IPCS INCHEM Home

    ANTHELMINTHIC  AGENTS

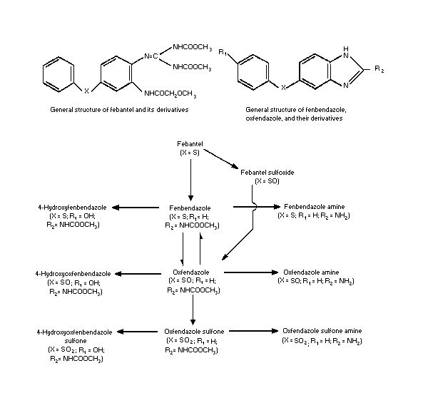
          The Commitee considered the three anthelminthic agents,
    fenbendazole, oxfendazole and febantel. Of these, the first two are
    benzimadozoles that are metabolically inerconvertible  in vivo.
    Febantel is a prodrug that can be converted  in vivo by cyclization
    to fenbendazole or following oxidation at the sulfur atom and
    subsequent cyclization to oxfendazole( see figure below).

          The Committee has written separate monographs for each of these
    agents. These monographs are followed by a summary which discusses
    them together. 

    CHEMICAL STRUCTURE

    FEBANTEL

    First Draft Prepared by
    Dr. K.N. Woodward
    Veterinary Medicines Directorate
    Weybridge, Surrey, England

    1.  EXPLANATION

          Febantel (N-{-[2,3-bis-(methoxycarbonyl)-guanido]-5-
    (phenylthio)-phenyl}-2-methoxyacetamide) is an anthelmintic agent
    active against a range of gastrointestinal parasites in animals. It
    is a prodrug and  in vivo undergoes hydrolytic removal of a
    methoxyacetyl group and cyclisation to yield the benzimidazole,
    fenbendazole (Wollweber et al., 1978; Delatour & Parish, 1986). It
    has not previously been evaluated by the Joint FAO/WHO Expert
    Committee on Food Additives.

    2.  BIOLOGICAL DATA

    2.1  Biochemical Aspects

    2.1.1  Absorption, distribution and excretion

          Following intraduodenal dosing of rats with 14C-labelled
    febantel, around 25-30% of the dose was excreted in the urine,
    suggesting moderate absorption after oral administration. After
    intravenous and intraduodenal dosing around 70% of the dose was
    excreted in the bile indicating that initial absorption after oral
    administration may be higher. Around 20% of the oral dose of
    febantel was detected in the urine of sheep over a 4-day period
    after dosing (Anon. 1987). In the cow, metabolites of febantel were
    excreted in the milk after oral doses (Delatour et al., 1983a). The
    liver and to a lesser extent the kidney were target tissues for
    febantel-related metabolites in the rat, sheep and cattle (Bayer,
    1987).

    2.1.2  Biotransformation

           In vivo, febantel undergoes cyclization to fenbendazole which
    is interconvertible with oxfendazole. In addition, oxidation at the
    sulfur atom in febantel yields the sulfoxide which can undergo
    hydrolytic cleavage and cyclisation to produce oxfendazole. A total
    of 9 metabolites has been identified in the rat. Sheep were given
    25 mg/kg b.w. and the urine collected. A similar metabolic pattern
    was noted in the two species, and oxfendazole and fenbendazole were
    identified along with the other metabolites including the p-hydroxy
    derivative of fenbendazole (Anon. 1987; Delatour et al., 1983b;
    Delatour et al., 1982a). Similar findings were made in cattle (Anon.
    1987). Fenbendazole and oxfendazole were identified in cow's milk

    after oral dosing (Delatour et al., 1983a). It has been shown that
    liver microsomes from various species can convert febantel to its
    sulfoxide; sheep microsomes displayed the highest activity in this
    respect. Similarly, microsomes from a number of species converted
    fenbendazole to oxfendazole. The experiments together suggest that
    the liver is responsible for the oxidative metabolism of both
    febantel and fenbendazole (Montesissa et al., 1989).

          A general metabolism scheme showing the metabolism of all 3
    benzimidazole compounds considered by the Committee may be found on
    page 1(note: to check).

    2.2  Toxicological studies

    2.2.1  Acute toxicity

          Febantel was of low toxicity in the mouse, rat, and dog after
    oral administration. It was somewhat more toxic to the rabbit by
    this route (Table 1). It was of low acute toxicity to the rat
    following inhalation exposure, and to the rabbit after dermal
    exposure.


        Table 1. Acute toxicity
                                                                                  

    Species       Sex        Route            LD50          Reference
                                            (mg/kg b.w.)
                                                                                  

    Mouse         M          oral            > 10000        Muermann, 1975

    Mouse         M          s.c.            > 10000

    Rat           M          oral              10605

    Rat           M&F        inh.            > 20001        Nelson et al., 1977

    Rabbit        F          oral           ca. 1250        Muermann, 1975

    Rabbit        M&F        dermal          > 20002        Nelson & Burke, 1977

    Dog           M&F        oral            > 10000        Muermann, 1975
                                                                                  

    1.   1 h exposure, µg/1
    2.   24 h occlusive dressing
    
    2.2.2  Short-term studies

    2.2.2.1  Rats

          Groups of 15 male and 15 female Wistar rats were given 0, 20,
    50, and 125 mg/kg b.w./day febantel, 7 days per week by stomach
    tube, for 3 months. Body weights and food consumption were measured
    once a week, and clinical laboratory studies were conducted after 1
    and 3 months.

          No clinical signs were noted during the study and behaviour and
    feed consumption were unaffected by febantel administration. Body
    weights in all the groups were comparable with control values except
    for males given 20 mg/kg b.w./day, which showed a higher rate of
    weight gain. No compound-related deaths occurred during the study.
    Haematology was normal at 1 and 3 months, as was clinical
    biochemistry. There were no adverse findings following urinalyses.

          At necropsy, no gross effects were noted. Relative and absolute
    liver weights were increased in females given the highest dose;
    relative liver weights were increased in corresponding males.
    High-dose females had reduced thymus weights when compared with
    controls. The only drug-related finding on histopathological
    examination was fatty infiltration of the liver in several high-dose
    rats. The no-effect level in this study was 50 mg/kg b.w./day
    (Bomhard and Luckhaus, 1976).

    2.2.2.2  Dogs

          Groups of 3 male and 3 female pure-bred beagles were given
    doses of 0, 20, 60, and 180 mg/kg b.w./day febantel in a gelatin
    capsule 7 days per week for 13 weeks. Body weights were measured
    weekly and body temperatures before the start of the study and at
    weeks 3, 6, and 13. Neurological, haematological and ophthalmoscopic
    examinations and electrocardiographic (ECG) investigations  were
    conducted at weeks 3, 6, and 13. Urinalyses were conducted at the
    start of the study and at weeks 3, 6, and 13.

          No signs of toxicity occurred in dogs given 20 and 60 mg/kg
    b.w./day. Food consumption was reduced in some dogs given 180 mg/kg
    b.w./day, and occasional diarrhoea and ataxia occurred. One animal
    given this dose was killed on day 26 in a moribund state. This
    animal was emaciated and had bleeding gums. It became ataxic and was
    therefore sacrificed. Animals given 20 and 60 mg/kg b.w./day had
    rates of body weight gain comparable with controls but in those
    given the high dose, weight gain was depressed during the first 3
    weeks. Temperatures in all dogs were comparable with those in
    controls and no adverse effects were noted on ophthalmoscopic and
    neurological examinations. ECGs were normal and no occult blood was
    found on faecal examinations.

          Haematologic examination showed no compound-related effects on
    red blood cells in dogs given 20 mg/kg b.w./day but those given the
    higher doses showed reductions in haematocrit, haemoglobin and
    erythrocyte counts. Thrombocyte counts were unaffected. Leukopenia
    was seen in 3/6, 1/6, and 6/6 dogs given 20, 60, and 180 mg/kg
    b.w./day febantel. Differential blood counts revealed
    granulocytopenia. There were no effects on clinical chemistry or
    urinalysis values.


          At necropsy, there were no apparent gross effects on dogs given
    20 or 60 mg/kg b.w./day febantel but dogs given 180 mg/kg b.w./day
    had red markings in the mucosa of the stomach and small intestine
    with reddening of the mesenteric lymph nodes. There was atrophy of
    the white splenic pulp in one animal. Testicular weights were
    reduced at all 3 dose levels.

          Histopathological examination revealed atrophy of the splenic
    follicles in dogs given the highest dose and in one animal given
    60 mg/kg b.w./day. Testicular hypoplasia was evident in all treated
    groups but this was more pronounced in high-dose animals. No
    compound-related changes occurred in the epithelia of the stomach,
    oesophagus, or small intestine; there were no effects on mitoses in
    the crypts (Machemer & Luckhaus, 1976).

          As an extension of the study, groups of 3 male and 3 female
    beagle dogs were given doses of 0, 5, and 10 mg/kg b.w./day febantel
    in capsules. There were no signs of toxicity noted and haematology
    was unaffected by compound administration. There was no excess
    incidence of splenic or testicular effects in the treated dogs. The
    no-effect level in this study was 10 mg/kg b.w./day (Machemer &
    Luckhaus, 1976).

          In a 52-week study, groups of 4 male and 4 female beagle dogs
    were given diets containing 0, 40, 200, and 1000 ppm febantel
    (equivalent to 0, 0.1, 5, and 25 mg/kg b.w./day). In this study,
    body weights were recorded weekly, reflexes (corneal, pupillary,
    patellar, extensor and reflexor) before the start of the study and
    at weeks 4, 7, 13, 25, 39, and 52, and ophthalmoscopy at weeks 4, 7,
    13, 25, 39, and 52. Haematology, biochemistry and urinalysis were
    also conducted at these time points. Body temperature and pulse
    rates were also measured during the study.

          Animals given up to 200 ppm dietary febantel exhibited no signs
    of toxicity, and there were no effects on body temperature or pulse
    rate in any of the treated groups. Animals given the highest dietary
    level showed a much reduced feed intake (approximately 75% of

    control values). Body weights of males were significantly reduced
    and female dogs showed a reduction in the rate of weight gain. One
    dog in the high dietary level group showed a marked reduction in
    body weight (3.5 kg at week 39) and was found to have opacification
    of the lenses.

          Three of the 8 dogs given the highest dietary level died during
    the course of the study (one accidentally); there were no deaths in
    any of the other groups. There were no haematological effects in the
    animals given up to 200 ppm febantel. However, in high-level
    animals, particularly in the three which died, there were reductions


    in haematocrit, haemoglobin and erythrocyte values. The thrombocyte
    count was markedly lowered in one of these animals. There was also a
    marked reduction in leucocyte counts at the 1000 ppm level. This was
    characterized by a significant reduction in granulocytes.

          Biochemical studies revealed significant increases in the
    activities of hepatic enzymes indicative of some degree of liver
    damage, at the highest dietary level. There were no effects on
    urinalyses.

          At necropsy, there were significant reductions in testicular
    and prostate weights in high-level males. Histological examination
    revealed drastic reductions in leukopoiesis and erythropoiesis in
    the marrow of high-level animals. Lymphofollicular atrophy of the
    lymph nodes (including the spleen) occurred in these dogs.
    Myocardial necrosis occurred in one high dietary level dog and this
    was considered by the authors to be secondary to hypoxemia due to
    the effects on blood elements. Centrilobular and panlobular
    degeneration of the liver were noted in dogs given 1000 ppm.
    Testicular and prostatic hypoplasia were evident in high-level
    males. The no-effect level in this 52-week study in the dog was
    200 ppm in the diet, equivalent to 5 mg/kg b.w./day (Hoffmann &
    Nash, 1983).

    2.2.3  Long term/carcinogencity studies

    2.2.3.1  Mice

          In a combined chronic toxicity and carcinogenicity study,
    groups of 60 male and 60 female NMRI mice were given diets
    containing 0, 50, 200, and 800 ppm febantel, equal to 0, 10, 42, and
    170 mg/kg b.w./day for males and 0, 15, 58, and 250 mg/kg b.w./day
    for females, for up to 21 months. From these groups 10 male and 10
    female mice were sacrificed after 1 year.

          There were no effects on mortality attributable to febantel
    intake, nor were there any effects on appearance or behaviour. Feed
    and water intake values in treated mice were comparable with
    controls. Body weights of treated males were similar to controls but
    in females body weights of mice given the highest dietary level were
    slightly but significantly lower than control values in the first 11
    months of the study. After 11 months, the body weights of the
    high-level animals became comparable with those of controls.

          Haematological studies revealed no effects in mice given up to
    200 ppm febantel in the diet. However, males given the highest
    dietary level had significant increases in the platelet count and
    significant decreases in mean corpuscular haemoglobin contents.
    Females were found to have lower haematocrit values and, at the end
    of the study, reductions in erythrocyte counts. Blood biochemistry
    was investigated at 12 and 21 months. The activity of serum
    aspartate aminotransferase was significantly decreased in all the
    treated males and decreased in females given the low and high levels
    of dietary febantel; the intermediate-level mice however had
    increased activity of this enzyme. The significance of this is
    unknown although the authors of the report believed it to be
    toxicologically irrelevant. Alkaline phosphatase, serum alanine
    aminotransferase, creatine kinase, total protein, bilirubin, urea,
    cholesterol and glucose were unaffected. Serum creatinine was
    lowered in all treated mice.

          There were no gross abnormalities which could be attributed to
    compound intake in mice which died during the study, in those killed
    in a moribund condition, in the groups killed at 12 months nor in
    those sacrificed at termination.

          The only effects on organ weights were those noted in the liver
    in animals given the highest dietary level. There were significant
    increases in absolute and relative liver weights at 12 and 21 months
    in these animals.

          At histopathological examination, the only adverse finding was
    an increased fat accumulation in the livers of high-level female
    animals. There was no increase in the incidence of any benign or
    malignant tumour type (Bomhard & Kaliner, 1985).

    2.2.3.2  Rats

          In a combined chronic toxicity and carcinogenicity study,
    groups of 100 male and 100 female Wistar rats were fed diets
    containing 0, 20, 100, and 500 ppm febantel, equal to 0, 2, 8, and
    40 mg/kg b.w./day, for an eleven-week period prior to mating, during
    a 20-day mating period, and during the subsequent lactation period

    (up to 33 days). A total of 60 male and 60 female pups from each
    dose group was then given the same dietary level as the respective
    parental animals for up to 30 months. Groups of 10 male and 10
    female rats from each group were sacrificed after 65 weeks.

          There were no effects on appearance, behaviour, mortality, or
    food and water intake, and no effects on body weight at levels of up
    to 100 ppm febantel. However, the highest dietary level depressed
    body weights in parental animals and in their young. Litter size was
    reduced significantly at birth, 7 days, and at week 3 in animals
    given the highest level. Levels of up to and including 100 ppm had
    no effects on pup weight but pups in the 500 ppm level group had
    significant reductions in weight when compared with controls at
    birth, 7 days and week 3. Body weights of these animals remained
    reduced throughout the course of the study. There were no effects on
    mortality in any of the treated groups.

          No haematological abnormalities were noted at week 27, 53, 106,
    or 132 in animals given up to 100 ppm febantel. In animals given the
    highest level, mean corpuscular haemoglobin and mean corpuscular
    haemoglobin concentrations were reduced, sometimes significantly, at
    all 4 examination points, in male and female rats. There were no
    cytological differences, however, between control and treated
    animals.

          Clinical chemistry revealed significant increases in alkaline
    phosphatase activities in males and females given the highest level
    of febantel.

          Gross examination of rats which died during the study, in those
    subject to interim sacrifice at week 65 and in animals killed at
    termination revealed no abnormalities. There were significant
    increases in liver weights, both absolute and relative, at
    termination in males and females given the highest dietary level,
    and in relative liver weights at week 65 in males and females.

          Histopathological examination of rats sacrificed at week 65
    revealed fatty vacuolation of the liver in animals given the highest
    dietary level as the only non-neoplastic finding. Similar
    observations were made at terminal sacrifice. There was no increased
    incidence of any tumour type in any of the treatment groups.
    However, only animals given the highest level and controls were
    subject to full histopathology; rats given the other doses had only
    the lungs, liver and kidneys examined histologically. The NOEL for
    non-neoplastic effects was 100 ppm, equal to 8 mg/kg b.w./day
    (Bomhard & Mager, 1987).

    2.2.4  Reproduction Studies

    2.2.4.1  Rats

          A two-generation study was conducted in accordance with OECD
    Guidelines (Guideline 416). Groups of 25 male and 25 female rats
    were given dietary febantel at levels of 0, 20, 100, and 500 ppm,
    equivalent to 0, 2, 10, and 50 mg/kg b.w./day. The F0 generation
    animals were fed the diets for 100 days prior to mating. Rats were
    fed febantel-containing diets throughout the study period, including
    the period of gestation and rearing of the young.

          The F0 animals were mated to produce F1a and F1b
    generations. The F1b rats were mated to produce F2a and F2b
    generations. All the F0 and F1b females were necropsied 1-3
    weeks after weaning. All the F1b young not required for mating and
    all the F2b young were also necropsied when approximately 4 weeks
    old.

          Treatment of the F0 animals had no effects on appearance,
    behaviour or coat quality at any of the dietary levels used. Females
    in all treatment groups gained weight at the same rate as controls,
    as did males given up to 100 ppm. However, high-level F0 males
    were lighter at all times than corresponding controls. There were no
    effects on food intake. In the F1a and F1b generations there
    were no effects on food intake. In the F1a and F1b generations
    there were no effects on insemination index, fertility index,
    gestation index, gestation period or on the numbers of successfully
    mated females. The male:female ratio was unaffected, and the total
    number of young at each dietary level was similar. Litter size was
    slightly reduced in both F1 generations at the highest dietary
    level. The viability of young at the highest level was also reduced
    in both F1 generations. When pup weights were measured at birth
    and four weeks after birth, these were lower in young from the
    highest dose level and also in the 100 ppm group 4 weeks after
    birth. There was no excess incidence of malformations in any of the
    treated groups when compared with controls.

          In the F1b generation, the only effects noted were reductions
    in body weights in males given the highest level of febantel in the
    diet, and reductions in body weights in females given 100 and 500
    ppm. There were no effects on feed consumption. The insemination
    index, fertility index, gestation index, gestation period and the
    numbers of successfully mated females were unaffected by compound
    treatment. The numbers of young at birth were slightly but
    significantly reduced in the F2a and F2b generations after 100
    and 500 ppm but the male:female ratios were unaffected at any of the
    dietary levels. The number of young surviving lactation was slightly
    reduced at 500 ppm in the F2b generation.

          Mean body weights were significantly reduced in both F2
    generations at the highest dietary level. The incidence of
    malformations was not increased at any treatment level.

          Necropsy of F0 animals revealed pale livers at 100 and 500
    ppm. All F1b and F2b animals sacrificed at 4 weeks of age were
    necropsied. Discoloured livers were noted at 100 and 500 ppm. At
    histopathological examination, hepatocellular hypertrophy was noted
    in the livers of F0 rats given 100 and 500 ppm febantel. Fatty
    degeneration of the liver occurred in F1b rats at 500 ppm.
    Glycogen deposition was seen in the livers of F2b animals given
    100 and 500 ppm. There were no effects on organ weights of F1b
    animals (liver, kidney, testes and ovaries) given up to 100 ppm
    febantel but animals given 500 ppm had decreased absolute kidney
    weights and increased relative liver weights.

          This study therefore revealed no teratogenic effects at levels
    of up to 500 ppm dietary febantel. However, parental animals given
    the highest dose displayed lowered body weights. Litter size and
    viability of young were reduced at the highest level in the F1
    generation. Similar effects were noted in the F2 generation at the
    high dietary level. Mean body weights were significantly reduced at
    the highest level. The no-effect level for reproductive performance
    was 100 ppm, but taking into account hepatic hypertrophy and fat and
    glycogen deposition, the no-effect level in this study was 20 ppm,
    equivalent to 2 mg/kg b.w./day (Eiben, 1985).

    2.2.5.  Special studies on genotoxocity

          Febantel was not mutagenic in the Ames test; it did not induce
    DNA repair in a bacterial test and was negative in an  in vivo
    cytogenetics assay. It did not increase the incidence of
    micronucleated polychromatic erythrocytes in the mouse (Table 2).
    However, it did give positive results in the mouse dominant lethal
    test.

          Two metabolites of febantel, fenbendazole (see also
    corresponding monograph) and
    2-amino-5-phenylsulfinyl-2-benzimidazole (the 2-amino derivative of
    fenbendazole) were also tested for genotoxic potential. The results
    are given in Table 3. Oxfendazole has been tested and is shown at
    2.2.5 in the oxfendazole monograph in this volume. Both compounds
    were negative in the Ames test and in tests for DNA repair in
    primary rat hepatocytes. However, fenbendazole produced a positive
    response in the presence, but not in the absence, of rat liver S9.

          Benzimidazoles are a group of compounds which bind to tubulin
    and may possibly disrupt mitosis. Benzimidazole itself is positive
    in the Ames test (Davidse, 1977; Seiler, 1978). However, febantel as
    a pro-benzimidazole is unlikely to be typical of the group except
    under circumstances where conversion to fenbendazole, oxfendazole
    and their metabolites is possible (see corresponding monographs).

        Table 2. Results of genotoxicity assays on febantel
                                                                                               

    Test system         Test object         Concentration      Results        Reference
                                                                                               

    In vitro

    Ames test1          S.typhimurium       0-5000             Negative       Hoorn et al.,
                        TA1535,             µg/plate                          1980
                        TA1537,
                        TA1538, TA98,
                        TA100

    Ames test1          S.typhimurium       0-5000             Negative       Mourot, 1990
                        TA97a, TA98,        µg/plate
                        TA100, TA102

    DNA                 E.coli              0-5000             Negative       Hoorn et al.,
    repair1             pol A+, pol A-      µg/plate                          1980

    In vivo

    Cytogenetics        Chinese             1000 mg/kg         Negative       Machemer,
    assay               hamster             b.w. twice at                     1975a
                        (marrow and         24 h interval2
                        spermatogonia)

    Micro-nucleus       Mouse (NMRI)        500 and 1000       Negative       Machemer,
    test                                    mg/kg b.w.                        1975b
                                            twice at 24 h
                                            intervals3

    Dominant            Mouse (NMRI)        500 and 2000       Positive4      Machemer &
    lethal                                  mg/kg                             Dycka, 1976
                                            b.w./day twice
                                            at 24 h
                                            intervals
                                                                                               

    1.   Both with and without rat liver S-9 fraction.
    2.   Animals killed and marrow harvested 6 and 48 h after second dose.
    3.   Animals killed 6 h after second dose.
    4.   No effects with lower dose but higher dose significantly reduced
         fertility at 2, 4, 5 and 6 weeks of mating.

    Table 3. Results of genotoxicity studies on fenbendazole and
             2-amino-5-phenylsulfinyl-2-benzimidazole
                                                                                               

    Test              Test Object        Concentration        Results          Reference
    System
                                                                                               

    Fenbendazole

    Ames test1        S.typhimurium      10000 µg/plate       Negative         Rabenold &
                      TA1535,                                                  Brusick,
                      TA1537                                                   1982a

    Forward           Mouse              up to 62.5           Weakly           Cifone &
    mutation1         lymphoma           µg/ml                Positive2        Myrh, 1983a
    assay

    DNA repair1       Primary rat        0.5-100 µg/ml        Negative         Rabenold &
                      hepatocytes                                              Bruskick,
                                                                               1982b

    2-Amino-5-phenylsulfinyl-2-benzimidazole

    Ames test1        S.typhimurium      1-10000              Negative         Rabenold &
                      TA1535,            µg/plate                              Brusick,
                      TA1537,                                                  1982b
                      TA1538,
                      TA98, TA100

    Forward           Mouse              up to 300            Positive2        Cifone &
    mutation1         lymphoma           µg/ml                                 Myhr, 1983b
    assay

    DNA repair1       Primary rat        0.5-100 µg/ml        Negative         Myhr &
                      hepatocytes                                              Brusick,
                                                                               1982b
                                                                                               

    1. Both with and without rat liver S-9.
    2. Positive in the presence, but not absence of metabolic activation.
    
    2.2.6  Special studies on teratogenicity

    2.2.6.1  Rats

          Groups of 20-24 pregnant FB30 (Long Evans) rats were given
    febantel as an oral suspension in 0.5% aqueous tylose solution, by
    stomach tube at 0, 10, 30, and 100 mg/kg b.w./day on days 6-15 of
    gestation. Animals were killed on day 20 of gestation and the
    uterine contents examined.

          No signs of overt toxicity occurred at any dose level, but
    animals given the highest dose gained less weight than those in
    other groups including the control group. The number of fertilized
    animals was similar in each group, but the number of pregnant
    animals in the high dose group at termination was much lower (33%)
    than in the other groups (all 100%), indicating severe
    embryotoxicity. The numbers of implantations, fetuses and
    resorptions was similar for animals given up to 30 mg/kg b.w./day
    and controls. However, in those given 100 mg/kg b.w./day, the number
    of implantation sites was similar to control values, but the number
    of resorptions was markedly increased. Fetal and placental weights
    were also significantly decreased at the high dose level.

          No teratogenic effects were noted at doses of up to 30 mg/kg
    b.w./day. At 100 mg/kg b.w./day, retardation of bone development and
    teratogenic effects including anophthalmia, dysplastic
    microphthalmia and multiple deformities of the ribs and spine were
    noted in 4/25 fetuses examined. Gross examination of one maternal
    animal that died during treatment at termination revealed severe
    damage to the gastrointestinal tract at 100 mg/kg b.w./day
    (Machemer, 1975c).

          A study in the rat (unspecified strain) showed febantel to be
    teratogenic when given at 46, 67, and 89 mg/kg b.w./day on days 8-15
    of gestation. Its sulfoxide was also teratogenic in the rat at 46
    and 93 mg/kg b.w./day. The no-effect level for febantel was 22 mg/kg
    b.w./day (Delatour et al., 1982a).

          Studies with febantel and its metabolites fenbendazole and
    oxfendazole suggested that the active metabolite responsible for
    embryotoxic effects of febantel was oxfendazole; when febantel was
    given to rats simultaneously with SKF 525A, an inhibitor of
    microsomal oxidation, the embryotoxicity was abolished (Delatour
    et al., 1982a; Delatour et al., 1982b; Delatour, 1983; see also
    accompanying monographs on fenbendazole and oxfendazole).

          These studies show that febantel is embryotoxic and teratogenic
    in the rat; the lowest no-effect level noted was 22 mg/kg b.w./day.

    2.3  Observations in humans

          No data were available.

    3.  COMMENTS

          The toxicological data considered by the Committee included the
    results of studies on metabolism, of acute and short-term studies
    and of studies of carcinogenicity, genotoxicity, reproduction, and
    development.

          The main route of metabolism in rats, sheep, and cattle appears
    to be cyclization to yield fenbendazole. Oxidation at the sulfur
    atom can also occur to yield the sulfoxide which then undergoes
    cyclization to give oxfendazole. Both fenbendazole and oxfendazole
    can then undergo further metabolism.

          In a study in rats in which febantel was given by gavage at
    doses of up to 125 mg/kg b.w./day for 7 days, the only drug-related
    effect was fatty infiltration of the liver. The NOEL was 50 mg/kg
    b.w./day. Dogs were given febantel daily in gelatin capsules for 13
    weeks at doses of up to 180 mg/kg b.w./day. Dogs given 60 and
    180 mg/kg b.w./day showed testicular hypoplasia; and reductions in
    haematocrit, haemoglobin, and erythrocyte counts. Leukopenia was
    noted in all treated groups although the effect was not
    dose-related. Agranulocytosis was noted in the high dose dogs, and
    one high dose animal out of six also had splenic atrophy. In an
    extension of the study using doses of up to 10 mg/kg b.w./day, no
    haematological, splenic, or testicular effects were seen. The NOEL
    was 10 mg/kg b.w./day. In a 52-week study in dogs given febantel at
    levels of up to 1 g/kg in the diet (equivalent to 25 mg/kg
    b.w./day), reductions in haemotocrit, haemoglobin, and erythrocyte
    counts occurred at the highest dietary level. Testicular and
    lymphofollicular (including splenic) atrophy also occurred at this
    dietary level. The NOEL was 200 mg/kg in the diet, equivalent to
    5 mg/kg b.w./day.

          A carcinogenicity study was conducted in mice, which received
    febantel in the diet at levels of up to 170 mg/kg b.w./day for males
    and 250 mg/kg b.w./day for females for up to 21 months. There were
    no changes in tumour incidence as compared with control values.

          In a combined long-term toxicity and carcinogenicity study,
    rats were given febantel in the diet at levels of up to 40 mg/kg
    b.w./day during an 11-week period prior to mating, during a 20 day
    mating period, and during lactation. A total of 60 male and 60
    female pups from each dose group was then given the same dietary
    level as the parents for up to 30 months. Females given the highest
    dietary level showed reductions in mean corpuscular haemoglobin and
    increases in absolute and relative liver weights. These animals had

    fatty vacuolation of the liver at histopathological examination both
    at week 65 after weaning and at the end of the study. There was no
    increase in tumour incidence, but the Committee recognized that the
    doses used may not have been sufficiently high for the carcinogenic
    potential of this compound to have been adequately explored. The
    NOEL for non-neoplastic effects was 8 mg/kg b.w./day.

          In a two-generation study in which rats were given febantel in
    the diet at up to 50 mg/kg b.w./day, litter size and viability of
    the young were reduced at the highest dietary level in both
    generations. The NOEL for reproductive performance was 10 mg/kg
    b.w./day; however, if hepatic hypertrophy and glycogen deposition
    were taken into account, the overall NOEL was 2 mg/kg b.w./day.

          In a teratogenicity study in rats, severe maternal toxicity and
    embryotoxicity occurred at the highest dose level. The NOEL was
    22 mg/kg b.w./day. Teratogenicity was not seen in the absence of
    maternal toxicity and embryotoxicity.

          The genotoxic potential of febantel was investigated in a
    number of test systems. Negative results were reported in two Ames
    tests, in a test for DNA repair in bacteria, in an  in vivo
    cytogenetic test in the hamster, and in the mouse micronucleus test.
    However, a positive result was found in the dominant lethal test in
    the mouse. Two metabolites of febantel, fenbendazole and
    2-amino-5-phenylsulfinyl-2-benzimidazole (the amino-derivative of
    oxfendazole), also gave negative results in the Ames test and in a
    test for DNA repair in primary rat hepatocytes, but both gave
    positive results in the mouse lymphoma  tk-locus genotoxicity assay
    in the presence of metabolic activation, though not in its absence.

          No studies of febantel in humans were available to the
    Committee.

    4.  EVALUATION

          The Committee noted that no carcinogenic effects were seen in
    rats and mice; the significance of the positive results found with
    the compound and its metabolites in a small number of tests for
    genotoxic potential was therefore unknown. The major effects were
    those noted in the 13- and 52-week studies in dogs, in the
    teratogenicity studies in rats, where severe maternal toxicity and
    embryotoxicity were noted, and in the two-generation study in rats,
    which was the most sensitive study and gave a NOEL 2 mg/kg b.w./day.

          The Committee established a temporary ADI of 0-10 µg/kg b.w.
    for febantel using a safety factor of 200. The ADI was made
    temporary because of the inadequate dosing in the rat
    carcinogenicity study.

          Even though a temporary ADI was established, it was not used
    for recommending MRLs. Before the toxicological issues relating to
    this compound can be resolved, additional information on its
    genotoxic and carcinogenic potential will have to be provided
    (see Summary section on the benzimadozoles).

    5.  REFERENCES

    BAYER (1987) Residue studies synopsis. Febantel 45.5% oral paste.
    Unpublished report from Bayer AG. Submitted to WHO by Bayer AG,
    Leverkusen, Germany.

    BOMHARD, E. & LUCKHAUS, G. (1976) BAY 5757. Toxicological studies in
    rats. Studies with oesophageal probe application over 3 months.
    Unpublished report No. 5823 from Bayer AG. Submitted to WHO by Bayer
    AG, Leverkusen, Germany.

    BOMHARD, E. & KALINER, G. (1985) BAY Vh 5757. Chronic toxicity and
    carcinogenicity studies in mice. 21-Month feeding study. Unpublished
    report No. 13961 from Bayer AG. Submitted to WHO by Bayer AG,
    Leverkusen, Germany.

    BOMHARD, E. & NAGER, H. (19875) BAY Vh 5757. Combined chronic
    toxicity and carcinogenicity study on Wistar rats. Unpublished
    report No. 15844 from Bayer AG. Submitted to WHO by Bayer AG,
    Leverkusen, Germany.

    CIFONE, M.A. & MYRH, B.C. (1983a) Mutagenicity evaluation of BAY L
    5156 in the mouse lymphoma forward mutation assay. Unpublished
    Project No. 20989 from Litton Bionetics Inc., Kensington, MD, USA.
    Submitted to WHO by Bayer AG, Leverkusen, Germany.

    CIFONE, M.A. & MYRH, B.C. (1983b) Mutagenicity assay of BAY K 7648
    in the mouse lymphoma forward mutation assay. Unpublished Project
    No. 20989 from Litton Bionetics Inc., Kensington, MD, USA. Submitted
    to WHO by Bayer AG, Leverkusen, Germany.

    DAVIDSE, L.C. (1977) Mode of action, selectivity and mutagenicity of
    benzimidazole compounds.  Neth. J. Plant Pathol., 83 (Suppl.1):
    135-144.

    DELATOUR, P. (1982) Some aspects of the teratogenicity of veterinary
    drugs.  Vet. Res. Commun., 7: 125-131.

    DELATOUR, P., DANDON, M., GARNIER, F. & BENOIT, E. (1982a)
    Metabolism-embryotoxicity relationship of febantel in the rat and
    sheep.  Ann. Rech. Vet., 13: 163-170.

    DELATOUR, P., YOSHIMURA, H., GARNIER, F. & BENOIT, E. (1982b)
    Embryotoxicity compared with metabolites of oxfendazole.  Rec. Med.
     Vet., 158: 369-373.

    DELATOUR, P., GARNIER, F. & BENOIT, E. (1983a) Kinetics of four
    metabolites of febantel in cow's milk.  Vet. Res. Commun., 6:
    37-42.

    DELATOUR, P., TIBERGHIEN, M.P. & BESSE, S. (1983b) An HPLC procedure
    for the quantification of five metabolites of febantel in sheep
    serum.  J. Vet. Pharmacol. Therap. 6: 233-235.

    DELATOUR, P. & PARISH, R. (1986) Benzimidazole anthelmintics and
    related compounds: Toxicity and evaluation of residues. In: Rico AG
    (Ed). Drug Residues in Animals, London Academic Press, 175-204.

    EIBEN, R. (1985) BAY Vh 5757. 2-Generation study in rats.
    Unpublished report No. 13967 from Bayer AG. Submitted to WHO by
    Bayer AG, Leverkusen, Germany.

    HOFFMAN, K. & NASH, G. (1983) BAY Vh 5757. Chronic oral toxicity in
    dogs (12-month feeding test). Unpublished report No. 11593 from
    Bayer AG. Submitted to WHO by Bayer AG, Leverkusen, Germany.

    HOORN, A.J.W., JAGANNATH, D.R. & BRUSICK. D.J. (1980) BAY Vh 5757.
    Febantel. Mutagenicity evaluation HE100, PI.571201, 100% in the Ames
     Salmonella/microsome plate test and DNA repair test. Unpublished
    Project No. 20998 from Litton Bionetics Inc., Kensington, MD, USA.
    Submitted to WHO by Bayer AG, Leverkusen, Germany.

    MACHEMER, L. (1975a) BAY Vh 5757. Orientational cytological studies
    in bone marrow and spermatogonia of Chinese hamsters to test for
    mutagenic effects. Unpublished report No. 5460 from Bayer AG.
    Submitted to WHO by Bayer AG, Leverkusen, Germany.

    MACHEMER, L. (1975b) BAY Vh 5757. Micronucleus test in mice for
    evaluation of mutagenic effects. Unpublished report No. 5729 from
    Bayer AG. Submitted to WHO by Bayer AG, Leverkusen, Germany.

    MACHEMER, L. (1975c) BAY Vh 5757. Studies for embryotoxic and
    teratogenic effects in rats after oral application. Unpublished
    report No. 5644 from Bayer AG. Submitted to WHO by Bayer AG,
    Leverkusen, Germany.

    MACHEMER, L. & LUCKHAUS, G. (1976) BAY Vh 5757. Sub-chronic toxicity
    test on dogs with oral application (13 week experiment). Unpublished
    report No. 6422 from Bayer AG. Submitted to WHO by Bayer AG,
    Leverkusen, Germany.

    MACHEMER, L. & DYCKA, J. (1976) BAY Vh 5757. Dominant lethal test on
    male mice to test for mutagenic effects. Unpublished report No. 6031
    from Bayer AG. Submitted to WHO by Bayer AG, Leverkusen, Germany.

    MONTESISSA, C., TRACCIARI, J.M., FADINI, L. & BERETTA, C. (1989)
    Comparative microsomal oxidation of febantel and its metabolite
    fenbendazole in various animal species.  Xenobiotica, 19: 97-100.

    MOUROT, D. (1990) Febantel. Ames Test. Unpublished report from
    Centre National d'Etudes Vétérinaires et Alimentaires. Submitted to
    WHO by Centre National d'Etudes Vétérinaires et Alimentaires,
    Fougčres, France.

    MUERMANN, P. (1975) BAY Vh 5757. Acute toxicity in mice, rats,
    rabbits and dogs. Unpublished report No. 5378 from Bayer AG.
    Submitted to WHO by Bayer AG, Leverkusen, Germany.

    MYHR, B.C. & BRUSICK, D.J. (1982a) Evaluation of BAY h 5156 in the
    primary rat hepatocyte unscheduled DNA synthesis assay. Unpublished
    project No. 20991 from Litton Bionetics Inc., Kensington, MD, USA.
    Submitted to WHO by Bayer AG, Leverkusen, Germany.

    MYHR, B.C. & BRUSICK, D.J. (1982a) Evaluation of BAY k 7648 in the
    primary rat hepatocyte unscheduled DNA synthesis assay. Unpublished
    project No. 20991 from Litton Bionetics Inc., Kensington, MD, USA.
    Submitted to WHO by Bayer AG, Leverkusen, Germany.

    NELSON, D.L. & BURKE, M.A. (1977) Acute dermal toxicity of BAY Vh
    5757 - Drug substance. Unpublished report from Chemagro Agricultural
    Division, Mobay Chemical Corporation. Submitted to WHO by Bayer AG,
    Leverkusen, Germany.

    NELSON, D.L., ANDERSON, R.H. & HOSS, H.E. (1977) The acute
    inhalation toxicity of BAY Vh 5757 technical to rats. Unpublished
    report from Chemagro Agricultural Division, Mobay Chemical
    Corporation. Submitted to WHO by Bayer AG, Leverkusen, Germany.

    RABENOLD, C. & BRUSICK, D.J. (1982a) Mutagenicity evaluation of BAY
    L 5156 Batch 810030 in the Ames  Salmonella/microsome plate test.
    Unpublished project No. 20988 from Litton Bionetics Inc. Submitted
    to WHO by Bayer AG, Leverkusen, Germany.

    RABENOLD, C. & BRUSICK, D.J. (1982b) Mutagenicity of BAY k 76485156
    Batch 810032 in the Ames  Salmonella/microsome plate test.
    Unpublished project No. 20988 from Litton Bionectics Inc. Submitted
    to WHO by Bayer AG, Leverkusen, Germany.

    SEILER, J.P. (1978) The mutagenic mode of action of benzimidazole.
     Experientia, 34: 851-853.

    SHARMA, S. & ABUZAR, S. (1983) The benzimidazole anthelmintics -
    chemistry and biological activity.  Prog. Drug. Res., 27: 85-161.

    WOLLWEBER, H., KOLLING, H., WIDDIG, A., THOMAS, H., SCHULZ, H-P. &
    MURMANN, P. (1978). Febantel, a new broad spectrum anthelmintic.
     Arzneim Forsch., 28: 2193-2195.


    See Also:
       Toxicological Abbreviations
       FEBANTEL (JECFA Evaluation)