
INTERNATIONAL PROGRAMME ON CHEMICAL SAFETY
ENVIRONMENTAL HEALTH CRITERIA 185
CHLORENDIC ACID AND ANHYDRIDE
This report contains the collective views of an international group of
experts and does not necessarily represent the decisions or the stated
policy of the United Nations Environment Programme, the International
Labour Organisation, or the World Health Organization.
First draft prepared by Dr. G.J. van Esch,
Bilthoven, Netherlands
Published under the joint sponsorship of the United Nations
Environment Programme, the International Labour Organisation, and the
World Health Organization
World Health Organization
Geneva, 1996
The International Programme on Chemical Safety (IPCS) is a joint
venture of the United Nations Environment Programme, the International
Labour Organisation, and the World Health Organization. The main
objective of the IPCS is to carry out and disseminate evaluations of
the effects of chemicals on human health and the quality of the
environment. Supporting activities include the development of
epidemiological, experimental laboratory, and risk-assessment methods
that could produce internationally comparable results, and the
development of manpower in the field of toxicology. Other activities
carried out by the IPCS include the development of know-how for coping
with chemical accidents, coordination of laboratory testing and
epidemiological studies, and promotion of research on the mechanisms
of the biological action of chemicals.
WHO Library Cataloguing in Publication Data
Chlorendic acid and anhydride
(Environmental health criteria ; 185)
1.Insecticides, Organochlorine 2. Environmental exposure
I.Series
ISBN 92 4 157185 3 (NLM Classification: WA 240)
ISSN 0250-863X
The World Health Organization welcomes requests for permission to
reproduce or translate its publications, in part or in full.
Applications and enquiries should be addressed to the Office of
Publications, World Health Organization, Geneva, Switzerland, which
will be glad to provide the latest information on any changes made to
the text, plans for new editions, and reprints and translations
already available.
(c) World Health Organization 1996
Publications of the World Health Organization enjoy copyright
protection in accordance with the provisions of Protocol 2 of the
Universal Copyright Convention. All rights reserved. The designations
employed and the presentation of the material in this publication do
not imply the expression of any opinion whatsoever on the part of the
Secretariat of the World Health Organization concerning the legal
status of any country, territory, city or area or of its authorities,
or concerning the delimitation of its frontiers or boundaries. The
mention of specific companies or of certain manufacturers' products
does not imply that they are endorsed or recommended by the World
Health Organization in preference to others of a similar nature that
are not mentioned. Errors and omissions excepted, the names of
proprietary products are distinguished by initial capital letters.
CONTENTS
ENVIRONMENTAL HEALTH CRITERIA FOR CHLORENDIC ACID AND ANHYDRIDE
INTRODUCTION
1. SUMMARY AND EVALUATION; CONCLUSIONS
AND RECOMMENDATIONS
1.1. Summary and evaluation
1.1.1. Physical and chemical properties
1.1.2. Production and use
1.1.3. Environmental transport, distribution
and transformation
1.1.4. Environmental levels and human exposure
1.1.5. Kinetics and metabolism in laboratory animals
1.1.6. Effects on laboratory mammals and in vitro
test systems
1.1.7. Effects on humans
1.1.8. Effects on other organisms in the laboratory
and field
1.2. Conclusions
1.3. Recommendations
1.3.1. Protection of human health and the environment
1.3.2. Further research
2. IDENTITY, PHYSICAL AND CHEMICAL PROPERTIES, AND ANALYTICAL
METHODS
2.1. Chlorendic acid
2.1.1. Identity
2.1.1.1 Primary constituent
2.1.1.2 Technical product
2.2. Chlorendic anhydride
2.2.1. Identity
2.2.1.1 Primary constituent
2.2.1.2 Technical product
2.3. Physical and chemical properties
2.3.1. Chlorendic acid
2.3.2. Chlorendic anhydride
2.4. Analytical methods
2.4.1. Air sampling
3. SOURCES OF HUMAN AND ENVIRONMENTAL EXPOSURE
3.1. Natural occurrence
3.2. Anthropogenic sources
3.2.1. Production levels and processes
3.2.2. Uses
3.2.3. Contamination of the environment
4. ENVIRONMENTAL TRANSPORT, DISTRIBUTION AND TRANSPORTATION
4.1. Transport and distribution between media
4.2. Transformation
4.2.1. Biodegradation
4.2.2. Abiotic degradation
4.2.2.1 Chlorendic acid
4.2.2.2 Chlorendic anhydride
4.2.3. Bioaccumulation and biomagnification
4.3. Ultimate fate following use
5. ENVIRONMENTAL LEVELS AND HUMAN EXPOSURE
6. KINETICS AND METABOLISM IN LABORATORY ANIMALS
6.1. Chlorendic acid
6.1.1. Absorption, distribution and elimination
6.1.1.1 Oral administration
6.1.1.2 Intravenous administration
6.2. Chlorendic anhydride
6.2.1. Absorption, distribution and elimination
7. EFFECTS ON LABORATORY MAMMALS AND IN VITRO TEST SYSTEMS
7.1. Single exposure
7.1.1. Oral exposure
7.1.1.1 Chlorendic acid
7.1.1.2 Chlorendic anhydride
7.1.2. Dermal exposure
7.1.2.1 Chlorendic anhydride
7.1.3. Inhalation exposure
7.1.3.1 Chlorendic acid
7.1.3.2 Chlorendic anhydride
7.2. Short-term exposures
7.2.1. Oral
7.2.1.1 Mice
7.2.1.2 Rats
7.2.2. Dermal
7.2.2.1 Chlorendic anhydride
7.2.3. Inhalation
7.2.3.1 Chlorendic anhydride
7.3. Long-term exposure
7.4. Skin and eye irritation; sensitization
7.4.1. Chlorendic acid
7.4.2. Chlorendic anhydride
7.5. Reproductive toxicity, embryotoxicity and
teratogenicity
7.5.1. Chlorendic anhydride
7.6. Mutagenicity and related end-points
7.6.1. Chlorendic acid
7.6.2. Chlorendic anhydride
7.7. Carcinogenicity
7.7.1. Chlorendic acid
7.7.1.1 Mice
7.7.1.2 Rats
7.7.1.3 Special studies
7.7.2. Chlorendic anhydride
8. EFFECTS ON HUMANS
9. EFFECTS ON OTHER ORGANISMS IN THE LABORATORY AND FIELD
9.1. Chlorendic acid
9.2. Chlorendic anhydride
10. PREVIOUS EVALUATIONS BY INTERNATIONAL BODIES
REFERENCES
RESUME ET EVALUATION; CONCLUSIONS ET RECOMMANDATIONS
RESUMEN Y EVALUACION; CONCLUSIONES Y RECOMENDACIONES
NOTE TO READERS OF THE CRITERIA MONOGRAPHS
Every effort has been made to present information in the criteria
monographs as accurately as possible without unduly delaying their
publication. In the interest of all users of the Environmental Health
Criteria monographs, readers are requested to communicate any errors
that may have occurred to the Director of the International Programme
on Chemical Safety, World Health Organization, Geneva, Switzerland, in
order that they may be included in corrigenda.
* * *
A detailed data profile and a legal file can be obtained from the
International Register of Potentially Toxic Chemicals, Case postale
356, 1219 Châtelaine, Geneva, Switzerland (Telephone No. 9799111).
* * *
This publication was made possible by grant number 5 U01
ES02617-15 from the National Institute of Environmental Health
Sciences, National Institutes of Health, USA, and by financial support
from the European Commission.
Environmental Health Criteria
PREAMBLE
Objectives
In 1973 the WHO Environmental Health Criteria Programme was
initiated with the following objectives:
(i) to assess information on the relationship between exposure to
environmental pollutants and human health, and to provide
guidelines for setting exposure limits;
(ii) to identify new or potential pollutants;
(iii) to identify gaps in knowledge concerning the health effects of
pollutants;
(iv) to promote the harmonization of toxicological and
epidemiological methods in order to have internationally
comparable results.
The first Environmental Health Criteria (EHC) monograph, on
mercury, was published in 1976 and since that time an ever-
increasing number of assessments of chemicals and of physical effects
have been produced. In addition, many EHC monographs have been
devoted to evaluating toxicological methodology, e.g., for genetic,
neurotoxic, teratogenic and nephrotoxic effects. Other publications
have been concerned with epidemiological guidelines, evaluation of
short-term tests for carcinogens, biomarkers, effects on the elderly
and so forth.
Since its inauguration the EHC Programme has widened its scope,
and the importance of environmental effects, in addition to health
effects, has been increasingly emphasized in the total evaluation of
chemicals.
The original impetus for the Programme came from World Health
Assembly resolutions and the recommendations of the 1972 UN Conference
on the Human Environment. Subsequently the work became an integral
part of the International Programme on Chemical Safety (IPCS), a
cooperative programme of UNEP, ILO and WHO. In this manner, with the
strong support of the new 14 partners, the importance of occupational
health and environmental effects was fully recognized. The EHC
monographs have become widely established, used and recognized
throughout the world.
The recommendations of the 1992 UN Conference on Environment and
Development and the subsequent establishment of the Intergovernmental
Forum on Chemical Safety with the priorities for action in the six
programme areas of Chapter 19, Agenda 21, all lend further weight to
the need for EHC assessments of the risks of chemicals.
Scope
The criteria monographs are intended to provide critical reviews
on the effect on human health and the environment of chemicals and of
combinations of chemicals and physical and biological agents. As
such, they include and review studies that are of direct relevance for
the evaluation. However, they do not describe every study carried
out. Worldwide data are used and are quoted from original studies,
not from abstracts or reviews. Both published and unpublished reports
are considered and it is incumbent on the authors to assess all the
articles cited in the references. Preference is always given to
published data. Unpublished data are only used when relevant
published data are absent or when they are pivotal to the risk
assessment. A detailed policy statement is available that describes
the procedures used for unpublished proprietary data so that this
information can be used in the evaluation without compromising its
confidential nature (WHO (1990) Revised Guidelines for the Preparation
of Environmental Health Criteria Monographs. PCS/90.69, Geneva, World
Health Organization).
In the evaluation of human health risks, sound human data,
whenever available, are preferred to animal data. Animal and
in vitro studies provide support and are used mainly to supply
evidence missing from human studies. It is mandatory that research on
human subjects is conducted in full accord with ethical principles,
including the provisions of the Helsinki Declaration.
The EHC monographs are intended to assist national and
international authorities in making risk assessments and subsequent
risk management decisions. They represent a thorough evaluation of
risks and are not, in any sense, recommendations for regulation or
standard setting. These latter are the exclusive purview of national
and regional governments.
Content
The layout of EHC monographs for chemicals is outlined below.
* Summary - a review of the salient facts and the risk evaluation
of the chemical
* Identity - physical and chemical properties, analytical methods
* Sources of exposure
* Environmental transport, distribution and transformation
* Environmental levels and human exposure
* Kinetics and metabolism in laboratory animals and humans
* Effects on laboratory mammals and in vitro test systems
* Effects on humans
* Effects on other organisms in the laboratory and field
* Evaluation of human health risks and effects on the environment
* Conclusions and recommendations for protection of human health
and the environment
* Further research
* Previous evaluations by international bodies, e.g., IARC, JECFA,
JMPR
Selection of chemicals
Since the inception of the EHC Programme, the IPCS has organized
meetings of scientists to establish lists of priority chemicals for
subsequent evaluation. Such meetings have been held in: Ispra, Italy,
1980; Oxford, United Kingdom, 1984; Berlin, Germany, 1987; and North
Carolina, USA, 1995. The selection of chemicals has been based on the
following criteria: the existence of scientific evidence that the
substance presents a hazard to human health and/or the environment;
the possible use, persistence, accumulation or degradation of the
substance shows that there may be significant human or environmental
exposure; the size and nature of populations at risk (both human and
other species) and risks for environment; international concern, i.e.
the substance is of major interest to several countries; adequate data
on the hazards are available.
If an EHC monograph is proposed for a chemical not on the
priority list, the IPCS Secretariat consults with the Cooperating
Organizations and all the Participating Institutions before embarking
on the preparation of the monograph.
Procedures
The order of procedures that result in the publication of an EHC
monograph is shown in the flow chart. A designated staff member of
IPCS, responsible for the scientific quality of the document, serves
as Responsible Officer (RO). The IPCS Editor is responsible for
layout and language. The first draft, prepared by consultants or,
more usually, staff from an IPCS Participating Institution, is based
initially on data provided from the International Register of
Potentially Toxic Chemicals, and reference databases such as Medline
and Toxline.
The draft document, when received by the RO, may require an
initial review by a small panel of experts to determine its scientific
quality and objectivity. Once the RO finds the document acceptable as
a first draft, it is distributed, in its unedited form, to well over
150 EHC contact points throughout the world who are asked to comment
on its completeness and accuracy and, where necessary, provide
additional material. The contact points, usually designated by
governments, may be Participating Institutions, IPCS Focal Points, or
individual scientists known for their particular expertise. Generally
some four months are allowed before the comments are considered by the
RO and author(s). A second draft incorporating comments received and
approved by the Director, IPCS, is then distributed to Task Group
members, who carry out the peer review, at least six weeks before
their meeting.
The Task Group members serve as individual scientists, not as
representatives of any organization, government or industry. Their
function is to evaluate the accuracy, significance and relevance of
the information in the document and to assess the health and
environmental risks from exposure to the chemical. A summary and
recommendations for further research and improved safety aspects are
also required. The composition of the Task Group is dictated by the
range of expertise required for the subject of the meeting and by the
need for a balanced geographical distribution.
The three cooperating organizations of the IPCS recognize the
important role played by nongovernmental organizations.
Representatives from relevant national and international associations
may be invited to join the Task Group as observers. While observers
may provide a valuable contribution to the process, they can only
speak at the invitation of the Chairperson. Observers do not
participate in the final evaluation of the chemical; this is the sole
responsibility of the Task Group members. When the Task Group
considers it to be appropriate, it may meet in camera.
All individuals who as authors, consultants or advisers
participate in the preparation of the EHC monograph must, in addition
to serving in their personal capacity as scientists, inform the RO if
at any time a conflict of interest, whether actual or potential, could
be perceived in their work. They are required to sign a conflict of
interest statement. Such a procedure ensures the transparency and
probity of the process.
When the Task Group has completed its review and the RO is
satisfied as to the scientific correctness and completeness of the
document, it then goes for language editing, reference checking, and
preparation of camera-ready copy. After approval by the Director,
IPCS, the monograph is submitted to the WHO Office of Publications for
printing. At this time a copy of the final draft is sent to the
Chairperson and Rapporteur of the Task Group to check for any errors.
It is accepted that the following criteria should initiate the
updating of an EHC monograph: new data are available that would
substantially change the evaluation; there is public concern for
health or environmental effects of the agent because of greater
exposure; an appreciable time period has elapsed since the last
evaluation.
All Participating Institutions are informed, through the EHC
progress report, of the authors and institutions proposed for the
drafting of the documents. A comprehensive file of all comments
received on drafts of each EHC monograph is maintained and is
available on request. The Chairpersons of Task Groups are briefed
before each meeting on their role and responsibility in ensuring
that these rules are followed.
IPCS TASK GROUP ON ENVIRONMENTAL HEALTH CRITERIA FOR
CHLORENDIC ACID AND ANHYDRIDE
Members
Dr L.A. Albert, Xalapa, Veracruz, Mexico (Vice-Chairman)
Dr S.K. Kashyap, Director, National Institute of Occupational
Health, Ahmedabad, India
Mr H. Malcolm, Institute of Terrestrial Ecology, Monks Wood
Experimental Station, Huntingdon, United Kingdom (part-time)
Dr K. Peltonen, Institute of Occupational Health, Helsinki,
Finland
Professor Wai-On Phoon, Worksafe Australia and Department of
Occupational Health, University of Sydney, Sydney, Australia
(Chairman)
Mr D.J. Reisman, US Environmental Protection Agency,
Cincinnati, USA
Dr E. Soderlund, National Institute of Public Health, Oslo,
Norway
Dr G.J. van Esch, Bilthoven, Netherlands (Rapporteur)
Observers
Mr P.C. Schreiber, Occidental Chemical, Genk, Belgium
Secretariat
Dr K.W. Jager, International Programme on Chemical Safety,
World Health Organization, Geneva, Switzerland
Mr J. Wilbourn, International Agency for Research on Cancer
(IARC), Lyon, France
ENVIRONMENTAL HEALTH CRITERIA FOR CHLORENDIC ACID AND ANHYDRIDE
A WHO Task Group on Environmental Health Criteria for Chlorendic
Acid and Anhydride met at the World Health Organization, Geneva, from
12 to 16 December 1994. Dr K.W. Jager, IPCS, welcomed the
participants on behalf of Dr M. Mercier, Director of the IPCS, and the
three IPCS cooperating organizations (UNEP/ILO/WHO). The Group
reviewed and revised the draft monograph and made an evaluation of the
risks for human health and the environment from exposure to chlorendic
acid and anhydride.
The first draft of the monograph was prepared by Dr G.J. van
Esch, Bilthoven, Netherlands. The second draft, incorporating
comments received following circulation of the first draft to the IPCS
contact points for Environmental Health Criteria monographs, was
prepared by the IPCS Secretariat.
Dr K.W. Jager and Dr P.G. Jenkins, both of the IPCS Central Unit,
were responsible for the scientific content of the monograph and
technical editing, respectively.
The fact that industry made available to the IPCS and the Task
Group their proprietary toxicological information on the products
under discussion is gratefully acknowledged. This allowed the Task
Group to make its evaluation on a more complete database.
The effort of all who helped in the preparation and the
finalization of the document is gratefully acknowledged.
INTRODUCTION
Chlorendic acid and anhydride are important flame retardants.
However, it should be noted that the IPCS is preparing several other
EHC monographs on flame retardants, which will provide additional
information relevant to chlorendic acid and anhydride.
There will be one monograph, Flame Retardants - A General
Introduction (in preparation), giving a general introduction to the
use, the mode of action, and the potential risks of flame retardants.
It will list the substances used as flame retardants and give a
general indication of the data available on them.
Some flame retardants in wide use have been discussed in separate
monographs, e.g., EHC 162: Brominated diphenyl ethers (IPCS, 1994a)
and EHC 172: Tetrabromobisphenol-A and derivatives (IPCS, 1995a).
Certain flame retardants considered hazardous for humans and the
environment have also been reviewed in separate monographs e.g., EHC
152: Polybrominated biphenyls (IPCS, 1994b), and EHC 173: Tris-
and bis(2,3-dibromopropyl) phosphate (IPCS, 1995b).
Because of the possibility of the formation of halogenated
dibenzodioxins and dibenzofurans under certain circumstances, such as
pyrolysis, the following monographs have been developed: EHC 88:
Polychlorinated dibenzodioxins and dibenzofurans (IPCS, 1989) and
Polybrominated dibenzodioxins and dibenzofurans (in preparation).
The reader should consult these monographs for further
information.
Whatever their use, flame retardants will ultimately end up in
the environment, either as such or as breakdown products. The
ultimate breakdown products and their levels will differ according to
whether they have been used as reactives or as additive flame
retardants.
In order to make a proper hazard assessment for humans and the
environment, it is essential that, apart from toxicity and ecotoxicity
data, the following are available:
- data on the ultimate fate of the substance under various use and
disposal conditions, including incineration, and on its breakdown
products; and
- adequate data on the persistence and bioaccumulation/
biomagnification of the substance and its breakdown products.
1. SUMMARY AND EVALUATION; CONCLUSIONS AND RECOMMENDATIONS
1.1 Summary and evaluation
1.1.1 Physical and chemical properties
Chlorendic acid (commercial grade 99.5%) and chlorendic anhydride
(technical grade 97%) are closely related white crystalline materials.
Structurally they are closely related to the chlorinated cyclodiene
insecticides. When chlorendic acid is heated in an open system it
loses water, forming chlorendic anhydride. Chlorendic anhydride can
be hydrolysed rapidly to chlorendic acid. The melting points range
from 208°C (acid) to 235°C (anhydride).
1.1.2 Production and use
Chlorendic acid and chlorendic anhydride are mostly used as
reactive flame retardants in polyester resins and plasticizers for
electrical systems and paints, and in fibreglass-reinforced resins for
chemical process equipment. In the textile industry they have been
used in the past as finishing treatment for wool fabrics and carpets.
The combined worldwide production for chlorendic acid and
anhydride is at present around 4000 tonnes per year.
1.1.3 Environmental transport, distribution and transformation
Chlorendic acid may be released via hydrolytic degradation of
polyesters and as an oxidation product of chlorinated cyclodiene
insecticides.
Ultraviolet light degrades chlorendic acid with a half-life of 16
days in a solid thin layer and 5 days in an aqueous solution. In soil
the half-life ranges from 140 to 280 days. Chlorendic acid is fairly
persistent in soil, although the data available on this subject are
inadequate.
No data are available on bioaccumulation and biomagnification
potential or on ultimate fate following use.
Exposure to chlorendic anhydride is likely to lead to exposure to
chlorendic acid due to hydrolysis of the former.
1.1.4 Environmental levels and human exposure
Chlorendic acid has been found in landfill leachate at
concentrations up to 455 mg/litre.
1.1.5 Kinetics and metabolism in laboratory animals
After oral and intravenous administration of radiolabelled
chlorendic acid to rats, the substance was rapidly distributed
throughout the body and rapidly metabolized. More than 90% of the
radiolabel was excreted within 24 h in the faeces, mainly in a
conjugated form. Only 3-6% was excreted in urine. The highest
concentrations of radiolabel were found in adipose tissue, liver,
kidneys, whole blood and lung.
A similar pattern was found in the rat in a gavage study with
chlorendic anhydride. The half-life of the radiolabel in this latter
study was less than 2 days, except for fat, where it was 22.5 days.
No data on kinetics following the dermal or inhalation routes are
available.
1.1.6 Effects on laboratory mammals and in vitro test systems
The acute oral toxicity of chlorendic acid is low; the LD50 for
the rat is 1770 mg/kg body weight. In the case of chlorendic
anhydride, the oral LD50 for rats is 2480 mg/kg body weight.
The acute dermal LD50 of crude chlorendic anhydride in rabbits
is > 3000 mg/kg body weight.
The 4-h dust inhalation LC50 of chlorendic acid in rats is >
0.79 mg/litre.
Chlorendic acid and anhydride are skin irritants and severe eye
and respiratory tract irritants in the rabbit. Chlorendic anhydride
is a skin sensitizer in guinea-pigs, but one test with chlorendic acid
gave a negative result.
A no-observed-effect level (NOEL) of 2500 mg/kg diet (equivalent
to 250 mg/kg body weight) was found in a 13-week feeding study using
chlorendic acid in mice; in rats the NOEL in a similar feeding study
was 1250 mg/kg diet (equivalent to 62.5 mg/kg body weight). At higher
doses growth depression was significant and microscopic changes were
seen in the liver.
In a 90-day feeding study on rats with chlorendic anhydride, the
NOEL was 125 mg/kg body weight per day, and in a 3-week dermal study
it was 100 mg/kg body weight/day (apart from skin irritation). No
NOEL could be established in a 28-day dust inhalation study on rats.
A teratogenicity study on rats with chlorendic anhydride,
administered orally by gavage at dose levels of up to 400 mg/kg body
weight on gestational days 6-15, showed maternal toxicity but no
teratogenic effects.
Chlorendic acid was tested for mutagenic potential in five
strains of Salmonella typhimurium in the presence and absence of an
exogenous metabolism system. Negative results were obtained at dose
levels up to 7690 µg/plate. A mouse lymphoma mutation assay in the
absence of an exogenous metabolism system was positive. The dose
levels tested were 1300 to 1700 µg/ml. The highest dose level was
cytotoxic.
Chlorendic acid was positive in a transformation assay using
BALB/c3T3 cells without metabolic activation, and was negative in a
test for sex-linked recessive lethal mutations in male Drosophila
melanogaster. Chlorendic acid did not give an increase of
replicative DNA synthesis after oral or subcutaneous application of
450 or 900 mg/kg body weight to F-344 rats.
In tests of chlorendic anhydride with five strains of Salmonella
typhimurium and one strain of the yeast Saccharomyces cerevisiae, at
dose levels of up to 7500 µg/plate, no mutagenic potential was found.
It did not induce forward mutation in a mouse lymphoma test and was
negative in a transformation assay in BALB/c3T3 cells. It produced
significant unscheduled DNA synthesis in human WI-38 cells. In a
dominant lethal assay, mice were exposed to single doses of up to
223 mg chlorendic anhydride/kg body weight, followed by a breeding
period of 7 weeks. Only a statistically significant decrease in the
fertility index, relative to controls, for all females mated to
treated males during week 5, and for females mated to mid-dose level
males during week 4, was observed. No effects were seen on the number
of implantations, resorptions or dead implants. It was concluded
that this test yielded negative results, although the study design was
inadequate.
Chlorendic acid was tested for carcinogenic potential in F- 344/N
rats at dose levels of 620 and 1250 mg/kg diet (equivalent to 31 and
62.5 mg/kg body weight). In addition to significant non-neoplastic
changes in a number of organs, such as cystic degeneration and focal
cellular changes, and bile duct hyperplasia in the liver, increases in
the incidence of hepatocellular adenomas in treated males and
hepatocellular adenomas and carcinomas, significant at the highest
dose level, in females were found. Furthermore, slight increases in
acinar cell adenomas of the pancreas and alveolar/bronchiolar adenomas
in the lung were found in the males.
Chlorendic acid tested in B6C3F1 mice fed diets containing 620
and 1250 mg/kg diet (equivalent to 62 and 125 mg/kg body weight)
showed an increased incidence of necrosis and mitotic alteration in
the liver. An increase in the incidence of hepatocellular adenomas
and carcinomas was found in males at both dose levels. An increased
incidence of alveolar/bronchiolar adenomas or carcinomas was found in
females.
Studies were carried out to investigate the mechanisms of
carcinogenesis using an initiation/promotion assay, the partial
hepatectomy model and the neonatal model. The tests showed that
chlorendic acid has promoting activity.
1.1.7 Effects on humans
No data concerning effects on humans are available.
1.1.8 Effects on other organisms in the laboratory and field
Chlorendic acid has been reported to exert toxic effects on algae
at 250 mg/litre. Effects reported include inhibition of microfaunal
activity, decreased production of oxygen and decreased respiration.
Toxic effects were not reported in algae exposed to 125 mg chlorendic
acid/litre or in algae exposed to chlorendic anhydride. The toxic
effects reported in algae have been attributed to pH change rather
than direct toxicity of chlorendic acid. At low pH values, chlorendic
acid exists in the non-ionized form, which may exert direct toxic
effects.
Effects of chlorendic acid have been reported for a single
species of terrestrial plant. Inhibition of both growth and seed
germination was reported following exposure to 0.1 mg/litre or more,
but no effects were reported following exposure to 0.01 mg/litre.
The 48-h LC50 for Daphnia magna was 110.7 mg chlorendic
anhydride/litre, and the 96-h LC50 for both rainbow trout and
bluegill sunfish was 422.7 mg/litre.
The potential effects of chlorendic anhydride on organisms in the
environment cannot be evaluated without data on the concentrations and
fate processes of this compound in environmental compartments.
1.2 Conclusions
The database on chlorendic acid and chlorendic anhydride is far
from being complete. For several studies no full reports (only
abstracts) were available to the Task Group. In particular, no data
are available on the ultimate fate of the substances as such or in
their reacted form, nor are data available on the bioaccumulation and
biomagnification potential. Moreover, data on the exposure of humans
and of organisms in the environment are lacking.
Both substances seem to have low acute and subacute oral
toxicity, but they are dermal, eye and respiratory irritants. From
the results of long-term toxicity/carcinogenicity studies with
chlorendic acid on rats and mice, it is concluded that chlorendic acid
induces tumours in rats and mice and is, therefore, considered to have
a carcinogenic potential. However, a full hazard assessment for
humans and the environment cannot be made in view of the lack of data.
The present database is inadequate to support the commercial use
of chlorendic acid and anhydride.
1.3 Recommendations
1.3.1 Protection of human health and the environment
a) Exposure of the general population to chlorendic acid, chlorendic
anhydride and products derived from them should be minimized.
b) Chlorendic acid and anhydride must be used only in closed systems
to prevent exposure to the vapour and dust. Workers producing
and handling these substances should be properly trained in
safety procedures. They should be protected from exposure with
adequate engineering controls and appropriate industrial hygiene
measures.
c) Disposal of chlorendic acid and anhydride and their waste
products must be by methods which ensure that the general
population cannot be exposed and that exposure of the environment
is minimized.
1.3.2 Further research
a) The database should be completed with adequate data on:
i) the ultimate fate of these substances as such or in their
reacted form;
ii) bioaccumulation and biomagnification potential;
iii) human and environmental exposure data;
b) Studies should be carried out on the combustion products of
materials prepared or treated with the acid or the anhydride, on
their toxicity by inhalation, and on the potential of these
combustion products for environmental contamination.
c) The concentrations of chlorendic acid and anhydride in
environmental compartments should be measured, or at least
predicted, using available models.
d) Data on the presence of chromosomal aberrations in a metaphase
analysis study should be generated. Some in vivo mutagenicity
data will be required before a full hazard assessment can be
made.
e) A three-generation reproduction study should be conducted.
f) The carcinogenic mechanism for both substances should be
clarified.
2. IDENTITY, PHYSICAL AND CHEMICAL PROPERTIES, AND ANALYTICAL
METHODS
Chlorendic acid and chlorendic anhydride are closely related
compounds. When chlorendic acid is heated in an open system it loses
water and forms chlorendic anhydride. Chlorendic anhydride can be
hydrolysed to chlorendic acid (Yu & Atallah, 1977a; Antonov, 1980;
Larsen, 1980).
Exposure to chlorendic anhydride is likely to lead to exposure to
chlorendic acid due to hydrolysis of the former (IARC, 1990).
2.1 Chlorendic acid
2.1.1 Identity
2.1.1.1 Primary constituent
Chemical formula: C9 H4 Cl6 O4
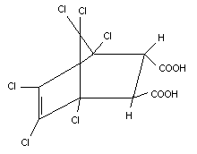
Chemical structure:
Chemical names: - 1,4,5,6,7,7,-hexachloro-
bicyclo[2,2,1]hept-5-ene- endo
cis-2,3-dicarboxylic acid (CAS);
- 1,4,5,6,7,7-hexachloro-5
norbornene- endo-cis-2,3-
dicarboxylic acid (IUPAC);
- 1,4,5,6,7,7,-hexachloro-bicyclo
[2,2,1]-5-heptene-2,3-dicarboxylic
acid;
- hexachloro- endo-methylene-
tetrahydrophthalic acid.
Common name: chlorendic acid
Trade name: HET acid
Relative molecular mass: 388.87
CAS number: 115-28-6
2.1.1.2 Technical product
Both chlorendic acid and chlorendic anhydride have similar
chemical structure, using the same building blocks (hexachloro-
cyclopentadiene and maleic anhydride) in their production processes.
Both products are manufactured in a closed system by a Diels-Alder
reaction. The solvent used in the two processes differs. Chlorendic
anhydride will form chlorendic acid in the presence of water (Yu &
Atallah, 1977a; Occidental Chemical, 1988).
Chlorendic acid has only one commercial grade of high purity
(99.5%). Common impurities are as follows:
unreacted maleic anhydride < 0.25%
Fe < 1 ppm
hexachlorocyclopentadiene < 50 ppm
moisture < 1%
other volatiles < 0.25%
(Occidental Chemical, 1988).
2.2 Chlorendic anhydride
2.2.1 Identity
2.2.1.1 Primary constituent
Chemical formula: C9H2Cl6O3
Chemical structure:
Chemical names: - 4,5,6,7,8,8-hexachloro-3a,4,7,7a-
tetrahydro-4,7-methano
isobenzofuran-1,3-dione (CAS);
- 1,4,5,6,7,7-hexachloro- endo-5-
norbornene-2,3-dicarboxylic
anhydride;
- hexachloro- endo-methylene
tetrahydrophthalic anhydride;
- 1,4,5,6,7,7-hexachloro- endo-
bicyclo[2,2,1]-hept-5-ene-2,3
dicarboxylic anhydride.
Common names: chlorendic anhydride
Trade name: HET anhydride (this name is no longer
used)
Relative molecular mass: 370.86
CAS number: 115-27-5
RTECS number: RB 9080000
2.2.1.2 Technical product
Chlorendic anhydride is available in two main grades "Refined"
and "Technical", the latter being more commonly used.
Depending on the grade, the purity varies from 95% to 97%.
Therefore, common impurities and volatile compounds are higher in
chlorendic anhydride than in chlorendic acid (Velsicol Chemical Corp.,
1982).
2.3 Physical and chemical properties
2.3.1 Chlorendic acid
Chlorendic acid is a hexachloro-norbornene compound, structurally
related to the chlorinated cyclodiene insecticides such as aldrin,
dieldrin, endrin, isodrin, endosulfan, chlordane and heptachlor. It
is a fine white anhydrous non-dusting crystalline powder that is
slightly soluble in water (0.35% by weight at 22.8°C) and non-polar
organic solvents (benzene (0.81%), carbon tetrachloride (0.21%),
n-hexane (0.2%) and linseed oil (9.65%)) and is readily soluble in
more polar organic solvents (e.g., methanol, ethanol and acetone).
The chlorine content is 54.7% (US NTP, 1987; Occidental Chemical,
1988).
Melting point: 208-210°C (sealed tube); 230-235°C (open
tube); conversion to the anhydride occurs prior
to melting (Gupta et al., 1978; Occidental
Chemical, 1987).
Stability: The acid loses water in a heated open system,
tends to discolour and forms the anhydride,
which melts at 230-235°C (Gupta et al., 1978).
It emits chlorine when heated to decomposition
at temperatures above 200°C (Occidental
Chemical, 1987). Chlorendic acid is very
resistant to hydrolytic dechlorination, readily
forms salts with a variety of metals, forms
esters by heating with or without azeotropic
solvent (e.g., chlorobenzene) and readily forms
alkyl-type polyester resins by reaction with
glycols and other polyols (Kirk-Othmer, 1981).
n-Octanol/water 2.30 (Chemical Information Systems, 1988)
partition co- 2.21 (Yu & Atallah, 1977b)
efficient (log Poct/w):
2.3.2 Chlorendic anhydride
Chlorendic anhydride is a white crystalline substance with a
melting point of 230-235°C (US NTP, 1987). Commercial chlorendic
anhydride contains 1-3% chlorendic acid (Velsicol Chemical Corp.,
1982).
In aqueous solution, chlorendic anhydride is rapidly hydrolysed
to chlorendic acid, with a half-life of approximately one hour (Yu &
Atallah, 1977a).
Chlorendic anhydride will react almost quantitatively with excess
methanol to form monomethyl chlorendate (Yu & Atallah, 1977a).
The partition coefficient for 1,2-dichlorobenzenea/water is
0.49 (Yu & Atallah, 1977b).
2.4 Analytical methods
Chlorendic acid may be determined by extraction with methanol and
methylation with either 20% BF3/methanol (Occidental Chemical, 1986)
or diazomethane (Pilenkova & Fatyanova, 1980). The dimethyl ether is
then determined by gas chromatography with electron capture detection
after separation in packed columns (3% OV-1 on Chromosorb WHP, 80/100)
or in capillary columns (Occidental Chemical, 1986).
The acid may also be analysed directly by C18 reverse phase
HPLC elution with water/acetonitrile/acetic acid and ultraviolet
detection at 222 nm (Dietz et al., 1993). The detection limit for
this method is 200 µg/litre with an average recovery of over 95%.
The earlier gas chromatography methods for direct analysis of the
acid are not to be recommended.
The anhydride may be analysed by extraction and hydrolysis to the
acid (Pilenkova & Fatyanova, 1980). The acid can then be analysed by
any of the methods described above.
a 1,2-dichlorobenzene and n-octanol have similar dielectric
constants; chlorendic anhydride would react with n-octanol to
form a chlorendate.
2.4.1 Air sampling
Air concentrations of chlorendic acid and chlorendic anhydride
can be measured by trapping the compounds on a glass-fibre filter. A
portable pump is used to suck the air at a flow rate of 1 to 2
litre/min for 8 h. The samples are desorbed into methanol and can be
analysed as described above (Occidental Chemical, 1986).
3. SOURCES OF HUMAN AND ENVIRONMENTAL EXPOSURE
3.1 Natural occurrence
Chlorendic acid and chlorendic anhydride are not known to occur
as natural products.
3.2 Anthropogenic sources
3.2.1 Production levels and processes
Chlorendic acid and chlorendic anhydride production levels peaked
in 1984 at an estimated annual volume of 6000 tonnes (US ITC, 1988).
Since then, production levels have continuously declined, the 1993
estimated worldwide volume being 4000 tonnes.
Both products are prepared in a closed system, using the
Diels-Alder reaction of hexachlorocyclopentadiene with maleic
anhydride. The solvent used in the production process of the two
products differs. The hydrolysis of the anhydride will lead to
chlorendic acid having a higher purity than the anhydride form.
Chlorendic acid is currently manufactured in Belgium, and this is
the sole production source in the world.
Chlorendic anhydride is produced only by one supplier located in
the USA.
3.2.2 Uses
Chlorendic acid and chlorendic anhydride are reactive chemical
intermediates used primarily in the preparation of flame-retardant
polyester resins and plasticizers. They are among the most reactive
flame retardants in use. Both are used as chemical intermediates in
the manufacture of corrosion-resistant (unsaturated) polyester resins
with special applications in electrical systems, panelling,
engineering, plastics and paints (Makhoulf, 1982). A major market is
in fibreglass-reinforced resins for process equipment in the chemical
industry. Chlorendic acid is also used to impart flame resistance to
polyurethane foams when reacted with non-halogenated glycols to form
halogenated polyols. In addition, it can be used in the manufacture
of alkyl resins for special paints and inks. As an additive, it is
used in acrylonitrile-butadiene-styrene copolymer (ABS) and
polypropylene, but only in very limited amounts (Gupta et al., 1978;
Larsen, 1980; Talbot, 1984; Occidental Chemical, 1988).
The double bond in chlorendic acid is not reactive as a
cross-linkage site. Hence, reactive chemicals, such as maleic
anhydride, glycols and styrene monomers, must be included in the
polyester backbone to achieve cross-linkage (Gupta et al., 1978;
Larsen, 1980; Talbot, 1984).
In Europe, 80% of chlorendic acid is used in composites for the
building or transportation market where flame retardancy is required.
The remainder is used in composites for the manufacture of
anti-corrosion equipment such as tanks, piping and scrubbers. In the
USA, Latin America and S.E. Asia, the usage pattern is reversed:
70-80% is for the anti-corrosion market and 20-30% is for flame
retardant applications (Occidental Chemical, 1988).
3.2.3 Contamination of the environment
Chlorendic acid may be released, via hydrolytic degradation of
polyesters, to the environment (soil and water) after their disposal
(US NTP, 1987).
Chlorendic acid is also an oxidation product of endosulfan,
chlordane, heptachlor, aldrin, dieldrin, isodrin and endrin, and their
metabolites (Martens, 1972; Cochrane & Forbes, 1974; Menzie, 1978); it
could, therefore, appear in the environment from sources other than
direct fugitive emissions. It may also enter the environment after
oxidation of other hexachlorocyclopentadiene-derived products.
Chlorendic acid may also enter the aquatic environment in
wastewater from flame-proofing processes in the textile industry
(Friedman et al., 1973, 1974).
4. ENVIRONMENTAL TRANSPORT, DISTRIBUTION AND TRANSFORMATION
4.1 Transport and distribution between media
No data on transport and distribution between media are
available.
4.2 Transformation
4.2.1 Biodegradation
Studies on Clostridium butyricum indicate that chlorendic acid
is resistant to hydrolytic dechlorination and that it is not easily
degradable (Schuphan & Ballschmiter, 1972).
4.2.2 Abiotic degradation
4.2.2.1 Chlorendic acid
From a comparison of the characteristics of the cyclodiene
derivatives, chlorendic acid would be expected, on theoretical
grounds, to degrade by direct photolysis or by reactions with hydroxyl
radicals and ozone (Parlar & Korte, 1977).
An experimental study was conducted to investigate the use of
ozone to dechlorinate chlorendic acid. The dechlorination and
subsequent degradation of chlorendic acid by ozonation was influenced
by the pH, applied ozone dose and bicarbonate concentration. A change
in the initial chlorendic acid concentration to 50, 100 and
200 mg/litre did not influence the rate of degradation of chlorendic
acid. Ultraviolet (UV) radiation alone dechlorinates chlorendic acid.
UV radiation was also shown to greatly enhance the oxidation of
chlorendic acid in the presence of ozone. In a typical case, 80%
dechlorination of chlorendic acid was obtained in 60 min when using an
ozone dose of 125 mg/min ozone at pH 7.4. Conditions favouring
radicals in solution, such as high pH and exposure to UV light,
resulted in much faster dechlorination. The conditions which did not
favour radicals, such as low pH and the addition of bicarbonate,
resulted in slower dechlorination (Stowell & Jensen, 1991).
The photolysis of chlorendic acid by UV light and sunlight has
been determined on solid surface and in aqueous solution. On a solid
surface, chlorendic acid was degraded by UV light (half-life = 16
days) to a number of unknown products. The irradiation of chlorendic
acid in aqueous solution with UV light showed that the half-life in
this system was 5 days (Yu & Atallah, 1978).
In soil, the half-life of 14C-chlorendic acid was found to be
140 ± 37 days at a soil concentration of 1 mg/kg and 280 ± 35 days at
10 mg/kg. However, it should be noted that the labelled carbon atoms
were those in the chlorinated bicycloheptene ring and that these
half-lives are more representative of that moiety than of chlorendic
acid itself. Chlorendic acid can thus be considered fairly persistent
in soil (Butz & Atallah, 1979a).
4.2.2.2 Chlorendic anhydride
In aqueous solution, chlorendic anhydride is rapidly hydrolysed
to chlorendic acid, with a half-life of approximately one hour (Yu &
Atallah, 1977a).
The photolysis of chlorendic anhydride by UV light and sunlight
has been investigated. On a solid surface, chlorendic anhydride
rapidly absorbed water and was hydrolysed to chlorendic acid.
Irradiation of chlorendic anhydride with sunlight on a thin-layer
plate resulted in the formation of chlorendic acid and an unknown
compound (Yu & Atallah, 1978).
4.2.3 Bioaccumulation and biomagnification
The octanol/water partition coefficient of chlorendic acid was
found to be 2.21, and the 1,2-dichlorobenzene/water partition
coefficient for chlorendic anhydride was found to be 0.49. Chlorendic
anhydride rapidly converts to chlorendic acid and, as a result, will
not bioconcentrate (Yu & Atallah, 1977a). The results indicate that
neither chemical is likely to bioconcentrate in the environment (Yu &
Atallah, 1977a,b).
No actual measured levels are available.
4.3 Ultimate fate following use
No data on ultimate fate following use are available.
5. ENVIRONMENTAL LEVELS AND HUMAN EXPOSURE
Chlorendic acid has been found in landfill leachate in the USA
at concentrations up to 455 mg/litre. After treatment by powdered
activated charcoal in sequencing batch reactors, the concentration of
chlorendic acid was reduced to 51 mg/litre in the effluent (Ying et
al., 1987).
6. KINETICS AND METABOLISM IN LABORATORY ANIMALS
6.1 Chlorendic acid
6.1.1 Absorption, distribution and elimination
6.1.1.1 Oral administration
After oral administration of 14C-chlorendic acid (99%), in a
solution of "Emulphor", ethanol and water, at 3 mg/kg body weight to
male F-344/N rats, the compound was rapidly distributed, metabolized
and eliminated. Approximately 78% of a single oral dose was excreted
as conjugates in faeces within 24 h. The conjugates were resistant to
beta-glucuronidase or arylsulfatase. Biliary excretion was the
primary route of removal of the radioactivity from the liver. Only
3-6% was eliminated in the urine (Decad & Fields, 1982).
14C-Chlorendic acid was administered orally (0.5-56 mg/kg body
weight) to male rats to study the distribution and elimination. A
mean total of 90% of the dose was recovered in excreta over 48 h and
no major changes in the routes of elimination were observed over the
dose range investigated. The major route of elimination was via
faeces (87%), while 3% was excreted in urine. Expired air accounted
for less than 0.5% of the radioactivity. After 48 h, the
radioactivity in the liver increased in proportion to the dose, but
there was no evidence of accumulation over the dose range studied. In
general the concentrations in the other organs and tissues showed the
same tendency, but the concentrations of radioactivity were about 4 to
5 times lower in the kidneys, whole blood and plasma, and lung than
they were in the liver. The other organs contained at least 10 times
lower concentrations.
Liver extracts of the animals exposed to 3 and 56 mg/kg showed
unchanged chlorendic acid and at least one unidentified metabolite
(Gurba et al., 1990).
6.1.1.2 Intravenous administration
After intravenous administration of 14C-chlorendic acid (99%)
in a solution of "Emulphor", ethanol and water, at 3 mg/kg body weight
to male F-344 rats, the compound was rapidly distributed, metabolized
and eliminated. The main route of elimination was via the faeces.
The liver, blood, muscle, skin and kidneys were the most important
depots for chlorendic acid, especially during the first hours. More
than 50% of the total dose was found in the liver within 15 min.
Radioactivity was rapidly removed from this organ and, by 7 h after
the administration, less than 4% was present. Biliary excretion was
the primary route of removal of the radioactivity from the liver.
This decrease followed a single-component exponential curve. The
half-life of chlorendic-acid-derived radioactivity from liver into
bile was 1.19 h. The half-life for blood was 0.84 h, for muscle tissue
0.57 h and for skin 0.6 h. Other organs had only low levels of
radioactivity, except for the adrenals. These organs had a greater
specific activity than the liver for the first 3 h (Decad & Fields,
1982).
6.2 Chlorendic anhydride
6.2.1 Absorption, distribution and elimination
The pharmacokinetics of chlorendic anhydride was evaluated in
four male and eight female Holzman's albino rats that ingested
14C-chlorendic anhydride via gavage in a single dose of 3.65 (Group
1: 2 females), 4.00 (Group 2: 4 females), 5.55 (Group 3: 2 females) or
3.62 mg/kg (Group 4: 4 males). Blood was drawn from females treated
with 4 mg/kg at 1, 4, 8, 17, 24, 48, 72 and 96 h after dosing. Urine
and faeces were collected daily in the Group 1, 3 and 4 rats. Animals
were sacrificed 17, 96, 192 and 192 h, respectively, after treatment,
and selected tissues were excised. Regardless of sex, the primary
route of excretion was the faeces, 70% of the administered dose being
eliminated within the first 72 h. Only 10% of the administered dose
was eliminated in the urine. After 192 h, the maximum residues
present in any tissue were less than 0.1 mg/kg, with the exception of
the fat (0.121 mg/kg) and liver (0.296 mg/kg). The blood
concentration of chlorendic anhydride peaked one hour after dosing and
was significantly decreased by 96 h. The absorption of chlorendic
anhydride followed the two-compartment open model. The first
compartment was suggested to consist of the blood and selected tissues
which equilibrated rapidly, while the second compartment consisted of
the fat which was slow in equilibrating and considered a deep
reservoir. The half-life of the radiocarbon was less than 2 days
except in fat (22.5 days) (Diaz & Atallah, 1978).
7. EFFECTS ON LABORATORY MAMMALS AND IN VITRO TEST SYSTEMS
7.1 Single exposure
7.1.1 Oral exposure
7.1.1.1 Chlorendic acid
The acute oral LD50 of chlorendic acid in rats (strain
unspecified) was found to be 1770 mg/kg body weight (US NTP, 1987).
The acute oral toxicity was evaluated in Charles River-CD male rats
(number not reported) administered single doses of chlorendic acid, as
a solution in acetone-peanut oil (1+9), by oral gavage at levels of
1.5, 2, 12, 130, 670, 1000, 1500, 2250, 3400 and 5000 mg/kg body
weight. Mortality was observed at 2250 mg/kg or more. Clinical
observations included discomfort, inactivity, irregular respiration,
and weight loss. Gross necropsy was not reported (personal
communication from E.I. du Pont de Nemours and Co. to the IPCS).
7.1.1.2 Chlorendic anhydride
The acute oral LD50 of crude chlorendic anhydride in albino
rats was found to be 2480 mg/kg body weight (Trzyna & Paa, 1975).
7.1.2 Dermal exposure
7.1.2.1 Chlorendic anhydride
The acute dermal LD50 of crude chlorendic anhydride in albino
rabbits was found to be > 3000 mg/kg body weight (Trzyna & Paa,
1975).
7.1.3 Inhalation exposure
7.1.3.1 Chlorendic acid
The acute inhalation toxicity of chlorendic acid was evaluated in
groups of six male Charles River-CD rats exposed to chlorendic acid at
chloride concentrations of 0.064, 0.066 or 0.102 mg/litre under
nitrogen, and at chloride concentrations of 0.065 or 0.095 mg/litre
under air for 4 h. The test atmosphere was generated by passing
metered houseline air or nitrogen through a three-neck flask
containing the test material heated to 100°C. Mortality was observed
in one animal in the 0.066-mg/litre group, all six in the
0.102-mg/litre group, three in the 0.065-mg/litre group, and all six
in the 0.095-mg/litre group. The approximate lethal concentration was
reported to be 0.066 mg/litre under nitrogen and 0.095 mg/litre under
air. Clinical observations included lacrimation, irregular breathing,
paleness, gasping, congestion, bloody nose, hyperaemia and weight
loss. Histopathological examination revealed severe pulmonary
irritation (personal communication from E.I. du Pont de Nemours and
Co. to the IPCS).
An acute inhalation toxicity study was conducted with five female
and five male Charles River-CD rats administered chlorendic acid dust
at a maximum attainable concentration of 0.79 mg/litre of air in a
80-litre dynamic air flow chamber for 4 h. No deaths or toxic signs
were observed during the exposure or during the 14-day observation
period. The average 2-week body weight gains were within normal
limits. Necropsy of animals did not reveal any gross pathological
alterations (Kinert & Goode, 1975).
7.1.3.2 Chlorendic anhydride
In a 4-h vapour inhalation study with crude chlorendic anhydride
in albino rats, the acute LC50 was found to be > 5.27 mg/litre.
The observation period was 14 days (Myers & Goode, 1975).
An acute inhalation toxicity study was conducted with five male
and five female Charles River CD rats given whole body exposure to the
dust of chlorendic anhydride in a dynamic air flow chamber for 1 h.
The chamber dust concentration was calculated to be 203 mg/litre. All
animals survived the exposure and subsequent 14-day observation
period. After 30 min of exposure, six rats exhibited salivation, and
by the end of the exposure all animals exhibited salivation and one
animal exhibited nasal discharge. After exposure, all animals
appeared normal (Leong et al., 1978).
7.2 Short-term exposures
7.2.1 Oral
7.2.1.1 Mice
Four or five male and five female B6C3F1 mice (6-7 weeks old)
were fed diets containing 0, 3100, 6200, 12 500, 25 000 or 50 000
mg/kg diet (equivalent to 0, 310, 620, 1250, 2500 or 5000 mg/kg body
weight) chlorendic acid for 14 days. With the highest dose, the mice
lost weight and four out of five males died. Mice receiving diets
with 6200 mg/kg diet or more gained less weight than the controls. No
treatment-related gross lesions were observed at necropsy (US NTP,
1987).
Four-week-old male and female B6C3F1 mice were administered a
diet containing 0, 1250, 2500, 5000, 10 000 or 20 000 mg/kg diet
(equivalent to 0, 125, 250, 500, 1000 or 2000 mg/kg body weight)
chlorendic acid for 13 weeks. Groups of 10 mice of each sex were used.
Growth depression was seen in all groups, but with 5000 mg/kg diet or
more this effect was significant. Feed consumption was not notably
affected. No evidence of other compound-related effects was seen,
except centrilobular hyperplasia, mitotic alterations and coagulative
necrosis in the liver, especially in the animals given the two highest
dose levels. The NOEL level was established at 250 mg/kg body weight
(US NTP, 1987).
7.2.1.2 Rats
a) Chlorendic acid
Five male and five female F-344/N rats (6-7 weeks old) were fed
diets containing 0, 3100, 6200, 12 500, 25 000 or 50 000 mg/kg diet
(equivalent to 0, 155, 310, 625, 1250 or 2500 mg/kg body weight)
chlorendic acid for 14 days. With the highest dose, three out of five
males and two out of five females died, and with 6200 mg/kg or more
decreased growth was observed. No treatment-related gross
observations were reported (US NTP, 1987).
Four-week-old male and female F-344/N rats (groups of 10 animals
of each sex) were administered diets containing 0, 620, 1250, 2500,
5000 or 10 000 mg/kg diet (equivalent to 0, 31, 62.5, 125, 250 or
500 mg/kg body weight) chlorendic acid for 13 weeks. Growth depression
was seen in both sexes with dose levels of 1250 mg/kg diet or more.
In addition, the food intake was lower, especially in the groups fed
with 2500 mg/kg or more. No abnormalities were seen except changes in
the liver. The changes were hepatocytomegaly, mitosis alteration
(increase in mitotic figures/field and abnormal mitotic figures) and
bile duct hyperplasia in rats with 5000 and 10 000 mg/kg diet
(equivalent to 250 and 500 mg/kg body weight, respectively) (US NTP,
1987).
b) Chlorendic anhydride
Four groups of Charles River CD rats, 15 rats of each sex per
group, were fed diets containing 0, 100, 500 or 2500 mg/kg (equivalent
to 0, 5, 25 or 125 mg/kg body weight per day) chlorendic anhydride for
90 days. They were observed twice daily. Haematological and
biochemical tests and urinalyses were performed at 1, 2 and 3 months
of the study for five rats of each sex per group. Three high-dosed
females died between the fifth and thirteenth week of the study. Mid-
and high-dose males and high-dose females had a decreased food
consumption, and the mean body weight of mid- and high-dose males and
all three treated female groups was decreased, compared to controls.
Treated males and females had elevated serum alkaline phosphatase
activities at 1, 2 and 3 months of the study. The mean absolute heart
weight of male rats and the mean absolute and relative liver weight of
male and female rats were statistically significantly decreased at all
treatment levels. No compound-related gross lesions were seen in any
of the treated rats, and no compound-related microscopic lesions were
seen in 10 males and 10 females from the 2500-mg/kg group (Jefferson &
Goldenthal, 1980).
7.2.2 Dermal
7.2.2.1 Chlorendic anhydride
Four groups of New Zealand White rabbits (4 of each sex per
group) were administered chlorendic anhydride at 0, 100, 500 or
2500 mg/kg body weight per day onto their clipped and/or abraded
backs, 5 days/week for 3 weeks. The compound was wetted with
physiological saline prior to dosing. All rabbits survived the
treatment period. No compound-related changes were seen in urinalysis
and haematological and biochemical investigations. All rabbits in the
high-dose group had decreased body weight. Incidental findings,
mainly in the high-dose group, were diarrhoea, nasal or ocular
discharge, hypoactivity, anorexia and dehydration. One or more signs
of dermal irritation, such as erythema, oedema, atonia, desquamation,
coriaceousness and fissuring, were seen in all groups in a
dose-related matter. Stomach mucosal erosions and ulcerations were
found at necropsy in the two highest exposure groups. Apart from the
skin irritation found at all dosages, the NOEL in this study was
100 mg/kg body weight per day (Goldenthal et al., 1979).
7.2.3 Inhalation
7.2.3.1 Chlorendic anhydride
Four groups of Charles River CD rats (10 of each sex per group)
were exposed to chlorendic anhydride dust for 6 h per day, 5 days/week
during a 28-day experimental period. The average nominal exposure
concentrations were 0, 0.11, 0.99 or 9.97 mg/litre. The median dust
diameter was 6.0 (± 3.16) µm. All animals survived. All animals
exhibited dose-related ocular and nasal irritation as well as
salivation, following the daily exposures. They also exhibited a
dose-related alopecia. Male rats at the highest dose level had
decreased weight gains. Statistical differences were seen in
haematocrit and erythrocyte values (males and females), haemoglobin
(males), leukocytes (females), alkaline phosphatase levels (males and
females) and glucose and serum glutamic pyruvic transaminase levels
(males). Dark red foci and dark red discolouration in the lungs and
dark red or brown foci in the glandular part of the stomach were seen
at necropsy in the treated groups. Relative liver weights of males
were decreased in all treated groups. The absolute and relative
weight of the thyroid glands were decreased in females of the two
highest dose groups. Compound-related microscopic changes of a
haemorrhagic inflammatory nature in the lungs and of an inflammatory
nature in the trachea, nasal turbinates and stomach mucosa occurred in
rats from all treated groups. A NOEL was not established in this
study (Ulrich, 1980).
7.3 Long-term exposure
Data from long-term exposure studies are given in section 7.7.
7.4 Skin and eye irritation; sensitization
7.4.1 Chlorendic acid
Repeated application of chlorendic acid (as a powder or as a
solution in dimethyl phthalate) to the skin of New Zealand rabbits
caused local skin irritation (Witherup et al., 1965).
Repeated application of chlorendic acid (as a powder or as a 5,
10 or 20% solution in dimethyl phthalate) beneath the eyelids of New
Zealand rabbits caused severe eye irritation (Witherup et al., 1965).
In a skin sensitization test in albino guinea-pigs, chlorendic
acid gave a negative response (Brett, 1975).
7.4.2 Chlorendic anhydride
In a 3-week dermal toxicity study with chlorendic anhydride in
New Zealand White rabbits, it was considered to be a mild skin
irritant (see section 7.2.2) (Goldenthal et al., 1979).
Chlorendic anhydride was severely irritating to the eyes of
albino rabbits (Trzyna & Paa, 1975).
In a dermal sensitization study in albino guinea-pigs, chlorendic
anhydride produced a positive response, and it has to be considered as
a possible dermal sensitizing agent in humans (Dean & Jessup, 1978).
7.5 Reproductive toxicity, embryotoxicity and teratogenicity
7.5.1 Chlorendic anhydride
The teratogenicity of chlorendic anhydride was evaluated in
pregnant Charles River CD rats (25 per group) exposed orally by gavage
at dose levels of 0, 25, 100 or 400 mg/kg chlorendic anhydride per day
on gestational days 6-15. Cesarean sections were performed on day 20.
Significant differences were observed between treated and control
animals in the following: decreased maternal body weight and weight
gain (high-dose group), fetal sex ratio (low-dose level), and
increased mean number of post-implantation losses (mid- and high-dose
groups). No significant differences were observed between treated and
control animals in the following: mean number of corpora lutea,
viable or non-viable fetuses, mean fetal body weights and fetal
malformations (Goldenthal et al., 1978).
7.6 Mutagenicity and related end-points
7.6.1 Chlorendic acid
Chlorendic acid was not mutagenic in Salmonella typhimurium
strains TA100, TA98, TA1535 and TA1537, in the presence or absence of
an exogenous metabolism system (liver S9 mix induced by Aroclor 1254
in male Sprague-Dawley rats or male Syrian hamsters). Dose levels
tested were 100 to 7690 µg/plate (Haworth et al., 1983; Zeiger, 1990).
The mutagenicity of chlorendic acid was evaluated in S.
typhimurium strains TA1537, TA1538, TA98, TA1535 and TA100, both in
the presence and absence of metabolic activation by rat liver S9
fraction (inducer not reported). Following preliminary toxicity
tests, assays using activation were performed at concentrations of
500, 1000, 1500, 2500, 5000 and 7500 µg/plate and with no activation
at 50, 100, 250, 500 and 750 µg/plate. The test material did not
produce a positive mutagenic response in any bacterial strain, either
with or without activation (Dupont-deNemours, proprietary information
(US EPA, 1982).
Chlorendic acid was tested in the Microscreen prophage-induction
assay in Escherichia coli at seven dose levels ranging from 0.4 to
25.7 mM, with and without metabolic activation. In the repeat study
only, a dubious positive reaction was found at the highest dose level
with activation. In the first test this dose level was toxic
(DeMarini & Brooks, 1992).
Chlorendic acid was mutagenic in the L5178Y/TK+/- mouse lymphoma
assay in the absence of S9 activation. The assay was performed twice
with the same results. Dose levels were 1300 to 1700 µg/ml. The
highest (cytotoxic) dose showed a positive effect; an increase of
total mutant clones, relative total growth depression and increase in
mutation frequency (US NTP, 1987). Similar finding were reported by
McGregor et al., (1988).
Chlorendic acid was positive in a standard transformation assay
using BALB/c-3T3 cells without exogenous activation at concentrations
of 2-4 mM (Matthews et al., 1993).
Chlorendic acid was tested for its ability to induce sex-linked
recessive lethal mutations in post-meiotic and meiotic germ cells of
male Drosophila melanogaster. Chlorendic acid was negative at 2000
and 15 000 mg/kg administered by injection (Foureman et al., 1994).
7.6.2 Chlorendic anhydride
The mutagenicity of chlorendic anhydride was evaluated in
Salmonella tester strains TA98, TA100, TA1535, TA1537 and TA1538,
and the yeast Saccharomyces cerevisiae tester strain D4, both in the
presence and absence of metabolic activation by Aroclor-induced rat
liver S9 fraction. Chlorendic anhydride dimethylsulfoxide (DMSO), at
doses up to 500 µg/plate, did not cause a positive response in any of
the bacterial strains or the yeast strain, either with or without
metabolic activation (Jagannath & Brusick, 1977).
Chlorendic anhydride did not induce forward mutations at the TK
locus in L5178Y mouse lymphoma cells at concentrations up to
0.24 mg/ml without, and up to 0.32 mg/ml with, an S9 activation
system. Toxicity was observed with higher concentrations (Matheson &
Brusick, 1978a).
Chlorendic anhydride was negative in an in vitro malignant
transformation assay in BALB/3T3 cells without exogenous activation at
concentrations of 0.005-0.078 mg/ml. Only at 0.010 mg/ml was a
significant, but non-dose-related, increase in transformation
frequency found (Matheson & Brusick, 1978b).
Chlorendic anhydride produced significant increases in
unscheduled DNA synthesis assay in human WI-38 cells at dose levels up
to 0.5 mg/ml (Matheson & Brusick, 1978c).
The mutagenicity of chlorendic anhydride was evaluated in a
dominant lethal assay using four groups of 20 male CD-1 mice exposed
orally by gavage at dose levels of 0, 22, 74 or 223 mg/kg in a single
exposure (in DMSO vehicle). Following exposure, each male was rested
for 2 days and then mated for 5 days/week with two untreated females
each week for 7 consecutive weeks. Mated females were sacrificed 14
days after the midweek of the mating period. Pregnant females were
scored for dominant lethal indices at mid-pregnancy. A statistically
significant decrease was observed in the fertility index, relative to
controls, for all females mated to treated males during week 5 and
females mated to mid-dose level males during week 4. There were no
differences between females mated to treated and control males with
respect to average number of implantations per pregnant female,
average resorptions per pregnant female, proportions of dead
implants/implants, proportions of females with one or more
resorptions, or proportions of females with two or more resorptions
(Matheson & Brusick, 1978d). Although the study was reported as
giving negative results, there were some statistically non-significant
increases in dead implants per pregnant mouse in females mated at
weeks 2 and 8 at the high dose and at week 5 in the low- and mid-dose
treated mice. However, the study was found to be inadequately
designed.
7.7 Carcinogenicity
7.7.1 Chlorendic acid
7.7.1.1 Mice
Diets containing 0, 620 or 1250 mg chlorendic acid (> 98%)/kg
diet (equivalent to 0, 62 and 125 mg/kg body weight per day) were fed
to groups of 50 male and 50 female B6C3F1 mice for 103 weeks. The
estimated daily intake of chlorendic acid was 89 and 185 mg/kg body
weight for low- and high-dose males and 100 and 207 mg/kg body weight
for low- and high-dose female mice. All survivors were killed at week
112. The mice were 8 weeks old when placed on the diets. Survival
and feed consumption of treated mice of both sexes were similar to
those of controls, although mean body weights of high-dose males and
females were lower than those of the controls. In the liver an
increased incidence of necrosis was observed in dosed male mice
(coagulative necrosis), and mitotic alterations were found in
high-dose female mice. The incidence of hepatocellular adenomas was
increased in males (see Table 1; controls 5/50 (10%), low-dose 9/49
(18%) and high-dose 10/50 (20%) (statistically significant)) and so
was the incidence of hepatocellular carcinomas (male controls 9/50
(18%), low-dose 17/49 (35%) and high-dose 20/50 (40%) (statistically
significant)). Hepatocellular carcinomas metastasized to the lung in
males (controls 2/50 (4%), low-dose 4/49 (8%) and high-dose 7/50
(14%)). The incidence of alveolar/bronchiolar adenomas and carcinomas
(combined) in females was controls 1/50 (2%), low-dose 5/50 (10%) and
high-dose 6/50 (12%). However, the incidence in the concurrent
controls compared with the historical control average was low and the
biological significance of these results is unclear. On the basis of
the results from this study, it was concluded that there was clear
evidence of carcinogenic potential of chlorendic acid in male B6C3F1
mice, as demonstrated by an increase in hepatocellular carcinomas (US
NTP, 1987; Huff et al., 1989; IARC, 1990).
Table 1. Incidence of tumours in B6C3F1 mice (from: US NTP, 1987)
Males Females
Type of tumour
Control 620 mg/kg 1250 mg/kg Control 620 mg/kg 1250 mg/kg
diet diet diet diet
Liver
Hepatocellular adenoma 5/50 (10%) 9/49 (18%) 10/50 (20%)
Hepatocellular carcinoma 9/50 (18%) 17/49 (35%) 20/50 (40%)
Hepatocellular adenoma 13/50 (26%) 23/49 (47%) 27/50 (54%) 3/50 (6%) 7/49 (14%) 7/50 (14%)
or carcinoma
Lung
Alveolar/bronchiolar 1/50 (2%) 5/50 (10%) 6/50 (12%)
adenoma or carcinoma
Thyroid
Follicular cell adenoma 0/50 (0%) 0/47 (0%) 3/50 (6%)
7.7.1.2 Rats
Diets containing 0, 620 or 1250 mg chlorendic acid (> 98%)/kg
diet (equivalent to 0, 31 and 62.5 mg/kg body weight per day) were fed
to groups of 50 male and 50 female F-344/N rats for 103 weeks. The
estimated daily intake of chlorendic acid was 27 and 56 mg/kg body
weight for low- and high-dose males, and 39 and 66 mg/kg body weight
for low- and high-dose female rats. All survivors were killed in week
112. The rats were 8 weeks old when placed on the diets. Survival and
feed consumption of treated rats were similar to those of the
controls, although mean body weight of high-dose males and females
were lower. Significant changes were observed in the incidence of
rats with neoplastic or non-neoplastic lesions of the liver, pancreas,
lung, preputial gland, uterus, salivary gland, urinary system, mammary
gland, adrenals, testes and pituitary gland. In the liver of male
rats, increases in the incidence of cystic degeneration and focal
cellular changes were found. An increase in the incidence of
granulomatous inflammation was observed in females. Bile duct
hyperplasia incidence was increased in both sexes.
From Table 2, it is clear that an increase in tumour incidence
was found in the liver, pancreas, preputial gland and lung. The
incidence of neoplastic nodules of the liver (adenomas) was
significantly increased in treated males (controls 2/50 (4%), low-dose
21/50 (42%) and high-dose 23/50 (46%) (statistically significant)) and
in females (controls 1/50 (2%), low-dose 3/49 (6%) and high-dose 11/50
(22%) (statistically significant)). The values for hepatocellular
carcinomas in females were controls 0/50 (0%), low-dose 3/49 (6%) and
high-dose 5/50 (10%) (statistically significant). Those for the
acinar cell adenomas of the pancreas in males were controls 0/49 (0%),
low-dose 4/50 (8%) and high-dose 6/50 (12%). The incidence of
alveolar/bronchiolar adenomas was significantly increased in high-dose
males (controls 0/50 (0%), low-dose 3/50 (6%) and high-dose 5/50
(10%)) and that of carcinomas of the preputial gland in males
(controls 1/50 (2%), low-dose 8/50 (16%) and high-dose 4/50 (8%)).
Slight increases in the incidences of salivary gland tumours in males
and endometrial stromal polyps in females were noted. Under the
conditions of the experiment, it was concluded that chlorendic acid
showed carcinogenic properties in F-344/N rats, demonstrated by
increased incidence of adenomas of the liver in both sexes and of
hepatocellular carcinomas in females. An increase in the incidence of
acinar cell adenomas of the pancreas was found in males (US NTP, 1987;
Huff et al., 1989; IARC, 1990).
Table 2. Incidence of tumours in F-344/N rats (from: US NTP, 1987)
Males Females
Type of tumour
Control 620 mg/kg 1250 mg/kg Control 620 mg/kg 1250 mg/kg
diet diet diet diet
Liver
Hepatocellular adenoma 2/50 (4%) 21/50 (42%) 23/50 (46%) 1/50 (2%) 3/49 (6%) 11/50 (22%)
Hepatocellular carcinoma 0/50 (0%) 3/49 (6%) 5/50 (10%)
Pancreas
Acinar cell adenoma 0/49 (0%) 4/50 (8%) 6/50 (12%)
Lungs
Alveolar/bronchiolar 0/50 (0%) 3/50 (6%) 5/50 (10%)
adenoma
Preputial gland
Squamous cell papilloma, 1/50 (2%) 8/50 (16%) 4/50 (8%)
adenoma or carcinoma
Uterus/endometrium
Endometrial stromal polyp 5/50 (10%) 15/49 (31%) 10/50 (20%)
Salivery gland
Fibrosarcoma/ 1/50 (2%) 2/49 (4%) 4/50 (8%)
neurofibrosarcoma
In an initiation-promotion assay in rat liver designed as a
complement to the 2-year bioassay, groups of male and female
Fischer-344 rats were given a single oral dose of 10 mg/kg body weight
diethylnitrosamine followed 24 h later by 70% partial hepatectomy.
After a 2-week recovery period, animals were fed a basal diet
containing 0, 620 or 1250 mg/kg diet (equivalent to 0, 31 and
62.5 mg/kg body weight per day) chlorendic acid for 6 months, at which
time all surviving animals were killed. Altered hepatic foci (AHF)
were measured using four markers: placental glutathione- S-
transferase (PGST), gamma-glutamyl transpeptidase, adenosine
triphosphate and glucose-6-phosphatase. The number of AHF/liver and
the volume percentage of liver as AHF were significantly increased by
chlorendic acid at both dose levels. Placental GST was the best
single marker for hepatic promoting activity in both sexes (Dragan et
al., 1991).
Partial hepatectomy and neonatal rat short-term liver focus
models were used to examine the potential of chlorendic acid for
initiating and promoting activity. Chlorendic acid showed clear
evidence of hepatocarcinogenicity. While it showed no initiating
activity, promoting activity, as indicated by increased number, size
or volume fraction of histochemically detected hepatic foci of
cellular alteration, was evident (Maronpot et al., 1989).
7.7.1.3 Special studies
Chlorendic acid was administered in single doses of 0, 450 or
900 mg/kg body weight to 9-week-old male F-344 rats by oral
application or subcutaneous injection. Replicative DNA synthesis was
measured in primary hepatocyte in vitro cultures prepared from the
livers of the treated animals at 24, 39 or 48 h after treatment.
Chlorendic acid did not increase replicative DNA synthesis in this
test (Uno et al., 1994).
Nine female Sprague-Dawley (CD) rats (90-days old; 200-230 g)
were administered two doses of chlorendic acid (159 mg/kg body weight)
in corn oil by gavage, 21 and 4 h before sacrifice, and compared with
corn oil controls. Hepatic DNA damage was indicated as an increased
hepatic ornithine decarboxylase activity. However, there was no DNA
damage (Kitchin et al., 1993).
7.7.2 Chlorendic anhydride
Chlorendic anhydride rapidly converts to chlorendic acid on
contact with water.
A separate carcinogenicity study with chlorendic anhydride has
not been conducted and seems not to be necessary, since chlorendic
anhydride is metabolically transformed into chlorendic acid.
8. EFFECTS ON HUMANS
No data concerning the effects of chlorendic acid or anhydride on
humans are available.
9. EFFECTS ON OTHER ORGANISMS IN THE LABORATORY AND FIELD
9.1 Chlorendic acid
Studies were conducted to estimate the effects of 125, 250 and
500 mg/litre chlorendic acid (99.5%) on an aquatic microcosm. To
account for the pH effect of the acid, two additional flask
experiments were conducted in which the solutions of chlorendic acid
were titrated with 50% (w/w) NaOH to pH 7.4 or with HCl to create a
working solution of pH 6.2, 4.6 and 3.5 (equivalent to the initial pH
of the 125, 250 and 500 mg/litre chlorendic acid treatments,
respectively). The experiments were carried out with naturally
derived laboratory microcosms containing bacteria, fungi, unicellular
and colonial green algae, filamentous blue-green algae, diatoms,
protozoans, rotifers, copepods and ostracods. In 6- day flask
studies, chlorendic acid concentrations of 500 mg/litre (pH 3.5)
completely inhibited algal growth and microfaunal activity,
250 mg/litre (pH 4.1) inhibited microfaunal activity and reduced the
abundance of all but one algal species, and 125 mg/litre (pH 6.2) had
no observable effects. Similar results occurred in longer term
microcosm studies where, in addition, 500 and 250 mg/litre chlorendic
acid (no pH specified) resulted in decreased oxygen production and
respiration, altered chlorophyll a concentrations and bacterial
populations, and increased concentrations of dissolved NO3-N,
NH3-N and PO4-P. In contrast, few distinct effects were observed
in flasks or microcosms treated with the non-ionized form of
chlorendic acid. Results indicate that the observed effects at lower
pH values were due primarily to increases in hydrogen ion
concentration; direct toxicity also may have occurred at low pH, where
chlorendic acid existed as the non-ionized species (Hendrix et al.,
1983).
Chlorendic acid caused a dose-related inhibition of seed
germination and early growth of garden cress ( Lepidium sativum L).
It inhibited growth by 0, 20, 60 and approximately 90% during exposure
for 7 days to 0, 0.1, 1.0 and 10.0 mg/litre (concentrations of
chlorendic acid in aquatic test solutions), respectively. At 0.001
and 0.01 mg/litre, no influence was found (Koch, 1970).
Butz & Atallah (1979b) studied the effect of chlorendic acid on
soil microorganisms. A silty clay soil was treated with 0, 1 or
10 mg/kg chlorendic acid in Erlenmeyer flasks and incubated at 30°C
for 28 days. A significant increase in the number of soil fungi was
reported for the 10-mg/kg group, but no effects on soil fungi were
reported at 1 mg/kg. A non-significant increase in the number of
bacteria was reported for both treated soils.
9.2 Chlorendic anhydride
The 48-h LC50 of chlorendic anhydride for Daphnia magna is
110.7 mg/litre; the 48-h NOEL is 56 mg/litre (Vilkas & Hutchinson,
1977).
The 96-h LC50 of chlorendic anhydride for rainbow trout (Salmo
gairdneri) is 422.7 mg/litre nominal concentration in a static
system. Above 100 mg/litre the trout become excitable (Calmbacher et
al., 1977a).
The 96-h LC50 of chlorendic acid for bluegill sunfish (Lepomis
macrochirus) is 422.7 mg/litre (nominal concentration) in a static
system. Below 320 mg/litre no abnormal behaviour is observed
(Calmbacher et al., 1977b).
10. PREVIOUS EVALUATIONS BY INTERNATIONAL BODIES
Chlorendic acid has been evaluated by the International Agency
for Research on Cancer in its series of IARC Monographs on the
Evaluation of Carcinogenic Risks to Humans. The evaluation was that
there is sufficient evidence for the carcinogenicity of chlorendic
acid in experimental animals. No data were available from human
studies on the carcinogenicity of chlorendic acid. The overall
evaluation was that chlorendic acid is possibly carcinogenic to humans
(Group 2B) (IARC, 1989, 1990).
REFERENCES
Antonov LT (1980) [Selection of structural materials in chemical
engineering.] Khim Prom-st (Moscow), 3: 167-168 (in Russian).
Brett B (1975) Skin sensitization test with five samples in
albino guinea-pigs. Northbrook, Illinois, Industrial Biotest
Laboratories Inc. (Proprietary report submitted to WHO by Velsicol
Chemical Corporation, Chicago, USA).
Butz RG & Atallah YH (1979a) Persistence of chlorendic acid in
soil at 1 and 10 µg/g. Chicago, Illinois, Velsicol Chemical
Corporation (Proprietary report).
Butz RG & Atallah YH (1979b) Effects of chlorendic acid at 1 and
10 µg/g on soil microflora. Chicago, Illinois, Velsicol Chemical
Corporation (Proprietary report).
Calmbacher CW, Vilkas AG, & Hutchinson CH (1977a) The acute
toxicity of chlorendic anhydride to the rainbow trout, salmo
gairdneri Richardson. Tarrytown, New York, Union Carbide
Environmental Services (Proprietary report No. 11506-03-07a, submitted
to WHO by Velsicol Chemical Corporation, Chicago, USA).
Calmbacher CW, Vilkas AG, & Hutchinson CH (1977b) The acute
toxicity of chlorendic anhydride to the Bluegill sunfish, Lepomis
macrochirus Rafinesque. Tarrytown, New York, Union Carbide
Environmental Services (Proprietary report No. 11506-03-07b, submitted
to WHO by Velsicol Chemical Corporation, Chicago, USA).
Chemical Information Systems (1988) Information system for
hazardous organics in water (ISHOW). Baltimore, Maryland, Infrared
Search System (IRSS), Mass Spectral Search System (MSSS).
Cochrane WP & Forbes MA (1974) Oxidation products of heptachlor
and its metabolites - a chemical study. Chemosphere, 3: 41-46.
Dean WP & Jessup DC (1978) Dermal sensitization study in the
albino guinea-pig with chlorendic anhydride. Mattawan, Michigan,
International Research and Development Corporation (Proprietary report
No. 163-529 to Velsicol Chemical Corporation, Chicago, USA).
Decad GM & Fields MT (1982) Disposition and excretion of
chlorendic acid in Fischer 344 rats. J Toxicol Environ Health, 9(5-6):
911-920.
Demarini DM & Brooks HG (1992) Induction of prophage lambda by
chlorinated organics: detection of some single-species/single site
carcinogens. Environ Mol Mutagen, 19: 98-111.
Diaz L & Atallah YH (1978) Pharmacokinetics of chlorendic
anhydride in rats. Chicago, Illinois, Velsicol Chemical Corporation
(Proprietary report No. 482348).
Dietz EA, Cortellucci NJ, & Singley KL (1993) Determination of
benzoic acid, chlorobenzoic acids and chlorendic acid in water. J Liq
Chromatogr, 16(15): 3331-3347.
Dragan YP, Rizvi T, Xu Y-H, Hully JR, Bawa N, Campbell HA,
Maronpot RR, & Pitot HC (1991) An initiation-promotion assay in rat
liver as a potential complement to the 2-year carcinogenesis bioassay.
Fundam Appl Toxicol, 16(3): 525/547.
Foureman P, Mason JM, Valencia R, & Zimmering S (1994) Chemical
mutagenesis testing in Drosophila: X. Results of 70 coded chemicals
tested for the National Toxicology Program. Environ Mol Mutagen,
23(3): 208-227.
Friedman M, Whitefield RE, & Tillin S (1973) Enhancement of the
natural flame-resistance of wool. Text Res J, 43: 212-217.
Friedman M, Ash JF, & Fox W (1974) Dye bath application of
chlorendic acid for flame-resistant wool. Text Res J, 44: 555-556.
Goldenthal EI, Jessup DC, & Rodwell DE (1978) Chlorendic
anhydride, teratology study in rats. Mattawan, Michigan, International
Research and Development Corporation (Proprietary report No. 163.535,
submitted to WHO by Velsicol Chemical Corporation, Chicago, USA).
Goldenthal EI, Jessup DC, Geil RG, & Dean WP (1979) Chlorendic
anhydride. Three-week dermal toxicity study in rabbits. Mattawan,
Michigan, International Research and Development Corporation
(Proprietary report No. 163.530, submitted to WHO by Velsicol Chemical
Corporation, Chicago, USA).
Gupta SK, Krishman M, & Thampy RT (1978) Preparation of
chlorendic acid based polyester resins. Ind J Text Res, 3: 124-128.
Gurba PE, Smith LW, & Cameron BD (1990) Disposition of chlorendic
acid in the rat. Toxicologist, 10(1): 237 (Abstract No. 948).
Haworth S, Lawlor T, Mortelmans K, Speck W, & Zeiger E (1983)
Salmonella mutagenicity test results for 250 chemicals. Environ
Mutagen, 1(suppl): 3-142.
Hendrix PF, Hamala JA, Langner CL, & Kollig HP (1983) Effects of
chlorendic acid, a priority substance, on laboratory aquatic
ecosystems. Chemosphere, 12(7/8): 1083-1099.
Huff JA, Eustis SL, & Haseman JK (1989) Occurrence and relevance
of chemically induced benign neoplasms in long-term carcinogenicity
studies. Cancer Metastasis, 8: 1-21.
IARC (1989) Some organic solvents, resin monomers and related
compounds, pigments and occupational exposures in paint manufacture
and painting. Lyon, International Agency for Research on Cancer,
535 pp (IARC Monographs on the Evaluation of Carcinogenic Risks to
Humans, Volume 47).
IARC (1990) Chlorendic acid. In: Some flame retardants and
textile chemicals, and exposures in the textile manufacturing
industry. Lyon, International Agency for Research on Cancer, pp 45-53
(IARC Monographs on the Evaluation of Carcinogenic Risks to Humans,
Volume 48).
IPCS (1989) Environmental Health Criteria 88: Polychlorinated
dibenzo- para-dioxins and dibenzofurans. Geneva, World Health
Organization, 409 pp.
IPCS (1994a) Environmental Health Criteria 162: Brominated
diphenyl ethers. Geneva, World Health Organization, 347 pp.
IPCS (1994b) Environmental Health Criteria 152: Polybrominated
biphenyls. Geneva, World Health Organization, 577 pp.
IPCS (1995a) Environmental Health Criteria 172:
Tetrabromobisphenol-A and derivatives. Geneva, World Health
Organization, 139 pp.
IPCS (1995b) Environmental Health Criteria 173: Tris- and
bis(2,3-dibromopropyl) phosphate. Geneva, World Health Organization,
129 pp.
Jagannath DR & Brusick DJ (1977) Mutagenicity evaluation of
chlorendic anhydride: Final report. Kensington, Maryland, Litton
Bionetics Inc. (Proprietary report No. 20838, submitted to WHO by
Velsicol Chemical Corporation, Chicago, USA).
Jefferson ND & Goldenthal EI (1980) Chlorendic anhydride: 90-day
subacute renal toxicity study in rats. Mattawan, Michigan,
International Research and Development Corporation (Proprietary report
No. 163.533, submitted to WHO by Velsicol Chemical Corporation,
Chicago, USA).
Kinert JC & Goode JW (1975) Acute dust inhalation study in rats
with Het acid. Northbrook, Illinois, Industrial Biotest Laboratories
Inc. (Proprietary report No. 663-06279 to Hooker Chemical Corporation,
Niagara Falls, USA).
Kirk-Othmer (1981) Encyclopedia of chemical technology, 3rd ed.
New York, John Wiley and Sons, vol 10, pp 387-389.
Kitchin KT, Brown JL, & Kulkarni AP (1993) Predicting rodent
carcinogenicity of halogenated hydrocarbons by in vivo biochemical
parameters. Teratogen Carcinogen Mutagen, 13(4): 167-184.
Koch H (1970) [Phytotoxic substances and their possible mechanism
of action.] Sci Pharm, 38(2): 79-98 (in German).
Larsen ER (1980) Flame retardants: Phosphorous compounds. In:
Mark HF, Othmer DF, Overberger CG, Seaborg GT, & Grayson M ed.
Encyclopedia of chemical technology, 3rd ed. New York, John Wiley &
Sons, vol 10, pp 388-389.
Leong KJ, Cavender FL, Branch JW, & Sabaitis CP (1978) Chlorendic
anhydride: Acute inhalation toxicity study in rats. Mattawan,
Michigan, International Research and Development Corporation
(Proprietary report No. 163.512, submitted to WHO by Velsicol Chemical
Corporation, Chicago, USA).
McGregor DB, Brown A, Cattanach P, Edwards I, McBride D, &
Caspary WJ (1988) Response of the L5178Y tk+/tk- mouse lymphoma cell
forward mutation assay.II: 18 Coded chemicals. Environ Mol Mutagen,
11(1): 91-118.
Makhoulf J (1982) Polyesters unsaturated. In: Mark HF, Othmer DF,
Overberger CG, Seaborg GT, & Grayson M ed. Encyclopedia of chemical
technology, 3rd ed. New York, John Wiley & Sons, vol 18, pp 579-594.
Maronpot RR, Pitot HC, & Peraino C (1989) Use of rat liver
altered focus models for testing chemicals that have completed
two-year carcinogenicity studies. Toxicol Pathol, 17(4): 651-662.
Martens R (1972) [Degradation of endosulfan by soil
microorganisms.] Schr.reihe Ver Wasser Boden Lufthyg (Berlin-Dahlem),
37: 167-173 (in German).
Matheson DW & Brusick DJ (1978a) Mutagenicity evaluation of
chlorendic anhydride in the mouse lymphoma forward mutation assay.
Kensington, Maryland, Litton Bionetics Inc. (Proprietary report
No. 20839, submitted to WHO by Velsicol Chemical Corporation, Chicago,
USA).
Matheson DW & Brusick DJ (1978b) Evaluation of chlorendic
anhydride: in vitro malignant transformation in BALB/3T3 cells.
Kensington, Maryland, Litton Bionetics Inc. (Proprietary report,
project no. 20840, submitted to WHO by Velsicol Chemical Corporation,
Chicago, USA).
Matheson DW & Brusick DJ (1978c) Mutagenicity evaluation of
chlorendic anhydride in the unscheduled DNA synthesis in human WI-38
cells assay. Kensington, Maryland, Litton Bionetics Inc. (Proprietary
report, project no. 20840, submitted to WHO by Velsicol Chemical
Corporation, Chicago, USA).
Matheson DW & Brusick DJ (1978d) Mutagenicity evaluation of
chlorendic anhydride in the mouse dominant lethal assay. Kensington,
Maryland, Litton Bionetics Inc. (Proprietary report No. 20862,
submitted to WHO by Velsicol Chemical Corporation, Chicago, USA).
Mathews EJ, Spalding JW, & Tennant RW (1993) Transformation of
BALB/c-3T3 cells: V. Transformation responses of 168 chemicals
compared with mutagenicity in Salmonella and carcinogenicity in
rodent bioassays. Environ Health Perspect, 101(suppl 2): 347-482.
Menzie CM (1978) Metabolism of pesticides: update II to special
scientific report No. 212. Washington, DC, US Department of Interior,
Fish and Wildlife Service, pp 131-133.
Myers TW & Googe JW (1975) Acute vapor inhalation toxicity study
with crude Het anhydride. Northbrook, Illinois, Industrial Biotest
Laboratories Inc. (Proprietary report No. 663-06667).
Occidental Chemical (1986) Analytical procedure for the
determination of HET acid trapped on glass fibre filters. Brussels,
Occidental Chemical.
Occidental Chemical (1987) Material safety data sheet M8584: HET
acid. Niagara Falls, New York, Occidental Chemical.
Occidental Chemical (1988) HET acid. Brussels, Occidental
Chemical.
Parlar H & Korte F (1977) Photoreactions of cyclodiene
insecticides under simulated environmental conditions - A review.
Chemosphere, 10: 665-705.
Pilenkova II & Fatyanova AD (1980) [Determination of chlorendic
anhydride in the air of working environments.] Zh Anal Khim, 35:
2047-2049 (in Russian).
Schuphan I & Ballschmiter K (1972) Metabolism of polychlorinated
norborenes by Clostridium butyricum. Nature (Lond), 237(5350):
100-101.
Stowell JP & Jensen JN (1991) Dechlorination of chlorendic acid
with ozone. Water Res, 25(1): 83-90.
Talbot RC (1984) Using fiberglass-reinforced plastics. Chem Eng,
91: 76-82.
Tryzna GE & Paa H (1975) Acute toxicity studies with crude Het
anhydride. Northbrook, Illinois, Industrial Biotest Laboratories Inc.
(Proprietary report No. 601.06668 to Hooker Chemical Corporation,
Niagara Falls, USA).
Ulrich CE (1980) Chlorendic anhydride, subacute inhalation
toxicity study in rats: 20 exposures in 28 days. Mattawan, Michigan,
International Research and Development Corporation (Proprietary report
No. 163.531, submitted to WHO by Velsicol Chemical Corporation,
Chicago, USA).
Uno Y, Takasawa H, Miyagawa M, Inoue Y, Murata T, & Yoshikawa K
(1994) An in vivo-in vitro replicative DNA synthesis (RDS) test
using rat hepatocytes as an early prediction assay for non-genotoxic
hepatocarcinogens screening of 22 known positives and 25 non
carcinogens. Mutat Res, 320(3): 189-205.
US EPA (1982) Final technical support document: Chlorendic acid
(Contract No. 68-01-6530). Washington, DC, US Environmental Protection
Agency, Office of Pesticides and Toxic Substances.
US ITC (1988) Synthetic organic chemicals - US production and
sales, 1987. Washington, DC, US International Trade Commission, pp 3-9
(USITC Publication No. 2118).
US NTP (1987) Toxicology and carcinogenesis studies of chlorendic
acid (CAS No. 115-28-6) in F344/N rats and B6C3F1 mice (Feed studies).
Research Triangle Park, North Carolina, US Department of Health and
Human Services, National Toxicology Program (NTP Technical Report
Series No. 304).
Velsicol Chemical Corporation (1982) Product information bulletin
- Speciality chemicals: Velsicol chlorendic anhydride. Rosemont,
Illinois, Velsicol Chemical Corporation.
Vilkas AG & Hutchinson CH (1977) Acute toxicity of chlorendic
anhydride to the water flea, Daphnia magna straus. Tarrytown, New
York, Union Carbide Environmental Services (Proprietary report No.
11506-03-06, submitted to WHO by Velsicol Chemical Corporation,
Chicago, USA).
Witherup S, Stemmer KL, & Schlecht H (1965) The toxicity of
chlorendic acid and chlorendic anhydride. Cincinnati, Ohio, University
of Cincinnati, Department of Preventive Medicine and Industrial
Health, Kethering Laboratory (Proprietary report submitted to WHO by
Velsicol Chemical Corporation, Chicago, USA).
Ying WC, Bonk RR, & Sojka SA (1987) Treatment of a landfill
leachate in powdered activated carbon enhanced sequencing batch
bioreactors. Environ Prog, 6(1): 1-8.
Yu CC & Atallah YH (1977a) Hydrolysis of chlorendic anhydride in
aqueous solutions and stability on TLC plates. Chicago, Illinois,
Velsicol Chemical Corporation (Proprietary report).
Yu CC & Atallah YH (1977b) Partition coefficients of MC-680,
chlorendic anhydride and chlorendic acid. Chicago, Illinois, Velsicol
Chemical Corporation (Proprietary report).
Yu CC & Atallah YH (1978) Photolysis of chlorendic anhydride and
chlorendic acid. Chicago, Illinois, Velsicol Chemical Corporation
(Proprietary report).
Zeiger E (1990) Mutagenicity of 42 chemicals in Salmonella.
Environ Mol Mutagen, 16 (suppl 18): 32-54.
RESUME ET EVALUATION; CONCLUSIONS ET RECOMMANDATIONS
1. Résumé et évaluation
1.1 Propriétés physiques et chimiques
L'acide chlorendique (qualité commerciale 99,5%) et l'anhydride
du même nom (qualité technique 97%) sont des substances cristallines
voisines de couleur blanche. De par leur structure, ils sont
apparentés aux insecticides diéniques chlorés. Par chauffage de
l'acide chlorendique dans un système ouvert, on obtient l'anhydride
correspondant. Inversement on peut rapidement revenir à l'acide par
hydrolyse. Le point de fusion varie de 208°C pour l'acide à 235°C pour
l'anhydride.
1.2 Production et usages
L'acide et l'anhydride chlorendiques sont surtout utilisés comme
retardateurs de flamme dans les résines polyester et les plastifiants
destinés aux installations électriques et aux peintures ainsi que dans
les résines renforcées par des fibres de verre qui servent à la
fabrication d'équipements pour l'industrie chimique. L'industrie
textile les a aussi utilisés pour le finissage des tissus de laine et
des tapis.
La production mondiale totale d'acide et d'anhydride
chlorendiques tourne actuellement autour de 4 000 tonnes par an.
1.3 Transport, distribution et transformation
dans l'environnement
Il peut y avoir libération d'acide chlorendique par suite d'une
décomposition hydrolytique de polyesters ou de l'oxydation
d'insecticides cyclodiéniques chlorés.
Le rayonnement ultraviolet décompose l'acide chlorendique avec
une demi-vie de 16 jours lorsque ce dernier se trouve sous la forme
d'une fine couche solide. La demi-vie tombe à 5 jours en solution
aqueuse. Dans le sol,la demi-vie oscille entre 140 et 280 jours. Le
composé est assez persistant dans le sol, mais on manque de données à
ce sujet.
On ne sait rien non plus de son potentiel de bioaccumulation et
de bioamplification. Par ailleurs, il n'y a aucune donnée sur la
destinée finale des produits de la réaction de ce composé avec
d'autres substances présentes dans les décharges et les incinérateurs.
L'exposition à l'anhydride chlorendique risque de conduire à une
exposition à l'acide correspondant par suite de l'hydrolyse de
l'anhydride.
1.4 Concentrations dans l'environnement et exposition humaine
On a trouvé de l'acide chlorendique à des concentrations
atteignant 455 mg/litre dans l'eau de lessivage de certaines
décharges.
1.5 Cinétique et métabolisme chez les animaux de laboratoire
Après administration d'acide chlorendique radiomarqué par voie
orale à des rats, on a constaté que le composé se répartissait
rapidement dans tout l'organisme et qu'il était métabolisé sans délai.
Le marqueur radioactif a été excrété à plus de 90% dans les matières
fécales en l'espace de 24 h, principalement sous forme de conjugué.
Dans les urines, il n'a été excrété qu'à hauteur de 3 à 6%. C'est
dans les tissus adipeux, le foie, les reins,le sang total et les
poumons que l'on a mesuré les plus fortes teneurs en marqueur
radioactif.
Des résultats analogues ont été obtenus lors d'une étude au cours
de laquelle des rats ont reçu de l'anhydride chlorendique par gavage.
Dans cette étude, on a obtenu une demi-vie de moins de 2 jours, sauf
dans de cas du tissu adipeux où elle a atteint 22,5 jours.
On ne dispose d'aucune donnée sur la cinétique de ce composé
après administration par la voie percutanée ou respiratoire.
1.6 Effets sur les mammifères de laboratoire et les
systèmes d'épreuve in vitro
L'acide chorendique a une faible toxicité aiguë par voie orale;
chez le rat, la DL50 est égale à 1770 mg/kg de poids corporel. Dans
le cas de l'anhydride, la DL50 orale est de 2480 mg/kg de poids
corporel.
La DL50 aiguë par la voie percutanée est > 3000 mg/kg de poids
corporel pour le lapin dans le cas de l'anhydride.
Pour l'acide chlorendique, la CL50 à 4h en cas d'inhalation de
poussières est > 0,79 mg/litre chez le rat.
Des tests sur des lapins ont montré que l'anhydride et l'acide
chlorendiques ont un effet irritant cutané qui peut être sévère au
niveau des yeux et des voies respiratoires.L'anhydride a un effet
sensibilisateur sur la peau du cobaye, mais il est vrai que le même
test effectué avec l'acide a donné un résultat négatif.
Lors d'une étude de 13 semaines sur des souris au cours de
laquelle les animaux ont reçu de l'acide chlorendique mélangé à leur
nourriture, on a obtenu la valeur de 2500 mg par kg de nourriture pour
la dose sans effet observable, soit l'équivalent de 250 mg/kg de poids
corporel. Chez des rats ayant fait l'objet d'une étude analogue, la
valeur obtenue a été de 1250 mg par kg de nourriture, soit 62,5 mg/kg
de poids corporel. Aux doses élevées, on a noté une diminution
sensible de la croissance et l'examen microscopique a révélé des
anomalies au niveau du foie.
Une étude d'alimentation de 90 jours, au cours de laquelle des
rats ont reçu de l'anhydride chlorendique dans leur nourriture, a
donné une valeur de 125 mg/kg de poids corporel par jour pour la dose
sans effet observable. Dans une autre étude, qui a duré 3 semaines et
a consisté à exposer les animaux par la voie cutanée, on a obtenu la
valeur de 100 mg/kg de poids corporel par jour pour la dose en
question (indépendamment de l'effet irritant pour la peau). En
revanche, on n'a pas pu établir la dose sans effet observable lors
d'une étude de 28 jours consistant à faire inhaler de la poussière à
des rats.
Lors d'une étude de tératogénicité effectuée sur des rats, on a
administré aux animaux de l'anhydride chlorendique par gavage à des
doses allant jusqu'à 400 mg/kg de poids corporel du 6ème au 15ème jour
de la gestation; le composé s'est révélé toxique pour les mères mais
il n'y a pas eu d'effets tératogènes.
On a étudié le pouvoir mutagène de l'acide chlorendique sur cinq
souches de Salmonella typhimurium en présence ou en l'absence d'un
système métabolique exogène. Des résultats négatifs ont été obtenus
avec des doses allant jusqu'à 7690 µg/boîte. Une épreuve de mutation
sur lymphome murin s'est par contre révélée positive, en l'absence de
système métabolique exogène. Les doses utilisées étaient
respectivement égales à 1300 µg et 1700 µg/ml. La plus élevée des
deux doses s'est révélée cytotoxique.
L'acide chlorendique a donné un résultat positif dans une épreuve
de transformation sur des cellules BALB/c-3T3 en l'absence
d'activation métabolique et un résultat négatif lors d'une épreuve sur
des mâles de Drosophila melanogaster, pour la mise en évidence de
mutations létales récessives liées au sexe. Le composé n'a pas
provoqué d'augmentation de la synthèse réplicative de l'ADN après
administration par voie orale ou sous-cutanée à des rats F-344 de
doses respectivement égales à 450 ou 900 mg/kg de poids corporel.
Lors d'épreuves au cours desquelles de l'anhydride chlorendique a
été testé sur cinq souches de Salmonella typhimurium et une souche
de la levure Saccharomyces cerevisiae à des doses allant jusqu'à
7500 µg/boîte, on n'a pas constaté d'activité mutagène. Il n'a pas
induit de mutations directes dans l'épreuve sur lymphome murin et a
donné un résultat négatif lors d'une épreuve de transformation sur
cellules BALB/3T3. L'anhydride chlorendique a également produit une
synthèse non programmée de l'ADN en proportion non négligeable dans
des cellules humaines WI-38. Lors d'une épreuve de létalité
dominante, des souris ont été exposées à des doses uniques d'anhydride
chlorendique allant jusqu'à 223 mg par kg de poids corporel, après une
période de reproduction de 7 semaines. Le seul effet observé a été
une réduction statistiquement significative de l'indice de fécondité,
par rapport aux témoins, chez toutes les femelles accouplées avec des
mâles traités, au cours de la 5ème semaine, ainsi que chez les
femelles accouplées avec des mâles traités par une demi-dose, au cours
de la 4ème semaine. Aucun autre effet n'a été observé, qu'il s'agisse
du nombre des implantations, viables ou non viables, et des
résorptions. Malgré les défauts de conception de cette étude, on en a
conclu que les résultats de l'épreuve étaient négatifs.
On a étudié le pouvoir cancérogène de l'acide chlorendique sur
des rats F-344/N à des doses respectivement égales à 620 et 1250 mg/kg
de nourriture (soit l'équivalent de 31 et 62,5 mg/kg de poids
corporel). Outre les anomalies non malignes observées dans un certain
nombre d'organes-dégénérescence kystique et altérations focales au
niveau cellulaire ou encore hyperplasie des canaux biliaires, on a
noté une augmentation, significative à la dose maximale, de
l'incidence des tumeurs chez les animaux traités: adénomes
hépatocellulaires chez les mâles et adénomes ou carcinomes
hépatocellulaires chez les femelles. De plus, il y avait chez les
mâles une légère augmentation des cancers acineux du pancréas et des
adénomes alvéolaires et bronchiolaires.
Chez des souris B6C3F1 qui avaient reçu une alimentation
contenant soit 620, soit 1250 mg d'acide chlorendique par kg de
nourriture (c'est-à-dire l'équivalent de 62 ET 125 mg/kg de poids
corporel, respectivement), on a constaté une plus grande incidence des
nécroses et des altérations mitotiques au niveau du foie. Chez les
mâles, il y a eu, aux deux doses, augmentation de l'incidence des
adénomes et des carcinomes hépatocellulaires. Chez les femelles,
c'est l'incidence des adénomes et des carcinomes alvéolaires et
bronchiolaires qui était en augmentation.
On a cherché à élucider le mécanisme de la cancérogénèse en
faisant appel à plusieurs modèles ou épreuves: l'épreuve
d'initiation/promotion, le modèle avec hépatectomie partielle et le
modèle néonatal. La conclusion a été que l'acide chlorendique se
comporte comme un promoteur.
1.7 Effets chez l'homme
On ne dispose d'aucune donnée concernant d'éventuels effets sur
l'homme.
1.8 Effets sur les autres êtres vivants au laboratoire
et dans leur milieu naturel
L'acide chlorendique aurait des effets toxiques sur les algues à
la dose de 250 mg/litre. Il s'agit notamment d'une inhibition de
l'activité de la microfaune, d'une baisse de la production d'oxygène
et d'une réduction de la respiration. On n'a en revanche signalé
aucun effet toxique chez les algues exposées à 125 mg d'acide
chlorendique par litre ou à de l'anhydride chlorendique. Les effets
toxiques observés sont attribués à la modification du pH plutôt qu'à
une toxicité directe de l'acide chlorendique. Aux faibles valeurs du
pH, l'acide chorendique se trouve sous sa forme non ionisée, qui peut
avoir un effet toxique direct.
Il n'y a qu'une seule espèce végétale terrestre pour laquelle on
ait signalé des effets toxiques imputables à l'acide chlorendique.
Après exposition à 0,1 mg/litre ou davantage, il y a eu inhibition de
la croissance et de la germination, mais à la dose de 0,01 mg/litre,
aucun effet n'a été signalé.
La CL50 d'anhydride chlorendique pour Daphnia magna est de
110,7 mg/litre à 48h; elle est de 422,7 mg/litre à 96h pour la truite
arc-en-ciel et Lepomis macrochirus.
Il est impossible d'évaluer les effets de l'anhydride
chlorendique sur les êtres vivants dans leur milieu naturel sans
connaître la concentration et la destinée de ce composé dans les
différents compartiments de l'environnement.
2. Conclusions
La base de données relative à l'acide et à l'anhydride
chlorendiques est loin d'être complète. Pour beaucoup d'études, le
Groupe de travail ne disposait pas de rapports in extenso, mais
seulement de résumés. En particulier, il n'y a aucune donnée sur la
destinée ultime de ces composés, soit tels quels, soit après réaction
avec d'autres substances et l'on ne sait pas non plus ce qu'il en est
de leur potentiel de bioaccumulation et de bioamplification. Par
ailleurs, on ne possède pas de données sur l'exposition de l'homme et
des autres êtres vivants dans leur milieu naturel.
Les deux composés semblent n'avoir qu'une faible toxicité aiguë
et subaiguë par voie orale, mais ils sont irritants pour l'oeil, la
peau et les voies respiratoires. D'après les résultats des études de
toxicité et de cancérogénicité à long terme, l'acide et l'anhydride
chlorendiques provoquent la formation de tumeurs chez le rat et la
souris, ce qui permet de les considérer comme potentiellement
cancérogènes. On ne peut cependant pas évaluer le risque qu'ils
représentent pour l'homme et son environnement, faute de données
suffisantes.
La base de données actuelle n'est pas suffisamment étoffée pour
que l'on puisse se prononcer en faveur d'une utilisation commerciale
de l'acide et de l'anhydride chlorendiques.
3. Recommandations
3.1 Protection de la santé humaine et de l'environnement
a) L'exposition de la population générale à l'acide et à
l'anhydride chlorendiques ainsi qu'à leurs dérivés doit être
réduite au minimum.
b) Il ne faut utiliser l'acide et l'anhydride chlorendiques qu'en
vase clos afin d'éviter une exposition aux vapeurs ou aux
poussières. Les travailleurs qui produisent ou manipulent ces
composés doivent être suffisamment familiarisés avec les
mesures de sécurité. Des dispositifs techniques appropriés et
des mesures relevant de l'hygiène et de la sécurité du travail
doivent assurer leur protection.
c) L'évacuation de l'acide et de l'anhydride chlorendiques ou des
déchets qui en contiennent doivent se faire selon des méthodes
permettant d'éviter l'exposition de la population et de réduire
au minimum la pollution de l'environnement.
3.2 Recherches futures
a) Il conviendrait de compléter la base de données par des
renseignements suffisants sur:
i) la destinée finale de ces composés, soit tels quels, soit
après réaction;
ii) leur potentiel de bioaccumulation et de bioamplification;
iii) l'exposition humaine et la pollution de l'environnement;
b) Il faudrait étudier les produits de combustion de matériaux
préparés ou traités avec de l'acide ou de l'anhydride
chlorendiques et, en particulier, leur toxicité par la voie
respiratoire ainsi que le risque de pollution de l'environnement
par ces produits.
c) Il conviendrait de mesurer la concentration de l'acide et de
l'anhydride chlorendiques dans les différents compartiments de
l'environnement ou de s'efforcer tout au moins de les calculer à
l'avance à l'aide des modèles existants.
d) Il faudrait obtenir des données sur la présence éventuelle
d'aberrations chromosomiques en procédant à une analyse de la
métaphase. Il faudra également obtenir des données de
mutagénicité in vivo avant de pouvoir procéder à une analyse
complète du risque.
e) Une étude de reproduction portant sur trois générations serait
à effectuer.
f) Il faudrait élucider le mécanisme qui est à la base de la
cancérogénicité de ces deux substances.
RESUMEN Y EVALUACION; CONCLUSIONES Y RECOMENDACIONES
1. Resumen y evaluación
1.1 Propiedades físicas y químicas
El ácido cloréndico (calidad comercial, 99,5%) y el anhídrido
cloréndico (calidad técnica, 97%) son productos cristalinos blancos
estrechamente relacionados entre sí. Estructuralmente son muy
parecidos a los insecticidas clorados derivados del ciclodieno.
Calentado en un sistema abierto, el ácido cloréndico pierde agua y
forma anhídrido cloréndico. Este puede hidrolizarse rápidamente y
transformarse en ácido cloréndico. Los puntos de fusión van de 208°C
(para el ácido) a 235°C (para el anhídrido).
1.2 Producción y uso
El ácido cloréndico y el anhídrido cloréndico se utilizan
principalmente como reactivos pirorretardantes en resinas
poliestéricas y agentes ablandantes para sistemas eléctricos y
pinturas, y en resinas reforzadas con fibra de vidrio para equipo de
procesos químicos. En la industria textil se utilizaron en el pasado
en el acabado de alfombras y tejidos de lana.
La producción mundial total de ácido cloréndico y anhídrido
cloréndico se sitúa actualmente en torno a las 4000 toneladas por año.
1.3 Transporte, distribución y transformación en el medio ambiente
El ácido cloréndico puede liberarse por degradación hidrolítica
de poliésteres y como producto de la oxidación de los insecticidas
clorados derivados del ciclodieno.
La radiación ultravioleta degrada el ácido cloréndico, cuya
semivida es de 16 días en una capa sólida fina y de 5 días en solución
acuosa. En el suelo la semivida oscila entre 140 y 280 días. El
ácido cloréndico es bastante persistente en el suelo, aunque los datos
disponibles a este respecto son insuficientes.
No se dispone de datos sobre el potencial de bioacumulación y
bioamplificación. Asimismo, se carece de datos sobre el destino final
de los productos de reacción entre otros en la eliminación de desechos
y la incineración.
La exposición al anhídrido cloréndico entraña probablemente
también la exposición al ácido cloréndico, debido a la hidrólisis del
primero.
1.4 Niveles medioambientales y exposición humana
En el lixiviado de vertederos se ha encontrado ácido cloréndico a
concentraciones de hasta 455 mg/litro.
1.5 Cinética y metabolismo en animales de laboratorio
Tras la administración a ratas de ácido cloréndico radiomarcado
por vía oral e intravenosa, la sustancia se distribuyó velozmente por
todo el organismo y se metabolizó con rapidez. Más del 90% se excretó
en las primeras 24 horas en las heces, principalmente en forma
conjugada. Sólo entre el 3% y el 6% se excretó en la orina. Las
concentraciones más altas de la sustancia radiomarcada se hallaron en
el tejido adiposo, el hígado, los riñones, la sangre entera y los
pulmones.
En un estudio de alimentación con sonda en ratas se obtuvieron
resultados parecidos con el anhídrido cloréndico. La semivida del
compuesto marcado en este estudio fue inferior a dos días, salvo en la
grasa, donde ascendió a 22,5 días.
No se dispone de datos sobre la cinética tras la exposición
cutánea o respiratoria.
1.6 Efectos en mamíferos de laboratorio y en sistemas de pruebas
in vitro
La toxicidad oral aguda del ácido cloréndico es baja; la DL50
en la rata es de 1770 mg/kg de peso corporal. Para el anhídrido
cloréndico, la DL50 por vía oral en las ratas es de 2480 mg/kg de
peso corporal.
La DL50 aguda por vía cutánea del anhídrido cloréndico crudo en
el conejo es de > 3000 mg/kg de peso corporal.
En las ratas, la CL50 del ácido cloréndico por inhalación de
polvo durante cuatro horas es de > 0,79 mg/litro.
El ácido y el anhídrido cloréndico provocan irritación cutánea y
grave irritación de los ojos y de las vías respiratorias en el conejo.
El anhídrido cloréndico produce sensibilización de la piel en el
cobayo, mientras que una prueba con ácido cloréndico fue negativa.
En un estudio de alimentación de ratones de 13 semanas de
duración en el que se utilizó ácido cloréndico se halló un nivel sin
efectos observados (NOEL) de 2500 mg/kg de alimento (equivalente a
250 mg/kg de peso corporal); en un estudio de alimentación análogo
realizado con ratas el NOEL fue de 1250 mg/kg de alimento (equivalente
a 62,5 mg/kg de peso corporal). A dosis más altas la disminución del
crecimiento fue significativa y se observaron cambios microscópicos en
el hígado.
En un estudio de alimentación de 90 días en ratas con anhídrido
cloréndico, el NOEL fue de 125 mg/kg de peso corporal por día, y en
otro estudio de tres semanas con administración por vía cutánea el
NOEL ascendió a 100 mg/kg de peso corporal por día (aparte de la
irritación de la piel). En un estudio de inhalación de polvo en ratas
durante 28 días no se pudo establecer ningún NOEL.
Un estudio de teratogenicidad en la rata con anhídrido
cloréndico, administrado mediante alimentación con sonda a dosis de
hasta 400 mg/kg de peso corporal en los días 6 a 15 de la gestación,
reveló toxicidad materna pero no efectos teratógenos.
Se determinó el potencial mutagénico del ácido cloréndico en
cinco cepas de Salmonella typhimurium en presencia y ausencia de un
sistema de metabolismo exógeno. Con dosis de hasta 7690 µg/placa se
obtuvieron resultados negativos. Una prueba de mutación en células de
linfoma de ratón en ausencia de un sistema de metabolismo exógeno fue
positiva. Las dosis utilizadas fueron de 1300 a 1700 µg/ml. La dosis
más alta resultó ser citotóxica.
El ácido cloréndico dio resultados positivos en una prueba de
transformación con células BALB/c-3T3 sin activación metabólica, y
negativo en una prueba de mutaciones letales recesivas ligadas al sexo
en machos de Drosophila melanogaster. El ácido cloréndico no
estimuló la síntesis replicativa del ADN tras la aplicación oral o
subcutánea de 450 ó 900 mg/kg de peso corporal a ratas F-344.
En pruebas realizadas en cinco cepas de Salmonella typhimurium
y una de la levadura Saccharomyces cerevisiae con dosis de hasta
7500 µg/placa, el anhídrido cloréndico no resultó potencialmente
mutagénico. El compuesto no indujo mutaciones directas en un ensayo
con células de linfoma de ratón, y no tuvo efectos en una prueba de
transformación con células BALB/3T3. En células humanas WI-38 produjo
un grado significativo de síntesis no programada de ADN. En una
prueba de dominancia letal en ratones, se les expuso a dosis únicas de
hasta 223 mg de anhídrido cloréndico/kg de peso corporal, seguidas de
un periodo de reproducción de siete semanas. Sólo se observó una
disminución estadísticamente significativa del índice de fecundidad,
respecto de los testigos, en todas las hembras que se aparearon con
machos tratados durante la semana 5, y en las que se aparearon con
machos tratados una dosis media durante la semana 4. No se detectaron
efectos en el número de implantaciones, resorciones o huevos muertos.
Se concluyó que esta prueba daba resultados negativos, si bien el
diseño del estudio era inadecuado.
El potencial carcinogénico del ácido cloréndico se determinó en
ratas F-344/N a dosis de 620 y 1250 mg/kg de alimento (equivalentes a
31 y 62,5 mg/kg de peso corporal). Además de algunas modificaciones
no neoplásicas significativas en varios órganos, como la degeneración
quística y alteraciones celulares focales, y de una hiperplasia del
conducto biliar en el hígado, se observaron aumentos de la incidencia
de adenomas hepatocelulares en los machos tratados, y de adenomas y
carcinomas hepatocelulares, significativos a las dosis más altas, en
las hembras. Además, en los machos se detectaron ligeros aumentos de
los adenomas de células acinosas del páncreas y de los adenomas de
alveolos/bronquiolos en el pulmón.
En ratones B6C3F1 alimentados con dietas que contenían 620 y
1250 mg de ácido cloréndico por kg de alimento (equivalentes a 62 y
125 mg/kg de peso corporal) se observó una mayor incidencia de
necrosis y alteraciones mitóticas en el hígado. Con ambas dosis se
observó un aumento de los adenomas y carcinomas hepatocelulares en los
machos. En las hembras se halló una mayor incidencia de adenomas o
carcinomas de los alveolos/bronquiolos.
Se realizaron estudios para investigar los mecanismos de
carcinogénesis mediante una valoración del potencial
iniciador/facilitador, el modelo de hepatectomía parcial y el modelo
neonatal. Las pruebas indicaron que el ácido cloréndico tiene
actividad facilitadora.
1.7 Efectos en el ser humano
No se dispone de datos sobre los efectos en el ser humano.
1.8 Efectos en otros organismos en el laboratorio y en el medio ambiente
Se ha notificado que a 250 mg/litro el ácido cloréndico tiene
efectos tóxicos sobre las algas. Entre los efectos señalados figuran
la inhibición de la actividad de la microfauna, la menor producción de
oxígeno y la merma de la respiración. Para las algas expuestas a
125 mg de ácido cloréndico/litro y para las expuestas al anhídrido
cloréndico no se han notificado efectos tóxicos. Los efectos tóxicos
observados en las algas se han atribuido a la modificación del pH más
que a la toxicidad directa del ácido cloréndico. A valores de pH
bajos el ácido cloréndico está en forma no ionizada, forma que puede
tener efectos tóxicos directos.
Se han señalado efectos del ácido cloréndico sólo sobre una
especie de planta terrestre. Tras la exposición a 0,1 mg/litro o más,
se observó una inhibición tanto del crecimiento como de la germinación
de las semillas, mientras que la exposición a 0,01 mg/litro no produjo
ningún efecto.
La CL50 a las 48 horas para Daphnia magna fue de 110,7 mg de
anhídrido cloréndico/litro, y la CL50 a las 96 horas para la trucha
arco iris y para Lepomis machrochirus fue de 422,7 mg/litro.
Los efectos potenciales del anhídrido cloréndico sobre los
organismos en el medio ambiente no pueden evaluarse en ausencia de
datos sobre las concentraciones y los procesos que determinan el
destino de este compuesto en los compartimientos ambientales.
2. Conclusiones
La base de datos sobre el ácido cloréndico y el anhídrido
cloréndico dista mucho de ser completa. Para varios estudios el Grupo
de Trabajo no dispuso de la versión integral de los informes (sino
sólo de resúmenes). En particular, no hay datos sobre el destino
final de las sustancias en sí ni de los productos a que dan lugar, ni
tampoco sobre el potencial de bioacumulación y bioamplificación.
Además, se carece de datos sobre la exposición de seres humanos y de
organismos en el medio ambiente.
Las dos sustancias parecen tener una toxicidad aguda y subaguda
baja por vía oral, pero son irritantes de la piel, los ojos y las vías
respiratorias. Los resultados de estudios de toxicidad/
carcinogenicidad de larga duración con administración de ácido
cloréndico a ratas y ratones llevan a concluir que el ácido cloréndico
provoca tumores en ambos, por lo que se considera que tiene un
potencial carcinógeno. Sin embargo, vista la falta de datos, no es
posible hacer una evaluación cabal de la peligrosidad para el ser
humano y el medio ambiente.
La base de datos actual es insuficiente para respaldar el uso
comercial del ácido cloréndico y del anhídrido cloréndico.
3. Recomendaciones
3.1 Protección de la salud humana y del medio ambiente
a) La exposición de la población general al ácido cloréndico, al
anhídrido cloréndico y a los productos de ellos derivados debe
reducirse al mínimo.
b) El ácido cloréndico y el anhídrido cloréndico deben utilizarse
sólo en sistemas cerrados para evitar la exposición al vapor y
al polvo. Los trabajadores que producen y manipulan estas
sustancias deben estar debidamente adiestrados en los
procedimientos de seguridad, y se les debe proteger de la
exposición con los adecuados medios técnicos de control y con
medidas apropiadas de higiene industrial.
c) La eliminación del ácido y el anhídrido cloréndico y de sus
productos residuales debe efectuarse por métodos que aseguren
que la población general no quede expuesta y que la exposición
del medio ambiente sea mínima.
3.2 Nuevas investigaciones
a) La base de datos debería completarse con información adecuada
sobre:
i) el destino final de estas sustancias como tales y de sus
productos de reacción;
ii) el potencial de bioacumulación y de bioamplificación;
iii) la exposición humana y ambiental.
b) Deberían realizarse estudios sobre los productos de combustión
de los materiales preparados o tratados con el ácido o el
anhídrido, su toxicidad por inhalación, y su potencial de
contaminación del medio ambiente.
c) Las concentraciones de ácido y anhídrido cloréndico en los
compartimientos ambientales deberían medirse, o por lo menos
predecirse con ayuda de los modelos disponibles.
d) Deberían obtenerse datos sobre la presencia de aberraciones
cromosómicas mediante un estudio de análisis de la metafase. Se
necesitarán algunos datos sobre la mutagenicidad in vivo antes
de poder efectuar una evaluación cabal de la peligrosidad.
e) Debería realizarse un estudio de reproducción de tres
generaciones.
f) Debería clarificarse el mecanismo carcinogénico de ambas
sustancias.