IPCS INCHEM Home


    INTERNATIONAL PROGRAMME ON CHEMICAL SAFETY

    WORLD HEALTH ORGANIZATION





    SAFETY EVALUATION OF CERTAIN 
    FOOD ADDITIVES



    WHO FOOD ADDITIVES SERIES: 42





    Prepared by the Fifty-first meeting of the Joint FAO/WHO
    Expert Committee on Food Additives (JECFA)





    World Health Organization, Geneva, 1999
    IPCS - International Programme on Chemical Safety

    MENTHOL

    First draft prepared by Dr G.J.A. Speijers
    National Institute of Public Health and the Environment, 
    Center of Substances and Risk Assessment, Bilthoven, 
    The Netherlands

         Explanation
         Biological data
              Biochemical aspects
                   Absorption, distribution, and excretion
                   Biotransformation
                   Effects on enzymes and other biochemical parameters
              Toxicological studies
                   Acute toxicity
                   Short-term studies of toxicity 
                   Long-term studies of toxicity and carcinogenicity
                        Feeding studies
                        Other studies
                   Genotoxicity
                   Developmental toxicity 
                   Special studies 
                        Cellular and biochemical effects 
                        Immunotoxicity and sensitivity
              Observations in humans 
         Comments 
         Evaluation 
         References 


    1.  EXPLANATION

         Menthol was first evaluated at the eleventh meeting of the
    Committee (Annex 1, reference 14), when it was allocated an
    unconditional ADI of 0-0.2 mg/kg bw and a conditional ADI of 0.2-2
    mg/kg bw. At the eighteenth meeting, an ADI of 0-0.2 mg/kg bw was
    established (Annex 1, reference 35). The Committee reevaluated menthol
    at its twentieth meeting (Annex 1, reference 41), when the previous
    ADI was maintained. The desired information identified (Annex 1,
    reference 42) consisted of the results of long-term studies of
    toxicity and carcinogenicity in rats; information on the average and
    likely maximum intake levels of menthol; clinical observations of
    subjects with higher than average intake of menthol; and studies on
    metabolism. Since that time, new studies have become available,
    principally, two-year studies of carcinogenicity in mice and rats.

         Menthol exists in four geometrical forms with three asymmetric
    carbon atoms. The principal division of menthol forms is into optical
    isomers, (+)-menthol, (-)-menthol, and the mixture (±)-menthol. The
    (-) and (±) forms are used for flavour applications.

    2.  BIOLOGICAL DATA

    2.1  Biochemical aspects

    2.1.1  Absorption, distribution, and excretion

         Absorbed menthol is largely eliminated as glucuronides. Thus, 79%
    of a 1-g (Quick, 1928) and 78% of a 10-20-mg (Atzl et al., 1972) oral
    dose of menthol was eliminated as the glucuronic acid conjugate within
    6 h after administration to volunteers. When 750 mg (-)-menthol were
    given orally to three human volunteers, followed by oral or
    intravenous administration of 200 mg [6-13C]-glucuronolactone or
    [6-13C]-sodium glucuronate, menthyl glucuronide was excreted for two
    days, in average daily yields ranging from approximately 27 to 84%
    (Eisenberg et al., 1955). 

         Of a dose of 47 mg/kg bw [3-3H]-(-)-menthol, 82% was eliminated
    in the urine 17 h after administration. Smaller amounts were
    distributed in the faeces and ileum; only 1% of the activity remained
    in the liver (Clegg et al., 1982).

         The human capacity to eliminate menthol is indicated by research
    on patients with chronic liver disease. Doses of 2 g menthol were
    given to evaluate the glucuronization capacity of patients with
    alcohol-induced cirrhosis or steatosis when compared with normal
    subjects. While the mean excretion of menthol glucuronide was slightly
    lower in patients with liver disease, they retained a significant
    capacity to metabolize menthol (Horvath et al., 1984).

         The yield of menthol glucuronidation products is sufficiently
    high that menthol glucuronide output has been used as a marker in
    pharmacokinetic studies on bioavailability from drug formulations. In
    a pharmacokinetic study of treatment with peppermint oil in
    enteric-coated capsules (containing 91-97 mg menthol) or soft gelatin
    capsules as a carminative and antispasmodic, human urinary excretion
    of menthol glucuronide represented 17% of the dose from two coated
    capsules and 29% of the dose from the capsules 24 h after
    administration (Somerville et al., 1984). In a comparison of two
    delay-release peppermint oil preparations, 13 subjects ingested 0.6 ml
    peppermint oil providing 110 and 117 mg menthol. Peak urinary
    excretion occurred at 3 and < 9 h, the latter from a coated
    capsule. The average total 24-h urinary excretion of menthol
    glucuronide was 82% of the ingested dose of menthol from the coated
    tablet and 119% of the ingested dose from the other preparation (White
    et al., 1987). When an enteric-coated capsule containing 130 mg
    peppermint oil was fed to four subjects, the average 14-h urinary
    excretion of menthol glucuronide was 40% of the dose (range, 20-64%)
    (Kaffenberger & Doyle, 1990).

    2.1.2  Biotransformation

         In rabbits, orally administered menthol is conjugated with
    glucuronic acid and eliminated in the urine (Quick, 1924; Williams,
    1938, 1939; Deichmann & Thomas, 1943). The maximum amount of menthol
    glucuronide excreted by a 2-kg rabbit was about 3 g after 10 h of
    feeding of 3.5 g menthol, resulting in a yield of 3/3.5 × 100% = 86%
    elimination by glucuronidation, even when this maximum toxic dose was
    fed (Quick, 1924). After single daily doses of 2 g menthol for
    24 days, 90% was excreted as menthol glucuronide within 6 h. The
    glucuronide is only a minor urinary excretion product in dogs,
    suggesting that other metabolic routes, e.g. oxidation, are more
    important in this species (Williams, 1938).

         In rats, the vast majority of orally administered menthol is
    elimiminated in the urine or faeces as the glucuronic acid conjugate
    or various oxidation products (Madyastha & Srivatsan, 1988; Yamaguchi
    et al., 1994). 

         Groups of five male intact and five male bile duct-cannulated
    male Fischer 344 rats were given a single dose of 500 mg/kg bw
    [3-3H]-(-)-menthol. Urine and faeces were collected over the next 24
    and 48 h from the intact rats, and bile was collected from the
    cannulated rats at 2-h intervals for the first 6 h and then at 24 h.
    Urine was collected at 24 h. Total recovery of radiolabelled substance
    in the urine and faeces of the intact rats was 72%, with 45% of the
    dose recovered within the first 24 h; 38% of the radiolabel was
    excreted in the urine, with equal amounts at the first and second
    24 h, and 34% was excreted in the faeces, with 27% at the first 24 h.
    In the bile duct-cannulated rats, total recovery of radiolabelled
    menthol and metabolites in the urine and bile was 74%, the majority
    (67%) being recovered in the bile. The major metabolite found in the
    bile was menthol glucuronide; various oxidation products were found in
    the urine (Yamaguchi et al., 1994). 

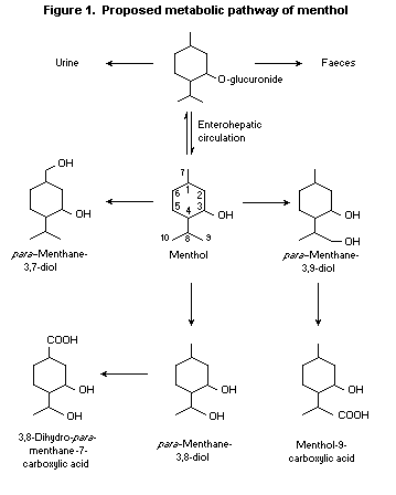
         Menthol glucuronide formed in the liver passes into the bile,
    with subsequent elimination or entry into the enterohepatic
    circulation. It undergoes various oxidation reactions upon each
    passage through the liver. The oxidation products of menthol include
     para-menthane-3,8-diol,  para-menthane-3,9-diol, and
    3,8-dihydroxy- para-menthane-7-carboxylic acid (Madyastha &
    Srivatsan, 1988; Yamaguchi et al., 1994; see Figure 1). Additional
    oxidation metabolites that have been identified include a primary
    alcohol, a triol, and hydroxy acids (Yamaguchi et al., 1994). 

         Humans metabolize menthol primarily by conjugation with
    glucuronic acid and elimination in the urine. It is anticipated that
    cytochrome P450-mediated oxidation (see section 2.1.3) occurs in
    humans, yielding various alcohol and hydroxy acid derivatives, which
    would also be eliminated in the urine unchanged or conjugated with
    glucuronic acid. Menthol would not be expected to form menthofuran, a
    reactive metabolite of the structurally related substance pulegone,
    because it lacks the 2-isopropylidene side-chain required for

    formation of the menthofuran ring. Additionally, there are no data
    which suggest that menthol dehydrogenates  in vivo to form an
    isopropylidene substituent.

    2.1.3  Effects on enzymes and other biochemical parameters

         Gluronidase activity was measured in the organs of mice after
    administration of menthol in 20-mg doses three times per day on days
    1-4 and twice on the fifth day. Glucuronidase activity was increased
    in liver, kidney, and spleen (Fishman, 1940).

         The results of a study with rat liver microsomes  in vitro 
    suggest that oxidation of (-)-menthol is mediated by cytochrome P450
    (Madyastha & Srivatsan, 1988). Rats receiving repeated oral doses of
    800 mg/kg bw (-)-menthol for one to seven days had increased
    activities of hepatic microsomal cytochrome C and NADPH-cytochrome
    P450 reductase. There was no effect on two other P450 enzyme
    complexes, cytochrome b5 and NADH-cytochrome C reductase. Rat liver
    microsomes readily convert (-)-menthol to  para-menthane-3,8-diol in
    the presence of NADPH and oxygen. This activity was significantly
    greater in microsomes obtained from phenobarbital-induced microsomal
    preparations than from controls, whereas 3-methylcholanthrene-induced
    microsomes failed to convert (-)-menthol to 1-menthane-3,8-diol in the
    presence of NADPH and oxygen. 

         Menthol administered intraperitoneally to rats at a dose of
    40 mg/kg bw for three days had no effect on the total content of
    cytochrome P450. Mild induction of a fraction of the P450 complex,
    designated P450IIB, was observed. Menthol induced a twofold increase
    over normal levels of P450IIB, in comparison with a 20-fold increase
    with phenobarbitol. The P450IIB family comprises as little as 5% of
    the total P450 material (Austin et al., 1988).

         In earlier studies, menthol was used to examine the inducibility
    of the glucuronide-adding enzyme, hepatic UDP-glucuronosyl transferase
    (UDPGT), by 3-methylcholanthrane (group 1 substrates) and
    phenobarbital (group 2 substrates). When liver microsomes from C57BI/6
    mice induced by 3-methylcholanthrane or phenobarbital were treated
     in vitro with menthol, only the phenobarbital-induced microsomal
    fraction stimulated glucuronidation of menthol (Batt et al., 1981).
    The activity of hepatic UDPGT in tissue isolated from castrated male
    Large White pigs was tested after administration of 0.3 mmol/L
    menthol. Menthol slightly increased the activity (110% of control
    response) of the phenobarbital-induced UDPGT enzyme fraction. The
    pattern of UDPGT inducibility in pig resembles that in isolated human
    liver tissue (Boutin et al., 1981). The effect of menthol on the
    inducibility of UDPGT was also examined in Wistar rats, Gunn rats, and
    guinea-pigs. Menthol glucuronidation was associated with the
    phenobarbital-inducible microsomal fraction in all three species,
    although these species contain a UDPGT specific for monoterpenoid
    alcohols, such as menthol (Boutin et al., 1985).

    FIGURE 1

         Menthol has been used to detect and confirm the presence of a rat
    liver DNA fraction coding for glucuronide transferase activity (Green
    et al., 1995).

         The efficient glucuronidation of menthol was used as a model in a
    competitive reaction to evaluate oestradiol glucuronide binding sites
    in rat liver plasma membranes. Menthol had a stronger affinity for
    plasma binding sites than oestradiol glucuronide (Takacs & Vore,
    1987).

    2.2  Toxicological studies

    2.2.1  Acute toxicity

         Studies of the toxicity of single doses of menthol are summarized
    in Table 1. It has also been reported that the LD50 values in rats
    and mice are > 4000 mg/kg bw (Mengs & Stotzem, 1989).

        Table 1. Studies of the acute toxicity of menthol

                                                                                        

    Species         Route              LD50 (mg/kg bw)     Reference
                                                                                        

    (-)-Menthol
    Mouse           Oral                4 380              Litton Bionetics, Inc. (1975)
    Rat             Oral                  940              Litton Bionetics, Inc. (1975)
                                        3 300              JECFA (1976)
    Cat             Oral                  800-1 000        JECFA (1976)
    Mouse           Subcutaneous        5 000-6 000        JECFA (1976)
                    Intraperitoneal     2 000              JECFA (1976)
    Guinea-pig      Intraperitoneal     4 000              JECFA (1976)
    Rat             Subcutaneous        1 000-2 500        JECFA (1976)
                    Intraperitoneal       710              JECFA (1976)
    Cat             Intraperitoneal       800-1 000        JECFA (1976)
                    Intravenous            34              JECFA (1976)

    (±)-Menthol
    Mouse           Oral                3 100              Wokes (1932)
    Rat             Oral                2 900              JECFA (1976)
                                        3 180              Jenner et al. (1964)
    Cat             Oral                1 500-1 600        JECFA (1976)
    Mouse           Subcutaneous       14 000-16 000       JECFA (1976)
    Rat             Intraperitoneal       750              JECFA (1976)
    Cat             Intraperitoneal     1 500-1 600        JECFA (1976)
    Rabbit          Intraperitoneal     2 000              JECFA (1976)
                                                                                        
    
    2.2.2  Short-term studies of toxicity

     Mice

         Groups of six male mice were given (-)-menthol at doses of 2000,
    2500, 3200, 4000, or 5000 mg/kg bw by gavage for five days and
    examined for 14 days. Gross necropsy of animals that died or were
    killed at termination revealed no abnormal finding. The LD50 was
    calculated to be 2600 mg/kg bw (Litton Bionetics, Inc., 1975).

         Groups of 10 male and 10 female B6C3F1 mice were maintained on
    diets containing (±)-menthol at concentrations of 0, 930, 1870, 3750,
    7500, or 15 000 mg/kg diet for 13 weeks, equivalent to 0, 140, 280,
    560, 1100, and 2300 mg/kg bw per day, respectively. Necropsies were
    performed on all animals at the end of the study; histopathological
    examination was performed on tissues from the control animals and
    those at 2300 mg/kg bw per day and on selected tissues from animals at
    1100 mg/kg bw per day. Six mice (sex not specified) died during the
    study, but the deaths could not be attributed to treatment. The final
    mean body weights of the treated mice were not statistically
    significantly different from those of the controls, except for females
    at the high dose which had statistically significant decreased body
    weights. Slight increases in the incidences of perivascular lymphoid
    hyperplasia and interstitial nephritis were reported for female mice
    at the two highest doses. The NOEL was 560 mg/kg bw per day (US
    National Cancer Institute, 1979).

     Rats

         No adverse effects on weight gain, excretion of glucuronides,
    water, or electrolytes, or interference with central nervous system
    reactions to stimulants were observed when groups of 40 rats of each
    sex were fed (-)-or (±)-menthol in the diet for 5.5 weeks at doses of
    0, 100, or 200 mg/kg bw per day (Herken, 1961). 

         In groups of three to four adult male Wistar rats given 1%
    menthol in the diet for two weeks, increased serum cholesterol and
    serum triglycerides were observed, but there was no effect on apo A-1
    lipids, an indicator of high-density lipoprotein status. Body weight
    and liver weight were unaffected (Imaizumi et al., 1985).

         In a series of studies, groups of 10 rats of each sex were given
    menthol in a soybean oil solution at 5 ml/kg bw at doses of 0, 200,
    400, or 800 mg/kg bw per day by gavage for 28 days. Animals were
    housed two to a cage. Body weight and consumption of food and water
    were recorded weekly, and blood samples were collected for
    determination of haemoglobin, packed cell volume, erythrocyte,
    leukocyte, and reticulocyte counts, glucose, creatinine, and urea
    concentrations, and the activity of aspartate aminotransferase. Urine
    was examined for blood, ketones, glucose, and proteins. A conventional
    selection of tissues was examined at termination.

         Significant increases in the absolute and relative weights of the
    liver were seen in males at all doses and in females at the
    intermediate and high doses. Vacuolization of hepatocytes was seen in
    0/20 controls, 4/20 rats at 200 mg/kg bw per day, 5/19 at 400 mg/kg bw
    per day, and 4/17 at 800 mg/kg bw per day. No effects were seen on
    other parameters measured. The vacuolization was not dose related and
    may have reflected adaptation (Thorup et al.,1983a,b; Madsen et al.,
    1986).

         While the major constituent of peppermint oil is menthol, it also
    contains other constituents. Although its effects cannot be assigned
    entirely to menthol, dose-proportionate menthol-attributable effects
    can be expected. The studies of peppermint oil administered by gavage
    include a 28-day study in Wistar rats (Thorup et al., 1983b) at 0, 10,
    40, or 100 mg/kg bw per day; a five-week study in Wistar rats and dogs
    at 0, 25, or 125 mg/kg bw per day (Mengs & Stotzem, 1989); and a
    90-day study in Wistar rats at 0, 10, 40, or 100 mg/kg bw per day
    (Spindler & Madsen, 1992). Significant effects were seen on organ
    weights and liver morphology, but no histopathological changes were
    observed at these doses. 

         Feeding of terpenoid substances present in mint oils (see the
    safety evaluation of substances structurally related to menthol, p.
    381) affected the morphology of rat cerebellum. Similar effects were
    not seen in the 28-day study of menthol, however,  and a subsequent
    review of the slides indicated that the observations were artefacts
    (Adams et al., 1996), as supported by the results of a recent study
    (Mœlck et al., 1998).

         Groups of 10 female and 10 male Fischer 344 rats were maintained
    on diets containing (±)-menthol at concentrations of 0, 930, 1900,
    3800, 7500, or 15 000 mg/kg diet for 13 weeks, equivalent to 0, 93,
    190, 380, 750, or 1500 mg/kg bw per day. Necropsies were performed on
    all animals at the end of the study; histopathological examination was
    performed on tissues from the control animals and those at 1500 mg/kg
    bw per day and on selected tissues from animals at 750 mg/kg bw per
    day. The final mean body weights of treated rats were similar to those
    of the controls. A slight increase in the incidence of interstitial
    nephritis was observed in male rats at the highest dose. The NOEL was
    750 mg/kg bw per day (US National Cancer Institute, 1979).

         Because of its pharmacological properties, menthol has also been
    tested by intraperitoneal, intravenous, inhalation, and dermal
    administration. As noted above, oral administration results in
    substantial biotransformation, whereas these processes are largely
    by-passed when it is given by the other routes, and the results of
    these studies are not applicable to this safety evaluation.
    Furthermore, some short-term studies result in biological end-points
    such as antispasmodic activity, which are not of primary relevance to
    the food uses of menthol. Studies relevant to intake of menthol from
    food are summarized below. 

         The previous monograph summarized studies on the antispasmodic
    activity of pharmaceutical preparations on intestinal tissue (Annex 1,
    reference 42), although  they contained peppermint oil rather than
    menthol  per se (Bowen & Cubbin, 1992). The doses of menthol
    necessary to obtain this effect are significantly higher than the
    amounts present in foods. 

         The pharmacological effect of menthol on the respiratory tract
    has also been studied. In a 71-79-day study with young albino Sherman
    rats, inhalation of (-)-menthol vapour at 0.087, 0.15, or 0.26 ppm
    caused no gross changes. Histological examination showed effects on
    lung tissue only at the highest dose, at which irritation also
    occurred (Rakieten et al., 1954). 

    2.2.3  Long-term studies of toxicity and carcinogenicity

    2.2.3.1  Feeding studies

     Mice

         Groups of 50 B6C3F1 mice of each sex were given (±)-menthol at 
    doses of 0, 2000, or 4000 mg/kg diet daily for 103 weeks, equivalent
    to 300 or 600 mg/kg bw per day, respectively. Animals were housed five
    per cage and were observed twice daily for signs of toxicity. Body
    weights and food consumption was recorded every two weeks for the
    first 12 weeks and once a month thereafter. Necropsies and
    histological examinations were performed on all animals at termination
    of the study and on those found dead during the study.

         The mean body weights of the treated mice were slightly lower
    than those of the controls. The survival of males was similar to that
    of controls, but females at the high dose had statistically
    significantly worse survival rates; subsequent evaluation (Haseman et
    al., 1985) showed, however, that the survival of all female mice was
    within the range for historical controls, and the survival rate of the
    control group in this study was at the high end of the range. The
    survival of animals at the high dose was in fact closer to the
    historical average, and there was no evidence of toxicity in this
    group. An increased incidence of hepatocellular carcinoma was observed
    in males at the high dose, but the increase was not significantly
    different from that of concurrent or historical control mice of that
    age and strain (Haseman et al., 1986). A low incidence of alveolar or
    bronchiolar adenomas of the lung was observed in treated females, but
    the rate was not significantly different from that in historical
    controls. It was concluded that (±)-menthol is not carcinogenic and
    has no organ-specific toxicity in B6C3F1 mice of either sex at the
    doses tested (US National Cancer Institute, 1979).

     Rats

         Groups of 50 Fischer 344 rats of each sex were given 0, 3750, or
    7500 mg/kg diet (±)-menthol in their feed daily for 103 weeks,
    equivalent to 190, and 380 mg/kg bw per day, respectively. Animals
    were housed five per cage until week 48, when the male rats were
    divided into groups of two to three per cage. The animals were
    observed twice daily for signs of toxicity. Body weight and food
    consumption were recorded every two weeks for the first 12 weeks and
    once a month thereafter. Necropsies and histological examinations were
    performed on all animals at the end of the study and on those found
    dead during the study. 

         The mean body weights of treated rats were slightly lower than
    those of the controls. Survival of treated rats was similar to that of
    controls. Chronic inflammation of the kidney was observed in the older
    treated males, but was not considered to be related to administration
    of menthol since the effect is commonly observed in aged male Fischer
    344 rats. The incidence of neoplasms was not increased in treated
    females, and, in fact, fibroadenomas of the mammary glands occurred at
    lower incidences in treated (10/49 at the low dose and 7/49 at the
    high dose) than in control animals (20/50). Alveolar or bronchiolar
    adenomas or carcinomas were reported only in female controls. It was
    concluded that (±)-menthol is neither carcinogenic nor toxic for
    Fischer 344 rats of either sex at the doses tested (US National Cancer
    Institute, 1979). 

    2.2.3.2  Other studies

         Groups of 30 female A/He strain mice received 2000 mg/kg bw
    menthol dissolved in tricaprylin, the maximum dose tolerated after six
    intraperitoneal injections over two weeks, and one-quarter this dose,
    500 mg/kg bw, three times weekly for eight weeks. The animals were
    observed for an additional 16 weeks. A group of 24 control female mice
    received a similar number of injections of tricaprylin. All animals
    that survived treatment were killed after 24 weeks and the numbers of
    pulmonary adenomas counted. No increase in the incidence of
    non-neoplastic or neoplastic lesions was reported in the lung, liver,
    kidney, spleen, thymus, intestine, or salivary or endocrine glands of
    treated animals. Approximately 30-45% of the menthol-treated animals
    and 15% of the control animals died before the end of the study. The
    authors reported that tricaprylin is an unsuitable vehicle for
    bioassays, as it caused a 3- or 4-g weight loss in the control animals
    during the first week of the study, a high mortality rate, and a
    higher mean tumour rate. In the same test system, urethane (total
    dose, 10 or 20 mg) and several alkylating agents induced marked
    increases in the incidence of pulmonary adenomas, but other substances
    shown to be carcinogenic in other test systems, e.g. safrole, caused
    no increase (Stoner et al., 1973; Annex 1, reference 42). A
    retrospective evaluation of the lung tumour response in strain A mice
    is provided by Stoner (1991). 

         Menthol has been studied for its chemopreventive effect on
     ras-mediated tumour growth in four types of rat liver cell
     in vitro, with lovastatin as the positive control. Concentrations of
    0.1-2.5 mmol/L of menthol inhibited tumour growth, but the authors
    concluded that the mechanism of the chemopreventive effect of menthol
    is different from that of lovastatin (Ruch & Sigler, 1994).

         In a study of the preventive activity of menthol against
    7,12-dimethylbenz [a]anthracene (DMBA)-induced mammary tumours in
    rats, a diet containing 1% menthol was fed from two weeks before DMBA
    treatment to up to 22 weeks after treatment. A reduction in mammary
    tumour incidence was seen. A diet containing 0.5% menthol fed from two
    weeks before DMBA treatment until one week after treatment also
    resulted in a reduction in tumour incidence (Russin et al., 1989;
    Gould et al., 1990).

         In studies of mentholated cigarettes in animals and humans, the
    presence of menthol in cigarettes did not enhance the incidence of
    lung cancer over that due to smoking unmentholated cigarettes (Kabat &
    Hebert, 1991; Gaworski et al., 1997).

    2.2.4  Genotoxicity

         The results of tests for genotoxicity with menthol are presented
    in Table 2.

         Menthol was administered at 725 mg/kg bw or the maximum tolerated
    dose of 1450 mg/kg bw to male Fischer 344 rats and male B6C3F1 mice.
    Hepatocytes were removed at 24, 39, and 49 h, and replicative DNA
    synthesis was measured. Synthesis was increased in 6% of the rats and
    1.7% of the mice. This assay indicates cell replication (i.e.
    mitogenesis), however, and not genotoxicity (Uno et al., 1994;
    Yoshikawa, 1996).

    2.2.5  Developmental toxicity

     Mice

         (-)-Menthol was administered in corn oil by gavage to 22 or 23
    pregnant CD-1 mice at 0, 1.9, 8.6, 40, or 190 mg/kg bw per day on days
    6-15 of gestation; to 22 or 23 pregnant Wistar rats at 0, 2.2, 10, 47,
    or 220 mg/kg bw per day on days 6-15 of gestation; to 21-23 golden
    hamsters at 0, 4.1, 21, 98, or 400 mg/kg bw per day on days 6-10 of
    gestation; and to 11 to 14 Dutch-belt rabbits at 0, 4.3, 20, 92, or
    430 mg/kg bw per day on days 6-18 of gestation. Control groups for
    each species were sham treated; positive control groups for each
    species were given 150 or 250 mg/kg bw per day aspirin. Body weights
    were recorded on three or four days during the gestation period. All
    animals were observed daily for appearance, behaviour, and food
    consumption. On the scheduled day, the fetuses were removed from all
    dams and dams and fetuses examined. One-third of the fetuses from each
    group underwent detailed visceral examination; the other two-thirds
    were examined for skeletal defects. There were no effects on nidation,

    maternal survival, fetal survival, or fetal abnormalities. The numbers
    of abnormalities seen in soft or skeletal tissues of treated animals
    did not differ from those occurring spontaneously in the sham-treated
    controls (Food and Drug Research Labs, Inc., 1973).

    2.2.6  Special studies

    2.2.6.1  Cellular and biochemical effects

         Menthol has been tested for potential bactericidal and fungicidal
    effects on microorganisms that are foodborne or found in the oral
    cavity. Menthol at concentrations of 0.1-5 mmol/L was cytotoxic and
    affected tissue processes in trachea from chick embryos, ascites
    sarcoma BP8 cells, isolated hamster brown adipocytes, and rat liver
    mitochondria (Bernson & Pettersson, 1983). Menthol had no cytotoxic
    effect on human HeLa cells  in vitro at concentrations of 1, 10, and
    100 µg/ml (Nachev et al., 1967).

         Menthol was lethal to  E. coli at a concentration of 0.5%
    (Wokes, 1932) or 0.05% (Morris et al., 1979; Megalla et al., 1980; Jay
    & Rivers, 1984); to  Salmonella typhimurium at a concentration of
    0.05% (Karapinar & Aktug, 1987); to  Clostridium at 0.05% (Ueda et
    al., 1982); to  Staphylococcus at 0.05% (Wokes, 1932; Morris et al.,
    1979; Karapinar & Aktug, 1987; Moleyar & Narasimham 1992) or 0.003%
    (Jay & Rivers, 1984); to  Vibrio spp. at 0.05% (Karapinar & Aktug;
    1987); and to  Bacillus spp. at 0.05% (Morris et al., 1979; Megalla
    et al., 1980; Ueda et al., 1982; Moleyar & Narasimham, 1992). It was
    cytotoxic to spoilage fungi at 0.08-0.3% (Yousef et al., 1978; Kurita
    et al., 1981), 0.05% (Morris et al., 1979; Megalla et al., 1980; 
    Mahmoud, 1994; Muller-Reibau et al., 1995), or 0.025% (Jay & Rivers,
    1984).

         The results of these studies are difficult to extrapolate to the
    situation in experimental animal  in vivo, and cannot be used
    directly in the safety assessment of menthol. Furthermore, the
    concentration at which cytotoxicity was observed is considerably
    higher than those present in the diets tested. 

    2.2.6.2  Immunotoxicity and sensitivity

         The presence of menthol and menthol-containing flavour and
    fragrance oils at high concentrations in consumer products such as
    cigarettes, toothpaste, and topical medications has led to sensitivity
    reactions in the oral and nasal cavity (e.g. Millard, 1973;
    Dooms-Goossens et al., 1977; Lewis et al., 1995; Morton et al., 1995;
    Shah et al., 1996). 

         The preferred method for testing sensitivity or food intolerance
    is the double-blind placebo-controlled food challenge. In a study on
    the prevalence of food allergy and food intolerance in 1483 Dutch
    adults by this method, it was estimated that the prevalence of
    sensiivity or intolerance was 0.8-2.4% of the adult population. Within
    the sampled population, 73 subjects reported such effects, and 12 of

    the responses were confirmed. Only one of these responders had a
    reaction to menthol challenge; the subject reported 'aggravation of
    aphthae' (whitish spots in the mouth that characterize apthous
    stomatitis) 1 h after administration (Niestijl Janson et al., 1994). 

    2.3  Observations in humans

         Menthol has been tested in humans mainly for its potential
    pharmaceutical properties, such as enhancement of lung and airway
    volume (e.g. Bowen & Cubbin, 1992). The usual human oral dose is
    60-120 mg menthol per person. It can be estimated from unreferenced
    citations in pharmaceutical texts, such as Gleason et al. (1969), that
    the lethal human dose is 50-500 mg/kg bw. In section 2.1.1, the
    maximum doses tested were 180 mg (Kaffenberger & Doyle, 1990) and 1 g
    (Quick, 1928). 

         The airway hyperresponsiveness of 23 human subjects with chronic
    mild asthma was tested by use of a nebulizer containing menthol twice
    a day for four weeks. As measured by expiratory flow rates, vital
    capacity, and forced expiratory volume, menthol improved airway
    hyperresponsiveness at doses as low as 20 mg (Tamaoki et al., 1995).

         The efficient hepatic glucuronidation of menthol has been
    investigated as a possible basis for a test of liver function. In a
    study of the output of menthol glucuronide by normal subjects and
    subjects with alcohol-induced cirrhosis and steatosis of the liver, it
    was concluded that the group differences were not sufficient to
    justify use of menthol glucuronide output as a test for liver disease.
    The results demonstrate that even a compromised liver has sufficient
    capacity to handle menthol (Szabo & Ebrey, 1963; Horvath et al.,
    1984).

         A controlled study of the effects of a mentholated powder was
    carried out on 60 consecutive glucose-6-phosphate
    dehydrogenase-deficient babies. The umbilical cords of 30 babies were
    treated daily with the powder, while the remainder served as controls.
    Significantly more of the treated babies developed severe jaundice
    than the controls. The inability of neonates to conjugate menthol was
    probably responsible for the increased severity of the jaundice
    developed by the deficient babies. It was concluded that the use of
    menthol-containing products on neonates should be discontinued,
    especially in communities where the incidence of glucose-6-phosphate
    dehydrogenase deficiency is high (Olowe & Ransome-Kuti, 1980). As
    neonates do not have an oral intake of menthol, the relevance of these
    results is limited. No data were available on the possible effects of
    menthol in older children or in adults with glucose-6-phosphate
    dehydrogenase deficiency.


        Table 2. Results of assays for the genotoxicity of menthol

                                                                                                                                          

    End-point                    Test object                            Concentration      Results        Reference
                                                                                                                                          

    In vitro 

    (±)-Menthol
    Reverse mutation             S. typhimurium TA92, TA1535,           < 5 mg/plate       Negativea      Ishidate et al. (1984)
                                 TA100, TA1537, TA94, TA98
    Reverse mutation             S. typhimurium                         666 µg/plate       Negativea      Tennant et al. (1987)
    Reverse mutation             S. typhimurium TA100, TA2637,          < 0.5 mg/plate     Negativea      Nohmi et al. (1985)
                                 TA98
    Antimutagenicity             S. typhimurium TA98                    < 200 µg/ml        Negative       Ohta et al. (1986)
    Antimutagenicity             Escherichia coli                       < 200 µg/ml        Negative       Ohta et al. (1986)
    Chromosomal aberration       Chinese hamster fibroblasts            < 0.2 mg/ml        Negative       Ishidate et al. (1984)
    Chromosomal aberration       Chinese hamster lung fibroblasts       < 0.3 mg/ml        Negative       Sofuni et al. (1985)
    Chromosomal aberration       Chinese hamster ovary cells            < 250 µg/ml        Negative       Tennant et al. (1987)
       and sister chromatid
       exchange
    Chromosomal aberration       Chinese hamster ovary cells            < 167 µg/ml        Negative       Ivett et al. (1989)
       and sister chromatid
       exchange
    Forward mutation             L5178Y mouse lymphoma cells            < 200 µg/ml        Negative       Tennant et al. (1987)
    Forward mutation             L5178Y mouse lymphoma cells            < 200 µg/ml        Negative       Myhr & Caspary (1991)

    (-)-Menthol
    Reverse mutation             S. typhimurium TA100, TA2637,          < 0.5 mg/plate     Negativea      Nohmi et al. (1985)TA98 
    Reverse mutation             S. typhimurium TA98, TA100,            6.4-800 µg/plate   Negativea      Andersen & Jennies (1984)
                                 TA1535, TA1537
    Reverse mutation             E. coli WP2 uvrA                       0.1-0.8 mg/plate   Negative       Yoo (1986)
    Reverse mutation             S. typhimurium TA1530, G46             0.25 ml/plate      Negative       Litton Bionetics, Inc. (1975)
    Antimutagenicity             E. coli WP2 uvrA                       0.5-2.0 mg/ml      Negative       Yoo (1986)
    DNA repair                   Bacillus subtilis                      < 10 mg/disk       Negative       Yoo (1986)
    Gene mutation                Bacillus subtilis                      < 20 mg/plate      Negative       Oda et al. (1978)
    Gene mutation                Saccharomyces cerevisiae D3            0.2 ml/plate       Equivocal      Litton Bionetics, Inc. (1975)
                                                                                                                                          

    Table 2. (continued)

                                                                                                                                          

    End-point                    Test object                            Concentration      Results        Reference
                                                                                                                                          

    Chromosomal aberration       Chinese hamster lung fibroblasts       < 0.125 mg/ml      Negative       Sofuni et al.  (1985)
    Chromosomal aberration       Human WI-38 embryonic lung cells       10 mg/ml           Negative       Litton Bionetics, Inc. (1975)
    Chromosomal aberration       Human peripheral blood lymphocytes     0.1-10 mmol/L      Negativea      Murthy et al. (1991)
       and sister chromatid
       exchange

    (+)-Menthol
    DNA damage                   Rat hepatocytes                        0.7-1.3 mmpl/L     Positive       Storer et al. (1996)
    DNA damage                   Chinese hamster V79 cells              0.5-2 mmol/L       Negative       Hartmann & Speit (1997)
    DNA damage                   Human blood cells                      0.5-2 mmol/L       Negative       Hartmann & Speit (1997)

    In vivo

    (±)-Menthol
    Micronucleus formation       Male B6C3F1 mouse bone marrow          < 1 g/kg bw        Negative       Shelby et al. (1993)

    (-)-Menthol
    Host-mediated                S. typhimurium TA1530, G46/            < 5000 mg/kg bw    Negative       Litton Bionetics, Inc. (1975)
       mutagenicity              ICR mouse host
    Host-mediated                S. cerevisiae D3/ICR mouse host        < 5000 mg/kg bw    Negative       Litton Bionetics, Inc. (1975)
       mutagenicity
    Chromosomal aberration       Albino rat bone marrow                 < 3 g/kg bw        Negative       Litton Bionetics, Inc. (1975) 
    Dominant lethal mutation     Rat                                    < 3 g/kg bw        Negative       Litton Bionetics, Inc. (1975) 
                                                                                                                                          

    a With and without an exogenous metabolic activation system
    

    3.  COMMENTS 

         Menthol exists as two optical isomers, (+)-menthol and
    (-)-menthol; the racemic mixture is (±)-menthol. The (-) and (±) forms
    are used in flavour applications. 

         Menthol is readily absorbed. Up to 100% of an ingested dose
    appeared to be absorbed, on the basis of the elimination of menthol
    metabolites in faeces and urine. Absorbed menthol is known to be
    largely eliminated as glucuronides; 70-80% is eliminated in urine and
    faeces within 48 h. Metabolic studies indicate that oral doses of
    menthol are metabolized mainly in the liver and excreted via the
    kidneys and in the bile. Menthol is efficiently metabolized by normal
    processes. The metabolites are simple glucuronic acid conjugates and
    oxidation products. Mammals can efficiently handle menthol by
    processes that do not create hazardous products.

         The NOEL in 13-week studies of toxicity with (±)-menthol in the
    diet was 560 mg/kg bw per day in mice and 750 mg/kg bw per day in rats
    on the basis of slightly increased incidences of interstitial
    nephritis at the next highest dose.

         In a two-year study of toxicity and carcinogenicity, mice were
    fed (±)-menthol in the diet at concentrations equivalent to 300 or 600
    mg/kg bw per day. The incidences of hepatocellular tumours in males
    and lung tumours in females at the highest dose were not significantly
    different from those in concurrent or historical controls. The
    survival rate was decreased in female mice but remained within the
    range of that of historical controls. The NOEL was 600 mg/kg bw per
    day. In a two-year study of toxicity and carcinogenicity in rats given
    (±)-menthol in the diet at concentrations equivalent to 190 or
    380 mg/kg bw per day, the NOEL was 380 mg/kg bw per day.

         Neither menthol nor its metabolites were genotoxic  in vitro or
     in vivo.

         While no studies of reproductive toxicity were available with
    menthol, (-)-menthol was tested at maximum doses of 190-430 mg/kg bw
    per day for teratogenicity in mice, rats, hamsters, and rabbits; no
    teratogenic effects were observed.

    4.  EVALUATION

         The limited data  that allow comparisons of metabolism and
    toxicity provide no indication of a difference in the toxicity of
    (-)-menthol and (±)-menthol. Therefore, the Committee concluded that
    an ADI could be established for the two optical isomers of menthol.

         The Committee noted that the highest dose of (±)-menthol tested
    in the long-term studies in mice and rats had no specific toxic
    effect. As the survival of mice was reduced at the high dose of
    600 mg/kg bw per day, the Committee allocated an ADI of 0-4 mg/kg bw

    on the basis of the NOEL of 380 mg/kg bw per day in the long-term
    study in rats, applying a safety factor of 100 and rounding to one
    significant figure.

    5.  REFERENCES

    Adams, T.B., Hallagan, J.B., Putman, J.M., Gierke, T.L., Doull, J.,
    Munro, I.C., Newberne, P., Portoghese, P.S., Smith, R.L., Wagner,
    B.M., Weil, C.S., Woods, L.A. & Ford, R.A. (1996) The FEMA GRAS
    assessment of alicyclic substances used as flavour ingredients.
     Food Chem. Toxicol., 34, 763-828.

    Andersen, P.H. & Jennies, N.J. (1984) Mutagenic investigation of
    peppermint oil in the Salmonella/mammalian-microsome test.
     Mutat. Res., 138, 17-20.

    Atzl, G., Bertl, M., Daxenbichler, G. & Gleispach, H. (1972)
    Determination of etheral oils from the urine by gas-liquid
    chromatography.  Chromatographia, 5, 250-255.

    Austin, C.A., Shephard, E.A., Pike, S.F., Rabin, B.R. & Phillips, I.R.
    (1988) The effect of terpenoid compounds on cytochrome P-450 levels in
    rat liver.  Biochem. Pharmacol., 37, 2223-2229.

    Batt, A.M., Martin, N. & Siest, G. (1981) Induction of group-1 and
    group-2 UDP-glucuronosyl transferase in microsomes from the livers of
    C57 Bl/6 mice.  Toxicol. Lett., 9, 355-360.

    Bernson, V.S.M. & Pettersson, B. (1983) The toxicity of menthol in
    short-term bioassays.  Chem.-Biol. Interactions, 46, 233-246.

    Boutin, J.A., Lepage, C., Batt, A.M. & Siest, G. (1981) The activity
    of hepatic UDP-glucuronosyltransferase from control and induced pigs
    toward 17 hydroxylated aglycones.  IRCS Med. Sci., 9, 633-634.

    Boutin, J.A., Thomassin, G., Siest, G. & Cartier, A. (1985)
    Heterogeneity of hepatic microsomal UDP-glucuronosyltransferase
    activities. Conjugations of phenolic and monoterpenoid aglycons in
    control and induced rats and guinea pigs.  Biochem. Pharmacol., 34,
    2235-2249.

    Bowen, I.H. & Cubbin, I.J. (1992) Mentha piperita and Mentha spicata.
    In:  Adverse Effects of Herbal Drugs, pp. 171-178.

    Clegg, R.J., Middleton, B., Bell, G.D. & White, D.A. (1982) The
    mechanism of cyclic monoterpene inhibition of hepatic
    3-hydroxy-3-methylglutaryl coenzyme A reductase  in vivo in the rat.
     J. Biol. Chem., 257, 2294-2299.

    Deichmann, W. & Thomas, G. (1943) Glucuronic acid in the urine as a
    measure of the absorption of certain organic compounds.  J. Ind. 
     Hyg. Toxicol., 25, 286-292.

    Dooms-Goossens, A., Degreef, H., Holvoet, C. & Maertens, M. (1977)
    Turpentine-induced hypersensitivity to peppermint oil.  Contact 
     Derm., 3, 304-308.

    Eisenberg, F., Field, J.B. & Stetten, D. (1955) Studies on glyceronide
    conjugation in man.  Arch. Biochem. Biophys., 59, 297-299.

    Fishman, W.H. (1940) Studies on beta-glucuronidase. III. The increase
    in beta-glucuronidase activity of mammalian tissues induced by feeding
    glucuronidogenic substances.  J. Biol. Chem., 136, 229-236.

    Food & Drug Research Labs, Inc. (1973) Teratologic evaluation of FDA
    71-57 (menthol natural Brazilian), June 1973. US National Technical
    Information Service report No. PB-223815. Submitted to WHO by the
    Flavor and Extract Manufacturers' Association of the United States,
    Washington DC, United States.

    Gaworski, C.L., Dozier, M.M., Gerhart, J.M., Rajendrans, N.,
    Brennecke, L.H., Aranyi, C. & Heck, J.D. (1997) 13-Week inhalation
    toxicity study of menthol cigarette smoke.  Food Chem. Toxicol., 35,
    683-692.

    Gleason, M.N., Gosselin,R.E., Hodge, H.C. & Smith, R.P. (1969)
     Clinical Toxicology of Commercial Products, 3rd Ed., Philadelphia,
    Williams & Wilkins Co.

    Gould, W.D., Wacker, P. & Maltzman, T.H. (1990) Chemoprevention and
    chemotherapy of mammary tumors by monoterpenoids.  Prog. Clin. Biol. 
     Res., 347, 255-268.

    Green, M.D., Clarke, D.J., Oturu, E.M., Styczynski, P.B., Jackson,
    M.R., Burchell, B. & Tephly, T.R. (1995) Cloning and expression of a
    rat liver phenobarbital-inducible UDP-glucuronosyl-transferase (2B12)
    with specificity for monoterpenoid alcohols.  Arch. Biochem. 
     Biophys., 322, 460-468. 

    Hartmann, A. & Speit, G. (1997) The contribution of cytotoxicity to
    DNA-effects in the single cell gel test (Comet assay).  Toxicol. 
     Lett., 90, 183-188.

    Haseman, J.K., Huff, J.E., Rav, G.N., Arnold, J.E., Boorman, G.A. &
    McConnell, E.E. (1985) Neoplasms observed in untreated and corn oil
    gavage control groups of F344/N rats and (C57Bl/6N × C3H/HeN) F1
    (B6C3F1) mice.  J. Natl Cancer Inst., 75, 975-984.

    Haseman, J.K., Tharrington, E.C., Huff, J.U.E. & McConnell, E.E.
    (1986) Comparison of site-specific and overall tumor incidence
    analysis for 81 recent National Toxicology Program carcinogenicity
    studies.  Reg. Toxicol. Pharmacol., 6, 155-170.

    Herken, H. (1961) [Pharmacological expertise on tolerance to natural
    and synthetic menthol.] Unpublished report from  Pharmakologischen
    Institut der Freien Universität, Berlin, Duhlen. Submitted to WHO by
    Schering AG, Berlin, Germany (in German).

    Horvath, T., Past, T., Tatui, Z., Par, A., Kadas, I., Tapsonyi, Z. &
    Javor, J. (1984) Investigation of biotransformation capacity in
    patients with chronic liver diseases by pharmacokinetic methods:
    Experimental trials.  Pol. J. Pharmacol. Pharm., 36, 361-371.

    Imaizumi, K., Hanada, K., Mawatari, K. & Sugano, M. (1985) Effect of
    essential oils on the concentration of serum lipids and
    apolipoproteins in rats.  Agric. Biol. Chem., 49, 2795-2796.

    Ishidate, M., Jr, Sofuni, T., Yoshikawa, K., Hayashi, M., Nohmi, T.,
    Sawada, M. & Matsuoka, A. (1984) Primary mutagenicity screening of
    food additives currently used in Japan.  Food Chem. Toxicol., 22,
    623-636.

    Ivett, J.L., Brown, B.M., Rodgers, C., Anderson, B.E., Resnick, M.A. &
    Zeiger, E. (1989) Chromosomal aberrations and sister chromatid
    exchange tests in Chinese hamster ovary cells in vitro. IV. Results
    with 15 chemicals.  Environ. Mol. Mutag., 14, 165-187.

    Jay, J.J. & Rivers, G.M. (1984) Antimicrobial activity of some food
    flavoring compounds.  J. Food Saf., 6, 129-139.

    Jenner, P.M., Hagan, E.C., Taylor, J.M., Cook, E.L. & Fitzhugh, O.G.
    (1964) Food flavorings and compounds of related structure I. Acute
    oral toxicity.  Food Cosmet. Toxicol., 2, 327-343.

    Kabat, G.C. & Hebert, J.R. (1991) Use of mentholated cigarettes and
    lung cancer risk.  Cancer Res., 51, 6510-6513.

    Kaffenberger, R.M. & Doyle, M.J. (1990) Determination of menthol and
    menthol glucuronide in human urine by gas chromatography using an
    enzyme-sensitive internal standard and flame ionization detection.
     J. Chromatogr., 527, 59-66.

    Karapinar, M. & Aktug, S.E. (1987) Inhibition of food borne pathogens
    by thymol, eugenol, menthol and anethole.  Int. J. Food Microbiol., 
    4, 161-166.

    Kurita, N., Miyaji, M., Kurane, R. & Takahara, Y. (1981) Antifungal
    activity of components of essential oil.  Agric. Biol. Chem., 45,
    945-952.

    Lewis, F.M., Shah., M. & Gawkrodger, D.J. (1995) Contact sensitivity
    to food additives can cause oral and perioral symptoms.  Contact 
     Derm., 33, 429-430.

    Litton Bionetics, Inc. (1975) Mutagenic evaluation of compound FDA
    71-57, menthol, 14 January 1975. US National Technical Information
    Service report No. PB-245444. Submitted to WHO by International
    Federation of Chewing Gum Associations, Keller and Hechman LLP,
    Washington DC, United States

    Madsen, C., Wurtzen, G. & Carstensen, J. (1986) Short-term toxicity
    study in rats dosed with menthone.  Toxicol. Lett., 32, 147-152.

    Madyastha, K.M. & Srivatsan, V. (1988) Studies on the metabolism of
    l-menthol in rats.  Drug Metab. Disposition, 16, 765-772.

    Mahmoud, A.L.E. (1994) Antifungal action and antiaflatoxigenic
    properties of some essential oil constituents.  Lett. Appl. 
     Microbiol., 19, 110-113

    Megalla, S.E., El-Keltawi, N.E. & Ross, S.A. (1980) A study of
    antimicrobial action of some essential oil constituents.  Herba 
    Pol., 26, 181-186.

    Mengs, U. & Stotzem, C.D. (1989) Toxicological evaluation of
    peppermint oil in rodents and dogs.  Med. Sci. Res., 17, 499-500.

    Millard, L.G. (1973) Contact sensitivity to toothpaste.  Br. Med. 
     J., i, 676.

    Mœlck, A.M., Poulsen, M., Lauridsen, S.T. & Olsen, P. (1998) Lack of
    histological cerebellar changes in Wistar rats given pulegone for 28
    days. Comparison of immersion and perfusion tissue fixation. 
     Toxicol. Lett., 95, 117-122.

    Moleyar, V & Narasimham, P. (1992) Antibacterial activity of essential
    oil components.  Int. J. Food Microbiol., 16, 337-342.

    Morris, J.A., Khettry, A. & Seitz, E.W. (1979) Antimicrobial activity
    of aroma chemicals and essential oils.  J. Am. Oil Chem. Soc., 56,
    595-603.

    Morton, C.A., Garioch, J., Todd, P., Lamey, P.J. & Forsyth, A. (1995)
    Contact sensitivity to menthol and peppermint in patients with
    intra-oral symptoms.  Contact Derm., 32, 281-284.

    Muller-Riebau, F., Berger, B. & Yegen, O. (1995) Chemical composition
    and fungitoxic properties to phytopathogenic fungi of essential oils
    of selected aromatic plants growing wild in Turkey.  J. Agric. Food 
     Chem., 43, 2262-2266.

    Murthy, P.B., Ahmed, M.M. & Regu, K. (1991) Lack of genotoxicity of
    menthol in chromosome aberration and sister chromatid exchange assays
    using human lymphocytes in vitro.  Toxicol. In Vitro, 5, 337-340.

    Myhr, B.C. & Caspary, W.C. (1991) Chemical mutagenesis at the
    thymidine kinase locus in L5178Y mouse lymphoma cells: Results for 31
    coded compounds in the National Toxicology Program.  Environ. Mol. 
     Mutag., 18, 51-83.

    Nachev, C., Zolotovitch, G., Siljanovska, K. & Stojcev, S. (1967)
    Cytotoxic effect of alcohols isolated from essential oils.  C.R. 
     Acad. Bulg. Sci., 20, 1081-1084.

    Niestijl Janson, J.J., Kardinaal, A.F.M., Huijbers, G.,
    Vlieg-Boerstra, B.J., Martens, B.P.M. & Ockhuizen, T (1994) Prevalence
    of food allergy and intolerance in the adult Dutch population.
     J. Allergy Clin. Immunol., 93, 446-456.

    Nohmi, T., Miyata, R., Yoshilawa, K. & Ishidate, M., Jr (1985)
    Mutagenicity tests on organic chemical contaminants in city water and
    related compounds. I. Bacterial mutagenicity tests.  Eisei Shikenjo 
     Hokoku, 103, 60-64.

    Oda, Y., Hamano, Y., Inoue, K., Yamamoto, H., Nihara, T. & Kunita, N.
    (1978) Mutagenicity of food flavors in bacteria (1st report).
     Shokunin Eisei Hen, 9, 177-181.

    Ohta, T., Watanabe, M., Watanabe, K., Shirasu, Y. & Kada, T. (1986)
    Inhibitory effects of flavourings on mutagenesis induced by chemicals
    in bacteria.  Food Chem. Toxicol., 24, 51-54. 

    Olowe, S.A. & Ransome-Kuti, O. (1980) The risk of jaundice in
    glucose-6-phospate dehydrogenase deficient babies to menthol. 
     Acta Paediatr. Scand., 69, 341-345.

    Quick, A.J. (1924) The synthesis of menthol glycuronic acid in the
    rabbit.  J. Biol. Chem., 61, 679-683.

    Quick, A.J. (1928) Quantitative studies of beta-oxidation. IV. The
    metabolism of conjugated glycuronic acids.  J. Biol. Chem., 80,
    535-541.

    Rakieten, N., Rakieten, M.L. & Boykin, M. (1954) Effects of menthol
    vapor on the intact animal with special reference to the upper
    respiratory tract.  J. Am. Pharm. Assoc. Sci. Ed., 43, 390-392.

    Ruch, R.J. & Sigler, K. (1994) Growth inhibition of rat liver
    epithelial tumor cells by monoterpenes does not involve rat plasma
    membrane association.  Carcinogenesis, 15, 787-789.

    Russin, W.A., Hoesly, J.D., Elson, C.E., Tanner, M.A. & Gould, M.
    (1989) Inhibition of rat mammary carcinogenesis by monoterpenoids.
     Carcinogenesis, 10, 2161-2164.

    Shah, M., Lewis, F.M. & Gawkrodger, D.J. (1996) Contact allergy in
    patients with oral symptoms: A study of 47 patients.  Am. J. 
     Contact Derm., 7, 146-151.

    Shelby, M.D., Erexson, G., Hook, G.L. & Tice, R.R. (1993) Evaluation
    of a three-exposure mouse bone marrow micronucleus protocol: Results
    with 49 chemicals.  Environ. Mol. Mutag., 21, 160-179.

    Sofuni, T., Hayashi, M., Matsuoka, A., Sawada, M., Hatanaka, M. &
    Ishidate, M. (1985) Mutagenicity tests on organic chemical
    contaminants in city water and related compounds. II. Chromosome
    aberration tests in cultured mammalian cells.  Eisei Shikenjo 
     Hokoku, 103, 64-75.

    Somerville, K.W., Richmond, C.R. & Bell, G.D. (1984) Delayed release
    peppermint oil capsules (Colpermin) for the spastic colon syndrome: A
    pharmacokinetic study.  Br. J. Clin. Pharmacol., 18, 638-640.

    Spindler, P. & Madsen, C. (1992) Subchronic toxicity study of
    peppermint oil in rats.  Toxicol. Lett., 62, 215-220.

    Stoner, G.D. (1991) Lung tumors in strain A mice as a bioassay for
    carcinogenicity of environmental chemicals.  Exp. Lung Res., 17,
    405-423.

    Stoner, G.D., Shimkin, M.B., Kniazeff, A., Weisburger, J.H.,
    Weisburger, E.K. & Go, G.K. (1973) Test for carcinogenicity of food
    additives and chemotherapeutic agents by the pulmonary tumor response
    in strain A mice.  Cancer Res., 33, 3069-3085.

    Storer, R.D., McKelvey, T.W., Kraynak, A.R., Elia, M.C., Barnum, J.E.,
    Harmon, L.S., Nichols, W.W. & DeLuca, J.G. (1996) Revalidation of the
    in vitro alkaline elution rat hepatocyte assay for DNA damage:
    Improved criteria for assessment of cytotoxicity and genotoxicity and
    results for 81 compounds.  Mutat. Res., 368, 59-101.

    Szabo, L., & Ebrey, P. (1963) Studies on the inheritance of
    Crigler-Najjar's syndrome by the menthol test.  Acta Pediatr. Acad. 
     Sci. Hung., 4, 153-158.

    Takacs, A.L. & Vore, M. (1987) Binding of 3H-estradiol-17B
    (B-D-glucuronide), a cholestatic organic anion, to rat liver plasma
    membranes. Evidence consonant with identification of organic anion
    carriers.  Mol. Pharmacol., 32, 511-518.

    Tamaoki, J., Chiyotani, A., Sakai, A., Takemura, H. & Konno, K. (1995)
    Effect of menthol vapour on airway hyper responsiveness in patients
    with mild asthma.  Respir. Med., 89, 503-504.

    Tennant, R.W., Margolin, B.H., Shelby, M.D., Zeiger, E., Haseman,
    J.K., Spalding, J., Caspary, W., Resnik, M., Stasiewicz, S., Anderson,
    B. & Minor, R. (1987) Prediction of chemical carcinogenicity in
    rodents from in vitro genetic toxicity assays.  Science, 236,
    933-941.

    Thorup, I., Wurtzen, G., Carstensen, J. & Olsen, P. (1983a) Short term
    toxicity study in rats dosed with pulegone and menthol.  Toxicol. 
     Lett., 19, 207-210.

    Thorup, I., Wurtzen, G., Carstensen, J. & Olsen, P. (1983b) Short term
    toxicity study in rats dosed with peppermint oil.  Toxicol. Lett., 
    19, 211-215.

    Ueda, S., Yamashita, H. & Kuwabara, Y. (1982) Inhibition of
    Clostridium botulinum and Bacillus sp. by spices and flavoring
    compounds.  Nippon Shokuhin Kogyo Gakkaishi, 29, 389-392.

    Uno, Y., Takasawa, H., Miyagawa, M., Inoue, Y., Murata, T. &
    Yoshikawa, K. (1994) An in vivo-in vitro replicative DNA synthesis
    (RDS) test using rat hepatocytes as an early prediction assay for
    non-genotoxic hepatocarcinogens, screening of 22 known positives and
    25 noncarcinogens.  Mutat. Res., 320, 189-205.

    US National Cancer Institute (1979) Bioassay of DL-menthol for
    possible carcinogenicity. Report NCI-CG-TR-98. US National Technical
    Information Service report No. PB-288761, Bethesda, Maryland, United
    States.

    White, D.A., Thompson, S.A., Wilson, C.G. & Bell, G.D. (1987) A
    pharmacokinetic comparison of 2 delayed-release peppermint oil
    preparations, Colpermin and Mintec, for treatment of the irritable
    bowel syndrome.  Int. J. Pharmacol., 40, 151-155.

    WHO (1987)  Principles for the Safety Assessment of Food Additives 
     and Contaminants in Food (Environmental Health Criteria 70), Geneva

    Williams, R.T. (1938) Studies in detoxication. II. (a) The conjugation
    of isomeric 3-menthanols with glucuronic acid and the asymmetric
    conjugation of dl-menthol and dl-isomenthol in the rabbit; (b)
    d-isoMenthylglucuronide, a new conjugated glucuronic acid.  Biochem. 
     J., 32, 1849-1855.

    Williams, R.T. (1939) CLXXXVI. Studies in detoxication. III. The use
    of the glucuronic acid detoxication mechanism of the rabbit for the
    resolution of dl-menthol.  Biochem. J., 32, 1519-1524.

    Wokes, F. (1932) The antiseptic value and toxicity of menthol isomers.
     Q. J. Pharm. Pharmacol., 5, 233-244.

    Yamaguchi, T., Caldwell, J. & Farmer, P.B. (1994) Metabolic fate of
    [3H]-l-menthol in the rat.  Drug Metab. Disposition, 22, 616-624.

    Yoo, Y.S. (1986) Mutagenic and antimutagenic activities of flavoring
    agents used in foodstuffs.  J. Osaka City Med. Cent., 34, 267.

    Yoshikawa, R.T. (1996) Anomalous nonidentity between Salmonella
    genotoxicants and rodent carcinogens: Nongenotoxic carcinogens and
    genotoxic noncarcinogens.  Environ. Health Perspectives, 104, 40-46.

    Yousef, R.T., Aggag, M.E. & Tawil, G.G. (1978) Evaluation of the
    antifungal activity of some components of volatile oils against
    dermatophytes.  Mykosen, 21, 190-193.
    


    See Also:
       Toxicological Abbreviations
       Menthol (WHO Food Additives Series 10)
       MENTHOL (JECFA Evaluation)