IPCS INCHEM Home


    FAO Nutrition Meetings
    Report Series No. 40A,B,C
    WHO/Food Add./67.29




    TOXICOLOGICAL EVALUATION OF SOME
    ANTIMICROBIALS, ANTIOXIDANTS, EMULSIFIERS,
    STABILIZERS, FLOUR-TREATMENT AGENTS, ACIDS AND BASES





    The content of this document is the result of the deliberations of the
    Joint FAO/WHO Expert Committee on Food Additives which met at Rome,
    13-20 December, 19651 Geneva, 11-18 October, 19662




                   

    1 Ninth Report of the Joint FAO/WHO Expert Committee on Food
    Additives, FAO Nutrition Meetings Report Series, 1966 No. 40; 
    Wld Hlth Org. techn. Rep. Ser., 1966, 339

    2 Tenth Report of the Joint FAO/WHO Expert Committee on Food
    Additives, FAO Nutrition Meetings Report Series, 1967, in press; 


    Food and Agriculture Organization of the United Nations
    World Health Organization
    1967


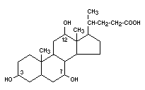
    CHOLIC ACID

    Chemical name                3,7,12-trihydroxycholanic acid

    Empirical formula            C24H40O5

    Structural formula

    MOLECULAR STRUCTURE 18

    Molecular weight             408.58

    Definition                   Cholic acid after drying contains not
                                 less than 98 per cent. C24H40O5 

    Description                  Colourless plates or a white,
                                 crystalline powder having a bitter taste
                                 with a sweetish after-taste.

    Uses                         As a foam stabilizer.

    Biological Data

    (See Desoxycholic Acid)

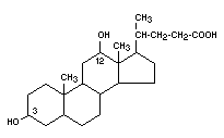
    DESOXYCHOLIC ACID

    Chemical name                3,12-dihydroxycholanic acid

    Empirical formula            C24H40O4

    Structural formula

    MOLECULAR STRUCTURE 19

    Molecular weight             392.56

    Definition                   Desoxycholic acid after drying contains
                                 not less than 98 per cent. and not more
                                 than the equivalent of 102 per cent.
                                 C24H40O4

    Description                  White, crystalline powder

    Uses                         As foam stabilizer

    Biological Data

    Biochemical aspects

         These bile acids and their salts are found as natural
    constituents of the bile. The nucleus of the bile acids is closely
    related to cholesterol, from which they are formed in the liver, and
    this conversion depends on their relative concentrations. Between 90
    and 95 per cent. of bile acids are reabsorbed, mainly from the lower
    half of the small intestine, and undergo enterohepatic circulation;
    small quantities occur in the stools and very little is normally
    excreted in the urine. Bile salts affect the absorption of fats,
    fat-soluble vitamins, and various ions. In normal individuals,
    additional administration of moderate quantities of bile acids or
    salts by mouth has no demonstrable effect, since there are enough bile
    salts present in the intestinal lumen to carry out all the absorptive
    functions. If there is a deficiency of bile salts, administration may
    be beneficial. Bile salts stimulate excretion of bile and hence tend
    to hasten their own elimination. Bile salts may also cause some
    stimulation of intestinal movement.

         The daily output from a fistula in man ranged from 1-2.3 g daily;
    when stimulated by bile, the daily output was increased fourfold
    (Josephson, 1941).

    Acute toxicity

                                                                    

    Animal                Route    LD50             References
                                   (mg/kg 
                                   body-weight)
                                                                    

    CHOLIC ACID
    Rabbit                i.v.     50 (Na salt)     Gillert, 1926

    DESOXYCHOLIC ACID
    Rabbit                i.v.     15 (Na salt)     Gillert, 1926
                                                                    

         In general, bile acids and salts have only a minor toxic
    potential when given by mouth. In large doses, they are likely to have
    the same effects as saponins; the main action is likely to be
    irritation of mucous membranes. Parenterally they are much more toxic
    and may cause haemolysis, a digitalis-like action on the heart and
    effects on the central nervous system. Toxic effects that may be
    attributable to accumulation of bile acids  or salts are also seen in
    obstructive jaundice, since they disappear if cholestyramine, which
    adsorbs bile acids in the intestinal lumen and prevents their
    reabsorption, is administered (van Itallie et al., 1961).

    Short-term studies

         Man. Two grams of ox bile salts were administered daily to a
    child of 5 years who had a congenital deficiency of bile salts, for a
    period of 11 months with consequent improvement in fat absorption and
    no evidence of ill effects (Rose et al., 1955).

    Comments

         No long-term animal studies are reported. They are not necessary,
    since every healthy person circulates about 1 g of bile salts or more
    daily throughout life. Adequate specifications are needed to ensure
    that the substances used closely conform to the naturally occurring
    bile salts.

    Evaluation

         Because of their bitter taste, bile acids and their salts tend to
    be limited in use.

         A 5 per cent. variation in the daily output of bile is equivalent
    to 75 mg bile salts daily (equivalent to 1.25 mg/kg body-weight/day).
    This amount is unlikely to affect the normal equilibrium of bile acid
    metabolism.

    Estimate of acceptable daily intake for man

                                    mg/kg body-weight

       Unconditional acceptance         0-1.25

    REFERENCES

    Gillert, E. (1926) Z. Ges. exp. Med., 52, 779

    van Itallie, T. B., Hashim, S. A., Crampton, R. S. & Tennent, D. M.
    (1961) New England J. Med., 265, 469

    Josephson, B. (1941) Physiol. Rev., 21, 435

    Ross, C. A. C., Frazer, A. C., French, J. M., Gerrard, J. W., Sammons,
    H. G. & Smellie, J. M. (l955) Lancet, i, 1087
    


    See Also:
       Toxicological Abbreviations