IPCS INCHEM Home

    CLOSANTEL

    1.  EXPLANATION

         Closantel is a broad-spectrum antiparasitic agent used against
    several species and developmental stages of trematodes, nematodes and
    arthropods.  The anti-trematode activity of closantel is mainly used
    against liver fluke.  The anti-nematode and anti-arthropod activity is
    especially used against those species which feed on blood or plasma. 

         The drug is widely used in sheep and cattle and can be used
    either parenterally (s.c. or i.m.) or orally for both prophylactic and
    therapeutic purposes and is available as drench, bolus and injectable
    formulations.  Closantel has also been combined with mebendazole and
    several other benzimidazoles in drench formulations for sheep and with
    levamisole in a bolus for cattle (Marsboom et al., 1989). 
    Closantel has not been evaluated previously by the Joint FAO/WHO
    Expert Committee on Food Additives.

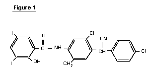
         Closantel is a salicylanilide derivative with the structure shown
    in Figure 1.

    FIGURE 1

    2.  BIOLOGICAL DATA

    2.1  Biochemical aspects

    2.1.1  Absorption, distribution and excretion

    2.1.1.1  Sheep

         Eight sheep, four of each sex, were used in this study.  Two male
    and two female animals were treated with a single intramuscular dose
    of 5 mg/kg body weight of closantel.  The remaining group of four
    animals was treated with a single oral dose of closantel at 10 mg/kg
    body weight. The solution used was the same (5% in propyleneglycol and
    water).

         Blood samples were taken from one male and one female of each
    group 4, 8, 24, 48 and 96 hours after drug administration and then
    twice weekly up to the time of sacrifice (2, 4, 6, and 8 weeks after
    administration).  Concentrations of unchanged closantel were
    determined by gas-liquid chromatography.

         Maximum plasma levels for both routes of administration were
    reached 8 to 24 hours after dosing, ranging from 51 to 68 µg/ml after
    intramuscular injection (5 mg/kg bw) and from 48 to 62 µg/ml after
    oral administration (10 mg/kg b.w.).  The drug was eliminated from the
    plasma with a half-life of about 15 days, irrespective of the route of
    administration.  Up to 60% of the intramuscular dose was present in
    the plasma up to about 4 days after injection, whereas only 25% to 30%
    of the oral dose had reached the systemic circulation in the same time
    interval.

         The levels of closantel in tissues were 7 to 21 times lower than
    the corresponding plasma concentrations.  Highest tissue
    concentrations were found in the lung and the kidney.  Tissue levels
    in liver, muscle and fat were somewhat lower (Michiels et al.,
    1977a).

         Two groups of five Texel sheep received orally or intramuscularly
    10 and 5 mg/kg body weight, respectively, of 14C-labelled closantel
    (specific activity 23.5 µCi/mg - radiochemical purity of 97.0%).  The
    solution was a 5% solution (propyleneglycol-water) with a specific
    activity of 4.2 µCi/ml.

         Blood samples were taken from one animal per group 4, 8, 24, 48,
    96 and 168 hours after drug administration and then weekly up to the
    time of sacrifice (14, 21, 35, 42 and 56 days) after treatment.  Urine
    and faeces were collected daily from dosing up to the time of
    sacrifice.  Samples of liver, lung, hind-leg muscle, mesenteric fat,
    intact kidneys and heart were taken from each animal at sacrifice.

         Peak plasma concentrations of radioactivity, occurring at 8-24
    hours after drug administration, were 47.0 ± 11 and 47.9 ± 4.4 µg
    equiv./ml for the oral and intramuscular route respectively.  Plasma
    radioactivity was almost exclusively due to the unmetabolized drug. 
    Closantel was eliminated from plasma with a half-life of 26.7 and 22.7
    days after oral and intramuscular administration respectively,
    indicating that the systemic availability of orally administered
    closantel was half that of an intramuscular dose.  

         The average blood to plasma level ratio for radioactivity was
    0.65, indicative of negligible binding to blood cells, whereas the
    fraction bound to plasma proteins was very high (>99%).  These data
    were similar to those obtained for blood or plasma spiked with 14C-
    closantel.

         In the same study, within 8 weeks after oral or intramuscular
    dosing, about 80% of the administrated radioactivity was excreted in
    the faeces, and only 0.5% in the urine.  The larger faecal excretion
    of the radioactivity during the first two days after oral dosing
    (43.3% in contrast with 10.4% after the intramuscular dose) reflected
    the smaller systemic availability.  Unchanged closantel accounted for
    80 to 90% of the faecal radioactivity.  As investigated by radio-HPLC,
    the main metabolite in the faeces was monoiodoclosantel the 3-
    iodoisomer and the 5-iodoisomer).

         Residual radioactivity in all tissues but liver was exclusively
    due to closantel and tissue levels were similar after the oral and the
    intramuscular dose.  Highest levels were found in the lung and kidney:
    3.3-3.8 µg/g at 14-21 days after dosing (with 5 mg/kg b.w. i.m. or 10
    mg/kg b.w. p.o.).  Corresponding levels in heart were 1.7-2.8 µg/g, in
    muscle 0.41-0.75 and in fat 0.08-0.42 µg/g.  Radioactivity levels in
    the liver were comparable with heart levels; in liver the contribution
    of unmetabolized closantel was on average 71 and 61% after oral and
    intramuscular administration respectively.  Monoiodoclosantel was the
    main metabolite accounting for 30-40% in liver.  Plasma levels were
    higher than corresponding tissue levels: 6 to 7 times for lung and
    kidney, 9 to 15 times for heart and liver, about 30 times for muscle
    and some 100 times for fat.  Since these plasma to tissue level ratios
    were independent of the time interval after dosing and of the route of
    administration, the elimination of closantel from plasma presents an
    excellent reflection of the depletion from tissues (Meuldermans
    et al., 1982).

    2.1.1.2  Cattle

         Three dairy cows were treated with a single intramuscular dose of
    closantel at 5 mg/kg body weight given as 5% injectable solution. 
    Blood and milk samples were taken before administration and at the
    following intervals : 4 and 8 hours, and 1, 2, 3, 4, 5, 6, 7, 14, 21,
    28 and 35 days.  

         Maximum levels of unaltered drug in plasma were reached 2 to 4
    days after administration amounting to about 45 µg/ml.  This peak
    level corresponds to nearly 45% of the administered dose, assuming
    that the whole plasma volume accounts for 5% of the cows' body weight.

         Maximal concentrations in milk, amounting to about 1 µg/ml were
    found about 4 days after intramuscular injection.  Assuming a daily
    production of 20 liters approximately 1% of the administered dose was
    excreted with the milk per day.

         From 4 days after injection, elimination of closantel from both
    plasma and milk occurred with the same half-life of about 12 days,
    indicating an equilibrium between both body fluids.  Concentrations of
    closantel in the milk, however, were nearly 45 times lower than the
    corresponding plasma levels.  No major variations between the 3 cows
    could be observed either for plasma or for milk (Michiels et al.,
    1977b). 

    2.1.2.  Biotransformation

    2.1.2.1  Rats

         Five male Wistar rats (about 242g) were dosed orally with 14C-
    closantel at 10 mg/kg b.w.  The drug, labeled in the 14C-carbonyl
    carbon, had a radiochemical purity of approx. 97%.  Urine and faeces
    were collected at 24-hr periods up to 10 days post dosing.  Plasma was
    collected at sacrifice after the 10-day collection period.  Samples
    were analyzed for total radioactivity by combustion and counting or by
    direct counting.  Unchanged drug and metabolites were determined using
    HPLC and co-chromatography with reference standards.

         Radioactivity was found to be excreted primarily through the
    faeces.  After 10 days, faecal excretion amounted to 88.4% of the
    dose.  Over that same time period, only 0.4% of the dose was in the
    urine.  Approximately half the dose was excreted within 2 days after
    dosing.

         An examination of the faeces for metabolites evidenced unchanged
    closantel (90% of the radioactivity in the faeces at 0-24 hr
    collection period, 76% at 192-240 hr) and monoidoclosantel (3.4% of
    the sample radioactivity at the first collection, 19% at the last). 
    The monoiodoclosantel was stated to be predominantly the 3-iodo
    isomer.  Also present in faeces were deiodinated closantel (trace
    amounts) and an unidentified metabolite (approx. 3-6% of the faecal
    radioactivity).

         In the urine, closantel and a metabolite that co-eluted with
    monoiodosalicylic acid were observed.  This latter compound would
    result from reductive deiodination and amide hydrolysis of closantel. 
    No sulfate or glucuronide conjugates were detected.

         Total residues of closantel in plasma amounted to 3.54 ppm 10
    days after dosing.  Even after that 10-day period, closantel was 93.4%
    of the total radioactivity.  Monoiodoclosantel was 4.7% of the plasma
    radioactivity.

         These data demonstrate the similarity of the metabolism of
    closantel in rats and sheep.  The scheme shown in Figure 2 would,
    therefore, apply to rats, with the possibility of amide hydrolysis
    occurring after the initial deiodination step (Mannens, et al.,
    1989).

    2.1.2.2  Sheep

         Following oral (10 mg/kg b.w.)  or intramuscular (5 mg/kg b.w.)
    administration of 14C-closantel to sheep, HPLC analysis of urine and
    faecal extracts indicated that about 90% of the excreted radioactivity
    was due to unmetabolized closantel.  With radio-HPLC, apart from the
    main peak of closantel, two additional radioactivity peaks were
    detected in the faecal extracts which, according to HPLC
    cochromatography with authentic reference compounds, corresponded to
    two monoiodoclosantel isomers.  Quantification of the peaks showed
    that 3-monoiodoclosantel was present in a relatively larger amount
    than the 5-isomer (see Figure 2).  In urine, the monoiodoclosantel
    isomers were of relatively minor importance, whereas other
    metabolites, not corresponding to available reference compounds, were
    observed.  Since the total urinary excretion of radioactivity amounted
    to only 0.5% of the administered dose, no attempts were made to
    elucidate these structures.  Neither deiodinated closantel nor 3,5-
    diiodosalicylic acid could be detected in the excreta (Michiels et
    al., 1987).

    FIGURE 2

         The position of the 14C label is indicated by the asterisk in the
    structure of closantel.

    2.1.3  Effects on enzymes and other biochemical parameters

         The mode of action of salicylanilides has been reviewed in two
    articles.  Closantel is described as a hydrogen ionophore resulting in
    the uncoupling of electron transport-associated phosphorylation (Behm
    et al., 1985; Prichard, 1987).

         Morphological and biochemical studies supporting this mechanism
    of action are available.  Ultrastructural changes were observed in
    F. hepatica after treatment of artificially-infected sheep with 5
    mg/kg body weight of closantel adminstered i.m.   An untreated animal
    served as the control.  Each  of the treated sheep was sacrificed at
    4, 8, 12 and 24 hours after injection and flukes were collected in the
    liver.  Changes in morphology of F. hepatica's absorptive tissues
    (intestine, gastrodermis, tegument and parenchymal cells) were noted. 
    Most common changes concerned mitochondria (Verheyen et al.,
    1980).

         In vitro and ex vivo studies conducted with F. hepatica
    (rats, sheep) showed:  closantel inhibits the phosphorylation from
    electron transport in rat liver mitochondria in vitro (Van den
    Bossche et al., 1979).

         In vitro and ex vivo, studies conducted with F. hepatica
    (rats) showed that closantel disturbs phosphorylation in liver fluke
    mitochondria with no effect in rat liver mitochondria in vivo
    (Van den Bossche et al., 1980).

         In vitro studies conducted with F. hepatica (rats) showed
    that closantel is an uncoupler of oxidative phosphorylation from
    electron transport in rat liver and an inhibitor of mitochondrial
    phosphorylation in F. hepatica.  (Van den Bossche & Verhoeven,
    1983).

    2.2  Toxicological studies

    2.2.1  Acute toxicity

         The acute toxicity resulting from single dosing of closantel
    solution in several animal species is summarized in Table 1.

         In rats and mice the gross effects observed in the lethal dose
    range were hypotonia, ataxia, diarrhoea and dyspnoea.  In sheep and
    cattle clinical signs of toxicity were anorrhexia, labored breathing,
    recumbency, general weakness and decreased vision, or blindness,
    appearing approximately one week after dosing.  At the lethal dose,
    anorrhexia, hypotonia, and quadriplegia preceded death.

    Table 1:  Acute toxicity data
                                                                        
    Species   Sex  Route     LD50           Reference
                             (mg/kg b.w.)

                                                                        
              M    Oral      331
    Mouse     F              453            Niemegeers, 1976
              M    i.m.      56.8
              F              256.8

                                                                        
              M    Oral      342
    Rat       F              262            Niemegeers, 1976
              M    i.m.      325.9
              F              28.4

                                                                        
    Sheep          Oral      > 40           Marsboom, 1976a
                   i.m.      > 40

                                                                        
    Cattle         Oral      > 40           Marsboom, 1976a
                   i.m.      > 20
                                                                        

    2.2.2  Short-term studies

    2.2.2.1  Rats

         Four groups of Wistar rats (10 males and 10 females/group) were
    fed diets containing closantel at 0, 25, 100 and 400 mg/kg diet 
    (equivalent to 0, 2.5, 10 and 40 mg/kg b.w./day) for 13 weeks.  All
    animals were observed daily for mortality and physical signs.  Body
    weight and food consumption were recorded weekly.  Clinical
    haematology, clinical biochemistry and urine analysis were performed
    at time of sacrifice.  Prior to sacrifice, a complete physical
    examination and slit-lamp examination of the eyes were performed on
    all rats.  At sacrifice, detailed gross and histopathological
    examinations (34 tissues) were also performed and organs were weighed. 

         Mortality, clinical behaviour, or body weight were not adversely
    influenced by treatment.  Food consumption was slightly decreased in
    females (low and high dosage groups).  Erythrocyte counts were
    slightly decreased in the high-dose male and female groups. 
    Lymphocyte counts were slightly increased in males of the same group. 
    However, glucose was slightly increased in males at the high dose and
    in females at the middle and high doses.  Total bilirubin was also
    increased in males at the high dose.  Organ weights were generally
    comparable between the controls and dosed rats,  but decreased heart

    weight in males and increased relative weight of the lung in females
    were noted in the three dosed groups.   The recorded values fell
    within the range of historical control values however.  An increased
    absolute and relative weight of the gonads in males in the high dosage
    group was noted.

         A cystic distention of the epididymis was observed in one low
    dose, two medium dose and seven high dose males.  The effect was
    considered to be drug and dose related.  In one out of ten rats dosed
    at 10 mg/kg b.w./day and eight out of ten rats dosed at 40 mg/kg
    b.w./day spermatic granulomas with round cell infiltration, oedema and
    fibrosis were found.  Histological examination also revealed some
    centrilobular fatty deposition in the livers of males dosed at 40
    mg/kg b.w./day, but not in females.  A slight deposition of the same
    type was noted in two male rats dosed at 10 mg/kg b.w./day and in one
    rat dosed at 2.5 mg/kg b.w./day.

         Male gonads, and secondarily the liver, appear as target organs
    for toxicity.  The Committee concluded that the NOEL in this study was
    2.5 mg/kg b.w./day (Marsboom et al., 1977a).

    2.2.2.2  Dogs

         Four groups of beagle dogs (3 males and 3 females/group) received 
    closantel powder in gelatin capsules at rates of 0, 2.5, 10 and 40
    mg/kg b.w. each day for 3 months.  All animals were observed daily for
    mortality and physical signs.  Before the study and at termination,
    ophthalmoscopic and slit-lamp examinations of the eyes were performed.
    Food consumption could not be recorded accurately because of wastage. 
    Body weights were determined weekly.  Heart rate, ECG and blood
    pressure values were recorded monthly.  Clinical haematology, clinical
    biochemistry and urine analysis were performed on all dogs 2 weeks
    before the experiment began and at weeks  0, 2, 4, 8 and 13.  After
    sacrifice detailed gross and histopathological examinations (39
    tissues) were also performed and selected organs were weighed (13
    organs).

         Mortality, clinical behaviour, body weight, haematology,
    ophthalmoscopy, heart rate, ECG and blood pressure values were not
    affected by treatment.  All haematological values were within the
    range of historical values.  However, an increase of coagulation time
    was noted at week 13 in the high dosage group.  A slight increase of
    total bilirubin was noted at week 13 in the medium and high dosage
    groups; and a slight increase of SGOT at weeks 8 and 13 for the high
    dosage group was observed.  Urine analysis was unchanged.  Organ
    weights were not affected by treatment.  Gross pathology showed no
    difference between controls and treated  animals.  Histological
    examinations were unremarkable except for a very slight increase of
    fatty deposition in the liver of males and females in the high dose
    group.

         The liver appeared to be the target organ for toxicity in this
    study.  The NOEL was 2.5 mg/kg b.w./day, based on hepatotoxicity
    observed at higher doses (Marsboom & Herin, 1978).

    2.2.2.3  Sheep

         Five groups of Suffolk sheep (3 males and 3 females/group)
    received a total of ten doses of a solution of closantel (0, 10, and
    40 mg/kg b.w. p.o. or 5 and 20 mg/kg b.w. i.m. given at four weekly
    intervals.  All animals were observed daily for mortality and physical
    signs.  Ophthalmoscopic and slit-lamp examinations of the eyes were
    performed, once before the start of the study and again after the last
    administration of the test substance.  Body weight was determined
    before and every four weeks during the study.  Body temperature was
    recorded before the study, daily during the first month, and
    periodically thereafter.  Clinical haematology and clinical
    biochemistry were conducted prior to dosing and every 4 weeks during
    the study.  After sacrifice, gross pathology and histopathology
    (liver, heart muscle, pancreas, kidneys, epididymis, ovaries, adrenals
    and thyroids) were performed.  The animals were sacrificed on day 1,
    and weeks 4, 8, 12 and 16 after the last dosing.  This was done in
    order to study reversibility of possible lesions and to determine the
    residual levels of closantel in various organs.

         Four animals died from kidney disease.  Closantel did not produce
    mortality.  Transient salivation and diarrhoea were observed in
    animals dosed at 40 mg/kg b.w. p.o. route. A slight decrease of body
    weight gain was observed in animals dosed at 20 mg/kg b.w. i.m.  No
    adverse effects on haematological parameters were noted.  The few
    slight variations observed in clinical chemistry were not dose-
    related.  Gross pathology showed reactions at the injection site in
    two animals which had received 10 i.m. doses at 20 mg/kg b.w. 
    Histological examinations confirmed muscle irritation at the injection
    site (5 and 20 mg/kg b.w.).  Irregular degeneration of the germinal
    epithelium was observed at 20 mg/kg b.w. i.m. (2 animals) and at 40
    mg/kg b.w. p.o. (2 animals) (Marsboom et al., 1977b).

    2.2.3  Long-term/carcinogenicity studies

    2.2.3.1  Mice

         Four groups of albino Swiss mice (50 males and 50 females/group)
    were fed diets containing 0, 25, 100 and 400 mg/kg diet, equivalent to
    approximately 0, 5, 20 and 80 mg/kg b.w./day  of closantel for 18
    months.  All animals were observed daily for mortality and physical
    signs.  Full necropsy was performed on all animals which died or were
    sacrificed during the course of the study, and at the termination of
    the study on all surviving animals.

         Histopathological examination was performed systematically on
    lungs, liver, pancreas, kidneys, spleen, lymph nodes, testes, ovaries,
    mammary glands, adrenals, epididymis and hypophysis.

         No significant effects on overall survival rate or on the time at
    which mortalities occurred were noted in the various dosage groups of
    either males or females.  No dose related effects on health, behaviour
    and appearance or gross pathology or the incidence or types of tumours
    in albino Swiss mice were observed (Verstraeten et al. 1981a).

    2.2.3.2  Rats

         Four groups of Wistar rats (50 males and 50 females/group) were
    fed diets containing 0, 25, 100 and 400 mg/kg, equivalent to 0, 2.5,
    10 and 40 mg/kg b.w./day, closantel during 24 months.  All animals
    were observed daily for mortality and physical signs.  Gross
    examination was conducted on all animals which died or were sacrificed
    during the course of the study, and at the termination of the study on
    all surviving animals.

         Gross lesion examination was performed on lungs, liver, pancreas,
    kidneys, spleen, lymph nodes, testes, epididymis, ovaries, mammary
    glands, adrenals and thyroids in animals killed during the study or at
    the termination.  

         At the end of the study, cumulative mortalities in different
    groups (0, 2.5, 10, and 40 mg/kg b.w./day) were 46/50, 43/50, 38/50,
    49/50 for males and 32/50, 37/50, 36/50, 42/50 for females,
    respectively.  This rather high mortality could be related to the
    typical short life-expectancy of the Wistar rat strain, bred in the
    Janssen Laboratories used in this study.  Closantel did not have a
    very consistent effect on mortality.  In females, a slight increase of
    mortality was noted in the high dosage groups, whereas in males the
    final mortality was not influenced by the treatment.  The overall
    mortality in rats was not affected at doses of 25 and 10 mg/kg b.w. in
    either males or females.  At 40 mg/kg b.w./day a slight increase of
    mortality was noted in females.

         The observed necropsy findings were comparable between groups
    except for an increased incidence of spermatic granulomas in the 10
    and 40 mg/kg b.w./day dosed males.

         The over-all tumour rates were 40, 46, 58, 42% in males and 84,
    75, 64, 47% in females in the control, low, mid and high dose groups
    respectively.  In females, there was a dose-dependent decrease of
    total tumour incidence in the medium and high dosage groups.  The
    rather high number of adenomas seen in the 10 mg/kg b.w./day dosage
    group is likely to be related to the longer survival of this dosage
    group.

         There was a significantly increased number of tumours of the
    haematopoietic system in the mid-dose male rats.  This increase did
    not appear to be caused by the administration of closantel because:

         -    the increase was seen only at this level.

         -    the number of tumours of the haematopoietic system in the
              control male rats, namely 3 tumours in 48 examined animals,
              was unusually low when compared with the historical control
              data from 9 other carcinogenicity studies done at the
              Janssen facilities using the same Wistar rat in identical
              experimental conditions.

         Based upon comparison with the historical control data the
    incidences of tumours of the haematopoietic system seen in the mid-and
    low-dose males in this study were within the normal range of the
    Wistar rat strain, whereas those of the control and the high-dose
    males were significantly lower than normal.  In the females, the
    distribution of the different tumour types among the various groups
    was very similar.

         The incidence of histologically confirmed spermatic granulomas
    seen in the epididymis of male rats is summarized in Table 2.

    Table 2:  Incidence of spermatic granulomas

                                                              

    Dosage group             Incidence                p-value
    (mg/kg food)             n/N
                                                              

    Control                  0/48                     -
    25                       0/49                     -
    100                      7/50                     <0.05
    400                      30/50                    <0.001

                                                              

         An increase in the vacuolization of the optic nerve was observed
    in the high-dose males and females.

         The NOEL in this study was 2.5 mg/kg b.w./day (Verstraeten et
    al., 1981b).

    2.2.4  Reproduction study

    2.2.4.1  Rats

         Closantel was administered orally by gavage to male and female
    Wistar rats once monthly during 3 successive generations each
    producing 2 litters.  The doses were 0, 2.5, 10 and 40 mg/kg b.w./mo
    administered to 20 males and females/group.

         Studied parameters in adults were:  physical signs, body weight
    gain and food consumption of dams during pregnancy, mortality and
    gross pathology of males and females, and occurrence of mating,
    pregnancy rates, and duration of gestation.  Studied parameters in
    pups were:  litter size; weight at birth, weight and survival rate at
    3 weeks of age, and abnormalities.  The testes and epididymis were
    examined histologically.

         In adults, no adverse effects on body weight were observed 
    except at 40 mg/kg b.w./mo, where the marginal decrease of weight gain
    in the 2nd litter of the 2nd and 3rd generation was associated with a
    decrease in litter size.  Food consumption was not affected. 
    Mortalities of males and females were comparable between groups.  A
    tendency to decreased pregnancy rate was noted at 40 mg/kg b.w./mo. 
    Occurrence of mating and duration of gestation were comparable between
    groups.

         In pups, no adverse effects on litter size could be detected,
    except, at 40 mg/kg b.w./mo., a slight decrease in the number of
    implants in the 2nd generation (2nd litter) and the 3rd generation
    (1st and 2nd litters).  No embryotoxicity effects were noted.  Weight
    at birth and at 3 weeks of age were comparable between groups. 
    Survival rate at 3 weeks of age was considered to be normal in all
    groups.

         Histopathological findings of spermatic granulomas (1/56 animals
    at 10 mg/kg b.w./mo and 14/46 at 40 mg/kg b.w./mo) confirmed
    previously reported findings in the rat.

         The NOEL  for closantel in this study was 2.5 mg/kg b.w./month
    (Dirkx & Marsboom, 1984).

    2.2.5  Special studies on embryotoxicity and teratogenicity

    2.2.5.1  Rats

         Four groups of female Wistar rats were fed diets containing 0,
    25, 100 and 400 mg/kg of closantel in the diet, equivalent to 0, 2.5,
    10 and 40 mg/kg b.w./day during the period of organogenesis (day 6 to
    day 15).  The females were sacrificed on the 22nd day post mating.
    Body weight, food consumption and mortalities of dams were measured. 

    Implantation number, pregnancies and pups, litter size and weight at
    birth, resorption number, live and dead fetuses, number and
    distribution of live, dead and resorbed embryos, and abnormalities
    were measured.

         There were no differences between groups.  Teratogenic effects
    were not observed (Marsboom, 1975).

         Four groups of female Wistar rats were fed diets containing 0,
    25, 100 and 400 mg/kg closantel, equivalent to 0, 2.5, 10 and 40 mg/kg
    b.w./day, from day 16 of pregnancy and during the 3 week lactation
    period.  Body weight, food consumption, mortality, pregnancy rate, and
    the gestation period of dams were measured.  Cannibalism, litter size,
    weight at birth and at 2 and 3 weeks after birth, number of live and
    stillborn fetuses, survival of pups at 4 days and 2 and 3 weeks after
    birth and abnormalities in pups were quantified.

         There were no differences between groups and no effects related
    to treatment were observed (Marsboom, 1979).

    2.2.5.2  Rabbits

         Female New Zealand White rabbits (19 in the control group and 20
    in each experimental group) received closantel (0, 10 and 40 mg/kg
    b.w./day) orally by gavage from day 6 through day 18 of pregnancy, the
    period of organogenesis.  Females were sacrificed on the 28th day of
    gestation.  They were necropsied and checked for gross abnormalities. 
    The examined parameters were (for dams): pregnancy, body weight and
    mortality; (for pups): resorption numbers, live and dead fetuses,
    litter size, weight at delivery, survival rates after 24 hours, and
    abnormalities.

         One control female died on day 2 of the experiment from
    pneumonia.  No differences between groups were observed for body
    weight, pregnancy and embryotoxic effects.

         In the control group, two neonates from one female had bifurcated
    ribs; in the low dosage group, 3  neonates from 3 different females
    had either a deformed left fore-leg, a bifurcated rib or a waved rib;
    in the high dosage group, 2 neonates from 2 different females had
    either deformed thoracic bones or acrania.

         Teratogenic or embryotoxic effects were not observed in this
    study (Marsboom, 1976b).

    2.2.5.3  Sheep

         Ewes (274), separated into 10 treatment groups, received
    closantel orally at 0, 20, or 40 mg/kg, either on day 11, 17 or 23
    after mating.  No influence of treatment was noted on the ovarian

    cycle or on subsequent ovulation, copulation and conception.  No
    embryotoxic or teratogenic effects were reported in the clinical trial
    (Chevis, 1977).

    2.2.6  Special studies on fertility

    2.2.6.1  Rats

         The study was conducted using 20 males and 20 females/group. 
    Dose levels were 0, 25, 100 and 400 mg/kg food.  Males were treated
    for a minimum of 60 days prior to mating with non-dosed females. 
    Females were treated for at least 14 days prior to mating with non-
    dosed males and then throughout gestation.  Parameters studied were:
    body weight, food consumption, pregnancy outcome, mortality in
    parenteral and filial animals, number of implantations, litter size
    and weight, the number and distribution of live, dead and resorbed
    fetuses, and foetal abnormalities.

         Body weight gain was comparable in all parental groups, except
    for a lower weight gain in non-dosed females mated with dosed males of
    the 400 mg/kg food group; food consumption was comparable in all
    groups; no differences in pregnancy outcome were noted except a
    reduced pregnancy rate in the high dosage group of non-dosed females
    mated with dosed males; there were no mortalities.

         No embryotoxic effects were noted except for a decrease in the
    number of implants and litter size in the group of non-dosed females
    mated with high-dosed males.  No abnormalities were related to the
    administration of closantel.

         Fertility was not affected by the administration of closantel
    except for a decreased pregnancy rate in non-dosed females mated with
    high-dosed males (Marsboom, 1978).

    2.2.6.2  Other species

         Semen of bulls treated either once at approximately 2 mg/kg b.w.
    or three times at 5 mg/kg b.w. intramuscularly at 8 weekly intervals
    was normal (Debruyne, 1978); (Retief, undated a).

         Semen of rams treated three times, by the oral route at 20 mg/kg
    b.w. at 8 weekly intervals, was normal.  (Retief, undated b).

         In rams treated (15 mg/kg b.w. by the oral route) 3 or 5 times at
    3 or 4 weekly intervals, the semen was normal, and the testes and
    epididymis presented a normal structure (Johns, 1981).

    2.2.7  Special studies on genotoxicity

         Several tests were conducted to assess the genotoxicity of
    closantel, they are summarized in Table 3.


        Table 3:  Results of genotoxicity assays on closantel
                                                                                                                          
    Test System               Test object                Concentration              Results               Reference
                                                                                                                          
    Cytotoxicity              - L 5178 Y mouse           0.3-500 µg/ml              Cytotoxic effects     Enninger, 1989
                                lymphoma cells (1)                                  in all 3 test
                              - V 79 Chinese                                        systems.  Reduced
                                hamster cells                                       in presence of S9
                              - Chinese hamster                                     mix
                                ovary (CHO) cells

    Ames test (1)             S. typhimurium             10-2000 µg/plate (2)       Negative              Poncelet, 1981
                              TA 1530, TA 1535,
                              TA 1538, TA 98,
                              TA 100

    Ames test (1)             S. typhimurium             1-1000 µg/plate (2)        Negative              Vanparays &
                              TA 1535, TA 1538, TA                                                        Marsboom, 1987
                              97, TA 98,
                              TA 100

    In vivo:                  Drosophila melanogaster    10-50 ppm (3)              Negative              Vanparays &
    sex linked recessive                                                                                  Marsboom, 1981
    lethal test

    In vivo:                  Male mice                  10, 40, 160                Negative              Vanparays &
    Dominant lethal test                                 mg/kg  single                                    Marsboom, 1978a
                                                         oral treatment
                                                         (4)

    In vivo:                  Female mice                10, 40, 160                Negative              Vanparays &
    Dominant lethal test                                 mg/kg  single                                    Marsboom, 1978b
                                                         oral treatment
                                                         (4)

    DNA repair assay          Cultured rat               0.3-100 µg/ml              Negative              Weterings, 1985
                              hepatocytes                (5)
                                                                                                                          

    Table 3 (continued)

    1    Both with and without rat liver S9 fraction
    2    Sodium azide, nitrofluorene and 2-aminoanthracene were used as positive controls
    3    Procarbazine was used as positive control
    4    Cyclophosphamide used as positive control
    5    7,12-Dimethyl benzanthracene was used positive control
    

    2.3  Observations in humans

         A single oral dose of closantel of 2.5 mg/kg b.w. in 5 patients
    and a single s.c. injection of 2.5 mg/kg b.w. in one patient were
    administered against F. hepatica.  All orally treated patients
    complained of the bitter taste of the drug, and one presented with
    nausea and vomiting.  In the last case, the dose was repeated adding
    sugar and was then well tolerated.  After the s.c. injection,
    tachycardia, sweating, a metallic taste in the mouth, induction of
    micturition and defecation, reddening of the skin, nervousness,
    stress, excitation and a sensation of anguish occurred.

         Haematology tests (haematocrit, WBC count and differential
    prothrombin-time), clinical biochemistry tests (ALP, SGOT, SGPT,
    cholesterol, and glucose), and urinalysis remained unchanged (2
    examinations were carried out:  one before, and the other seven days
    after treatment) (Bernardiner, 1979).

         Patients (14) were treated with a single oral dose of 5 mg/kg
    b.w. of closantel.  The treatment was well tolerated but poor efficacy
    against Ancylostoma duodenale was obtained (Borda, 1980).

         Patients (13) were treated with a single dose of closantel (6 at
    5 mg/kg b.w; 3 at 7.5 mg/kg b.w.; 4 at 10 mg/kg b.w.).  In all
    treatment groups, side effects such as diarrhoea, drowsiness and
    blurred vision were observed (Saowakontha, undated).

    3.  COMMENTS

         The toxicological data considered by the Committee included the
    results of studies on metabolism, of short-term studies, and of
    studies of carcinogenicity, genotoxicity and effects on reproduction
    and development.

         In studies in rats and sheep, closantel was shown to be strongly
    bound to the plasma proteins.  The compound was poorly metabolized,
    mainly to 3- and 5- monoiodoclosantel.  About 90% of the administered
    dose was excreted in the faeces, and about 90% was unchanged.

         In a study in rats in which closantel was administered in the
    diet at levels up to the equivalent of 40 mg per kg of body weight per
    day for 13 weeks, spermatic granulomas in the epididymis and hepatic
    fatty changes in the liver were observed at the highest dose level. 
    The NOEL was 2.5 mg per kg of body weight per day.

         Dogs were dosed for 3 months by oral administration of the
    compound in gelatin capsules at levels up to 40 mg per kg of body 

    weight per day.  There were fatty changes in the liver at the highest
    dose level.  The NOEL for this study was 2.5 mg per kg of body weight
    per day.

         A carcinogenicity study was conducted in mice, which received
    closantel in the diet at levels up to 80 mg per kg of body weight per
    day for 18 months.  There were no dose-related effects on the total
    numbers of tumours nor on any individual type of tumour.  No other
    effects were observed in this study.

         In a carcinogenicity study in rats in which closantel was
    administered in the diet at levels up to 40 mg per kg of body weight
    per day for 24 months, there was no effect on the overall incidence of
    tumours.  However, by comparison with concurrent controls, there was
    a statistically significant increase in the incidence of
    haematopoietic tumours in male rats at 10 mg per kg of body weight per
    day.  This incidence was nevertheless within the historical control
    range, while the incidences found in the control and high-dose groups
    were significantly lower than in the historical controls.  Spermatic
    granulomas were observed.  The NOEL for this study was  2.5 mg per kg
    of body weight per day.

         Adverse effects on reproduction were probably associated with
    toxicity to the male reproductive organs, and were seen only at doses
    of 2.5 mg/kg body weight per day and above.  In a fertility study in
    rats, in which closantel was administered in the diet, there was a
    reduced pregnancy rate in untreated females paired with males
    receiving the highest dose of 40 mg per kg of body weight per day.  A
    three-generation reproduction study was conducted in male and female
    rats, in which the compound was administered once monthly by gavage. 
    There was a decrease in the pregnancy rate and number of implants per
    animal at the highest dose level of 40 mg per kg of body weight. 
    Spermatic granulomas were seen at 10 and 40 mg per kg of body weight
    but not at 2.5 mg per kg of body weight.

         In teratogenicity studies in rabbits and rats, no teratogenic or
    toxic effects were evident at doses up to 40 mg per kg of body weight
    per day.  The rabbits received closantel by gavage on days 6 to 18 of
    pregnancy, while the rats, were given the compound in the diet on days
    6 to 15 of pregnancy.

         Closantel gave negative results in a range of in vitro and
    in vivo mutagenicity studies.  No tests for clastogenicity were
    performed, but the Committee noted that carcinogenicity studies had
    been carried out in two species.

         Limited clinical reports were available from 33 patients who were
    treated with a single oral or parenteral dose of closantel at 2.5 to
    10 mg per kg of body weight.  There were no adverse effects. 

    4.  EVALUATION

         An ADI of 0-0.03 mg per kg of body weight was established for
    closantel based on the NOEL of 2.5 mg per kg of body weight per day in
    rats and a safety factor of 100.

    5.  REFERENCES

    BEHM, C.A. & BRYANT, C. (1985).  The mode of action of some modern
    anthelmintics.  In Anderson, N. & Waller, J.P. (Eds). Resistance in
    Nematodes to anthelmintic drugs.  Commonwealth Scientific & Industrial
    Research Organization. Australia, pp. 57-67.

    BERNARDINER, E. (1979).  Preliminary results of the study with
    Closantel in fluke disease.  Unpublished data. N 1807 from Johnson-
    Johnson.  Buenos-Aires, Argentina.  Submitted to WHO by Janssen
    Pharmaceutica.

    BORDA, E. (1980).  Clinical efficacy and safety of Closantel (R 31520)
    on pregnancy in sheep.  Unpublished Report N 22122 from Corrientes,
    Argentina. Submitted to WHO by Janssen Pharmaceutica.

    CHEVIS, R. (1977).  Investigation of the effect of Closantel (R 31522)
    from on pregnancy in sheep.  Unpublished trial Report V 2744, from
    ETHNOR (PTY) LTD. The Oaks, Australia.  Submitted to WHO by Janssen
    Pharmaceutica. 

    DEBRUYNE, R. (1978).  Fertility control in male cattle after
    administration of Closantel (R 31520).  Unpublished Report V 2859,
    from Artificial Insemination Center.  Oostmalle, Belgium.  Submitted
    to WHO by Janssen Pharmaceutica.

    DIRKX, P. & MARSBOOM, R. (1984).  Oral three-generation study in
    Wistar rats.  Unpublished Report V 5183 from Janssen Research Products
    Information Service, Janssen Pharmaceutica, Beerse, Belgium.  
    Submitted to WHO by Janssen Pharmaceutica.

    ENNINGER, I.C. (1989).  Evaluation of the cytotoxic activity of
    Closantel R 31520 in L 5178 Y mouse lymphoma cells, in V 79 Chinese
    hamster cells and in Chinese hamster ovary (CHO) cells.  Unpublished
    Report V 6999 from RCC NOTOX 2BV. S'-Hertogenbosch, the Netherlands. 
    Submitted to WHO by Janssen Pharmaceutica.

    JOHNS, D. (1981).  To determine the effect of Closantel on the
    fertility of rams after five consecutive oral treatments at twice the
    recommended rate.  Unpublished Report V 4362, from Smith-Kline Animal
    Health.  The Oaks, Australia. Submitted to WHO by Janssen
    Pharmaceutica.

    KANE, H.J., BEHM, C.A. & BRYANT, C. (1980).  Metabolic studies on the
    new fasciolicidal drug, Closantel.   Mol. and Biochem. Parasitol., 1,
    347-355.

    MANNENS, G., MOSTAMANS, E., VERBOVEN, P., HENDRICKX, J., HURKMANS, R.,
    VAN LEEMPUT, L., MEULDERMANS, W. AND HEYKANTS, J. (1989).  The
    excretion and metabolism of 14-C-closantel in male Wistar rats after
    a single oral dose of 10 mg/kg.  Unpublished report V 7201.  Submitted
    to FAO by Janssen Pharmaceutica.

    MARSBOOM, R. (1975).  Oral embryotoxicity and teratogenicity study in
    Wistar rats (Segment II).  Unpublished Report V 2403- from Janssen
    Research Products Information Service, Janssen Pharmaceutica, Beerse,
    Belgium. Submitted to WHO by Janssen Pharmaceutica.

    MARSBOOM, R. (1976a).  Acute toxicity studies in sheep and cattle
    single dosing: oral/intramuscular.  Unpublished report preclinical
    research Report V 2402 from Janssen Research Products Information
    Service, Janssen Pharmaceutica, Beerse, Belgium.  Submitted to WHO by
    Janssen Pharmaceutica.

    MARSBOOM, R. (1976b).   Oral embryotoxicity and teratogenicity study
    in New Zeeland White rabbits (SEGMENT II).  Unpublished Report V 2404
    from Jansen Research Products Information Service, Janssen
    Pharmaceutica, Beerse, Belgium, Submitted to WHO by Janssen
    Pharmaceutica.

    MARSBOOM, HERIN, V., VANDENSTANE, R. & VAN BELLE, H. (1977a).  Oral
    toxicity study in Wistar rats (repeated dosages for 13 weeks).
    Unpublished Report V 2700 from Janssen Research Products Information
    Service, Janssen Pharmaceutica, Beerse, Belgium, Submitted to WHO by
    Janssen Pharmaceutica.

    MARSBOOM, R., HERIN, V., VANDENSTANE, R. & VAN BELLE, H. (1977b). 
    Oral and intramuscular toxicity study in Suffolk Sheep (10 doses per
    animal one every fourth week).  Unpublished Report V 2701 from Janssen
    Research Products Information Service, Janssen Pharmaceutica, Beerse,
    Belgium.  Submitted to WHO by Janssen Pharmaceutica.

    MARSBOOM, R. (1978).  Oral male and female fertility study in Wistar
    rats.  (Segment I).  Unpublished Report V 2860 from Janssen Research
    Products Information Service, Janssen Pharmaceutica, Beerse, Belgium. 
    Submitted to WHO by Janssen Pharmaceutica.

    MARSBOOM, R. & HERIN, V. (1978).  Oral toxicity study in Beagle dogs
    (repeated dosage for 3 months). Unpublished Report V 2985 from Janssen
    Research Products Information Service, Janssen Pharmaceutica, Beerse,
    Belgium. Submitted to WHO by Janssen Pharmaceutica.

    MARSBOOM, R. (1979).  Oral Embryotoxicity and teratogenicity study in
    Wistar rats (peri. and postnatal study) (Segment III).  Unpublished
    Report V 3847 from Janssen Research Products Information Service,
    Janssen Pharmaceutica, Beerse, Belgium.  Submitted to WHO by Janssen
    Pharmaceutica.

    MARSBOOM, R. LAMPO, A., VAN CAUTEREN, H., VANPARYS, P.H., MAES, L. &
    HEYKANTS, J. (1989).  Review report on the toxicological,
    pharmacodynamic and pharmacokinetic documentation related to
    Closantel.  Unpublished executive review report from Janssen Research
    Foundation Products Information Service, Janssen Pharmaceutica,
    Beerse, Belgium.  Submitted to WHO by Jansen Pharmaceutica.

    MEULDERMANS, W., MICHIELS, M., WOESTENBORGHS, R., VAN-HOUDT, J.,
    LORREYNE, W., HENDRICKX, J., HEYKANTS, J. & DESPLENTER, L. (1982). 
    Absorption, tissue distribution, excretion and metabolism of
    Closantel-14C after intramuscular and oral administration in sheep. 
    Unpublished preclinical research report V 4523 from Janssen Research
    Products Information Service, Janssen Pharmaceutica, Beerse, Belgium. 
    Submitted to WHO by Jansen Pharmaceutica.

    MICHIELS, M., WOESTENBORGHS, R., HEYKANTS, J. & MARSBOOM, R. (1977a). 
    On the absorption and distribution of Closantel (R 31520) in sheep
    after oral and intramuscular administration.  Unpublished preclinical
    research report V 2709 from Janssen Research Products Information
    Service, Janssen Pharmaceutica, Beerse, Belgium.  Submitted to WHO by
    Janssen Pharmaceutica.

    MICHIELS, M., HENDRICKX, J., HEYKANTS, J., MARSBOOM, R. (1977b). 
    Plasma and milk concentrations of Closantel in cattle after a single
    intramuscular administration.  Unpublished preclinical research report
    V 2706 from Janssen Research Products Information Service, Janssen
    Pharmaceutica, Beerse, Belgium.  Submitted to WHO by Janssen
    Pharmaceutica.

    MICHIELS, M., MEULDERMANS, W. & HEYKANTS, J. (1987).  The metabolism
    and  fat of Closantel (Flukiver) in sheep and cattle.   Drug. Met.
     Review, 18, (2 & 3), 235-251.

    NIEMEGEERS, C.J.E. (1976).  Acute intramuscular and oral toxicity of
    R 31520 in mice and rats.  Unpublished preclinical research report V
    2396 from Janssen Research Products Information Service, Janssen
    Pharmaceutica, Beerse, Belgium.  Submitted to WHO by Jansssen
    Pharmaceutica.

    PONCELET, F. (1981).  In vitro mutagenicity study of Closantel R
    31520, lot B 4901.  Unpublished Report V 3944 from Laboratoires de
    Toxicologie, UCL. Woluwe, Belgium.  Submitted to WHO by Janssen
    Pharmaceutica.

    PRICHARD, R.K. (1987).  The pharmacology of anthelmintics in
    livestock.   Int. J. Parasitol. 17, 473-482.

    RETIEF, G. (undated a).  To determine the effect of Closantel
    administered s.c. at 5 mg/kg livemass after 3 treatments spaced at 8
    weekly intervals on the semen quality of bulls.  Unpublished Report V
    3782 from Animal Breeding Services (PTY) LTD. Brooklyn, Pretoria. 
    Submitted to WHO by Janssen Pharmaceutica.

    RETIEF, G. (undated b).  To determine the effect of Closantel on the
    fertility of rams after three consecutive oral treatments, 8 weeks
    apart at double the recommended dosage rate.  Unpublished Report V
    3783 from Animal Breeding Services (PTY) LTD. Brooklyn, Pretoria. 
    Submitted to WHO by Janssen Pharmaceutica.

    SOAWAKONTHA, S. (undated).  Unpublished report from Thailand. 
    Submitted to WHO by Janssen Pharmaceutica.

    VAN DEN BOSSCHE, H., VERHOEVEN, H., VANPARIJS. O., LAWERS, H. &
    THIENPONT, H. (1979).  Closantel a new antiparasitic hydrogen
    ionophore.   Arch. Int. Physiol. Biochimie., 87, 851-852.

    VAN DEN BOSSCHE, H., VERHOEVEN, H. & LAWERS, H. (1980).  Uncoupling of
    liver mitochondria associated with fascioliasis in rats. 
    Normalization by Closantel.  In: Van den Bossche (Ed).  The host
    invader interplay, Elsevier, Amsterdam, pp. 699-704.

    VAN DEN BOSSCHE, H. & VERHOEVEN, H. (1983).  Effects of albumin on the
    Closantel induced alterations of mitochondrial processes.  Unpublished
    preclinical research report V 4546 from Janssen Research Products
    Information Service, Janssen Pharmaceutica, Beerse, Belgium. 
    Submitted to WHO by Janssen Pharmaceutica.

    VANPARYS, P.H. & MARSBOOM, R. (1978a).  Closantel R 31520.  Dominant
    lethal test in male mice.  Unpublished report V 3144 from Janssen
    Research Products Information Service, Janssen Pharmaceutica, Beerse,
    Belgium. Submitted to WHO by Janssen Pharmaceutica.

    VANPARYS, P.H. & MARSBOOM, R. (1978b).  Closantel R 31520.  Dominant
    lethal test in female mice.  Unpublished report V 2998 from Janssen
    Research Products Information Service, Janssen Pharmaceutica, Beerse,
    Belgium. Submitted to WHO by Janssen Pharmaceutica.

    VANPARYS, P.H. & MARSBOOM, R. (1981).  Closantel R 31520. Sex linked
    recessive lethal test on Drosophila Melanogaster.  Unpublished report
    V 4058 from Janssen Research Products Information Service, Janssen
    Pharmaceutica, Beerse, Belgium. Submitted to WHO by Janssen
    Pharmaceutica.

    VANPARYS, P.H. & MARSBOOM, R. (1987).  Closantel R 31520.  Ames
    reverse mutation test.  Unpublished report V 6517 from Janssen
    Research Products Information Service, Janssen Pharmaceutica, Beerse,
    Belgium. Submitted to WHO by Janssen Pharmaceutica.

    VERHEYEN, A., VANPARYS, O., LAWERS, H. & THIENPONT, D. (1980).  The
    influence of Closantel administration to sheep on the ultrastructure
    of the adult liver fluke F. hepatica L. In: van den Bossche (Ed).,
    The host invader interplay, Elsevier, Amsterdam, pp. 705-708.

    VERSTRAETEN, A., VANDENBERGHE, J. & MARSBOOM, R. (1981a).  Oral
    carcinogenicity study in Albino Swiss mice (repeated dosage for 18
    months).  Unpublished report V 4057 from Janssen Research Products
    Information Service, Janssen Pharmaceutica, Beerse, Belgium. Submitted
    to WHO by Janssen Pharmaceutica.

    VERSTRAETEN, A., VANDENBERGHE, J., HERIN, V. & MARSBOOM, R. (1981b). 
    Oral carcinogenicity study in Wistar rats (repeated dosage for 24
    months).  Unpublished report V 4057 from Janssen Research Products
    Information Service, Janssen Pharmaceutica, Beerse, Belgium. Submitted
    to WHO by Janssen Pharmaceutica.

    WETERINGS, P.J.J.M. (1985).  Evaluation of the DNA repair inducing
    ability of R 31520 in a primary culture of rat hepatocytes. 
    Unpublished Report V 5740 from NOTOX v.o.f, S'-Hertogenbosch, The
    Netherlands.  Submitted to WHO by Janssen Pharmaceutica.


    See Also:
       Toxicological Abbreviations
       CLOSANTEL (JECFA Evaluation)