IPCS INCHEM Home


    TRENBOLONE ACETATE

    EXPLANATION

         Trenbolone acetate was considered at the twenty-sixth meeting of
    the Joint FAO/WHO Expert Committee on Food Additives (Annex 1,
    reference 59), but it could not be evaluated at that time because the
    necessary documentation on residue levels, good animal husbandry in
    relation to the use of the agent, and details of methods of analysis
    were not available.

         At the twenty-seventh meeting (Annex 1, reference 62) the
    Committee provisionally accepted the use of trenbolone acetate as an
    anabolic agent for the production of meat for human consumption in
    accordance with good animal husbandry practice, and requested the
    submission of the results of a study known to be in progress to
    establish a no-hormonal-effect level in non-human primates.

         This monograph contains the data previously considered by the
    Committee, as well as data that have been submitted recently.

    BIOLOGICAL DATA

    Biochemical aspects

    Absorption, distribution, excretion, and metabolism

    Rats

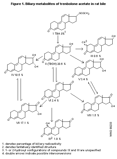
         Male Sprague-Dawley (bile duct cannulated) rats received single
    i.v. doses of 28 mg/kg b.w. 3H-labelled trenbolone acetate (TBA).
    Eighty-four percent of the administered radioactivity was excreted via
    the bile in 24 hours after dosing (6% "free", 37% as the glucuronide,
    and 37% as the sulfate). 3-Ketotrienic structures accounted for 66% of
    biliary radioactivity; 17-alpha-hydroxytrenbolone (alpha-TBOH) was not
    detected in the bile. The identified 3-ketotrienic metabolites are
    presented in Figure 1 (Pottier  et al., 1978).

    Cattle

         Two male calves, each given s.c. implantations with 140 mg TBA at
    the base of the right ear, showed a high urinary elimination rate of
    trenbolone (TBOH) (detected fluorometrically). Within 3 hours after
    application relatively high concentrations were measured (50-80 ng/mg
    creatinine); the maximum TBOH level was reached after 10 hours (about
    120 ng/mg creatinine) followed by a sudden drop within two days.
    Additional implantation of estradiol-17ß reduced TBOH excretion very
    slightly (Bouffault, 1977).

         Groups of 3 - 4 bull calves were given s.c. implantations of
    20 mg 3H-estradiol-17ß or 20 mg 3H-estradiol-17ß + 140 mg TBOH.
    TBOH caused a marked delay in estradiol excretion. In calves receiving
    estradiol only, the maximum plasma estradiol-17ß level was 3 nmole/l,
    and 95% of the applied radioactivity was excreted in the urine and
    faeces within 20 days; after more than 31 days radioactivity was no
    longer detectable in the urine or faeces. Calves treated with TBOH
    showed a maximum plasma estradiol-17ß level of 0.33 nmole/l and
    excretion of radioactivity was observed up to 107 days after
    administration; at that time faecal and urinary radioactivity levels
    were still 1.4 - 3 nCi/g (Riis & Suresh, 1976).

         Twelve calves weighing 150 - 200 kg each received s.c. implants
    in the ear containing 200 mg 3H-TBA. Half of the animals were
    sacrificed at 15 days, the other half at 30 days after implantation.
    Blood samples were taken at intervals between dosing and sacrifice. At
    sacrifice, the liver, kidneys, and samples of muscle, fat, and bile
    were taken for analysis. Concentrations of radioactivity in the plasma
    were fairly constant during the experimental period, with mean levels
    of 4 to 5 ng equivalents/ml. Tissue concentrations of radioactivity
    were either similar at 15 and 30 days or were higher at 30 days.

    CHEMICAL STRUCTURE 2

    Highest concentrations were found in the liver (42 and 49 ng
    equivalents/g at 15 and 30 days, respectively). Lower concentrations
    were found in the kidneys (15 - 20 ng equivalents/g) and muscle and
    fat (2 - 3 ng equivalents/g). High concentrations of radioactivity in
    the bile (1073 and 736 ng equivalents/ml at 15 and 30 days,
    respectively) indicate its importance in excretion of this compound.
    Comparison of total and non-volatile radioactivity showed that only a
    small amount of tritiated water was produced. About 10% of the
    radioactivity in the liver samples was extracted by diethyl ether or
    ethyl acetate, and this proportion increased to about 20 - 30%
    following incubation with ß-glucuronidase, indicating the presence of
    a glucuronide(s) (Hawkins  et al., 1984).

         Two heifers were given single s.c. implantations with 300 mg
    3H-labelled TBA. One heifer was killed 60 days after implantation;
    the implant was removed from the other heifer after 60 days and the
    animal was killed 16 days later. The H content in the liver, kidneys,
    muscle, and fat varied from 0.5 to 25 ppb. Of these residues, 1 - 5%
    was TBA, TBOH, and trenbolone glucuronide; up to 5% was found in other
    organic-soluble material. Of the remaining radioactivity, about 50%
    was water soluble, and the insoluble residue could be made water
    soluble by treatment with the proteolytic enzymes pepsin and trypsin
    (Ryan & Hoffman, 1978).

         Two heifers were given single s.c. implantations with 300 mg
    3H-labelled TBA. After 60 days the implants, which still contained
    31% of the initial radioactivity, were removed. One heifer was killed
    immediately, the other was maintained for 16 days after implant
    removal and then killed. Ethyl acetate-extractable radioactivity in
    blood plasma could largely be ascribed to TBOH; in most cases no TBA
    was found in plasma. Plasma concentrations during days 1 - 55 after
    dosing were 5 - 13 ppb; after 58 days a large increase in both total
    and nonvolatile radioactivity was observed (17 - 20 ppb). The
    half-lives for plasma disappearance of total and non-volatile
    radioactivity were 32 and 29 days, respectively, during the
    implantation period and 18 and 14 days, respectively, during the
    withdrawal period. Plasma ethyl acetate-extractable radioactivity
    amounted to 10 - 74% of the total radioactivity during days 1 - 55
    after implantation, and this declined to 5% at 16 days after implant
    removal. In the 16 days from implant removal to sacrifice,
    radioactivity decreased by 58% in muscle, 75% in liver, 77% in
    kidneys, and 74% in fat (Chasseaud  et al., 1976).

         Heifers (aged 15 months, number not given) were given daily oral
    doses of 0.4 or 8 mg TBA per animal for 9 weeks. After 1 and 2 weeks
    TBA was detected in the urine. Two weeks after drug withdrawal the
    compound was detected in some urine samples, whereas after 3 weeks no
    TBA was detected (Stephany  et al., 1976).

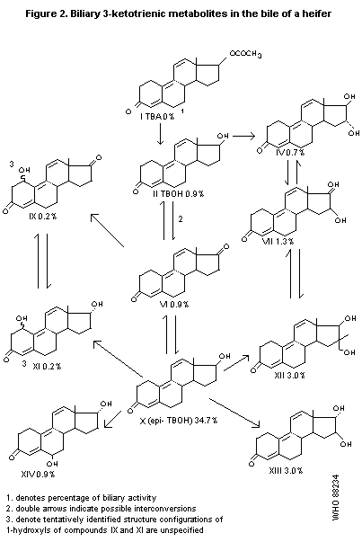
         A 14-month-old heifer, after i.v. administration of 10 mg/kg b.w.
    TBA, excreted 80% of the administered radioactivity in the bile during
    the first 24 hours; 3.5% was in the free form, 30% was excreted as
    glucuronides, and 30% as sulfates. Metabolites with the 3-ketotrienic
    structure that were identified in the bile are presented in Figure 2.
    Three compounds that had lost their ketotrienic structure were also
    isolated; these metabolites are presented in Figure 3. Less than 1% of
    the administered radioactivity was isolated as tritiated water
    (Pottier  et al., 1978).

         Specimens of muscle from the back and rear leg and specimens from
    the liver were taken from two heifers that had been implanted two
    months earlier with 300 mg 3H-TBA. In addition, bile was collected
    by catheterization of one heifer on days preceding slaughter. The
    radioactivity content of muscle, independent of its location, was
    one-tenth the level in liver, whereas radioactivity levels in the bile
    were 15 times higher than in liver tissue, alpha-TBOH and ß-TBOH
    concentrations were determined by reverse isotopic dilution. On
    average, the concentration of ß-TBOH was 0.05 to 0.1 ppb in various
    tissues, whereas that of alpha-TBOH, which was only 0.005 ppb in the
    muscle, reached 0.88 ppb in the liver. Following enzymolysis, ß-TBOH
    was not detected in the bile, which contained, by contrast, nearly
    200 ppb alpha-TBOH. Thus, alpha-TBOH represented 10% of total TBOH in
    muscle, 90 - 95% in the liver, and more than 99% of the total in bile
    (Pottier, 1979).

         3H-TBA was implanted in the ears of two heifers (300 mg;
    388 mCi) and the distribution of the radioactivity in liver and muscle
    tissue was determined, applying rigorously standardized organic or
    aqueous extraction procedures, either directly or following enzymatic
    hydrolysis and proteolytic procedures. These steps yielded almost 100%
    recovery of the radioactivity and indicate that only 5 to 15% of the
    total residues were extractable with organic solvents. The remaining
    radioactivity was either soluble in aqueous media or remained bound to
    tissue structures. In another experiment, liver tissue from a calf
    treated with 3500 mg TBA 68 days prior to slaughter was examined by
    applying radioimmunoassay techniques to determine TBA/TBOH ratios.
    Trienic-steroid type residues were obtained only from fractions
    containing residues extractable with organic solvents (Hoffman  et al.,
    1984).

         Two barren cows, after i.v. administration of 10 mg 3H-TBA per
    animal, displayed very rapid hydrolysis of 3H-TBA in the blood
    plasma; after 0.1 hour, only 2% of the radioactivity was recovered as
    TBA, whereas 70% was recovered as TBOH. After 2 hours, radioactivity
    could no longer be extracted, and in the extracted fraction polar
    components predominated. From 3 - 8 hours TBOH disappeared from the
    blood (half-life, 1.5 hours) (Pottier  et al., 1975).

    CHEMICAL STRUCTURE 3

    CHEMICAL STRUCTURE 4

         In two barren cows after s.c. implantation of 300 mg 3H-TBA per
    animal at the base of the ear, slow resorption from the implant
    occurred; the half-life of disappearance from the implant was 68 - 84
    days. About 33% of the radioactivity was extracted in the blood plasma
    over the 3-month period after implantation, 70% of which was accounted
    for by TBOH. The main routes of excretion were via the bile and urine.
    Tissue levels after 3 months were about 1 ppb, except in the liver
    (6.5 ppb) and kidneys (4.5 ppb). Twenty-five percent of the tissue
    radioactivity was extractable, 40% of which was TBOH. In the liver and
    kidneys, however, only 10% was extractable, while in perirenal fat up
    to 88% of the radioactivity was extractable. In perirenal fat 50% of
    the radioactivity was TBA. Radioactivity levels in the implantation
    zone were 8 - 21% of the implanted quantity (Pottier  et al., 1973;
    Pottier  et al., 1975).

         Slow resorption from s.c. implants of 300 mg 3H-TBA occurred in
    2 lactating cows. The half-life for disappearance from the implant was
    approximately 60 days. About 17% of the radioactivity present in the
    blood plasma over the period of 5 months after implantation was
    extractable. Less than 1% of the radioactivity was excreted in milk.
    Ten percent of the milk radioactivity was extractable and 25% of this
    extractable radioactivity was TBOH. Tissue levels after 5 months were
    about 1 ppb, except in the liver (3.4 ppb) and kidneys (2.7 ppb).
    About 25% of the tissue radioactivity was extractable, except in the
    liver and kidneys (both 10%); about 40% of this extractable
    radioactivity was TBOH. In contrast, 88% of total radioactivity in
    perirenal fat was extractable, of which 50% was TBA. Unchanged TBA was
    found in no other tissues. Radioactivity levels in the implantation
    zone were 8 - 21% of the implanted quantity after 5 months (Pottier
     et al., 1973; Pottier  et al., 1975).

         Two steers were given by single s.c. implantations 300 mg
    3H-TBA in combination with 40 mg estradiol; the implants were
    removed 60 days later, at which time 28% of the radioactivity remained
    in them. Ethyl acetate-extractable radioactivity in blood plasma was
    primarily ascribed to TBOH; in most cases no TBA was found in the
    plasma. One animal was killed immediately after removal of the
    implant. Plasma concentrations in this animal declined with half-lives
    of 26 days for both total and non-volatile radioactivity; ethyl
    acetate-extractable radioactivity in the plasma of this animal ranged
    between 3 - 5% of the total radioactivity. In the other animal, which
    was killed 16 days after removal of the implant, plasma concentrations
    declined during days 1 - 60, with half-lives of 50 and 55 days for
    total and non-volatile radioactivity, respectively. In the 16 days
    from implant removal to sacrifice, radioactivity decreased by 46% in
    muscle, 2% in liver and kidneys, and 29% in fat (Chasseaud  et al.,
    1976).

    Relay bioavailability

         Groups of 3 rats were fed freeze-dried or ethyl acetate-extracted
    liver, kidney, or muscle obtained from two heifers killed 60 days
    after s.c. implantation with 300 mg 3H-TBA. 3H-TBA levels in the
    heifers averaged 30 ng equivalents/g in the liver, 24 ng equivalents/g
    in the kidneys, and 3.2 ng equivalents/g in muscle. Radioactivity
    excretion during the 3 days after feeding these tissues to rats is
    presented in Table 1 (Hawkins  et al., 1979).

         Groups of 3 bile duct-cannulated rats that had been fasted for 24
    hours were fed during 1 hour freeze dried liver, kidney, or muscle
    from the two heifers described in the previous paragraph.
    Radioactivity disposition during 48 hours after feeding of these
    tissues is presented in Table 2 (Hawkins  et al., 1979).

    Table 1.  Excretion of radioactivity by rats after being fed tissues
              from heifers implanted with 3H-TBA
                                                                        

                                        Excretion in percent of
                                        administered radioactivity      

    Treatment                Tissue     Urine       Faeces      Total
                                                                        

    Freeze-dried tissue      Liver      3           81          84
                             Kidney     2           93          94
                             Muscle     6           85          91

    Extracted tissue         Liver      5           78          83
                             Kidney     2           103         105
                             Muscle     2           73          75
                                                                        


    Table 2.  Excretion of radioactivity by bile duct-cannulated rats
              after feeding of tissue from heifers implanted with 3H-TBA
                                                                        

               Excretion in percent of administered radioactivity       

    Tissue     Bile    Urine    Faeces    GI tract + contents    Total
                                                                        

    Liver      7       5        59        2                      74
    Kidney     3       1        31        60                     95
    Muscle     3       2        56        not detected           61
                                                                        

    Effects on protein binding

         The affinity of alpha-TBOH and ß-TBOH for corticosteroid binding
    globulin, measured  in vitro using the human plasma of elderly women,
    was very low, less than 0.1% bound, compared with 10% for testos-
    terone. The affinity of alpha-TBOH and ß-TBOH for testosterone and
    estradiol binding globulin was 1% of that measured for testosterone.
    When alpha-3H-TBOH was incubated  in vitro with female human plasma,
    it readily bound to the albumin fraction; only 4% was present
    as free TBOH. The total blood clearance of ß-TBOH was twice that of
    testosterone (Philibert & Moguilewsky, 1983).

    Effects on estradiol-17ß excretion and nitrogen retention

    Cattle

         Plasma residues of estradiol-17ß in cattle were affected by the
    presence of TBA in the s.c. implant. Plasma levels of estradiol-17ß
    remained greater than 0.05 ppb for nine weeks in steers after
    treatment with 200 mg TBA in combination with 40 mg estradiol-17ß,
    whereas the residual levels decreased below 0.05 ppb within 5 weeks
    after implantation of 40 mg estradiol-17ß alone (Heitzman & Hardwood,
    1977).

         Implantation of 40 mg TBA in the dewlap of Friesian bulls
    (11 - 16 weeks of age) did not affect nitrogen retention. Implantation
    of 140 mg TBA in combination with 20 mg estradiol-17ß at the same
    site, however, resulted in a 47% decrease in nitrogen retention
    (van der Wal, 1975).

    Pigs

         Pigs (males, females, and castrated males) were given s.c.
    implantations with either 20 mg estradiol-17ß or 20 mg estradiol-17ß
    in combination with 140 mg TBA. At 5 weeks after implantation, steroid
    estrogens were hardly detectable in the faeces, and serum values for
    estradiol-17ß were very low in both groups. Urine estradiol-17ß levels
    were 6 - 82 µg/l in the estradiol-17ß group and 16 - 135 µg/l in the
    combination group (Kroes  et al., 1976a).

    Toxicological studies

    Special studies on carcinogenicity potential

    Rats

         Male Wistar rats (number not specified) were injected i.p.
    with 15 µg/kg b.w. 3H-estradiol-17ß (53.6 Ci/mmole), 19 µg/kg
    b.w. 3H-testosterone (54.0 Ci/mmole), 17 µg/kg b.w. 3H-TBA,
    (57.0 Ci/mmole), or 30 µg/kg b.w. 3H-zeranol (50.0 Ci/mmole), all in
    95% ethanol solution. The animals were sacrificed 16 hours after
    injection and the Covalent Binding Indices (CBI, Lutz, 1979) of the
    chemicals to DNA in the liver were quantitated. The CBIs were 11.4,
    4.80, 5.62, and 1.65 for estradiol-17ß, testosterone, TBA, and
    zeranol, respectively (weak carcinogens have a CBI approx. or equal
    10, Lutz, 1979). The positive control, N-hydroxy-acetylaminofluorene,
    had a CBI value of 262 (Barraud  et al., 1983).

         The CBI of TBA as a function of time was measured by
    administering 0.83 mCi (22 - 40 µg/kg b.w.) 3H-TBA i.p. to 8 male
    rats. The animals were killed at 4, 8, 12, 20, 24, 36, 48, and 96
    hours. The highest CBI, 7.82 was obtained after 24 hours; after 96
    hours the CBI was 1.11 (Barraud  et al., 1983).

         Treatment of rodents with initiators of liver cancer can give
    rise to phenotypically altered cells which, under suitable conditions,
    will develop into foci of potentially pre-neoplastic cells. These foci
    may either regress or develop into malignant nodules, but because they
    only take a few weeks to become apparent, induction of such foci
    represents a useful short-term indication of tumour-initiating
    capacity.

         alpha-TBOH or ß-TBOH (2.5, 5, or 10 mg/kg b.w.), ethinyl
    estradiol (0.05 mg/kg b.w.), testosterone (10 mg/kg b.w.),
    nitrosomorpholine (25 mg/kg b.w.), or diethylnitrosamine (200 mg/kg
    b.w.) were administered by i.p. injection approximately 18 hours after
    partial hepatectomy to Fisher 344 CDF rats (5 males and 5 females per
    group). Two groups presented only with vehicle and one untreated group
    of 5 males and 5 females each were used as controls. The animals were
    allowed to recover for a further 13 days after treatment with the test
    agent. The animals then were supplied with tap water and powdered diet
    containing 0.02% 2-acetylaminofluorene, except that the diet supplied
    to animals in one of the vehicle control groups contained no
    acetylaminofluorene. Seven days after commencing the new dietary
    regime the animals were treated with carbon tetrachloride at 2 ml per
    kg b.w. by intragastric gavage (animals in the vehicle control group
    not given acetylaminofluorene were not treated with carbon
    tetrachloride). Seven days later the animals were killed by cervical
    dislocation and the livers were removed for microscopic examination.

         Most of the animals showed moderate lethargy and other clinical
    signs for two or three days following the operative procedure, but no
    compound-related adverse signs were evident. No significant
    treatment-related effects on body or liver weight were reported. Only
    animals treated with nitrosomorpholine or diethylnitrosamine showed
    significant increases in liver foci compared with the vehicle control
    or untreated groups.

         None of the steroids examined in this study (including alpha-TBOH
    and ß-TBOH) showed any evidence of inducing pre-neoplastic liver foci
    at the dose levels tested. The authors concluded that none of these
    steroids showed any evidence of being a liver rumour initiator in this
    assay (Allen & Proudlock, 1987).

    Special study on immunoresponse

    Cattle

         Antibody production in male and female calves (about 25 animals
    per group) was investigated after s.c. implantation of placebo
    (lactose), 20 mg estradiol-17ß, 140 mg TBA, or 140 mg TBA + 20 mg
    estradiol-17ß. A slight, non-significant immunodepressive effect was

    seen in male calves treated with either estradiol-17ß or TBA alone. In
    the males treated with the combination, this effect was significant.
    In female calves the immunoresponse was unaffected (Gropp  et al.,
    1975).

    Special studies on mutagenicity

         The results of mutagenicity assays on TBOH and TBA are summarized
    in Table 3.

    Special studies on no-hormonal effect levels

    Pigs

         Groups of 3 - 7 (11 in the control group) mature male large white
    hybrid pigs, 8 - 10 months of age, were administered orally 0.1, 1,
    10, 16, 24, or 36 µg ß-TBOH/kg b.w./day or 0.1, 10, 100, 160, 240, or
    360 µg alpha-TBOH/kg b.w./day in gelatine capsules with the feed for
    14 consecutive days after castration. They were maintained for 14 more
    days, then killed and examined  post mortem. Serial blood samples
    were collected prior to castration (day 0) and on days 7, 14, 21, and
    28; LH was determined on days 0 and 14 in the animals treated with
    alpha-TBOH and on days 0, 14, and 28 in the animals treated with
    ß-TBOH. After sacrifice, the pituitary, prostate, and seminal vesicles
    were examined by gross pathology and histopathology. Based on changes
    in plasma luteinizing hormone (LH) concentrations, distinct hormonal
    effects occurred at 160 µg alpha-TBOH/kg b.w./day and at 16 µg
    ß-TBOH/kg b.w./day. Thus, the no-observed-effect levels in this study
    were 10 µg ß-TBOH/kg b.w./day and 100 µg alpha-TBOH/kg b.w./day. The
    morphological examinations performed in this study are of limited
    value, since a 14-day period elapsed between final treatment and
    slaughter, allowing regression of likely effects. Thus, the
    observation of treatment-related androgenic effects in the 16, 28, and
    36 µg ß-TBOH/kg b.w./day group points toward the high hormonal
    activity of this compound (Roberts & Cameron, 1985).

         Four groups of 4 male and 4 female large white hybrid pigs were
    given orally TBA incorporated into the diet for 14 consecutive weeks
    at 0, 0.1, 2, or 20 ppm (equal to 0, 2.0-3.1, 40-62, or 400-620 µg/kg
    b.w./day). Blood samples were obtained for steroid hormone assays
    before treatment commenced and after 6 and 12 weeks of treatment.

        Table 3.  Results of mutagenicity assays on TBOH and TBA
                                                                                                             

                                              Concentration
    Test               Test                   of substance
    system             object                 tested                Results             Reference
                                                                                                             

    Ames               S. typhimurium         10-10000 µg/          Negative            Hossat et al., 1978
    test1              TA98, TA100,           plate TBA or
                       TA1535, TA1537         7:1 TBA:
                       TA1538                 estradiol-17ß2

    Ames               S. typhimurium         1000, 2000,           Negative            Ingerowski et al., 1981
    test1              TA98, TA100,           3000 µg/plate         at 1000
                       TA1535, TA1537         TBOH                  µg/plate;
                       TA1538                                       equivocal at
                                                                    cytotoxic
                                                                    concentrations

    Ames               S.typhimurium          0.5 - 500 µg/         Negative            Richold et al., 1982a
    test1              TA98, TA100,           plate alpha-TBOH;
                       TA1535, TA1537         15 - 1500 µg/
                       TA1538                 plate ß-TBOH

    Ames               S. typhimurium         0.06 - 2 µg/          Negative            Schiffman et al., 1985
    test1              TA98, TA100            plate TBOH

    Clastogenic        Human lymphocytes      6, 30, or 60          Negative            Richold et al., 1982b
    potential          in vitro               µg/ml alpha-TBOH
                                              or ß-TBOH2,3

    Cell               Mouse lymphoma         15 - 45 µg/ml         Equivocal6          Richold et al.,
    mutation           L5178Y cells           alpha-TBOH; 15 -                          1982c, 1983
    assay4                                    65 µ/ml ß-
                                              TBOH5
                                                                                                             

    Table 3.  Results of mutagenicity assays on TBOH and TBA (cont'd).
                                                                                                             

                                              Concentration
    Test               Test                   of substance
    system             object                 tested                Results             Reference
                                                                                                             

    Cell               Syrian hamster         5, 10, 15 µg/         Equivocal7          Schiffman et al., 1985
    transformation     embryo fibroblasts     ml TBOH
    assay

    Cell               Mouse C3H1OT1/2        2 - 25 µg/ml          Equivocal           Henderson et al., 1987a
    transformation     cells                  ß-TBOH                (- act.)
    assay1                                    (-S-9 mix)5
                                              5 - 20 µg/ml          Positive
                                              ß-TBOH                (+ act.)
                                              (+S-9 mix)8

    Forward            Chinese hamster        25 - 100 µg/ml        Negative            Edgar et al., 1985
    mutation           ovary cells            ß-TBOH
    assay1             (HGPRT locus)          (-S-9 mix)9
                                              25 - 150 µg/ml
                                              ß-TBOH
                                              (+S-9 mix)5

    Forward            Chinese hamster        25 - 500 µg/ml        Negative            Henderson et al.,
    mutation           ovary cells            ß-TBOH5                                   1986a
    assay1             (HGPRT locus)

    Forward            Chinese hamster        3 - 75 µg/ml          Negative            Henderson et al.,
    mutation           V79 cells              ß-TBOH                                    1987b
    assay1             (HGPRT locus)          (-S-9 mix)9
                                              12 - 125 µg/ml
                                              ß-TBOH
                                              (+S-9 mix)
                                                                                                             

    Table 3.  Results of mutagenicity assays on TBOH and TBA (cont'd).
                                                                                                             

                                              Concentration
    Test               Test                   of substance
    system             object                 tested                Results             Reference
                                                                                                             

    Micronuclei        Chinese hamster        1 - 10 µg/ml          Equivocal           Henderson et al.,
    induction1         ovary cells            ß-TBOH                (- act.)            1986b
                                              (-S-9 mix)10
                                              6 - 60 µg/ml          Negative
                                              ß-TBOH                (+ act.)
                                              (+S-9 mix)10

    Chromosome         Chinese hamster        1 - 10 µg/ml          Negative            Allen et al., 1985
    aberration         ovary cells            ß-TBOH
    assay1                                    (-S-9 mix)3
                                              6 - 60 µg/ml
                                              ß-TBOH
                                              (+S-9 mix)11

    Unscheduled        HeLa cells and         2.5 - 15 µg/ml        Negative            Schiffman et al.,
    DNA                Syrian hamster                                                   1985
    synthesis          embryo cells

    DNA                Cultured human         1 - 512 µg/ml         Negative13          Allen & Proudlock,
    repair             epithelioid            alpha-TBOH or                             1983
    assay1             cells                  ß-TBOH12

    In vivo            Rat bone marrow        100 mg/kg b.w.        Negative            Richold & Richardson,
    cytogenetics                              alpha-TBOH or                             1982
    assay                                     ß-TBOH once;
                                              25 or 50 mg
                                              alpha-TBOH or
                                              ß-TBOH 4 times3
                                                                                                             

    Table 3.  Results of mutagenicity assays on TBOH and TBA (cont'd).
                                                                                                             

                                              Concentration
    Test               Test                   of substance
    system             object                 tested                Results             Reference
                                                                                                             

    In vivo            Erythrocytes           100 mg/kg b.w.        Negative            Allen et al., 1980
    micronucleus                              ß-TBOH3
    test
                                                                                                             

    1    Both with and without rat liver S-9 fraction.
    2    Dimethylsulfoxide was used as the solvent.
    3    Mytomycin C was used as a positive control.
    4    Only with rat liver S-9 fraction.
    5    20-Methylcholanthrene was used as a positive control.
    6    alpha-TBOH at > 22 µg/ml and ß-TBOH at > 15 µg/ml were toxic to the
         cells. Both substances induced 2-fold increases in mutation frequency,
         but with alpha-TBOH this occurred only at highly toxic concentrations.
    7    There was an inverse dose relationship, with the largest number of
         transformations occurring at the lowest dose.
    8    2-Acetamidofluorene was used as a positive control.
    9    Ethylmethanesulfonate was used as a positive control.
    10   Colchicine was used as a positive control.
    11   Cyclophosphamide was used as a positive control.
    12   4-Nitroguinoline-1-oxide (-S-9 mix) and 2-aminoanthracene (+S-9 mix)
         were used as positive controls.
    13   Increases in nuclear grain count were observed in a limited number of
         cultures in one experiment only.
    
         A detailed  post-mortem examination was carried out on all pigs
    at termination, and tissues were retained for histological
    examination. All animals remained generally in good health throughout
    the study, and no abnormal clinical signs were noted that could be
    associated with experimental treatment. No significant effects of
    treatment on body weight, food consumption, or ophthalmoscopy were
    noted. There was a marked, dose-related reduction in serum
    testosterone levels in male pigs, mean values in the highest-dose
    group at week 6 and in pigs fed 2 and 20 ppm TBA at week 12 being
    significantly lower than control values (p < 0.01). Testosterone
    levels in female pigs remained low at all 3 assay points.

         Serum progesterone levels in females were variable. This is not
    unexpected, since both progesterone and estradiol show a marked cycle
    variation and the assay samples were obtained at arbitrary time points
    without regard to the stage of the estrus cycle of individual pigs.
    However, mean values at week 12 did indicate a dose-related reduction
    in serum progesterone levels in female pigs, and on statistical
    examination there was found to be a significant trend with dose
    (p < 0.05). Progesterone values for male pigs were less variable and
    lower on average than for females and no consistent treatment-related
    differences were noted.

         Levels of estradiol-17ß in female pigs were generally low,
    although there was evidence of some increase in estrogenic secretion
    at week 12 in pigs from all groups; no appreciable differences between
    groups were observed. Estradiol levels in males were in general higher
    than in females; a dose-related reduction in estradiol mean values was
    noted at weeks 6 and 12. The results of the hormone assays point to a
    no-hormonal-effect level below 2 µg/kg b.w./day.

         Treatment-related reductions in mean weights of testes, ovaries,
    and uteri were noted. Apparently, the most sensitive organs are the
    testes and ovaries. At the lowest dose, no effects on any tissue
    weights were observed. The main findings associated with treatment at
    the 2 higher levels were atrophy of testicular interstitial cells,
    suppression of cyclic ovarian activity, the consequent absence of
    glandular development of the uterine endometrium, and lack of alveolar
    development and secretion in the mammary glands (highest group only).
    Treatment-related changes were not seen in the gonads, uteri, or
    mammary glands in any of the animals examined in the lowest-dose group
    (Roberts & Cameron, 1985).

         Four groups of 5 male and 5 female pigs were given orally TBA as
    solutions in corn oil in gelatine capsules with the food for 14
    consecutive weeks at 0, 5.0, 7.5, or 10.0 µg/kg b.w./day. Venous blood
    samples were taken before treatment began and at weekly intervals
    throughout the test period. Plasma radioimmunoassays for testosterone,
    estradiol-17ß, and progesterone were carried out. Pigs were sacrificed
    after 14 weeks and examined post-mortem. Tissues processed for

    histological examination included the testes, ovaries, seminal
    vesicles, uterus, and mammary gland. In males, comparison with the
    control group showed some differences in testosterone levels at weeks
    1 and 5, which reached statistical significance in the two highest
    dose groups. However, these differences were not sustained and were in
    the opposite direction (i.e. increases compared with the control) to
    the dose-related changes (i.e. suppression) noted in the study
    described in the previous paragraphs. Testosterone levels in females
    generally remained low in all groups.

         No significant group differences were found in estradiol levels
    in males. In females, estradiol levels generally remained low in all
    groups. Mean progesterone levels in males were statistically
    significantly lower than in controls between weeks 7 and 10 in the
    highest-dose group and at week 10 in the group administered 7.5 µg
    TBA/kg b.w./day. However, the mean pre-dose levels were also lower in
    pigs in these two groups compared with the controls and analysis of
    mean levels over weeks 6 to 14 showed no significant effects. Thus,
    these differences were not considered by the authors of the report to
    represent a real treatment effect. In female pigs, mean progesterone
    values were variable due to cyclic changes, but no consistent group
    differences were apparent. Examination of the time of onset of cycling
    and the peak level of progesterone recorded did not show significant
    effects. No significant differences in organ weights were noted in any
    groups. No treatment-related changes in the morphology of the organs
    examined were noted in any groups (Roberts & Cameron, 1985).

    Monkeys

         The antigonadotropic activity of ß-TBOH was tested in acutely
    castrated male rhesus macaque monkeys aged 8 - 17 years. A seminal
    vesicle biopsy was obtained at the end of the 30-day treatment period
    to examine possible changes in androgenic activity induced by TBOH.
    ß-TBOH was given orally at 0, 1, 20, or 400 µg/day (three control
    animals and two animals per treatment group). From 17 days after
    castration until the end of the experiment, the lowest-dose group was
    given 1600 µg/day ß-TBOH. Administration of the compound did not
    suppress the post-castration elevation in either LH or follicle
    stimulating hormone (FSH) secretion, which occurs after removal of the
    testes. Although TBOH and testosterone showed no antigonadotropic
    activity in this model system, the monkeys receiving 400 and
    1600 µg/day TBOH maintained partial or complete seminal vesicle
    morphology consonant with an androgenic effect. The expected reduction
    in the serum levels of testosterone and estradiol occurred after
    castration, and TBOH treatment did not alter the serum concentrations
    of these hormones or the typical diurnal pattern of activity within
    the hypothalmic-pituitary-adrenal axis. The authors concluded that the
    no-hormonal-effect level in this study was 20 µg/day, equivalent to
    2 µg/kg b.w./day (Hess, 1983).

         TBA was administered in Sustagen/Jello/bran diet cubes for three
    cycles, or a maximum of 122 days, to three groups of six mature female
    rhesus macaque monkeys weighing 6 kg each at 60, 240, or 960 µg/day.
    Blood samples were obtained on a daily basis from all animals during a
    pretreatment menstrual cycle, at 3-day intervals during the first two
    treatment menstrual cycles, and daily during the last treatment
    menstrual cycle. Serum concentrations of estradiol, progesterone, LH,
    and FSH were determined by radioimunoassay. Treatment with 960 µg/day
    TBA resulted in maximum average serum levels of 2.3 ng/ml of ß-TBOH,
    and this dose may have inhibited gonadotropin secretion and ovarian
    function in 3 of 16 reproductive cycles.

         It was concluded that 960 µg TBA/day had an inhibitory effect on
    the pituitary gonadal axis. The anovulatory stage was reached rather
    suddenly and from the data presented no conclusions with respect to
    changes in the endogenous hormone concentrations, which might signal
    this effect, can be drawn. In the 240 µg/day group one animal
    exhibited anovulation, which may have been related to treatment. No
    effects were observed at 60 µg/day, equivalent to 10 µg/kg b.w./day
    (Hess, 1984).

    Special studies on relay toxicity

    Rats

         Female veal calves were given s.c. implantations of 0, 140, or
    3500 mg/animal TBA and killed after 10 weeks. A homogenate of veal
    meat and veal organs (tongue, heart, lungs, spleen, liver (partial),
    and one kidney) from these calves was mixed with the diet of rats in a
    two-generation reproduction study. The total length of the experiment
    was 114 weeks. The F1a generation was used to study teratogenic
    effects. In the group of rats receiving a diet containing 230 ppb TBA,
    a slight growth depression was seen. No effects were seen on other
    parameters, which included mortality, feed consumption, growth,
    fertility, reproduction (copulation, conception rate, duration of
    gestation, mean litter weight, litter size, fetal body weight,
    mortality rate, and fetal body weight after 3 weeks), haematology,
    biochemistry, organ weight, and gross- and histopathology
    (Gropp  et al., 1978).

    Special studies on reproduction

    Rats

         Groups of 40 male and 80 female rats weighing 133 - 143 g each
    were given diets containing 0, 0.5, 1, 4, or 16 ppm TBA from week 9
    before mating until day 21 post-partum. An additional group was
    handled similarly, in which females were fed 50 ppm TBA from day 1 of
    pregnancy until day 21 post-partum. At day 21 post-partum all parent
    animals were killed without further examination. There were no major

    differences between nominal and detected dietary levels of TBA at the
    beginning and end of the study. In females in the 4 and 16 ppm groups,
    growth was increased throughout the study (10 - 20%); in the 50 ppm
    group growth was increased after mating (10%). A dose-related decrease
    in pregnancy rate was seen in the 1, 4, 16, and 50 ppm groups (maximum
    -30%). At day 4 post-partum each litter was reduced in size to 4
    females and 4 males; up to that time pup mortality was increased in
    all dosed groups compared with controls. Litter size and litter weight
    on days 0, 4, 12, and 21 post-partum were decreased in the 4 and 16
    ppm groups (maximum about -10%) and in the 50 ppm group (about -25%).
    Mean pup weights were decreased only in the 50 ppm group from day 4
    post-partum onward (maximum -15%) (Hunter  et al., 1982).

         Groups of 12 male and 12 female rats were fed diets containing
    0, 25, 50, or 100 ppm TBA for 63 days and then mated. In these groups,
    12/12, 10/12, 4/12, and 1/12 females, respectively, were pregnant
    after mating (Ross, 1980).

         In a multi-generation reproduction study in CRL:COBS CD(SD)BR
    Charles River rats, dietary concentrations of 0, 0.5, 3, or 18 ppm TBA
    were fed to F0-generation male rats for nine weeks and female rats
    for two weeks prior to mating, then through to termination. Two groups
    of F1 generation rats were selected, reared, and mated. One group
    was treated continuously at the same dietary concentrations as rats in
    the F0 generation ("treated" group) and one was removed from
    exposure to TBA at 3 weeks of age and maintained without treatment
    throughout ("untreated" group).

         Treatment with TBA at 18 ppm was associated with the following
    effects: a) generally higher body weights affecting both F0-and
    F1-generation treated males and females and females of the untreated
    F1 generation; b) depression in mean body weight gain during
    gestation affecting both matings of the F0 generation; c) signs of
    virilization, namely coarseness of the coat and discoloration of the
    skin in F0-generation animals and treated F1-generation females;
    d) clitoral prominence in treated F1-generation females and to a
    lesser extent in untreated F1-generation females. Similar effects
    were observed in F2-generation females from treated F1 parents,
    but not in offspring of the untreated F1 generation; e) the presence
    of occlusive strands in the vagina and/or precocious/incomplete
    vaginal opening affecting treated F1 pups and F2 pups from the
    treated F1 generation; f) a delay in the occurrence of testicular
    descent affecting F2 pups from the treated F1 generation; g) a
    marked reduction in pregnancy rate affecting the second mating of the
    F0 generation and the treated F1 generation; h) an increase in
    pre-coital time for the second mating of the F0 generation and for
    the treated F1 generation; i) a marginal extension of the duration
    of gestation affecting the F0 generation and the treated F1

    generation; j) a marked increase in the incidence of extended
    parturition and total litter loss in the treated F1 generation and a
    significant increase in the percentage of males per litter; k) lower
    litter size and litter weight, either at birth or at 20-day sacrifice,
    after both matings of the F0-generation and of the treated F1
    generation; 1) increased post-implantation/pre-birth losses in the
    F0 and treated F1 generations; m) at terminal autopsy, findings
    additional to those previously described, namely an increase in the
    incidence of depression in the forestomach epithelium affecting F0-
    and F1-generation males; n) significant reductions in seminal
    vesicle/prostate weights in F0- and F1-generation males and
    increases in mean ovary weights among F0- and F1-generation
    treated females; o) significant decreases in weights of seminal
    vesicles/prostate, testes, and epididymes in F1-and F2-generation
    male pups at six weeks of age. F1- and F2-generation female pups
    showed reduction of adrenal weight at six weeks of age; p) a
    significant reduction in anogenital distance among male fetuses and a
    marginal increase in the incidence of skeletalvariants after the
    second mating of rats of the F0-generation (teratology phase).

         Treatment with TBA at 3 ppm was associated with the following
    effects: a) retarded body weight gain at the first mating of the
    F0-generation; b) coarseness of the coat and discoloration of the
    skin affecting one female in the F1-generation; c) a significant
    delay in the mean age of vaginal opening in females in the
    F1-generation and in F2 offspring from treated F1 parents; d)
    the occurrence of incomplete vaginal opening or occlusive strands in
    the vagina affecting occasional animals of the F1-generation at 6
    week autopsy; e) a slight, but not statistically significant, delay in
    testicular descent affecting F2 male offspring from treated F1
    parents; f) significantly lower litter size at birth after the first
    mating of the F0-generation; g) lower litter weight after the second
    mating of the F0-generation; h) marginally reduced litter size in
    offspring of the treated F1-generation; i) a significant decrease in
    the weight of seminal vesicles/prostate, testes, and epididymes in
    F1 and F2 male pups at six weeks of age.

         The only apparent effects of treatment at 0.5 ppm were as
    follows: a) higher group mean body weights of males from the F0
    generation; b) a slight but not statistically significant delay in the
    mean age of vaginal opening in F1 pups and F2 pups from the
    treated F1 generation (subsequent mating performance and resulting
    litter parameters were comparable to those of controls); c) a
    statistically significant decrease in seminal vesicles/prostate weight
    in treated F1 male pups and in F2 male pups from treated parents
    at six weeks of age; d) a significant decrease in weight of epididymes
    in F2 males.

         The authors concluded that, in terms of reproductive performance
    of the two generations examined in this study, as assessed by the
    ability of parents to produce and sustain their litters, TBA exerted a
    marked effect at 18 ppm and some effect at 3 ppm. At the lowest dose
    level examined (0.5 ppm), slight effects were observed, which were
    more marked in F2 pups than in F1 pups of a comparable age.
    However, the authors concluded that in terms of reproductive
    performance TBA exerted no effect at 0.5 ppm. The reproductive
    performance for all groups of F1 animals following withdrawal from
    treatment showed no marked differences from those of the control group
    (James  et al., 1985).

         Histological examination of the testes, epididymes, seminal
    vesicles, and prostate of 6-week-old male F2-generation rats from
    treated F1 animals in the study described above revealed no
    morphological abnormalities, although lower group mean weights were
    recorded in treated groups compared to controls. All rats were
    considered normal for that age, when they are not quite fully sexually
    mature, with spermiogenesis proceeding to tailed spermatids in the
    testes but no spermatoozoa in the epididymes (Offer, 1985).

         In a study in rats, dietary concentrations of 0, 0.1, 0.3, 0.5,
    3, or 18 ppm TBA were fed to F0 males and females from two weeks
    prior to mating until termination of pregnancy. The F1 litters were
    reared through the weaning period. On day 22 post-partum the male
    offspring were sacrificed, examined macroscopically, and the testes,
    seminal vesicles/prostate, and epididymes from each pup were weighed
    and preserved. Female offspring were sacrificed on day 24 post-partum
    and examined macroscopically.

         Treatment with TBA at 18 ppm was associated with the following
    effects: a) slightly higher mean body weights of F0 females, but
    lower body weight gain during gestation and slightly lower weight gain
    of males over the last three weeks of treatment; b) clitoral
    prominence at autopsy in 22/29 F0 females and in all F1 female
    offspring from approximately 3 weeks of age; c) a statistically
    significant extension in duration of gestation; d) total litter loss
    in 4/29 F0 females; e) effects on litter parameters, including
    reduced litter size, lower litter weight, marginally higher pup
    mortality, and higher mean pup weight; f) lower testicular weight and
    higher mean weight of seminal vesicles/prostate in F1 males at 22
    days of age.

         Treatment at 3 ppm was associated with: a) slightly higher mean
    body weights of females and slightly lower weights of males in the
    three weeks prior to termination; b) a marginal extension in duration
    of gestation; c) effects on litter parameters, including reduced
    litter size, and marginally higher pup mortality and mean pup weight;
    d) lower testicular weight and higher mean seminal vesicle/prostate
    weight in F1 males.

         The only effects associated with treatment at 0.1, 0.3, and
    0.5 ppm TBA were slightly higher mean body weights of females and the
    marginal differences observed at 3 and 18 ppm in litter parameters
    (James  et al., 1986).

    Special studies on teratogenicity

    Rats

         Four groups of 6 pregnant rats each were given by oral gavage
    0, 2.5, 5, or 10 mg/kg b.w./day TBA from days 6 - 15 of gestation. The
    vehicle was 2.5% ethanol in 1% methylcellulose. Mortality, growth,
    number of corpora lutea, number and distribution of live and dead
    young, litter weight, mean fetal weight, microscopic fetal
    abnormalities, sex ratio, and fetal crown-rump distance were all
    unaffected by treatment (James  et al., 1982).

         Groups of 20 pregnant rats received by oral garage 0, 5, 10, or
    20 mg/kg b.w./day TBA from days 6 - 15 of gestation. The vehicle was
    2.5% ethanol in 1% methylcellulose. In the 10 and 20 mg/kg b.w./ day
    groups, 9/20 and 15/20 dams, respectively, showed hair loss. A
    dose-related decrease in growth was seen in all dosed groups (maximum
    20%). Pregnancy rate, number of liver and dead young, number of
    implantations and corpora lutea, litter weight, mean fetal weight,
    incidence of major malformations, incidence of minor visceral
    anomalies (Wilson's technique), and fetal crown-rump distance were all
    unaffected. The incidences of skeletal variants (number of ribs,
    number of normal and variant sternebrae) were unaffected. Mean
    anogential distances in male fetuses preserved in Bouin's solution
    were slightly shorter than those of controls, with an apparent
    slightly decreasing trend with increase in dosage; the difference at
    20 mg/kg b.w./day attained borderline statistical significance
    (P < 0.05). Male fetuses preserved in alcohol did not show the same
    trend in mean values, although the variation in anogenital distance
    was greater in pups in the high-dose group than in controls; ranges of
    fixation weight and crown-rump distance length were also higher in the
    high-dose group than in controls. Mean anogenital distances in females
    preserved in Bouin's solution and in alcohol were comparable in all
    groups (James  et al., 1982).

    Acute toxicity

         Table 4 summarizes the results of acute toxicity studies on TBA.

        Table 4.  Acute toxicity of TBA
                                                                                              

                                                      LD50
    Species    Sex       Route      Vehicle           (mg/kg b.w.)     Reference
                                                                                              

    Mouse      M/F       oral       40% ethanol       1500             Audegond et al.,
                                    in corn oil                        1981a

               M         i.p.       ethanol + 10%     565              Escuret & Bas, 1978
                                    sesame oil

               F         i.p.       ethanol + 10%     643              Escuret & Bas, 1978
                                    sesame oil

    Rat        M/F       oral       10% ethanol       5000             Audegond et 1981b
                                    in corn oil

               M         i.p.       10% ethanol       1601             Escuret & Bas, 1978
                                    in corn oil

               F         i.p.       10% ethanol       1772             Escuret & Bas, 1978
                                    in corn oil

    Dog        M/F       oral       via capsules      1000             Audegond et al.,
                                                                       1981c
                                                                                              
        Dogs

         Anaesthetized dogs were given i.v. 1, 2, 5, or 10 mg/kg b.w. TBA
    as a 20 ml/mg solution in 92% acetylmethylamine. Dogs in the 2, 5, and
    10 mg/kg b.w. groups showed a dose-related decrease in blood pressure;
    at 10 mg/kg b.w., this was accompanied by slight bradycardia. A
    decrease in blood pressure in the same groups was seen after injection
    with adrenalin and noradrenalin; an increase was seen after
    acetylcholine injection. Changes in reactions to histamine were not
    noted in any groups (Seeger, 1971a).

    Short-term studies

    Mice

         Groups of 8 male and 8 female mice weighing 19 - 25 g each were
    given 0, 25, 50, or 100 ppm TBA in the diet for 8 weeks. Mortality,
    appearance, behaviour, body weight, food consumption, and food
    conversion were unaffected by treatment. Females in all treatment

    groups exhibited significant decreases in absolute and relative liver
    weights and significant increases in absolute and relative uterine
    weights. Absolute and relative ovarian weights were decreased
    significantly in females in the 50 and 100 ppm groups, while absolute
    and relative testes weights were decreased significantly in males in
    the highest-dose group. No effects on the weights of adrenals,
    kidneys, prostate, seminal vesicles, or spleen were noted. Females
    showed dose-related suppression of ovarian cyclic activity
    characterized histopathologically by the absence of, or few, corpora
    lutea in the gonads, a dose-related reduction in the amount of stroma,
    and reduction in the number of endometrial glands in the uteri
    (Hunter  et al., 1976a).

         TBA was administered to groups of 8 male and 8 female Swiss
    albino CFLP mice for 10 weeks at levels of 0, 1, 2, 5, or 10 ppm of
    the diet, equal to mean intakes of 0, 0.12, 0.24, 0.56, or 1.2 mg/kg
    b.w./day for males and 0, 0.13, 0.25, 0.66, or 1.4 mg/kg b.w./day for
    females. There were no signs of reaction to treatment, including no
    treatment-related effects on food intake or body weight gain. No
    treatment-related abnormalities were seen; the absolute and relative
    weights of all organs examined were considered to be within normal
    limits for mice of this strain and age. The only organs examined
    histologically were the prostate, seminal vesicles, testes, ovaries,
    and uterus from mice in the control and highest-dose group. All
    histopathological parameters were within normal limits (Hunter  et al.,
    1976b).

    Rats

         Sixteen male rats that had been castrated between 21 and 24 days
    of age were given total oral doses of 0, 0.75, 3, 12, or 48 mg TBA
    from days 2 - 11 after castration in 10 daily portions. At autopsy,
    one day after the last application, dose-related increases in the
    absolute weight of the prostate (maximum +440%) and seminal vesicles
    (maximum +400%) were seen in all treated groups. In the three
    highest-dose groups a dose-related increase in the musculo levator ani
    weight (maximum +250%) was noted (Schröder, 1971a).

         Groups of 10 male and 10 female CFY rats were fed diets
    containing TBA at concentrations of 0, 25, 50, or 100 ppm for 13
    weeks. Group mean intakes during the treatment period were 0, 1.8,
    3.8, or 7.6 mg/kg b.w./day for males and 0, 2.2, 4.2, or 8.4 mg/kg
    b.w./day for females. At all the tested doses, the females exhibited
    better efficiency of feed utilization than the males, causing higher
    weight gain.

         At 25 ppm, lower prostate weight (-36%), which was not associated
    with morphological changes, was observed. At 50 ppm, lower prostate
    and seminal vesicle weights (-50 and -30%, respectively), which were
    not associated with morphological or uterine changes, were observed in
    two rats.

         At 100 ppm, the following changes were observed: lower neutrophil
    and lymphocyte values in males at weeks 12 and 13 (-35%); lower
    seminal vesicle weight, which was not associated with morphological
    changes (-60%); lower prostate weight (-80%), which was associated
    with small alveoli lined by cuboidal epithelium in 5 rats; and uterine
    changes characterized by an apparent reduction of the endometrial
    stroma with dilated uterine glands and also a corrugated appearance of
    the endometrial and glandular epithelium in 6 rats (Hunter  et al.,
    1976c).

         Groups of 10 male and 10 female rats weighing 60 g each were
    given 0, 50, 100, 200, or 1000 µg/kg b.w./day TBA orally 6 days per
    week for 3 months. The compound was presented as 0.5 ml of an aqueous
    solution containing 0.9% NaCl, 0.4% polysorbate 80, 0.5% carboxy-
    methylcellulose, and 0.9% benzyl alcohol. Determinations were
    carried out in half of the animals at termination only.

         Growth of females was slightly increased; in the two highest-dose
    groups growth of males was decreased. Haematological parameters were
    unaffected. In all dosed groups, SGOT and SGPT were decreased; total
    cholesterol was decreased in the 100, 200, and 1000 µg/kg b.w./day
    groups. In the highest-dose group a slight decrease in blood glucose
    was seen; urea was slightly increased only in the females in this
    group. Increases were observed in liver weight in males and females in
    the 200 and 1000 µg/kg b.w./day groups, kidney weight in males and
    females in the highest-dose group, and spleen weight in females in the
    200 and 1000 µg/kg b.w./day groups. In females, ovary weight was
    increased in the highest-dose group and uterus weight was decreased in
    the 100 and 200 µg/kg b.w./day groups. In males, decreases were seen
    in seminal vesicle weight in the 100, 200, and 1000 µg/kg b.w./day
    groups and in prostate weight in the 100 and 1000 µg/kg b.w./day
    groups. Gross pathological examination revealed atrophy of the
    prostate, seminal vesicles, and testes in rats in the highest-dose
    group. Histologically, changes in the ovary (cysts and released
    follicles in all test groups) and in the uterus ("dentelle uterine" in
    the 200 and 1000 µg/kg b.w./day groups) were observed in females. In
    males in the highest-dose group a delay in spermatogenesis and aplasia
    in the seminal vesicles and prostate were observed (Seeger, 1971a, b).

         Female rats fed diets containing 0.01, 0.1, 2.5, 5, 10, 20, 40,
    80, or 160 ppm TBA exhibited increases in uterus weight at levels
    higher than 40 ppm. Vaginal smears in all groups were negative; some
    proliferation of the vaginal mucosa was seen at the highest dose level
    (Huis in't Veld  et al., 1973).

         Female rats weighing 60 - 65 g each were ovariectomized and given
    s.c. doses of 0, 0.2, 1.0, or 5.0 mg/day TBA in sesame oil for 4 days.
    At termination, on day 5, a dose-related increase in uterus weight was
    seen in all dosed groups (maximum +550%). The estrogenic activity of
    TBA was less than 0.1% of the estrogenic activity of estradiol-17ß
    (Schröder, 1971b).

         Male castrated rats weighing 100 g each were given daily s.c.
    doses of 4, 20, or 100 µg TBA, 4, 20, or 100 µg ß-TBOH, or 20, 100,
    500, or 1000 µg alpha-TBOH for 9 days. Dosing was started 1 day after
    castration. One control group was used. At sacrifice, one day after
    the last injection, the weights of the prostate, musculo levator ani,
    and seminal vesicles were recorded. In animals dosed with both TBA and
    ß-TBOH, organ weights were increased in a dose-related manner in all
    test groups. In the animals administered alpha-TBOH, organ weights
    were increased at the three highest dose levels (Escuret & Bas, 1978).

         Male castrated rats weighing 65 - 75 g each were given daily s.c.
    doses of 0, 0.02, 0.1, or 0.5 mg TBA as a solution in sesame oil for
    10 days after castration. At sacrifice on day 11, dose-related
    increases were seen in the weights of muscolo levator ani (maximum
    +250%), prostate (maximum +1400%), and seminal vesicles (maximum
    +2500%) in all groups. In this experiment TBA showed distinct anabolic
    and androgenic activity that was 5 times higher than that of
    testosterone and 20 times higher than that of 17-ethynyl-19-nor-
    testosterone (Schröder, 1971b).

         Groups of 10 male and 10 female rats weighing 123 - 131 g each
    were dosed 6 times per week s.c. with 0, 200, 1000, or 5000 µg/kg
    b.w./day TBA over a period of 2 months. The compound was applied as a
    solution in 1:1 syncortyl and arachis oil.

         Growth of females was increased in all groups; by contrast,
    growth of males in the highest-dose group was decreased. Haematology
    and blood biochemistry determinations, which were performed at
    termination in 5 rats/sex/group, revealed slight increases in Hb and
    haematocrit values and slight leucocytopenia (due to lymphocytopenia)
    in all test groups. Other blood abnormalities that were noted were a
    decrease in glucose in females in the 5000 µg/kg b.w./day group (not
    determined in other groups), a decrease in BUN in females in the 1000
    and 5000 µg/kg b.w./day groups and in males in the 5000 µg/kg b.w./day
    group, and a decrease in cholesterol in males and females in the 1000
    and 5000 µg/kg b.w./day groups.

         In all test groups, absolute and relative kidney weights were
    increased and absolute and relative adrenal and thymus weights were
    decreased. Ovary weights were decreased in a dose-related manner in
    females in all test groups. In females in the 200 and 1000 µg/kg
    b.w./day groups uterus weights were decreased. All treated females
    showed an increase in absolute liver weight. Males showed a decrease
    in testes weight in all treated groups and in seminal vesicle and
    prostate weight in the 1000 and 5000 µg/kg b.w./day groups. Besides
    these weight changes, atrophy was noted in the thymus, ovaries, and
    testes; hypertrophy was seen in the seminal vesicles and prostate
    (Sovetal, 1970; Seeger, 1971a).

    Rabbits

         Groups of 4 - 6 rabbits weighing 2 kg each were administered s.c.
    during 4 days 0, 0.05, 0.5, 2, or 5 mg/kg b.w./day TBA. Liver function
    was examined (SGOT activity and BSP excretion). At 2 mg/kg b.w./day
    SGOT activity was increased slightly, while at 5 mg/kg b.w./day SGOT
    activity was increased significantly. BSP excretion was not affected
    in any of the test groups (Seeger, 1971a).

    Pigs

         Male, female, and castrated male pigs were fed diets containing
    1-2 ppm TBA, alone or in combination with 2 ppm estradiol-17ß or 2 ppm
    ethynylestradiol, for 5 - 8 weeks. At 5 and 6.5 weeks after compound
    withdrawal TBOH was not detected in the urine. Urinary excretion of
    total steroid estrogen was not increased at 7 weeks after dose
    withdrawal (Kroes  et al., 1976a).

         Groups of 4 male and 4 female domestic pigs (Sus scrofa) were fed
    diets containing 0, 0.1, 2, or 20 ppm TBA (equivalent to 0, 4, 80, or
    800 µg/kg b.w./day TBA, respectively) for 14 weeks. No treatment-
    related effects on mortality, body weight, or ophthalmoscopy were
    seen. After 6 and 12 weeks several haematological (i.e., Hb, RBC, PCV,
    WBC, diff. WBC, and prothrombin index) and blood biochemical
    parameters (i.e., glucose, protein, albumin, albumin/globulin ratio,
    SAP, calcium, and creatinine), were unaffected. At 2 and 20 ppm,
    dose-related increases were seen in platelets (maximum +70%, not
    significant), urea (maximum +3%, significant) and cholesterol (maximum
    +100%, significant). SGOT increased in a dose-dependent manner in all
    test groups (maximum, +100%, significant). There were dose-related
    decreases in blood levels of testosterone and estradiol in males in
    all dosed groups (both maximum -95%, significant); progesterone was
    markedly decreased (maximum -99%, significant) in females in the two
    highest-dose groups. In the same groups, there were dose-related
    changes in the absolute and relative weights of the liver (maximum
    +30%, significant), uterus (maximum -50%, significant), kidney
    (maximum +25%, significant), and testis (maximum -55%, significant).
    In the highest-dose group changes were observed in the weights of the
    pituitary (-15%, significant) and seminal vesicles (+280%,
    significant). There was an increase in thyroid weight at all three
    dose levels (maximum +20%, not significant).

         Histopathological examination showed the following dose-related
    abnormalities in the 2 and 20 ppm groups: in the liver, enlargement of
    the hepatocytes with associated ground glass appearance of the
    cytoplast; in testes, moderate to complete interstitial cell atrophy
    (with normal spermatogenesis within the seminiferous tubules); in
    ovaries, evidence of suppressed or abnormal cyclic activity
    characterized by the absence of maturing follicles and/or mature or
    early regressing corpora lutea; and, in the uteri, absence of

    glandular development in the endometrium. This last observation and
    the lack of alveolar development and secretion noted in the mammary
    glands of the 2 ppm group were probably associated with the anestrous
    state suggested by the findings in the ovaries (Ross  et al., 1980).

    Cattle

         Groups of 8 male calves were given s.c. implants of 140 mg TBA +
    20 mg estradiol-17ß at 8 or 4 weeks before slaughter. An additional
    group was dosed with 200 mg/kg b.w. testosterone + 20 mg/kg b.w.
    estradiol-17ß on both occasions. In all treatment groups histological
    examination of prostates showed increased secretory activity and
    hyperplastic and metaplastic changes (Verbeke  et al., 1975).

         Six weeks after single s.c. application of 20 mg estradiol-17ß to
    male calves, distinct changes in seminal vesicles were found after
    histological examination. Treatment of calves with 20 mg estradiol-17ß
    combined with 140 mg TBOH, applied s.c., caused very slight changes in
    seminal vesicles in 4/11 calves, while in 3/7 animals with unchanged
    seminal vesicles, androgenic stimulation was observed (Kroes, 1972).

         Male calves that were 11 weeks of age received by s.c.
    implantation 20 mg estradiol-17ß alone or 20 mg estradiol-17ß in
    combination with 140 mg TBA. Urinary secretion of total steroid
    estrogens was high in the animals given estradiol-17ß alone during the
    first 12 days after application. After 3 weeks normal values were
    reached. In the estradiol-17ß/TBA combination group, gradual and
    prolonged excretion of steroid estrogens for up to 42 days after
    implantation occurred; after 56 days normal values were reached.
    Qualitative determinations of estradiol-17ß and estradiol-17ß in urine
    showed that the alpha epimer was present in almost all urine samples;
    estradiol-17ß was found in the urine of those calves administered
    estradiol-17ß alone. In the combination group, estradiol-17ß was found
    in urine at day 21 only. Histological examination of prostates
    revealed squamous metaplasia of gland epithelium after both treatments
    (Kroes  et al., 1976b).

         A total of 1480 female calves, aged 7 weeks, were administered by
    percutaneous implantation 0, 140, or 3500 mg TBA (groups 1 - 3,
    respectively) or 140 mg TBA + 20 mg estradiol-17ß (group 4), 1400 mg
    TBA + 200 mg estradiol-17ß (group 5), or 3500 mg TBA + 500 mg
    estradiol-17ß (group 6). The calves were slaughtered 10 weeks after
    implantation.

         Blood parameters (glucose, GOT, GPT, AP, LDH, cholesterol,
    bilirubin, Hb, and PCV), urinary density, and pH were unaffected in
    all groups. Calcium and phosphorus levels in serum and bone were not
    changed; however, magnesium levels in serum and deposition of
    magnesium in bone were decreased in groups 3, 5 and 6. In group 3
    slight, and in groups 4, 5 and 6 marked, increases in uterus weight

    were seen, which were accompanied by proliferation of uterine
    glandular cells, while the lumen of the uterus was partially filled
    with a watery liquid. In dosed groups ovarian weights were reduced,
    accompanied by a diminution in follicular size. These weight changes
    were most marked in groups 2, 3 and 6. The diminution of follicular
    size, which was accompanied by a decrease in the number of follicles,
    was most marked in groups 5 and 6. In all groups, a dose-related
    decrease in thymus weight was seen. In group 3 abnormal development of
    the clitoris was noted. Histopathological examination showed a
    non-dose related proliferation and secretion of glandular tissue in
    the mammary glands of animals in groups 4, 5 and 6. Heart, lever,
    kidneys, pituitary, pineal gland, adrenal glands, thyroid, and
    skeletal muscle did not show abnormalities (Gropp  et al., 1975).

         Steers and heifers were seven 300 mg TBA by s.c. implantation. An
    additional group of steers was given implants containing 140 mg TBA +
    20 mg estradiol-17ß. In all groups, plasma urea was decreased during
    the 9-week observation period after treatment. Other plasma parameters
    (glucose, calcium, phosphorus, magnesium, sodium, potassium, and total
    protein) were unaffected. No changes in plasma concentrations of
    insulin or growth hormone were seen. A decrease in thyroxine levels in
    steers was observed during the 9-week observation period after
    treatment; the decrease was most marked in those administered TBA and
    estradiol-17ß in combination. A marked reduction, about -50%, in
    thymus weight was observed in steers (Heitzman, 1975).

         Steers and oxen given, by s.c. implantation, 140 mg TBA alone or
    140 mg TBA in combination with 20 mg estradiol-17ß. Control animals
    received implantations with the carrier. The combination of drugs
    affected urinary excretion of exogenous estradiol-17ß in oxen and
    possibly in steers. Histological examination of the prostate revealed
    squamous metaplasia in the combination group. In both treated groups,
    more active epithelium of the prostate was seen, compared to the
    control group (Kroes  et al., 1976c).

    Long-term studies

    Mice

         Groups of 64 male and 64 female Swiss albino CFLP mice, weighing
    22 - 25 g each, were given diets containing 0, 0.5, 1.0, 10 or 100 ppm
    TBA (equal to 0, 0.004, 0.09, 0.86, or 8.6 mg/kg b.w./day TBA for
    males, respectively, and 0, 0.005, 0.10, 0.96, or 9.5 mg/kg b.w./day
    TBA for females, respectively) for 95 - 104 weeks (the test was ended
    when survival was 20% in males or females in the control group). After
    13 weeks 12 mice/sex were killed. At that time significant increases
    were observed in the absolute and relative weights of the kidneys in
    males and females at 100 ppm (20 - 40% increases). Significant
    decreases were seen in the weights of the spleen of top-dose females
    (-20%) and significant increases were seen at 1.0, 10, and 100 ppm in

    males (+25%). Dose-related relative decreases in weights of the uterus
    were observed in all dosed females (maximum -25%). At interim
    sacrifice, inhibition of ovulation, characterized by a lack of corpora
    lutea in all females in the highest-dose group, was observed.
    Follicular development proceeded to the mature follicle stage. The
    uteri of all females in the 100 ppm group were consistent with the
    diestrous stage of the cycle. In the spleens of 6/12 males in the
    100 ppm group an increased number of polymor-phonuclear leucocytes in
    the red pulp was seen (0/12 in controls); congested sinuses were noted
    in 2/12 males of this group (0/12 in controls).

         At terminal sacrifice no organ weights were recorded. Terminal
    gross- and histopathological examination showed an increase in liver
    nodular hyperplasia and dose-related tumours in the male dose groups;
    these increases were statistically significant at the two highest
    doses. The incidence of liver tumours was also increased in females in
    the highest-dose group (8/52 versus 4/51 in controls). There was an
    increase in incidence of hepatocyte vacuolation in males in the
    100 ppm group. In 100 ppm females, gross pathological examination
    showed an increase in the incidence of enlarged and swollen kidneys,
    accompanied by a marginal increase in the incidence of nephritis. In
    the same group, increases in ovarian cysts (in 10/20 animals versus
    1/11 in controls) and enlarged, abscessed, or cystic preputial glands
    (in 4/20 females versus 0/11 controls) were seen. The spleens of 4/20
    females in the 100 ppm group appeared small (Hunter  et al., 1981).

    Rats

         Six groups of 65 male and 65 female Sprague-Dawley CFY rats
    weighing 150 - 200 g each were given diets containing 0, 0.5, 1.0,
    4.0, 16, or 50 ppm TBA (equal to 0, 0.02, 0.04, 0.14, 0.56, or
    1.80 mg/kg b.w./day TBA for males, respectively, end 0, 0.02, 0.04,
    0.16, 0.64, or 1.92 mg/kg b.w./day for females, respectively) for 112
    weeks. The parents of the test animals had been dosed at the same
    levels from week 9 before mating until day 21 post-partum (except for
    the 50 ppm group in which only the dams had been dosed from day 0 of
    pregnancy until day 21 post-partum).

         The females in the 4.0, 16, and 50 ppm groups showed prominent
    pudendum. A dose-related incidence of pendulous anogenital skin was
    seen in all female dose groups (maximum incidence, 85%). In males a
    dose-related reduction in testes size was seen in all dose groups,
    except at 0.5 ppm (maximum incidence, 45%). Growth and food
    consumption were decreased throughout the study in males administered
    50 ppm TBA (-15 and -10%, respectively). Water consumption was
    decreased in the same group up to week 51 (-15%). Urinalysis (9
    parameters measured in 5 rats/sex of the 0, 16, and 50 ppm groups on 6
    occasions throughout the study) showed no treatment-related changes.

         Haematology (10 parameters measured in 10 rats/sex of the 0, 16,
    and 50 ppm groups on 6 occasions throughout the study) showed dose-
    related slight increases in some parameters in females in the 16 and
    50 ppm groups. Male haematology values were generally unaffected by
    treatment. Blood biochemistry (13 parameters) showed no compound-
    related changes.

         At interim sacrifice at week 78, 13 - 14 rats/sex/group were
    killed. Macroscopic examination revealed a prominent clitoris in 5/14
    females fed 16 ppm TBA and in 13/13 females fed 50 ppm TBA. The males
    of the 50 ppm group showed atrophy of the testes, seminal vesicles,
    and prostate. Interim organ weighings revealed, in the males fed 16
    and 50 ppm TBA, dose-related decreases in absolute testes and prostate
    weights. Adrenals and pituitary weights were decreased in both sexes
    in the 50 ppm group. Weights of the ovaries were increased in all dose
    groups, but without dose relation.

         At the end of the experiment, similar changes in the absolute
    weights of the testes, prostate, and adrenals were found. In the males
    of the highest-dose group, decreases were observed in the weights of
    the pituitary (-30%), thyroid (-20%), kidney (-30%), spleen (-30%),
    and liver (-20%). The weight of the ovaries was markedly decreased in
    the highest-dose females (-60%).

         Terminal gross- and histopathological evaluation revealed a
    slightly increased incidence of foci or areas of ground-glass
    hepatocytes in the livers of the highest-dose females. Urinary bladder
    calculi and associated epithelial hyperplasia joined by cystitis and
    pyelitis were seen in females in the same dose group. Both the male
    and female reproductive tracts were affected. Testicular, prostatic,
    and vesicular atrophic changes were seen in males in the 16 and 50 ppm
    groups. Absence of corpora lutea, vaginal inflammation and
    mucification, uterine endometritis, dilatation, decreased endometrial
    thickness, and the development of clitoral bone were seen in the
    50 ppm females. Clitoral enlargement was seen in females in the two
    highest-dose groups. Neoplastic histopathology showed an increase in
    the incidence of pancreatic islet cell tumours in the 50 ppm group
    (Hunter  et al., 1982).

    Observations in human beings

         Male and female human volunteers were given i.m. doses of 5 or
    10 mg TBA every-other-day during 14 days. In the subjects administered
    5 mg TBA, nitrogen balance was disturbed, including retention of
    nitrogen. In the 10 mg group, some women showed disturbances of the
    menstruation cycle. The same dose caused a slight but significant
    reduction of excretion of 17-ketosteroids. No effects on
    17-hydroxy-corticosteroid excretion were seen. Blood parameters
    (protein, cholesterol, coagulation factors, and prothrombin and
    thrombin time) were unaffected by treatment (Krüskemper  et al.,
    1967).

    COMMENTS

         TBA is a synthetic steroid with anabolic properties. At the
    17-position in the molecule two epimers, alpha and ß, are possible.
    The ß-epimer of TBA is the commercial product. It is administered to
    cattle either alone or in combination with estradiol-17ß or zeranol as
    a subcutaneous implant in the ear to improve body weight, feed
    conversion, and nitrogen retention. It is usually implanted 60 - 90
    days before the intended date of slaughter.

         After administration to cattle, TBA is rapidly hydrolyzed to
    TBOH, the major metabolite being alpha-TBOH, occurring in the excreta,
    bile, and liver. In muscle most of the TBOH is present as ß-TBOH.
    Experiments with implantation of 200 mg of radiolabelled TBA in calves
    and heifers showed that maximum levels of residues occurred about 30
    days after implantation. The highest mean concentration of residues as
    TBOH equivalents was 50 µg/kg in liver, while muscle contained
    3 µg/kg.

         The results of the studies requested at the twenty-seventh
    meeting were submitted for consideration by the present Committee. In
    addition, new toxicological data were available on reproduction and
    mutagenicity. The Committee also reviewed previously available data
    including metabolic, teratogenicity, and carcinogenicity data.

         Acute toxicity studies in several species showed TBA to be of low
    toxicity, when given orally.

         Experiments had been performed in rats to assess the effect of
    TBA on pregnancy, on the reproductive function of multiple
    generations, and on the development of the offspring to weaning.
    Treatment at 0.3 and 0.5 ppm in the diet, equivalent to about
    20-30 µg/kg b.w./day, was associated with mean weekly body weights for
    female rats that were only slightly higher than those of controls, and
    marginal differences in litter parameters, while treatment with TBA at
    3.0 and 18.0 ppm in the diet was associated with a hormonal effect. It
    was considered that TBA exerted no effect on reproductive performance
    in the rat at 0.5 ppm in the diet, equivalent to 30 µg/kg b.w./day. No
    teratogenic effect was seen in two feeding studies in rats at very
    high doses of TBA. In a comprehensive range of  in vivo and  in vitro
    mutagenicity studies, all tests were negative for TBA, ß-TBOH, and
    TBA's major metabolite, alpha-TBOH, with the exception of the mutation
    assay in mouse lymphoma cells, which gave equivocal results with
    ß-TBOH and alpha-TBOH. The Committee also noted a report of an
    equivocal result in a transformation study with ß-TBOH in Syrian
    hamster embryo fibroblasts, and took into account the recognized
    difficulty in interpreting results from this type of study.

         The Committee reaffirmed the opinion expressed at its
    twenty-seventh meeting regarding the results of long-term feeding
    studies with TBA with rats and mice (Annex 1, reference 62). It
    considered that the liver hyperplasia and tumours in mice fed high
    doses of TBA (0.9 - 9 mg/kg b.w./day) and the slight increase in the
    incidence of islet-cell tumours of the pancreas of rats fed TBA at
    1.85 mg/kg b.w./day (the highest dose in the study) arose as a
    consequence of the hormonal activity of TBOH.

         The Committee therefore concluded that its safety assessment
    could be based on establishing the no-hormonal-effect level. It
    reviewed a study with castrated male rhesus macaque monkeys
    administered ß-TBOH orally, and considered that this model could be
    relevant to the human population. The castrated male rhesus monkey is
    highly sensitive to compounds with antigonadotropic activity; the
    Committee therefore adopted a conservative approach by using this
    study as the basis for establishing an ADI for human beings. Despite
    the small numbers in each group of monkeys studied, and the advanced
    age of the animals used, the Committee set 2 µg/kg b.w./day as a
    no-hormonal-effect level, based on assessment of histological changes
    in the seminal vesicles. In the intact female rhesus monkey, TBA had a
    clear no-hormonal-effect level of 10 µg/kg b.w./day. The Committee
    also considered that the pig was a sensitive model for assessing
    hormonal effects and noted that, here too, TBA had a no-hormonal-
    effect level of 2 µg/kg b.w./day based on assessment of pathological
    changes in the testes. Another study in the pig demonstrated that the
    hormonal activity of ß-TBOH was about ten times that of alpha-TBOH. No
    data on individual animals were available for any of the pig studies.

         In the absence of satisfactory toxicological data the Committee
    was unable to establish a separate no-effect level for the alpha-TBOH
    metabolite. It also noted that this metabolite was not produced in
    significant amounts in the rat, which made it inadvisable to
    extrapolate from data generated from ß-epimer experiments in that
    species.

    EVALUATION

    Level causing no hormonal effect

         Pig:      0.1 ppm in the diet, equal to 2 µg/kg b.w./day.
         Monkey:   2 µg/kg b.w./day.

    Estimate of temporary acceptable daily intake

         0 - 0.01 µg/kg b.w.

    Further work or information

    Required (by 1990):

    ( a) the final reports, with supporting data, for the tissue residue
    studies in which TBA was administered to heifers and TBA in
    combination with estradiol-17ß was administered to steers;

    ( b) histopathological data on individual animals from the three
    hormonal studies in pigs that were reviewed by the Committee;

    ( c) results from a 90-day study in an appropriate species, with
    orally administered alpha-TBOH.

    REFERENCES

    Allen, J.A. & Proudlock, R.J. (1983). Autoradiographic assessment of
    DNA repair in mammalian cells after exposure to 17-alpha-hydroxy-
    trenbolone and to 17-ß-hydroxytrenbolone. Unpublished report
    No. RSL 619/83731 from Huntingdon Research Centre, Huntingdon,
    England. Submitted to WHO by Roussel Uclaf, Paris, France.

    Allen, J.A., Brooker, P.C., & McCaffrey, K.J. (1985). Analysis of
    metaphase chromosomes obtained from CHO cells cultured  in vitro and
    treated with 17-ß-hydroxytrenbolone. Unpublished report No. RSL
    676/85631 from Huntingdon Research Centre, Huntingdon, England.
    Submitted to WHO by Roussel Uclaf, Paris, France.

    Allen, J.A., Proudlock, R.J., & Pugh, L.C. (1986). Micronucleus test
    on 17-ß-hydroxytrenbolone. Unpublished report No. RSL 728/861306 from
    Huntingdon Research Centre, Huntingdon, England. Submitted to WHO by
    Roussel Uclaf, Paris, France.

    Allen, J.A. & Proudlock, R.J. (1987). Assessment of 17-alpha- and
    17-ß-hydroxytrenbolone in the Solt-Farber system for induction of
    liver foci. Unpublished report No. RSL 711/861252 from Huntingdon
    Research Centre, Huntingdon, England. Submitted to WHO by Roussel
    Uclaf, Paris, France.

    Audegond, L., Collas, E., & Glomot, R. (1981a). R 1697 (trenbolone
    acetate). Single administration study by oral route in the mouse.
    Unpublished report No. 81213-A-JL/36-A from Roussel Uclaf Research
    Centre. Submitted to WHO by Roussel Uclaf, Paris, France.

    Audegond, L., Collas, E., & Glomot, R. (1981b). R 1697 (trenbolone
    acetate). Single administration study by oral route in the rat.
    Unpublished report No. 81212-A-JL/37-A from Roussel Uclaf Research
    Centre. Submitted to WHO by Roussel Uclaf, Paris, France.

    Audegond, L., Collas, g., & Glomot, R. (1981c). R 1697 (trenbolone
    acetate). Single administration study by oral route in the dog.
    Unpublished report No. 81216 from Roussel Uclaf Research Centre.
    Submitted to WHO by Roussel Uclaf, Paris, France.

    Barraud, B., Lugnier, A., & Dirheimer, G. (1983).  In vivo covalent
    binding to rat liver DNA of trenbolone as compared to 17-ß-estradiol,
    testosterone and zeranol. In:  Anabolics in animal production,
    International Office of Epizootics, Paris, pp. 193-206.

    Bouffault, J.C. (1977). Expert statement concerning the excretion of
    trenbolone and oestradiol-17-alpha in urine of calves after
    subcutaneous implantation of trenbolone acetate and oestradiol 17-ß.
    Unpublished report submitted to WHO by Roussel Uclaf, Paris, France.

    Chasseaud, L.F., Hawkins, D.R., Elsom, L.F., Parsonage, M.T.,
    Ross, D.B., & Roberts, N.L. (1976). Plasma and tissue concentrations
    of radioactivity in cattle after implantation of pellets containing
    3H-trenboloneacetete, 3H-oestradiol or combinations of radioactive
    drugs with the non-radioactive form of the other. Unpublished report
    No. SVT/11/76351 from Huntingdon Research Centre, Huntingdon, England.
    Submitted to WHO by Roussel Uclaf, Paris, France.

    Edgar, D.H., Bosworth, H.J., Ransome, S.J., & Banks, S.J. (1985). An
    assessment of the mutagenic potential of 17-ß-hydroxytrenbolone in
    mammalian cells  in vitro using the Chinese hamster ovary/HGPRT locus
    assay. Unpublished report No. RSL 677/85642 from Huntingdon Research
    Centre, Huntingdon, England. Submitted to WHO by Roussel Uclaf,
    Paris, France.

    Escuret, P. & Bas M.N. (1978). DL-50 chez le rat et chez le souris.
    Unpublished report Recherches Veterinaires R.U.-essai 5.77.71 R.
    Submitted to WHO by Roussel Uclaf, Paris, France.

    Gropp, J., Herlyn, D., Boehncke, E., Schulz, V., Sanderleben, J.V.,
    Hanichen, Th., & Geisel, O. (1975). Physiological data including
    evaluation of immunoresponse in relation to anabolic effects on veal
    calves. Published in "Anabolic agents in animal production",
    FAO/WHO Symposium, pp. 131-141, March 1975.

    Gropp, J., Buntenkotter, S., & Kaemmerer, K. (1978). Relay toxicity of
    anabolic agents, general considerations and some experimental data.
    Published at Relay Toxicity and Bioavailability Symposium,
    5 October 1978. Report submitted to WHO by Roussel Uclaf,
    Paris, France.

    Hawkins, D.R., Weston, K.T., Ray, J., Ross, D.B., & Cameron, D.M.
    (1979). The bioavailability of trenboloneacetate residues in the
    edible tissues of heifers after oral administration to rats.
    Unpublished report No. RSL/328/7959 from Huntingdon Research Centre,
    Huntingdon, England. Submitted to WHO by Roussel Uclaf, Paris, France.

    Hawkins, D.R., Waller, A.R., Moore, D.H., Jordan, M.C., Roberts, N.L.,
    & Cameron, D. (1984). Tissue residues of radioactivity at 15 and 30
    days after implantation of 3H-trenboloneacetate in calves.
    Unpublished report No. HRC/RSL/636 from Huntingdon Research Centre,
    Huntingdon, England. Submitted to WHO by Roussel Uclaf, Paris, France.

    Heitzman, R.J. (1975). The effectiveness of anabolic agents in
    increasing rate of growth in farm animals; report on experiments in
    cattle. Published in "Anabolic agents in animal production", FAO/WHO
    Symposium, pp. 89-98, March 1975.

    Heitzman, R.J. & Hardwood, D.J. (1977). Residue levels of trenbolone
    and oestradiol-17-ß in plasma and tissues of steers implanted with
    anabolic steroid preparations,  Br. Vet. J., 133, 564.

    Henderson, L.M., Bosworth, H.J., Ransome, S.J., Banks, S.J., & Ozel,
    K.J. (1986a). An assessment of the mutagenic potential of 17-alpha-
    hydroxytrenbolone in mammalian cells  in vitro using the Chinese
    hamster ovary/HPRT locus assay. Unpublished report No. RSL 713/86713
    from Huntingdon Research Centre, Huntingdon, England. Submitted to WHO
    by Roussel Uclaf, Paris, France.

    Henderson, L.M., Brooker, P.C., & Howell, A. (1986b). An assessment of
    the mutagenic potential of 17-ß-hydroxytrenbolone in mammalian cells
     in vitro using a Chinese hamster ovary micronucleus test.
    Unpublished report No. RSL 729/861287 from Huntingdon Research Centre,
    Huntingdon, England. Submitted to WHO by Roussel Uclaf, Paris, France.

    Henderson, L.M., Ransome, S.J., Banks, S.J., & Bosworth, H.J. (1987a).
    An assessment of the carcinogenic potential of 17-ß-hydroxytrenbolone
    and testosterone in an  in vitro cell transformation assay using
    mouse C3H10T1/2 cells. Unpublished report No. RSL 691/861257 from
    Huntingdon Research Centre, Huntingdon, England. Submitted to WHO by
    Roussel Uclaf, Paris, France.

    Henderson, L.M., Ransome, S.J., Banks, S.J., Bosworth, H.J.,
    Bottoms, M., & Williams, J. (1987b). An assessment of the mutagenic
    potential of 17-ß-hydroxytrenbolone in mammalian cells  in vitro
    using the Chinese hamster V79/HPRT locus assay. Unpublished report
    No. RSL 712/861249 from Huntingdon Research Centre, Huntingdon,
    England. Submitted to WHO by Roussel Uclaf, Paris, France.

    Hess, D.L. (1983). Determination of a hormonal no-effect dose level
    for 17-ß-trenbolone Rhesus Macaque. Unpublished report from Oregon
    Regional Primate Research Center, Beaverton, OR, USA. Submitted to WHO
    by Roussel Uclaf, Paris, France.

    Hess, D.L. (1984). Determination of the hormonal no-effect dose level
    for trenbolone acetate in the female Rhesus Macaque. Unpublished
    report from Oregon Regional Primate Research Center, Beaverton, OR,
    USA. Submitted to WHO by Roussel Uclaf, Paris, France.

    Hoffman, B., Schopper, D., & Karg, H. (1984). Investigations on the
    occurrence of non-extractable residues of trenbolone acetate in cattle
    tissues in respect to their bioavailability and immunological
    reactivity.  Food Additives and Contaminants., 1, p. 253.

    Hossack, D.J.N., Richold, M., & Jones, E. (1978). Ames metabolic
    activation test to assess the potential mutagenic effect of trenbolone
    acetate, 17-ß-oestradiol and 7:1 mixture of trenbolone with
    17-ß-oestradiol. Unpublished report No. RSL 351/781136 from Huntingdon
    Research Centre, Huntingdon, England. Submitted to WHO by Roussel
    Uclaf, Paris, France.

    Huis in't Veld, L.G., Have, J. ten, & Kok, G.L. (1973). Hormonale
    werkingen van trenbolone-acetaat. Unpublished report No. U 146/73 ENDO
    from the National Institute of Public Health, The Netherlands.

    Hunter, B., Macrae, S., Prentice, D.E., & Brooks, P.N. (1976a).
    Preliminary assessment of the toxicity of trenboloneacetate when
    incorporated in the diet of mice. Unpublished report No. RSL 235/76316
    from Huntingdon Research Centre, Huntingdon, England. Submitted to WHO
    by Roussel Uclaf, Paris, France.

    Hunter, B., Macrae, S., Prentice, D.E., & Majedd, S.K. (1976b).
    Preliminary assessment of the toxicity of trenboloneacetate when
    incorporated in the diet of mice. Unpublished report No. RSL 213/75992
    from Huntingdon Research Centre, Huntingdon, England. Submitted to WHO
    by Roussel Uclaf, Paris, France.

    Hunter, B., Bathman, P., Heywood, R., Street, A.E., Prentice, D.E., &
    Majeed, S.K. (1976c). Trenboloneacetate oral toxicity to rats by
    dietary administration for 13 weeks. Unpublished report No. RSL
    237/76426 from Huntingdon Research Centre, Huntingdon, England.
    Submitted to WHO by Roussel Uclaf, Paris, France.

    Hunter, B., Graham, C., Gibson, W.A., Read, R., Gregson, R., Heywood
    R., Offer, J., Prentice, D., & Woodhouse, R. (1981). Long-term feeding
    of trenboloneacetate to mice (final report). Unpublished report volume
    I, II and III, No. RSL/267/80122 from Huntingdon Research Centre,
    Huntingdon, England. Submitted to WHO by Roussel Uclaf, Paris, France.

    Hunter, B., Batham, P., Heywood, R., Street, A.E., Gibson, W.A.,
    Prentice, D., Gregson, R., & Offer, J. (1982). Trenboloneacetate
    potential tumorigenic and toxic effects in prolonged administration to
    rats following "in utero" exposure (final report). Unpublished report
    volume I, II, III and IV, No. RSL 295-G/80974 from Huntingdon Research
    Centre, Huntingdon, England. Submitted to WHO by Roussel Uclaf,
    Paris, France.

    Ingerowski, G.H., Scheutwinkel-Reich, M., & Stan, H.J. (1981).
    Mutagenicity studies on veterinary anabolic drugs with the
    Salmonella/microsome test.  Mutagen. Res., 91, 93-98.

    James, P.A., Cox, R., Clark, R., Palmer, A.K., & Offer, J. (1982).
    Effect of trenboloneacetate on pregnancy of the rat. Unpublished
    report No. RSL 458/81553 from Huntingdon Research Centre, Huntingdon,
    England. Submitted to WHO by Roussel Uclaf, Paris, France.

    James, P., Smith, J.A., John, D.M., Gibson, W.A., Offer, J.M., &
    Anderson, A. (1985). Effect of trenbolone acetate on reproductive
    function of multiple generations in the rat. Unpublished report
    No. RSL 634/841004 from Huntingdon Research Centre, Huntingdon,
    England. Submitted to WHO by Roussel Uclaf, Paris, France.

    James, P., Smith, J.A., & Parker, C.A. (1986). Supplementary study of
    the effect of trenbolone acetate on pregnancy of the rat and
    development of the offspring. Unpublished report No. RSL 695/851572
    from Huntingdon Research Centre, Huntingdon, England. Submitted to WHO
    by Roussel Uclaf, Paris, France.

    Kroes, R. (1972). De invloed van oestradiol en een combinatie van
    oestradiol en trienbolone op de vesiculae semenalis van mestkalveren.
    Unpublished report No. 162/72 Path. from the National Institute of
    Public Health, The Netherlands.

    Kroes, R., Huis in't Veld, L.G., & Stephany, R.W. (1976a). Onderzoek
    naar de invloed van ethynylestradiol, 17-alpha-oestradiol en
    trenboloneacetaat alleen of in combinatie op beren, borgen en geiten.
    Uitscheiding in urine en faeces en residuen in serum (ILOB proeven
    98.06  98.07, 98.08, 98.09, 118.04 en 118.05). Unpublished report
    No. 216/76 Path. from the National Institute of Public Health,
    The Netherlands.

    Kroes, R., Huis in't Veld, L.G., & Stephany, R.W. (1976b). Onderzoek
    naar de invloed van combinatie-preparaten van mannelijke en
    vrouwelijke hormonen of hormonaal werkende stoffen of mannelijke
    mestkalveren (Een biologisch, chemisch en histologish onderzoek, ILOB
    proef 25.14 P 72/82). Unpublished report No. 193/76 Path. from the
    National Institute of Public Health, The Netherlands.

    Kroes, R., Huis in't Veld, L.G., Both-Miedema, R., & van de Berg, R.
    (1976c). Onderzoek naar de invloed van 17-ß-oestradiol, trenbolone-
    acetaat en testosteron alleen of in combinatie, op stieren en ossen
    (Uitscheiding in urine, aanwezigheid in serum en histologisch
    onderzoek prostaat, ILOB-proeven 134-02 a, 134.02 b en 134.03).
    Unpublished report No. 218/76 Path. from the National Institute of
    Public Health, The Netherlands.

    Kruskemper, H.L., Morgner, K.D., & Noell, G. (1967). Klinische
    pharmakologie von Trienolonen, eine Gruppe neuartiger anabol wirksamer
    Oestran-Derivate,  Arzneim. Forsch., 17, 449-454.

    Lutz, W.K (1979).  In vivo covalent binding of organic chemicals to
    DNA as a quantitative indicator in the process of chemical
    carcinogenesis.  Mutation Res., 65, 289-356.

    Offer, J.M. (1985). Effect of trenbolone acetate on the reproductive
    function of multiple generations in the rat. Unpublished report
    No. RSL 634/85959 (Addendum to RSL 634/841004) from Huntingdon
    Research Centre, Huntingdon, England. Submitted to WHO by Roussel
    Uclaf, Paris, France.

    Philibert, D. & Moguilewsky, M. (1983). Liaison de la testosterone de
    la 17-ß-OH-trenbolone (RU 2341) et de son isomere, la 17-alpha-
    OH-trenbolone (RU 27423) au niveau du plasma humain. Unpublished
    report No. AN 39 from Roussel Uclaf Research Centre. Submitted to WHO
    by Roussel Uclaf, Paris, France.

    Pottier, J. Busigny, M., & Gradadam, J.A. (1973). Tissue residues in
    cows after implantation of trenbolone acetate.  J. Anim. Sci.,
    37, 256 (Abstract No. 110F).

    Pottier, J., Busigny, M., & Gradaclam, J.A. (1975). Plasma kinetics,
    excretion in milk and tissue levels in the cow following implantation
    of trenbolone acetate.  J. Anim. Sci., 41, 968.

    Pottier, J., Cousty, C., Heitzman, R.J., & Reynolds, I.P. (1978).
    Metabolites trenbolone acetate R in the bile of the cow and the rat.
    Report presented during the 1978 Joint Meeting of the American Dairy
    Association and the American Society of Animal Science, Michigan State
    University, East Lansing, 9-13 June. Submitted to WHO by Roussel
    Uclaf, Paris, France.

    Pottier, J. (1979). Trenboloneacetate tissue and biliary
    concentrations of the position of 17 epimers of trenbolone in heifers
    after 2 months of implantation. Unpublished report No. 799 from
    Roussel Uclaf. Submitted to WHO by Roussel Uclaf, Paris, France.

    Richold, M. & Richardson, J.C. (1982). Metaphase analysis on
    17-ß-hydroxytrenbolone and 17-alpha-hydroxytrenbolone. Unpublished
    report No. RSL/512/81962 from Huntingdon Research Centre, Huntingdon,
    England. Submitted to WHO by Roussel Uclaf, Paris, France.

    Richold, M., Jones, E., & Hales, J.F. (1982a). Ames metabolic
    activation test to assess the potential mutagenic effect of
    17-alpha-hydroxytrenbolone, 17-ß-hydroxytrenbolone and
    17-alpha-oestradiol. Unpublished report No. RSL 567/82767 from
    Huntingdon Research Centre, Huntingdon, England. Submitted to WHO by
    Roussel Uclaf, Paris, France.

    Richold, M., Richardson, J.C., Proudlock, R.J., & Fleming, P.M.
    (1982b). Effect of 17-ß-hydroxytrenbolone and 17-alpha-hydroxy-
    trenbolone on cultured human lymphocytes. Unpublished report No. RSL
    544/82136 from Huntingdon Research Centre, Huntingdon, England.
    Submitted to WHO by Roussel Uclaf, Paris, France.

    Richold, M. Dehnel, J.M., & Ransome, S. (1982c). An assessment of the
    mutagenic potential of 4 compounds using an  in vitro mammalian cell
    test system. Unpublished report No. RSL 513/8286 from Huntingdon
    Research Centre, Huntingdon, England. Submitted to WHO by Roussel
    Uclaf, Paris, France.

    Richold, M., Edgar, D.H., Ransome, S.J., & Banks, S.J. (1983). An
    assessment of the mutagenic potential of four compounds using an
     in vitro mammalian cell test system. Unpublished report from
    Huntingdon Research Centre, Huntingdon, England. Submitted to WHO by
    Roussel Uclaf, Paris, France.

    Riis, P.M. & Suresh, T.P. (1976). The effect of a synthetic steroid
    (trenbolone) on the rate of release and excretion of subcutaneously
    administered estradiol in calves.  Steroids, 27, 5-15.

    Roberts, N.L. & Cameron D.M. (1985). Hormonal effects of orally
    administered trenbolone. Findings from three studies in the domestic
    pig. Unpublished report No. RSL 591/83499 from Huntingdon Research
    Centre, Huntingdon, England. Submitted to WHO by Roussel Uclaf,
    Paris, France.

    Ross, D.B. (1980). Toxicology and residues of trenboloneacetate.
    Published in: Conference on the Use, Residues and Toxicology of Growth
    Promoters, Dublin, 9 April 1980, pp. 34-48.

    Ross, D.B., Roberts, N.L., Cameron, D.M., Street, A.E., Crook, D.,
    Prentice, D.E., & Cherry, C.P. (1980). Oral toxicity of trenbolone
    acetate to growing pigs (Sus scrofa)- preliminary 14 weeks feeding
    study. Unpublished report No. RSL 357/80152 from Huntingdon Research
    Centre, Huntingdon, England. Submitted to WHO by Roussel Uclaf,
    Paris, France.

    Ryan, J.J. & Hoffman, B. (1978). Trenbolone acetate: experiences with
    residues in cattle tissues.  J.A.O.A.C., 61, 1274-1279.

    Schiffman, D., Metzler, M., Neudecker, T., & Henschler, D. (1985).
    Morphological transformation of Syrian hamster embryo fibroblasts by
    the anabolic agent trenbolone.  Arch. Toxicol., 58, 59-63.

    Schroder, R. (1971a). R 1697: Prüfung der androgenen und
    muskelbildenden Wirkung bei oraler Verabreichung. Unpublished report
    from Hoechst A.G. Submitted to WHO by Roussel Uclaf, Paris, France.

    Schroder, R. (1971b). R 1697: Untersuchung auf androgene und anabole
    Wirkung, Untersuchung auf oestrogene Wirkung. Unpublished report from
    Hoechst A.G. Submitted to WHO by Roussel Uclaf, Paris, France.

    Seeger, K. (1971a). Anabolikum R 1697 (A 50273) as us vet.
    Unpublished report from Hoechst A.G. Submitted to WHO by Roussel
    Uclaf, Paris, France.

    Seeger, K. (1971b). R 1967: Chronische Toxizitat per oral. Unpublished
    report from Hoechst A.G. Submitted to WHO by Roussel Uclaf,
    Paris, France.

    Sovetal (1970). Toxicité cronique par voie sous-cutanée chez le rat
    male et chez la femelle. Unpublished report No. R 1697 from Sovetal.
    Submitted to WHO by Roussel Uclaf, Paris, France.

    Stephany, R.W., Bosch, D., van den Sahertian, E.Th., & Kroes, R
    (1976). Onderzoek naar de invloed van orale toediening van
    trenboloneacetaat op vaarzen (ILOB-proef 134-01) (Eenchemisch
    onderzoek). Unpublished report No. 215/76 Path. From the National
    Institute of Public Health, The Netherlands.

    Verbeke, R., Debackere M., Hicquet, R., Lauwers, H., Stevens, J.,
    Pottier, G., Moer, D., Van Hoof, J., & Vermeersch, G. (1975). Quality
    of the meat after the application of anabolic agents in young calves.
    Published in: Anabolic Agents in Animal Production, FAO/WHO Symposium,
    March 1975, pp. 123-130.

    van de Wal, P. (1975). General aspects of the effectiveness of
    anabolic agents in increasing protein production in farm animals, in
    particular in bull calves. Published in: Anabolic Agents in Animal
    Production, FAO/WHO Symposium, March 1975, pp. 60-78.
    


    See Also:
       Toxicological Abbreviations
       Trenbolone acetate (WHO Food Additives Series 25)
       TRENBOLONE ACETATE (JECFA Evaluation)