IPCS INCHEM Home

    ANOXOMER

    Explanation

         This compound has not previously been reviewed by the Joint
    FAO/WHO Expert Committee on Food Additives.

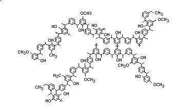
         Anoxomer is a complex polymeric substance with an average
    molecular weight of 4500-5000. No more than 5% of the polymer can be
    greater than 50 000 daltons and no more than 1% of the polymer can be
    less than 500 daltons. Anoxomer is to be used as an antioxidant at a
    level no greater than 0.5% of the fat and oil content of foods. It is
    an off-white powder with the following structure:

    CHEMICAL STRUCTURE 1

    BIOLOGICAL DATA

    BIOCHEMICAL ASPECTS

    Absorption, distribution and excretion

         Single oral doses of C14-anoxomer, 10 mg in Sprague-Dawley rats,
    1.8 mg in IRC/SM mice, 0.5 mg in Hartley guinea-pigs and 0.6 mg in
    Dutch-belted rabbits indicated that only 0.2-0.6% of the administered
    compound is absorbed. The recovery of radioactivity in these studies
    varied from 78 to 110% (Halladay et al., 1978; Parkinson et al., 1978;
    Enderlin & Halladay, 1977a, 1977b). Absorption of a single dose of
    C14-anoxomer was no greater in Sprague-Dawley rats fed 5% anoxomer
    for 90 days than in rats given C14-anoxomer acutely (Enderlin &
    Halladay, 1977c). Following oral dosing of 10 mg of C14-anoxomer, the
    residual radioactivity was assessed in the mesenteric lymph nodes 30
    days later. There was some indication from this study that anoxomer
    was selectively partitioning in lipid stores (Enderlin & Halladay,
    1977c).

    Effects on enzymes and other biochemical parameters

         2.8 and 5 g/kg of anoxomer was added to the basal diet of male
    Sprague-Dawley rats for 90 and 60 days, respectively. The level of
    cytochrome P-450, cytochrome C reductase activity and microsomal
    mixed-function oxygenase (MFO) activity for aminopyrine demethylase
    (APDM), p-nitroanisole demethylase (NADM), hexobarbital oxidase (HO)
    and benzo[alpha]pyrene hydroxylase (BH) were measured in the hepatic
    S-9 homogenates. There were no differences between control and
    anoxomer-fed animals, with regard to liver weights and in hepatic
    homogenates. There were no differences in the activity of cytochrome
    P-450, cytochrome C reductase or any of the MFO enzymes (Ryerson et
    al., 1977).

         In another study, 2.8 and 5 g/kg of anoxomer was added to the
    basal diet of male Sprague-Dawley rats for 90 and 60 days,
    respectively. The levels of cytochrome P-450, cytochrome C reductase
    activity and microsomal mixed-function oxygenase (MFO) activity for
    the hydrolysis of indophenol acetate (IPA) and benzo[alpha]-pyrene
    hydroxylase (BH) was measured in the intestinal S-9 homogenates.
    Anoxomer caused no alterations in the concentration of cytochrome
    P-450 and cytochrome C reductase activity over the duration of the
    90-day study (Ryerson et al., 1978).

    TOXICOLOGICAL STUDIES

    Special studies on blood coagulation

         During the conduct of the chronic rat feeding study, 4 high-dose
    (2500 mg/kg bw) male rats suffered unexplained and lethal
    haemorrhaging of the pelvic region. Thus, a study to assess the
    influence of anoxomer on blood clotting factors in male rats was
    conducted. Ten male rats in each of 2 groups received either 0 or
    2500 mg/kg bw of anoxomer in basal lab diet for 21 days. There was no
    statistically significant differences between treated and control
    animals in prothrombin time, activated partial thromboplastin time,
    fibrinogen concentration or bleeding time. There was a statistically
    significant increase in platelet count in treated males (Anon.,
    1981c). Based on these observations, anoxomer appears to be free of
    any influence on blood clotting factors.

    Special studies on dermal irritation

         Six healthy, New Zealand white rabbits were used in this test.
    Skin reactions were scored by the Draize system and, since the primary
    irritation score was 0.2, anoxomer was not judged to be a primary
    irritant (Anon., 1976b).

    Special studies on eye irritation

         In 6 healthy, New Zealand white rabbits, 63 mg of anoxomer was
    instilled in the conjunctival sac of the left eye with the right eye
    serving as control. Anoxomer was not judged to be an eye irritant,
    since findings of irritation were present in only one of 6 test
    subjects (Anon., 1976a).

    Special studies on influence on lymphatic tissues

         Female Sprague-Dawley rats were given 5% anoxomer in the diet for
    28 weeks. No gross or microscopic alterations were noted in the
    mesenteric lymph nodes of any control or high-dose animals that were
    examined (Anon., 1978).

         Eighteen female rats (Simonsen strain) were administered 10.74 mg
    (39 µCi) of 14C-labelled anoxomer by gavage = 50 mg/kg bw. On each of
    6 days (days 1, 3, 7, 14, 21 and 28) following dosing, 3 animals were
    sacrificed and the level of radioactivity assessed in liver, spleen,
    kidneys, stomach, small intestine, caecum, large intestine, intestinal
    contents, lymph nodes (mesenteric, axillary, cervical and
    inguinofemoral), fat (from mesenteric, peri-uterine and subcutaneous
    regions) and muscle (gracilis). Specimens from blood, urine and faeces
    were also collected and analysed for radioactivity. Control (undosed)
    animals were used to determine the limits of detection of the
    radiolabelled anoxomer. The levels initially detected were negligible

    in all tissues but the gastrointestinal tract. Even the initially high
    levels found in the stomach and large and small intestine declined
    rapidly. This study gave no evidence of a selective tissue
    accumulation of anoxomer (Enderlin, 1981). This contrasts with the
    earlier metabolism studies (Enderlin & Halladay, 1977c) which
    suggested anoxomer concentrations in fat tissue. This earlier
    observation may have been due to measurement uncertainties (error)
    related to counts per minute extrapolations from small tissue samples
    (50 mg). At the many-fold higher doses used in the subchronic and
    lifetime animal studies (10 g/kg bw), some abnormal or selective
    accumulation in fat or lymphoid tissue may occur: however, at the
    doses used in this study (about 50 mg/kg bw), there is no evidence of
    selective accumulation of anoxomer in either fat or lymphoid tissues.

    Special studies on mutagenicity

         Anoxomer, in concentrations up to 5 mg/plate, was neither
    mutagenic nor cytotoxic in the Ames test using 5 strains of his-
    Salmonella typhimurium (strains used were sensitive for both base-
    pair and frame-shift mutations) either with or without activation by
    rat microsomal preparation. Four strains of trp-Escherichia coli
    were employed to test anoxomer in concentrations up to 1 mg/plate with
    and without metabolic activation. Anoxomer was nonmutagenic in this
    bacterial test system (Dietrich et al., 1977).

         Anoxomer was evaluated for its ability to induce mitotic
    crossing over or intergenic recombination and reverse mutation of
    Saccharomyces cerevisiae. Anoxomer was tested in concentrations up
    to 5 mg/ml and at time periods up to 16 hours with and without
    metabolic activation. No dose- or time-related effects were seen with
    any of these endpoints (Dietrich et al., 1977).

         The potential mutagenicity of anoxomer in mammalian cells was
    tested in L5178Y mice lymphoma cells. There were no effects on forward
    point mutations at the thymidine kinase locus, sister chromatid
    exchanges or chromosome aberrations (Anon., 1977). The validity of
    this particular study is questioned at doses above 0.32 mg/ml because
    of precipitation of the test materials, and because the incidence of
    chromosomal aberrations was not different between the positive and
    solvent controls.

    Special studies on reproduction

         A 3-generation reproduction and teratology study was conducted
    with anoxomer in Sprague-Dawley rats. Control animals received basal
    diets while test animals received 0.5, 1.58 or 5% of anoxomer in basal
    diet throughout the study. Each parental generation consisted of 30
    males and 30 females.

         There was a statistically significant decrease in neonatal
    survival index in the 1.58 and 5% offspring and in the weaning
    survival index of all 3 treated groups in the F1a litters. There was
    a significant decrease in male birth weight and in male and female
    weaning weights at the 5% level in the F1b litters. The neonatal and
    weaning survival indices as well as weaning weights were significantly
    reduced in the 5% groups of the F2a litters. Weaning survival was
    decreased in the 0.5 and 5% offspring, and weaning weight of all males
    in the same groups was decreased. In the F3a, F3b and F3c litters,
    the pregnancy rate was low in all groups including the control
    animals. However, none of these effects were observed consistently
    during the successive generations, nor was there any indication that
    these effects were more marked during the successive breedings. Based
    on all the information from the study, the no-effect level on
    reproductive performance and indices was determined to be 1.58% of the
    diet.

         The F3d litters were utilized for the teratology phase of this
    study. The test animals were sacrificed on day 19. There was no effect
    on numbers of corpora lutea, implantations, resorptions, liver of dead
    foetuses for any of the groups. In addition, there was no treatment-
    related effects on body weight or size or on the incidences of
    visceral or skeletal anomalies (Anon., 1979a).

    Special studies on teratogenicity

         Thirty female Sprague-Dawley rats, each of 4 treatment groups,
    were fed anoxomer at 0, 250, 800 or 2500 mg/kg bw per day on days 6-15
    of gestation. The test animals were sacrificed on gestation day 20. No
    compound-related effects were found in maternal body weights, deaths
    or pathology at necropsy. No compound-related differences were
    observed in pregnancy rate, number of corpora lutea, implantations,
    resorptions, live foetuses, foetal body weight or length (Anon.,
    1981a). The mean number of visceral and skeletal variants increased in
    the treated groups, but the increase did not appear to be dose
    related.

         In 2 studies, A and B, 20 or 25 female rabbits, respectively in
    each of 4 treatment groups received anoxomer at 0, 250, 500 or
    1000 mg/kg bw per day by oral intubation from day 6 through day 18 and
    sacrifice was on gestation day 29. In both studies, maternal gross
    pathology did not indicate any treatment-related effects. No effect
    was apparent in the number of dead foetuses, live foetuses, or sex
    ratio. There appeared to be no treatment-related increase in skeletal
    problems in both studies. In study A, there was a dose-related
    increase in dilated pelvises and ectopic kidneys in all groups. Study
    B utilized the same protocol, but did not confirm the renal effects
    (Anon., 1979, 1981a).

    Acute toxicity
                                                                        

                                    LD50             Reference
          Animal           Route  (g/kg bw)
                                                                        

    Mouse                  Oral      10      Anon., 1981c
                           i.p.      10      Jorgenson & Rushbrook, 1976

    Rat (Sprague-Dawley)   Oral      10      Jorgenson & Rushbrook, 1976
                           i.p.      10      Jorgenson & Rushbrook, 1976

    Dog                    Oral      10      Jorgenson & Rushbrook, 1976
                           i.p.       5      Jorgenson & Rushbrook, 1976
                                                                        

    Short-term studies

    Rat

         Fifty young, adult Sprague-Dawley rats (25 males and 25 females)
    in 4 different groups were fed 0, 0.5, 1.58 or 5% anoxomer in rat diet
    for 90 days. Water intake, activity and behaviour were normal and
    comparable for all groups. Body weights and food consumption for males
    and females in all groups remained in the normal ranges for the
    duration of the study. The haematology, differential counts, platelet
    counts and reticulocyte counts of all groups were also within normal
    limits. The serum enzyme and biochemistry were within the expected
    limits of biological variation. Gross necropsy revealed a 15-20%
    incidence of emphysema, slight haemorrhaging and/or congestion of the
    lungs in all groups, including controls. This was probably the result
    of handling and CO2 asphyxiation and not the result of treatment. Two
    control males and 2 0.5% dose level females had cataracts. No dose-
    response effects were evident and the gross findings were within
    normal ranges for this strain of rat. All organ weights and organ-to-
    body weight ratios were comparable between groups. Slight to moderate
    hyperplasia of the lymph node was seen in 2 high-dose rats and
    haemorrhage of the lymph node was observed in another high-dose rat.
    Slight focal haemorrhage and slight focal congestion was found in the
    thymus, respectively, in 2 high-dose rats (Jorgenson & Rushbrook,
    1977).

    Long-term studies

    Mouse

         One hundred and seventy-five sexually mature HAM/ICR mice were
    selected on the basis of good health and randomly assigned either to
    one of two control groups or to treatment groups and fed 0, 0.5, 1.58
    and 5% anoxomer for 104 weeks to assess the chronic toxicity and
    carcinogenicity potential of this substance. After 1 week, animals
    were mated. Female mice were maintained on control or test diet
    throughout gestation, delivery and lactation. Fifty animals per sex
    per dose were then randomly assigned to the chronic feeding phase of
    the present study.

         There were no compound-related effects indicated by the survival
    data from the test and control groups. While the high-dose male and
    female groups' mean weights were decreased during the first 6 months
    of the study, by the end of the first year, there were no significant
    differences in body weights of the offspring of the high-dose F0
    groups. The early decreased body weight would appear to reflect the
    test animals exposure in utero to the test compound. Thus, the
    decreased body weights of the high-dose males and females in the early
    phase were considered treatment related. This effect on offspring body
    weight may have been due to simple dilution of the nutritive value of
    the diet because of the presence of the diet compound. Problems of
    food spillage, however, made food consumption data of questionable
    reliability (Anon., 1980a).

         At termination of the study at 104 weeks, gross pathology was
    characterized in large measure as being comparable across treatment
    and control groups. Certain lesions occurred with nearly equal
    frequency across all treatment groups, e.g., discoloration of the
    lungs, enlarged spleens and darkened areas or lobes of the liver.

         The results of histopathological findings were essentially
    comparable between the high-dose treatment group and control group 1.
    The more common incidental findings observed were: chronic murine
    pneumonia, hydronephrosis, focal ulceration of the gastric mucosa,
    malignant lymphoma originating in the thymus, hepatocellular carcinoma
    and chronic interstitial nephritis. None of these lesions occurred in
    other than an apparently random distribution. Statistical analysis was
    performed on the comparative incidences of malignant lymphoma (all
    types combined alveolar/bronchiolar carcinoma and hepatocellular
    carcinoma in control group 1 and the high-dose groups. These 3 tumour
    categories were selected since they were representative of the tumour
    types occurring most frequently. There was not a statistically
    significant increase in incidence of these tumours in the treated
    group compared to control group 1 (Anon., 1980a). An examination of
    the pattern and occurrence of tumours in other organs and tissues did
    not reveal a frequency of distribution across treatment groups which
    is compound related.

    Rat

         Fifty animals (Fischer 344 strain) per sex per dose were fed 0,
    0.5, 1.58 or 5% anoxomer for 130 weeks in this study to assess the
    chronic toxicity and carcinogenicity potential of this substance. The
    parents of these animals had also been fed 0, 0.5, 1.58 or 5%
    anoxomer. Exposure to anoxomer continued during mating, gestation,
    delivery and lactation.

         Survival in all groups at 18 months exceeded the 55% protocol
    requirement. The higher mortality experienced by the mid-dose males is
    considered to be incidental and not compound related. Anoxomer
    administration resulted in statistically significant decreases in body
    weight gain (growth rates) through week 51 in low- and high-dose
    males. In addition, during the chronic feeding phase of the study, the
    mean body weights of the 3 treated male groups were consistently lower
    than the 2 control groups. This finding is considered to be compound
    related; however, the decreases were similar across groups and bore no
    relationship to those observed among the female treatment groups. The
    slightly lower mean body weight of certain of the treated groups
    coupled with the increased levels of food consumption by some of the
    treated groups suggests that the lower body weights were the result of
    dilution of the nutritive value of the diet due to the presence of
    anoxomer. Additional evidence of the non-specific rather than toxic
    nature of the decreased weight was the fact that there were no
    statistically significant differences in terminal organ or organ-to-
    body weight ratios observed between treated and control groups.

         During week 37, some rats exhibited clinical signs of
    sialodacryoadenitis (SDA) virus. There was no treatment of this
    normally self-limited disease and no effects were observed which were
    interpreted as being detrimental to the conduct of the present study.
    Gross eye findings included a slightly increased frequency of cloudy
    eyes in high-dose animals during the latter part of the study, e.g.,
    at week 99, the overall incidence ranged from about 2 to 9% for
    control, low- and mid-dose groups and was 17% for the high-dose group.
    The presumptive diagnosis of degenerative cataracts secondary to
    probable senile retinal dystrophy was made. The findings did not
    provide definite evidence of a compound-related effect in the high-
    dose group; however, the slightly higher incidence suggested a
    potential indirect effect on normal geriatric process. The frequency
    of this finding across treatment groups became virtually the same by
    the end of the study. Also, during week 37, 4 high-dose males were
    found moribund, and 3 animals manifested posterior paresis. At
    necropsy, suggestions of haemorrhage were present with dark red fluid
    in the urinary bladder of 2 males, and large areas of diffuse redness
    in the bladder wall of a third animal. A fourth animal found dead
    during week 37 had haemorrhage and a large haematoma in the pelvic
    area. Prothrombin determinations and platelet counts made at 55 weeks
    were comparable to control animals. No additional animals or groups
    suffered these lesions.

         Other representative findings were: discoloration of pituitary,
    lungs, liver, kidneys, adrenals and testes; enlargement, thickened
    appearance or variations in size of pituitary, liver, spleen and
    testes; ulcerated areas of the stomach; cloudy or opaque eyes; nodules
    in various organs; masses in subcutaneous tissue, in body cavities and
    associated with viscera and enlargement or discoloration of lymph
    modes. A wide variety of spontaneous neoplasms and lesions were
    observed. Among the commonly observed neoplasms, such as pituitary "C"
    cell tumours of the thyroid, pheochromocytoma of the adrenals, mammary
    fibroadenomas in females, monocytic leukaemia, testicular interstitial
    cell tumours, and uterine endometrial stromal polyps. Statistical
    analyses were conducted on the comparative incidences of monocytic
    leukaemia, pituitary adenoma, adrenal pheochromocytoma and mammary
    fibroadenoma in control group 1 and the high-dose group. The overall
    incidence of these tumour types did not differ significantly between
    the high-dose groups and their respective controls. An examination of
    the pattern and occurrence of tumours in other organs and tissues
    reveals no evidence of compound-related effects (Anon., 1980b).

    Dog

         Eight male and 8 female adult, pure-bred beagles were fed 0, 0.5,
    1.58 or 5% anoxomer for 52 weeks.

         No deaths occurred during the experimental period. Clinical
    observations were occasional instances of emesis, soft stools and
    diarrhoea, but these were observed in both treated and control groups.
    The consistently lower weight gains of the high-dose animals are
    considered to be treatment related. Food consumption of the treatment
    groups did not vary significantly from controls; however, absolute
    levels of food ingested were slightly depressed in the low- and mid-
    dose males. Haematology and clinical chemistry evaluations were made
    on weeks 4, 13, 26 and 52 and no findings suggesting a compound-
    related effect were discovered in any test group. There were no
    compound-related findings with regard to urinalysis data. There were
    no treatment-related ocular changes in any of the test subjects.

         At 13 weeks, 2 males and 2 females from each treatment group were
    sacrificed and at 52 weeks 6 additional animals per test group were
    terminated and subjected to gross and histopathological examination.
    With respect to histomorphological alterations, there were only
    occasional spontaneous disease lesions found and these were not
    systematically associated with compound administration (Anon., 1979b).

    OBSERVATIONS IN MAN

         Six healthy, male human subjects received 13.8 mg or 50 µCi of
    radiolabelled anoxomer orally. Urinary and faecal excretion were 0.02%
    and 95%, respectively. Based upon data from blood and urine,
    intestinal absorption was estimated to be less than 0.1% of the
    administered dose.

    Comments

         Various metabolic studies show that no more than 0.2% of an
    orally administered dose of anoxomer is absorbed in mice, rats,
    rabbits, guinea-pigs and man. In spite of having a lipophilic
    structure, anoxomer does not appear to selectively accumulate in
    either lymph tissues or lipid-rich regions of the organism.

         Acute oral toxicity studies in mice, rats and dogs with anoxomer
    suggest that the LD50 for all these species is greater than 10 g/kg
    bw. A multigeneration reproduction study in rats did not show any
    consistent effects during the successive breedings, nor was there any
    indication that the effects were more marked in successive generation.
    Based on all the information from this study, the no-effect level on
    reproductive performance and indices was determined to be 1.58% of the
    diet. The no-effect levels for teratogenicity studies in rats and
    rabbits were, respectively, 2.5 g/kg and 1.0 g/kg bw per day. Anoxomer
    was not mutagenic in a series of bacterial tests. It was not
    carcinogenic in lifetime studies in both rats and mice. No other
    significant compound-related effects were observed in these studies,
    except in the rat study where there was an increase in the occurrence
    of cloudy eyes, in the high-dose groups (5% of the diet) at week 99.
    However, the frequency of the occurrence of this effect, which has
    been tentatively diagnosed as degenerative cataracts secondary to
    probable senile retinal dystrophy, became virtually the same in all
    groups at termination of the study (week 104). Additional studies are
    presently under way to determine if there is an anoxomer-related
    increase in lenticular opacities.

         A 1-year feeding study in dogs showed no compound-related
    effects, except liver weight gains in dogs, maintained on diets
    containing 5% anoxomer. No lenticular opacities were observed in any
    of the test groups.

    EVALUATION

    Level causing no toxicological effect

    15 800 ppm (1.58%) in the diet equivalent to 800 mg/kg bw.

    Estimate of temporary acceptable daily intake for man

    0-8 mg/kg bw.

    FURTHER WORK OR INFORMATION

    Required by 1984

         Further information about the occurrence of senile cataract in
    rats exposed to high levels of anoxomer in the diet.

    REFERENCES

    Anon. (1976a) Final report. Acute eye irritation potential study in
         rabbits. Unpublished study by Hazelton Laboratories of America,
         Inc., submitted to the World Health Organization by Dynapol,
         Inc., Palo Alto, California, USA

    Anon. (1976b) Final report. Primary skin irritation study in rabbits.
         Unpublished study by Hazelton Laboratories of America, Inc.,
         submitted to the World Health Organization by Dynapol, Inc., Palo
         Alto, California, USA

    Anon. (1977) Mutagenicity evaluation of D00079 (Lot No. 0314) in the
         mouse lymphoma multiple endpoint test (MET). Unpublished study by
         Dynapol, Inc., submitted to the World Health Organization by
         Dynapol, Inc., Palo Alto, California, USA

    Anon. (1978) Gross and microscopic evaluation of mesenteric lymph
         nodes in female rats. D00079. Unpublished study by Hazelton
         Laboratories of America, Inc., submitted to the World Health
         Organization by Dynapol, Inc., Palo Alto, California, USA

    Anon. (1979a) A three-generation reproduction and teratology study in
         rats, D00079, final report. Unpublished study by Hazelton
         Laboratories of America, Inc., submitted to the World Health
         Organization by Dynapol, Inc., Palo Alto, California, USA

    Anon. (1979b) Final report. Chronic dietary administration in dogs.
         Unpublished study by Hazelton Laboratories of America, Inc.,
         submitted to the World Health Organization by Dynapol, Inc., Palo
         Alto, California, USA

    Anon. (1980a) Chronic dietary administration in mice, D00079, final
         report. Unpublished study by Hazelton Laboratories of America,
         Inc., submitted to the World Health Organization by Dynapol,
         Inc., Palo Alto, California, USA

    Anon. (1980b) Chronic toxicity study in mice, D00079, final report.
         Unpublished study by Hazelton Laboratories of America, Inc.,
         submitted to the World Health Organization by Dynapol, Inc., Palo
         Alto, California, USA

    Anon. (1981a) Teratology study in rats, D00079, final report.
         Unpublished study by Hazelton Laboratories of America, Inc.,
         submitted to the World Health Organization by Dynapol, Inc., Palo
         Alto, California, USA

    Anon. (1981b) Teratology study in rabbits, D00079, final report.
         Unpublished study by Hazelton Laboratories of America, Inc.,
         submitted to the World Health Organization by Dynapol, Inc., Palo
         Alto, California, USA

    Anon. (1981c) Hematological evaluations in male rats, D00079, final
         report. Unpublished study by Hazelton Laboratories of America,
         Inc., submitted to the World Health Organization by Dynapol,
         Inc., Palo Alto, California, USA

    Dietrich, P. S., Brown, J. P. & Bakner, C. M. (1977) Phase II
         mutagenicity testing of Poly AOTM-79: Microbial tests with
         Salmonella/microsome assay, Escherichia coli and
         Saccharomyces cerevisiae. Unpublished study by Dynapol, Inc.,
         submitted to the World Health Organization by Dynapol, Inc., Palo
         Alto, California, USA

    Enderlin, F. E. & Halladay, S. C. (1977a) Urinary and fecal excretion
         of the polymeric antioxidant [14C]-D00079 in guinea pigs.
         Unpublished study by Dynapol, Inc., submitted to the World Health
         Organization by Dynapol, Inc., Palo Alto, California, USA

    Enderlin, F. E. & Halladay, S. C. (1977b) Urinary and fecal excretion
         of the polymeric antioxidant [14C]-D00079 in rabbits.
         Unpublished study by Dynapol, Inc., submitted to the World Health
         Organization by Dynapol, Inc., Palo Alto, California, USA

    Enderlin, F. E. & Halladay, S. C. (1977c) Intestinal absorption of
         the polymeric antioxidant [14C]-D00079 in rat. V. Absorption in
         rats previously maintained for 90 days on 5% D00079 in the diet.
         Unpublished study by Dynapol, Inc., submitted to the World Health
         Organization by Dynapol, Inc., Palo Alto, California, USA

    Enderlin, F. E. (1981) Distribution of radioactivity in internal
         organs and tissues of the rat after oral administration of a high
         activity dose of Poly AOTM79-[14C]. II. Determined at six
         different times between 1 and 28 days after dosing. Unpublished
         study by Dynapol, Inc., submitted to the World Health
         Organization by Dynapol, Inc., Palo Alto, California, USA

    Halladay, S. C. et al. (1978) The bile duct ligated animal: A model
         for determining total intestinal absorption, Drug Chem.
         Toxicol., 1, 203-213

    Jorgenson, T. A. & Rushbrook, C. J. (1976) (1) Acute oral toxicity
         studies in rats, mice and dogs; (2) Acute intraperitoneal
         toxicity in rats, mice and dogs; (3) Maximum tolerated dose study
         in rats. Unpublished study by Stanford Research Institute,
         submitted to the World Health Organization by Dynapol, Inc., Palo
         Alto, California, USA

    Jorgenson, T. A. & Rushbrook, C. J. (1977) Toxicity study of D00079, A
         ninety-day subacute study in rats. Unpublished study by Stanford
         Research Institute, submitted to the World Health Organization by
         Dynapol, Inc., Palo Alto, California, USA

    Parkinson, T. M., Honohan, T. & Enderlin, F. E. (1978) Intestinal
         absorption, distribution and excretion of an orally administered
         polymeric antioxidant in rats and mice, Fd. Cosmet. Toxicol.,
         16, 321-330

    Ryerson, B. A., Halladay, S. C. & Dollar, L. A. (1977) Effects of
         orally administered D00079 and butylated hydroxytoluene on
         microsomal mixed function oxygenase activity, cytochrome C
         reductase and cytochrome P-450 in hepatic tissues of rats.
         Unpublished study by Dynapol, Inc., submitted to the World Health
         Organization by Dynapol, Inc., Palo Alto, California, USA

    Ryerson, B. A., Halladay, S. C. & Dollar, L. A. (1978) Effects of
         orally administered D00079 and butylated hydroxytoluene on
         microsomal mixed function oxygenase activity, cytochrome C
         reductase and cytochrome P-450 in intestinal tissues of rats.
         Unpublished study by Dynapol, Inc., submitted to the World Health
         Organization by Dynapol, Inc., Palo Alto, California, USA

    Walson, P. D. et al. (1979) Intestinal absorption of two potential
         polymeric food additives in man, Fd. Cosmet Toxicol., 17,
         201-203
    


    See Also:
       Toxicological Abbreviations
       Anoxomer (WHO Food Additives Series 19)
       ANOXOMER (JECFA Evaluation)