IPCS INCHEM Home

    FURAZOLIDONE

    First draft prepared by
    Mrs J.E.M van Koten-Vermeulen
    Mrs M.F.A. Wouters
    Dr F.X.R. van Leeuwen
    Laboratory for Toxicology
    National Institute of Public Health and Environmental Protection
    Bilthoven, The Netherlands

    1.  EXPLANATION

         Furazolidone is a nitrofuran derivative used both
    therapeutically and prophylactically as an antimicrobial agent in
    poulty, pigs, rabbits and fish.

         Furazolidone had not been previously evaluated by the Joint
    FAO/WHO Expert Committee on Food Additives.

    2.  BIOLOGICAL DATA

    2.1  Biochemical aspects

    2.1.1  Absorption, distribution and excretion

    2.1.1.1  Rats

         Two male rats were fed a single oral dose of 330 mg
    14C-furazolidone/kg feed. One rat died within 24 h. About 95% of
    the administered radioactivity was excreted in 48 h, the major part
    in the urine. Most of the residual radioactivity was seen in the
    liver, followed by kidney, testes and lungs. The lowest amount was
    found in the spleen (Ray, 1959).

         A comparison was made between rats dosed with
    14C-furazolidone labelled at the aldehyde carbon on the nitrofuran
    ring and rats dosed with 14C-furazolidone labelled at the
    methylene carbons of the oxazolidine ring. Two rats treated with
    methylene-labelled 14C-furazolidone were pretreated with 330 mg
    furazolidone/kg feed for a period of 19 days. After 48 h rats
    treated with aldehyde-labelled furazolidone excreted the major part
    (45.9%) via the urine, followed by the faeces (38.2%) and 2.1% was
    exhaled as 14CO2. The major route of excreted methylene-labelled
    furazolidone was via urine (71.6%), followed by faeces (34.5%) and
    expired air (3.6%). After prefeeding more radioactivity was excreted
    in the urine and less in the faeces. After treatment with aldehyde
    labelled 14C-furazolidone most radioactivity was found in kidneys
    and liver, followed by heart, muscle and testes. After treatment
    with methylene-labelled 14C-furazolidone most radioactivity was
    found in the liver and kidneys, followed by heart, blood, testes,
    muscle and fat. There was no difference between treated and
    pretreated rats (Bowman, 1961a).

         Rats received a diet containing methylene-labelled
    14C-furazolidone for 10 days, after pretreatement with unlabelled
    furazolidone for 19 days. Excretion in urine and faeces was 62.2 and
    25% of the applied radioactivity, respectively. 14C-Labelled
    residue concentration in various tissues was liver>kidney>heart>
    blood>muscle>testes>fat. A gradual increase in residues occurred
    over the 10-day feeding period, with apparent plateau concentrations
    in heart and fat tissues (14.8 and 6.55 mg/kg, respectively) being
    reached after 8 days. Elimination was biphasic with a fast and slow
    component. The half-lives found in tissues were for the liver 0.9
    and 4.8 days, for kidney 0.7 and 7.5 days, for heart 1.1 and 14.1
    days, for blood 0.8 and 14.8 days, for muscle 1.0 and 29.0 days and
    for testes 0.7 and 8.2 days (Bowman, 1961b).

         Four cannulated bile duct rats were administered by intubation
    16.5 mg 14C-furazolidone(methylene- and formyl-labelled)/kg bw in
    PEG-200. Rats were sacrificed after 72 h. Excretion was 46.6% of the

    absorbed dose in urine and 36.5% in bile. The residual radioactivity
    in tissues was 3.7%. Four rats were administered 30 mg
    14C-furazolidone/kg feed. Rats were sacrificed after 72 h.
    Excretion was 51.5% in urine, 34.6% in bile and 4.3% was found in
    tissues (Hawkins, 1992).

         Four rats per group were administered 14C-furazolidone
    (methyl and formyl labelled) in pelleted control lyophilized liver
    or muscle (300 mg/kg). The consumed liver was equivalent to a dose
    level of approximately 14 mg/kg bw (range of 6 to 18 mg/kg bw) and
    the muscle consumed was equivalent to a dose of 13 mg/kg bw. In rats
    fed with liver 73% of the dose was absorbed; 18% of the dose was
    excreted via the bile, 51% in urine, and 4% was found in tissues. In
    rats treated with muscle the urine contained 55% of the dose, bile
    35% and tissues 5% (Hawkins  et al., 1992).

    2.1.1.2  Chickens

         Formyl-labelled 14C-furazolidone was administered to chickens
    at a rate of 220 mg/kg feed for 4 days following a 21-day feeding
    period with 220 mg unlabelled furazolidone/kg feed. Maximum levels
    of radioactivity present in liver and kidney (15.6 and 11.7
    mg-equivalents/kg, respectively) were about 5 to 8 times the
    radioactivity present in fat and muscle. Radioactivity in these
    tissues was still present (0.31-0.49 mg-equivalents/kg) after 16
    days withdrawal. Depletion of radioactivity appeared to be a
    biphasic process, comprised of a fast component with a half-life of
    1.5 days and a slower component with a half-life of about 4 days.

         Chickens administered formyl 14C-furazolidone for 6, 8, 16 or
    31 days and sacrificed after a 4-day withdrawal period showed
    plateau levels in tissues after 16 days. After 31 days feeding and 4
    days withdrawal liver contained about 7 mg-equivalents/kg (Buzard
     et al., 1960).

         White leghorn chicks fed furazolidone at a level of 220 mg/kg
    feed for three weeks were consecutively treated with
    14C-furazolidone (methylene-labelled) for 4 days. Depletion was
    biphasic with a rapidly excreted component (half-life of about 0.4
    days) and a slower component (half-life of about 4 days). At 11 days
    withdrawal radioactivity found in liver, kidney, muscle and fat was
    0.867, 0.576, 0.466 and 1.46 mg-equivalents/kg, respectively. In a
    32 day-feeding study with 220 mg 14C-furazolidone
    (methylene-labelled) tissue saturation was attained within 16 days
    (Buzard  et al., 1961).

         Chickens were administered 220 mg formyl-labelled
    14C-furazolidone/kg in the diet for 10 days. 14C-Content was
    measured in daily urine, expired air and faeces samples. The

    chickens were sacrificed on day 11. Recovery in urine and faeces was
    92% of the total dose and 0.6% in expired air. Total recovery in
    tissue was 2.8% of the administered 14C, with major amounts in
    liver, kidney, crop and its contents (Heotis  et al., 1963).

    2.1.1.3  Pigs

         A Yorkshire barrow maintained on feed containing 330 mg/kg
    furazolidone for 3 weeks was orally administered 1.25 mg
    14C-furazolidone (formyl-labelled)/kg bw. Urine and faeces were
    collected and the pig was sacrificed 48 h after dosing. The total
    14C-recovery in urine and faeces was 90%. Most radioactivity in
    tissues was found in kidney, liver and thyroid followed by bile,
    blood, muscle and fat. A large number of radiolabelled urinary
    metabolites were found but not identified (Tennent & Ray, 1971).

         One female pig was treated with formyl-labelled
    14C-furazolidone and another one was treated with
    methylene-labelled 14C-furazolidone at a rate of 5 mg/kg bw/day
    for 5 days. A total of 42% and 47%, respectively, of applied
    radioactivity was excreted via the urine. Radioactivity in edible
    tissues was highest in liver (5.15 and 7.80 mg-equivalent/kg,
    respectively) and lowest in muscle (1.00 and 1.05 mg-equivalent/kg,
    respectively). In urine at least 15 metabolites were found, less
    than 5% comprising the parent compound. None of the metabolites
    accounted for more than 15% of total radioactivity (Craine, 1977).

         Four male pigs were treated with 14C-furazolidone (labelled
    in both the formyl and the methylene position) in their feed for 5
    consecutive days at a rate of 5 mg/kg bw/day. Pigs were sacrificed 5
    or 14 days after the last dose. Total excretion in urine was 51-56%
    of the administered dose. After 14 days only 0.3% of the
    radioactivity was detected. At least 11 metabolites were found in
    urine but no parent compound was found. Measurable levels of
    radioactivity were present in tissues of all four pigs, with highest
    levels in liver and kidney. After 14 days withdrawal the liver and
    kidney contained 1 mg-equivalent/kg (Craine, 1978).

         Piglets were orally dosed with 12 mg/kg bw 14C-furazolidone
    (methylene-labelled) for 10 days. Peak blood and plasma levels of
    the parent compound reached within 30 min were 835 and 955 ng/ml,
    respectively, followed by a decrease which resulted in no detectable
    levels 3-4 h after the last administration.  The half-life in blood
    and plasma was about 60 minutes. One day after withdrawal all
    radioactivity was associated with plasma proteins; 61% and 18% of
    the total dosed radioactivity was excreted via the urine and faeces,
    respectively. Radioactivity in tissues analyzed 2 h after the last
    administration was largest in liver, kidney, fat and muscle. After a
    withdrawal period of 14 days detectable amounts were still present.

    From the residual radioactivity 2 h after sacrifice 9%, 14% and 35%
    could not be extracted from kidney, liver and muscle, respectively;
    after 14 days withdrawal these amounts were 31%, 27% and 56%,
    respectively (Vroomen  et al., 1986). 

    2.1.2  Biotransformation

    2.1.2.1  In vitro

         Metabolism of furazolidone (N-(5-nitro-2-furfuryliden)-3-amino-
    2-oxazolidone) was investigated by using milk xanthine oxidase and
    rat liver 9000 g supernatant. One of the major metabolites of the
    incubation mixture was identified as 2,3-dihydro-3-cyanomethyl-
    2-hydroxy-5-nitro-1alpha,2-di(2-oxo-oxazolidin-3-yl)iminomethyl-furo
    [2,3-ß]furan. In addition N-(5-amino-2-furfuryliden)-3-amino-
    2-oxazolidone was identified as a minor metabolite (Tatsumi  et al.,
    1981).

         A fast conversion of 14C-furazolidone (methylene-labelled)
    was observed in liver microsomes of 3MC-induced rats incubated under
    anaerobic and aerobic conditions. The 2 major metabolites formed
    were 3-(4-cyano-2-oxobutylid-ene-amino)-2-oxazolidone and
    2,3-dihydro-3-cyanomethyl-2-hydroxy-5-nitro-1ý,2-di(2-oxo-
    oxazolidin-3-yl)iminomethyl-furo[2,3-ß]furan, both accounting for
    about 16.5% of the total extractable radioactivity (Vroomen 1987).

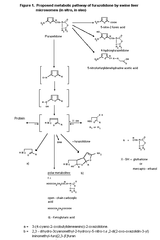
         Metabolism was studied with 14C-furazolidone
    (methylene-labelled) in swine liver microsomes under aerobic and
    anaerobic conditions. 3-(4-cyano-2-oxobutyli-deneamino)-
    2-oxazolidone and 2,3-dihydro-3-cyanomethyl-2-hydroxyl-5-nitro-
    1alpha, 2-di(2-oxo-oxazolidin-3-yl)iminomethyl-furo[2,3-ß]furan were
    the major ethylacetate extractable metabolites, formed via the
    open-chain acrylonitril-derivative of furazolidone. Another
    metabolite formed by microsomes in the presence of mercaptoethanol
    was identified as a mercaptoethanol conjugate
    M1-(3-(4-cyano-3-ß-hydroxyethyl-mercapto-2-oxobutylidene
    amino)-2-oxazolidone). In the presence of GSH, another metabolite
    was formed, shown to be a GSH-conjugate of furazolidone (Figure 1)
    (Vroomen  et al., 1987b, 1988)

         Furazolidone was rapidly transformed by porcine hepatocyte
    cultures, resulting partly in the formation of
    3-(4-cyano-2-oxobutylidene amino)-2-oxazo-lidone which amounted to
    15% of total metabolites (Hoogenboom  et al., 1991).

    FIGURE 1

    2.1.2.2  In vivo

         [(5-Nitrofurfurylidene)hydrazino]acetic acid has been isolated
    from urine of rats treated with 20 mg furazolidone/kg bw (Morrison,
    1976).

         A small part of the radioactivity in rat urine after treatment
    with 14C-furazolidone was identified as
    3-(4-cyano-2-oxobutylideneamino)-2-oxazolidone and
    N-(5-acetamido-2-furfurylidene)-3-amino-2-oxazolidone (Tatsumi &
    Takahashi, 1982).

         Male Wistar rats were given orally 100 mg 14C-furazolidone
    (formyl-labelled)/kg bw. Urine was collected and analyzed for
    possible metabolites.  N-(4-carboxy-2-oxobutylideneamino)-
    2-oxazolidone, alpha-ketoglutaric acid,
    3-(4-cyano-2-oxobutylidenamino)-2-oxazolidone and
     N-(5-acetoamido-2-furfurylidene)-3-amino-2-oxazolidone were
    identified (Tatsumi  et al., 1984; White 1989).

         Colostomized chickens received a single oral dose of 30 mg
    furazolidone/kg bw. An average of 7.5% of the dose was excreted in
    the urine in 12 h. Four urinary metabolites containing a furan ring,
    of which only one was a nitrofuran, were detected. Only traces of
    unchanged furazolidone were found (Craine & Ray, 1972).

         The metabolites of aldehyde-labelled 14C-furazolidone in pig
    urine were investigated. More than thirty radio-labelled metabolites
    were found. Three primary metabolites of furazolidone were
    identified as 5-nitro-2-furoic acid, an orange-coloured "415"
    chromogen and a yellow "415" chromogen, with half-lives of 30, 22
    and 19 minutes, respectively. Some metabolites are naturally
    occurring chemicals and include a yellow urinary pigment, carbonates
    and a number of ninhydrin positive materials which lose
    radioactivity when treated with ninhydrin indicating that these
    materials are amino acids or conjugates of amino acids (Ray, 1962).

         The orange "415" metabolite contains an intact
    5-nitro-2-furfural moiety and is the most abundant single
    furazolidone-related metabolite found in pig urine (Ray & Hayes,
    1963).

         Analysis of urine from a pig treated with 14C-furazolidone,
    also labelled with 15N in the 5-nitro position, showed 14
    metabolites. Eleven of them degraded to two or three degradation
    products, which could not be identified. The presence of 15N was
    detected in one minor metabolite. The authors concluded that during
    the metabolism of furazolidone the nitro group was removed
    extensively from the molecule (Kouba, 1979).

         The open-chain cyano-derivative of furazolidone,
    3-(4-cyano-2-oxobutylideneamino)-2-oxazolidone was a minor
    metabolite in plasma and tissues of swine with a plasma half-life of
    4 h (Figure 1) (Vroomen  et al., 1987a).

         Four human subjects were given a single dose of 400 mg
    furazolidone/day administered in a tablet or a capsule. Using an
    HPLC method, 24 h urine samples collected after administration
    contained 0.003% to 0.16% unchanged furazolidone. By using a
    specific complexation method (detection limit 2 µg/ml) no
    furazolidone was detected (White, 1989).

         Furazolidone was given to 10 human adults as 2 daily doses of
    200 mg each for 21 days. Plasma levels analysed by HPLC (detection
    limit 0.002 µg/ml) ranged from trace quantities to 0.489 µg/ml
    (White, 1989).

    2.1.3  Special studies on bound residues

         Muscle tissue was prepared from a piglet receiving
    14C-furazolidone for 10 days and sacrificed 2 h after the last
    administration. Groups of 2 female Wistar WU rats were fed diets
    containing non-extracted muscle tissue (group 1), muscle tissue
    obtained after 4 extractions with water (group 2) (no extractions
    with organic solvents were carried out) or the water extracts
    obtained from muscle tissue after four extraction steps with water
    for 4 days (group 3). Amounts of radioactivity in groups 1, 2, and
    3, were, respectively, 26, 28 and 38% in urine, 23, 38 and 24%, in
    faeces, 5.0, 7.4 and 4.8% in tissues, and 4.2, 5.3 and 3.1% in the
    remaining carcass. Total recovery was 62%, 81% and 71% for groups 1,
    2 and 3, respectively. The amount of non-extractable fractions
    obtained from rat liver and muscle tissues were, respectively, 34
    and 27% for group 1, 29% and 39% for group 2 and 32% and 21% for
    group 3 (Vroomen,  et al., 1990).

         From a metabolism study with pig hepatocytes it was shown that
    at least 70% of the bound residues still contain the
    3-amino-2-oxazolidone side chain of furazolidone releasable upon
    mild acid treatment. At least 25% of the bound residues  in vivo
    were shown to contain a releasable side-chain (day 0 animal)
    (Hoogenboom 1991b).

         The bioavailability of total and non-extractable
    14C-furazolidone-derived radioactivity found in swine tissues at 0
    and 45-day withdrawal has been investigated in bile duct cannulated
    male rats. The pigs had been treated with 300 mg 14C-furazolidone
    (both methylene- and formyl-labelled)/kg feed for 14 days. Zero-day
    withdrawal liver was extracted with methanol:water, methanol, ether
    and ethylacetate. A total of 44% of the radioactivity was extracted.
    Zero-day withdrawal muscle, 45-day withdrawal liver and 45-day
    withdrawal muscle were prepared in a similar way with different

    extraction methods but no methanol:water extraction was carried out,
    in order to prevent solubilization of small protein molecules which
    may contain bound radioactivity. From 0-day withdrawal muscle 22% of
    the radioactivity was extracted. From 45-day withdrawal liver and
    muscle 8.3% and 14% of the radioactivity was extracted,
    respectively.

         Pelleted freeze dried extracted and non-extracted 0 and 45 day
    withdrawal liver and muscle were dosed for 24 h to groups of 4
    Sprague-Dawley rats. The rats were pretreated with control liver or
    muscle for 24 h. Bile, urine and faeces were collected for up to 72
    h. After 72 h the rats were sacrificed and the liver and
    gastrointestinal tract were analyzed. The excretion pattern for the
    differently-treated rats was similar. Rats treated with 0 and 45 day
    withdrawal liver and muscle containing total residue excreted 10-27%
    in the urine and 1.5-2.7% in bile, while 7.4-16% was found in
    tissues. Rats treated with non-extractable tissue excreted 17-21% in
    urine and 1.1-3.0% in bile; 4.8-15% was found in tissues (Hawkins
     et al., 1992).

    2.1.4  Effects on enzymes and other biochemical parameters

         The effect of oral administration of 500 mg furazolidone/kg bw
    on the activity of monoamine oxidase (MAO) was studied in rats.
    Twenty-four hours after treatment MAO activity in liver and brain
    was inhibited by 95%. Enzyme inhibition was detectable in liver 6 h
    and in brain 12 h after administration, while maximal inhibition was
    observed between 24 and 48 h. MAO activity returned to control
    values in liver and brain within 10 days and 2-3 weeks,
    respectively. The levels of noradrenaline and serotonin in brain
    increased by 60-70%, dopamine in brain by 20% and noradrenaline in
    heart by 60% when measured 1 to 3 days after application. In
    contrast, adrenomedullary catecholamines were reduced by 30% one and
    3 days after administration. Repeated application of furazolidone
    elicited a cumulative effect: 15 mg/kg bw on 10 consecutive days was
    as effective as a single dose of 90-120 mg furazolidone/kg bw.
    Following application of furazolidone (125-500 mg/kg bw) the
    sympathomimetic actions of tyramine given intravenously and
    intraduodenally were potentiated up to 100-fold. According to the
    authors the inhibition of MAO is probably due to a metabolite of
    furazolidone that contains a free hydrazine group (Palm  et al.,
    1967).

         After single oral doses of 2-100 mg furazolidone/kg bw a
    decrease in rat liver-mitochondrial MAO was observed in about 4 h.
    Maximal inhibition occurred in 16-24 h. Enzyme activity returned to
    normal after 21 days. Furazolidone in a saturated solution did not
    affect rat liver MAO  in vitro (Stern  et al., 1967).

         In chickens fed 400 mg furazolidone/kg feed for 10 days MAO
    activity in the brain, heart and alimentary tract was inhibited. No
    MAO inhibition in the liver was found. Treatment increased the
    amount of 5-hydroxy-tryptamine (5-HT) in the brain and potentiated
    the vasodepressor action of tyramine. The amounts of adrenaline,
    noradrenaline and the vasodepressor action in the brain were
    unaffected by treatment (Ali & Bartlet, 1982).

         In ducklings administered 400 mg furazolidone/kg feed for 10
    days or 200 mg/kg bw by crop tube MAO activity in the liver was
    inhibited. No inhibition was found in other organs (Ali & Bartlet,
    1982).

         Significant diamine oxidase (DAO) inhibition was observed in
    various tissues (plasma, duodenal mucosa, liver, heart and brain) of
    rabbits given orally 50 mg furazolidone/kg bw for 5 consecutive
    days. Recovery was complete in all organs 14 days after the
    withdrawal of furazolidone (Ali, 1983).

         MAO inhibition was measured in primary cultures of pig
    hepatocytes incubated with furazolidone. A dose-related inhibition
    was observed; the effect was completely reversible upon withdrawal
    of furazolidone. The proposed but not proven metabolites
    ß-hydroxye-thylhydrazine and 3-amino-2-oxazolidone incubated with
    the same cells caused an irreversible inhibition of MAO activity
    (Hoogenboom, 1991c).

         Six hundred mg furazolidone/kg administered in the diet to male
    Wistar rats for 7 days did not affect cytochrome P-450
    concentrations, but increased absolute cytochrome  b  5 levels.
    The activity of NADPH-cytochrome  c reductase and aminopyrine
     N-demethylase was decreased, but that of aniline hydroxylase was
    increased (Fukuhara & Takabatake, 1977).

         Thirty mg furazolidone/kg bw administered orally to large male
    white turkeys produced significant increases in hypothalamic
    concentrations of noradrenaline, adrenaline and dopa. One week after
    withdrawal the amine concentrations returned to normal (Ali  et al.,
    1988).

         In an  in vitro experiment 14C-furazolidone was covalently
    bound to rat liver microsomal protein; the binding could be
    inhibited by addition of gluthathione or mercaptoethanol.
    Furazolidone did not interact with added calf thymus DNA in the
    presence of microsomes (Vroomen, 1987).

         In an  in vitro study using swine liver microsomes it was
    shown that the mercaptoethanol conjugate (M1) and the glutathione
    conjugate (G1) can bind covalently to microsomal protein.
    According to the author this reaction is reversible (Vroomen  et
     al., 1988). In the case of pig hepatoccytes, a decrease in

    GSH-levels did not result in an increased formation of bound
    residues. Furthermore, no proof was obtained for the reversibility
    of bound residues upon incubation with MSH (Hoogenboom, Personal
    communication, 1992).

         Furazolidone binds to DNA and possibly renders steric hindrance
    to DNA replication, which leads to the inhibition of biosynthesis of
    DNA in  Vibrio cholerae cells (Chatterjee  et al., 1975).

         DNA-binding of 14C-furazolidone in piglet tissue varied from
    87-382 pmol-equivalents of furazolidone per mg DNA (Vroomen  et al.,
    1986).

    2.2  Toxicological studies

    2.2.1  Acute toxicity studies

         The results of acute toxicity studies on furazolidone are
    summarized in Table 1.

        Table 1. Acute toxicity of furazolidone
                                                                                       

    Species     Sex      Route     Purity         LD50         Reference
                                                (mg/kg bw)
                                                                                       

    Mouse       M&F      oral      100%         1110           Mitchell et al., 1990b

    Rat         M&F      oral      100%         1508           Mitchell et al., 1990a
                                                                                       
    

    2.2.2  Short-term toxicity studies

    2.2.2.1  Rats

         Male Wistar rats (6/group) were fed diets containing 0, 10, 100
    or 200 mg furazolidone (purity not given)/kg in the diet for 13
    months (equivalent to 0, 0.5, 5 or 10 mg/kg bw/day). Mortality rates
    were 1/6, 2/6, 1/6 and 2/6 for the control, low-, mid- and high-dose
    groups, respectively. No effects were observed on food consumption
    and body weight. No changes were observed in the number of
    erythrocytes and the number of leucocytes in blood samples of 2
    rats/group taken at the end of the experiment. A slight increase in
    relative liver and spleen weights were observed at the highest dose.
    At histopathology a slight hyperthrophy of the liver cells was
    observed at all dose levels. No effects were observed on kidney,
    spleen, heart and testis (Aiso  et al., 1962).

         The effects of feeding various nitrofurans was studied.
    Thirty-five female Holtzman weanling rats were administered 1000 mg
    furazolidone (purity not given)/kg feed for 45 weeks (equivalent to
    50 mg/kg bw/day). A matched control group was used. The rats were
    maintained on a control diet for an additional 8 weeks. Observations
    included clinical signs, feed consumption, feed efficiency and body
    weight. Ten rats with palpable tumours were necropsied at week 42
    and the remaining rats at termination of the experiment. At
    termination mortality was significantly increased as compared to the
    control group. Feed consumption, feed efficiency and body-weight
    gain were significantly decreased in treated rats. Treated rats had
    significantly more palpable mammary tumours from week 35 onwards
    than the control rats. This was a poorly-reported study and no
    detailed histopathology is available (Siedler & Searfoss, 1966).

         In another experiment group of rats (Carworth, 20/sex/group)
    received diets with various nitrofurans for 45 weeks followed by a
    7-week recovery period. An untreated control group was used.
    Furazolidone was fed at a rate of 1000 mg/kg feed (equivalent to 50
    mg/kg bw/day). Observations included body weight, feed consumption,
    feed efficiency and pathology. After five weeks on treatment and at
    termination both male and female rats showed a significant decrease
    in body-weight gain, feed consumption and feed efficiency. A
    significantly increased incidence of palpable mammary tumours was
    observed in female rats. At microscopy most tumours were found to be
    adenomas, fibromas, and fibroadenomas with or without cyst
    formation. Two of the 72 tumours observed were adenocarcinomas. This
    was a poorly-reported study (Siedler & Searfoss, 1967).

    2.2.2.2  Dogs

         In a very limited study groups of 2 male and 2 female beagle
    dogs were given micronized furazolidone by gavage at doses of 5, 11
    or 23 mg/kg bw/day for 90 days. Another group of 1 male and 1 female
    beagle dogs received 23 mg/kg bw/day furazolidone (as crystals) in
    gelatin capsules for 88 days. Some neurological signs and testicular
    degeneration in the 11 and 23 mg/kg bw/day dose groups were seen.
    Most dogs suffered from pneumonia (Borgmann  et al., 1964).

         Groups of beagle dogs were orally administered furazolidone
    (purity not given) in gelatin capsules. Four males and 4 females
    received 7.5 mg/kg bw/day for 6 months. Two males were given 25
    mg/kg bw/day for 6 months and 6 male and 4 female dogs received this
    dose for periods varying from 28-118 days during 6 months of the
    study. The highest-dose group consisted of 3 males and 2 females
    given 50 mg/kg bw/day for periods varying from 16-37 days during 6
    months of the study. The number of dogs used for controls were 12
    (for 126 days) and 10 (for 6 months). No effects were observed on
    clinical signs, haematology, blood biochemistry, urinalysis, organ
    weight and macroscopy. Body weight was decreased in the mid- and
    high-dose groups. In all treated dogs neurological symptoms and

    histopathological changes in the region of the basal ganglia,
    decreased sperm and tubular testicular degeneration were reported.
    The authors concluded that the neurological effects as well as the
    testicular changes were reversible. This was a poorly-reported study
    that was not performed according to current standards (Paul, 1955).

         Three groups of 2 male and 2 female beagle dogs were fed diets
    containing 0, 30 or 100 mg furazolidone/kg for 2 years (equivalent
    to 0.8 or 2.5 mg/kg bw/day). No effects were observed on body
    weight, haematology, blood biochemistry, urinalysis, organ weight
    and histopathology. Only an abstract of this limited study was
    available (Huffman, 1965b).

         Groups of beagle dogs (ARC, 4/sex/group) were orally
    administered 0, 1, 5 or 15 mg/kg bw/day furazolidone (purity not
    given) for 2 years. Additionally, 2 male dogs per group were
    included to assess effects on semen quality. Two groups of 5 male
    and 5 female beagle dogs, raised at different kennels (ARC + HRA)
    were included to further assess cataractogenic properties of
    furazolidone at the 15 mg/kg bw/day dose level. Observations
    included clinical signs, body weight, ophthalmoscopy, neurological
    examinations, recording of ECGs, haematology, clinical chemistry and
    urinalysis, macroscopy and histopathology.

         Because neurological symptoms were observed in 5/8 high-dose
    dogs and 2 high-dose dogs from the semen evaluation study, these
    dogs were discontinued from the study. Cataracts were observed in
    3/5 male and 5/5 female ARC dogs and in 2/5 male and 1/5 female HRA
    dogs. Decreased sperm motility and abnormal sperm were observed in
    the mid- and high-dose groups. Increased relative kidney weight was
    observed in high-dose females and decreased testes weight in mid-
    and high-dose males. Only abstract was available (King  et al.,
    1971a).

    2.2.3  Long-term/carcinogenicity studies

    2.2.3.1  Mice

         Groups of Swiss MBR/ICR mice (50/sex/group) were fed diets
    containing 0, 75, 150 or 300 mg/kg furazolidone (purity not given)
    for 13 months (equal to average daily doses of 12, 24 or
    47 mg/kg bw). All mice were maintained on normal diet for 10
    additional months. During the treatment period as well as during the
    post-treatment period, no substance-related effects were observed on
    feed consumption and body weight. Survival was decreased in mid- and
    high-dose females at the end of the treatment period and in
    high-dose males and mid- and high-dose females at 23 months. At
    histopathology the incidence of bronchial adenocarcinomas was
    significanly increased in the mid- and high-dose groups in both
    sexes (incidences for males: 13/49, 19/48, 26/50 and 37/50 and for

    females: 15/50, 18/50, 20/47 and 30/48 at the control, low-, mid-
    and high-doses, respectively). The incidence of lymphosarcomas was
    significantly increased in mid- and high-dose males (incidences:
    1/49, 7/48, 10/50 and 10/50 for the control, low-, mid- and
    high-doses, respectively) (Halliday  et al., 1974b).

    2.2.3.2  Rats

         Groups of Sprague-Dawley rats (35/sex/group) were fed diets
    containing furazolidone for 2 years. The actual average consumption
    over 2 years was 0, 0.7, 4 or 10 mg/kg bw/day for males and 0, 0.8,
    4.3 or 14 mg/kg bw/day for females. Additional groups (5/sex) were
    maintained and killed after 1 year. No effects were observed on
    clinical signs, body weight, feed consumption, blood biochemistry,
    urinalysis and sternal bone marrow sections. Survival tended to
    decrease with dose in females (26, 22, 23 and 15 surviving after two
    years for control, low-, mid- and high-dose groups, respectively).
    At termination mid- and high-dose female rats showed dose-related
    decreased erythrocyte, haemoglobin and haematocrit counts and an
    increased neutrophil count. Females from the highest-dose group
    showed an increased neutrophil/lymphocyte ratio. Relative liver
    weight was increased in high-dose males. At histopathology male rats
    from the highest dose group showed an increase in parathyroid
    hyperplasia without 'renal ricketts'. In male and female rats an
    increase in adrenal cortical hyperplasia was observed at the highest
    dose. High-dose females showed an increase in thyroid atrophy.
    Females exhibited increased mammary tumour incidences as shown in
    Table 2. The authors concluded that the mean onset time of mammary
    neoplasms was approximately 2 months earlier in the mid- and
    high-dose females than in the other groups (King  et al., 1972a;
    Halliday  et al., 1973a).

         Groups of Fischer 344 rats (50/sex/group) were fed diets
    containing 0, 250, 500 or 1000 mg/kg furazolidone (purity not given)
    for 20 months (equivalent to 12.5, 25 or 50 mg/kg bw/day). The
    surviving rats were maintained on control diets for at least 4
    months or until 90% of the rats had died. Observations included
    clinical signs, mortality, body weight and feed consumption.
    Haematological and clinical chemistry examinations were performed
    after 1 year and at the end of the treatment period. Extensive
    histopathological examinations were performed on all moribund and
    sacrificed rats. At the mid- (males only) and high-doses the
    mortality rate was increased; 90% mortality in the highest dose was
    observed after 24 months. At the end of the treatment period
    body-weight gain was significantly decreased at 500 and 1000 mg/kg 

        Table 2. Mammary tumour incidences in female Sprague-Dawley rats
                                                                                       

                                      control        low          mid          high
                                                                                       

    No. of animals examined             34           35           33           35

    Multiple mammary tumours             3            6           11           19

    Malignant mammary tumours            1            3            3            5

    Mammary fibroadenomas                0            6            2           10

    Mammary adenocarcinomas              1            2            2            3

    Mammary carcinosarcomas              0            1            2            1
                                                                                       
    


    feed. At 1000 mg/kg feed haemoglobin, haematocrit (also at 500 mg/kg
    feed) and the number of erythrocytes (also in high-dose females)
    were significantly decreased in male rats. An increase in 'non-renal
    ricketts' was observed in high- dose male rats. The incidence of
    testicular atrophy was increased in mid- and high-dose males and the
    incidence of adrenal cortical hyperplasia, lipolysis, congestion and
    haemorrhage was increased in high-dose males only. Tumour incidences
    are given in Table 3. In high-dose females a significant increase in
    the incidence of mammary gland adenocarcinomas was observed. In
    addition, an increased incidence of sebaceous gland adenomas and
    thyroid adenomas was observed in both sexes at the mid- and
    high-dose and of basal-cell epithelioma and carcinomas in males of
    the high-dose group. Female rats showed a significant increase in
    the incidence of mammary neoplasms (benign and malignant combined)
    at all dose levels, but without a dose-response relationship (King
     et al., 1972b; Halliday  et al., 1974a).

         Sprague-Dawley rats (50/sex) were fed diets containing 0, 250,
    500 or 1000 mg furazolidone/kg for 20 months (equivalent to 12.5, 25
    or 50 mg/kg bw/day). The study was carried out following the same
    protocol as described above for Fischer 344 rats. Mortality for
    control, low-, mid- and high-dose groups was 4/50, 11/50, 17/50 and
    30/50 for males and 9/50, 12/50, 8/50 and 29/50 for females,
    respectively. High-dose animals were sacrificed at day 666, compared
    to day 895 for controls. Body-weight gain was significantly
    decreased in mid- and high-dose males and high-dose females. At the
    end of the treatment period the number of erythrocytes was decreased
    in females at 500 and 1000 mg/kg feed. High-dose males showed an

    increased neutrophil/lymphocyte ratio and a decreased lymphocyte
    count. Histopathology showed an increased incidence of hepatic
    necrosis in all treated rats, especially high-dose females.
    Testicular atrophy was seen in mid- and high-dose males. A
    dose-related increase in adrenal cortical hyperplasia was observed
    in females at all dose levels. Tumour incidences are given in Table
    4. In the high-dose group, significantly increased incidences were
    reported for mammary adenocarcinomas in females and for neural
    astrocytomas in males. Female rats showed a significant increase in
    the incidence of mammary neoplasms (benign and malignant combined)
    at all dose levels, but without a dose-response relationship (King
     et al., 1972b; Halliday  et al., 1973b).


        Table 3. Tumour incidences in Fischer 344 rats
                                                                                                           

                                               males                               females

                                   contr.  low       mid    high       contr.   low       mid     high
                                                                                                           

    No. of animals examined        49      50       50      49           49      50       50      50

    Dermal fibromas                 2       6        1      10            0       3        7       3

    Sebaceous adenomas              0       0        8      11            1       2        6      10

    Sebaceous adenocarcinomas       0       1        1       1            0       1        0       1

    Basal cell epitheliomas         0       2        4       8            0       0        0       0

    Basal cell carcinomas           0       0        0       2            0       0        0       0

    Mammary neoplasms               1       1        2       0           11      29       40      30

    Mammary adenocarcinomas         0       0        0       0            0       0        0       6

    Lymphoreticular neoplasms      11       1        6       2           11       7        7       6

    Pituitary adenomas              4       2        4       1           24      13       23       3

    Thyroid adenomas                1       2       12      19            0       1       12       7

    Testicular interstitial        42      44       31       0
      cell tumours
                                                                                                           

    Table 4. Tumour incidences in Sprague-Dawley rats
                                                                                                         

                                                males                                females  
                                                                                                         

                                  contr.     low     mid     high       contr.     low     mid    high

    No. of animals examined           50      49      50       49           49      50      50      50

    Dermal fibroma                     2       6       5        7            3       1       2       7

    Sebaceous adenoma                  1       0       0        6            0       0       0       0

    Sebaceous adenocarcinomas          0       0       0        1            0       0       0       0

    Mammary neoplasm                   2       4       5        1           29      41      45      40

    Mammary adenocarcinoma             0       0       1        0            1       0       3       8

    Mammary carcinosarcoma             0       0       0        0            0       1       0       0

    Lymphoreticular neoplasms          7       6       5        7            6       1       4       0

    Pituitary adenomas                10       9       6        3           29      17      17       1

    Thyroid adenomas                   0       1       1        5            0       0       1       1

    Neural astrocytomas                0       0       2        5            1       0       1       0
                                                                                                         
    
    2.2.4  Reproduction studies

    2.2.4.1  Rats

         A special study was performed to evaluate the effects on the
    reproductive system of male rats fed furazolidone in the diet. Five
    male rats (strain not specified)/group received diets containing 330
    or 660 mg furazolidone/kg for 14 weeks, 3 male rats/group were given
    330 or 660 for 12 weeks (equivalent to 16 or 33 mg/kg bw/day) with a
    recovery period of 2 weeks. The control group consisted of 4 rats.
    Observations included testes and epididymis weight and macroscopy
    and histopathology of the reproductive tract. No dose-related
    effects were observed in rats from the low-dose group. Testes weight
    was markedly decreased in high-dose rats. This effect was more
    pronounced in rats fed furazolidone for 14 weeks than in rats dosed
    12 weeks with 2 weeks recovery. Histopathology of the testes of
    high-dose rats revealed oedema of the interstitium, and atrophy and
    degeneration of the sperm-producing tubules. Occasionally stasis of
    previously produced sperm in the epididymus was seen and some
    epididymi were devoid of sperm. The effects were still present after
    the recovery period (Larson, 1963a).

         Because there was some evidence that the testicular damage
    observed after feeding of 660 mg furazolidone/kg in the diet was not
    completely reversible gross and microscopic examinations were
    performed on male rats 5 days and 6 weeks after withdrawal from a
    diet containing 660 mg furazolidone/kg. Another 2 males were
    retained for 14 weeks, the additional 8 weeks being required to
    allow non-treated females to reach breeding age. Each treated male
    (and one control male) cohabited with 2 females each. Testes weight
    was decreased in 4/6 rats and in 3/6 rats atrophic seminiferous
    tubules and abundant intertubular transudate were seen. In 2 of
    these male rats the epididimi had sperm stasis. All prostates were
    normal. Rats used in the breeding trials showed normal libido and
    fecundated females but the litters that were produced had slightly
    fewer young than those from the litters sired by the control male
    (Larson 1963b).

         In a three-generation reproduction study groups of rats were
    fed diets containing 0, 30 or 100 mg furazolidone/kg. The F0
    generation was maintained on the furazolidone diet and sacrificed
    after 2 years. No effects were found on haematology, body weight and
    histopathology after 2 years. Decrease in testes weight was
    dose-related. Reproductive performance was not affected. Only a
    summary of this study was available (Huffman, 1965a).

         In a three-generation reproduction study groups of
    Sprague-Dawley rats (20/sex) were used. Female rats only were
    administered 500 mg furazolidone/kg feed. Because of growth
    depression the dose level was lowered to 400 mg/kg on day 16 and to

    250 mg/kg on day 37. Three matings per generation were performed.
    The pups from the first litter were sacrificed 21 days after birth.
    Pups from the second litter were used for the second generation and
    pups from the third litter were used for teratological examination.
    No treatment-related effects were found on reproduction parameters
    resulting in a NOEL equivalent to 12.5 mg/kg bw/day (Borgmann &
    Prytherch, 1964b; Borgman & Prytherch, 1966).

    2.2.4.2  Chickens

         Groups of New Hampshire chickens were fed diets containing 55,
    110 or 220 mg furazolidone/kg feed for 4 to 16 weeks. No effects
    were observed on body weight and egg production, hatchability of
    eggs and shell quality. Thyroid and adrenal weight were both reduced
    (Francis & Shaffner, 1956).

    2.2.4.3  Pigs

         In a limited study a group of purebred Hampshire and Duroc pigs
    (9 sows and 12 gilts) were fed a diet containing 300 mg/kg
    furazolidone for two weeks at breeding and 150 mg/kg for three weeks
    at farrowing. Another group was maintained as an untreated control
    group. There was no difference in the number of pigs born, number of
    pigs weaned or weight gain of the pigs. However, pup weight at
    weaning was slightly higher in the treated group (Hughes & McMinn,
    1963).

    2.2.4.4.  Goats

         Male Nubian goats received furazolidone suspended in distilled
    water at a dose of 10 or 40 mg/kg bw. The effect on semen morphology
    and biochemistry was studied. At both doses ejaculate volume, the
    number of motile spermatozoa per ejaculate and the number of live
    spermatozoa per ejaculate and semen fructose concentration were
    significantly decreased (Mustafa  et al., 1987).

    2.2.5  Special studies on embryotoxicity and/or teratogenicity

    2.2.5.1  Mice

         Groups of Albino C strain mice were administered furazolidone
    at doses up to 2 g/kg during pregnancy varying from day 1-11.
    Abortions or fetal deaths occurred in all mice treated with doses
    > 1 g/kg when treatment started before day 8 of pregnancy.
    However when treatment started at day 10 abortions or fetal death
    occurred only in 2/9 mice. Litterweight was dose-relatedly decreased
    but no congenital abnormalities were observed (Jackson & Robson,
    1957).

    2.2.5.2  Rats

         Groups of 3 Donryu male rats were fed 0 or 100 mg
    furazolidone/kg bw for 7 days, and on day 8 the rats were
    sacrificed. Relative testes weights were slightly decreased. The
    number of mature spermatozoa was decreased and degenerative changes
    in the seminiferous tubules (sloughing of spermatocytes and
    multi-nucleated cells) were observed (Miyaji  et al., 1964).

    2.2.5.3  Rabbits

         Groups of two rabbits were given an intra-amniotic injection of
    1, 2 or 2.5 mg furazolidone on day 14 or 15 of pregnancy. A
    laparatomy was performed 5 days after the injection to determine the
    effect on pregnancy. Pregnancy interruption was observed at 2.0 and
    2.5 mg furazolidone (Jackson & Robson, 1957).

         Groups of 10 pregnant New Zeeland white rabbits were orally
    administered 30 mg furazolidone (purity not given)/kg bw/day on days
    7-15 of pregnancy. On day 29 of pregnancy the dams were sacrificed
    and the fetuses were delivered by caesarean section. Feed
    consumption and body-weight gain were significantly decreased. No
    embryotoxicity or teratogenicity was observed (Borgmann & Prytherch,
    1964a).

    2.2.5.4  Chickens

         Fifty percent mortality was observed in 10-day old chicken
    embryos after treatment with 15 mg furazolidone in the inner shell
    membrane, 4.2 mg in the allantoic cavity or after treatment with 0.7
    mg in the yolk sac (Gentry, 1957).

    2.2.5.2  Special studies on genotoxicity

         The results of  in vitro and  in vivo genotoxicity studies
    and of genotoxicity studies on metabolites of furazolidone and bound
    residues are summarized in Tables 5, 6, and 7, respectively.



        Table 5.  Results of  in vitro genotoxicity assays on furazolidone
                                                                                                                     

    Test system          Test object           Concentration           Purity      Results       Reference
                                                                                                                     

    Ames testa           S. typhimurium        0.01-1.0 µg/pl          ?           positiveb     Jagannath et al.,
                         TA1538, TA98          (1.0 µg/pl slightly                               1981g
                         and TA100             toxic)
                         TA1535, TA1537                                            negativeb

    Ames testa           S. typhimurium*       0.1, 0.5, 1.0           >99%        positive      Ni, et al., 1987
                         TA98, TA98NR          or 2.5 µg/pl
                         TA98/1,8-DNP6         2.5 µg/pl toxic

    Ames testa           S. typhimurium        0.01-0.3 µg/pl          99%         positiveb     Crebelli et al.,
                         TA100                 >0.3 µg/pl toxic                                  1982; Carere et
                                                                                                 al., 1982

    Spot test            Escherichia coli      50 µg/plc                           positive      McCalla &
                         WP2uvrA                                                                 Voutsinos, 1974

    Reverse              Euglenia gracilis     25, 50 and 100          ?           positive      Ebringer et al.,
    mutation assay                             µg/mlc                                            1976

    Forward              Vibrio cholerae       up to 12 µg/mlc         ?           positive      Chatterjee et al.,
    mutation assay       OGAWA 154                                                               1983

    Prophage             Escherichia coli      ?                       ?           positive      Chatterjee et al.,
    induction assay      K12 GY5027                                                              1983

    Gene conversion      S. cerevisiae D4      no details              ?           positive      Voogd et al.,
    assay                                                                                        1982 as cited in:
                                                                                                 VanMiert et al.,
                                                                                                 1984

    Gene mutation        Chinese hamster       up to 125 µg/ml         >99%        positive      Gao et al., 1989
    assaya               ovary cells           >100 µg toxic
                                                                                                                     

    Table 5 cont.
                                                                                                                     

    Test system          Test object           Concentration           Purity      Results       Reference
                                                                                                                     

    HGPRT test           Mouse L5178Y          no details              ?           positive      Voogd et al.,
                         lymphoma cells                                                          1982 

    SOS function and     Escherichia coli      0.8 and 8.0 µMc         ?           positive      Bryant & 
    mutation assay       WP2                                                                     McCalla, 1980

    SOS function         Escherichia coli      0.1, 0.2, 0.5           ?           positive      Ohta et al., 1984
    assay                K12                   µg/mlc

    Sex-linked           D. melanogaster       0.5 mM in DMSOc         ?           positive      Blijleven et al.,
    recessive                                                                                    1977
    lethal test

    Sex-linked           D. melanogaster       0.18, 0.44 or           ?           positive      Kramers, 1982
    recessive                                  0.5 mM in DMSOc
    lethal test

    Chromosome           human                 10, 33 and 100          99.8%       negative      Scheres, 1991b
    aberration assay     lymphocytes           µg/ml in DMSOd
                                               33, 100, 180                        positivef
                                               and 333 µg/ml in
                                               DMSOe (333 µg/ml
                                               slightly toxic)

    Chromosome           human                 0.2, 2.0 or             ?           positive      Cohen & Sagi,
    aberration assay     lymphocytes           20.0 µg/mld                                       1979
                                               20.0 µg/ml toxic

    Chromosome           human                 0.5-100 µMc             ?           negative      Tonomura &
    aberration assay     lymphocytes                                                             Sasaki, 1973
                                                                                                                     

    Table 5 cont.
                                                                                                                     

    Test system          Test object           Concentration           Purity      Results       Reference
                                                                                                                     
    Chromosome           bovine lymphocytes    0.05-500 mg/lg          ?           positive      Queinnec et al.,
    aberration assay     porcine lymphocytes   0.05-500 mg/lg                      positive      1975; Babile et
                                                                                                 al., 1978

    SCE test             human                 0.2, 2.0 and            ?           positive      Cohen & Sagi
                         lymphocytes           20 mg/l in DMSO                                   1979
                                               20 mg/l toxic

    Rec assay            Escherichia coli      ??                      ?           positive      Chatterjee et al.,
                         K12 rec- and rec+                                                       1983

    DNA repair           Escherichia coli      1.0 to 10 µM            ?           positive      Lu et al., 1979
    assay                WP2 uvrA              >5µM toxic

    UDS assay            human                 5-100 µMc               ?           negative      Tonomura &
                         lymphocytes                                                             Sasaki, 1973

    UDS assay            Fischer 344           0.5-1000 nM/ml          ?           positive      Probst et al.,
                         rat hepatocytes       in DMSOb,c                                        1981
                                                                                                                     

    *    nitroreductase-deficient  Salmonella typhimurium tester strains.

    a    both with and without rat liver S9 fraction.
    b    positive controls yielded positive results.
    c    no data about toxicity.
    d    without metabolic activation.
    e    with metabolic activation.
    f    the authors concluded that the results were negative.
    g    no toxicity observed.
    

        Table 6:  Results of  in vivo genotoxicity assays on furazolidone
                                                                                               

    Test system    Test object       Concentration        Purity   Results      Reference
                                                                                               

    Micronucleus   Swiss CD-1 mice   300 mg/kg bw         99.8%    negative     Enninga &
    test                             ip in                                      Weterings 1990
                                     methyl-cellulose
                                     (toxic)

    Micronucleus   Swiss Webster     100 and 500 mg/kg    ?        equivocalb   Paik, 1985
    test           mice              bw orala
                                                                                               

    a    no toxicity observed
    b    slight induction, not dose-related 
    

    2.2.7  Special studies on endocrine toxicity

         In a special study various groups of ovariectomized
    Sprague-Dawley, Fischer 344 or Long Evans rats and golden hamsters
    received single oral doses varying from 50-500 mg furazolidone/kg
    bw. After a 2-week recovery period positive dose-related lordosis
    (becoming sexually perceptive) behaviour was observed only in
    Sprague-Dawley rats which is, according to the authors, indicative
    of an elevated concentration of progesterone in the circulation
    (King  et al., 1970a).

         Groups of immature superovulated Sprague-Dawley rats were
    orally dosed with 100 or 500 mg furazolidone/kg bw. In all groups
    ovulation was initiated about 24 h earlier than the control group.
    The same shift in ovulation time was observed in a positive control
    group treated with progesterone (King  et al., 1970a).

         Feeding of 1000 mg furazolidone/kg feed for 30, 60 or 90 days
    produced a marked inhibition of the conversion of progesterone into
    corticosterone (11-hydroxylation) in adrenals of Sprague-Dawley
    females. A considerably lesser effect was found in Fischer 344
    females. This effect could be overcome by addition of NADPH,
    indicating an inhibitory effect of furazolidone on the NADPH
    generating system (King  et al., 1971b).



        Table 7.  Results of genotoxicity assays on metabolites of furazolidone and
              bound residues
                                                                                                                     

    Test system        Test object          Concentration         Substance     Results         Reference
                                                                                                                     
    In vitro
    Ames testa         S. typhimurium       100-5000 µg/plb,c     Md            negative        Scheres, 1991a
                       TA100, TA98

    Ames testa         S. typhimurium       urine from rats       -             positivee       Crebelli et al.,
                       TA100                treated with 10,                                    1982; Carere et
                                            50, 100 mg/kg bw                                    al., 1982

    Ames testa         S. typhimurium       up to 5 µg/pl         M1f           negativee,g     Jagannath &
                       TA1535,TA1537                                                            Brusick, 1981a; 1981e
                                                                                                Craine, 1981

                       TA1538, TA98,                              M2h           negativee       Jagannath &
                       TA100                                                                    Brusick, 1981b; 1981f
                                                                                                Craine, 1981
                                                                  M3i           negativee       Jagannath &
                                                                                                Brusick 1981c; 1981d
                                                                                                Craine, 1981

    Ames test a        S. typhimurium       0.1 mg/pl             M4j           negative        Vroomen et al.,
                       TA100, TA98          in DMSO                                             1987a

    Ames test          S. typhimurium       upto 5 µg/pl          GSFk          negative        Hoogenboom,
                       TA100                in DMSO               MSFl          negative        1991a

    Reverse            Mycobacterium        1000 µg/ml            5-NFAm        positive        Ebringer et al.,
    mutation assay     phlei                                                                    1976
                       Euglena gracilis     2.5 and 7.5           5-NFAm        positive        Ebringer et al., 
                                            µg/ml                                               1976

    DNA repair test    rat hepatocytes      10-3M, 10-5Mn         Mo            negative        Mori et al., 
                       mouse hepatocytes                                                        1988
                                                                                                                     

    Table 7 (continued)

    a    both with and without rat liver S9 fraction
    b    positive controls yielded positive results
    c    no toxicity observed
    d    3-amino-oxazolidinon-2
    e    negative control yielded negative results
    f    whole liver powder from pigs treated with 5 mg furazolidone/kg bw for 5 days
    g    substances from untreated pigs yielded negative results
    h    urine isolates from pigs treated with 5 mg furazolidone/kg bw for 5 days
    i    soluble liver isolate from pigs treated with 5 mg furazolidone/kg bw for 5 days
    j    3-(4-cyano-2-oxobutylideneamino)-2-oxazolidone.
    k    glutathione conjugate of cyano metabolite
    l    mercaptoethanol conjugate of cyano metabolite
    m    5-nitro-2-furaldehyde 
    n    no data about toxicity
    o    2-hydroxyethylhydrazine.
    

         Oral administration of 100 or 500 mg furazolidone/kg bw to
    mature female rats produced a significant decrease in serum
    prolactin during the morning proestrus, but not at afternoon
    proestrus. Administration of 500 mg/kg bw during the morning estrus
    resulted in a slight decrease in serum prolactin levels (Morrison
     et al., 1973).

         In a limited experiment the effect of furazolidone treatment on
    the tumourigenicity of estrone was studied. Furazolidone treatment
    (1000 mg/kg feed to female Sprague-Dawley and Fischer 344 rats) plus
    estrone resulted in the development of more mammary masses than with
    estrone alone. However, the administration of estrone did not result
    in an increased incidence of mammary masses (Morrison  et al.,
    1972).

         Furazolidone (500 or 1000 mg/kg feed) was fed to
    adrenalectomized and sham-operated male rats for 30 days, after
    which the adrenals and tests were examined. Adrenalectomy did not
    alter the testicular atrophy produced by furazolidone. At 1000 mg/kg
    feed tubular degeneration in three out of six animals was seen
    (Morrison  et al., 1974a).

         A diet containing 500, 750 or 1000 mg/furazolidone/kg
    administered to female rats for 30 days resulted in a significant
    increase in serum testosterone at the highest dose (Morrison  et
     al., 1974b).

         In a pilot study rats were administered a single oral dose of
    250 or 500 mg/kg bw furazolidone in 0.5% aqueous CMC. At 30 min, 1,
    2, 4, 8 and 24 h after administration blood samples were taken for
    RIA of prolactin and corticosterone. Furazolidone increased in a
    dose-related manner, the corticosterone concentration up to 2 h
    after administration, with a return to vehicle control values by 24
    h. No effect on plasma prolactin time was observed (Meites, 1984).

         Male mature chickens were fed a diet containing 400 or 800 mg
    furazolidone/kg feed for 10 days. Testes weight was decreased in
    both groups. Treatment with 800 mg/kg produced a significant
    reduction in the concentration of testosterone in plasma and testes
    and some reduction in ascorbic acid, protein and cholesterol
    concentration in the testes. Bolus administration of doses of 40 or
    80 mg/kg bw for five days caused the same effect. The size of the
    testes, wattles and combs were significantly reduced. Monoamine
    oxidase activity in the testes was significantly reduced by
    furazolidone. In all the treated birds testicular concentrations of
    5-hydroxytryptamine were significantly raised, except in those fed
    400 mg furazolidone/kg for 10 days (Ali  et al., 1984).

         Groups of large white female turkeys were orally dosed with 0,
    7.5, 15 or 30 mg furazolidone/kg bw for 7 days in gelatin capsules.
    The number of eggs produced by each bird was recorded daily 2 weeks

    before, during and 4 weeks after the end of treatment. The
    concentrations of luteinizing hormone (LH) and prolactin (PRL) were
    analyzed by RIA in plasma samples taken on day -7, 0, +7 and +14. At
    the end of the treatment period a dose-related decrease was observed
    in egg production and LH concentration (significantly in the mid-
    and the high-dose group). No effects were observed on PRL
    concentration. After withdrawal only the egg production started to
    recover but was still below normal 4 weeks after cessation of
    treatment (Ali  et al., 1987a; 1988).

         When turkeys given 15 or 30 mg furazolidone/kg bw were injected
    intramuscularly with 5 µg/kg luteinizing hormone-releasing hormone
    (LHRH), no effect on LHRH-induced LH release was observed (Ali  et
     al., 1987a; 1988).

         Groups of male turkeys were orally treated with 0, 1, 2.5, 5 or
    20 mg furazolidone/kg bw/day for 14 days. Plasma was analyzed for
    LH, testosterone (T) and PRL before, during and after treatment. At
    the highest dose the concentrations of LH and T were significantly
    decreased, and a tendency towards a decrease was observed at 5 mg/kg
    bw/day. At histopathology a decrease in spermatocyte production as
    well as corrugation of sperm cell nuclear envelopes and distension
    of endoplastic reticulum of elongated spermatides were observed in
    the 20 mg/kg bw/day group (Ali  et al., 1987b).

         Furazolidone administered as a bolus dose (5-500 mg/kg bw) to
    male T-line chickens produced a decrease in the amount of
    corticosterone in plasma (Bartlet  et al., 1990).

         In another experiment male T-line and J-line chickens were
    given a bolus dose of furazolidone (200 mg/kg bw) which resulted in
    a decrease in aspartate transaminase activity in the adrenal gland
    and a general disorganization in the structure of the adrenal
    cortical cells, leading to atrophy of the adrenal cortical glands
    (Bartlet & Khan, 1990).

         A concentration of 1 µM furazolidone inhibited significantly
    the release of aldosterone from porcine adrenal cells  in vitro.
    Almost complete inhibition was observed at 100 µM (van den Dungen
     et al., 1991).

    2.2.8  Special studies on skin and eye irritation

         A dose of 500 mg furazolidone (purity 100%) moistened with 0.5
    ml of 0.5% saline caused slight erythema in 4/6, 3/6 and 1/6 rabbits
    after 0.5, 24, and 48 h respectively, when applied under
    semi-occlusive conditions to the clipped intact skin of 3 male and 3
    female New Zeeland white rabbits (Mitchell  et al., 1990c).

         Nine New Zeeland white rabbits received an installation of 30
    mg furazolidone (purity 100%) into the conjunctival sac of the right
    eye, and 3/9 eyes were washed 20 seconds after treatment. After 24 h
    slight conjuctival irritation was observed in both washed and
    unwashed eyes. Corneal ulcerations were observed in 2/6 unwashed
    eyes only. All eyes were normal at day 7 (Mitchell  et al., 1990d).

    2.3  Observations in humans

         Furazolidone administered to patients with essential
    hypertension (no details provided) produced marked supersensitivity
    to tyramine and amphetamine, inhibition of intestinal MAO and
    increased urinary excretion of tryptamine. Continued administration
    produced a cumulative inhibition of MAO (Pettinger,  et al., 1968)

         Adverse reactions (gastrointestinal 8%, neurological 1.34%,
    systemic, 0.56% and dermatological reactions 0.54%) to furazolidone
    treatment were observed in 864/10443 patients (8.3%) treated with a
    therapeutic dose of < 5 to 7 mg/kg bw/day (Altamirano & Bondani,
    1989).

         A 43-year old man with a contact allergy to furazolidone was
    patch tested to nitrofurans with completely negative results. The
    man had a positive patch test reaction to 2% furazolidone both in
    PEG-400 and alcohol. Control tests were negative in 25 dermatitis
    patients (DeGroot & Conemans, 1990).

    3.  COMMENTS

         The Committee considered data from pharmacodynamic,
    pharmacokinetic, metabolism, acute and short-term toxicity,
    carcinogenicity, genotoxicity, reproductive, and teratogenicity
    studies as well as special studies on endocrine function and some
    clinical studies in humans.

         The distribution, excretion, and biotransformation of
    radiolabelled furazolidone were studied in rats, chickens, pigs, and
    humans. After oral administration, furazolidone was rapidly absorbed
    and the radioactivity was widely distributed, the highest levels
    being found in liver, kidney, fat, and muscle. It was rapidly
    metabolized and excreted predominantly in urine. In chicken and
    human urine, only trace amounts of unchanged furazolidone could be
    detected, and of the large number of metabolites found only some
    were identified. In rat and pig urine, the common metabolite
    appeared to be the open chain cyanometabolite
    3-(4-cyano-2-oxobutylideneamino)-2-oxazolidone. The Committee noted
    that quantitative information on metabolites was lacking. In pigs, a
    substantial portion of the metabolites was bound to macromolecules,
    and it appeared that approximately 15-40% of this bound fraction was
    bioavailable. However, the Committee questioned whether valid
    extraction procedures had been used to isolate these bound
    metabolites.

         In acute oral toxicity studies in mice and rats furazolidone
    was slightly toxic; the LD50 values were of the order of 1100 and
    1500 mg/kg bw, respectively.

         No NOEL could be established from short-term studies performed
    with rats and dogs. Rats receiving furazolidone at doses in the
    range 0.5-50 mg/kg bw/day showed hypertrophy of liver cells.
    Palpable mammary tumours and a decrease in body weight gain were
    observed at 50 mg/kg bw/day. In dogs, dose levels of 5-25 mg/kg
    bw/day led to neurological symptoms and histological changes in the
    basal ganglia, together with testicular degeneration. It was noted
    that the available information was deficient by current standards
    and poorly reported.

         Two three-generation reproduction studies were performed in
    rats. In one study rats were exposed to furazolidone at
    concentrations up to 100 mg/kg in feed. In the other study only
    female rats were treated with diets containing 500 mg/kg, but this
    concentration was gradually reduced to 250 mg/kg in order to avoid
    the observed growth depression. No effects on reproductive
    performance were observed in either study. The NOEL was equivalent
    to 12.5 mg/kg bw/day.

         In a special study designed to evaluate the effects on the male
    reproductive system, rats exposed to a dietary furazolidone
    concentration equivalent to 33 mg/kg bw/day exhibited testicular
    degeneration. At 16 mg/kg bw/day no effects were observed.

         Neither embryotoxicity nor teratogenicity was observed in
    rabbits after oral administration of furazolidone at a dose of 30
    mg/kg bw/day.

         A carcinogenicity study was conducted in Swiss MBR/ICR mice,
    which received a diet containing concentrations of furazolidone
    equal to average daily doses of 12, 24, or 47 mg/kg bw/day for 13
    months, followed by a control diet for 10 months. In the mid- and
    high-dose groups, a significant increase in the incidence of
    bronchial adenocarcinomas was observed in both sexes, and the
    incidence of lymphosarcomas was significantly increased in male
    mice.

         In two long-term toxicity/carcinogenicity studies, furazolidone
    was administered in the diet to Fischer 344 and Sprague-Dawley rats
    at concentrations equivalent to daily doses of 12.5, 25, or 50 mg/kg
    bw/day for 20 months. In Fischer 344 rats, a significant increase in
    the incidence of mammary gland adenocarcinomas was observed in
    females in the high-dose group. In addition, an increase in the
    incidence of sebaceous gland adenomas and thyroid adenomas was
    observed in both sexes at 25 and 50 mg/kg bw/day and of basal cell
    epithelioma and carcinoma in males of the high-dose group. In the
    high-dose group of Sprague-Dawley rats, significantly increased
    incidences were reported for mammary adenocarcinomas in females and
    for neural astrocytomas in males. In both strains of rat, female
    animals showed a significant increase in the incidence of mammary
    neoplasms (benign and malignant combined) at all dose levels, but
    without a dose-response relationship.

         Furazolidone has been tested in a wide variety of genotoxicity
    studies. Positive findings were recorded in bacterial assays with
    and without metabolic activation, in the sex-linked recessive lethal
    test in  Drosophila melanogaster, in a gene mutation assay with
    mammalian cells  in vitro, in a sister chromatid exchange test, and
    in two DNA-repair tests. Positive as well as negative results were
    obtained in chromosome aberration assays with mammalian cells  in
     vitro, and in tests for unscheduled DNA synthesis. One mouse
    micronucleus test was negative, while another gave equivocal
    results.

         The majority of  in vitro genotoxicity tests with postulated
    metabolites gave negative results, however, nitrofuraldehyde and
    urine from furazolidone-treated rats gave positive results. It was
    concluded that furazolidone was genotoxic  in vitro.

         Several studies were performed on the endocrine effects of
    furazolidone. Furazolidone inhibited the conversion of progesterone
    into corticosterone in adrenal cells both  in vivo and  in vitro.
    It has been hypothesized that disturbances of steroidogenesis
    constituted the underlying mechanism for the increased incidence of
    tumours caused by furazolidone. The Committee noted that it was
    unlikely that the such a mechanism could account for the increase in
    neural astrocytomas and uncommon skin tumours in rats. With respect
    to the occurrence of mammary tumours, no information was available
    on the effect of furazolidone on plasma progesterone concentrations
    and no consistent effects on plasma prolactin concentrations were
    observed. The Committee therefore concluded that no support had been
    provided for the hypothesized mechanism.

         Furazolidone caused reversible inhibition of monoamine oxidase
    (MAO) activity in pig hepatocytes  in vitro and in liver and brain
    tissue of rats following  in vivo administration. Irreversible MAO
    inhibition both  in vitro and  in vivo was observed for the
    postulated metabolites amino-oxazolidone and hydroxyethyl-hydrazine.

    4.  EVALUATION

         On the basis of the positive effects of furazolidone in
    genotoxicity tests  in vitro and the increased incidence of
    malignant tumours in mice and rats, the Committee concluded that
    furazolidone was a genotoxic carcinogen. Since the drug is rapidly
    and extensively metabolized, the Committee also considered
    information on metabolites of furazolidone. Although a large number
    of postulated metabolites produced negative results in genotoxicity
    tests, it was noted that only a few of these had been either
    identified or quantified in rats and pigs. Furthermore, the
    Committee concluded that insufficient data were available on the
    nature and toxic potential of compounds released from the bound
    residues.

         Because of the genotoxic and carcinogenic nature of
    furazolidone and the above-mentioned deficiencies with respect to
    the data on the metabolites, the Committee was unable to establish
    an ADI.

         Before considering the compound again, the Committee would wish
    to have detailed information on the nature, quantity and toxicity of
    the metabolites of furazolidone, including the bound residues.

    5.  REFERENCES

    AISO, K., KANISAWA, M., YAMAOKA, H., TATSUMI, K. & AIKAWA, N.
    (1962). Systematic studies on the toxicity of nitrofuran derivatives
    (3): Macroscopical and histological examination of rats fed on diet
    with furazolidone and 5-(5-nitro-2-vinylfuran)-1, 3,
    4-oxadiazoline-2-one for one year.  Chiba Daigaku Fuhai Kenkyusho
    Hokoku, 15: 21-33. Submitted to WHO by SmithKline Beecham Animal
    Health, West Chester, PA, USA.

    ALI, B.H. & BARTLET, A.L. (1982). Inhibition of monoamine oxidase in
    chicken and ducklings by a microbial metabolite of furazolidone.
     Quarterly J. Exp. Physiol., 67(1): 69-79. 

    ALI, B.H. (1983). The anti-diamine oxidase effect of furazolidone in
    rabbits.  Comp. Biochem. Physiol., 74C(1): 109-110. 

    ALI, B.H., HOMEIDA, A.M. & KNIFTON, A. (1984). The effect of
    furazolidone on fertility of male chickens.  Comp. Biochem.
    Physiol., 78C(1): 43-47. 

    ALI, B.H., SILSBY, J.L. & EL HALAWANI, M.E. (1987a). Effect of
    furazolidone and nitrofurazone on egg production, on plasma
    luteinising hormone and on prolactin concentrations in turkeys.
     British Poultry Science, 28: 613-621.

    ALI, B.H., SILSBY, J.L., LOSETH, K.J., CRABO, B. & EL HALAWANI, M.E.
    (1987b). Some effects of furazolidone on the testes and plasma
    testosterone, luteinising hormone and prolactin concentrations in
    mature male turkeys d.d. 17 June 1987. University of Minnesota. St.
    Paul, MN 55108, USA. Submitted to WHO by SmithKline Beecham Animal
    Health, West Chester, PA, USA.

    ALI, B.H., SILSBY, J.L., EDENS, F. & EL HALAWANI, M.E. (1988).
    Effects of furazolidone or nitrofurazone on the concentrations of
    hypothalamic amines and plasma luteinizing hormone (LH) and
    prolactin (PRL), levels in young turkeys.  Gen. Pharmacol., 19(1):
    91-95. 

    ALTAMIRANO, A. & BONDANI, A. (1989). Adverse reactions to
    furazolidone and other drugs.  Scand. J. Gastroenterol.,
    24(suppl.169): 70-80.

    BABILE, R., QUEINNEC, G., BERLAND, H.M. & DARRE, R. (1978).
    Structure chromosomique des lymphocytes du porc et additifs
    alimentaires.  C. Soc. Biol., 172:, 546-553. 

    BARTLET, A.L & KHAN, F.H. (1990). Effects of nitrofurans on adrenal
    cortical tissue in chickens.  J. Vet. Pharmacol. Therap., 13:
    206-216. 

    BARTLET, A.L., HARVEY, S. & KLANDORF, H. (1990). Contrasting effects
    of nitrofurans on plasma corticosterone in chickens following
    administration as a bolus or diet additive.  J. Vet. Pharmacol.
     Therap., 13:, 261-269. 

    BLIJLEVEN, W.G.H., KORTSELIUS, M.J.H. & KRAMERS, P.G.N. (1977).
    Mutagenicity testing of H-193, AF-2 and furazolidone in  Drosophila
     melanogaster. Mutat. Res. 56: 95-100. 

    BORGMANN, A.R., MURTI, G.S., COOLEY, R. & LEVIN, R. (1964).
    Ninety-day toxicity studies of experimental formulations containing
    furoxone (R) (NF-180) in dogs. (Project no. 475.09.02) Unpublished
    final report d.d. 29 June 1964, The Norwich Pharmacal Company,
    Norwich, New York. Submitted to WHO by SmithKline Beecham Animal
    Health, West Chester, PA, USA.

    BORGMANN, R. & PRYTHERCH, J.P. (1964a). The effect of furoxone (R)
    on fetal growth and development in the rabbit. Unpublished special
    report project number no. 458.9 d.d. 28 August 1964 from Pathology
    Section, Scientific Department Pharmacal Company, Norwich, New York.
    Submitted to WHO by SmithKline Beecham Animal Health, West Chester,
    PA, USA.

    BORGMANN, R. & PRYTHERCH, J.P. (1964b). The effect of furoxone on
    reproduction in rats. Unpublished special report project number no.
    460.9 d.d. 3 September 1964 from Pathology Section, Scientific
    Department, The Norwich Pharmacal Company, Norwich, New York.
    Submitted to WHO by SmithKline Beecham Animal Health, West Chester,
    PA, USA.

    BORGMANN, R. & PRYTHERCH, J.P. (1966). The effect of furoxone on
    reproduction in rats. Second and third generation. Unpublished
    special report project number no. 460.09 d.d. March, 10, 1966 from
    Pathology Section, Scientific Department, The Norwich Pharmacal
    Company, Norwich, New York. Submitted to WHO by SmithKline Beecham
    Animal Health, West Chester, PA, USA.

    BOWMAN, J.S. (1961a). A balance study of furazolidone C14
    (methylene and aldehyde-labeled) in male rats. Unpublished report
    H-NSC
    no. 20-0040-32 from Hazleton, Nuclear Science Corporation,
    California. Submitted to WHO by SmithKline Beecham Animal Health,
    West Chester, PA, USA.

    BOWMAN, J.S. (1961b). A plateau-elimination study of
    furazolidone-C14 (methylene labeled) in male rats. Unpublished
    report H-NSC no. 20-0039-32 from Hazleton, Nuclear Science
    Corporation, California. Submitted to WHO by SmithKline Beecham
    Animal Health, West Chester, PA, USA.

    BRYANT, D.W. & McCALLA, D.R. (1980). Nitrofuran induced mutagenesis
    and error prone repair in  Escherichia coli. Chem. Biol. Interact.,
    31: 151-166. 

    BUZARD, J.A., HEOTIS, J.P. & WILLIAMS, C.W. (1960). Chick
    distribution studies with C14-(formyl) NF-180. Unpublished interim
    report problem 360.3 d.d. 9 December 1960 .Submitted to WHO by
    SmithKline Beecham Animal Health, West Chester, PA, USA.

    BUZARD, J.A., HEOTIS, J.P. & Williams, C.W. (1961). Chick
    distribution studies with C14-(methylene) NF-180. Unpublished
    interim report problem 360.3 d.d. 15 May 1961. Submitted to WHO by
    SmithKline Beecham Animal Health, West Chester, PA, USA.

    CARERE, A., CONTI, L., CREBELLI, R. & MACRI, A. (1982). Quantitative
    data on the urinary recovery of mutagenicity in furazolidone-treated
    rats.  Mutat. Res., 97(6), 461-462. 

    CHATTERJEE, S.N., MAITI, M. & GHOSH, S. (1975). Interaction of
    furazolidone with DNA.  Biochem. et Biophysica Acta, 402: 161-165. 

    CHATTERJEE, S.N., BANERJEE, S.K., PAL, A.K. & BASAK. J. (1983). DNA
    damage, prophage induction and mutation by furazolidone.  Chem.
    Biol.  Interact., 45: 315-326. 

    COHEN, M.M. & SAGI, M. (1979). The effect of nitrofurans on mitosis,
    chromosome breakage and sister-chromatid exchange in human
    peripheral lymphocytes.  Mutat. Res., 59(1): 139-142. 

    CRAINE, E.M. & RAY, W.H. (1972). Metabolites of furazolidone in
    urine of chickens.  J. Pharmacol. Science, 61(9): 1495-1497. 

    CRAINE, E.M. (1977). The disposition of furazolidone-14C to the
    urine and tissues of pigs. Unpublished research report no. EMC 77:10
    d.d. 28 December 1977 from Hess & Clark Division, Ashland, Ohio.
    Submitted to WHO by SmithKline Beecham Animal Health, West Chester,
    PA, USA.

    CRAINE, E.M. (1978). The disposition of furazolidone-14C to the
    urine and tissues of pigs. Unpublished research report no. EMC 78:12
    d.d. 21 April 1978 from Hess & Clark Division, Ashland, Ohio.
    Submitted to WHO by SmithKline Beecham Animal Health, West Chester,
    PA, USA. 

    CRAINE, E.M. (1981). Preparation of isolates of furazolidone
    metabolites. Unpublished research report, project no. 80191 d.d. 2
    March 1981 from Wil Research Laboratories Inc., Research Division,
    Cincinnnati, Ohio. Submitted to WHO by SmithKline Beecham Animal
    Health, West Chester, PA, USA. 

    CREBELLI, R., CARERE, A., FALCONE, E. & MACRI, A. (1982). A study on
    the urinary and fecal excretion of furazolidone in rats by means of
    mutagenicity assays.  Ecotoxicol. Environ. Saf. 6(5): 448-456. 

    DeGROOT, A.C. & CONEMANS, J.M.H. (1990). Contact allergy to
    furazolidone.  Contact Dermatitis, 22:, 202-205. 

    EBRINGER, L., JURASEK, A., KONICEK, J., KONICKOVA, M., LAHITOVA, N.
    & TRIBACUK, S. (1976). Mutagenic action of nitrofurans on  Euglena
     gracilis and  Mycobacterium phlei. Antimicrobial Agents and
     Chemotherapy, 9(4): 682-689. 

    ENNINGA, I.C. & WETERINGS, P.J.J.M. (1990). Micronucleus test in
    bone marrow cells of the mouse with furazolidone. Unpublished report
    (RCC notox project 026122) d.d. April 1990 from RCC/NOTOX, 5231
    DD's-Hertogenbosch, the Netherlands. Submitted to WHO by SmithKline
    Beecham Animal Health, West Chester, PA, USA.

    FRANCIS, D.W. & SHAFFNER, C.S. (1956). An investigation of the
    morphological changes in young chickens and the reproductive
    performance of adult chickens fed furazolidone or nitrofurazone.
     Poultry Sci., 35: 1371-1381.

    FUKUHARA, M. & TAKABATAKE, E. (1977). The effects of nitrofuran
    derivatives on hepatic microsomal mixed-function oxidase activity in
    rats.  Toxicol. Appl. Pharmacol., 42: 571-581. 

    GAO, N., NI, Y.C., THORNTON-MANNING, J.R., FU, P.P. & HEFLICH, R.H.
    (1989). Mutagenicity of nitrofurantoin and furazolidone in Chinese
    hamster ovary cell strains.  Mutat. Res., 225: 181-187. 

    GENTRY, R.F. (1957). The toxicity of certain antibiotics and
    furazolidone for chicken embryos.  Avian Diseases, 2: 77-82. 

    HALLIDAY, R.P., SUTTON, M.L., SIGLER, F.W. & LEVIN, R. A. (1973a).
    Chronic toxicopathological safety study (two years) of NF-180 in
    rats. Unpublished final report project no. 475.09-C d.d. 9 November
    1973 from Pathological and Toxicology Section, Norwich Pharmacal
    Company, Norwich, New York. Submitted to WHO by SmithKline Beecham
    Animal Health, West Chester, PA, USA.

    HALLIDAY, R.P., SUTTON, M.L. & SIGLER, F.W. (1973b). Tumorgenesis
    evaluation (lifetime) of NF-180 in Sprague-Dawley and Fischer 344
    rats. Unpublished interim report # 2 project no. 475.09D d.d. 9
    November 1973 part I: Sprague-Dawley evaluation from Pathological
    and Toxicology Section, Norwich Pharmacal Company, Norwich, New
    York. Submitted to WHO by SmithKline Beecham Animal Health, West
    Chester, PA, USA.

    HALLIDAY, R.P., SUTTON, M.L. & SIGLER, F.W. (1974a). Tumorgenesis
    evaluation (lifetime) of NF-180 in Sprague-Dawley and Fischer 344
    rats. Unpublished final report project no. 475.09D d.d. 31 January
    part II: Fischer 344 evaluation from Pathological and Toxicology
    Section, Norwich Pharmacal Company, Norwich, New York. Submitted to
    WHO by SmithKline Beecham Animal Health, West Chester, PA, USA.

    HALLIDAY, R.P., SUTTON, M.L. & SIGLER, F.W. (1974b). Tumorgenesis
    evaluation (twenty-three months) of furazolidone (NF-180) in mice,
    Unpublished final report project no. 475.09E d.d. 31 January 1974
    from Pathological and Toxicology Section, Research and Development
    Department, Norwich Pharmacal Company, Norwich, New York. Submitted
    to WHO by SmithKline Beecham Animal Health, West Chester, PA, USA.

    HAWKINS, D.R., ELSOM, L.F., GIRKIN, R. & CHENG, C.F. (1992). The
    bioavailability in rats of tissue residues from swine administered
    14C-furazolidone for 14 days and subjected to 0-day, 21-day and
    45-day withdrawal periods. Unpublished draft report HRC/SMI
    125/911478 from Huntingdon Research Centre Ltd., P.O.Box 2,
    Huntingdon, Cambridgeshire, England. Submitted to WHO by SmithKline
    Beecham Animal Health, West Chester, PA, USA.

    HEOTIS, J.P., HERRET, R.J. & WILLIAMS, C.W. (1963). Drug metabolism
    studies. Incorporation of C14 from formyl-C14-NF-180 into
    natural products. Unpublished special report part I: problem 370.3
    d.d. 20 September 1963 from Biological Research Division, Scientific
    Department, The Norwich Pharmacal Company, Norwich, New York.
    Submitted to WHO by SmithKline Beecham Animal Health, West Chester,
    PA, USA.

    HOOGENBOOM, L.A.P. (1991a). The use of pig hepatocytes to study the
    role of glutathione on the biotransformation and toxicity of
    furazolidone. In: The uses of pig hepatocytes for biotransformation
    and toxicity studies Thesis, Agricultural University of Wageningen,
    The Netherlands. Submitted to WHO by SmithKline Beecham Animal
    Health, West Chester, PA, USA.

    HOOGENBOOM, L.A.P. (1991b). The use of pig hepatocytes for
    biotransformation studies of veterinary drugs. In: The use of pig
    hepatocytes for biotransformation and toxicity studies Thesis,
    Agricultural University of Wageningen, The Netherlands. Submitted to
    WHO by SmithKline Beecham Animal Health, West Chester, PA, USA.

    HOOGENBOOM, L.A.P. (1991c). The use of pig hepatocytes to study the
    inhibition of monoamine oxidase by furazolidone. In: The uses of pig
    hepatocytes for biotransformation and toxicity studies Thesis,
    Agricultural University of Wageningen, The Netherlands. Submitted to
    WHO by SmithKline Beecham Animal Health, West Chester, PA, USA.

    HOOGENBOOM, L.A.P., Van KAMMEN, M., BERGHMANS, M.C.J. & KUIPER, H.A.
    (1991). Detection of protein bound metabolites of furazolidone.
    Proceedings of the Euroresidue Conference in Noordwijkerhout, The
    Netherlands. Submitted to WHO by SmithKline Beecham Animal Health,
    West Chester, PA, USA. 

    HUFFMAN, K.W. (1965a). Two-year chronic toxicity study and a
    three-generation reproductive study in rats. Unpublished report
    no. 65:15/H-1R from Hess & Clark, Research Department, Ashland,
    Ohio. Summary submitted to WHO by SmithKline Beecham Animal Health,
    West Chester, PA, USA. 

    HUFFMAN, K.W. (1965b). Two-year chronic toxicity test with
    furazolidone in dogs. Unpublished report no. 65:16/H-1D) d.d. 30
    July 1965 from Hess & Clark, Research Department, Ashland, Ohio.
    Abstract submitted to WHO by SmithKline Beecham Animal Health, West
    Chester, PA, USA. 

    HUGHES, D.L. & McMINN, C.S. (1963). The effect of furazolidone on
    reproduction and enteric infections of swine. Unpublished final
    report (Ex 62-12-18a2) Norwich Pharmacal Company, Norwich, USA.
    Submitted to WHO by SmithKline Beecham Animal Health, West Chester,
    PA, USA.

    JACKSON, D. & ROBSON, J.M. (1957). The action of furazolidone on
    pregnancy.  J. Endocrin., 15: 355-359. 

    JAGANNATH, D.R. & BRUSICK, D.J. (1981a). Mutagenicity evaluation of
    WIL-80191-10-4 dry liver, control in the Ames  Salmonella/microsome
    plate test. Unpublished final report d.d. March 1981 LBI project
    from Litton Bionetics, Inc. Kensington, Maryland 207953. Submitted
    to WHO by SmithKline Beecham Animal Health, West Chester, PA, USA.

    JAGANNATH, D.R. & BRUSICK, D.J. (1981b). Mutagenicity evaluation of
    WIL-80191-11-2 urine isolate; control in the Ames
     Salmonella/microsome plate test. Unpublished final report d.d.
    February 1981 LBI project from Litton Bionetics, Inc. Kensington,
    Maryland 207953. Submitted to WHO by SmithKline Beecham Animal
    Health, West Chester, PA, USA.

    JAGANNATH, D.R. & BRUSICK, D.J. (1981c). Mutagenicity evaluation of
    WIL-80191-10-1 liver isolate treated in the Ames
     Salmonella/microsome plate test. Unpublished final report d.d.
    February 1981 LBI project from Litton Bionetics, Inc. Kensington,
    Maryland 207953. Submitted to WHO by SmithKline Beecham Animal
    Health, West Chester, PA, USA.

    JAGANNATH, D.R. & BRUSICK, D.J. (1981d). Mutagenicity evaluation of
    WIL-80191-10-2 dry liver isolate treated in the Ames
     Salmonella/microsome plate test. Unpublished final report d.d.
    February 1981 LBI project from Litton Bionetics, Inc. Kensington,
    Maryland 207953. Submitted to WHO by SmithKline Beecham Animal
    Health, West Chester, PA, USA.

    JAGANNATH, D.R. & BRUSICK, D.J. (1981e). Mutagenicity evaluation of
    WIL-80191-10-3 liver isolate control in the Ames
     Salmonella/microsome plate test. Unpublished final report d.d.
    March 1981 LBI project from Litton Bionetics, Inc. Kensington,
    Maryland 207953. Submitted to WHO by SmithKline Beecham Animal
    Health, West Chester, PA, USA.

    JAGANNATH, D.R. & BRUSICK, D.J. (1981f). Mutagenicity evaluation of
    WIL-80191-11-1 urine isolate treated in the Ames
     Salmonella/microsome plate test. Unpublished final report d.d.
    March 1981 LBI project from Litton Bionetics, Inc. Kensington,
    Maryland 207953. Submitted to WHO by SmithKline Beecham Animal
    Health, West Chester, PA, USA.

    JAGANNATH, D.R. & BRUSICK, D.J. (1981g). Mutagenicity evaluation of
    Furazolidone WIL-80191-11-3 in the Ames  Salmonella/microsome plate
    test. Unpublished final report LBI project from Litton Bionetics,
    Inc. Kensington, Maryland 207953. Submitted to WHO by SmithKline
    Beecham Animal Health, West Chester, PA, USA.

    KING, C.D., CURRIE, G.N. HARRINGTON, C. & WELCH, C.A. (1970a).
    Effects of nitrofurans on steroidogenesis and mammary hyperplasia
    (NF-180 Rx 30309) Unpublished annual report project no. 569.09
    d.d.16 June 1970 from Research and Development Department, The
    Norwich Pharmacal Comp., Norwich, New York. Submitted to WHO by
    Smithkline Beecham Animal Health, West Chester, PA, USA. 

    KING, C.D., CHRISTENSEN, E.F., McLAUGHLIN, J.H., LEVIN, R.A. &
    SIGLER, F.W. (1971a). Chronic (2 year) toxicopathologic study of
    NF-180 in dogs. Unpublished final report project no. 475.09B d.d. 12
    November 1971 from Pathological and Toxicology Section, Research and
    Development Department, The Norwich Pharmacal Company, Norwich, New
    York. Abstract submitted to WHO by SmithKline Beecham Animal Health,
    West Chester, PA, USA.

    KING, C.D., CURRIE, G.N., HARRINGTON, C. & WELCH, C. (1971b).
    Nitrofurans and steroidogenesis. Unpublished interim report no. 5
    project no. 596.09 d.d. 21 December 1971 from Pathological and
    Toxicology Section, The Norwich Pharmacal Company, Norwich, New
    York. Submitted to WHO by SmithKline Beecham Animal Health, West
    Chester, PA, USA.

    KING, C.D., SUTTON, M.L. & LEVIN, R.A. (1972a). Chronic
    toxicopathological safety study (two years) of NF-180 in rats.
    Unpublished status report no.1 project no. 475.09c d.d. 18 October
    1972 from Pathological and Toxicology Section, Research and
    Development Department, The Norwich Pharmacal Company, Norwich, New
    York. Submitted to WHO by SmithKline Beecham Animal Health, West
    Chester, PA, USA.

    KING, C.D., SUTTON, M.L., WONG, L.C.K. & LAUGHLIN, P.J. (1972b).
    Tumorgenesis evaluation (two years) of NF-180 in Spraque-Dawley and
    Fischer 344 rats. Unpublished status report no.1 project no. 475.09D
    d.d. 18 0ctober 1972 from Pathological and Toxicology Section,
    Research and Development Department, The Norwich Pharmacal Company,
    Norwich, New York. Submitted to WHO by SmithKline Beecham Animal
    Health, West Chester, PA, USA.

    KOUBA, R.F. (1979). Analysis of components from urine of pigs
    treated with furazolidone-14C-15N or furazolidone-14C.
    Unpublished report no.: RFK 79:3 from Hess & Clark, Ashland.
    Submitted to WHO by SmithKline Beecham Animal Health, West Chester,
    PA, USA. 

    KRAMERS, P.G. (1982). Studies on the induction of sex-linked
    recessive lethal mutations in  Drosophila melanogaster by
    nitroheterocyclic compounds.  Mutat. Res., 101: 209-236. 

    LARSON, E.J. (1963a). Evaluation of effects on the reproductive
    system of male rats fed NF-180 as 0.033% and 0.066% of the diet.
    Unpublished pathology research report H-12a. Addendum to pathology
    research report H-12. Unpublished report d.d. 14 November 1963 from
    Research Department Hess & Clark, Ashland Ohio. Submitted to WHO by
    SmithKline Beecham Animal Health, West Chester, PA, USA.

    LARSON, E.J. (1963b). Evaluation of effects on the reproductive
    system of male rats fed NF-180 as 0.033% and 0.066% of the diet.
    Unpublished pathology research report H-12 d.d. 18 March 1963 from
    Research Department Hess & Clark, Ashland, Ohio. Submitted to WHO by
    SmithKline Beecham Animal Health, West Chester, PA, USA.

    LU, C., McCALLA, D.R. & BRYANT, D.W. (1979). Action of nitrofurans
    on  E. coli. Mutation and induction and repair of daughter-strand
    gaps in DNA.  Mutat. Res., 67: 13-144. 

    McCALLA, D.R. & VOUTSINOS, D. (1974). On the mutagenicity of
    nitrofurans.  Mutat. Res. 16(1): 3-16. 

    MEITES, J. DENINE, E.P. & OBROSKY, K.W. (1984). Determination of
    blood levels of prolactin and corticosterone following oral
    administration of furazolidone (NF-180) or EU-557 to male
    Sprague-Dawley rats: a pilot study. Unpublished final report project
    no. 475.59.59 d.d. 30 March 1984 from Norwich Eaton Pharmaceuticals,
    Inc., Norwich, New York. Submitted to WHO by SmithKline Beecham
    Animal Health, West Chester, PA, USA.

    MITCHELL, J.M., TRIMMER, J.E., AREIA, D. & WESSEL, J.L. (1990a).
    Acute oral toxicity study of furazolidone in rats. Unpublished
    report d.d. 5 July 1991 from Bio/Dynamics Inc. project no. 5884-90,
    East Millstone, New Jersey. Submitted to WHO by SmithKline Beecham
    Animal Health, West Chester, PA, USA.

    MITCHELL, J.M., TRIMMER, J.E., AREIA, D. & WESSEL, J.L. (1990b).
    Acute oral toxicity study of furazolidone in mice. Unpublished
    report d.d. 5 July 1991 from Bio/Dynamics Inc. project no. 5885-90,
    East Millstone, New Jersey. Submitted to WHO by SmithKline Beecham
    Animal Health, West Chester, PA, USA.

    MITCHELL, J.M., TRIMMER, J.E., LUKE, B. & WESSEL, J.L. (1990c).
    Primary dermal irritation study of furazolidone in rabbits.
    Unpublished report d.d. 5 July 1991 from Bio/Dynamics Inc. project
    no. 5886-90, East Millstone, New Jersey. Submitted to WHO by
    Smithkline Beecham Animal Health, West Chester, PA, USA.

    MITCHELL, J.M., TRIMMER, J.E., LUKE, B., ODDE, E.Y. & WESSEL, J.L.
    (1990d). Primary irritation study of furazolidone in rabbits.
    Unpublished report d.d. 5 July 1991 from Bio/dynamics Inc. project
    no. 5887-90, East Millstone, New Jersey. Submitted to WHO by
    SmithKline Beecham Animal Health, West Chester, PA, USA.

    MIYAJI, T, MIYAMOTO, M & UEDA, Y. (1964). Inhibition of
    spermatogenesis and atrophy of the testis caused by nitrofuran
    compounds.  Acta Path. Jap., 14(3): 261-273. 

    MORI, H., SUGIE, S., YOSHIMI, N., IWATA, H., NISHIKAWA, A.,
    MATSUKUBO, K., SHIMIZU, H. & HIRONO, I. (1988). Genotoxicity of a
    variety of hydrazine derivatives in the hepatocyte primary culture
    DNA repair test using rat and mouse hepatocytes.  Jpn. J. Cancer
     Res. (Gann), 29: 2145-2156.

    MORRISON, J.L., CURRIE, G.N., HARRINGTON, C. & WELCH, C.A. (1972).
    The effects of estrone and NF-180 on mammary tumor formation.
    Unpublished special report project no. 596.09 d.d. 12 October 1972
    from Norwich Pharmacal Company, Norwich, New York. Submitted to WHO
    by SmithKline Beecham Animal Health, West Chester, PA, USA.

    MORRISON, J.L., CURRIE, G.N. & HARRINGTON, C. (1973). Effects of
    NF-180 (acute) on serum prolactin levels. Unpublished final report
    project no. 596.03 d.d. 24 October 1973 from Biochemistry Section,
    The Norwich Pharmacol Company, Norwich, New York. Submitted to WHO
    by SmithKline Beecham Animal Health, West Chester, PA, USA. 

    MORRISON, J.L., CURRIE, G.N. & HARRINGTON, C. (1974a). Effects of
    adrenalectomy on NF-180 induced testicular atrophy. Unpublished
    final report project no. 475.03-F d.d. 24 May 1974 from Biochemistry
    Section, The Norwich Pharmacol Company, Norwich, New York. Submitted
    to WHO by SmithKline Beecham Animal Health, West Chester, PA, USA. 

    MORRISON, J.L., CURRIE, G.N. & HARRINGTON, C. (1974b). Effects of
    NF-180 treatment on plasma steroids in the female Sprague-Dawley
    rat. Unpublished final report project no. 475.03-31 d.d. 18
    September 1974 from Biochemistry Section, The Norwich Pharmacol
    Company, Norwich, New York. Submitted to WHO by SmithKline Beecham
    Animal Health, West Chester, PA, USA. 

    MORRISON, J.L. (1976). Identification of NF-682 as a metabolite of
    NF-180 in rats. Unpublished report d.d. 2 July 1976 attachment 5
    from Norwich Pharmacal Company, Norwich, New York. Submitted to WHO
    by SmithKline Beecham Animal Health, West Chester, PA, USA.

    MUSTAFA, A. I., ALI, B.H. & HASSAN, T. (1987). Semen characteristics
    in furazolidone-treated goats.  Reprod. Nutr. Develop., 27(1A):
    89-94. 

    NI, Y.-C., HEFLICH, R.H., KADLUBAR, F.F. & FU, P.P. (1987).
    Mutagenicity of nitrofurans in  Salmonella typhimurium TA98, TA98nr
    and TA98/1,8-DNP6.  Mutat. Res., 192(1): 15-22. 

    OHTA, T., NAKAMURA, N., MORIYA, M., SHIRASU, Y. & KADA, T. (1984).
    The SOS-function-inducing activity of chemical mutagens in
     Escherichia coli. Mutat. Res., 131: 101-109. 

    PAIK, S.G. (1985). Micronucleus induction in mouse bone marrow cells
    of some nitrofuran, 5-nitroimidazole and nitrothiazole derivatives
    used as trichomonacides in Korea.  Environ. Mutag. Carcinogens,
    5(2): 61-72. 

    PALM, D., MAGNUS, U., GROBECKER, H. & JONSSON, J. (1967). Hemmung
    der monoami-noxydase durch bakteriostatisch wirksame
    nitrofuran-derivative.  Naunyn-Schmiedebergs Arch. Pharmak., 256:
    281-300. 

    PAUL, H. (1955). Oral chronic toxicity study on Nf-180 in dogs
    (study) Unpublished report d.d. 16 June 1955 from Eaton
    Laboratories, Norwich, New York. Submitted to WHO by SmithKline
    Beecham Animal Health, West Chester, PA, USA.

    PETTINGER, W.A., SOYANGCO, F.G. & OATES, J.A. (1968). Inhibition of
    monoamine oxidase in man by furazolidone.  Clinical Pharmacol.
     Therapeut., 9(4): 442-447. 

    PROBST, G.S., McMAHON, R.E., HILL, L.E., THOMPSON, C.Z., EPP, J.K. &
    NEAL, S.B. (1981). Chemically-induced unscheduled DNA synthesis in
    primary rat hepatocytes cultures: A comparison with bacterial
    mutagenicity using 218 compounds.  Environ. Mutag., 3: 11-32. 

    QUEINNEC, G., BABILE, R., DARRE, R., BERLAND, H.M. & ESPINASSE, J.
    (1975). Induction of abnormalities in chromosomes (of cattle and
    swine) by furazolidone or chloramphicol.  Veterinary Bul., 46: 330.

    RAY, W.H. (1959). Preliminary metabolism study of position
    C14-labelled furazolidone in the white rat. Unpublished report no.
    59-3 d.d. 18-09070 from Hess & Clark, Ashland, Ohio. Submitted to
    WHO by SmithKline Beecham Animal Health, West Chester, PA, USA.

    RAY, W.H. (1962). An investigation of the metabolites of
    furazolidone in swine urine. Unpublished research report no. 62:3
    d.d. 29 May 1962 from Hess & Clark, Ashland, Ohio. Submitted to WHO
    by SmithKline Beecham Animal Health, West Chester, PA, USA.

    RAY, W.H. & HAYES, M. (1963). Evidence that the orange '415'
    metabolite of furazolidone in swine is a nitrofuran. Unpublished
    research report 63:2 d.d. 25 January 1963 from Hess & Clark,
    Ashland, Ohio. Submitted to WHO by SmithKline Beecham Animal Health,
    West Chester, PA, USA.

    SCHERES, H.M.E. (1991a). Evaluation of the mutagenic activity of
    3-amino-oxazolidinon-2 in the Ames  Salmonella/microsome test.
    Unpublished report project nr. d.d.15 January 1991 from RCC Notox,
    5231 DD's Hertogenbosch. Submitted to WHO by SmithKline Beecham
    Animal Health, West Chester, PA, USA. 

    SCHERES, H.M.E. (1991b). Evaluation of the ability of furazolidone
    to induce chromosome aberrations in cultured peripheral human
    lymphocytes. Unpublished report project no. 038385 d.d. 9 January
    1991 from Notox RCC, 5231 DD's Hertogenbosch. Submitted to WHO by
    SmithKline Beecham Animal Health, West Chester, PA, USA.

    SIEDLER, A.J. & SEARFOSS, W. (1966). Effects of long-term feeding of
    various nitrofurans to rats. Unpublished report problem 440.07 d.d.
    13 October 1966 from Division of Chemotherapy, Research and
    Development Department, The Norwich Pharmacal Company, Norwich, New
    York. Submitted to WHO by SmithKline Beecham Animal Health, West
    Chester, PA, USA.

    SIEDLER, A.J. & SEARFOSS, W. (1967). Effects of long-term feeding of
    various nitrofurans to rats. Unpublished report problem 440.07 d.d.
    4 January 1976 from Division of Chemotherapy, Research and
    Development Department, The Norwich Pharmacal Company, Norwich, New
    York. Submitted to WHO by SmithKline Beecham Animal Health, West
    Chester, PA, USA.

    STERN, I.J. HOOLIFIELD, R.D., WILK, S. & BUZARD, J.A. (1967). The
    anti-monoamine oxidase effects of furazolidone.  J. Pharmacol. Exp.
     Therapeut., 156(3): 492-499. 

    TATSUMI, K. & TAKAHASHI, Y. (1982). Metabolic fate of furazolidone
    in rats.  Chem. Pharm. Bull. Tokyo, 30(9), 3435-3438.

    TATSUMI, K. YAMADA, H., YOSHIMURA, H. & KAWAZOE, Y (1981).
    Metabolism of furazolidone by milk xanthine oxidase and rat liver
    9000 g supernatant: Formation of a unique nitrofuran metabolite and
    an aminofuran derivative.  Arch. Biochem. Biophysics, 208(1):
    167-174. 

    TATSUMI, K., NAKABEPPU, H., TAKAHASHI, Y., & KITAMURA, S. (1984).
    Metabolism  in vivo of furazolidone: evidence for formation of an
    open-chain carboxylic acid and aketoglutaric acid from the
    nitrofuran in rats.  Arch. Biochem. Biophysics, 234(1): 112-116. 

    TENNENT, D.M. & RAY, W.H. (1971). Metabolism of furazolidone in
    swine (355994).  Proc. Soc. Exp. Biol. Med., 138(3): 808-810. 

    TONOMURA, A. & SASAKI, M.S. (1973). Chromosome aberrations and DNA
    repair synthesis in cultured human cells exposed to nitrofurans.
     Japan. J. Genetics, 48(4): 291-294. 

    Van Den DUNGEN, H.M., JAGER, L.P., LUYCKX, N.B. L., De GRAAF, G.J. &
    BAARS, A.J. (1991). Adrenal toxicity of carbadox and furazolidone
     in vitro. Act. Vet. Scand., 87: 338-340.

    VOOGD, C.E., KRAMERS, P.G.N., KNAAP, A.G.A.C., OUD, J.H. & Van WENT,
    G.F. (1982). Mutagenicity of feed additives. Postersession RIV,
    Bilthoven. as cited in Van MIERT, A.S.J.P.A.M., VROOMEN, L.H.M. &
    JAGER, L.P. (1984) Farmacologie en toxicologie van furazolidon en
    carbadox: een literatuuronderzoek.  Tijdschr. Diergeneeskd.
    109(22): 928-932. 

    VROOMEN, L.H., BERGHMANS, M.C., Van LEEUWEN, P., Van Der STRUIJS,
    T.D.B.M, De VRIES, P.H.U. & KUIPER, H.A. (1986). Kinetics of
    14C-furazolidone in piglets upon oral administration during 10
    days and its interaction with tissue macromolecules.  Food Add.
     Contamin., 3: 331-346. 

    VROOMEN, L.H. (1987). Quantitative studies of the metabolism of
    furazolidone by rat liver microsomes.  Toxicol. in vitro, 1(2):
    97-104. 

    VROOMEN, L.H., BERGHMANS, M.C., HEKMAN, P., HOOGENBOOM, L.A.P. &
    KUIPER, H.A. (1987a). The elimination of furazolidone and its
    open-chain cyano-derivative from adult swine.  Xenobiotica, 17:
    1427-1435. 

    VROOMEN, L.H., GROTEN, J.P., Van MUISWINKEL, K., Van VELDHUIZEN,
    P.J. & Van BLADEREN, P.J. (1987b). Identification of a reactive
    intermediate of furazolidone formed by swine liver microsomes.
     Chem. Biol. Interact., 64(1-2): 167-180. 

    VROOMEN,L.H., BERGHMANS, M.C., GROTEN, J.P., KOEMAN, J.H. & Van
    BLADEREN, P.J. (1988). Reversible interaction of a reactive
    intermediate derived from furazolidone with glutathione and protein.
     Toxicol. Appl. Pharmacol., 95: 53-60. 

    VROOMEN, L.H., BERGHMANS, M.C., Van BLADEREN, P.J., GROTEN, J.P.,
    WISSINK, C.J. & KUIPER, H.A. (1990).  In vivo and  in vitro
    metabolic studies of furazolidone: A risk evaluation.  Drug. Metab.
     Rev., 22(6-8): 663-676.

    WHITE, A.H. (1989). Absorption, distribution, metabolism and
    excretion of furazolidone.  Scand. J. Gastroenterol.,
    24(suppl. 169): 4-10.


    See Also:
       Toxicological Abbreviations
       FURAZOLIDONE (JECFA Evaluation)
       Furazolidone (IARC Summary & Evaluation, Volume 31, 1983)