
    Vetmedica GmbH, Ingelheim am Rhein, Germany.

    Zupan, J. A. (1985). A comparative bioavailability study between oral
    and injectable dosage forms of clenbuterol in horses. Unpublished
    report. Submitted to WHO by Boehringer Ingelheim Vetmedica GmbH,
    Ingelheim am Rhein, Germany.
    


    See Also:
       Toxicological Abbreviations
       CLENBUTEROL (JECFA Evaluation)