IPCS INCHEM Home


    ANTIMICROBIAL AGENTS

    CEFTIOFUR

    First draft prepared by
    Dr. L. Ritter
    Canadian Network of Toxicology Centres, University of Guelph
    Guelph, Ontario, Canada

    Dr. G. Kirby
    Ontario Veterinary College, University of Guelph
    Guelph, Ontario, Canada

    Dr. C. Cerniglia
    National Center for Toxicological Research,
    Jefferson, Arkansas, USA

    Explanation

    Biological data
         Biochemical aspects
         Absorption, distribution, and excretion
         Biotransformation

    Toxicological studies
         Acute toxicity studies
         Short-term toxicity studies
         Reproductive toxicity studies
         Special studies on embryotoxicity and teratogenicity
         Special studies on genotoxicity
         Special studies on immunotoxicity
         Special studies on microbiological effects
         Observations in humans

    Comments

    Evaluation

    References

    1.  EXPLANATION

         Ceftiofur is a cephalosporin antibiotic with broad-spectrum
    activity against both Gram-positive and Gram-negative bacteria
    including ß-lactamase-producing bacterial strains. It inhibits
    bacterial cell wall synthesis in a similar fashion to other
    cephalosporins. Ceftiofur is used in the treatment of respiratory
    infections in cattle and pigs. Ceftiofur had not been previously
    evaluated by the Committee.

         The chemical structure of ceftiofur is given in Figure 1. All
    studies summarized in this monograph were performed with the sodium
    salt.

    Figure 1. Ceftiofur

    CHEMICAL STRUCTURE 3

    2.  BIOLOGICAL DATA

    2.1  Biochemical aspects

    2.1.1  Absorption, distribution, and excretion

    2.1.1.1  Rats

         A group of Sprague-Dawley rats (7/sex) received single oral doses
    of 14C-ceftiofur (200 mg/kg bw) in a comparative study with calves.
    Approximately 55% of the total dose was recovered in the urine and the
    rest was present in the faeces and GI tract. Plasma concentration at
    6 h was 1 mg/kg and trace amounts of ceftiofur were present in all
    tissues (i.e. liver, muscle and fat). The highest residue levels
    (0.7 mg/kg) were present in kidney. The major urinary metabolite was
    ceftiofursulfoxide cysteine thioester (Jaglan & Arnold, 1986a).

         A study of 4 male and 4 female Sprague-Dawley rats treated
    intramuscularly with 14C-ceftiofur (2 mg/kg bw) revealed that 55% of
    the administered dose was excreted in the urine and about 30% in the
    GI tract and faeces. The major urinary metabolite was desfuroylceftiofur
    (DFC). The metabolism of ceftiofur was similar in calves administered
    14C-ceftiofur (2 mg/kg bw) via the i.m. route. Unmetabolized
    ceftiofur was also present in the urine (4.4-21% of total
    radioactivity) (Jaglan & Arnold, 1987a).

         A parallel comparative study to the one described above using
    similar dosages and routes of administration in 2 rats (1 male and 1
    female) and 2 calves demonstrated that acetamide conjugates of DFC
    were the major urinary metabolites 1 h post-treatment (Jaglan &
    Arnold, 1986b).

         A study of 2 male rats treated with a single i.m. injection of
    14C-ceftiofur revealed that DFC existed as complexes bound by
    sulfhydryl groups to major serum proteins, albumin and alpha-1-
    antitrypsin (Jaglan  et al, 1987a).

         A study in 8-week old Sprague-Dawley rats (7/sex) treated with
    14C-ceftiofur (800 mg/kg bw/day) by oral gavage for 5 days revealed
    several urinary metabolites, including DFC, ceftiofur sulfoxide, and
    cysteine disulfide (Jaglan  et al, 1987a). These results were similar
    to those obtained following i.m. injection of ceftiofur described
    above (Jaglan & Arnold, 1986a).

         HPLC analysis of metabolites of 14C-ceftiofur formed by
    arochlor-induced rat liver S-9 fractions  in vitro revealed that DFC
    was the major metabolite. Low doses (119 mg/kg bw) of ceftiofur were
    completely metabolized within 15 minutes. Higher doses (857 mg/kg bw)
    were converted to DFC after 60 minutes of incubation (Jaglan  et al,
    1987b).

    2.1.1.2  Cattle

         In two studies comparing the metabolism of orally administered
    ceftiofur in rats, single i.m. injections of 14C-ceftiofur
    (2 mg/kg bw) were given to 2 calves (sex not identified). The initial
    urinary metabolite was desfuroylceftiofur formed by hydrolysis of the
    thioester bond. An additional 3,3'-desfuryl ceftiofur disulfide dimer
    was considered to be due to the alkaline condition in the urine of
    herbivores (Jaglan & Arnold, 1987b; Jaglan  et al, 1989).

         A study of plasma concentrations following i.m. injections of
    14ceftiofur (dose unspecified) in a heifer and a bull demonstrated
    the presence of a single metabolite DFC, 1 h post-treatment. DFC
    levels were undetectable after 16-24 h. DFC was due to cleavage of
    thioester bond of ceftiofur (Krzeminski  et al, 1985).

         A study of i.m. administration of 14C-ceftiofur in a bull
    revealed that 55% of the administered dose was excreted in the urine
    and approximately 30% in the GI tract and faeces. The initial
    metabolite in both urine and plasma was DFC. HPLC analysis of
    radioactive metabolites was similar to the results found in the rat
    studies (Jaglan & Arnold, 1987a). A number of metabolites were
    produced, the major metabolite (87% of total urinary metabolites)
    being DFC acetamide conjugates. No parent compound was observed in the
    urine (Jaglan & Arnold, 1987b).

         A study of lactating cows treated with 14C-ceftiofur (2.3 mg/kg
    bw/day for 5 days) revealed that 32-38% of the radioactivity was
    present in the milk as free metabolites. The major metabolite was
    desfuroylceftiofur cysteine disulfide (DCD) representing 7-9% of the
    total radioactivity. No parent compound was detected in the milk
    (Jaglan  et al, 1989).

         A study of 4 calves (sex and breed unspecified) administered
    ceftiofur intramuscularly daily for 4 days at 2 dose levels (2.2 or
    4.4 mg/kg bw/day) demonstrated a plasma t1/2 of 3.5 h. Peak serum
    concentration of 8.8 and 17.3 mg/ml were obtained at 2 h after doses
    of 2.2 and 4.4 mg/kg bw/day, respectively. Plasma t1/2 of the
    metabolite DFC was 9.7 h after i.m. administration
    (Halstead  et al, 1992).

         Six Friesian calves (3/sex) were treated with ceftiofur according
    to different protocols including one single i.m. and i.v. injection at
    1 mg/kg bw, and 5 i.m. injections at 1 mg/kg bw at 24 h intervals.
    Time to maximal plasma concentration following i.m. administration was
    0.75 h. The t1/2 (0.07 h) was short due to rapid metabolism to DFC.
    The t1/2 of DFC after i.m. and i.v. administration were similar
    (9.7 and 8.6 h, respectively) (Halstead  et al, 1992).

    2.1.1.3  Pigs

         A study (Jaglan  et al, 1990) examining the profile of urinary
    metabolites in pigs (number, breed and age unspecified) treated with 3
    consecutive intramuscular injections of 14C-ceftiofur (5.2 mg/kg bw)
    revealed a qualitatively similar profile of urinary metabolites to
    that observed in rats treated with multiple oral doses of ceftiofur
    (Jaglan  et al, 1987a).

         A study of 4- to 5-month old Yorkshire-Hampshire pigs (6/sex)
    treated with 3 daily i.m. injections of 14C-ceftiofur (5.2 mg/kg bw)
    produced similar results to those observed in rats and cattle. The
    peak plasma levels of radioactivity (15.4 mg/kg) occurred at 2 h after
    the last dose, declining to 7.0 mg/kg 12 h after the last dose. Tissue
    levels in various tissues 12 h after the last dose were as follows:
    lung, 2.9 mg/kg; muscle, 0.8 mg/kg; kidney, 4.5 mg/kg; GI tract 2.1,
    and its contents, 5.7 mg/kg; mesentery glands, 1.9 mg/kg; turbinate,
    2.7 mg/kg; tonsil, 1.7 mg/kg; brain, 0.1 mg/kg. Radioactivity in urine
    and faeces accounted for 62% and 11% of the dose, respectively. Major
    plasma metabolites of DFC covalently bound to proteins were identical
    to those identified in rat and bovine studies. Urinary metabolites
    were also similar consisting of ceftiofur and 8 metabolites including
    DCD and 3,3'-desfuroylceftiofur disulfide, DFC and ceftiofur sulfoxide
    cysteine thioester and an unidentified polar metabolite. The t1/2 of
    DCA was 13.5 h after i.m. treatment and 12.2 h after i.v. treatment
    (Yein  et al, 1990).

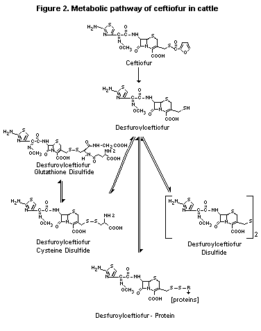
    2.1.2  Biotransformation

         Metabolism of 14C-ceftiofur in cattle and rats involved rapid
    cleavage of the thioester bond of ceftiofur yielding DFC and furoic
    acid (Krzeminski  et al, 1985; Yein  et al, 1990; Banting  et al, 1989).

         The major urinary metabolite in cattle were desfuorylceftiofur
    thiolactone, DCD, and 3,3'-desfuorylceftiofur disulfide dimer
    (3,3'-DFD) formed because of the alkaline condition of urine of
    herbivores. The major urinary metabolite after oral administration in
    the rat was ceftiofur sulfoxide cysteine thioester due to enteric
    metabolism (Jaglan & Arnold, 1987a). In rats, desfuroylceftiofur was
    covalently bound to plasma proteins, principally albumin and
    alpha-antitrypsin (Jaglan,  et al, 1991), whereas DFC was primarily
    free in calf plasma (Jaglan & Arnold, 1986b).

         Studies of 14C-ceftiofur metabolism  in vitro with hepatic S-9
    fraction from Arochlor-1254-induced F344 rats (Jaglan  et al, 1987),
    and liver and kidney S-9 fractions from pigs, cattle and chickens
    (Gilbertson  et al, 1990), demonstrated qualitatively similar results

    to the  in vivo studies. In all species, DFC and its dimer were the
    major metabolites of liver S-9 fractions and DCD was generated by
    kidney S-9 fractions. No ceftiofur metabolite-protein complexes were
    observed  in vitro (Jaglan et al, 1987b).

         The metabolism of ceftiofur in cattle is shown in Figure 2.

    2.2  Toxicological studies

    2.2.1  Acute toxicity studies

    2.2.1.1  Mice

         The acute toxicity of ceftiofur was studied in groups of 5 female
    mice per dose, which were treated via the i.v. and i.m. routes. In the
    i.v. study, convulsions preceded death while in the i.m. study, mild
    prostration was noted. The LD50 by the i.v. and i.m. routes were
    about 2000 mg/kg bw and 3400 mg/kg bw, respectively (Berthe, 1982a).

    2.2.1.2  Rats

         The acute toxicity of ceftiofur was studied in female
    Sprague-Dawley rats via the i.v. and i.m. routes, and in both males
    and females via the oral and inhalation routes.

         In an i.v. study, ceftiofur was administered at doses up to
    3800 mg/kg bw. Conjunctival haemorrhage was noted during
    administration of the test substance and death was preceded by
    convulsion. The LD50 was 2200 mg/kg bw (Berthe, 1982a).

         In an i.m. study, ceftiofur was administered at doses up to
    1500 mg/kg bw. Mild prostration was noted and the LD50 was
    1250 mg/kg bw (Berthe, 1982a).

         In an inhalation study, ceftiofur was administered at an aerosol
    concentration of 8.3 mg/litre to a group of 5 male and 5 female
    Sprague-Dawley rats for a 4-h exposure period. During exposure, rats
    exhibited salivation, nasal discharge and dyspnea; these signs
    virtually disappeared within 1 h after exposure. Post-exposure signs
    included diarrhea in 6 rats, and 1 rat exhibited a red encrusted
    material around the nares. Both gross and microscopic examination did
    not reveal any treatment-related changes. As none of the test animals
    died either during treatment or during the post-treatment 14-day
    observation period, the acute 4 h LC50 was estimated to be greater
    than 8.3 mg/litre (Leong  et al, 1985).

    Figure 2. Metabolic pathway of ceftiofur in cattle

    CHEMICAL STRUCTURE 4

         In an acute oral study, ceftiofur was administered as a single
    dose of up to 7800 mg/kg bw to groups of Sprague-Dawley rats (10/sex).
    Treatment-related diarrhea was noted at the 2 highest dose levels. No
    other treatment-related signs were observed. As no deaths occurred at
    any treatment level, the acute oral LD50 was determined to be
    greater than 7800 mg/kg bw (Cole et al., 1985).

    2.2.2  Short-term toxicity studies

    2.2.2.1  Rats

         Ceftiofur was administered i.p. to groups of Sprague-Dawley rats
    (10/sex/group) at doses of 100, 200 or 400 mg/kg bw/day for 14 days.
    No mortality was observed during the study. No changes were observed
    in body-weight gain, food consumption or following ophthalmic
    examination. Slight faecal softening was observed in animals receiving
    the highest dose, and a significant increase in absolute and relative
    liver weights was observed in high-dose males. The NOEL in this study
    was 200 mg/kg bw/day (Berthe, 1982b).

         In another study, groups of Sprague-Dawley rats (15/sex/group)
    were dosed by gavage with doses of 1500, 3000 or 6000 mg/kg bw/day of
    ceftiofur for 30 days. A comparable control group received water by
    gavage. Clinical signs of toxicity included diarrhea at all doses
    tested, and distended abdomen at the 2 highest doses. Six deaths
    attributed to mechanical impactions were observed in the high-dose
    group. Treatment at all dose levels caused distension of the lumen and
    flattening of the mucosa of the large intestine microscopically. This
    can be attributed to treatment-related alterations in the gut
    bacterial flora. Body-weight gains were significantly depressed at
    6000 mg/kg bw/day, but were largely unaffected at lower doses.
    Significant haematologic changes were reduced erythrocyte count and
    haematocrit, and reduced haemoglobin concentrations in high-dose
    females only.

         Treatment with the high dose also resulted in significantly
    reduced serum glucose values and significant increases in urine
    specific gravity. Significant dose-dependent increases in urinary
    ketones were considered likely to be associated with treatment-induced
    GI effects. In conclusion, ceftiofur administered orally to rats for
    30 days caused GI toxicity, marked at 6000, moderate at 3000, and
    minimal at 1500 mg/kg bw/day. A NOEL was not identified in this study
    (Kakuk  et al, 1985a).

         Ceftiofur was administered by gavage to groups of Sprague-Dawley
    rats (20/sex/dose) at daily doses of 30, 100, 300, 1000 or 3000 mg/kg
    bw/dy for 90 days. A comparable control group received water by
    gavage. The primary target organ was the GI tract. Diarrhea and
    hardened stomach contents were seen clinically, and increased in
    severity in a dose-dependent manner. At dose levels below 300 mg/kg
    bw/day only transient diarrhea was noted. At the highest dose level,

    formation of gastric concretions were observed, resulting in
    mechanical obstruction and associated depression in body-weight gains.
    High-dose animals were generally also associated with electrolyte
    imbalance and decreased serum glucose concentration. Microscopically,
    treatment-related toxicity in the high-dose group included depletion
    of hepatic glycogen, and atrophy of the germinal centres of the
    spleen, lymph nodes and thymus.

         Urinalysis revealed a significant increase in ketones in the 1000
    and 3000 mg/kg bw/day groups, as well as a lowered urine pH at doses
    of 100 mg/kg bw/day or greater. Treatment also resulted in colitis in
    males receiving 1000 mg/kg bw/day or greater, and in females receiving
    300 mg/kg bw/day or greater.

         In conclusion, oral administration of ceftiofur resulted in
    diarrhea, colitis, depression in body-weight gain and in serum
    glucose, and acidification of urine. The NOEL in this study was
    100 mg/kg bw/day (Kakuk  et al, 1985b).

    2.2.2.2  Dogs

         Groups of beagle dogs (4/sex/dose) were given ceftiofur at dose
    levels of 300, 1000, or 3000 mg/kg bw/day in divided dose twice daily
    for 51 days. Pre-treatment evaluation included physical and ophthalmic
    examinations. Post-treatment evaluation included food consumption,
    body weights, biochemistry, urinalysis, haematological and selected
    histopathological examinations. Ophthalmic examinations were also
    conducted on all test animals during week 4 of treatment and at
    termination of the study.

         Anaemia and thrombocytopenia were observed at all doses. Emesis,
    soft stools and diarrhea were seen less frequently. Two females given
    1000 mg/kg bw/day, and 2 males and 2 females given 3000 mg/kg bw/day
    died. These deaths were associated with anaemia and characterized by
    pale mucous membranes and increased relative spleen weights. Bone
    marrow dysplasia, extramedullary haematopoiesis and thymic atrophy
    were seen microscopically at all dose levels. Hepatocellular necrosis,
    reported to be secondary to the anaemia, was also observed in animals
    receiving 1000 mg/kg bw/day or greater. Multiple inflammatory lesions
    were present in the visceral organs of test animals receiving
    1000 mg/kg bw/day or more. A NOEL was not identified in this study
    (Jackson  et al, 1985a).

         In another study, ceftiofur was administered orally by capsule to
    groups of beagle dogs (5/sex/group) at doses of 10, 30, 100 or
    300 mg/kg bw/day for 91 days. Physical examinations preceded
    initiation of treatment. Ophthalmic examinations, urinalysis, serum

    biochemistry and extensive haematological evaluations including blood
    smears and differential leukocyte counts were performed on all test
    animals. Coomb's tests were carried out on high-dose animals. All
    animals were subjected to complete necropsy and selected
    histopathological examinations.

         As noted in the 51-day study in dogs, the primary site of toxic
    action appeared to be the haematopoietic system. Animals at 300 mg/kg
    bw/day were positive for the Coomb's test indicating the presence of
    immunoglobulin on the surface of erythrocytes and some animals
    developed toxic signs of severe anaemia without evidence of a
    regenerative response by bone marrow until compound administration
    ceased. Administration of 100 mg/kg bw/day or more was associated with
    a non-progressive thrombocytopenia. Other toxic manifestations of
    anaemia included depression and pale mucous membranes and tissues.
    Necropsy and histopathological examinations confirmed the
    treatment-related and dose-dependent anaemia at doses above 30 mg/kg
    bw/day. The NOEL in this study was 30 mg/kg bw/day (Jackson  et al, 
    1985b).

    2.2.2.3  Monkeys

         Ceftiofur was administered intravenously to groups of monkeys
    (2/sex/group) at dose levels of 100, 200 or 400 mg/kg bw/day for 12
    days. Signs of toxicity included diarrhea in all treated animals and
    vomiting accompanied by tachycardia in 1 animal receiving the
    200 mg/kg bw/day dose. This animal died after the 12th treatment but
    had no treatment-related lesions at necropsy.

         Ophthalmological examination, including intraocular pressure, was
    normal in all treated animals as were results of electrocardiograms.
    Although diarrhea was noted in all treated animals, concomitant weight
    loss was not observed. Haematology, biochemistry and urinalysis were
    all within normal limits. Histopathology revealed a nephritis,
    accompanied by increased kidney weight in 1 male given the highest
    dose. No other treatment-related effects were noted. A clear NOEL was
    not identified in this study (Berthe, 1982c).

    2.2.3  Reproductive toxicity studies

    2.2.3.1  Rats

         In a 2-generation fertility and general reproductive performance
    study, groups of 30 male (approximately 45-day old) and 30 female
    (approximately 55-day old) Sprague-Dawley rats were orally
    administered ceftiofur at dosages of 0, 100, 300 or 1000 mg/kg bw/day.
    Males were treated from 70 days prior to breeding, continuing for a
    total of 136 days of treatment. Females were treated 14 days prior to
    breeding, throughout gestation and lactation, for a total of 79 days
    of treatment. The F1 generation was also retained for breeding. Body

    weight, food consumption, parental survival, confirmed matings,
    pregnancy rates, length of gestation, number of live offspring,
    offspring survival, necropsy and histopathological findings were all
    evaluated as part of this study.

         All pups in the high-dose group survived and no effect on growth
    was seen. No dose-dependent adverse effects on fertility, reproductive
    performance or histopathological alterations in reproductive organs of
    either sex in the F0 generation were observed. Alteration in
    body-weight gain and enlargement of the caecum were seen in each
    treated group. No treatment-related adverse effects on growth or
    viability were observed in the F1 litters through weaning. There
    were no abnormalities on histopathological examination of F0 and
    F1 animals. The NOEL in this study was 1000 mg/kg bw/day
    (Kakuk, 1985).

         A 2-generation study of fertility and reproductive performance of
    F1 generation rats was conducted as a continuation of the above
    study. Four groups of 30 male and 30 female Sprague-Dawley F0 rats
    were administered ceftiofur from the postnatal day 21 until days
    145-159 for males, and days 146-160 for females. A dose-related
    increase in mortality was noted in treated groups when the data from
    the males and females were combined. The majority of the deaths were
    attributed to accidental causes. There were no adverse effects on
    fertility or reproductive performance in the F1 generation and F2
    litters. Enlargement of the caecum occurred in F1 animals at
    300 mg/kg bw/day or greater. In the high-dose groups, there was a
    higher incidence of degenerative changes in the non-glandular stomach
    (92%), and mucus hypersecretion in the glandular stomach (79%)
    compared to control animals. No treatment-related histological changes
    were observed in the reproductive organs of either sex at the high
    dose (1000 mg/kg bw/day). The NOEL in this study was 1000 mg/kg bw/day
    (Kakuk, 1986).

    2.2.4  Special Studies on embryotoxicity and teratogenicity

    2.2.4.1  Mice

         Teratogenicity studies were conducted in mice as a second species
    instead of rabbits because orally administered ceftiofur disrupts the
    caecal microflora in rabbits. In a dose range-finding study, groups of
    seven bred female CD-1 mice were given ceftiofur orally at doses of
    1000, 2000, 4000 or 8000 mg/kg bw/day from days 6-15 of gestation. At
    day 18 of gestation, uterine weight, numbers of viable fetuses,
    resorptions, corpora lutea and fetal malformations were recorded.
    Signs of maternal toxicity were evident at 4000 and 8000 mg/kg bw/day.
    Reduced fetal body weights were recorded at 8000 mg/kg bw/day. The
    NOEL for maternal toxicity was 2000 mg/kg bw/day, for fetotoxicity
    4000 mg/kg bw/day, and for embryotoxicity and teratogenicity
    8000 mg/kg bw/day.

         A more detailed segment II oral teratogenicity study was
    conducted in groups of 30 female CD-1 mice on days 6-15 of gestation
    at 1000, 2000 or 4000 mg/kg bw/day. All parameters stated above were
    recorded as well as extensive examination of viable fetuses for
    visceral malformations, cranial and skeletal abnormalities. Increased
    food consumption, distended stomach and small intestines, and enlarged
    gall bladders were observed in dams in the mid- and high-dose groups.
    No treatment-related effects were seen in the numbers of resorption
    sites, litter size or pup weights. There were no effects on the
    incidences of skeletal or visceral anomalies. The NOEL for maternal
    toxicity was 1000 mg/kg bw/day, and for developmental toxicity it was
    4000 mg/kg bw/day (Marks & Terry, 1993).

    2.2.4.2  Rats

         Groups of 24 pregnant rats (strain unspecified) were orally
    administered doses of 0, 800, 1600 or 3200 mg/kg bw/day ceftiofur once
    daily on days 6-15 of gestation. Observations were made daily for
    signs of toxicity, and body weights were recorded on the day of
    insemination, throughout the dosing period, and on day 20 when
    cesarean sections were performed. At that time, the sex, weight,
    number and location of viable fetuses, number and location of
    resorption sites, fetal weights and gross fetal abnormalities were
    determined.

         Dose-related maternal toxicity (i.e. soft stools, prophyrin
    staining of the eye and nares, diarrhea and blood in faeces) was
    observed particularly in the high-dose group. There were no observed
    adverse effects on maternal reproductive capacity and no evidence of
    teratogenicity in this study. A statistically significant dose-related
    decrease in mean fetal body weight, which did not exceed 7%, was
    observed. The NOEL in this study was 3200 mg/kg bw/day (Shaw  et al,
    1985).

    2.2.5  Special studies on genotoxicity

         A variety of  in vitro and  in vivo genotoxicity assays
    covering a range of endpoints were conducted with ceftiofur and the
    metabolite furoic acid (Tables 1 & 2). All assays were negative except
    an  in vitro chromosomal aberration assay with ceftiofur, which
    produced chromatid breaks, gaps and fragments in CHO cells.
    Chromosomal aberrations occurred in CHO cells exposed to > 200 mg/ml
    for long periods of treatment (44 h) in the absence of S9 metabolic
    activation. No evidence of clastogenicity was seen following shorter
    treatment times or in the presence of S9 at doses as high as
    5000 mg/ml nor in chromosomal aberration assays  in vivo. The
    mechanism by which chromosomal aberrations were induced  in vitro was
    extensively investigated. Ceftiofur was profoundly cytostatic

    (i.e. reducing the rate of cell division) in CHO cells under
    conditions which causes chromosomal aberrations  in vitro. Removal of
    the drug led to reversal of cytostasis and reduction in number of
    cells with aberrations. Cytotoxicity and cell lethality were not
    observed in ceftiofur-treated CHO cells suggesting that cytostasis
    results in chromosomal breaks and gaps due to prolongation of the cell
    cycle and not by a direct effect on chromatin (Aaron, 1991).

    2.2.6  Special studies on immunotoxicity

         In view of the structural similarity of many ß-lactam drugs, the
    possibility of immunologic cross reaction must be addressed. In order
    to assess this possibility, a series of studies intended to
    investigate the hypersensitivity for ß-lactam antibiotics were
    developed.

         The model developed was based on passive cutaneous anaphylaxis
    (PCA) in the guinea-pig and was intended to determine the human safety
    of residues of ceftiofur-sodium in edible tissues, including injection
    site residues. In addition, because ceftiofur is structurally related
    to penicillin, and because of concern that it might therefore have
    antigenic determinants for penicillin, the studies also examined the
    interaction between the penicillin antibody and ceftiofur.

         Antibodies to benzyl penicillin G (BPG), conjugated to keyhole
    limpet hemocyanin (KLH), and antibodies to ceftiofur (CEF), conjugated
    to bovine gamma globulin (BGG), were prepared and assayed for PCA
    activity in the guinea-pig. Reactive sera were then utilized to
    passively sensitize animals prior to further challenge with conjugates
    of BPG and BGG, CEF with BGG, CEF with hen egg albumin (HEA), the
    deocetylcefotaxime metabolite of ceftiofur, the aminothiazolyl (atz)
    side chain, common to parent drug and all metabolites, with HEA,
    parent drug, free sulfhydryl metabolite (FSM) of CEF and extracts of
    residue of CEF from injection site muscle and kidney from treated
    animals.

         The protocol involved passively sensitizing female guinea-pigs
    with antibody at multiple skin sites followed by challenge 5 days
    later. Dose levels utilized were selected as multiples of the
    anticipated human exposure level of 0.083 mg/kg bw.

         Passive cutaneous anaphylaxis occurred in guinea-pigs sensitized
    with antibody to penicillin when challenged with the BGG-BPG control.
    Reactions did not occur with exposure to any CEF-containing products.

        Table 1.  Results of genotoxicity studies on ceftiofur
                                                                                                                                              

    Test                  Test object                          Concentration           Results       References
                                                                                                                                              

    In vitro

    Ames testa            S. typhimurium                       0.125, 0.250, 0.5,      negative      Mazurek & Swenson,
                          TA98, T100, T1535, T1537,            1.0 µg/plate                          1983; Aaron, 1991
                          T1538

    Forward               Chinese hamster V-79 fibroblasts     1.0, 2.0, 4.0           negative      Harbach et al., 1983
    mutation assaya       (HGPRT assay)                        µg/ml

    Chromosome            Chinese hamster ovary cells          211, 5000 µg/ml         positive      Aaron, 1991
    aberration
    assaya

    In vivo

    Micronucleus          Sprague-Dawley rat bone marrow       0, 250, 500, 1000,      negative      Trzos et al., 1984
    Test                                                       mg/kg bw

    Micronucleus          CD-1 mouse bone marrow               0, 250, 500, 1000       negative      Aaron, 1991
    Test                                                       mg/kg bw

    UDS                   Rat hepatocytes                      0, 0.03, 0.1, 0.3,      negative      Trzos & Swenson,
                                                               1.0 mg/ml                             1984
                                                                                                                                              

    Table 1.  Results of genotoxicity studies on ceftiofur (cont'd).
                                                                                                                                              

    Test                  Test object                          Concentration           Results       References
                                                                                                                                              

    Chromosome            Mouse bone marrow                    450, 900, 1750          negative      Aaron, 1991
    aberration assay                                           mg/kg bw
    (acute)

    Chromosome            Mouse bone marrow                    350, 700, 1400          negative      Aaron, 1991
    aberration assay                                           mg/kg bw
    (subchronic)
                                                                                                                                              

    a    With and without rat liver S9 fraction

    Table 2.  Results of genotoxicity studies on furoic acid
                                                                                                             

    Test          Test object              Concentration               Results        References
                                                                                                             

    In vitro

    Ames test     S. typhimurium           250, 500, 1000, 2000        negative       Mazurek &
                  TA98, T100, T1535,       µg/plate                                   Zimmer, 1985
                  T1537, T1538

    Forward       Chinese hamster V-79     250, 500, 1000, 1500        negative       Zimmer et al.,
    mutation      fibroblasts (HGPRT       mg/ml                                      1985
    assaya        assay)

    UDS           Rat hepatocytes          1, 3, 10, 30, 100, 300,     negative       Harbach & Aaron,
                                           1000 mg/ml                                 1991
                                                                                                             

    a    With or without rat liver S-9 fraction
             Guinea-pigs sensitized with antibody to ceftiofur reacted to
    challenge with HEA-CEF by both the i.v. and oral routes of exposure,
    requiring 10 mg/kg bw by the oral route. Similarly, free sulfhydryl
    metabolite caused reactions over a broad range of dose levels by both
    the i.v. and oral routes. PCA reactions occurred following i.v.
    challenges containing at least 0.076 µg FSM/kg bw. Reaction to the
    free sulfhydryl metabolite following an oral challenge was similar to
    those reported for the HEA-CEF, suggesting approximately a 1000 fold
    difference in sensitivity between the i.v. and oral routes. Challenge
    of guinea-pigs sensitized with antibody to ceftiofur, and administered
    ceftiofur residue extracts from kidney and injection site muscle at
    dose levels of 830 µg drug/kg bw failed to produce a positive
    response.

         These data, when taken together indicate that penicillin
    antibodies do not recognize ceftiofur antigenic determinants.
    Furthermore, the data also suggest that the GI tract significantly
    reduces potential PCA activity. The data suggest that ceftiofur
    residues at either the injection site or present in kidney are not
    present in either a form or concentration which is likely to induce
    PCA activity following oral exposure of animals sensitized with
    ceftiofur antibodies and subsequently challenged with the residue
    (Jackson  et al, 1988; Brussee  et al, 1989). The authors concluded
    that human exposure to ceftiofur, its residues or metabolites poses
    virtually no human risk because:

    (a)  oral challenge with extract of ceftiofur residues in sensitized
         guinea-pigs did not result in positive PCA reactions;

    (b)  while the free sulflydryl metabolite poses the greatest risk of
         eliciting a hypersensitivity reaction, this risk is indeed very
         small because exposure would be restricted to the oral route
         where residues are invariably bound to proteins, in very low
         levels, and further inactivated in the GI tract;

    (c)  IgE isolated from patients with known sensitivity to pencillin
         did not bind significant amounts of the ceftiofur molecule, again
         implying a lack of cross reactivity.

    2.2.7  Special studies on microbiological effects

         Gram-positive bacterial susceptibility to ceftiofur is given in
    Table 3.

    Table 3.  Gram-positive bacterial susceptibility to ceftiofur (µg/ml)
              (Yancey et al., 1988; Klein et al., 1985)
                                                                        

    Organism                 MIC50          MIC90        MICrange
                                                                        

    Staph. intermedius       0.13           0.25         N/A

    Staph. aureus            N/A            N/A          0.5-4.0

    Staph. aureus (dog,      <0.06          0.13         N/A
    cat)

    Staph. intermedius       <0.06          <0.06        N/A

    Strep. agalactiae        N/A            N/A          <0.06-0.25

    Strep. bovis             N/A            N/A          <0.06

    Strep. dysgalactiae      N/A            N/A          <0.06-0.25

    Strep. equi              <0.06          <0.06        N/A

    Strep. suis              N/A            N/A          <0.06-0.5

    Strep. uberis            N/A            N/A          <0.06-0.5

    Strep.                   <0.06          <0.06        N/A
    zooepidemicus

    Strep. faecalis          N/A            N/A          >32

    L. monocytogenes         N/A            N/A          16

    R. equi                  8              16           N/A
                                                                        

         As noted in section 2.1.2, ceftiofur is rapidly degraded to
    desfuroylceftiofur. This specific metabolism and the antimicrobial
    activity of both the parent drug and its primary metabolite against
    both Gram-positive and Gram-negative bacteria have been investigated.
    The MIC values are given in Tables 4 and 5.

    Table 4.  Gram-positive bacterial susceptibility to ceftiofur and
              desfuroylceftiofur (MIC90) (Salmon et al, 1993)
                                                                        

    Organism                     Ceftiofur (µg/ml)    Desfuroylceftiofur
    (number tested)                                   (µg/ml)
                                                                        

    Strep. uberis (15)           0.03                 0.5

    Strep. dysgalactiae (15)     <0.0039              0.03

    Strep. zooepidemicus         <0.0019              0.03
    (48)

    Strep. equi (12)             <0.0019              0.03

    Strep. suis (49)             0.13                 0.25

    Staph. aureus (10)           1.0                  8.0

    Staph. hyicus (14)           1.0                  4.0

    Staph. spp (11)              1.0                  8.0
                                                                        


    Table 5.  Gram-negative bacterial susceptibility to ceftiofur and
              desfuroylceftiofur (MIC90) (Salmon et al, 1994)
                                                                        

    Organism                          Ceftiofur       Desfuroylceftiofur
    (number tested)                   (µg/ml)         (µg/ml)
                                                                        

    Pasteurella multocida (50)
    (from Swine Resp. Dis.)           <0.0039         <0.0078

    Pasteurella multocida (48)
    (from Bovine Resp. Dis.)          <0.0039         <0.0078

    Pasteurella haemolytica (42)      0.015           0.015

    Haemophilus somnus (59)           <0.0019         <0.0019

    A. pleuropneumoniae (50)          <0.0019         <0.0019

    Salmonella choleraesuis (48)      1.0             1.0

    E. coli (40)                      0.5             0.5
                                                                        

         Extensive investigations have also been carried out on the
     in vitro activity of ceftiofur and its metabolites against cultures
    of bacteria of relevance in the human GI tract. MIC values of both the
    parent drug and its primary metabolites were determined against
    bacterial species frequently isolated from the human intestinal tract.
    The MIC values are reported in Table 6.

          In vitro MIC data covering a wide range of animal and human
    bacterial species were available. Fifty-eight strains commonly
    isolated from the human GI tract were tested with ceftiofur and its
    metabolites. The MIC values were determined by the agar dilution
    technique at both high (10 6-7) and low (10 4-5) inoculum
    densities. Generally, there was a 2-fold increase in the MIC values
    with increasing inoculum density. Ceftiofur was always more active
    than its metabolites desfuroylceftiofur, desfuroylceftiofur disulfide
    and desfuroylceftiofur cysteine disulfide.  Streptococcus,
     Propionibacterium and  Bifidobacterium were the most sensitive,
    with MIC50 values of 0.016 µg/ml, 0.03 µg/ml, and 0.03 µg/ml at high
    inoculum density, respectively.  Bacteroides sp.,  Enterococcus
     faecium, Eubacterium sp., and  Lactobacillus sp. were least
    sensitive to ceftiofur, with MIC50 values of 16 µg/ml, 128 µg/ml,
    1 µg/ml, and 16 µg/ml, respectively.

         Particularly noteworthy is that for most strains, metabolites of
    ceftiofur were considerably less active than parent drug. The
    degradation of ceftiofur residues by gut flora was also examined. The
    data indicate that ceftiofur is rapidly degraded in human faecal
    material incubated anaerobically, to compounds which essentially lack
    microbiological activity (Hornish  et al., 1994; Kotarski, 1993).

    2.2.8  Observations in humans

         Ceftiofur is an antimicrobial drug developed exclusively for use
    in veterinary medicine and hence no direct studies in humans have been
    conducted.

         Ettestad  et al. (1995) have recently reported on biliary
    complications associated with the use of ceftriaxone, a cephalosporin
    antimicrobial agent, in the treatment of unsubstantiated Lyme disease.
    The authors concluded that there appeared to be a threshold for
    biliary complications which required a daily dose of > 40 mg/kg
    bw/day for periods of at least 1 month. It is noteworthy that
    anticipated human exposure to ceftiofur through food residues is
    approximately 4000 times lower than the threshold dose suggested by
    the above authors.

        Table 6.  MIC50 values for human strains of anaerobic and facultatively anaerobic bacteria
              (Thurn et al., 1994; Zurenko & Yagi, 1990; Kennedy et al., 1991; Watts et al., 1991)
                                                                                                             

    Group                                                   MIC50 (µg/ml)
    (no. strains tested)                                                                                     

                                        ceftiofur           desfuroylceftiofur      desfuroylceftiofur
                                                                                         cysteine
                                                                                        disulfide
                                                                                                             

                                    low         high        low         high        low         high
                                                                                                             

    Bacteroides (12 or 16)          2           16          16          64          16          128

    Bifidobacterium (15)            0.25        ND          8           ND          32          ND

    Clostridium (5)                 <.016       1           1           8           2           2

    Eubacterium (13)                1           ND          128         ND          64          ND

    Peptococcus and                 0.25        0.5         4           16          16          32
    Peptostreptococcus
    (10 or 15)

    Enterococcus (5 and 2)          128         ND          32          ND          8, 32       ND

    Escherichia coli (7)            0.5         0.5         2           1           2           2

    Proteus vulgaris (5)            <.06        ND          2           ND          ND          ND

    Lactobacillus (2 or 1)          0.5, 1      0.5, 16     2, 8        4, 128      4, ND       4, ND
                                                                                                             

    ND = not determined
    
    3.  COMMENTS

    Toxicological data

         A range of studies on ceftiofur and its primary metabolites were
    available for evaluation by the Committee, including data on
    pharmacokinetics and metabolism, acute and short-term toxicity,
    reproductive and developmental toxicity, genotoxicity, immunotoxicity
    and microbiology.

         Ceftiofur is rapidly metabolized to desfuroylceftiofur. Following
    i.m. administration in the rat, approximately 55% of the dose was
    excreted in the urine and about 30% in the faeces within the first
    24 h. Similar results were obtained in cattle. In a separate oral
    study in rats, approximately 55% of the dose was recovered in urine;
    the remainder was present in the faeces and the GI tract.

         Single oral doses of ceftiofur of up to 7800 mg/kg bw produced
    only minimal toxicity in the rat. Toxic signs associated with repeated
    oral doses in rats of up to 6000 mg/kg bw/day for 30 days were limited
    to haematological changes and diarrhoea. Oral doses of up to 300 mg/kg
    bw/day given to dogs for 91 days produced a reversible anaemia and
    thrombocytopenia. The NOEL for treatment-related haematopoietic
    effects in rats was 30 mg/kg bw/day.

         In reproductive toxicity studies in rats, ceftiofur administered
    at dose levels of up to 1000 mg/kg bw/day had no adverse effects on
    fertility, reproductive performance or reproductive organs. Similarly,
    no treatment-related effects were observed in developmental toxicity
    studies in mice at doses of up to 4000 mg/kg bw/day or in rats at
    doses of up to 3200 mg/kg bw/day.

         A variety of  in vitro and  in vivo genotoxicity assays covering a
    range of end-points were conducted with ceftiofur (with and without
    metabolic activation with S-9 microsomal fraction) and its metabolite
    furoic acid. All the assays were negative, with the exception of an
     in vitro chromosomal aberration assay in the absence of metabolic
    activation, but only at concentrations at which cell division was
    inhibited. The Committee concluded that this finding, when taken in
    conjunction with the negative  in vivo chromosomal aberration
    studies, was not of biological significance.

         Carcinogenicity studies have not been performed on ceftiofur.
    However, the Committee noted that the drug showed no evidence of
    genotoxicity in a variety of assays and is not chemically related to
    known carcinogens. Furthermore, it is rapidly metabolized and its
    metabolites are not related to any known carcinogens. Neither
    neoplastic nor preneoplastic lesions were observed in 90-day feeding
    studies in rats, dogs, monkeys, or in reproductive toxicity studies
    involving exposure for periods of up to 160 days in which limited
    histopathological examination were carried out. Recent reports
    indicate that non-genotoxic chemicals showing such a lack of toxicity
    are not associated with carcinogenicity in long-term rodent toxicity
    studies. Under these circumstances, the Committee concluded that
    carcinogenicity studies were not necessary.

         Long-term toxicity studies were not available. Even at doses
    exceeding several grams/kg bw/day in rats for periods of up to 90
    days, diarrhoea was the only major effect noted in rats. The Committee
    concluded that allowance could be made for the absence of long-term
    toxicity studies on ceftiofur by the application of an appropriate
    safety factor.

         The potential immunotoxicity of ceftiofur has also been
    investigated. The Committee noted that penicillin antibodies do not
    recognize ceftiofur antigenic determinants and that exposure to
    metabolites of ceftiofur did not produce adverse reactions in
    guinea-pigs sensitized to penicillin. The Committee concluded that
    there is no risk of hypersensitivity reactions in humans to ceftiofur
    or its residues or metabolites at the anticipated level of exposure.

    Microbiological data

         The potential for adverse effects on the human gut flora was
    considered.  In vitro MIC data covering a wide range of animal and
    human bacterial species were submitted for evaluation. A total of 58
    strains commonly isolated from the human GI tract were tested with
    ceftiofur and its metabolites. Ceftiofur was more active than its
    metabolites desfuroylceftiofur, 3,3'-desfuroylceftiofur disulfide and
    desfuroylceftiofur cysteine disulfide. The Committee recognized,
    however, that ceftiofur is not present as a residue because it is
    extensively and rapidly metabolized, with a plasma half-life of
    approximately 15 minutes in cattle and pigs. The lowest MIC50 value
    reported for desfuroylceftiofur cysteine disulfide was 2 µg/ml for
     Clostridium and  Escherichia species.

         In calculating an ADI based on antimicrobial activity, the
    Committee used the formula developed at the thirty-eighth meeting of
    the Committee (Annex 1, reference 97):

                       Concentration without
                       effect on human gut    ×    Daily faecal bolus (g)
    Upper limit of     flora (µg/ml)
    temporary ADI   =                                                   
    (µg/kg bw)         Fraction of
                       oral dose     ×      Safety factor  ×   Weight of
                       bioavailable                            human
                                                               (60 kg)

                    =    2 × 150   
                       0.1 × 1 × 60

                    =  50 µg/kg bw

         It took the following factors into account:

    *    Factors to account for the range of MICs needed to allow for
         sensitive bacteria, anaerobic environment, bacterial density and
         pH: the most relevant sensitive species were studied under
         conditions of high inoculum density. No adjustment was deemed
         necessary.

    *    Availability: the fraction of the dose available to the gut
         microflora was derived from studies of ceftiofur in humans which
         showed that the drug was rapidly metabolized.

    *    Variability among exposed individuals: the Committee noted that a
         substantial amount of data covering a variety of bacterial
         strains representative of the human gut microflora was available.
         In addition, it recognized that the other values selected for
         this calculation was already conservative and incorporated an
         adequate margin of safety. A safety factor of 1 was therefore
         adopted.

    4.  EVALUATION

         The Committee noted that the lowest NOEL based on toxicological
    studies was 30 mg/kg bw/day, which was observed in the 90-day study in
    dogs. It could establish an ADI of 0-60 µg/kg bw based on this NOEL
    and a safety factor of 500, which would include an additional safety
    factor of 5 to take account of the absence of long-term toxicity
    studies. However, the Committee noted that the microbiological
    end-point would give the lowest ADI and therefore established an ADI
    of 0-50 µg/kg bw based on this end-point.

    5.  REFERENCES*

    Aaron CS (1991). The Upjohn Company: TR 7228-91-036. U64279E:
    Evaluation of U64279E in the  In Vitro Chromosome Aberration Assay
    Using Chinese Hamster Ovary (CHO) Cells.

    Banting A, Mignot A, Lefebyre MA, Millerioux L, Steffan J, Gilbertson
    TJ (1989). The Upjohn Company: TR 788-9760-88-018, "Plasma Profile and
    Pharmacokinetic Parameters in Calves After Single (IV and IM) and
    Multiple Dose Administration (IM) of Ceftiofur Sodium.

    Berthe, J (1982a). Centre Des Recherches Clin-Midy, Code Nomenclature:
    TO010-00, Direction Des Recherches Sanofi, Montpellier, FRANCE: Etude
    de la Toxicité Aigue De CM-31916 (Etude Preliminaire).

    Berthe J (1982b). Centre De Recherches Clin-Midy, Code Nomenclature:
    TO020-00, Direction Des Recherches Sanofi, Montpellier, FRANCE: Etude
    de la Toxicité Subaigue De CM-31916 chez le Rat Sprague-Dawley par
    Voie Intraperitoneale.

    Berthe J (1982c). Centre De Recherches Clin-Midy, Code Nomenclautre:
    TO021-00, Direction Des Recherches Sanofi, Montpellier, FRANCE:
    CM-31916 Etude de la Toxicité Subaigue chez le Macaque Par Voie
    Intraveineuse.

    Brussee DM, Clarke GL, Cypher JJ, Farho TG, Gilbertson TG, Hornish RE,
    Jaglan PS, Miller CC (1989). Internal Memorandum, The Upjohn Company.

    Cole SL, Kakuk TJ, Rop DA (1985). The Upjohn Company: TR 7263-85-002,
    Acute Oral Single Dose Study in Sprague-Dawley Rats with Ceftiofur
    (U-64,279E).

    Ettestad PJ, Campbell GL, Welbel SF, Genese CA, Spitalny KC,
    Marchetti CM, Dennis DT (1995). Biliary complications in the treatment
    of unsubstantiated Lyme disease.  J. of Infectious Diseases
    171:356-361.

    Gilbertson TJ, Roof RD, Jaglan PS (1990) The Upjohn Company:
    TR 906-9760-90-001,  In vitro Metabolism of 14C Ceftiofur Sodium
    and Metabolites in S-9 Fractions of Livers and Kidneys of Rats, Pigs,
    Cattle, and Chickens.

    Halstead SL, Walker RD, Baker JC, Holland RE, Stein GE, Hauptman JG
    (1992) Pharmacokinetic Evaluation of Ceftiofur in Serum, Tissue
    Chamber Fluid and Bronchial Secretions from healthy Beef-Breed Calves.
     Can. J. Vet. Res., 56:269-274.

                

    *     All unpublished studies were submitted to WHO by the Upjohn
          Company, Kalamazoo, MI, USA

    Jackson TA, Brussee DM, Cypher JJ (1988) The Upjohn Company:
    TR 7220-88-026, Hypersensitivity Studies with Sodium Ceftiofur
    (U-64,279E) in Hartley Albino Guinea Pigs by the Intravenous and Oral
    Routes.

    Jackson TA, Brussee DM, Vrbancic JP, Mulholland MP (1985a) The Upjohn
    Company: TR 7263-85-077, U-64,279E; 51-Day Oral Toxicology and Drug
    Safety Study in the Beagle Dog.

    Jackson TA, Brussee DM, Vrbancic JP, Mulholland MP (1985b) The Upjohn
    Company: TR 7263-85-079, U-64,279E; 90-Day Oral Toxicology and Drug
    Safety Study in the Beagle Dog.

    Jaglan PS, Adams LD, Roof RD, Reardon IM, Heinrickson RL,
    Gilbertson TJ (1991) The Upjohn Company: TR 788-7926-91-001, The
    Nature of Covalent Binding of Desfuroylceftiofur to Plasma Proteins of
    Rats.

    Jaglan, PS, Arnold, TS (1986a) The Upjohn Company: TR 788-9760-PSJ-I-
    86-001, Metabolism of Ceftiofur (14C-U-64,279E) Sodium in Rats from
    Oral Treatment Compared to Intramuscular Treatment of Bovine (Study
    No. J-080). Part I-Disposition Study and Comparative Metabolic Profile
    in the Urine of Rats and Bovine.

    Jaglan PS, Arnold TS (1986b) The Upjohn Company; TR 788-9760-86-002,
    Metabolism of Ceftiofur (14C U-64,279) Sodium Salt in Rats from Oral
    Treatment Compared to Intramuscular Treatment of Bovine (Study
    No. J-080). Part II-Comparative Metabolic Profile in Plasma of Rats
    and Bovine.

    Jaglan PS, Arnold TS (1987a) The Upjohn Company: TR 788-9760-86-006,
    Metabolism of 14C-Ceftiofur (U-64,279E) Sodium Salt in Rats from
    Intramuscular Treatment.

    Jaglan PS, Arnold TS (1987b) The Upjohn Company: TR 788-9760-87-010,
    Characterization of the Major Bovine Urinary Metabolites Following
    Intramuscular Treatment with 14C-Ceftiofur.

    Jaglan PS, Cox BL, Smart DJ, Pierce PA, Yein FS, Roof RD,
    Gilbertson TJ (1989) The Upjohn Company: TR 788-9760-89-002,
    Disposition and Metabolism of 14C-Ceftiofur Sodium (U64279E) in
    Lactating Cows. Part II: The Nature of Milk Residues.

    Jaglan PS, Kubicek MF, Cox BL, Johnson DB, Gilbertson TJ (1987a) The
    Upjohn Company: TR 788-9760-87-006, Nature of Metabolites in Rats
    Treated Orally with Ceftiofur from Multiple High Doses and Comparison
    of the Metabolites in Liver and Kidney of Rats Versus Bovine.

    Jaglan PS, Kubicek MF, Johnson DB, Stuart DJ, Mazurek JH, Wiser SK,
    Aaron CS (1987b) The Upjohn Company: TR 788-9760-87-002, Metabolism of
    14C-Ceftiofur (U6,4279)  in vitro.

    Jaglan PS, Roof RD, Yein FS, Zaya MJ, Gilbertson TJ (1990) The Upjohn
    Company: TR 796-9760-89-005, Comparison of Metabolites of Ceftiofur
    (U-64,279E) Sodium in The Urine and Kidneys of Pigs from intramuscular
    Injection to that of Rats from Oral Doses.

    Kakuk TJ, Cole SL, Rop DA (1985a) The Upjohn Company: TR 7263-85-071,
    30-Day Oral Toxicity Study in Sprague-Dawley Rats with Ceftiofur
    Sodium (U-64,279E).

    Kakuk TJ, Cole SL, Rop DA (1985b) The Upjohn Company: TR 7263-85-075,
    90-Day Oral Toxicity Study in Sprague-Dawley Rats with Ceftiofur
    Sodium (U-64,279E).

    Kakuk TJ (1985) The Upjohn Company: TR 7263-85-082, Two Generation
    Fertility and General Reproductive Performance Study (Oral) of
    Ceftiofur Sodium (U-64,279E) in Sprague-Dawley Rats. I. Fertility and
    Reproductive Performance of the F0 Generation.

    Kakuk TJ (1986) The Upjohn Company: TR 7263-86-031, Two Generation
    Fertility and General Reproductive Performance Study (Oral) of
    Ceftiofur Sodium (U-64,279E) in Sprague-Dawley Rats. II. Fertility and
    Reproductive Performance of the F1 Generation.

    Kennedy MJ, Yancey RJ, Kornis GI (1991) The Upjohn Company:
    TR 705-7923-91-015,  In vitro Activity of Ceftiofur Sodium
    (U-64,279E), Desfuroylceftiofur (U-75,104) and Desfuroylceftiofur
    Cystein Disulfide (U-93,112) Against  Bifidobacterium spp. and
     Eubacterium spp. from the Human Gastrointestinal Tract.

    Klein LK, Yancey RJ, Goodenough KR, Kinney ML, Roberts BJ (1985) The
    Upjohn Company: TR 705-7922-85-003,  In vitro and  In Vivo
    Evaluation of the Monobactam Antibiotics, U70,887B and U71,689B,
    Compared to Aztreonam and Ceftiofur Against Bacterial Pathogens of
    Veterinary Importance.

    Kotarski S (1993) Internal Memo, The Upjohn Company.

    Krzeminski LF, Stuart DJ, Gosline RE, Subacz CJ, Cox BL, Reeves DR
    (1985) The Upjohn Company: TR 788-9760-85-005, HPLC Assay of Bovine
    Plasma and Urine Metabolites After Treatment with Carbon 14 Labeled
    Ceftiofur.

    Leong BKJ, Sabaitis CP, Kakuk TJ, Imlay MM (1985) The Upjohn Company:
    TR 7277-85-018, Acute Four-Hour Dust Inhalation Toxicity Study on
    Ceftiofur Sodium (U-64,279E) in Albino Rats.

    Marks TA, Terry RD (1993) The Upjohn Company: TR 7224-93-054,
    U-64279E: A Range-Finding Study (Oral) in Mice.

    Salmon SA, Watts JL, Yancey RJ, Case CA (1993) The Upjohn Company:
    TR 705-7923-93-007, Minimum Inhibitory Concentrations for Ceftiofur
    and Desfuroylceftiofur with Isolates of Veterinary Importance.

    Salmon SA, Watts JL, Case CA, Yancey RJ (1994) Minimum inhibitory
    concentrations for ceftiofur and comparator antimicrobial agents
    against bacterial pathogens of swine from the United States, Canada
    and Denmark. TR No. 705-7923-94-020. The Upjohn Company

    Shaw CI, Marks TA, Poppe SM, et al. (1985) The Upjohn Company:
    TR 7259-85-011, A Segment II Teratology Study (Oral) in Rats Givn
    U-64,279E

    Thurn KK, Greening RC, Kotarski SF (1994) The Upjohn Company:
    TR 788-7928-94-001 Minimal Inhibitory Concentrations of Ceftiofur and
    its Metabolites Against Bacterial Species Frequently Isolated from the
    Human Gastrointestinal Tract.

    Trzos RJ, Swenson DH (1984) The Upjohn Company: TR 7268-84-018 The
    primary hepatocyte unscheduled DNA synthesis (UDS) assay with U-64,279
    and ultra violet light.

    Trzos RJ, Swenson DH, Brown PK (1984) The Upjohn Company:
    TR 7268-84-011 The micronucleus test with U-64,279 (Sanofi
    cephalosporin).

    Watts JL, Case CA, Yancey RJ, Kornis GI (1991) The Upjohn Company:
    TR 705-7923-91-020 Evaluation of Desfuroylceftiofur-S-S-cysteine
    (DCD; U-93-112) with Veterinary Pathogens.

    Yancey RJ, Roberts BJ, Folz SD (1988) The Upjohn Company:
    TR No. 705-7922-88-002,  In vitro Activity of Ceftiofur Sodium
    (U-64,279E) for Urinary and Respiratory Tract Pathogens of Companion
    Animals.

    Yein FS, Zaya MJ, Arnold TS, Hoffman GA, Roof RD, Dame KJ, Cox TD,
    Reeves DR, Flook TF (1990) The Upjohn Company: TR 796-9760-89-002,
    Absorption, Distribution, Metabolism, and Excretion of 14C-Ceftiofur
    (U-64,279E) Sodium in the Swine.

    Zurenko GE, Yagi BH (1990) The Upjohn Company: TR 7254-090-098
    The  In vitro Activity of Ceftiofur Sodium (U-64279E) and
    Desfuroylceftiofur (U-75104) Against Human Bacterial Clinical
    Isolates.
    


    See Also:
       Toxicological Abbreviations
       CEFTIOFUR (JECFA Evaluation)