IPCS INCHEM Home

    LEVAMISOLE

    First draft prepared by
    Dr G. Roberts
    Environmental Health Branch
    Department of Health, Housing and Community Services
    Canberra, Australia

    1.  EXPLANATION

           Levamisole has a long history of use as a broad spectrum
    anthelmintic in animals. It is used in human medicine as an
    anthelmintic and immunomodulator.

           Levamisole had been previously evaluated at the thirty-sixth
    Meeting of the Committee (Annex 1, reference 91). A temporary ADI
    of 0-0.003 mg/kg bw was established based on a NOEL of 1.25 mg/kg
    bw/day for hemolysis in dogs and a safety factor of 500.

           The Committee requested information which addressed the
    incidences of hematological effects in humans, the results of
    studies that demonstrate the mechanism of production of hemolytic
    anaemia in dogs and neutropenia in humans, and a comparison of the
    metabolites of levamisole in humans, laboratory animals and
    food-producing animals. The additional information is summarized
    and discussed in the following addendum.

    2.  BIOLOGICAL DATA

    2.1  Biochemical Aspects

    2.1.1  Absorption and excretion

    2.1.1.1  Dogs

           Dogs were given single doses of 10 mg/kg bw levamisole by
    either i.v. or oral (tablet) administration. The measurement of
    pharmacokinetic parameters revealed that an oral dose was
    moderately well absorbed, 64% in fasted animals and 44% in fed
    animals. Excretion was relatively rapid with terminal half-lives of
    elimination on the order of 1.3 to 1.8 hours (Watson  et al.,
    1988).

    2.1.1.2  Humans

           In an open three-way randomized cross-over trial, 3 male and
    3 female volunteers were administered single oral doses of 1, 10,
    or 50 mg levamisole as a 5 mg/ml solution. Peak plasma levels were
    proportional to the dose and were achieved about 1 hour after
    dosing; mean levels were 25.5 ± 8.8 ng/ml and 119 ± 42 ng/ml for
    the 10 and 50 mg doses, respectively. With the 1 mg dose,
    levamisole was detected at a concentration of 5.2 ng/ml, 1 hour
    after drug administration, in one subject only. The detection limit
    was 5 ng/ml. By extrapolation, it was estimated that, at the 1 mg
    dose peak, drug levels would be approximately 2 ng/ml (Van Peer et
    al., 1993).

           A review was undertaken of the human pharmacokinetic data for
    levamisole available up to January 1990. In summary, following
    single oral doses of 3H-levamisole, peak plasma levels of
    radioactivity and unchanged drug were reached approximately 2 hours
    after dosing at which time 60% of the radioactivity was in the form
    of metabolites. Over a range of 50 to 150 mg levamisole, systemic
    exposure was proportional to dose. Levamisole was 51% protein-bound
    in plasma. Levamisole was eliminated from plasma with a half-life
    of 4 hours. For the radiolabel the half-life was 16 hours. About
    70% of the administered radioactivity was excreted in urine in 3
    days. About 4% of the dose was recovered in faeces. Biliary
    excretion was not considered important (Heykants  et al., 1990).

    2.1.2  Biotransformation

    2.1.2.1   In vitro

           Microsomal fractions were extracted from the livers of dogs,
    pigs, sheep, cattle, and humans. 14C-Levamisole was incubated
    with microsomes at 37 °C for 2 hours and the metabolites were

    analyzed by HPLC. Over the concentration range of 1 to 500 µM
    levamisole, the rate of metabolism was slow with human, pig, and
    cattle microsomes. At equivalent concentrations, the rate of
    metabolism was at least 10-fold greater with dog and sheep
    microsomes. Saturation of metabolism was not reached at the
    concentrations used. The metabolite fractions were
    co-chromatographed with mixtures of reference compounds, but no
    attempt was made to further charact-erize the metabolites. The
    results were suggestive of similar metabolic pathways in each
    species, at least in a qualitative sense, apart from the presence
    of an additional two polar metabolites with dog and sheep
    microsomes. The post-microsomal supernatant did not produce
    significant metabolism (Lavrijsen  et al., 1993a).

           Isolated hepatocytes from dogs, pigs, sheep, cattle, and
    humans were incubated with 14C-levamisole; suspension cultures
    were exposed for 2 hours at 37 °C and primary cell cultures were
    exposed for up to 72 hours at 37 °C. Analysis for metabolites was
    by HPLC with further characterization by co-chromatography with
    reference compounds. Metabolism of levamisole was more extensive in
    suspension cultures than in primary cell cultures; the rate of
    metabolism was of the following order: dog >> sheep > pig >
    cattle > human.

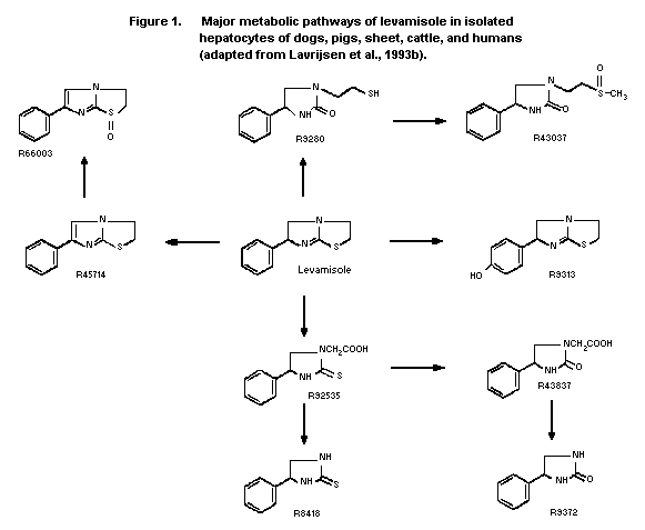
           The major  in vitro metabolites of levamisole in hepatocytes
    of dogs, pigs, sheep, cattle, and humans are shown in Figure 1. The
    major pathways seen in all species included scission of the
    thiazolidine ring followed by aliphatic oxidation (R92535) and
    hydrolysis of the thiazolidine ring followed by S-methylation and
    sulphoxidation (R43037). The other major pathway in dogs, pigs,
    sheep, and cattle was dehydrogenation in the imidazolidine ring
    followed by sulphoxidation (R66003). With human hepatocytes, other
    major metabolites were a result of dehydrogenation in the
    imidazolidine ring (R45714) and aromatic hydroxylation (R9313).
    Apart from the latter formation of p-hydroxy levamisole, the major
    metabolic pathways in humans were also observed in other species
     in vitro. Large numbers of minor metabolites were noted in each
    species but remain unidentified. Approximately 10% to 30% of the
    radioactivity in dog, pig, sheep, and cattle hepatocytes was
    non-extractable (3.6 to 10% of the incubated dose). Human
    hepatocytes were not tested in this study (Lavrijsen  et al.,
    1993b).

    2.1.2.2  Rats

           Wistar rats were given single oral doses of 20 mg/kg bw of
    14C-levamisole and the urinary radiolabel was analyzed by HPLC.
    The main metabolites were R92535 (20% of urinary radioactivity),
    parent drug (16%) and R9313 and its glucuronide conjugate (13%).
    There were lower levels of 10 other metabolites. The proposed
    pathways of metabolism are outlined in Figure 2 (Koyama  et al.,
    1983).

    2.1.2.3  Dogs

           Beagle dogs were given single oral doses of 20 mg/kg bw of
    14C-levamisole and the urinary radiolabel was analyzed by HPLC.
    The major urinary product was parent drug (24% of urinary
    radioactivity). Other major metabolites were R92535 (13%), R43037
    (10%) and R9313 and its glucuronide conjugate (11%). Another 9
    metabolites were identified at lower levels. The proposed metabolic
    pathways are shown in Figure 2 (Koyama et al., 1983).

    2.1.2.4  Monkeys

           Crab-eating monkeys were administered single oral doses of 20
    mg/kg bw of 14C-levamisole and the urinary radiolabel was
    analyzed by HPLC. The greater part of the urinary radioactivity was
    in the form of R92535 (62%). Other major metabolites were parent
    drug (12%), R43837 (7%) and R9313 and its glucuronide conjugate
    (7%). Lower levels of 9 other metabolites were detected. The
    proposed metabolic pathways are shown in Figure 2 (Koyama  et al.,
    1983).

    2.1.2.5  Humans

           A review of the published literature on human pharmacokinetics
    indicated that levamisole was extensively metabolized in humans,
    with only 4.5% excreted unchanged. The p-hydroxy levamisole
    metabolite (R9313) and its glucuronide conjugate accounted for up
    to 17% of an administered dose. However, other metabolites had not
    been identified (Heykants et al., 1990).

    2.2  Toxicological studies

    2.2.1  Special studies on haematological effects

    2.2.1.1  Dogs

           A group of 3 male and 5 female beagle dogs was given
    levamisole in gelatin capsules for varying intervals during an
    18-month study period. A complex dosing schedule was used; in

    FIGURE 1


    FIGURE 2

    general, dogs received initial doses of 20 mg/kg bw/day for 8 to 14
    weeks followed by a treatment-free period of 2 to 7 weeks. The
    animals were then challenged with doses of 2.5, 5, 10, or 20 mg/kg
    bw/day. Overt signs of toxicity and haematological parameters were
    reported.

           Dosing with 20 mg/kg bw/day resulted in vomiting in all dogs.
    Salivation was noted in most animals given 5, 10, or 20 mg/kg
    bw/day. There was no obvious effect on body weight at any dose.
    During the initial dosing period, 6 dogs exhibited haematological
    changes, which necessitated cessation of dosing after 8 weeks.
    There were decreases in white blood cells and thrombocytes in 3
    animals and decreases in erythrocytes, haemoglobin, haematocrit and
    thrombocytes in the other 3. Recovery of the haematological indices
    was evident after 2 to 4 weeks of drug withdrawal.

           In dogs showing leucopenia, challenge doses of 20, 10, 5, or
    2.5 mg/kg bw/day for varying periods did not elicit further
    haematological alterations in 2 of the 3 dogs. The other animal
    died after 3 weeks of challenge with 20 mg/kg bw/day; gross
    pathology of this dog was unremarkable and death was attributed to
    leucopenia and thrombocytopenia.

           In dogs showing haemolytic anaemia, challenge doses of 20, 10,
    5, or 2.5 mg/kg bw resulted in the re-emergence of anaemia in all
    3 animals. This sequence of anaemia during treatment and recovery
    during drug-free periods was demonstrated for an overall duration
    of approximately 18 months (Verstraeten  et al., 1993a).

           A group of 50 male and 50 female beagle dogs was given
    levamisole in gelatin capsules for varying periods during a
    14-month study. In many cases the presence of serious
    haematological effects necessitated early cessation of dosing.
    Overt signs of toxicity were recorded, and haematological and blood
    biochemistry parameters and plasma drug levels were measured at
    various times.

           During the initial 14-week treatment period, 25 dogs showed
    marked falls in erythrocytes, haemoglobin and haematocrit and 3
    others showed slight falls. Of these animals, 18 also developed
    reduced numbers of platelets and 7 showed reduced white blood
    cells. The 25 dogs which demonstrated a marked response were
    challenged according to the scheme in Table 1. The 75
    "non-responding" dogs were no longer dosed.

           There were a total of 7 deaths - 4 during interval I, 2 during
    interval III and 1 during interval VI. The cause of death was
    assumed to be related to abrupt decreases in haematology
    parameters. Following the administration of 20 mg/kg bw/day,
    levamisole produced vomiting in all dogs and salivation and

    decubitus in some. Red urine was observed in a proportion of
    animals when challenged with doses of 2.5 or 20 mg/kg bw/day
    levamisole. Body weight fluctuations did not show any relationship
    to treatment. There were no treatment-related trends in biochemical
    parameters during periods of challenge with 1.25 or 2.5 mg/kg
    bw/day levamisole.

           A total of 20 of the 25 dogs responded with haemolytic anaemia
    when challenged with 20 mg/kg bw/day levamisole, and of these, 16
    also showed thrombocytopenia and 4 showed leucopenia. Haemolytic
    anaemia was seen in 9 and 5 dogs challenged with 2.5 and 1.25 mg/kg
    bw/day levamisole, respectively. Thrombocytopenia was observed in
    some of the animals given 2.5 mg/kg bw/day levamisole, while
    leucopenia was not produced at these lower challenge doses
    (Verstraeten  et al., 1993b).

           Plasma levels of levamisole were measured in randomly chosen
    dogs at various stages in the toxicity study. The results are given
    in Table 1. The peak plasma levels increased proportionally with
    increasing dose but there was no clear correlation of haemotoxicity
    with plasma levels. Only parent drug was analyzed (Monbaliu et al.,
    1993).

    2.2.2  Special studies on immunological effects

    2.2.2.1  Dogs

           Three animals from the 18-month study in dogs by Verstraeten
     et al., 1993a, reported in section 2.2.1.1 were studied further
    to investigate immunological effects. Each dog was given oral doses
    of levamisole in capsules at 20 mg/kg bw/day for 2 weeks, no drug
    for 2 weeks, then 10 mg/kg bw/day for 2 weeks. Two dogs were
    sensitized against levamisole while the other dog did not display
    a sensitization response. 

           Blood samples were collected 1 day and 1 week after the last
    dose. Serum was extracted for use in agglutination tests with
    normal erythrocytes. The maximum dilutions of serum resulting in
    agglutination were 40% (v/v) serum from the unsentisized dog and
    2.5% (v/v) sera from the sentisized dogs.

           The influence of levamisole and 9 of its metabolites was
    tested by combining each separately with normal erythrocytes and
    dilutions of serum which did not result in agglutination in earlier
    experiments. Agglutination responses were elicited only with the
    serum from one of the sensitized dogs. The response was moderate
    with levamisole, with lesser responses with metabolites R8418 and
    R9280 and a strong response with metabolite R45714. Agglutination
    was not significantly influenced using serum from the other two
    dogs. (See Figure 1 for metabolite structures).

        Table 1. Design of 14-month study in dogs and results of plasma
             levamisole analyses
                                                                                   
         Date                       Dose                  Levamisole peak plasma
    (date.month.year)           (mg/kg/bw/day)                 level (µg/ml)
                                                                                    

    03.02.92 ->  14.05.92       20       interval I       2.98-5.90: mean 4.76
                                                          in 6 dogs prior to
                                                          observation of
                                                          haematological effects.
                                                          0.019-7.23: mean
                                                          3.46 in 17 dogs
                                                          showing
                                                          haematological toxicity

    15.05.92 ->  09.06.92       -

    10.06.92 ->  10.07.92       20       interval II      not measured

    11.07.92 ->  03.08.92       -

    04.08.92 ->  28.08.92       20       interval III     not measured

    29.08.92 ->  16.11.92       -

    17.11.92 ->  08.12.92       1.25     interval IV      0.116-0.32: mean
                                                          0.174 in 6 dogs,
                                                          haemolytic anaemia
                                                          in 1 of 6 animals
    09.12.92 ->  03.01.93       -

    04.01.93 ->  25.01.93       2.5      interval V       0.278-0.638: mean
                                                          0.432 in 8 dogs
                                                          showing
                                                          haemolytic anaemia

    16.01.93 ->  08.02.93       -

    09.02.93 ->  02.03.93       20       interval VI      not measured
                                                                                   
    
           Serum from the dog that exhibited an agglutination response
    was chromatographed on bovine serum albumin/sepharose gels and an
    IgM antibody fraction was purified. The immunoglobulin was
    demonstrated to produce a strong agglutination reaction with
    metabolite R45714 and a weaker reaction with levamisole (Moeremans
    & Bols, 1993a).

           Twenty-three sensitized animals from the 14-month study in
    dogs by Verstraeten  et al., 1993b reported in section 2.2.1.1
    were used to investigate immunological parameters. During challenge
    with 1.25, 2.5, and 20 mg/kg bw/day levamisole (Intervals IV, V and
    VI), blood was collected weekly and 24 hours after the last dose at
    each treatment level. Erythrocytes from treated dogs were incubated
    with specific antisera, anti-dog IgG, anti-dog IgM, anti-dog C3 and
    anti-dog C3c, for the determination of antibodies or complement on
    cell surfaces.

           During treatment with 1.25 mg/kg bw/day levamisole, anaemia
    was observed in 5 of the 23 dogs but none of the serological tests
    was positive. In 3 other dogs, IgG was consistently detected on
    erythrocytes while IgM and complement were not apparent.

           In dogs administered 2.5 mg/kg bw/day levamisole, anaemia was
    seen in 9 of the 23 dogs and the presence of IgM and complement on
    erythrocytes was demonstrated for each animal. Additionally, a
    number of animals not exhibiting anaemia were shown to have IgM or
    complement on their red blood cells. A total of 6 dogs showed IgG,
    but correlation with anaemia was poor.

           Of the 7 animals challenged with 20 mg/kg bw/day, anaemia was
    produced in 5 dogs and 4 of these dogs revealed the presence of
    complement on erythrocytes. IgM was not clearly detected in any
    animals, while IgG was present on the cells of 2 dogs, one of which
    developed anaemia.

           In a further investigation, serum was extracted from blood
    collected 24 hours after the last dose. Using dilutions of serum
    which did not produce agglutination of normal erythrocytes, sera
    from 2 of the 23 dogs, incubated in the presence of levamisole, led
    to distinct agglutination of red blood cells (Moeremans & Bols,
    1993b).

    2.3  Observations in humans

    2.3.1  Studies on immunological effects

           Of 48 patients with rheumatic diseases receiving treatment
    with levamisole, 2 developed severe leucopenia. The serum of both
    subjects showed the presence of levamisole-dependent
    leucocyte-agglutinating antibodies. Leucocytes did not agglutinate
    when incubated with either patient's serum in the absence of
    levamisole or normal serum in the presence of levamisole. The
    results were interpreted as supportive of an immunological basis
    for leucocyte-agglutination possibly mediated through the
    production of anti-drug antibodies (Rosenthal  et al., 1976).

           Sera were obtained from 10 severely neutropenic patients who
    had been treated with levamisole for breast cancer or rheumatoid
    arthritis. When incubated with normal cells, the serum from each
    patient showed complement-dependent toxicity to granulocytes, but
    only 2 samples were toxic to lymphocytes and none caused leucocyte
    agglutination. On withdrawal of drug treatment, neutrophil counts
    increased rapidly in concert with reductions in serum
    granulo-cytotoxicity titres. Sera from 10 levamisole-treated
    patients who did not develop neutropenia tested negative for
    granulocytotoxicity. Analysis of the sera from 3 patients, with
    specific antisera, revealed the presence of IgM but not IgG
    antibodies. However, there was no evidence for the presence of
    anti-levamisole antibodies in the serum of neutropenic patients
    (Thompson et al., 1980).

           A group of 98 rheumatoid arthritis patients who had been
    treated with levamisole for between 3 months and 7.2 years were
    used to investigate the possible mechanism of haematological
    toxicity. Agranulocytosis developed in 7 patients, and in each case
    complement-dependent granulocytotoxic antibodies could be
    demonstrated in their serum. It was stated that such antibodies
    were absent in the serum of individuals who did not exhibit
    agranulocytosis (Rosenthal, 1982).

    2.3.2 Incidences of haematological effects.

           Levamisole was registered for human use in 1966, initially as
    an anthelmintic agent (150 mg single dose). It has also been found
    useful in the treatment of rheumatoid disorders (150 mg/day for 3
    consecutive days per fortnight) and in the treatment of Dukes C
    colon cancer (150 mg/day for 3 consecutive days per fortnight).
    Haemolytic anaemia has not been documented in humans as a
    consequence of these uses.

           Thrombocytopenia has been reported in 18 patients, 14 during
    cancer therapy. The incidence of thrombocytopenia in 36 643 Dukes
    C colon cancer patients in the USA, treated with levamisole, was
    estimated to be 0.027%.

           Leucopenia and agranulocytosis have not been reported
    following administration of single doses of levamisole as an
    anthelmintic. In US trials on Dukes C colon cancer patients,
    incidences of leucopenia and agranulocytosis were 6% and 0.3%,
    respectively. In another 46 controlled trials involving 2635
    patients with various cancers, the incidence of agranulocytosis was
    0.1%. Recent post-marketing data for levamisole therapy in 36 643
    Dukes C colon cancer patients revealed an incidence of 0.08% for
    agranulocytosis or granulocytopenia (Van Cauteren et al., 1993;
    Vervaet, 1993).

    3.  COMMENTS

           Information from a limited number of studies were available
    for assessment, including data from pharmacokinetic and metabolism
    studies, special studies on haematological and immunological
    effects in dogs and results following administration in humans.

           The  in vitro biotransformation of levamisole was
    investigated using hepatocytes and liver microsomes from dogs,
    pigs, sheep, cattle and humans. The results indicated qualitatively
    similar degradation pathways in each species. Following oral dosing
    in animals, similar metabolic pathways were identified in rats,
    dogs, monkeys and cattle, confirming previously reviewed studies in
    rats. Characterization of human metabolites was limited, but the
    available evidence indicates similar pathways to those in other
    species. All metabolites identified in cattle were also observed in
    dogs and rats, and therefore the toxicological potential of beef
    residues may be considered to have been evaluated in laboratory
    animal studies.

           Pharmacokinetic studies in humans revealed that peak plasma
    levels were achieved in 1 to 2 hours after an oral dose, with the
    levels being proportional to the given dose. Metabolism of
    levamisole was extensive and rapid and metabolites were eliminated
    more slowly than the parent drug. Excretion was primarily in the
    urine.

           Two repeat dose toxicity studies in dogs, which utilized an
    induction-challenge dosing regime, confirmed the susceptibility of
    this species to the induction of haemolytic anaemia in some of the
    levamisole-treated animals. Red cell parameters returned to normal
    on cessation of dosing but anaemia quickly returned in most dogs
    when treatment was recommenced. Additionally, thrombocytopenia and
    leucopenia were induced at incidences lower than for haemolytic
    anaemia but with a similar relationship to the treatment schedule.
    The levamisole-induced incidence of granulocytopenia in both humans
    and dogs was low.

           In both repeat toxicity studies in dogs, the haemolytic
    anaemia and leucopenia were severe enough to necessitate cessation
    of dosing in many animals and resulted in the death of a number of
    dogs. The induction dose was 20 mg/kg bw/day but in sensitized
    animals challenged with doses of 1.25 mg/kg bw/day and above a
    dose-related re-emergence of haemolytic anaemia occurred.
    Nonetheless, a previous study in dogs showed no haematological
    toxicity at a dose of 1.25 mg/kg bw/day given continuously for a
    period of one year.

           In one of the repeat toxicity studies, plasma levels of
    levamisole were measured in randomly chosen dogs. Results showed an
    increase in levamisole in proportion to the dose, but there was no
    clear correlation of haematological toxicity with the plasma drug
    level. However, the metabolites which may play a role in the
    induction of anaemia were not measured.

           Various immunological parameters were analyzed in the two
    studies in dogs, with a view to investigating the mechanism
    underlying the haematological effects. Sera obtained from dogs
    which were sensitized to levamisole caused the agglutination of
    erythrocytes from an untreated dog. The agglutination response was
    enhanced in the presence of levamisole or some of its metabolites,
    but only in 3 of 24 animals studied. Erythrocytes isolated from
    some sensitized animals that were challenged with levamisole had
    IgM antibodies, IgG antibodies, and/or complement on cell surfaces
    during periods of levamisole-induced haemolytic anaemia. However,
    IgG antibodies did not correlate well with anaemia in dogs.

           Sera from humans treated with levamisole and showing severe
    leucopenia or agranulocytosis caused leucocyte-agglutination or
    complement-dependent granulocytotoxicity  in vitro. The factors
    responsible for these effects showed a high correlation with
    haematological toxicity, while sera from patients not developing
    agranulocytosis were not toxic to normal white blood cells.
    Analysis of sera from a limited number of individuals revealed the
    presence of IgM, but not IgG, antibodies. Leucocyte agglutination
    was dependent on the presence of levamisole, but
    granulocytotoxicity showed no such reliance.

           Although the primary target cells in humans and dogs are
    generally different, there is now evidence supporting an
    immunological basis for the haematological toxicity observed in
    both species. The available evidence implicates the involvement of
    IgM antibodies and a dependence on complement in the mechanism of
    cellular destruction. There is also limited evidence that
    agglutination responses in humans and dogs are mediated through
    anti-drug antibodies, possibly induced by immunogenic complexes
    between levamisole and protein, to which the drug is known to bind.
    The reasons for the differential cell sensitivity in humans and
    dogs are not known; however, the similarities in aetiology and the
    recent demonstration of leucopenia in dogs suggest that dogs are a
    suitable model for the haematological toxicity of levamisole in
    humans.

    4.  EVALUATION

           The Committee noted that the further studies reviewed at the
    present meeting provided information on the incidence and
    mechanisms of the haematological effects in humans and dogs. The
    Committee recognized that while continuous dosing of dogs with 1.25
    mg/kg bw/day levamisole did not result in haemolytic anaemia, this
    dose did cause the re-emergence of haemolytic anaemia in a number
    of dogs previously sensitized with 20 mg/kg bw/day of levamisole.
    Since there is a very small population of humans who are sensitized
    to levamisole following therapeutic exposure, the Committee
    concluded that the use of a safety factor of 200 would be
    appropriate. On this basis, an ADI of 0-6 µg/kg bw was established.

    5.  REFERENCES

    HEYKANTS, J., MEULDERMANS, W. & VAN PEER, A. (1990). Levamisole
    pharmacokinetics in healthy volunteers and in cancer patients. A
    review of the data available until January 1990. Unpublished Report
    Serial No. R12564/117 from Janssen Research Foundation. Submitted
    to WHO by Janssen Pharmaceutica, Beerse, Belgium.

    KOYAMA, K., OISHI, T., ISHII, A. & DEGUCHI, T. (1983). Metabolic
    fate of levamisole in rats, dogs and monkeys.  Oyo Yakuri, 26:
    869-876.

    LAVRIJSEN, K., VAN LEEMPUT, L. & HEYKANTS, J. (1993a). The  in
     vitro metabolism of levamisole in subcellular liver fractions of
    dogs, pigs, sheep, cattle and humans. Unpublished Report No.
    R12564/FK1266 from Janssen Research Foundation. Submitted to WHO by
    Janssen Pharmaceutica, Beerse, Belgium.

    LAVRIJSEN, K., VAN LEEMPUT, L. & HEYKANTS, J. (1993b). The  in
     vitro metabolism of levamisole in hepatocytes of dogs, pigs,
    sheep, cattle and humans. Unpublished Report No. R12564/FK1122 from
    Janssen Research Foundation. Submitted to WHO by Janssen
    Pharmaceutica, Beerse, Belgium.

    MOEREMANS, M. & BOLS, L. (1993a). Evidence for the formation of
    hapten antibodies in dogs after prolonged treatment with
    levamisole. Unpublished Preclinical Research Report from Janssen
    Research Foundation. Submitted to WHO by Janssen Pharmaceutica,
    Beerse, Belgium.

    MOEREMANS, M. & BOLS, L. (1993b).  In vitro study of
    levamisole-induced hemolytic anaemia in dog. Unpublished
    Preclinical Research Report from Janssen Research Foundation.
    Submitted to WHO by Janssen Pharmaceutica, Beerse, Belgium.

    MONBALIU, J., VAN LEEMPUT, L. & HEYKANTS, J. (1993). Toxicokinetics
    of levamisole in beagle dogs at the occasion of a fifteen-month
    mechanistic toxicity study (Exp no. 2692) of levamisole
    hydrochloride (R12564) at 1.25, 2.5 and 20 mg/kg/day. Unpublished
    Report No. R12564/FK1317 from Janssen Research Foundation.
    Submitted to WHO by Janssen Pharmaceutica, Beerse, Belgium.

    ROSENTHAL, M. (1982). Granulocytotoxic antibodies in
    levamisole-induced agranulocytosis. Klinische Wochenschrift
    60:1297-1302. English translation submitted to WHO by Janssen
    Pharmaceutica, Beerse, Belgium.

    ROSENTHAL, M., TRABERT, U. & MULLER, W. (1976). Leucocytotoxic
    effect of levamisole.  Lancet, I: 369.

    THOMPSON, J.S., HERBICK, J.M., KLASSEN, L.W., SEVERSON, C.D.,
    OVERLIN, V.L., BLASCHKE, J.W., SILVERMAN, M.A. & VOGEL, C.L.
    (1980). Studies on levamisole induced agranulocytosis.  Blood,
    56: 114-122.

    VAN CAUTEREN, H., LAMPO, A., COUSSEMENT, W., VAN LEEMPUT, L. &
    MAES, L. (1993). Levamisole: Comprehensive answer to the questions
    raised by the Codex Alimentarius Committee (JECFA). Unpublished
    Report from Janssen Research Foundation. Submitted to WHO by
    Janssen Pharmaceutica, Beerse, Belgium.

    VAN PEER, A., NICHOLLS, A., VAN DE POEL, S., WOESTENBORGHS, R., VAN
    LEEMPUT, L. & HEYKANTS, J. (1993). Phase-I trial: Systemic
    absorption of levamisole after single oral doses of 1, 10 and 50 mg
    to healthy volunteers. Unpublished Report Trial No. LVM-GBR-2 from
    Janssen Research Foundation. Submitted to WHO by Janssen
    Pharmaceutica, Beerse, Belgium.

    VERSTRAETEN, A., LAMPO, A., COUSSEMENT, W. & VAN CAUTEREN, H.
    (1993a). Mechanistic toxicity study in beagle dogs with levamisole.
    Unpublished Report Experiment No. 2255 from Janssen Research
    Foundation. Submitted to WHO by Janssen Pharmaceutica, Beerse,
    Belgium.

    VERSTRAETEN, A., VANDENBERGHE, J., LAMPO, A., COUSSEMENT, W. & VAN
    CAUTEREN, H. (1993b). Mechanistic toxicity study in beagle dogs.
    Unpublished Report Experiment No. 2692 from Janssen Research
    Foundation. Submitted to WHO by Janssen Pharmaceutica, Beerse,
    Belgium.

    VERVAET, P. (1993). Statement on the observation of hemolytic
    anaemia, thrombocytopenia and leucopenia/agranulocytosis during
    treatment with levamisole. Unpublished Report from Janssen Research
    Foundation. Submitted to WHO by Janssen Pharmaceutica, Beerse,
    Belgium.

    WATSON, A.D.J., SANGSTER, N.C., CHURCH, D.B. & VAN GOGH, H. (1988).
    Levamisole pharmacokinetics and bioavailability in dogs.  Res. Vet.
     Sci., 45: 411-413.


    See Also:
       Toxicological Abbreviations
       Levamisole (WHO Food Additives Series 27)
       LEVAMISOLE (JECFA Evaluation)