IPCS INCHEM Home

    IVERMECTIN

    1.  EXPLANATION

         Ivermectin is a broad spectrum antiparasitic drug which is
    registered in over 60 countries.  It is currently registered for use
    in cattle, sheep, horses, goats, swine, camels, reindeer, bison, and
    dogs (Di Netta, 1989).  Ivermectin is active against two major phyla
    of animal parasites, the Nemathelminthes and the Arthropoda (Campbell
    et al., 1983).  Ivermectin has not been evaluated previously by
    the Joint FAO/WHO Expert Committee on Food Additives.

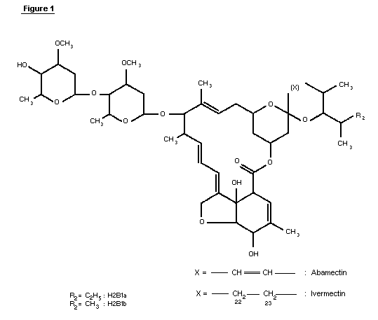
    1.1  Chemical identity of ivermectin

         Ivermectin (CAS-7-288-86-7) is a mixture of two compounds
    belonging to a class of substances known as avermectins ( See Figure
    1).  The chemical names are 5-0-demethyl-22,23-dihydroavermectin A1a
    and 5-0-demethyl-22,23-dihydroavermectin A1b.  These are also known
    as 22,23-dihydroavermectin B1a and 22,23-dihydroavermectin B1b. 
    Ivermectin contains at least 80% of 22,23-dihydroavermectin B1a and
    less than 20% of 22,23-dihydroavermectin B1b.

         The avermectins are derivatives of pentacyclic sixteen-membered
    lactones.  Within the family of the avermectins, there exist two
    series, A and B, within which are two structural subsets, designated
    1 and 2, consisting of two homologs a and b.  Members of the A-series
    are methoxylated at the carbon atom in position five, whereas the
    B-series compounds have an underivatized hydroxyl-group at this
    position.  Compounds of the 1-subset possess an olefinic bond between
    the two carbon atoms C22 and C23; this double bond is hydrated in the
    2-subset, resulting in a hydroxyl group at position 23.  This
    difference has a profound effect on the conformation of the ring
    bearing these functionalities and causes subtle changes in bioactivity
    (Chabala et al., 1980).

         The a- and b-homologs differ by their substituents at position
    25, with a-homologs having an isopropyl group, derived from L-valine,
    and b-homologs possessing a sec-butyl group derived from L-iso-leucine
    during biosynthesis.  Avermectins are glycosides with a disaccharide
    attached to the hydroxyl group at C13.  The two identical sugars have
    been identified as L-oleandrose, a dideoxy-methyl-aldohexose.

    FIGURE 1

    2.  BIOLOGICAL DATA

    2.1  Biochemical aspects

    2.1.1  Absorption, distribution, and excretion

    2.1.1.1  Rats

         Radio-labeled ivermectin (mixture of 92.2% 3H-H2B1a and 7.8%
    3H-H2B1b was administered to Sprague-Dawley rats, approximately 8
    weeks old, once orally as a solution in sesame oil by gavage at 0.3
    mg/kg b.w. (based on an average body weight of 294 grams for the males
    and 218 grams for the females), or topically, after shaving, as a
    solution in topical vehicle at 0.5 mg/kg b.w. (males only, average
    body weight 279 grams).  The animals were subdivided into groups of
    three.  Three treatment groups (sacrifice at days 1, 3, and 5
    post-dose) and one control group (sacrifice at day 5 post-dose) of
    each sex were used in the oral study.  In the topical study, three
    treatment groups (sacrifice on days 1, 3, and 6 post-dose) and one
    control group (sacrifice on day 6 post-dose) of males were used. 
    Urine and faeces were collected daily.  At sacrifice, blood was
    collected by heart puncture; liver, kidney, muscle (from the hind
    legs), and fat (males: testicular fat pad; females: peripheral fat)
    were also harvested.  Samples from the gastrointestinal tract were
    also taken at the time of sacrifice from the animals dosed orally. 
    For each tissue, the individual samples from animals of the same group
    were composited.  Radioactivity was measured and calculated as drug
    equivalents.

         Residue levels in all samples were generally much higher
    following oral application compared with the topical application.  The
    times of peak concentrations were delayed following topical
    application.  The main route of excretion was via the faeces. 
    Concentrations in faeces, however, were higher in females compared
    with males; concentrations in urine were lower in females than in
    males.  This was consistently observed at all sampling times. In the
    oral study 57.4% (males) and 58.4% (females) of the administered drug
    had been eliminated one day after administration.  These figures
    increased to 83% (males) and 91.7% (females) five days after
    administration. In the oral study, the highest residue levels in body
    tissues were observed in fat, followed by liver, kidney, and muscle. 
    The approximate ratios for the residue levels in these tissues were
    100:55:40:15 and were similar for both sexes.  For the topical study
    the situation was less clear due to the smaller data base and the
    delay in the appearance of the residues in the tissues.  At day 3,
    when maximum residue levels were observed, concentrations in the above
    tissues ranged in the same order, i.e., fat, liver, kidney, and muscle
    (Merck & Co., Inc., 1987).

         A residue study with labeled H2B1a (3H-labeled in the
    22,23-position) was conducted in CRCD-rats.

    Group 1:  Six female rats aged approximately 8 weeks, and weighing
    189-240 grams at initiation were administered labeled ivermectin for
    61 days, then throughout mating, gestation, and until day 9
    post-partum.  One animal failed to mate; another animal was determined
    not to be pregnant.

    Group 2:  Six female rats, aged approximately 12 weeks and weighing
    248-298 grams, received radiolabeled ivermectin at the same dose and
    specific activity from days 1 to 9 post-partum.  

         The dose, administered as an oral solution in sesame oil and by
    metal catheter to both groups, was 2.5 mg/kg b.w./day (specific
    activity 0.2 mCi/mg).  Litter sizes were standardized to 5 males and
    5 females on day 1 post-partum in both groups.  At the time of
    sacrifice, kidney, liver, brain, and carcass were collected.  Milk
    samples were obtained from 2 dams in each group on days 4, 6, and 10
    post-partum.  Blood, liver, brain, and carcass samples were obtained
    from selected offspring (2 from each litter) of both groups on days 1,
    4, 6, and 10 post-partum.  Radioactivity was measured by
    liquid-scintillation counting following oxidation of the tissues.

    Dams:  The concentration of ivermectin equivalents in plasma
    increased to reach a plateau at approximately day 10 of treatment in
    group 1.  On day 1 post-partum, a three to four times higher
    concentration was observed, possibly due to an increased mobilization
    of body fat (ivermectin is highly lipophilic).  Plasma levels then
    decreased gradually and reached values comparable to those seen during
    the pre-mating dosing period by day 10 post-partum.  In group 2,
    plasma levels increased gradually throughout the lactation period.  On
    day 10 post-partum, the individual values in both groups were
    comparable.  Concentrations in milk were at least three to four times
    higher than corresponding concentrations in plasma.  Tissue residues
    in brain were very low relative to residues in kidney, liver and
    carcass. 

    Offspring:  From the concentrations in milk and based on daily milk
    consumption by neonatal rats, a daily intake of 0.5 to 0.6 mg/kg body
    weight on days 4-5 post-partum has been estimated.  This corresponds
    to approximately one half of the acute oral LD50.  Under these
    conditions concentrations in plasma increased dramatically between
    days 1 and 6 post-partum, and were finally three times higher than the
    concentrations found in maternal plasma.  Similarly, residue
    concentrations in livers were two times higher than those seen in the
    corresponding dams.  In contrast to the dams, the residue
    concentrations in brain from offspring were comparable to plasma
    concentrations on days 1 and 4 post-partum in group 1.  On days 6 and
    10, however brain levels were approximately three times lower than

    plasma levels.  The results of this study suggest that the transfer of
    drug via the milk is probably responsible for the increase in neonatal
    mortality associated with repeated administration in multigeneration
    studies with rats when the blood-brain barrier to the drug is still
    incomplete (Merck & Co., Inc., 1980a).

    2.1.1.2  Dogs

         To determine whether plasma and/or brain tissue levels of
    ivermectin are proportional to dose, groups of 4 female beagle dogs,
    approximately 34-39 weeks old at initiation of the study, weighing 7.6
    to 9.6 kg, received ivermectin orally (solution in sesame oil, gavage)
    at dose levels of 0.5 mg/kg body weight or 2.0 mg/kg b.w., once per
    day over a period of 35 days (except one animal in the high dose group
    which received 24 doses prior to sacrifice on day 24).  Surviving
    animals were not dosed on the day of sacrifice.  On days 2, 8, 15, 22,
    and 29 (6 hours post-dose), and on day 36, blood was withdrawn. 
    Following withdrawal of the last blood sample, cerebrospinal fluid was
    collected.  Samples were assayed for H2B1a.  Beginning in week 2,
    mydriasis was observed in two animals of the high dose group.  This
    effect was also noted in the remaining two animals of this group
    during week 3 and continuing until termination.  On day 21, one animal
    of the high dose group exhibited ataxia, and fine whole-body tremors. 
    This animal's condition deteriorated rapidly and by approximately 4
    hours post-dose on day 22 the animal was recumbent with salivation and
    marked tremors.  On arousal it exhibited marked ataxia.  It had to be
    sacrificed on day 24.  With the exception of mydriasis, the remaining
    three animals of the high dose group exhibited no other
    treatment-related effect.  No treatment-related physical signs were
    observed in the low dose animals.  Slight increases in body weight
    were found in all animals receiving 0.1 mg/kg b.w./day.  Slight to
    marked weight losses occurred among the high dose animals with the
    largest loss (2.1 kg) found in the dog which was sacrificed on drug
    day 24.  Plasma concentration of H2B1a increased dramatically in both
    groups between days 2 and 8 of treatment.  Thereafter, gradual
    increases occurred, reaching approximate steady-state levels at day 22
    in both groups.  The animal which had to be sacrificed on day 24
    achieved the highest plasma concentrations.  Unexplained decreases in
    plasma concentrations occurred in weeks 4 and 5 in the high dose group
    and in week 4 in the low dose group.  The mean of the ratios of the
    plasma concentrations in the 2.0 mg/kg b.w./day group compared to the
    0.5 mg/kg b.w./day group was 8.4.   Plasma concentrations were thus
    not linear to dose, since a 4-fold increase in dose led to a 8-fold
    increase in plasma concentrations.  Concentrations in cerebrospinal
    fluid remained below the limit of detection (1 ng/ml), except in the
    animal which was sacrificed on day 24 in which severe signs of CNS
    depression were evident.  In this animal 3 ng/ml was determined in the
    cerebrospinal fluid (Merck & Co., Inc., 1982c).

    2.1.1.3  Monkeys

         Concentrations of 22,23-dihydroavermectin-B1a and avermectin-B1a
    were measured in plasma at three dose levels (2.0, 8.0, and 24.0 mg/kg
    body weight) in a combined oral toxicity and plasma level study of
    ivermectin and abamectin with immature rhesus monkeys.  The time
    post-administration when blood levels reached a maximum could not be
    precisely determined from the data.  However, the concentrations
    observed following treatment with ivermectin were higher than those
    measured following the administration of abamectin.  For both
    substances, the concentrations in plasma were proportional to the
    administered dose but this proportionality was apparently not linear
    (Merck & Co., Inc., 1985).

    2.1.1.4  Humans

         The pharmacokinetics in plasma of ivermectin were studied in
    randomized three-period crossover studies with 12 healthy adult male
    volunteers in each study.  Peak plasma concentrations were reached
    approximately 4 hours after administration.  Bioavailability (area
    under the curve) was highest following administration of ivermectin as
    a solution.  No significant differences between the bioavailabilities
    of the capsule and the tablet formulations were observed (Merck & Co..
    Inc., 1988b).

    2.1.2  Biotransformation

         Because of the extremely low levels of residues in tissues and
    the many difficulties associated with purification, the following
    approach was taken:

         *    steer and rat liver microsomes were incubated in vitro
              with ivermectin components.  Metabolites were isolated,
              purified and identified;

         *    major steer-liver metabolites were isolated from large
              quantities of this tissue and were compared to the products
              of in vitro incubations;

         *    fractions obtained from smaller amounts of liver were
              chromatographically separated and cochromatographed with
              in vitro products, where possible;

         *    chromatographic profiles of rat hydrolyzed isolates were
              compared in the same way to those obtained from liver.

         Based on this approach it was possible to identify the major
    metabolites obtained from the various steer liver, rat liver and steer
    fat isolates.  (Merck & Co. Inc., 1980b).

    2.1.2.1  In vitro studies of metabolism

         Rat liver microsomes were incubated in vitro with either
    avermectin-B1a, 22,23-dihydroavermectin-B1a, or
    22,23-dihydroaver-mectin-B1b.  The samples were extracted and
    metabolites were purified by solvent extraction and chromatographic
    procedures.  The structures of the isolated metabolites were
    determined by mass spectrometry and nuclear magnetic resonance
    spectrometry.

         With each substrate >70% of the radioactivity was associated
    with the respective parent compounds.  Two major polar metabolites
    (total amount 2-11%) were formed.  One metabolite has been identified
    as the C24-methyl alcohol of the parent compound which had been used
    as the substrate for incubation.  A smaller quantity was identified as
    the monosaccharide of the C24-alcohol.  These two metabolites
    represented the major fraction of metabolites which were more polar
    than the respective parent compounds (>50% with the substrate H2B1a
    and 80% with the substrate H2B1b).  The metabolites retained
    antiparasitic activities which quantitatively depend on test species
    and conditions of testing (e.g., in vitro / in vivo) (Merck & Co.,
    Inc., 1980b).

    2.1.2.2  Rats

         An experiment was designed to provide composite samples of
    tissues and excreta from 24 male CRCD rats (weighing 295 to 329
    grams), dosed orally by gavage at 0.3 mg/kg body weight with tritiated
    ivermectin.  The animals were sacrificed at days 1 and 3 post-dose. 
    The cumulatively measured radioactive drug equivalents in the
    gastrointestinal tract, urine, and faeces accounted for 6.4, 0.8, and
    84.9%, respectively, of the administered dose at day 3.  Tables 1 and
    2 summarize the amount of "total residue" and the percentage of
    unchanged drug in tissues, and the proportions of metabolite fractions
    isolated from the liver of rats dosed with tritium-labeled ivermectin
    (Merck & Co., Inc., 1980c).

         A group of nonpolar metabolites has been detected in fat tissue. 
    Upon hydrolysis, these metabolites gave rise to polar products that
    were similar to the ivermectin metabolites present in liver.  From
    residue profiles (reversed-phase HPLC) of extracts purified from the
    fat obtained on day 3 post-dose from rats treated with 3H-ivermectin,
    it was estimated that about 17% of the total residue consisted of the
    nonpolar metabolites and about 49% was the parent drug.  It was
    suggested that polar ivermectin metabolites produced in the liver were
    esterified with fatty acids and stored in the fat as nonpolar entities
    (Chiu et al., 1988).

    2.1.2.3  Humans

         Four healthy male volunteers received 14 mg of 3H-labeled
    ivermectin.  Blood, urine, and faeces were assayed for radioactivity
    by liquid scintillation counting and/or following HPLC separation. 
    Approximately 0.6% of the radioactive dose was excreted in the urine
    (over four days).  An average of 49% was recovered from faeces (over
    five days).  Table 3 summarizes the kinetic parameters of the study.

         Mean plasma concentrations of radiolabeled metabolites were about
    twice that of the parent drug.  Peak plasma concentrations occurred
    seven hours post-treatment for radioactivity and six hours post-dose
    for the parent drug.  Radioactivity was eliminated from the blood more
    slowly than the non-metabolized component.  Discontinuities in plasma
    profiles of the parent drug were observed.  This study suggested the
    possibility of enterohepatic recycling (Merck & Co., Inc., 1988b).

    2.1.2.4  Mechanism of action

         Most studies on the mode of action have been performed with
    avermectin B1.  However it is assumed that all active members and
    derivatives of the avermectin family share a common mechanism of
    action.  Avermectin B1 apparently affects interneuron-motorneuron
    transmission in nematodes and neuromuscular transmission in
    arthropods.  In both cases receptors for gamma - aminobutyric acid
    (GABA) are involved.  The low amount of GABA-ergic synapses in
    helminths and arthropods hindered complete elucidation of the
    mechanism (Fritz et al. 1979; Kass et al., 1980).

    2.2  Toxicological Studies

    2.2.1  Acute toxicity studies

    2.2.1.1  Mice

         Ivermectin was tested in adult male and female mice.  The
    components of ivermectin, H2B1a and H2B1b, were also studied in the
    female mouse.  In an additional study, the acute toxicities of
    tetrahydroavermectin B1, the major contaminant (up to 4%) of
    ivermectin, and of ivermectin itself were compared in the female
    mouse.  Either ten or twenty albino mice (Careworth CF-1 strain)
    weighing 19-24 grams, and approximately 7 weeks of age, received the
    compounds tested as a solution in sesame oil by gastric intubation. 
    All mice were observed at the day of drug administration and
    thereafter for 14 days.  Calculation of LD50 values were based on 14-
    day mortality response.


        Table 1:  Equivalents of total radioactive residues [ng/g] and percent of unaltered drug in rat tissues
                                                                                                  
    Tissue:             fat             liver           kidney          muscle          plasma
                                                                                                  
    Days post dose      1       3       1       3       1       3       1       3       1       3
    Total residue       232     137     47      40      40      46      44      18      12      5
    H2B1a [%]           50      66      66      56      28      34      53      51
    H2B1b [%]           13      12      5.8     9       21      27      9.6     11
                                                                                                  
    

    Table 2:  Classification of the total radioactive residue in rat liver
              at day 1 post-dose

                                                                        
              Metabolite            Isolation           Percent of total
    Group     polarity              fraction            radio-activity
                                                                        

    I         very polar            aqueous buffer      0.06
    II        very polar            Sep-Pak, eluate     0.4
                                    with methanol
    II-A      polar (at least       HPLC                0.3
              two compounds)
    III-B     polar (not            HPLC                3
              identified)
    IV        polar (identfied      HPLC                8
              metabolites)
    V         polar (at least                           10
              four compounds)
    VI        unaltered drug        HPLC                71
    VII       non-polar             HPLC                7.3
    VIII      non-polar             isooctane           1.9
                                                                        

    Table 3:  Kinetic parameters in plasma of radioactivity and H2B1a
              following administration of 3H-ivermectin to healthy
              human volunteers.

                                                                        
                           Cmax            tmax            t1/2
                           [ng/ml]         [hours]         [hours]
                                                                        
    radioactivity          54.2            7               70
    equivalents

    H2B1a                  21.7            6               11.8
    component
                                                                        

         H2B1a: Two lots were studied at different times.  Dose levels
    were 2.5, 5, 10, 20, 40, 80 and 160 mg/kg body weight with the first
    lot: with the second lot the same dose levels were tested, except that
    the dose level of 2.5 mg/kg body weight was omitted.  Signs of
    toxicity were seen within 30 to 90 minutes at a dose at or above 5
    mg/kg body weight which consisted of ataxia, tremors, bradypnoea,
    decreased activity and loss of righting.  The majority of deaths
    occurred from 45 minutes to 3 days with four later deaths from the 4th
    to 7th days.  Most of the survivors appeared normal by the fourth day.

         H2B1b:  Two lots were tested at different times at dose levels
    of 5, 10, 20, 40, 80, and 160 mg/kg body weight.  Signs of toxicity,
    which were generally similar to those observed following
    administration of H2B1a, (ataxia, tremor, bradypnoea, and loss of
    righting) were seen within 90 minutes, and were scattered through all
    doses.  Most deaths occurred from 26 minutes to the fourth day with
    one death on the sixth day.

         Ivermectin:  Two different lots (one 80% H2B1a/20% H2B1b, and
    the other 84% H2B1a/16% H2B1a) were tested at dose levels of 5, 10,
    20, 40, 80 and 160 mg/kg body weight.  Ivermectin was found to be
    significantly more toxic orally in the male mouse than in the female
    mouse.  Signs of drug effects, however, were generally similar in both
    sexes.  When these compounds were tested concurrently in the female
    mouse, there was no significant difference in the toxicity (Merck &
    Co., Inc., 1979a).

         Tetrahydroavermectin-B1:  This substance was also tested at dose
    levels of 5, 10, 20, 40, 80 and 160 mg/kg body weight in direct
    comparison with ivermectin.  The results indicated that this compound
    was significantly less toxic than ivermectin in the female mouse. 
    Signs of drug effects were seen at 80 and 160 mg/kg body weight and
    consisted of ptosis, salivation, ataxia, and loss of righting. 
    Eighteen hours after dosing, tremors and ataxia were seen at dose
    levels of 10 mg/kg body weight and above.  The duration of signs was
    approximately 36 hours (Merck & Co., Inc., 1980d).

    2.2.1.2  Rats

         Ivermectin was studied in young adult male and female rats and
    infant rats.  Young adult rats of two different strains were used: 
    Sprague-Dawley Camm rats weighing 150 to 175 grams which were 7 to 9
    weeks of age were treated at dose levels of 2.5, 5, 10, 20, 40, and 80
    mg/kg body weight.  Charles River-CD strain rats approximately 7 weeks
    old and weighing 125 to 175 grams were treated with 25, 35, 49, 68.6,
    and 96 mg/kg body weight ivermectin. Ten rats of each sex were used at
    each dose.  The infant rats (Charles River-CD strain) were 24 to 48
    hours old and weighed on a littermate group average 7.3 to 9.4 grams. 
    Ten infant rats of undiscriminated sex were used at each dose level of
    1, 2, 4, 8, 16 and 32 mg/kg body weight.  Signs of drug effects were
    similar in both strains of adult rats (decreased activity, salivation,
    bradypnoea, and ataxia, depending on the dose).  Deaths occurred from
    overnight to the second day. There was no significant sex-related
    difference in toxicity.

         No signs were observed following the oral administration to
    infant rats.  The majority of deaths occurred in 131 minutes to
    overnight with one death on the fifth and one death on the sixth day
    (Merck & Co., Inc., 1979a).

         The acute oral toxicity of ivermectin was also studied in 13 week
    old Charles River CD rats obtained from a cross-fostering study in
    order to determine if prenatal or postnatal exposure increased the
    toxicity of subsequent exposure.  The rats had been exposed to
    ivermectin or a vehicle control, prenatally, postnatally, or both pre-
    and postnatally, and were grouped (30 males, weighing 224-497 grams
    and 30 females, weighing 151-272 grams, per group) as follows:

         Group 1: F0 treated x F1 treated

         Group 2: F0 treated x F1 control

         Group 3: F0 control x F1 control

         Group 4: F0 control x F1 treated

         The rats (six animals of each sex per dose level) were given a
    single dose by gastric intubation of a 0.8% solution of ivermectin at
    dose levels of 25.0, 32.5, 42.3, 55, or 71.5 mg/kg body weight.  All
    rats were observed on the day of drug administration and daily
    thereafter for 14 days.

         Signs of drug effects were generally similar in all four groups
    of rats tested and in both sexes.  On the second day, decreased
    activity, bradypnoea, and a reddish-brown discharge around the nose
    and mouth were seen at all dose levels.  In the male rats, loss of
    righting was observed at 42.3 mg/kg body weight and higher.  In the
    females this effect was seen at the 55 and 71.5 mg/kg body weight dose
    levels.  In the surviving animals these effects persisted until the
    seventh day.  The majority of deaths occurred from overnight to day 4,
    but a few deaths occurred on days 5, 6, 9, and 10.  The number of
    deaths was too small to allow the calculation of the LD50.  The
    results of the study indicated no significant differences in toxicity
    between controls (group 3) and the other groups (Merck & Co., Inc.,
    1979c).

         The acute percutaneous toxicity of ivermectin was studied in 10
    male and 10 female rats (Charles River CD strain) which weighed 224 to
    408 grams and were 12 to 13 weeks of age.  Five rats of each sex were
    used at each of two dose levels, 330 and 660 mg/kg body weight.  The
    doses were applied to occluded unabraded skin.  The animals were
    observed daily (except on weekends) for 14 days.

         Rats at both dosage levels began to show signs of systemic
    toxicity two days after treatment.  At the 330 mg/kg body weight dose
    level, one male died seven days after treatment.  At the 660 mg/kg
    body weight dose level one male (on day five) and one female (on day
    three) died.  The relevant effects were bradypnoea and tremors (Merck
    & Co., Inc., 1979d).

    2.2.1.3  Rabbits

         Three groups of three male and three female albino rabbits each,
    weighing 2.61 to 3.47 kg and 18 to 20 weeks of age, were used to
    determine the acute percutaneous toxicity of ivermectin.  The hair was
    removed and in each group three animals were abraded.  The test
    compound was applied as a dry powder at doses of 165, 330, and 660
    mg/kg body weight.  Animals were examined during a 14 day post dosing
    period.  The signs of systemic toxicity (bradypnoea, tremor, and
    anorexia) were similar for both abraded and unabraded rabbits.  The
    percutaneous LD50 was estimated as 406 mg/kg body weight (Merck & Co.,
    Inc., 1979d).

         No toxic effects (except mucosal irritations) developed in an
    acute inhalation toxicity study with ivermectin.  Five male and 5
    female Sprague-Dawley rats were exposed for 60 minutes to the maximum
    attainable concentration of 5.11 mg/1 overall nominal air
    concentration.  With 0.37% of the particles showing sizes of 15
    microns or less, the corresponding dose was estimated as < 0.4
    mg/kg body weight (Merck & Co., Inc., 1979e).

         Only slight irritation developed in an acute ocular irritation
    study in 2 male and 2 female New Zealand rabbits when 100 mg
    ivermectin powder was placed in the conjunctival sac of the left eye
    (Merck & Co., Inc., 1979d).

    2.2.1.4  Dogs

         The acute oral toxicity of ivermectin was studied in eight male
    and 8 female beagle dogs, 10 to 14 months of age and weighing between
    8.1 and 15.2 kg.  Three groups, each containing two male and two
    female dogs, received doses of 2.5, 5.0, or 10.0 mg/kg body weight as
    a 1.6% solution in sesame oil by gastric intubation.  A fourth group
    received sesame oil (0.625 mg/kg body weight) in the same way.  The
    animals were observed throughout a 14-day test period.

         Mydriasis and the absence of pupil response were seen in two dogs
    at the lowest dose, and in all dogs at the two higher doses.  Within
    75 minutes of drug administration, one dog at the high dose vomited. 
    This same dog exhibited emesis and salivation two additional times
    within four hours.  At both the high and the intermediate doses one
    additional dog had emesis following drug administration.  Tremors
    which were seen in five animals (2 dogs at 5 mg/kg body weight and 3
    dogs at 10 mg/kg body weight) were first observed about six hours
    following drug administration and were still present on the third day
    in some animals.

         One dog in the high dose group became ataxic and heavily sedated.
    This dog recovered from the sedation within 48 hours and from ataxia,
    tremors, and salivation within 72 hours (Merck & Co., Inc., 1979f).

         In a further oral toxicity study with dogs, three groups of two
    male and 2 female beagle dogs, 6-9 months of age and weighing 6.3 to
    10.1 kg, were given ivermectin 1.6% solution in sesame oil at doses of
    5, 10, and 20 mg/kg body weight by gastric intubation.  Because no
    deaths occurred, two additional groups of two males and two females
    each were dosed with a 6.4% suspension/solution in sesame oil at doses
    of 40 and 80 mg/kg body weight.  Signs included emesis (all dose
    levels, except 40 mg/kg body weight), mydriasis (all dose levels),
    ataxia and tremors (doses >10 mg/kg body weight), salivation  (in the
    40 and 80 mg/kg body weight dose-groups) and death preceded by a
    comatose like state (in the 40 and 80 mg/kg body weight dose-groups)
    (Merck & Co., Inc., 1981a).

         Sixteen rough-coated collies ranging in age from 7 months to 9
    years were used in an oral toxicity study with ivermectin.  Treatment
    groups (two males, two females, half of the animals of each sex having
    collie eye anomaly) received 0.05, 0.2 or 0.6 mg/kg body weight of
    ivermectin once orally (plastic syringe) as a solution in fractionated
    coconut oil with 2% benzyl alcohol.  At the end of the trial (7 days)
    three previously untreated control dogs also received the lowest dose
    (0.05 mg/kg body weight).  Samples of plasma, cerebrospinal fluid,
    brain, spinal cord, and liver were assayed for H2B1a.  No drug-
    related effects were seen in the 7 animals treated at the lowest dose
    level.  Two dogs given 0.2 mg/kg body weight and two dogs given 0.6
    mg/kg body weight showed signs of toxicity which were mild and
    transitory in one dog of each group.  One animal per group
    progressively developed similar severe clinical signs: Ataxia with
    increasing hypermetria which progressed to paresis and, finally,
    paralysis. In both dogs segmental reflexes remained strong.  Both
    salivated excessively and had predominantly diaphragmatic respiration. 
    The dog from the 0.6 mg/kg body weight group was killed at 28 hours
    post-dose; the dog from the 0.2 mg/kg body weight group died 51 hours
    post-dose.  These two severely affected dogs showed significantly
    increased brain drug levels (Pulliam et al., 1985).

         The acute subcutaneous toxicity of ivermectin injectable micelle
    solution and its vehicle were studied in 11 to 12 week old beagle
    dogs.  Five groups of three males and three females received 4.7, 9.4,
    18.8, 37.5, and 75.0 mg/kg body weight ivermectin.  A sixth group of
    three males and two females received an identical volume (1 ml/kg body
    weight) of vehicle.  Signs were seen in all ivermectin dose groups. 
    There were no sex related significant differences in toxicity.  No
    deaths occurred the 4.7 mg/kg body weight dose.  Three of the six dogs
    dosed at 9.4 mg/kg body weight, and all of the dogs administered doses
    >9.4 mg/kg body weight, died.  Dogs receiving the vehicle appeared
    normal throughout the fifteen-day observation period.  Mydriasis and
    negative pupil response were observed in all ivermectin treated groups
    with time of onset and duration (in the surviving dogs) depending on
    the dose (e.g., onset was three hours after dosing at 75 mg/kg body
    weight and approximately 24 hours after dosing at 47 mg/kg body

    weight).  Other signs included tremors, ataxia, salivation, and
    decreased activity.  At necropsy, treatment-related slight to very
    slight changes were present only in dogs that did not survive to
    termination (thymus-hemorrhage, lung-congestion, lung-edema, lung
    acute suppurative pneumonia, skin edema).  LD50 values were estimated
    as 8.4 mg/kg body weight in males and 10.5 mg/kg body weight in
    females (Merck & Co., Inc., 1981b).

    2.2.1.5  Pigs

         Male and female Yorkshire swine were given subcutaneously 0.3, 3,
    15, or 30 mg/kg body weight of ivermectin.  Signs of toxicity
    (decreased food and water intake, lethargy, ataxia, mydriasis, tremor,
    labored breathing and lateral recumbency) were seen at the highest
    dose level (Merck & Co., Inc., 1982d).

    2.2.1.6  Sheep

         Ten male and ten female lambs weighing 28 to 39 kg, allocated to
    20 individual pens and fed restrictively once daily (with a diet
    containing ethoxyquin; drinking water ad libitum), were assigned to
    five treatment groups of four each.  Treatment-sex combinations were
    randomly allocated.  There were five treatment groups,  control
    (distilled water), 0.3, 2.0, 4.0, and 8.0 mg/kg body weight.  Two
    additional animals were dosed with propylene glycol two days after the
    other animals were treated.  The animals were sampled 6 and 4 days
    prior to treatment as well as on days 1, 2, 4, 7, 10, 14, and 18. 
    Surviving animals were killed on days 21 to 23 after treatment.  At
    8.0 mg/kg body weight, all sheep were ataxic within three hours after
    dosing.  They were depressed (head and ear drooping).  One animal went
    into lateral recumbency in a shock-like condition.  Reflexes were
    present but delayed.  The animal was up after 24 hours and appeared
    clinically normal by day 3 after dosing.  After 24 hours all animals
    were still mildly depressed and slightly incoordinated.  At 4.0 mg/kg
    body weight, the sheep were mildly incoordinated and depressed and had
    initially delayed feed consumption although the 24-hour feed
    consumption was normal.  All animals were clinically normal at 24
    hours.  Since two additional sheep given vehicle (propylene glycol)
    only showed the same physical signs as those given  8 mg/kg body
    weight (the female fell into lateral recumbency in a shock-like
    condition and was found dead 24 hours after dosing), it was suggested
    that the observed signs were due to the propylene glycol vehicle
    (Merck & Co., Inc., 1981c).

    2.2.1.7  Cattle

         Approximately 6 month old male and female Holstein Friesian
    calves ranging in weight between 95 and 143 kg were injected once
    subcutaneously with 0.3, 2, or 8 mg/kg body weight ivermectin.  The 

    observed signs of toxicity at the highest dose level were increased
    respiratory rate, muscular tremors, and rigidity of the extremities
    and death (Merck & Co., Inc., 1979g).

    2.2.1.8  Horses

         In a target animal safety study, horses were injected
    intramuscularly with ivermectin at dose levels of 3, 6, or 12 mg/kg
    body weight.  Signs of toxicity were seen at all dose levels (Egerton
    et al., 1984). 

         No effects were observed when ivermectin was given as an oral
    paste at 0.4 mg/kg body weight to 26 male and female miniature and
    farabella pure and crossbred horses aged 5 months to 13 years and
    weighing 40-180 kg.  Ivermectin was administered once as a micelle
    solution to groups of four horses (264-431 kg body weight) at 3, 6, or
    12 mg/kg body weight.  At 3 mg/kg body weight one group was injected
    with ivermectin concentrate; a second group and all other treatment
    groups were injected with a ready-to-use micelle solution.   Mydriasis
    was seen at all dose levels.  All horses dosed at 12 mg/kg body weight
    showed additional signs of drug toxicity including depression and
    ataxia.  One horse was found in lateral recumbency 24 hours after
    dosing and was killed 72 hours after dosing (Merck & Co., Inc.,
    1981d).

    2.2.1.9  Rhesus monkeys

         An oral toxicity study was conducted in order to determine the
    minimum toxic dose of ivermectin and abamectin in rhesus monkeys and
    to determine the plasma levels of the drug at that dose.  Immature
    rhesus monkeys, aged 2 to 3 years at initiation, weighing 2.6 to 3.1
    kg (males) and 2.4 to 3.2 kg (females), were given single increasing
    oral doses (0.2, 0.5, 1, 2, 4, 6, 8, 12, 24 mg/kg body weight, in
    chronological order) of ivermectin and abamectin in sesame oil, by
    gavage, at intervals of 2 to 3 weeks before the administration of the
    next higher dose to same group of four animals (two of each sex).  The
    0.2 mg/kg body weight dose was repeated twice due to uncertainties as
    to whether mydriasis was occurring in two treated monkeys and because
    two monkeys regurgitated part of their dose.  The second repetition
    was a cross-over study in which the monkeys formerly treated with
    ivermectin were given abamectin and vice versa.  The 2 and 8 mg/kg
    body weight doses were repeated to measure plasma levels.   Therefore,
    each animal received a total of 13 doses.  

         The following treatment-related physical signs were observed: (a)
    Doses of 2.0 mg/kg body weight and higher caused emesis.  The time of
    onset tended to decrease as the dose increased.  (b) Pupil dilation
    and/or decreased constriction was observed following doses of 6.0
    mg/kg body weight of abamectin and above and after doses of 12.0 or
    24.0 mg/kg body weight of ivermectin.  Most of the observations were
    slight and difficult to assess and were considered equivocal, except

    those seen following the 24 mg/kg body weight dose.  No relationship
    appeared to exist between the dose levels and the time of onset or
    duration. (c) Several animals displayed decreased levels of activity
    or slight to moderate sedation at 24 mg/kg body weight of both
    compounds.  All animals recovered within 48 hours.  No tremors or
    convulsions occurred. A difference in potency between the two test
    substances was not discernible.  It was unlikely that the lack of more
    profound toxicity was due to regurgitation, since emesis did not
    generally occur before four hours post-dose.  Plasma concentrations
    increased with dose but not in a linear manner.  Signs of toxicity did
    not correlate with plasma levels over the investigated dose-range. 
    The most sensitive indicator of toxicity was emesis with a NOEL of 1.0
    mg/kg body weight and a dose-related increase over the range of 2.0 to
    24.0 mg/kg body weight (Merck & Co., Inc., 1985).

    2.2.1.10  Summary of the results obtained from acute toxicity studies

         The following main symptoms of central-nervous disorders were
    observed within one hour and up to seven days following a single oral
    dose of ivermectin depending on the test species and the applied dose:
    tremor, depression, ataxia, paresis, paralysis and death.  LD50 values
    for experimental animals are given in Table 4.

         Mice, particularly males, were found to be more sensitive than
    rats.  LD50 values ranged from 11.6 mg/kg bw in LD50 values male mice
    to 40 mg/kg body weight in females.  The reason for the rather high
    variability of the results remains unclear.  In studies with female
    mice when either ivermectin or one of its individual main components
    H2B1a and H2B1b was applied, no significant differences in acute
    toxicity were observed.  Tetrahydroavermectin B1, however, the most
    abundant potential impurity (up to 4%), was of significantly lower
    acute oral toxicity.

         In the rat, a higher sensitivity of neonatal rats (LD50 = 2.3
    mg/kg body weight) was evident if compared with 42.8-52.8 mg/kg body
    weight LD50s reported for adult animals (male and female).  The
    increased toxicity of ivermectin in neonatal rats is likely due to a
    combination of excessive plasma levels resulting from exposure via
    maternal milk and the increased permeability of the blood-brain
    barrier during the early postnatal period in this species (Lankas et
    al., 1989).

         Great differences in sensitivities were observed among various
    other species including target animals.  Large variation has been
    observed between breeds of dogs and individual dogs within the same
    breed.

    Table 4:  Tabular representation of acute toxicity data in laboratory
              animals

                                                                        
                                       LD50          Reference
    Species      Sex    Route          (mg/kg bw)    (Merck & Co., Inc.)
                                                                        

    Mouse        M      oral           11.61A        1979a
    (CF-1)       F      oral           24.61A        1979a
                                       27.11A        1979a
                                       41.61B        1979a
                                       40.01A        1979a
                                       30.01A        1980d
                 F      oral           31.72         1979a
                                       87.22         1979a
                 F      oral           27.63         1979a
                                       56.63         1979a
                 F      oral           1604          1980d

    Rat          MA     oral           42.81A        1979a
     (young)     FA                    44.31A        1979a
                 MB                    42.81A        1979a
                 FB                    52.81A        1979a
                 M+F    percutan.      >660          1979d
     (infant)    M+F    oral           2.31C         1979a

    Rabbit              percutan.      406           1979d

    Dog
     (beagle)    F      oral           >10.0         1979f
                 M+F    oral           approx. 80.0  1981a
                 M      subcutaneous   8.4           1981b
                 F                     10.5          1981b
                                                                        

    1A) test substance: ivermectin; 80:20 mixture;
    1B) test substance: ivermectin; 84:16 mixture;
    1C) test substance: ivermectin; ratio not indicated
    2) test substance: H2B1a;
    3) test substance; H2B1b;
    4) test substance: Tetrahydroavermectin B1;
    A) Charles River, CD;
    B) Sprague-Dawley, Camm

    2.2.2  Short-term studies

    2.2.2.1  Rats

         A fourteen-week toxicity study following in utero exposure was
    reported.  Twenty rat pups of each sex between 3 and 4 weeks of age
    weighing 49 to 86 grams (males) or 43 to 77 grams (females) were
    treated at dosage levels of 0.4, 0.8, and 1.6 mg/kg b.w./day.  No
    changes due to treatment occurred at 0.4 mg/kg b.w./day.  The
    following effects could not be excluded as being treatment-related in
    the two other dosage level groups: spleen-enlargement and reactive
    bone-marrow hyperplasia, which occurred in 1 animal at 0.8 mg/kg
    b.w./day and in 3 animals at 1.6 mg/kg b.w/day (Merck & Co., Inc.,
    1979b).

    2.2.2  Dogs

         Twenty male and 20 female beagle dogs, 39-43 weeks of age,
    weighing initially 8.2 - 12.1 kg (males) and 6.2 - 9.2 kg (females)
    were selected for oral treatment (gastric intubation) in five groups
    of four males and four females at doses of 0.5, 1.0, 2.0 mg/kg
    b.w./day.  Controls received water or vehicle (sesame oil).  At 2.0
    mg/kg b.w./day, three males and one female developed tremors, ataxia,
    anorexia, and dehydration.  All of these animals exhibited ptyalism
    and mydriasis followed by slight tremors, characterized by
    intermittent or constant shaking of all limbs, which generally
    increased in severity over 3 to 6 days.  These animals were frequently
    found laterally recumbent and were ataxic when standing.  They were
    sacrificed between weeks 4 and 12.  Mydriasis was observed in all dogs
    at this level (beginning in  week 1 and continuing until week 12 when
    it decreased in incidence).  The four dogs sacrificed showed weight
    losses between 1.0 and 1.6 kg.  At 1.0 mg/kg b.w./day, mydriasis was
    occasionally seen, particularly in week 3.  Weight gain was retarded. 
    At 0.5 mg/kg b.w./day, only slight retardation of weight gain was
    observed.  No significant drug-related changes were observed for the
    following parameters: ocular abnormalities, electrocardiograms,
    haematologic parameters, urine-analysis, and pathological changes
    (Merck & Co., Inc., 1978a).

    2.2.2.3  Rhesus monkeys

         A 16-day oral toxicity study with ivermectin was conducted to
    determine its toxicity in immature rhesus monkeys (13 - 21 months old,
    weighing 2.1 to 3.2 kg (males) and 1.9 to 2.7 kg (females) at
    initiation).  Each of the treatment groups (4 females, 4 males per
    group) were dosed daily by nasogastric intubation with ivermectin in
    sesame oil at dose levels of 0.3, 0.6, and 1.2 mg/kg body weight. 
    These dose levels were chosen to provide an appropriate 6-fold safety
    margin relative to the human clinical dose, and based on the acute
    toxicity in rhesus monkeys.  All animals were treated for at least 14

    days and then sacrificed on days 15, 16 or (one animal) 17.  No drug-
    related effects (physical signs, body weight, ocular lesions,
    haematology, serum biochemical parameters, or necropsy findings) were
    noted in any of the treated animals (Merck & Co., Inc., 1986a). 

         To assess the potential significance of neonatal exposure to
    ivermectin, a study in neonatal rhesus monkeys (7 to 13 days old; 400
    to 600 g body weight) was conducted.  The animals (3 females, 5 males
    per group) received ivermectin as a solution in sesame oil once daily
    via nasogastric intubation at dose levels of either 0.04 or 0.1 mg/kg
    body weight for 14 days.  A control group of the same size received
    the vehicle.  Approximately four hours post-dose, animals were
    examined for mydriasis and pupillary light response, and for adverse
    reactions.  The results of the examinations (physical, ophthalmic,
    haematologic, serum biochemical examination, body weight, and
    necropsy) indicated no treatment-related effects (Merck & Co., Inc.,
    1986b).

    2.2.3  Long-term/carcinogenicity studies

    2.2.3.1  Mice

         No specific study of ivermectin per se beyond 14 weeks has
    been reported.  Carcinogenicity was studied in mice (Crl:Cd-1(ICR)BR)
    and rats (Crl:CD(SD)BR) with abamectin, a close chemical analog of
    ivermectin differing only by being unsaturated between the carbon
    atoms at positions C22 and C23.

         In a 94 week dietary carcinogenicity study in Crl:CD-1 mice
    abamectin was given at doses of 2, 4, or 8 mg/kg b.w./day.  Seventy-
    four mice of each sex were assigned to each group and to control
    groups I and II.  At the start of the study the males weighed 15.5-
    33.2 grams and the females weighed 15.8-22.1 grams.  Twelve
    mice/sex/group were killed for bleeding at weeks 25 or 26 and 52.

         The examinations included: daily observation; weekly detailed
    examination including palpation for masses, body weight, and food
    consumption; eye examination (pretest, weeks 51 or 53 and 91, control
    and high-dose group only); haematology and serum biochemistry (weeks
    25 or 26 and 52; in moribund mice after week 69; in all surviving mice
    at scheduled sacrifice); and complete necropsy (gross necropsy on
    animals killed for bleeding; histopathology on all mice assigned to
    the carcinogenic segment of the study).

         Treatment-related tremors were seen among females in all dosage
    groups.  Seven females of the 8 mg/kg b.w./day group and 3 females of
    the 4 mg/kg b.w./day group died the day after the beginning of the
    treatment for unexplained reasons (dietary concentrations were checked
    and found correct).  The females were killed and discarded.  The males
    were continued in the study.  About a month later a new group of

    females without adverse signs was started.  Treatment-related tremors
    were seen in drug weeks 89 and 91 in two females of the high-dose
    group.

         Increased mortality was seen among the high-dose males but not
    the females (common causes:  amyloidosis or lymphoma).  Dosing of this
    group was stopped in week 90 when there was 40% survival.  All other
    mice were treated until sacrifice in week 94.  Treatment-related
    decreases in body weight gain (males 7%; females 21%) were seen in the
    high-dose groups.  A dose-related increase in feed consumption and
    decrease in feed efficiency (20%) was seen among the females of the
    high-dose group.  There were neither treatment-related ophthalmic
    changes nor haematological nor serum biochemical effects.  No
    treatment-related changes in organ weights or gross lesions were seen
    at necropsy.  There were no neoplastic or non-neoplastic changes seen
    in any tissue at necropsy examinations.  Abamectin was not
    carcinogenic to mice when given in the diet for 94 weeks at the above
    dosage levels (Merck & Co., Inc., 1983).

    2.2.3.2  Rats

         Abamectin was tested in Crl:Cd(SD)BR rats (size of treatment
    groups and controls I and II: 65 males [115-191 grams] and 65 females
    [93-154 grams]) in a 105 week dietary study at doses of 0.75, 15, or
    2.0 mg/kg b.w./day.  Fifteen males and 15 females per group were
    randomly selected at the start of the study for interim necropsy.  The
    examinations included: daily observation; weekly detailed examination
    including palpation for masses, body weight, and food consumption; eye
    examination (pretest and about every six months [controls and high-
    dose group only]); haematology, serum biochemistry and urine analysis
    (10 rats/sex/group in weeks 12, 25, 38, and 51 [from animals selected
    for interim necropsy]), in week 78 (10 replacement rats from the
    carcinogenic segment), in week 105 (sacrifice; haematology and serum
    biochemistry) and in moribund animals (begining in week 89); complete
    necropsy (all rats that died or were sacrificed before scheduled
    termination, all rats sacrificed at scheduled time); and
    histopathology (including histological examination of all gross
    lesions).

         Treatment-related increases in body weight gain were seen during
    the first year on study (males and females of all dosage groups); by
    the end of the study, body weight gain was statistically significant
    only in the males.  Tremors occurred in some rats receiving the
    highest dose and one rat of the mid dose group which had exceedingly
    high feed consumption.  There were no gross or microscopic changes in
    the nervous or muscular systems of rats which died with tremors. 
    There was no treatment-related increase in deaths.  There were no
    treatment-related changes in ophthalmic abnormalities, nor treatment-
    related effects seen in haematology, serum biochemistry and
    urinalysis.  No treatment-related changes in organ weights or gross

    lesions were seen at necropsy.  There was no statistically significant
    increase in tumour incidence, and no non-neoplastic changes were seen
    in any tissue at necropsy examinations.  Abamectin was not
    carcinogenic to rats in this study (Merck & Co., Inc., 1982e).

    2.2.4  Reproduction studies

    2.2.4.1  Rats

         Ivermectin was administered orally once daily to three groups of
    15 female rats at dose levels of 0.4, 0.8, and 1.6 mg/kg body weight
    from 15 days prior to mating until 20 days post-partum.  Two vehicle
    control groups received sesame oil in the same dosing regimen as the
    treated animals.

         There was no mortality or clinical evidence of toxicity in the
    females.  Average body weight was significantly increased among
    females at 0.8 and 1.6 mg/kg b.w./day during the prebreeding period
    and at all dose levels during gestation.

         Ivermectin had no effect on mating, reproductive status, average
    length of gestation or post implantation survival rate.  Statistically
    significant treatment-related increases in mortality among pups in the
    1.6 mg/kg b.w./day group were observed on day 1 and from days 7-14
    post-partum.  Prior to death, several pups were observed to be
    hypothermic and to have no externally observable milk in the
    epigastric region.  Throughout the lactation period, average pup
    weights were slightly higher than controls in the 0.4 mg/kg b.w./day
    group and significantly higher in the two other dose-level groups. 
    Development (eye opening, ear opening, incisor eruption, and hair
    growth) was also slightly accelerated (Merck & Co., Inc., 1979a,b).

         A series of three multigeneration studies was initiated in rats,
    the first two of which were halted prior to scheduled termination
    because neonatal toxicity was apparent at all dose levels tested. 
    Dose rates of 0.4, 1.2, and 3.6 mg/kg b.w./day were used in the first
    study.  It was necessary, however, to terminate this study before
    mating of the F1b-generation because it became apparent from toxic
    symptoms observed in the F1a-, F1b-, and F2a-generations that a NOEL
    could not be derived from this study.

         Effects on the F0-generation were a significant increase in the
    average length of gestation and a significantly decreased maternal
    weight gain during lactation in females in the 3.6 mg/kg b.w./day
    group.  Following the production of the F1b-litter, the average
    maternal weight gain during lactation was significantly decreased
    compared to that of the control.

         Effects on the F1a-generation were a high (92%) mortality during
    the lactation period of F1a-offspring in the 3.6 mg/kg b.w./day group
    with the majority dying between days 5 and 10 post-partum.  The most
    common clinical sign of toxicity in pups that died was an absence of
    milk in the stomach one to several days prior to death.  Average pup
    weights on day 1 post-partum and subsequent weight gain in surviving
    pups were also significantly reduced in this group.  During postnatal
    development there was a significant decrease in the time to occurrence
    of incisor eruption in the 3.6 mg/kg b.w./day group, an effect which
    was believed to be secondary to a lower body weight in these
    offspring.

         Effects on the F1b-generation were evidence of treatment-related
    toxicity among F1b-offspring in both remaining dose-level groups (1.2
    and 0.4 mg/kg b.w./day).  An increased pup mortality occurred between
    days 2 and 7 post-partum.  Slight decreases in average live pup weight
    per litter were also observed during the lactation period.  The time
    to occurrence of the auditory startle reflex was delayed and earlier
    incisor eruption was also observed compared to the corresponding
    control.  At 1.2 mg/kg b.w./day, vaginal opening was significantly
    delayed and there was a nonsignificant but treatment-related delay in
    testes descent.  It is likely that these effects reflected slightly
    lower average body weights.  During the lactation period females in
    the 1.2 mg/kg b.w./day group showed a significant decrease in average
    maternal body weight gain.

         Effects on the F2a-generation were significant increases in pup
    mortality between days 2 and 7 post-partum in both dosage groups.  The
    average live pup weight per litter was decreased (statistically
    significant only in the 1.2 mg/kg b.w./day group) on days 7, 14, and
    21 post-partum.  During postnatal development, there were significant
    delays in the appearance of the righting reflex and the auditory
    startle reflex and significantly earlier incisor eruptions in the 1.2
    mg/kg b.w./day group (Merck & Co., Inc., 1980e).

         A second multigeneration study was initiated at a dose of 2.0
    mg/kg b.w./day in order to provide clear evidence of toxicity while
    allowing sufficient surviving offspring to permit continuous dosing
    throughout the production of two litters in each of three generations. 
    This study was terminated prior to the production of the F1b-litter
    when it became apparent that there was treatment-related neonatal
    toxicity present in the above concurrent multigeneration study at dose
    levels 1.2 and 0.4 mg/kg b.w./day (Merck & Co., Inc., 1981e).

         In a final multi-generation study the following dose groups were
    included:  0.05, 0.1, 0.2, and 0.4 mg/kg b.w./day.  A vehicle control
    group received sesame oil daily in the same volume as drug-treated
    rats.  The animals were 28 days old at the onset of the daily
    treatment and were mated 71 days later.  Exposure was continued for
    the entire life-span.

         The F1a-litter was sacrificed on day 21 post-partum. 
    Approximately three weeks later the F0-rats were mated again to
    produce the F1b-litter.  On day 21 post partum of the F1b-offspring,
    the F0-generation was sacrificed.  After 71 days of treatment, the
    F1b-rats were mated to produce the F2a-offspring which were also
    sacrificed on day 21 post-partum.  Approximately three weeks later the
    F1b-rats were again mated to produce the F2b-offspring.  Twenty-one
    days post partum of this offspring, the F1b-generation was sacrificed. 
    After 71 days of drug treatment, F2b-rats were mated to produce the
    F3a-offspring which were sacrificed on day 21 postpartum. 
    Approximately three weeks later the F2b-rats were again mated to
    produce the F3b-litter.  The parents were sacrificed after weaning of
    the F3b-litter.  Twenty males and 20 females from each F3b-offspring
    group were randomly selected for necropsy at 28 to 43 days of age.

         There was no treatment-related mortality or physical signs of
    toxicity among parents or offspring in any dosage group throughout the
    production of two litters in each of the F0-, F1-, and F2-
    generations.  Ivermectin had no treatment-related effects on the
    reproductive performance of male or female rats in any dosage group.

         Treatment-related effects on body weight gain were limited to a
    slight but statistically significant decrease during the postweaning
    period in mean body weight gain among F1b-females in the 0.4 mg/kg
    b.w./day group and among F2b-males from the 0.2 and 0.4 mg/kg b.w./day
    groups.  External, visceral, and skeletal examination of both the F3a-
    and F3b-offspring revealed no evidence of teratogenicity.  Doses of
    less than or equal to 0.2 mg/kg b.w./day had no adverse effects on
    parents or progeny (Merck & Co., Inc., 1980e, 1981e).

    2.2.4.2  Target animal species

         No adverse effects on reproduction have been observed in target
    animal species (Campbell & Benz, 1984; Egerton et al., 1984;
    Schroder et al., 1986).

    2.2.5  Special studies on embryotoxicity

         Ivermectin has been tested in the mouse, the rat, the rabbit, and
    the dog.  Additionally, the effects of H2B1a and H2B1b have been
    tested separately in mice.

    2.2.5.1  Mice

         22,23-Dihydroavermectin-B1a:  In a teratogenic study groups of
    20 pregnant CF1-mice each received H2B1a at dosage levels of 0.2,
    0.4, 0.8, or 1.6 mg/kg b.w./day from days 6 through 15 of gestation
    once daily by gavage as a solution in sesame oil.  An additional
    control group received the vehicle.

         There were treatment-related maternal deaths.  Whole body tremors
    and coma developed in 2 mice after the first dose at 1.6 mg/kg
    b.w./day.  Dosing was suspended, but the coma persisted.  One of these
    mice was found dead on day 8; the second mouse was sacrificed while
    aborting on day 9.  At 0.8 mg/kg b.w./day, two mice developed tremor
    and coma after the second dose.  One of these mice died on day 9; the
    second mouse was sacrificed on day 11 while aborting.  At 0.4 mg/kg
    b.w./day two mice developed slight to moderate tremors after the
    second dose which became more pronounced after the third dose.  Dosing
    was then suspended.  One mouse was sacrificed while aborting.  The
    second became comatose on day 9 and was sacrificed moribund on day 11. 
    Average maternal weight gain and reproductive status of surviving mice
    was unaffected.

         The average fetal weight per litter was unaffected by treatment
    at any dosage level.  There was a teratogenic effect as evidenced by
    cleft palate (10 fetuses from five litters at 1.6 mg/kg b.w./day).

         22,23-Dihydroavermectin-B1b: H2B1b was administered orally as
    a solution in sesame oil by metal catheter to three groups of pregnant
    CF1-mice from days 6 to 15 of gestation at dosage levels of 0.4, 0.8,
    or 1.6 mg/kg bw/day.  A control group of 35 mice received the vehicle.

         At 1.6 mg/kg b.w./day one mouse was found comatose 24 hours after
    the first dose, did not recover and was sacrificed 48 hours later.  At
    0.8 mg/kg b.w./day one mouse became prostrate and hypothermic after
    five doses, and was sacrificed on day 11 of gestation.  No other signs
    of toxicity were observed at any other dosage level.  The average
    fetal weight was unaffected by treatment.  Teratogenicity was
    evidenced by a dose-related increased incidence of cleft palate (ten
    fetuses from four litters at 1.6 mg/kg b.w./day; four fetuses from
    four litters at 0.8 mg/kg b.w./day) (Merck & Co., Inc., 1979a).

         Ivermectin:  Groups of 25 mated female CF1-mice were
    administered ivermectin orally as a solution in sesame oil at dose
    levels of 0.1, 0.2, 0.4, or 0.8 mg/kg b.w./day from days 6 through 15
    of gestation.  The 0.4 mg/kg body weight day group had only 24 mice
    because one mistakenly assigned male had to be discarded.  A control
    group of 25 mice received the vehicle. 

         There was treatment-related mortality in each of the three
    highest dose level groups (0.8 mg/kg b.w./day: 3 females sacrificed
    moribund after 14 doses; 0.4 mg/kg b.w./day: 1 female found dead after
    the 3rd dose, two others sacrificed in poor physical condition after
    1 and 8 doses, respectively; 0.2 mg/kg b.w./day: 1 female sacrificed
    moribund after 4 doses).  Physical signs were confined to those mice
    which died or were sacrificed.  Neither the reproductive status of
    females (as measured by the number of implants, resorptions, and live
    and dead fetuses per litter) nor average maternal body weight was
    influenced by the treatment.  Teratogenicity was evidenced by an

    increased incidence of cleft palate (3 fetuses from 3 litters at 0.8
    mg/kg b.w./day; 5 fetuses from 4 litter at 0.4 mg/kg b.w./day).  There
    was no evidence of a teratogenic effect at 0.1 or 0.2 mg/kg b.w./day
    (Merck & Co., Inc., 1980g).

    2.2.5.2  Rats

         A summary of a teratogenic study in rats was available. 
    Ivermectin was administered as a solution in sesame oil to groups of
    25 mated CRCD rats from days 6 through 17 of gestation at dose levels
    of 2.5, 5, or 10 mg/kg b.w./day.  A control group of the same size
    received the vehicle.  In the 10 mg/kg b.w./day group, three females
    were sacrificed in poor physical condition after receiving 7-9 doses. 
    There were no treatment-related toxicity signs observed in the two
    other groups.  Teratogenicity, as evidenced by cleft palate in 4
    fetuses from 2 litters was seen at 10.0 mg/kg b.w./day.  No other
    treatment-related external malformations were observed at the other
    dosage levels.  Visceral and skeletal examination produced no further
    evidence of teratogenicity in any dosage group (Merck & Co., Inc.,
    1980g).

    2.2.5.3  Rabbits

         A summary of a teratogenic study in rabbits was available.
    Ivermectin was administered as a solution in sesame oil to groups of
    16 pregnant rabbits from days 6 through 18 of gestation at dose levels
    of 1.5, 3, or 6 mg/kg b.w./day.  A control group of the same size
    received the vehicle.  In the 6 mg/kg b.w./day group, slight to marked
    sedation was observed 24 hours after the 7th dose and persisted in
    some females up to eight days after cessation of dosing.  There was
    also a significant decrease in mean maternal body weight during the
    period of drug administration in this group.  Six females of this
    group aborted between days 22 and 27 of gestation, possibly due to
    embryo-/feto-toxicity (increase in fetal deaths).  No treatment-
    related maternal effects were seen in the two other groups. 
    Teratogenicity was indicated by a dose-related increased incidence of
    cleft palate and clubbed forepaws.  At 3 mg/kg b.w./day 1 fetus had
    cleft palate and 5 fetuses from 1 litter had clubbed forepaws.  At 6
    mg/kg b.w./day, 8 fetuses from 3 litters had cleft palate and 6
    fetuses from 3 litters had clubbed forepaws (Merck & Co., Inc.,
    1980g).

    2.2.5.4  Dogs

         An oral teratogenic study in beagle dogs was conducted.  The
    mated bitches weighed 8.2-17.1 kg at initiation of the treatment.
    Seventeen mated bitches received 0.5 mg/kg body weight of ivermectin
    in sesame oil on days 5, 15, 25, and 35 of gestation.  A second group
    of 19 mated bitches received the same dose on days 10, 20, 30, and 40
    of gestation.  A third group of 17 mated bitches served as the control

    and received vehicle on days 5, 10, 15, 20, 25, 30, 35, and 40 of
    gestation.  On day 48 of gestation the females were hysterectomized. 
    At hysterectomy it was determined that 14, 15, and 12 bitches were
    pregnant in groups 1, 2 and the control, respectively.  There was no
    maternal mortality and there were no maternal signs of toxicity in the
    course of the study.  There was no apparent effect on the average
    fetal weight per litter.  There was no evidence of a teratogenic
    effect at external, visceral, and skeletal examination (Merck & Co.,
    Inc., 1981f).

    Summary of teratogenicity studies

         Table 5 summarizes the results of the above teratogenicity
    studies.

    2.2.6  Special study on cross-fostering

         Results of the initial multigeneration study in rats (Section
    2.2.4.1) suggested that at doses of 0.4 and 1.2 mg/kg b.w./day the
    F2a-progeny may have been more sensitive to the toxic effects of
    ivermectin than the F1a- or F1b-progeny.  A cross-fostering study was
    conducted in order to determine whether this was due to biological
    variation or to a real increase in sensitivity following prenatal,
    postnatal or a combination of pre- and postnatal exposure to the drug. 
    One group of 40 female Charles River CD rats, approximately 8 weeks
    old and weighing 169-256 grams, was administered 2.4 mg/kg b.w./day of
    ivermectin in sesame oil for 61 days.  A vehicle group of the same
    size was administered sesame oil according to the same regimen.  They
    were mated with untreated males.  On day 1 post-partum litter sizes
    were standardized to 4 males and 4 females by random selection.

    Litters were then cross-fostered to one of the following groups:

         group     treatment of       prenatal exposure    number of
                   F0-dams            of F1-litters        litters/group

           1            +                   +                   12
           2            +                   -                   12
           3            -                   -                   15
           4            -                   +                   12

        Table 5: Teratogenicity in laboratory animals (oral administration)
                                                                                       
    Species        Dams/     Dose      Maternal toxicity       Teratogenicity
    (strain        group     [mg/kg
    or breed)                bw/day]
                                                                                       

    a) 22,23-dihydro-avermectin-B1a:

    Mouse          20       0.2       no observed effects     no observed
                                                               effects
    (CF-1)                   0.4       2 sacrificed            no observed
                                                               effects
                             0.8       2 sacrificed/dead       no observed
                                                               effects
                             1.6       2 sacrificed/dead       cleft palate
                                                               (10/151)

    b) 22,23-dihydro-avermectin-B1b:

    Mouse          20       0.4       no observed effects     no observed 
                                                               effects
    (CF-1)                   0.8       1 sacrificed            cleft palate
                                                               4/243)
                             1.6       1 sacrificed            cleft palate
                                                               (10/205)

    Mouse          25       0.1       no observed effects     no observed
                                                               effects
    (CRCF)                   0.2       1 sacrificed            no observed
                                                               effects
                             0.4       3 sacrificed/dead       cleft palate
                                                               (5/244)
                             0.8       3 sacrificed            cleft palate
                                                               3/254)

    Rat            25       2.5       no observed effects     no observed
                                                               effects
    (CRDC)                   5.0       no observed effects     no observed
                                                               effects
                             10.0      3 sacrificed            cleft palate
                                                               (4/264)
                                                                                       

    Table 5 (contd)
                                                                                       
    Species        Dams/     Dose      Maternal toxicity       Teratogenicity
    (strain        group     [mg/kg
    or breed)                bw/day]
                                                                                       

    Rabbit         16       1.5       no observed effects     no observed
                                                               effects
                             3.0       no observed effects     reduced
                                                               litter weight
                                                               cleft palate 

    (1/136)
                                                               clubbed forepaw
                                                               (5/136)
                             6.0       sedation                reduced litter
                                       decreased body          weight
                                       weight                  increased fetal
                                       aborts                  death
                                                               cleft palates
                                                               (1(7*)/50
                                                               (18*))
                                                               clubbed forepaw
                                                               (6/50(18*))
    Dog            17       **        no observed effects     no observed
                                                               effects
    (beagle)       19        **        no observed effects     no observed 
    effects
                                                                                       

    *  Numbers in parenthesis: dead fetuses
    ** These animals were dosed with 0.5 mg/kg b.w. every ten days.
    
         Offspring were examined for weight gain, clinical signs of
    toxicity, and postnatal development (occurrence of surface righting
    reflex and time of eye opening).  Thirteen weeks post-partum offspring
    from all four groups were selected for continuation on an acute oral
    toxicity study.  The average live pup weight per litter on days 7, 14,
    and 21 post-partum among offspring fostered within the treated group
    (group 1) was significantly decreased.  Among control litters
    cross-fostered to treated females (group 2) there was a significant
    decrease in average live pup weight on days 14 and 21 only.  The
    average live pup weight among litters prenatally exposed and
    cross-fostered to control dams (group 4) was comparable to that
    of litters cross-fostered within the control group.  There was a
    significant decrease in average postweaning body gain in groups 1,
    2, and 4 compared to the control group 3.  The magnitude of the
    decrease was significantly greater in groups 1 and 2 than that of
    group 4.  There was a significant increase in pup mortality in litters
    cross-fostered to F0-dams administered ivermectin (groups 1 and
    2).  Pup mortality among litters from treated F0-dams cross-fostered
    to control dams (group 4) was comparable to that of pups
    cross-fostered within the control group (group 3). There was no
    significant variation in the time to occurrence of the righting reflex
    among all four groups.  The time to occurrence of eye opening
    was significantly retarded in group 1 only.  The results of this study
    indicated that the neonatal toxicity of ivermectin in rats was
    primarily a function of postnatal exposure.  It also appeared that
    in utero exposure did not increase the toxicity of subsequent
    exposure via milk during the lactation period (Merck & Co., Inc.,
    1980f).

    2.2.7  Special studies on genotoxicity

    2.2.7.1  Bacterial systems

         Ivermectin and each component of ivermectin were tested in the
    Ames test.  Tests were done with and without rat liver metabolic
    activation systems.  None of the agents studied produced any noteworthy
    increase in revertants to histidine prototrophy.  The positive controls
    (either 1-methyl-2(3a,4,5,6,7a-hexahydro-1,2-benzisoxazolol-3-yl)-5-
    nitroimidazole or 2-amino-anthracene) produced significant increases
    in revertants, particularly after metabolic activation with all the
    tester strains used (Merck & Co., Inc., 1978b).

    2.2.7.2  Mouse lymphoma cells

         The ability of ivermectin to produce forward mutation at the
    thymidine kinase locus (TK+/- to TK-/-) of mouse lymphoma cells (Fischer
    L5178Y) was studied.  Two cytotoxicity studies revealed that ivermectin
    was detoxified in the presence of rat liver S-9 fraction.  The mutagenic
    assays were done by exposing cells to ivermectin for four hours; they
    were then washed, fed and cultured for three days.  TK-/- mutants were
    detected by cloning the cells in selection medium containing
    bromodeoxyuridine and plating diluted aliquots in nonselective medium.
    Dose levels of 40, 60, and 80 µg/ml were used with and without S-9.
    However the cells died in this initial study.  A second assay was done
    with 20, 40 and 60 µg/ml in the presence of S-9 only.  Without S-9 the
    dose levels were 5, 10, and 20 µg/ml.  This study was replicated with
    an identical protocol.  The results of both tests were negative when
    compared with appropriate negative controls. The positive control,
    3-methylcholanthrene with S-9 produced significant increases in mutation
    frequency (Merck & Co., Inc., 1980h).

    2.2.7.3  Human Fibroblasts

         Effects of ivermectin on unscheduled DNA synthesis were studied in
    IMR-90 normal human embryonic lung fibroblasts in the presence and absence
    of rat liver microsomal activation systems.  The drug concentration ranged
    from 10 to 1000 µg/ml.  Ivermectin did not produce any significant
    increase in background thymidine incorporation.  In contrast it produced
    an unexplained decrease at 10, 100, 300, and 1000 µg/ml but not at 30
    µg/ml.  The positive controls, methylmethane sulfonate and aflatoxin B-1,
    both produced significant increases in UDS (Merck & Co., Inc., 1980i).

    2.2.7.4  Summary of studies on genotoxicity

         Table 6 summarizes the genotoxicity studies that have been performed
    on ivermectin and its components.

    2.3  Observations in humans

         One 15 year old male was accidentally injected with an unknown
    quantity of IVOMECTM 1% in a needle fingerprick accident.  His arm
    later became paralysed, due to coincidental viral polyneuritis which was
    probably unrelated to ivermectin.  An adult female injected herself
    accidentally with a small quantity (estimated to be 200 micrograms/kg
    body weight) of IVOMECTM 1%.  Twelve hours later she experienced
    colicky pain with nausea, but recovered within 12 hours.  A 16 month old
    boy weighing about 15 kg accidentally drank an estimated 10-13 ml of
    IVOMECTM 1%.  Mydriasis was noted in one pupil, along with vomiting,
    pallor, 35°C body temperature, tachycardia, somnolence, and variable
    blood pressure.  The next morning urticaria occurred.  He was normal
    after three days.  Therapy in hospital included calcium-gluconate,
    caffeine, and an antihistamine.  A woman, 8 months pregnant, sprayed
    EQVALANTM into her eye.  The eye was rinsed.  Stinging at the
    application side was the only adverse effect described (Merck & Co.,
    Inc., 1988a).

    2.3.1  Clinical use of ivermectin

         Ivermectin was first administered to humans in 1981.  Initial
    studies were performed in Senegalese patients with onchocerciasis (Aziz
    et al., 1982, Diallo et al., 1984).  Since the first clinical
    experience numerous multiclinic double-blind studies have been conducted
    in endemic areas of onchocerciasis in different countries (Lariviere
    et al., 1985; Awadzie et al., 1986; Diallo et al., 1986;
    Dadzie et al., 1987; Albiez et al., 1988; Vingtain et al., 1988).
    In 1987 MECTIZANTM (ivermectin) of Merck, Sharp and Dohme has been
    approved in France for the treatment of onchocerciasis.  The Onchocerciasis
    Control Programme (OCP) of WHO has elaborated for 1989 and 1990 a dual
    strategy of vector control and mass population drug treatment with
    MECTIZANTM. It is expected that over 250,000 individuals in the OCP
    area of Central Africa will be treated (Bradshaw, 1989).  In addition to
    its use for the treatment of onchocerciasis, ivermectin has been used
    successfully in the treatment of Wuchereria bancrofti filariasis
    (Kumaraswami et al., 1988), loiasis (Richard-Lenoble et al.,
    1988), strongyloidiasis and enterobiasis (Naquira et al., 1989).


        Table 6: Results of genotoxicity assays on ivermectin and its components
                                                                                      
    Test system       Test object       Concentration      Results     Reference
                                        [ug/plate]
                                                                                      

    Ames test*        TA1535, TA1537,   400, 1000, 2000    negative    Merck & Co.,
    (ivermectin)      TA98, TA100       400, 1000, 2000    negative    Inc. (1978b)
                      TA 1535, TA100    500, 1000, 2000    negative

    Ames test*        TA100             1000               negative    Merck & Co.,
    (H2B1a)           TA1537, TA98,     100, 500, 1000     negative    Inc. (1978b)
                      TA100,TA92        100, 500, 1000     negative

    Ames test*        TA1535, TA1537,   20,  200, 2000     negative    Merck & Co.,
    (H2B1b)           TA98, TA100       20,  200, 2000     negative    Inc. (1978b)

                                        [ug/ml]
    mouse lymphoma    L5178Y            5,   10,  201)     negative    Merck & Co.,
    cells             L5178Y            20,  40,  602)     negative    Inc. (1980h)

                                        [ug/ml]
    unscheduled*      human IMR-90      10,  30,  100      negative    Merck & Co.,
    DNA synthesis     fibroblasts       300, 1000          negative    Inc. (1980i)
    (ivermectin)
                                                                                      

    *with and without S-9; 1)with S-9; 2)without S-9.
    
    2.3.2  Studies in healthy subjects

         Ivermectin was assessed for tolerability in several clinical
    pharmacology studies.  A total of 54 healthy individuals received
    single oral doses of MECTIZANTM.  Adverse experiences reported were
    headaches in three persons who received a 6 mg dose.  These
    experiences were assessed as either probably or definitely not drug
    related.  Decreases in white blood cell counts occurred in one subject
    after single oral doses of 12 mg as a solution and as tablets.  Both
    were assessed as being possibly drug related (Merck & Co., Inc.,
    1988b).

    2.3.3  Studies on tolerability in patients

         Treatment of onchocerciasis with ivermectin requires a single
    oral dose of 0.15 - 0.2 mg/kg body weight every 12 months.  The
    tolerability of MECTIZANTM has been closely examined in a number of
    clinical trails.  The observed side effects in some patients were
    mostly mild and transient.  These side effects can probably be
    attributed to hypersensitivity reactions resulting from death of
    microfilariae (the symptoms most frequently reported include pruritus,
    arthralgia, dizziness, myalgia, fever, edema, lymphadenitis, nausea,
    vomiting, diarrhoea, postural hypotension, tachycardia, weakness,
    rash, and headache) (Merck & Co., Inc., 1988b).

    3.  COMMENTS

         The Committee reviewed toxicological data from studies on
    pharmacokinetics, biotransformation, acute and short-term toxicity,
    effects on reproduction and development, genotoxicity, and
    observations in humans.  Aspects of the comparative toxicities of
    ivermectin and abamectin were also considered.

         Pharmacokinetic data were available from studies in mice, rats,
    dogs, rhesus monkeys, and human volunteers.  In mice, peak plasma
    levels were reached approximately four hours after a single oral dose
    of 51 mg per kg of body weight.  The average plasma to brain ratio of
    the concentrations of the drug was approximately 11:1.  When
    ivermectin was administered at 0.1 to 0.5 mg per kg of body weight per
    day for 35 days, steady-state concentrations were observed from day
    21.  The concentration in the plasma and brain was proportional to the
    dose.  

         In a study in rats in which H2B1a was administered orally at
    0.06 to 0.75 mg per kg of body weight the dose and residue levels in
    plasma and tissues were also shown to be well correlated.  In a study
    in which [3H] ivermectin was given orally at 0.3 mg per kg of body
    weight the residue concentrations were highest in fat, followed by the
    liver, kidney and muscle.  The main route of excretion was via the
    faeces.  

         In female rats aged eight weeks at initiation of dosing and
    receiving daily oral doses of 2.5 mg/kg b.w. for 61 days and then
    throughout mating, gestation, and until day 9 postpartum, steady-state
    plasma concentrations were reached on day 10 of treatment.  On day 1
    postpartum, however, the plasma concentration was three to four times
    that of the steady-state concentration, probably due to an increased
    mobilization of body fat.  When treatment was restricted to days 1 to
    9 postpartum, the concentration of ivermectin in the plasma increased
    gradually throughout the lactation period, and concentrations in milk
    were at least three to four times the corresponding concentrations in
    plasma.  Under these conditions, the concentrations in the plasma of
    the offspring increased dramatically between days 1 and 6 postpartum,
    and on day 10 they were up to three times the concentrations found in
    maternal plasma.  On days 1 and 4 postpartum; residue levels in the
    brain tissue from offspring were similar to their plasma
    concentrations.  The results of this study suggested that the transfer
    of the drug via the milk was probably responsible for the increase in
    neonatal mortality observed in multigeneration studies.  

         In a 36-day study in the beagle dog in which ivermectin was
    administered orally at 0.5 and 2.0 mg/kg b.w. per day, the
    concentrations of H2B1a in the plasma increased dramatically between
    days 2 and 8 of treatment and reached steady state after approximately
    three weeks.  A fourfold increase in the dose resulted in an average

    eightfold increase in plasma levels.  In a comparative study with
    abamectin and ivermectin in immature rhesus monkeys, higher plasma
    concentrations were reached with ivermectin at all the dose levels
    investigated (2, 8, and 24 mg per kg of body weight).  For both
    substances the concentrations in plasma were related to the dose, but
    the relationship was not linear.

         In a study with human volunteers in which various formulations of
    ivermectin were administered orally, peak plasma concentrations were
    reached within approximately four hours.  Administration of [3H]
    ivermectin showed that approximately 49% of the dose was eliminated in
    the faeces within five days.  In a clinical study in lactating women
    treated with a single dose of ivermectin, a maximum concentration of
    23 µg of the drug was found in milk on the day after treatment.  This
    level decreased to less than 0.1 µg/1 approximately one week after
    treatment.  Although plasma levels were not reported for this
    particular study and the data determined from other studies were not
    directly comparable, it appears that concentrations in human milk are
    similar to or slightly less than in plasma.

         Most of the studies on biotransformation were conducted using
    [3H] ivermectin.  When rat liver microsomes were incubated in vitro
    with the individual components and a NADPH-regenerating system, more
    than 70% of the radioactivity was associated with the corresponding
    parent compound.  The major polar metabolite was identified as the 24-
    desmethyl-24-hydroxymethyl alcohol.  The corresponding monosaccharide
    was also detected.  These findings correlated well with the results of
    in vivo liver metabolism studies.  In addition, a group of nonpolar
    metabolites was detected in fat, which secreted polar products on
    hydrolysis that were similar to the ivermectin metabolites present in
    liver.

         Acute toxicity studies were conducted in mice, rats, rabbits,
    dogs, rhesus monkeys and a variety of target species (pigs, sheep,
    cattle and horses).  The typical signs of acute toxicity of ivermectin
    were attributed to its effects on the central nervous system.  These
    were most severe in CF1 mice, which exhibited ataxia, bradypnoea and
    tremors.  Deaths occurred from approximately one hour to six days
    after dosing.  Ivermectin was more toxic in neonatal rats than in
    young adult rats.  This was believed to be due to postnatal completion
    of the blood-brain barrier in this species.

         In beagle dogs, mydriasis was the most sensitive indicator of
    toxicity.  More severe signs included ataxia and tremors.  Deaths were
    preceded by a comatose-like state.  Approximately 30% of collies
    tested were highly sensitive to ivermectin (as estimated from reports
    from non-approved use of the drug).  In immature rhesus monkeys no
    tremors or convulsions occurred.  The most sensitive indicator was 

    vomiting, which occurred in one of four monkeys given ivermectin at
    2.0 mg per kg of body weight.  The steep dose response curve in
    rodents for the toxicity of ivermectin was not reproduced in monkeys.

         Short-term studies were considered in rats, dogs, and monkeys. 
    In a 14-week study in rats in which ivermectin was administered orally
    to pregnant dams, splenic enlargement and bone-marrow hyperplasia were
    noted in the offspring of dams dosed at 0.8 and 1.6 mg per kg of body
    weight per day.  The NOEL was 0.4 mg per kg of body weight per day. 
    These changes did not occur in other species which received
    ivermectin.

         In a 14-week study in beagle dogs in which the compound was given
    orally, mydriasis and loss of body weight were observed at 1.0 and 2.0
    mg per kg of body weight per day (each group consisted of four females
    and four males).  Four dogs in the group receiving ivermectin at 2.0
    mg per kg of body weight per day developed tremors, ataxia, anorexia,
    and dehydration, and were killed prior to scheduled necropsy.  No
    other treatment-related effects were found.  The NOEL was 0.5 mg per
    kg of body weight per day.  

         In a two-week study in which ivermectin was administered orally
    to neonatal monkeys at 0.04 and 0.1 mg per kg of body weight per day,
    and to immature monkeys at 0.3, 0.6 and 1.2 mg per kg of body weight
    per day, no drug treatment-related effects were observed.

         Three multigeneration studies were initiated in rats, but the
    first two were halted prior to scheduled termination because neonatal
    toxicity was apparent at all dose-levels tested.  In the final (three-
    generation) study, the highest dose level was 0.4 mg per kg of body
    weight per day.  The results indicated that ivermectin was toxic to
    neonatal rats at doses of 0.4 mg per kg of body weight per day or
    above (administered to adult females) as evidenced by increased
    neonatal mortality up to approximately ten days postpartum, and by the
    decreased weights of surviving offspring.  The results of a cross-
    fostering study indicated that the neonatal toxicity was not related
    to in utero exposure but to postnatal exposure via maternal milk.

         The developmental toxicity of ivermectin has been investigated in
    mice, rats, rabbits, and dogs.  The results demonstrated that
    teratogenic effects (cleft palates in mice, rats, and rabbits; clubbed
    fore-paws without skeletal alterations in rabbits) were produced only
    at dose levels similar to those causing severe toxic effects in
    pregnant animals.  The no-observed-effect level for teratogencity in
    the most sensitive species and strain, the CF1 mouse, was 0.2 mg/kg
    b.w./day, while for maternal toxicity it was 0.1 mg/kg b.w./day.

         Ivermectin was negative in three in vitro assays for
    genotoxicity.  The Committee noted that no test of clastogenicity had
    been performed.

         There were no carcinogenicity studies available on ivermectin. 
    The Committee noted the very close structrual similarities of
    ivermectin and abamectin.  Extensive toxicological tests had been
    conducted on both compounds by one particular manufacturer, using the
    same strains of test animals over the same period of time.  The
    Committee, therefore, reviewed several aspects of comparative
    toxicology of the two products.  The compounds were indistinguishable
    at the level of receptor binding.  Clinical signs of the toxicity of
    both compounds included mydriasis in dogs, vomiting in monkeys, and
    tremors, convulsions, and coma at higher doses in most species.  CF1
    mice were most sensitive to the compounds.  In general, ivermectin was
    slightly less toxic than abamectin in laboratory animals (2-4-fold
    higher threshold).  In 14-week studies in rats in which ivermectin and
    abamectin were administered orally at 0.4 mg per kg of body weight per
    day, no adverse effects were observed.  In a 14-week study with
    ivermectin in dogs, mydriasis was seen at 1.0 mg per kg of body weight
    per day and above, and tremors, ataxia and anorexia at 2.0 mg/kg of
    body weight per day.  In a 12-week study with abamectin in dogs,
    mydriasis occurred at 1.0 mg per kg of body weight per day and above
    and extreme weight loss at 2.0 mg per kg of body weight per day and
    above.  In multigeneration studies, toxicity in pups was the most
    sensitive indicator, and occurred at 0.4 mg per kg of body weight per
    day.  The no-observed-effect levels for the formation of cleft palates
    in CF1 mice were the same.  Both compounds were negative in a number
    of in vitro tests for genotoxicity.  Abamectin was also negative in
    in vivo tests, including clastogenicity.  Carcinogenicity studies
    with abamectin were negative at maximum tolerated doses in mice and
    rats.  The Committee therefore concluded that it was unnecessary to
    request data from long-term toxicity and carcinogenicity studies on
    ivermectin.

         Ivermectin is widely used in humans for the treatment of
    onchocerciasis at single doses of 0.2 mg per kg of body weight. 
    Tolerance to the compound has been assessed in healthy volunteers and
    in patients; adverse effects are usually mild and transient.  In
    particular, no effects on the central nervous system were observed in
    patients.

    4.  EVALUATION

         The Committee concluded that the most relevant effect for the
    safety evaluation of residues of ivermectin was its effect on the
    mammalian nervous system.  An ADI of 0-0.0002 mg per kg of body weight
    was established based on a no-observed-effect level of 0.1 mg per kg
    of body weight per day for maternal toxicity in CF1 mouse.  A safety
    factor of 500 was selected on the basis of the absence of neurological
    effects in patients.  This also provided a 1000-fold margin of safety
    for the developmental toxicity of ivermectin. 

    5.  REFERENCES

    ABALIS, I.M., ELDEFRANI, M.E., & ELDEFRANI, A.T. (1986).  Effects of
    insecticides on GABA-induced chloride influx into rat brain microsacs. 
     J. Toxicol. Environ. Health, 18, 13-23.

    ABLIEZ, E.J, NEWLAND, H.S., WHITE, A.T., KAISER, A., GREENE, B.M.,
    TAYLOR, H.R., & BUETTNER, D.W. (1988).  Chemotherapy of onchoceriasis
    with high doses of diethylcarbamazine or a single dose of ivermectin:
    microfilaria levels and side effects.   Trop.  Med. Parasitol., 39,
    19-24.

    AWADZI, K., DADZIE, K.Y., SCHULZ-KEY, H., GILLES, H.M, FULFORD, A.J.,
    & AZIA, M.A. (1986).  The chemotherapy of onchocerciasis. XI. A
    double-blind comparative study of ivermectin, diethylcarbamazine and
    placebo in human onchocerciasis in northern Ghana.   Ann. Trop. Med.
     Parasitol., 80, 433-442.

    AZIZ, M.A., DIALLO, S., DIOP, I.M. LARIVIERE, M., & PORTA, M. (1982). 
    Efficacy and tolerance of ivermectin in human onchocerciasis. 
     Lancet, 2, 171-173.

    BRADSHAW, H. (1989).  Onchocerciasis and the Mectizan programme. 
     Parasitol. Today, 5, 63-64.

    BURG, R.W., MILLER, B.M., BAKER, E.E., BIRNBAUM, J., CURRIE, S.A.,
    HARTMAN, R., & KONG, Y.L. (1979).  Avermectins, a new family of potent
    antihelmintic agents: producing organism and fermentation. 
     Antimicrob. Agents Chemother., 15, 361-367.

    CAMPBELL, W.C., FISHER, M.H., STAPLEY,E.O., ALBERS-SCHONBERG, G., &
    JACOB, T.A., (1983).  Ivermectin: a potent new antiparasitic agent. 
     Science, 221, 823-828.

    CAMPBELL, W.C., & BENZ, G.W. (1984).  Ivermectin:  a review of
    efficacy and safety.   J. Vet. Phamacol. Ther., 23, 1134-1136.

    CHABALA, J.C., MROZIK, H., TOLMAN, R.L., ESKOLA, P., LUSI, A.,
    PETERSON, L.H., WOODS, M.F., & FISHER, M.H. (1980).  Ivermectin, a new
    broad-spectrum antiparasitic agent.   J. Med. Chem., 23, 1934-1136.

    CHIU, S.H.L., CARLIN; J.R., TAUB, R., SESTOKAS, E., ZWEIG, J.,
    VANDENHEUVEL, W.J.A., & JACOB, T.A. (1988).  Comparative metabolic
    disposition of ivermectin in fat tissues of cattle, sheep and rats.
     Drug Metab. and Dispos., 16, 728-736.

    DADZIE, K.Y., BIRD, A.C., AWADIZ, K., SCHULZ-KEY, H., GILLES, H.M., &
    AZIZ, M.A. (1987).  Ocular findings in a double-blind study of
    ivermectin versus diethylcarbamazine versus placebo in the treatment
    of onchocerciasis.   Br. J. Ophtalmol., 71, 78-85.

    DIALLO, S., AZIZ, M.A., LARIVIERE, M., DIALLO, J.S., DIOP-MAR, I.,
    N'DIR, O., BADIANE, S., PY, D., SCHULZ-KEY, H., & GAXOTTE, P. (1986). 
    A double-blind comparison of the efficacy and safety of invermectin
    and diethylcarbamazine in a placebo controlled study of Senegalese
    patients with onchocerciasis.   Trans. Rog., Soc. Trop. Med. Hyg., 80,
    927-934.

    DIALLO, S., LARIVIERE, M., DIOP-MAR, I., N'DIR, O., N'DIAYE, R.,
    BADIANE, S., PORTA, M., & AZIZ, M. (1984).  Conduite au Senegal des
    premiers etudes d'efficacite et de tolerance de l'ivermectine (MK 933)
    dans l'onchocercose humaine.   Bull. soc. Pathol. Exot. Filiales., 77,
    196-205.

    DI NETTA, J. (1989).  List of registrations.  Appendix III to
    Campbell, W.C., (ed.)  Ivermectin and Abamectin. Springer-Verlag, New
    York pp. 344-366.

    DREXLER, G. & SIEGHART, W. (1984).  Properties of high affinity
    binding site for 3H-Avermectin B1a.   Eur. J. Pharmacol., 99, 269-
    277.

    EGERTON, J.R., SEWARD, R.L., & ROBIN, B. (1984).  L'ivermectine: un
    agent antiparasitaire pour les chevaux.   Rec. Med. Vet., 6, 595-599.

    ELDEFRANI, A.T.. & ELDEFRANI, M.E. (1987).  Receptors for gamma-
    aminobutyric acid and voltage-dependant chloride channels as targets
    for drugs and toxicants.  FASEB J., 1, 262-271.

    FRITZ, L.C., WANG, C.C., & GORIO, A. (1979).  Avermectin B1a
    irreversibly blocks postsynaptic potentials at the lobster
    neuromuscular junction by reducing muscle membrane resistance.  Proc.
     Natl. Acad. Sci. USA, 76, 2062-2066.

    KASS, I.S., WANG, C.C., WALROND, J.P., & STRETTON, A.O.W. (1980). 
    Avermectin B1a, a paralyzing anthelmintic that effects interneurons
    and inhibitory motoneurons in ascaris.   Proc. Natl. Acad. Sci. USA.,
    77/10, 6211-6215.  

    KUMARASWAMI, V., OTTESEN, E.A., VIJAYASEKARAN, V, DEVI, U.,
    SWAMINATHAN, M., AZIZ, M.A., SARMA, G.R., PRABHAKAR, R, & TRIPATHY,
    S.P. (1988).  Ivermectin for the treatment of wuchereria bancrofti
    filariasis.   JAMA, 259, 3105-3153.

    LANKAS, G.R, MINSKER, D.H., & ROBERTSON, R.T. (1989).  Effects of
    ivermectin on reproduction and neonatal toxicity in rats.   Fd. Chem.
     Toxic., 27, 523-529.

    LARIVIERE, M., VINGTAIN, P., AZIZ, M., BEAUVAIS, B., WEIMANN,D.,
    DEROUIN F., GINOUX, J., SCHULZ-KEY, H., GAXOTE, P., & BASSET, D.,
    (1985).  Double-blind study of ivermectin and diethylcarbamazine in
    African onchcerciasis patients with ocular involvement.   Lancet,
    2, 147-177.

    MERCK & CO., INC. (1978a).  Fourteen week oral toxicity study in dogs. 
    TT #78-038-00.  Unpublished study; submitted to WHO by Merck & Co.,
    Inc.

    MERCK & CO., INC. (1978b).  MK-0933: microbial mutagen test with and
    without rat liver enzyme activation.  TT #77-8068.  Unpublished study;
    submitted to WHO by Merck & Co., Inc.

    MERCK & CO., INC. (1979a).  MK-0933: Toxicological evaluation (April
    30, 1979).  Reports of unpublished studies; submitted to WHO by Merck
    & Co., Inc.

    MERCK & CO., INC. (1979b).  MK-933: Summary of toxicity studies. 
    Summary of unpublished studies; submitted to WHO by Merck & Co., Inc.

    MERCK & CO., INC. (1979c).  Acute oral toxicity study in rats.  TT
    #78-3087.  Unpublished study; submitted to WHO by Merck & Co., Inc. 

    MERCK & CO., INC. (1979d).  MK-933:  Acute dermal toxicity studies in
    rabbits and rats.  Acute ocular toxicity studies in rabbits.  Acute
    oral toxicity in dogs.  Unpublished studies; submitted to WHO by Merck
    & Co., Inc.

    MERCK & CO., INC. (1979e).  Acute inhalation toxicity study in rats. 
    Unpublished study; submitted to WHO by Merck & Co., Inc.

    MERCK & CO., INC. (1979f).  MK-933 (L-640,471-00W51): Acute oral
    toxicity in dogs.  TT #79-2869.  Unpublished study; submitted to WHO
    by Merck & Co., Inc.

    MERCK & CO., INC. (1979g). MK-933/cattle/safety/ toxicity/clinical
    pathology/N.O.T. 4480. Unpublished study; submitted to WHO by Merck &
    Co., Inc.

    MERCK & CO., INC. (1980a).  MK-932: metabolism study in the rat. TT #
    79-711-0. Unpublished study; submitted to WHO by Merck & Co., Inc. 

    MERCK & CO., INC. (1980b).  In vitro metabolism studies of
    MK-0932/0933.  Unpublished study; submitted to WHO by Merck & Co.,
    Inc.

    MERCK & CO., INC. (1980c).  Tissue residues and radioactive balances
    in rats dosed with 3H-labeled MK-0933 (OM-45). Unpublished study;
    submitted to WHO by Merck & Co., Inc.

    MERCK & CO., INC. (1980d).  L-640,497-OOH: Acute oral toxicity in
    female mice.  Unpublished study: submitted to WHO by Merck & Co., Inc.

    MERCK & CO., INC. (1980e).  MK-933: Multigeneration studies in rats.
    Unpublished studies; submitted to WHO by Merck & Co., Inc. 

    MERCK & CO., INC. (1980f).  MK-933: Cross fostering study in rats. TT
    #79-710-0. Unpublished study; submitted to WHO by Merck & Co., Inc. 

    MERCK & CO., INC. (1980g).  MK-0933: Teratogenic evaluation.
    Unpublished report: submitted to WHO by Merck & Co., Inc.

    MERCK & CO., INC. (1980h).  MK-0933: Mouse lymphoma cytotoxicity
    study. TT #79-8034.  Unpublished study; submitted to WHO by Merck &
    Co., Inc.

    MERCK & CO., INC. (1980i).  MK 933: Unscheduled DNA synthesis in human
    IMR90-fibroblasts. TT #80-8205.  Unpublished study; submitted to WHO
    by Merck & Co., Inc.

    MERCK & CO., INC. (1981a).  MK-933 (L-640,471-OOW72): Acute oral
    toxicity in dogs. TT #81-2500.  Unpublished study; submitted to WHO by
    Merck & Co., Inc.

    MERCK & CO., INC. (1981b).  MK-933 Ivermectin injectable micelle
    solution: acute subcutaneous toxicity study in young dogs. TT
    #81-025-0.  Unpublished study; submitted to WHO by Merck & Co., Inc. 

    MERCK & CO., INC. (1981c).  MK-933: Acute toxicity in the ovine.
    N.O.T. 7000.  Unpublished study; submitted to WHO by Merck & Co., Inc.

    MERCK & CO., INC. (1981d).MK-933/horses/safety/toxicity/clinical
    pathology/N.O.T. 8292, protocol 554.  Unpublished study; submitted to
    WHO by Merck & Co., Inc.

    MERCK & CO., INC. (1981e).  MK-933: Multigeneration study in rats. 
    Unpublished study; submitted to WHO by Merck & Co., Inc.

    MERCK & CO., INC. (1981f).  MK-933: oral teratogenic study in dogs.
    Unpublished study; submitted to WHO by Merck & Co., Inc. 

    MERCK & CO., INC. (1981g).  Metabolism of ivermectin (MK-0933) in
    cattle and rats.  Unpublished studies; submitted to WHO by Merck &
    Co., Inc.

    MERCK & CO., INC. (1982a).  MK-0933: Three-day study of plasma and
    brain drug levels in mice. TT #82-088-0.  Unpublished study; submited
    to WHO by Merck & Co., Inc.

    MERCK & CO., INC. (1982b).  MK-0933: Thirty-six day study of plasma
    and brain levels in mice. TT #82-071-0.  Unpublished study: submitted
    to WHO by Merck & Co., Inc.

    MERCK & CO., INC. (1982c).  MK-0933: Thirty-six day study of plasma
    and brain levels in dogs. TT #82-071-0.  Unpublished study; submitted
    by Merck & Co., Inc.

    MERCK & CO., INC. (1982d).  MK-0933 / Swine / Safety / Toxicity
    clinical pathology / Anatomic pathology. N.O.T. 9739.  Unpublished
    study; submitted to WHO by Merck & Co., Inc. 

    MERCK & CO., INC. (1982e).  MK-936: One-hundred-five week dietary
    carcinogenicity and toxicity study in rats with a fifty-three week
    interim necropsy. Final report. TT #82-099-0. Unpublished study;
    submitted to WHO by Merck & Co., Inc.

    MERCK & CO., INC. (1983).  MK936: Ninety-four week dietary
    carcinogenicity and toxicity study in mice. TT #83-002,-0, -1, -2, -3. 
    Unpublished study; submitted to WHO by Merck & Co., Inc.

    MERCK & CO., INC. (1985).  MK-0933 and MK-0936: oral toxicity and
    plasma level study in monkeys. Unpublished study; submitted WHO by
    Merck & Co., Inc.

    MERCK & CO., INC. (1986a).  MK-0933: 16-day oral toxicity study of MK-
    0933 in immature rhesus monkeys. TT #85-9033. Unpublished study;
    submitted to WHO by Merck & Co., Inc.

    MERCK & CO., INC. (1986b).  MK-0933: Fifteen-day toxicity study of
    orally administered MK-0933 (ivermectin) in neonatal rhesus monkeys.
    TT #869005, GLP-13. Unpublished study; submitted to WHO by Merck &
    Co., Inc.

    MERCK & CO., INC. (1987).  The metabolism, distribution, and excretion
    of 22,23-3H-MKO933 in rats dosed orally and percutaneously (Expt.
    ADM-66). Unpublished study; submitted to WHO by Merck & Co., Inc.

    MERCK & CO., INC (1988a). Ivermectin: Poison Control Monograph. 
    Submitted to WHO by Merck & Co., Inc.

    MERCK & CO., INC. (1988b).  MECTIZANTM (IVERMECTIN, MSD). Product
    Monograph 7-89 MCT 88-R-1152M.  Submitted to WHO by Merck & Co., Inc.

    MERCK & CO., INC. (1989).  Identity of Ivermectin. Structural Formula. 
    Unpublished study; submitted to WHO by Merck & Co., Inc. 

    NAQUIRA, C., JIMENEZ, G., GUERRA, J.G., BERNAL, R., NALIN, D.R., NEU,
    D., & AZIZ, M. (1989).  Ivermectin for human strongyloidiasis and
    other intestinal helminths.   Am. J. Trop. Med. Hyg., 40, 304-309.

    OLSEN, R.W, & SNOWMAN, A.M. (1985).  Avermectin B,, modulation of
    gamma aminobutyric acid/benzodiazepine receptor binding in mammalian
    brain.  J. Neurochem., 44/4, 1074-1082.

    PAUL, S.M., SKOLNICK, P., & ZATZ, M. (1980).  Avermectin B1a: An
    irreversible activator of the GABA-Benzodiazepine-chloride-ionophore
    receptor complex.   Biochem. Biophys. Res. Communs., 96, 632-638.

    PONG, S.S., DEHAVEN, R., & WANG, C.C. (1981). Stimulation of
    benzo-diazepine binding to rat brain membranes and solubilized
    receptor complex by avermectin B1a and GABA.   Biochim. Biophys.
     Acta., 646, 143-150.

    PONG, S.S., DEHAVEN, R., & WANG, C.C. (1982). A comparative study of
    avermectin B1a and other modulators of the gamma-aminobutyric acid
    receptor-chloride ion channel complex.   J. Neurosci, 2/7, 966-971.

    PONG, S.S. & WANG, C.C., (1980).  The specificity of high affinity
    binding of avermectin  B1a to mammalian brain membranes. 
     Neuropharmacology, 19, 311-312.

    PONG, S.S., & WANG, C.C., (1982).  Avermectin B1a modulation of gamma
    aminobutyric acid receptors in rat brain membranes.   J. Neurochem.,
    38/2, 375-379.

    PONG, S.S., WANG, C.C., & FRITZ, L.C., (1980).  Studies on the
    mechanism of action of avermectin B1a; stimulation of release of
    gamma-aminobutyric acid from brain synaptosomes.   J. Neurochem.,
    34/2, 351-358.

    PULLIAM, J.D., SEWARD, R.L., HENRY, R.T., & STEINBERG, S.A., (1985). 
    Investigation of ivermectin toxicity in collies.   Vet. Med., 6, 33-
    40.

    RICHARD-LENOBLE, D., KOMBILA, M., RUPP, E.A., PAPPAYLIOU, E.S.,
    GAXOTTE, P., NGUIRI, C., & AZIZ, M.A. (1988).  Ivermectin in loiasis
    and concomitant O. volvulus and M. perstans infections.  Am.
     J. Trop. Med. Hyg., 39, 480-483.

    SCHOFIELD, P.R., DARLISON, M.G., FUJITA, N., BURT, D.R., STEPHENSON,
    F.A., RODRIGUEZ, H., RHEE, L.M, RAMCHANDRAN, J., REALE, V., GLENCORSE,
    T.A., SEEBURG, P.H., & BARNARD, E.A. (1987).  Sequence and functional
    expression of the GABAa receptor shows a ligand-gated receptor super-
    family.   Nature, 328, 221-227.

    SCHRODER, J., SWAN, G.E., BARRICK, R.A., & PULLIAM, J.D., (1986). 
    Effect of ivermectin on the reproductive potential of breeding rams. 
     J. S. Afr. Vet. Assoc., 57/4, 211-213.

    SUPAVILAI, P. & KAROBATH, M. (1981).  In vitro modulation by
    avermectin B1a of the GABA/benzodiazepine receptor complex of rat
    cerebellum.   J. Neurochem., 36/3, 798-803.

    VINGTAIN, P., PICHARD, E., GINOUX, J., COULIBALY, S.M., BISSAN, Y.,
    RANQUE, P., & THILAYE, B. (1988).  Ivermectine et onchocercose
    humaine.  A propos d'une etude portant sur 234 onchocerquiens en
    Republique du Mali.   Bull. Soc. Pathol. Exot. Fialiales., 81, 260-
    270.

    WILLIAMS, M., & YARBROUGH, G.G. (1979).  Enhancement of in vitro
    binding and some of the pharmacological properties of diazepam by
    novel anthelmintic agent avermectin B1a.   Eur. J. Pharmacol., 56,
    273-276.

    WILLIAMS, M. & RISLEY, E.A. (1982).  Interactions of avermectins with
    3H-B-carboline-3-carboxylate-ethylester and 3H-diazepam binding
    sites in rat brain cortical membrane.   Eur. J. Pharmacol., 77, 307-
    312.

    WILLIAMS, M. & RISLEY, E.A., (1984).  Ivermectin interactions with
    benzodiazepine receptors in rat cortex and cerebellum in vitro.
     J. Neurochem., 42/3, 745-753.
    


    See Also:
       Toxicological Abbreviations
       Ivermectin (WHO Food Additives Series 31)
       IVERMECTIN (JECFA Evaluation)
       Ivermectin (PIM 292)