
INTERNATIONAL PROGRAMME ON CHEMICAL SAFETY
ENVIRONMENTAL HEALTH CRITERIA 12
NOISE
This report contains the collective views of an
international group of experts and does not
necessarily represent the decisions or the stated
policy of either the World Health Organization
or the United Nations Environment Programme
Published under the joint sponsorship of
the United Nations Environment Programme
and the World Health Organization
World Health Organization Geneva, 1980
ISBN 92 4 154072 9
(c) World Health Organization 1980
Publications of the World Health Organization enjoy copyright
protection in accordance with the provisions of Protocol 2 of the
Universal Copyright Convention. For rights of reproduction or
translation of WHO publications, in part or in toto, application
should be made to the Office of Publications, World Health
Organization, Geneva, Switzerland. The World Health Organization
welcomes such applications.
The designations employed and the presentation of the material in
this publication do not imply the expression of any opinion whatsoever
on the part of the Secretariat of the World Health Organization
concerning the legal status of any country, territory, city or area or
of its authorities, or concerning the delimitation of its frontiers or
boundaries.
The mention of specific companies or of certain manufacturers'
products does not imply that they are endorsed or recommended by the
World Health Organization in preference to others of a similar nature
that are not mentioned. Errors and omissions excepted, the names of
proprietary products are distinguished by initial capital letters.
CONTENTS
ENVIRONMENTAL HEALTH CRITERIA FOR NOISE
1. SUMMARY AND RECOMMENDATIONS FOR FURTHER STUDIES
1.1. Summary
1.1.1. Introduction
1.1.2. Noise measurement
1.1.3. Effects of noise
1.1.3.1 Interference with communication
1.1.3.2 Hearing loss
1.1.3.3 Disturbance of sleep
1.1.3.4 Stress
1.1.3.5 Annoyance
1.1.3.6 Effects on performance
1.1.3.7 Miscellaneous effects
1.1.4. Summary of recommended noise exposure limits
1.2. Recommendations for further studies
2. PROPERTIES AND MEASUREMENT OF NOISE
2.1. Physical properties and measurements
2.2. Sound perception and its measurement
2.2.1. Loudness and loudness level
2.2.2. Calculation and measurement of loudness level
2.2.3. Sound level and noise level
2.2.4. The time factor
2.2.5. Noise exposure scales
2.2.6. Equivalent continuous sound pressure level
2.2.7. Level distribution
2.3. Sources of noise
2.3.1. Industry
2.3.2. Road traffic
2.3.3. Rail traffic
2.3.4. Air traffic
2.3.5. Sonic booms
2.3.6. Construction and public works
2.3.7. Indoor sources
2.3.8. Miscellaneous sources
3. EFFECTS OF NOISE
3.1. Noise-induced hearing loss
3.1.1. Hearing impairment
3.1.1.1 Hearing level, noise-induced threshold
shift, and hearing impairment
3.1.1.2 Noise-induced temporary threshold shift
3.1.1.3 Noise-induced permanent threshold shift
3.1.1.4 Incidence of noise-induced permanent
hearing loss
3.1.2. Relation between noise exposure and hearing loss
3.1.2.1 Laboratory studies
3.1.2.2 Occupational hearing loss
3.1.2.3 Factors that may influence the incidence
of noise-induced permanent threshold
shift
3.1.2.4 Combined effects of intensity and
duration of noise exposure
3.1.2.5 Estimation of hearing impairment risk
3.1.2.6 The importance of high-frequency hearing
3.1.3. Effects of impulsive noise
3.1.4. Infrasound and ultrasound
3.2. Interference with communication
3.2.1. Masking and intelligibility
3.2.2. Speech interference indices
3.2.2.1 Articulation index
3.2.2.2 Speech Interference Level
3.2.2.3 A-weighted sound pressure level
3.2.3. Perception of speech out-of-doors
3.2.4. Indoor speech communication
3.3. Pain
3.4. Sleep
3.4.1. Nature of sleep disturbance
3.4.2. Influence of noise characteristics
3.4.3. Influence of age and sex
3.4.4. Influence of previous sleep deprivation,
adaptation, and motivation
3.4.5. Long-term effects of sleep disturbance by noise
3.5. Nonspecific effects
3.5.1. The stress response
3.5.2. Circulatory system responses
3.5.3. The startle reflex and orienting response
3.5.4. Effects on equilibrium
3.5.5. Fatigue
3.6. Clinical health effects
3.6.1. Background
3.6.2. General health
3.6.3. Mental health
3.7. Annoyance
3.7.1. Definition and measurement
3.7.2. Instantaneous noise dose
3.7.3. Long-term noise dose
3.7.3.1 Aircraft noise
3.7.3.2 Road traffic noise
3.7.3.3 General environmental noise
3.7.4. Correlation between noise exposure and annoyance
3.7.5. Overt reaction
3.8. Effects on task performance
3.8.1. Noise as a distracting stimulus
3.8.2. Effects on tasks involving motor or monotonous
activities
3.8.3. Effects on tasks involving mental activities
4. EVALUATION OF HEALTH RISKS TO MAN FROM EXPOSURE TO NOISE
4.1. Environmental noise
4.2. Populations affected
4.3. Specific health criteria
4.3.1. Physical injury
4.3.2. Hearing loss
4.3.3. Nonspecific health effects
4.3.4. Interference effects
4.4. General health, welfare, and annoyance criteria
5. NOISE CONTROL AND HEALTH PROTECTION
5.1. Noise control at source
5.2. Control of sound transmission
5.3. Reduction in length of exposure
5.4. Education of workers
5.5. Ear protection
5.6. Audiometry
REFERENCES
NOTE TO READERS OF THE CRITERIA DOCUMENTS
While every effort has been made to present information in the
criteria documents as accurately as possible without unduly delaying
their publication, mistakes might have occurred and are likely to
occur in the future. In the interest of all users of the environmental
health criteria documents, readers are kindly requested to communicate
any errors found to the Division of Environmental Health, World Health
Organization, Geneva, Switzerland, in order that they may be included
in corrigenda which will appear in subsequent volumes.
In addition, experts in any particular field dealt with in the
criteria documents are kindly requested to make available to the WHO
Secretariat any important published information that may have
inadvertently been omitted and which may change the evaluation of
health risks from exposure to the environmental agent under
examination, so that the information may be considered in the event of
updating and re-evaluation of the conclusions contained in the
criteria documents.
WHO TASK GROUP ON ENVIRONMENTAL HEALTH CRITERIA FOR NOISE
Members
Dr H. E. von Gierke, Department of the Air Force, Aerospace Medical
Research Laboratory, Wright Patterson Air Force Base, OH, USA
(Chairman)
Dr E. Gros, Institute for Hygiene and Occupational Medicine,
University Clinic, Essen, Federal Republic of Germany
Professor L. L. Karagodina, F. F. Erisman Research Institute of
Hygiene, Moscow, USSR (Vice-Chairman)
Professor G. E. Lambert, Médecin Inspecteur du Travail Région Midi-
Pyrénées, Cité Administrative, Toulouse, France
Professor J. B. Ollerhead, Department of Transport Technology,
University of Technology, Loughbrough, Leicester, England
(Rapporteur)
Dr Y. Osada, The Institute of Public Health, Tokyo, Japan
Professor B. Paccagnella, Institute of Hygiene, University of Padua,
Verona, Italy
Dr P. Rey, Institute of Social and Preventive Medicine, University of
Geneva, Geneva, Switzerland
Professor R. Rylander, Department of Hygiene, University of
Gothenburg, Gothenburg, Sweden (Rapporteur)
Professor W. J. Sulkowski, Institute of Occupational Medicine, Lodz,
Poland
Ms A. Suter, Office of Noise Abatement and Control, United States
Environmental Protection Agency, Washington DC, USA (Rapporteur)
Representatives of other organizations
Dr G. H. Coppée, International Labour Organisation, Geneva,
Switzerland
Dr W. Hunter, Commission of the European Communities, Luxembourg
Dr A. Alexandre, Organisation for Economic Co-operation and
Development, Paris, France
Mr L. Nielsen, International Organization for Standardization,
Hellerup, Denmark
Observers
Ms G. Vindevogel, Ministry of Public Health and Family, Brussels,
Belgium
Mr L. Baekelandt, Ministry of Public Health and Family, Brussels,
Belgium
Secretariat
Ms B. Goelzer, Scientist, Office of Occupational Health, World Health
Organization, Geneva, Switzerland
Dr H. W. de Koning, Scientist, Control of Environmental Pollution and
Hazards, World Health Organization, Geneva, Switzerland
(Secretary)
Dr V. Krichagin, Environment and Occupational Health, WHO Regional
Office for Europe, Copenhagen, Denmark
Dr J. Lang, National Institute for Research on Heat and Noise
Technology, Vienna, Austria (Temporary Adviser)
List of abbreviations and symbols used in this document
AI articulation index
c speed of sound
CNEL community noise equivalent level
CNR composite noise rating
f frequency
I sound intensity
Ldn day-night average-sound level
Le aircraft exposure level
Leq equivalent continuous sound pressure level
Lp or SPL sound pressure level
Lp(A) A-weighted sound pressure level
LPN mean peak perceived noise level
NEF noise exposure forecast
NI noiseness index
NIPTS noise-induced permanent threshold shift
NITS noise-induced threshold shift
NITTS noise-induced temporary threshold shift
NNI noise and number index
NPL noise pollution level
p root mean square pressure
p2 mean square sound pressure
P sound power
PNL perceived noise level
SIL speech interference level
SPL or Lp sound pressure level
TNEL total noise exposure level
TNI traffic noise index
WECPNL weighted equivalent continuous perceived noise level
lambda wavelength
ENVIRONMENTAL HEALTH CRITERIA FOR NOISE
A WHO Task Group on Environmental Health Criteria for Noise met
in Brussels from 31 January to 4 February 1977. Dr. H. W. de Koning,
Scientist, Control of Environmental Pollution and Hazards, Division of
Environmental Health, WHO, opened the meeting on behalf of the
Director General and expressed the appreciation of the Organization to
the Government of Belgium for having made available the necessary
financial support for the meeting. On behalf of the Government, the
Group was welcomed by Professor Lafontaine, Director of the Institute
for Hygiene and Epidemiology, Brussels. The Task Group reviewed and
revised the second draft criteria document and made an evaluation of
the health risks from exposure to noise.
The first draft of the criteria document was prepared by a study
group that met in Geneva from 5-9 November 1973. Participants of the
Group included: Dr. T. L. Henderson and Professor G. Jansen (Federal
Republic of Germany); Dr A. F. Meyer (USA); Professor J. B. Ollerhead
(United Kingdom, Rapporteur); Professor P. Rey (Switzerland,
Chairman); Professor R. Rylander (Sweden); Professor W. J. Sulkowski
(Poland); Dr A. Annoni, Mr E. Hellen, and Mr B. Johansson
(Consultant), International Labour Organisation (ILO); Dr A.
Alexandre, Organisation for Economic Co-operation and Development
(OECD); Dr A. Berlin, Commission of the European Communities (CEC);
Professor L. A. Saenz, Scientific Committee on Problems of the
Environment (SCOPE); Mr H. J. Gursahaney, International Civil Aviation
Organization (ICAO); Dr M. Suess, World Health Organization Regional
Office for Europe; and Dr G. Cleary and Dr G. E. Lambert, World Health
Organization, Geneva. Certain sections of the first draft were later
completed with the assistance of Dr A. Alexandre (OECD), Dr D. E.
Broadbent (UK), Professor G. Jansen (FRG), and Professor W. D. Ward
(USA).
The second draft was prepared by the Secretariat after comments
had been received from the national focal points for the WHO
Environmental Health Criteria Programme in Czechoslovakia, Federal
Republic of Germany, Finland, Greece, Japan, New Zealand, Poland,
Sweden, Thailand, United Kingdom, USSR, and USA, and from the
International Labour Organisation, Commission of the European
Communities, the Organisation for Economic Co-operation and
Development, the International Civil Aviation Organization, and the
International Organization for Standardization. Many comments were
also received from individual experts and commercial concerns
including E. I. Du Pont de Nemours & Company, Wilmington, Delaware,
USA, whose contributions are gratefully acknowledged.
The Secretariat particularly wishes to thank Dr D. Hickish, Ford
Motor Company Limited, Brentwood, Essex, England, Dr G. E. Lambert,
Professor J. B. Ollerhead, Professor P. Rey, Professor R. Rylander,
and Ms A. Suter for their most valued help in the final phases of the
preparation of the document.
This document is based primarily on original publications listed
in the reference section and every effort has been made to review all
pertinent data and information available up to 1978. In addition,
reference has often been made to the various publications on noise of
the International Organization for Standardization that include the
international standards for noise assessment (ISO, 1971; 1973a;
1975a). The following reviews and criteria documents have been
referred to: Burns & Robinson (1970), Karagodina et al. (1972), Burns
(1973), NIOSH (1973a), US Environmental Protection Agency (1973a), ILO
(1976), Thiessen (1976), Rylander et al. (1978), and Health and
Welfare, Canada (1979).
Details of the WHO Environmental Health Criteria Programme
including some terms frequently used in the document may be found in
the general introduction to the Environmental Health Criteria
Programme published together with the environmental health criteria
document on mercury (Environmental Health Criteria 1, Mercury, World
Health Organization, Geneva, 1976) and now available as a reprint.
1. SUMMARY AND RECOMMENDATIONS FOR FURTHER STUDIES
1.1 Summary
1.1.1 Introduction
Noise can disturb man's work, rest, sleep, and communication; it
can damage his hearing and evoke other psychological, physiological,
and possibly pathological reactions. However, because of their
complexity, their variability, and the interaction of noise with other
environmental factors, the adverse health effects of noise do not lend
themselves to a straightforward analysis.
Probably the most important issue is the industrial noise
problem, and a need for noise control and hearing conservation
programmes is widely recognized. Road traffic is the main source of
community noise that may disturb large segments of the urban
population. Also of worldwide concern is aircraft noise, which can
significantly affect the mode of life of people living in the vicinity
of airports.
1.1.2 Noise measurement
Sound is produced by the vibration of bodies or air molecules and
is transmitted as a longitudinal wave motion. It is, therefore, a form
of mechanical energy and is measured in energy-related units. The
sound output of a source is measured in watts and the intensity of
sound at a point in space is defined by the rate of energy flow per
unit area, measured in watts per ms. Intensity is proportional to the
mean square of the sound pressure and, as the range of this variable
is so wide, it is usual to express its value in decibels (dB)a.
Because the effects of noise depend strongly upon frequency of sound
pressure oscillation, spectrum analysis is important in noise
measurement.
a decibel = a measure on a logarithmic scale of a quantity such as
sound pressure, sound power, or intensity with respect to a
standard reference value (0.0002 microbars for sound pressure,
10-12W for sound power, and 10-12W/m2 for intensity). Thus,
for example, when the sound intensity increases by a factor of
1.26 (= 100.1), it is said to have increased by 1 decibel (dB);
1 Bel equals 10 dB or a factor of 10 in intensity. The standard
reference values are implied throughout this document unless
otherwise stated.
The perceived magnitude of sound is defined as loudness and its
decibel equivalent is known as the loudness level. The loudness is a
function of both intensity and frequency, and various procedures exist
by which it may be estimated from physical measurements. The simplest
methods involve the measurement of the sound pressure level (SPL)
through a filter or network of filters that represent the frequency
response of the ear. Despite the existence of other slightly more
accurate but more complex techniques, the A-weighted sound pressure
level scale is gaining widespread acceptance and is revommended for
general use.b Whatever procedure is used, such frequency-weighted
measurements are referred to simply as sound (or noise) levels.
Measurements of sound level may be averaged over two distinctly
different periods of time. Steady sound levels and instantaneous
levels of variable sounds are measured on a very short time scale of
1 second or less. Variable sounds can be measured with a much longer
average time, over periods of hours if necessary, and are expressed in
terms of the equivalent continuous sound pressure level (Leq). This
convenient measure of average noise exposure using the A-weighting
correlates reasonably well with many human responses to noise and is
recommended for general use.
Many noise indices have been developed for predicting human
reaction to various noise levels. Some of these incorporate non-
acoustic factors that influence the reaction. Although the use of such
indices is not to be discouraged, it is desirable to adopt a uniform
approach to noise measurement, whenever possible.
1.1.3 Effects of noise
1.1.3.1 Interference with communication
Although there appears to be no firm evidence, it is believed
that interference with speech in occupational situations may lead to
accidents due to inability to hear warning shouts etc. In offices,
schools, and homes, speech interference is a major source of
annoyance. Many attempts have been made to develop a single index of
such interference, based on the characteristics of the masking noise,
that directly indicates the degree of interference with speech
perception. Such indices involve a considerable degree of
approximation. The following are the three most widely used:
b To obtain a single number representing the sound level of a noise
containing a wide range of frequencies in a manner representative
of the ear's response, it is necessary to modify the effects of
the low and high frequencies with respect to the medium
frequencies. The A-filter is one particular frequency weighting
and, when this is used, the resulting sound level is said to be
A-weighted.
Articulation index (AI). This is the most complicated index,
since it takes into account the fact that some frequencies are more
effective in masking speech than others. The frequency range from 250
to 7000 Hz is divided into 20 bands. The difference between file
average speech peak level in each of these bands is calculated and the
resulting numbers combined to give a single index.
Speech interference level (SIL). SIL was designed as a
simplified substitute for the AI. It was originally defined as the
average of the now obsolete octave-band SPLs in the 600-1200,
1200-2400, and 2400-4800 Hz octaves. At the present time, SIL, based
upon the octave band levels at the preferred frequencies of 500,
1000, 2000, and 4000 Hz, is considered to provide a better estimate of
the masking ability of a noise. As SIL does not take the actual
speech level into account, the associated masking effect depends upon
vocal effort and speaker-to-listener distance.
A-weighted sound level. This is also a convenient and fairly
accurate index of speech interference.
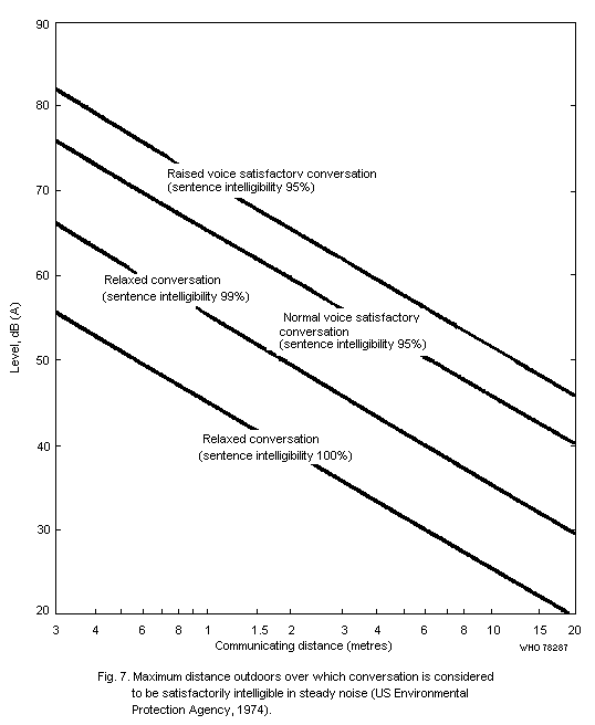
It is usually possible to express the relationship between noise
levels and speech intelligibility in a single diagram, based on the
assumptions and empirical observations that, for speaker-to-listener
distances of about 1 m:
(a) speech spoken in relaxed conversation is 100% intelligible in
background noise levels of about 45 dB(A), and can be understood
fairly well in background levels of 55 dB(A); and
(b) speech spoken with slightly more vocal effort can be
understood well, when the noise level is 65 dB(A).
For outdoor speech communication, the "inverse square law"
controls speech transmission over moderate distances, i.e., when the
distance between speaker and listener is doubled, the level of the
speech drops by approximately 6 dB. This relationship is less likely
to apply indoors, where speech communication is affected by the
reverberation characteristics of the room.
In cases where the speech signals are of paramount importance,
e.g., in classrooms or conference rooms, or where listeners with
impaired hearing faculties are involved, e.g., in homes for aged
people, lower levels of background noise are desirable.
1.1.3.2 Hearing loss
Hearing loss can be either temporary or permanent. Noise-induced
temporary threshold shift (NITTS) is a temporary loss of hearing
acuity experienced after a relatively short exposure to excessive
noise. Pre-exposure hearing is recovered fairly rapidly after
cessation of the noise. Noise-induced permanent threshold shift
(NIPTS) is an irreversible (sensorineural) loss of hearing that is
caused by prolonged noise exposure. Both kinds of loss together with
presbyacusis, the permanent hearing impairment that is attributed to
the natural aging process, can be experienced simultaneously.
In the quantification of hearing damage, it is necessary to
differentiate between NIPTS, hearing level (the audiometric level of
an individual or group in relation to an accepted audiometric
standard), and hearing impairment.
NIPTS is the hearing loss (i.e., the reduction of hearing level)
attributable to noise exposure alone, disregarding losses due to
aging. NIPTS occurs typically at high frequencies, usually with a
maximum loss at around 4000 Hz. Noise-induced hearing loss occurs
gradually, usually over a period of years. Once there is considerable
hearing loss at a particular frequency, the rate of loss usually
diminishes. Audiometrically, noise-induced losses are similar to
presbyacusis. Hearing loss due to prolonged excessive noise exposure
is generally associated with destruction of the hair cells of the
inner ear. The severity of hearing loss is correlated with both the
location and the extent of damage in the organ of Corti.
"Hearing impairment" is usually defined as the hearing level at
which individuals begin to experience difficulties in everyday life.
It is assessed in terms of difficulty in understanding speech. The
amount of loss at the speech frequencies has been used as a basis for
compensation and varies from one country to another. The unweighted
average of the losses, in dB, at 500, 1000, and 2000 Hz that is widely
used for assessing noise-induced hearing impairment, is somewhat
misleading since most hearing loss usually occurs at 2000 Hz and
above. Consequently, there is an increased tendency to include the
frequencies of 3000 and 4000 Hz in damage assessment formulae.
Attempts have been made to establish the levels of noise that are
permanently damaging to the ear and to identify individual
susceptibility to NIPTS on the basis of NITTS measurements. However,
the validity of the connection between NITTS and NIPTS has not been
agreed.
There is also some disagreement concerning the relationship
between the relative ear-damaging capacity of the noise level and its
duration. However, the hypothesis that the hearing damage associated
with a particular noise exposure is related to the total energy of the
sound (i.e., the integrated product of intensity and time) is rapidly
gaining favour for practical purposes. Thus, noise should preferably
be described in terms of equivalent continuous sound level, Leq,
measured in dB(A). For occupational noise, the level should be
averaged over the entire 8-h shift (Leq (8-h)).
Available data show that there is considerable variation in human
sensitivity with respect to NIPTS. The hazardous nature of a noisy
environment is therefore described in terms of "damage risk". This may
be expressed as the percentage of people exposed to that environment
who are expected to suffer noise-induced hearing impairment after
appropriate allowance has been made for hearing losses due to other
causes. It is now accepted that this risk is negligible at noise
exposure levels of less than 75 dB(A) Leq (8=h) but increases with
increasing levels. Based on national judgements concerning "acceptable
risk", many countries have adopted industrial noise exposure limits of
85 dB(A) + 5dB(A) in their regulations and recommended practices.
The exposure to ototoxic drugs such as certain aminoglycosidic
antibiotics however, can lower the threshold below which noise can
damage the ear.
It is not yet clear whether the damage risk rules already
mentioned can be extended to the very short durations of impulsive
noise. Available evidence indicates that a considerable risk exists,
when impulsive sound levels reach 130-150 dB, depending upon the
temporal characteristics of the impulse.
Although there is a fairly wide range of individual variability,
especially for high frequency stimuli, the threshold of pain for
normal ears is in the region of 135-140 dB sound pressure level. Aural
pain should always be considered to be an early warning sign of
excessive noise exposure.
Wherever possible, problems of noise control should be tackled at
source, i.e., by reducing the amount of noise produced. An acceptable
alternative is to isolate people from the noise by the use of noise
insulation, including soundproof enclosures, partitions, and acoustic
barriers. If this is not possible, the risk can also be minimized by
limiting the duration of exposure. Only in cases where these control
measures are impracticable should personal ear protection be
considered. These devices can and do provide useful protection but
inherent problems include those of proper fitting and use, and a
degree of discomfort.
If there is any risk of hearing damage, pre-employment and
follow-up audiometric examinations of workers should be carried out to
detect changes in hearing acuity that might indicate possible
development of NIPTS, in order to initiate preventive action.
1.1.3.3 Disturbance of sleep
Noise intrusion can cause difficulty in falling asleep and can
awaken people who are asleep. Detailed laboratory studies of the
problem have been made by monitoring electroencephalographic (EEG)
responses and changes in neurovegetative reactions during sleep.
Studies have indicated that the disturbance of sleep becomes
increasingly apparent as ambient noise levels exceed about 35 dB(A)
Leq. It has been found that the probability of subjects being
awakened by a peak sound level of 40 dB(A) is 5%, increasing to 30% at
70 dB(A). Defining sleep disturbance in terms of EEG changes, the
probability of disturbance increases from 10% at 40 dB(A) to 60% at
70 dB(A). It has also been observed that subjects who sleep well
(based on psychomotoric activity data) at 35 dB(A) Leq complain
about sleep disturbance and have difficulty in falling asleep at
50 dB(A) Leq and even at 40 dB(A) Leq. Weak stimuli that
are unexpected can still interfere with sleep.
Within a population, differences in sensitivity to noise occur
related, for example, to age and sex. Adaptation has been observed
only when noise stimuli are of low intensity. Even though sleep is
more disturbed by noise rich in information, habituation to such noise
has been observed. Based on the limited data available, a level of
less than 35 dB(A) Leq is recommended to preserve the restorative
process of sleep.
1.1.3.4 Stress
Noise produces different reactions along the hypothalamo-
hypophyseal-adrenal axis including an increase in adenocorticotropic
hormone (ACTH) release and an elevation of corticosteroid levels. Some
of these reactions have been elicited in an acute form in laboratory
experiments at rather moderate levels of noise.
Effects on the systemic circulation such as constriction of blood
vessels have been produced under laboratory conditions and a high
incidence of circulatory disturbances including hypertension has been
found in noise-exposed workers. A tendency for blood pressure to be
higher in populations living in noisy areas around airports has been
suggested but no conclusive evidence of this has been presented.
Noise affects the sympathetic division of the autonomic nervous
system. Eye dilation, bradycardia, and increased skin conductance are
proportional to the intensity of noise above 70 dB SPL, without
adaptation to the stimulus.
Other sympathetic disturbances, such as changes is
gastrointestinal motility, can be produced by intense sound. Medical
records of workers have shown that, in addition to a higher incidence
of hearing loss, noise-exposed groups have a higher prevalence of
peptic ulcer; however, a causal relationship has not been established.
More studies are required to determine the long-term health risks
due to the action of noise on the autonomic nervous system.
1.1.3.5 Annoyance
Noise annoyance may be defined as a feeling of displeasure evoked
by a noise. The annoyance-inducing capacity of a noise depends upon
many of its physical characteristics including its intensity, spectral
characteristics, and variations of these with time. However, annoyance
reactions are sensitive to many nonacoustic factors of a social,
psychological, or economic nature and there are considerable
differences in individual reactions to the same noise.
Attempts to define criteria linking noise exposure and annoyance
have led to the development of many methods for the measurement of
both variables. In social surveys, questionaires are used to assess
the annoyance felt by an individual in response to various types of
noise. Much research has been aimed at the definition of suitable
questions through which annoyance reactions could be quantified.
In the search for a suitable noise index, numerous noise and some
nonacoustic variables were assembled in various ways to discover which
combinations were most closely correlated with annoyance reactions.
The resulting diverse indices were given such names as composite noise
rating (CNR), community noise equivalent level (CNEL), noise and
number index (NNI), and noise pollution level (NPL) among many others.
In fact, many experts consider that, in terms of annoyance prediction
ability, there is little practical difference between the various
indices and that an appropriate index should be selected for the
convenience with which it can be measured or calculated. For this
reason, variants of the equivalent continuous A-weighted sound
pressure level (Leq) are being widely adopted for general use. These
are conveniently applied to noise exposure patterns of all kinds, from
multiple sources if necessary, and are reasonably well correlated both
with annoyance and with other specific effects of noise.
Whatever noise scale is used to express noise exposure, it must
be recognized that, at any level of noise annoyance, reactions will
vary greatly because of psychosocial differences. A useful technique
for accommodating the possible extent of individual variation is the
use of a criterion curve showing the percentage of persons who will be
annoyed as a function of noise level.
Such curves have been derived for a variety of noise conditions
but mainly for those concerned with aircraft or road traffic noise. On
the basis of these, it can be concluded that, in residential areas
where the general daytime noise exposure is below 55 dB(A) Leq,
there will be few people seriously annoyed by noise. This is
recommended as a desirable noise exposure limit for the general
community, even though it will be difficult to achieve in many urban
areas. Some residents may consider this level too high, especially as
substantially lower levels currently prevail in many suburban and
rural areas.
Criteria relating noise exposure and complaint potential have
found widespread application for environmental control purposes in
some countries. However, the scientific basis for such criteria is
rather fragmentary and surveys have indicated that the correlation
between noise exposure and individual complaint behaviour is low. This
may be explained in terms of the strong influence of psychosocial
factors.
1.1.3.6 Effects on performance
The effect of noise on the performance of tasks has mainly been
studied in the laboratory and, to some extent, in work situations,
but, there have been few, if any, detailed studies of the effects of
noise on human productivity in real-life situations. It is evident
that when a task involves auditory signals of any kind, noise at an
intensity sufficient to mask or interfere with the perception of these
signals will interfere with the performance of the task.
Noise can act as a distracting stimulus, depending on how
meaningful the stimulus might be, and may also affect the psycho-
physiological state of the individual. A novel event, such as the
start of an unfamiliar noise will cause distraction and interfere with
many kinds of tasks. Impulsive noise (such as sonic booms) may produce
disruptive effects as the result of startle responses which are more
resistant to habituation.
Noise can change the state of alertness of an individual and may
increase or decrease efficiency.
Performance of tasks involving motor or monotonous activities is
not always degraded by noise. At the other extreme, mental activities
involving vigilance, information gathering, and analytical processes
appear to be particularly sensitive to noise. It has been suggested
that, in industry, the most likely indicator of the effects of noise
on performance would be an increase in accidents attributable to
reduced vigilance.
1.1.3.7 Miscellaneous effects
Certain noises, especially impulsive ones, may induce a startle
reaction. This consists of contraction of the flexor muscles of the
limbs and the spine, a contraction of the orbital which can be
recorded as an eye blink, and a focusing of attention towards the
location of the noise. The startle reflex to acoustic stimulation has
been observed in the 27-28 week fetus in utero as a change in the
pulse rate.
It has been suggested that observed noise-induced equilibrium
effects are due to the noise stimulating the vestibular apparatus, the
receptors of which are part of the inner ear structure.
Although there is no clear evidence of a direct relationship
between noise and fatigue, noise can be considered as an environmental
stress which, in conjunction with other environmental and host
factors, may induce a chronic fatigue that could lead to non-specific
health disorders.
1.1.4 Summary of recommended noise exposure limits
The equivalent continuous A-weighted sound pressure level Leq
is recommended for use as a common measure of noise exposure. The
measurement period should be related to the problem under study, for
example in the case of occupational noise, Leq (8-h) would be
measured for a complete 8-h shift.
For the working environment, there is no identifiable risk of
hearing damage in noise levels of less than 75 dB(A) Leq (8-h). For
higher levels, there is an increasing predictable risk and this must
be taken into account when setting occupational noise standards.
In other occupational and domestic environments, acceptable noise
levels can be established on the basis of speech communication
criteria. For good speech intelligibility indoors, background noise
levels of less than 45 dB(A) Leq are required.
At night, sleep disturbance is the main consideration and
available data suggest a bedroom noise limit of 35 dB(A) Leq.
Data from surveys of community noise annoyance lead to the
recommendation that general daytime outdoor noise levels of less than
55 dB(A) Leq are desirable to prevent any significant community
annoyance. This is consistent with speech communication requirements.
At night, a lower level is desirable to meet sleep criteria; depending
upon local housing conditions and other factors this would be in the
order of 45 dB(A) Leq.
1.2 Recommendations for Further Studies
Considerable research aimed at improving the scientific basis and
application of environmental health criteria for noise is in progress
in many countries. However, there are certain areas where present
national and international efforts do not appear adequate. Thus,
further studies should include:
(a) The identification of long-term health effects due to high
level industrial noise and lower level general environmental noise.
The potential contribution of noise stress to the general morbidity of
the population, the ability of people to adapt to environmental noise,
and the possibilities of noise-induced disease must be established not
only for the working population, but also for the more vulnerable
population segments, including the elderly, pregnant women, people
undergoing medication, particularly with ototoxic drugs such as
salicylates, quinine, and certain antibiotics, and those generally
under stress. The possibility that the disturbance of sleep by noise
can result in definite health impairment should be examined as part of
these investigations.
(b) Studies on young people over many years prior to, and during,
occupational noise exposure to find out to what extent changes in
hearing acuity during adolescence are attributable to normal growth or
to environmental conditions, to learn about noise susceptibility in
childhood, and to obtain data on the progressive effects of noise
(including high-level music and other leisure-time sounds) on the
"normal" hearing level of the population. Monitoring of the total
noise exposure of these groups over the whole observation period would
be part of these studies. Similar studies in nonindustrialized
countries would be of particular value.
(c) Work on the development of sensitive hearing tests and on
tests to evaluate the problem of individual susceptibility to noise,
since pure tone audiometry is only a crude technique for measuring
hearing acuity and for detecting pathological damage.
(d) Longitudinal studies of communities exposed to major changes
in environmental noise to refine existing dose-response (noise-
annoyance) relationships and to include the effects of adaptation and
societal changes on public reaction to noise. Attention should be
given to the study of the response of specially vulnerable segments of
the population.
The methods of study should be internationally uniform, as far as
is feasible, to allow pooling of data and broader interpretation of
the results.
2. PROPERTIES AND MEASUREMENT OF NOISE
Noise is considered as any unwanted sound that may adversely
affect the health and well-being of individuals or populations.
Physically, sound is a mechanical disturbance propagated as a
wave motion in air and other elastic or mechanical media such as water
or steel.
Physiologically, sound is an auditory sensation evoked by this
physical phenomenon. However, not all sound waves evoke an auditory
sensation: for example, ultrasound has a frequency too high to excite
the sensation of hearing.
The physical properties and perception of sound or noise are
expressed and measured in different concepts and units.
2.1 Physical Properties and Measurements
Sound waves involve a succession of compressions and rarefactions
of an elastic medium such as air. These waves are characterized by the
amplitude of pressure changes, their frequency, and the velocity of
propagation. The speed of sound (c), the frequency (f), and
the wavelength (lambda), are related by the equation
lambda = c/f
A mechanical energy flux accompanies a sound wave, and the rate
at which sound energy arrives at, or passes through, a unit area
normal to the direction of propagation is known as the sound
intensity, I. In a free sound field, the sound intensity is related
to the root mean square a sound pressure, p, and the density of the
medium, q, by the expression
p2
I =
q c
Sound intensity is normally measured in watts per square metre
(W/m2). The total sound energy emitted by a source per unit time is
known as the sound power, P, and is measured in watts.
Sound intensities of practical interest cover a very large range
and are therefore measured on a logarithmic scale. The relative
intensity level of one sound with respect to another is defined as 10
times the logarithm (to the base 10) of the ratio of their
a The square root of the mean value of the squares of the
instantaneous values of a quantity. For a periodic variation, the
mean is taken over one period.
intensifies. Levels defined in this way are expressed in decibels
(dB). Any acoustic quantity that is related to sound energy, e.g.,
power, intensity, or mean square pressure, may be expressed as a
decibel level. To establish an absolute level, a reference value must
be agreed. Thus, the sound pressure level of a sound with a mean
square sound pressure p2 is:
Table 1. Table for combining intensity levels
Excess of stronger Add to the stronger to get
component combined level
d8 d8
0 3.0
1 2.5
2 2.0
3 1.8
4 1.5
5 1.2
6 1.0
7 0,8
8 0.7
9 0.6
10 0.5
p 2
Lp = 10 log10 ( ) dB
pref
where the reference pressure pref has an internationally agreed
value of 20 micropascals (µPa) (ISO, 1959). The reference values for
sound power level and sound intensity level are 10-12 watts and
10-12 W/m2, respectively (ISO, 1963). Sound levels are expressed in
decibels (dB) relative to the international standard reference
quantities, unless otherwise stated (dB re: 20 µPa).
Whereas sound intensities or energies are additive,b sound
pressure levels (SPL) (in decibels) have to be first expressed as mean
square pressures, and then added. The summation of sound pressure
levels can be easily performed by using the following equation:
Lp1 Lp2 Lp3
Lp = 10 log10 [ + + .... ] dB
1010 1010 1010
b Such combinations of decibel values may be simplified by using
Table 1.
A simple example will illustrate the use of this equation. If two
sound sources of 80 dB SPL each have to be combined, then
L = 10 log10 [108 + 108]
= 10 log10 2 + 80 = 10 X 0.301 + 8 = 83 dB
It is only when two sources generate similar levels that there is
a significant increase in level when the sources are combined. The
example just quoted gave a 3 dB increase. If there is any difference
in the original, independent levels, the combined level will exceed
the higher of the two levels but by less than 3 dB. When the
difference between the two original levels exceeds 10 dB, the
contribution of the quieter source to the combined noise level is
negligible.
Sound is measured with a microphone that generates a voltage
proportional to the acoustic pressure acting upon it. This signal can
be measured and analysed using conventional electronic
instrumentation. A sound level meter is usually a portable, self-
contained instrument incorporating a microphone, amplifiers, a
voltmeter and attenuators, the whole of which carl be calibrated to
read sound pressure levels directly. Intensity levels and power levels
can be derived from sound pressure level measurements if required.
The sound at a given location can be completely described in
terms of the history of the sound pressure fluctuation. If this
fluctuation is periodic, its fundamental frequency is the number of
repetitions per second, expressed in hertz (Hz). Most real periodic
cycles are quite complex and consist of a component at the fundamental
frequency and components at multiples of this basic frequency, known
as harmonics.
The simplest kind of sound, known as a pure tone, has a
sinusoidal pressure cycle that is completely defined in terms of a
single frequency and pressure amplitude (a more precise definition
would also include phase which effectively defines the starting point
in time, but this is usually of little or no interest).
Pure tones are relatively rare -- perhaps the nearest
approximation is the sound of a tuning fork. Most musical sounds are
periodic but contain many harmonics. Analytically these may be
expressed as a sum of harmonically related components. This assembly
is known as the frequency spectrum of the sound, and it specifies how
the energy in the periodic sound is concentrated at certain discrete
frequencies. The frequency distribution of sound energy is measured by
electronic filters.
Although some kinds of machinery produce sound that is largely
periodic, most noise is nonperiodic, i.e., the sound pressure does not
oscillate with time in any regular or predictable way. Such sound is
said to be random. Examples of random sound include the roar of a jet
engine, the rumble of distant traffic, and the hiss of escaping steam.
The energy of random sound is distributed continuously over a range of
frequencies instead of being concentrated at discrete values, so that
its frequency spectrum may be depicted as a curve of energy density
plotted against frequency.
Frequency is related, but not identical, to the subjective pitch.
Any periodic sound has a tonal character that can be ascribed a
particular musical note. The note is basically defined by the
fundamental frequency of the sound. For example, the note A above
middle C on the piano has a fundamental frequency of 440 Hz. On the
other hand, random sound has no distinct pitch, being characterized as
a nondescript rumbling, rushing, or hissing noise, or low and high
frequency noises depending upon the range of frequencies present.
Human hearing is sensitive to frequencies in the range of about
16-20 000 Hz (the "audiofrequency range"). The audible frequency range
is covered by 10 octave bands. An octave is the frequency interval the
upper limit of which is twice the lower limit. The so-called
"preferred frequencies" at the centres of the standardized octave
bands are spaced at octave intervals from 16 to 16 000 Hz (ISO,
1975a). It should be noted that the limits of the octave bands are
f/square root 2 and f square root 2, where f is the centre
frequency. The octave band level at a particular centre frequency is
the level of the sound measured when all acoustic energy outside this
band is excluded. One-third octave band filters, widely used for
noise assessment purposes, subdivide each octave interval into three
parts and provide a more complete description of the sound spectrum.
In order to measure sound pressure level, the mean square
pressure must be averaged over a certain period of time. For steady
sounds, the choice of averaging time is immaterial providing that it
is long compared with the time period of sound pressure fluctuations.
Standard sound level meters normally incorporate "fast" and "slow"
response settings corresponding to averaging times of approximately
0.1 and 1.0 second respectively (IEC, 1973a) (section 2.2.4).
Impulsive noise consists of one or more bursts of sound energy,
each of a duration of less than about one second (ISO, 1973a). Sources
of impulsive noise include impacts of all kinds, e.g., hammerblows,
explosions, and sonic booms. These may be heard singly or, as in the
case of a stamping press, repetitively. To characterize such sounds
acoustically, it is necessary to estimate the peak sound pressures
together with the duration, rise time, repetition rate, and the number
of pulses. The mean square pressure of such sounds may change so
rapidly that it cannot be measured with a conventional sound level
meter, even using the "fast response" (0.1 sec) setting. For more
accurate measurements, a 35-millisecond averaging time is specified
for standard "impulse" sound level meters (IEC, 1973b). The averaging
time of the inner ear is very short (about 30 microseconds) and some
new impulse sound level meters have "peak hold" settings with an
averaging time of 20 microseconds.
2.2 Sound Perception and its Measurement
2.2.1 Loudness and loudness level
The physical magnitude of a sound is given by its intensity and
its subjective or perceived magnitude is called its loudness. Loudness
depends on both intensity and frequency and the average quantitative
relationship between these factors has been deduced by experiment (see
for example Fletcher & Munson, 1933; Stevens, 1955).
The basic unit of loudness is the sone which is defined as the
loudness of a 1000 Hz pure tone heard at an SPL of 40 dB re: 20 µPa
under specified listening conditions (ISO, 1959). Two sones equal
twice the loudness of one sone and so on. For sound at a particular
frequency, at least over a significant fraction of the practical
intensity range, loudness is proportional to some power of the sound
intensity. This is the power law of loudness which is in general
accordance with the Weber-Fechner law (Stevens, 1957b). In the mid
audiofrequency range, the exponent in the power law is such that a
twofold change in loudness corresponds to a tenfold change in
intensity, i.e., a 10 dB change in level (Stevens, 1957a). At low
frequencies, loudness changes more rapidly with changes in level. This
is demonstrated in Fig. 1, which shows a standard set of equal
loudness contours for pure tones (Robinson & Dadson, 1956; ISO, 1961),
each line showing how the SPL of the tone must be varied to maintain a
constant loudness. Each curve, in fact, corresponds to a particular
loudness in phons. The loudness of a sound, in phons, is, by
definition, equal to the SPL of that 1000 Hz tone which is equally
loud -- again under specified listening conditions (ISO, 1959). For
practical purposes, the relationship between the phon and sone scales
may be expressed as:
phon = 40 + log2 (sone)
2.2.2 Calculation and measurement of loudness level
Ideally, sound measurement meters should give a reading equal to
loudness in phons bu it is difficult to achieve this objective,
because the human perception processes are complex. Nevertheless,
procedures have been developed and adopted as international standards
(ISO, 1975b) but, as they are too complex to be incorporated into a
simple measurement meter, they are rarely used in practice, except
where the highest possible precision is required.
For most practical purposes, a much simpler approach is used. A
filter is used to weight sound pressure level measurements as a
function of frequency, approximately in accordance with the frequency
response characteristics of the human ear, i.e., energy at low and
high frequencies is de-emphasised in relation to energy in the mid-
frequency range. Most precision sound level meters incorporate three
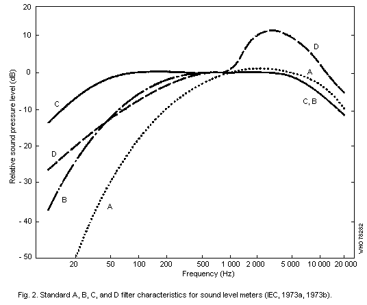
selectable filters labelled A, B, and C (IEC, 1973a) and sometimes
D-filter (see section 3.7.2) (IEC, 1973b), the characteristics of
which are illustrated in Fig. 2. The A, B and C filters are intended
to match the ear-response curves at low, moderate, and high loudness
respectively. However, extensive experience has shown that the
A-filter usually provides the highest correlation between physical
measurements and subjective evaluations of the loudness of noise.
Levels on the A-scale are also measured in decibel units and are
commonly expressed as dB(A), a convention that is used throughout this
document.
The A-weighting is used for sound measurements in a variety of
situations, as it is widely accepted that the A-weighted sound
pressure level, Lp(A), is a reasonably reliable and readily measured
estimate of loudness (Botsford, 1969; Young & Peterson, 1969). It must
be emphasized that this in only true for broadband sounds with no
spectral concentrations of energy, in which case Lp(A) is typically
some 10 decibel units lower than loudness in phons. For narrow
frequency range sounds, considerable care must be exercised in the
interpretation of A-weighted sound pressure level readings, since they
may not accurately reflect the loudness of the sound. It should be
noted that the A-scale has been adopted so generally that sound levels
frequently quoted in the literature simply in dB are in fact
A-weighted levels. Furthermore, many general purpose sound level
meters are restricted solely to A-weighted measurements (IEC, 1961).
2.2.3 Sound level and noise level
The phrase "noise level' is widely used by laymen to describe the
severity of an environmental noise. In acoustics, the word "level"
should be reserved for all quantities expressed on a decibel scale. In
this document, as is now common practice in many countries, the
phrases "sound level" and "noise level" refer to decibel scales that
account for human hearing characteristics (the A-weighted SPL scale
being the most widely used). Care should be exercised to distinguish
between sound pressure level, sound power level, sound intensity
level, and sound or noise level.
2.2.4 The time factor
Sounds can appear to be steady to the human ear because the
auditory averaging time is inherently long, much longer than the
acoustic cycle times. Similarly, sound level measurements can be made
to appear steady by selecting a suitably long averaging time. On
precision sound level meters the "slow" value is appreciably longer
than the auditory averaging time and is used to obtain a steady
reading, when the signal level audibly fluctuates at a rapid rate. The
"fast" response time is of the same order as that of the ear.
Sound level fluctuations, which can be smoothed out by the use of
the slow response setting, are usually ignored for noise assessment
purposes. However, difficulties arise when "slow response" readings
vary significantly with time, as they do in many environments. Often,
such level fluctuations are small but in some situations, for example,
near to roads and airports, the fluctuations can be measured in tens
of dB; the rate of fluctuation can also vary widely.
2.2.5 Noise exposure scales
In many noise indices that are well correlated with the
subjective effects of interest, various underlying acoustic and
nonacoustic factors have been combined in different ways. These
composite indices are discussed in section 3.7 and the present section
is restricted to the question of the physical measurement of noise.
The basic objective of measurement is to quantify overall noise
exposure in the simplest possible terms. The physical characteristics
of a noise which, on the basis of intuition and laboratory experiment,
might be expected to influence its subjective effects include the
following: loudness level (recognizing average and peak values
together with impulsive characteristics where appropriate); total
noise "dose"; level fluctuation amplitudes; and rates of fluctuation.
Clearly, the acoustic variables alone have many dimensions; the
following two procedures are commonly used to measure some of them.
2.2.6 Equivalent continuous sound pressure level
To measure an average sound level the meter averaging time is
extended to equal the period of interest T, which may be an
interval of seconds, minutes, or hours. This gives the equivalent
continuous sound pressure level (Leq) derived from the mathematical
expression:
1 T Lp(A)(t)
Leq = 10 log10 integral db(A)
T o 1010dt
Because the integral is a measure of the total sound energy during the
period T, this process is often called "energy averaging". For
similar reasons, the integral term representing the total sound energy
may be interpreted as a measure of the total noise dose. Thus, Leq
is the level of that steady sound which, over the same interval of
time, contains the same total energy (or dose) as the fluctuating
sound.
Equivalent continuous sound level is gaining widespread
acceptance as a scale for the measurement of long-term noise exposure.
For example, it has been adopted by the International Organization for
Standardization for the measurement of both community noise exposure
(ISO, 1971) and hearing damage risk (ISO, 1975c). It also provides a
basis for more elaborate composite noise indices discussed in
subsequent sections including the day-night sound level (Ldn)
(section 3.7.3.3).
Following the introduction of jet aircraft into commercial
service, it was suggested that the then existing loudness scales were
inadequate for aircraft noise rating purposes. An alternative scale of
perceived noise level (PNL) was developed, with units dB(PN) (Kryter,
1959). This was derived from the loudness level procedure of Stevens
(1956) on the grounds that the attribute of perceived noisiness
defined as the "unwantedness" of the sound was different and more
relevant to aircraft noise than loudness. In fact, the only difference
between the calculations involved was the use of different frequency
response curves. As research progressed towards legislation for
aircraft noise emission control (US Federal Aviation Regulations,
1969; ICAO, 1971), the perceived noise level scale was modified to
include special weightings for "discrete frequency components", i.e.,
irregularities in the spectrum caused by the noticeable periodic
components of engine fan and compressor noise, and the duration of the
sound (Kryter & Pearsons, 1963). This modified quantity, known as
effective perceived noise level, is expressed in dB(EPN).
Because PNL could not be measured with a simple meter, a parallel
development was the D-weighting filter, with characteristics based on
an equal noisiness (rather than an equal loudness) frequency response
curve (IEC, 1976). This filter is available on some sound level meters
and is intended for aircraft noise monitoring purposes.
2.2.7 Level distribution
A widely used method of recording the variations in sound level
is that of level distribution analysis, sometimes called statistical
distribution analysis. This yields a graph of the percentage of the
total time (T) for which any given sound level is exceeded; such
information can be summarized by reading specific levels from this
graph. For example L10, L50, and L90, the levels exceeded for
10%, 50%, and 90% of the time, are frequently used as measures of
typical peak, average, and background levels, respectively.
2.3 Sources of Noise
2.3.1 Industry
Mechanized industry creates the most serious of all large scale
noise problems, subjecting a significant fraction of the working
population to potentially hazardous noise levels. This noise is due to
machinery of all kinds and often increases with the power of the
machines. The characteristics of industrial noise vary considerably,
depending on specific equipment. Rotating and reciprocating machines
generate sound that is dominated by periodic components; air moving
equipment tends to generate broad-band random sounds. The highest
noise levels are usually caused by components or gas flows that move
at high speed [e.g., fans, steam pressure relief valves) or by
operations involving impacts (e.g., stamping, riveting, road
breaking). In industrial areas, the noise usually stems from a wide
variety of sources, many of which are of a complex nature.
Machinery noise generation mechanisms are reasonably well
understood and the technical requirements for low noise output in new
machinery can usually be specified. The difficulty of reducing the
noisiness of existing equipment is a serious obstacle to the
improvement of working environments.
2.3.2 Road traffic
The noise of road vehicles is mainly generated from the engine
and from frictional contact between the vehicle and the ground and
air. In general, road contact noise exceeds engine noise at speeds
higher than 60 km/h. The level of noise from traffic is correlated
with the traffic flow rate, the speed of the vehicles, and the
proportion of heavy vehicles, which, together with motorcycles, tend
to be about twice as loud as motor cars.
Special problems arise in areas where the traffic movements
involve a change in engine speed and power, such as at traffic lights,
hills, and intersecting roads.
2.3.3 Rail traffic
Trains generate a relatively low frequency noise but variations
are present depending upon the type of engine, wagons, and rails.
Impact noises are generated in stations and marshalling yards because
of shunting operations. The introduction of high speed trains has
created special noise patterns, especially when such trains pass over
bridges or other structures that cause amplification of the noise. At
speeds of around 200 km/h, the proportion of high frequency sound
energy increases and the sound is perceived to be similar to that of
overflying jet aircraft. Furthermore, with increasing speed the onset
of the noise is more sudden than with conventional trains. Thus,
severe noise problems have been created in countries where high speed
trains operate, notably in Japan.
2.3.4 Air traffic
Aircraft operations have caused severe community noise problems.
Introduction of the early turbojet transport aircraft led to a surge
of community reactions against commercial airports, and more research
has been devoted to aircraft noise than to any other environmental
noise. The noise generation is related to air velocity, which is an
important feature for aircraft and aircraft engines. Fast moving
bodies such as propellers and compressor blades, as well as jet
exhaust gases are very efficient sources of noise.
Aircraft noise is characterized by a wide frequency range with
the periodic components of rotating machinery noise (fans, propellers,
and rotors) superimposed on a general broadband background noise. For
jet aircraft, the periodic components tend to be more dominant on
landing than on take-off when the broadband exhaust noise
predominates. For aircraft with quiet engines, noise from the hull may
become dominant when landing.
Aircraft noise control depends critically on the reduction of
engine component and gas velocities. The high by-pass ratio turbo-fan
engines of newer aircraft with components operating at significantly
lower speeds have resulted in a reduction in aircraft noise levels,
and offer considerable promise of less noisy airports, as they
gradually replace older equipment.
2.3.5 Sonic booms
The sonic boom is a shock wave system generated by an aircraft,
when it flies at a speed slightly greater than the local speed of
sound. The shock wave extends from an aircraft throughout supersonic
flight in a roughly conical shape. At a given point, the passage of
the shock wave causes an initial sudden rise in atmospheric pressure
followed by a gradual fall to below the normal pressure and then a
sudden rise back to normal. These pressure fluctuations, when
recorded, appear in their typical form as so-called N-waves. When they
occur with a separation greater than about 100 milliseconds, the sonic
boom has a characteristic double sound. Rise times from less than 0.1
to 15 milliseconds and durations up to 500 milliseconds have been
recorded for typical sonic booms generated by military or civilian
aircraft.
Low intensity sonic booms with longer rise times are perceived as
a noise similar to distant thunder. As the rise time increases, the
noise becomes progressively sharper and attains a "dry cracking"
character. An aircraft in supersonic flight trails a sonic boom that
can be heard over more than 50 km on either side of its ground track
depending upon the flight altitude and the size of the aircraft
(Warren, 1972).
2.3.6 Construction and public works
Building construction and earth works are activities that cause
considerable noise emissions. A variety of sounds is present from
cranes, cement mixers, welding, hammering, boring, and other work
processes. Construction equipment is often poorly silenced and
maintained, and building operations are frequently carried out without
considering the environmental noise consequences.
2.3.7 Indoor sources
Indoor noise originates from a variety of sources such as air
conditioners, waste disposal units, and furnaces. Noises from outdoor
sources also penetrate through windows and weaknesses in building
structures, although with some attenuation. Within a building, noise
is transmitted from room to room through ventilation ducts and through
the building structure itself. Of particular interest is the low
frequency sound emitted by ventilation or air conditioning equipment.
This noise, which often has discreet frequencies, can be generated by
fans, vibrations in conducting ducts, or at air outlets.
2.3.8 Miscellaneous sources
Apart from the major categories of noise already identified,
which affect a large number of people in the community, many other
sources of noise can be important in individual cases. Firing ranges,
sports fields, and pleasure grounds are examples of fixed sources,
while noises from garbage collection and power-operated lawn-mowers
are other examples of machine-produced noise that can interfere with
man's comfort and rest. Neighbourhood noise also includes noise from
domestic animals, farm equipment, boats, and the sirens of emergency
vehicles.
3. EFFECTS OF NOISE
3.1 Noise-induced Hearing Loss
3.1.1 Hearing impairment
Normal hearing is regarded as the ability to detect sounds in the
audiofrequency range (16-20 000 Hz) according to established
standards. However, individual hearing ability in man varies. Some of
these variations may be attributed to the effects of different
environmental influences (Roberts & Bayliss, 1967); in industrialized
countries, women generally have better hearing than men (Kylin, 1960;
Dieroff, 1961; Gallo & Glorig, 1964).
As a rule, hearing sensitivity diminishes with age, a condition
known as presbyacusis (Glorig & Nixon, 1962). Consequently,
corrections for aging should be considered when examining data on
hearing loss caused by noise exposure. However, the literature
reflects controversy concerning the degree to which cumulative effects
of noise exposure in everyday life may contribute to eventual hearing
loss (socioacusis), thus obscuring the effect due to aging alone.
Moreover, there is considerable variation between individuals in both
the amount and rate of hearing loss due to aging. The general pattern
of progression of presbyacusis has been quite well-established, and
data are available in numerous reference sources (US National
Institute for Occupational Safety and Health, 1972; US Environmental
Protection Agency, 1973a, 1974). Loss of hearing sensitivity due to
aging occurs mainly at the higher audiometric frequencies and is
almost invariably bilateral (i.e., in both ears).
3.1.1.1 Hearing level, noise-induced threshold shift, and hearing
impairment
In order to discuss the effects of noise on hearing, it is
necessary to differentiate between hearing level, noise-induced
threshold shift (NITS), and hearing impairment.
Hearing level refers to the audiometric threshold level of an
individual or group in relation to an accepted audiometric standard
(ISO, 1975d) and is sometimes termed "hearing loss". Noise-induced
threshold shift is the quantity of hearing loss attributable to noise
alone, after values for presbyacusis (including socioacusis) have been
subtracted. These values may differ slightly according to where and
how the presbyacusis data were collected (see for example Hinchcliffe,
1959; Gallo & Glorig, 1964; Spoor, 1967; US National Centre for Health
Statistics, 1975).
Hearing impairment is generally referred to as the hearing level
at which individuals begin to experience difficulty in leading a
normal life, usually in relation to understanding speech. Hearing
impairment has been defined in the USA as an arithmetic average of
26 dB or more hearing loss at the frequencies, 0.5, 1, and 2 kHz (the
definition is currently being revised); in Poland, it is defined as
30 dB or more at 1, 2, and 4 kHz (after age correction), and in the
United Kingdom, it is 30 dB or more at 1, 2, and 3 kHz. It should be
noted that a damage risk criterion of 30 dB at 1, 2, and 4 kHz may be
more protective than a criterion of 26 dB at 0.5, 1, and 2 kHz,
because hearing loss at high frequencies is usually greater than the
loss at 500 Hz.
3.1.1.2 Noise-induced temporary threshold shifta
A person entering a very noisy area may experience a measurable
loss in hearing sensitivity but recover some time after returning to a
quiet environment. This phenomenon can be measured as a shift in
audiometric thresholds, and is called noise-induced temporary
threshold shift (NITTS).
Recovery from NITTS depends on the severity of the hearing shift,
individual susceptibility, and the type of exposure. If recovery is
not complete before the next noise exposure, there is a possibility
that some of the loss will become permanent. Information on NITTS has
been used for two purposes: first, to predict noise levels that could
be permanently damaging to the ear, and second, to attempt to predict
individual susceptibility to hearing loss caused by excessive noise.
Measurements of NITTS are made by comparing pre- and post-exposure
audiograms. The extent of NITTS, for the same exposure, varies
considerably between individuals. Recovery can take hours, days, or
even weeks after exposure. It should be noted that NITTS can be
experienced by individuals who already suffer from permanent noise-
induced hearing losses. Thus, when assessing permanent damage,
sufficient recovery time in the quiet should be allowed before
audiometry.
It would appear from recent investigations that the relationship
between NITTS and the noise-induced permanent threshold shift (NIPTS)
is very uncertain and that damage-risk criteria should be based on
epidemiological rather than on NITTS data.
3.1.1.3 Noise-induced permanent threshold shift
The typical pattern of NIPTS usually involves a maximum loss at
around 4000 Hz. Because the loss is sensorineural, it is seen in both
air and bone conduction audiograms. Noise-induced hearing loss is not
an abrupt process but occurs gradually, usually over a period of
years. The rate and extent of loss depends on the severity and
duration of the noise exposure, but individual susceptibility also
a Sometimes called auditory fatigue.
seems to have a considerable effect on the rate of progression. Noise-
induced losses are rather similar to losses due to aging and the two
types of losses are difficult, if not impossible, to distinguish.
Fig. 3 shows the progression of noise-induced hearing loss observed in
workers with increasing duration of exposure to high noise levels
(Johansson, 1952).
The first stages of noise-induced hearing loss are often not
recognized because they do not impair speech communication ability. As
the loss becomes greater, difficulty may be encountered particularly
in noisy locations.
Hearing of important sounds other than speech, such as door
bells, telephones, or electronic signals, may also be impaired. With
further loss in hearing, speech communication may be severely
affected.
3.1.1.4 Incidence of noise-induced permanent hearing loss
The prevalence of hearing loss among workers in noisy industries
has been recognized since ancient times, and excessively loud noises
are popularly described as deafening. Clinical observations of noise-
induced hearing loss have been reported for more than a century, but
it is only recently that the problem has been studied intensively. It
has been suggested that even though people exposed to intense noise
frequently experience a substantial noise-induced temporary threshold
shift, sometimes accompanied by tinnitus (ringing in the ears), the
fact that very often such symptoms seem to disappear within a short
time may lead them to believe that no permanent damage has occurred.
However, neither the subjective loudness of a noise, nor the extent to
which the noise causes discomfort, annoyance, or interference with
human activity, are reliable indicators of its potential danger to the
hearing mechanism.
As there is considerable variation among individuals, it is very
difficult to identify a safe limit of noise exposure that can be
applied for all ears.
Most current knowledge of hearing loss due to noise has been
obtained from industrial surveys. There is also evidence that non-
industrial exposure to noise can be harmful. Results of several
studies have confirmed that high levels of "rock and roll" and similar
music can produce considerable temporary threshold shift and even
permanent threshold shift. Audiograms of "pop-musicians" typically
show losses at 400 Hz in both ears (Kowalczuk, 1967). It has also been
shown that men and women are equally at risk of hearing damage, when
exposed to over-amplified music (Fletcher, 1972). Other non-
occupational activities that can contribute to hearing loss include
shooting and motorcycling.
3.1.2 Relation between noise exposure and hearing loss
In the normal auditory process, sound vibrations in the air
travel through the ear canal and cause the eardrum to vibrate. The
vibrations are then transmitted by the bones of the middle ear to the
sensory organ of the inner ear (cochlea). Here they are transduced by
hair cells into nerve impulses and transmitted to the brain, where
they are perceived as sound or noise.
Blasts and other intense or explosive sounds can rupture the
eardrum or cause immediate damage to the structures of the middle and
inner ear, while hearing loss due to prolonged noise exposure is
generally associated with destruction of the hair cells of the inner
ear. The severity of noise-induced hearing loss depends on both the
location and the extent of damage in the organ of Corti, which, in
turn, depend on the intensity and frequency of the sound stimulus. The
higher the frequency, the nearer the point of maximum displacement of
the basilar membrane is to the base of the cochlea where the basilar
membrane is narrowest. This point is shifted towards the apex of the
cochlea as the stimulus frequency decreases. The maximum stimulation
of cells occurs at the point of maximum displacement. A large part of
the upper cochlea is responsive to low frequency stimulation and loss
of hair cells can be quite extensive without significant loss in low
frequency sensitivity. On the other hand, much more localized portions
of the basal region of the cochlea are responsible for high frequency
sound sensation and loss of hair cells in these lower portions results
in significant losses of high frequency sensitivity (Miller, 1971a).
The number of hair cells damaged or destroyed increases with
increasing intensity and duration of noise and, in general,
progressive loss of hair cells is accompanied by progressive loss of
hearing.
Even though numerous experiments have been performed with
animals, the mechanisms involved in the destruction of the Corti organ
are not completely clear, although several explanations have been
proposed. For example, mechanical stresses could destroy cells,
repeated circulatory troubles through vascular contractions could
deprive cells of an appropriate blood supply; an increase in local
temperature could damage proteins, and repeated stimuli could exhaust
the metabolic supply of cells. Various theories have been reviewed by
Ward (1973).
An important fact is that noise-induced hearing loss is of a
neural type involving irreversible injury to the inner ear.
Furthermore, such losses are almost always bilateral.
3.1.2.1 Laboratory studies
Laboratory studies on temporary and permanent hearing loss and on
the anatomy of the noise-damaged inner ear have been carried out on a
number of animal species. Temporary hearing loss studies on human
subjects have included a variety of noise exposure patterns, including
noises of different spectra, interrupted noise patterns, and short-
duration noise exposures. In extrapolating the results of such studies
to permanent hearing loss in man, it has always been necessary to
consider: (a) temporary versus permanent threshold shift in man; (b)
permanent threshold shift in man versus permanent threshold shift in
animals; and (c) anatomical damage in animals versus permanent
threshold shift in man. However, it should be noted that a thorough
knowledge of such relationships has not been necessary. For example,
in using animals to study the cumulative effects of noise, it has not
been necessary to assume that the absolute sensitivity of animals and
man to noise is the same, but merely that the relative sensitivity of
animals to alternative noises of specified temporal patterns is
similar to that of man.
Experimental studies have resulted in the following general
observations:
(a) There is considerable variability among individuals in
susceptibility to temporary hearing loss, the rate at which temporary
hearing loss approaches its asymptotic level, and the rate of
recovery.
(b) Temporary hearing losses in man are most pronounced at
frequencies slightly above the predominant frequency of the noise
stimulus.
(c) In most cases, the rate of increase of, and subsequent
recovery from, temporary hearing loss is different for impact noises
and for steady noise. NITTS from impulse noise increases more slowly
than NITTS from steady noise (Ward et al., 1961) and recovery is
slower (Cohen et al., 1966).
(d) In general, the equal energy rule (section 3.1.3) has been
found to be compatible with experimental results for uninterrupted
exposures to steady noise. However, it may not always be the best
predictor of NITTS with regard to the audiometric frequency since it
tends to overestimate NITTS below 2000 Hz and underestimate losses
above 2000 Hz (Yamamoto et al., 1968). Although NITTS from interrupted
noise may be overestimated (Ward, 1970), it is thought that the rule
gives a good prediction of NIPTS from interrupted noise (Burns &
Robinson, 1970).
(e) Audiograms of persons exhibiting temporary hearing loss in
laboratory studies tend to be similar to those of persons exposed to
comparable noise over a period of several years (Nixon & Glorig,
1961).
3.1.2.2 Occupational hearing loss
Several reports have been published on the subject of
occupational hearing loss (Atherley et al., 1967; Burns & Robinson,
1970; King, 1971; Robinson, 1971; Stone et al., 1971; Baughn, 1973;
Burns, 1973; Paschier-Vermeer, 1974; Sulkowski, 1974).
All these studies were cross-sectional audiometric studies and
many incorporated surveys of noise exposure. Specific occupational
groups were usually studied, including workers in heavy industry,
shipyards, textiles, jet-cell test rooms, foundries, transportation,
and forestry. Some definition of hearing impairment was generally
applied in order to define a percentage of people with hearing loss.
Audiograms were usually compared with so-called "normal" thresholds.
In this respect, presbyacusis was often accounted for. In many cases,
efforts were made to screen the data to exclude those persons who had
previously held noisy jobs, possible nonoccupational noise exposures,
and otological abnormalities. In some studies, such persons were
purposely included in order to provide a realistic estimate of hearing
levels in a typical noise-exposed population.
Virtually every study revealed that workers exposed to intense
noise daily, for several years, showed noise-induced hearing loss
fitting the classic pattern. Considerable hearing loss was rare at
lower frequencies but frequent at higher frequencies.
In the studies for which noise exposure levels were known, a
clear relationship was generally seen between increasing incidence of
hearing loss and increasing noise level. In groups exhibiting
considerable noise-induced hearing loss, the variation of audiometric
thresholds was generally higher than in groups not exposed to noise.
Cases of sudden deafness occurring after long-term exposure to noise,
without previous impairment, have been reported in Japan (Kawata &
Suga, 1967) and may indicate special susceptibility.
Taking into account duration of exposure and age as well as other
pathological conditions, Rey (1974) found that the proportion of
workers with noise-induced deafness (defined as 25 dB average loss at
0.5, 1, and 2 kHz) was as high as 60% in the metal industry (noise
levels equal to and above 95 dB(A)). Cohen et al. (1970) compared the
mean hearing levels of exposed workers with those of a control group
for several noise intensities and several durations of exposure and
found that noise levels between 85 and 88 dB(A) could be harmful to
the ear, and that, even at 75 dB(A), there was some loss of hearing.
According to two other studies performed in industry, there is a
definite risk of hearing damage associated with prolonged exposure to
noise levels between 85 and 90 dB(A) (Roth, 1970; Martin et al.,
1975).
Fig. 4 compares the percentages of workers with hearing
impairment as a function of age for unexposed groups and for groups
exposed to occupational noise levels of 85, 90, and 95 dB(A) (NIOSH,
1973b). In this case, hearing impairment is defined as an average
hearing loss greater than 25 dB(A), at frequencies of 1, 2, and 3 kHz.
3.1.2.3 Factors that may influence the incidence of noise-induced
permanent threshold shift
Certain people who live in remote and generally quiet areas of
the world have been found to have unusually acute hearing in
comparison with members of urban populations in corresponding age
groups (Rosen et al., 1962). However, it is not clear whether such
audiometric differences are due to the lack of noise exposure alone.
Differences in the patterns of hearing found between communities that
are widely separated geographically and culturally may result from
cultural, dietary, and genetic factors and differences in general
environment (Rosen et al., 1962; Rosen & Rosen, 1971).
Although it has been suggested that older people are more
susceptible to NIPTS (Kryter, 1960), there is no clear experimental
evidence that this is so (Kupp, 1966; Nowak & Dahl, 1971). Indeed,
studies by Schneider et al. (1970) and Davis (1973) indicate that
there is probably no causal relationship between age and
susceptibility to NIPTS, at least in people of working age.
There is some controversy in the literature as to whether
pathological changes in the middle ear protect the inner ear from
noise-induced damage, or whether they may instead increase the chance
of noise-induced hearing loss. Some authors have expressed the view
that in cases of middle ear damage, bone conduction becomes more
effective and that the defence action of the middle ear muscles is
impaired (Mounier-Kuhn et al., 1960; Ward, 1962; Dieroff, 1964; Mills
& Lilly, 1971). In contrast, others have reported cases where noise-
induced hearing loss was less in damaged ears than in normal ears
(Johansson, 1952).
Variation in individual susceptibility to noise-induced permanent
hearing loss is illustrated by observations from surveys of
occupational hearing loss, which indicate that workers from the same
noisy environment display radically different audiograms, and that
some workers, even after many years of exposure to noise, show little
or no sign of noise-induced hearing loss.
Factors causing such differences in individual susceptibility
could include fatigue of the acoustic reflex, anatomical differences
in the structure of the middle and inner ear, the functional status of
the autonomic system, and latent vitamin B deficiency (Kawata, 1955).
To some extent, the ear is protected from damage by the middle
ear reflex or stapedius reflex. The contraction of the stapedius
muscle changes the movement of stapes which increases the impedance of
the conductive mechanisms. The amount of sound energy delivered to the
inner ear is reduced by about 15-20 dB at low and middle frequencies
(Miller, 1961). The effectiveness of the middle ear reflex as a
protective device varies with the intensity and the spectrum of the
sound. In normal ears, the onset of the reflex occurs at sound levels
of 75-90 dB. In man, the muscle contraction subsides very quickly
after the onset of the sound for frequencies above 3000 Hz, while for
lower frequencies, the contraction can last for a considerable time
(Johansson et al., 1967). Impulsive sounds or sounds with a sudden
onset can penetrate the ear without stimulating the protective
mechanism, because of a time lag in the muscle contraction.
Furthermore, the reflex action weakens with fatigue and thus provides
little protection against prolonged steady sounds. The fact that its
effectiveness also varies considerably among individuals may be
related to variations in individual sensitivity to certain sounds.
Measurements of NITTS have been used to investigate the
protection provided by the stapedius reflex. In patients with
peripheral facial palsy including unilateral stapedius muscle
paralysis, the NITTS after low frequency noise exposure was
significantly greater in the affected ear than in the unaffected ear
(Zakrisson, 1974). However, results of animal studies, in which the
stapedius muscle was severed, contradict these findings (Steffen et
al, 1963; Ferris, 1966).
3.1.2.4 Combined effects of intensity and duration of noise exposure
Most data concerning the long-term hazard of noise are related to
occupational exposure. There is a shortage of information about short-
term exposures, and very little information concerning exposures
lasting longer than 8 h. In order to predict the effects of long-term
noise exposure, investigators have been obliged to extrapolate the
results of field observations and laboratory investigations of NITTS.
It is difficult to establish limits for safe noise exposure, since
predictions using different methods of extrapolation conflict with
each other. The following is a brief review of the bases of some of
the methods used to integrate the combined effects of intensity and
duration.
The equal temporary effects rule is the hypothesis that the NIPTS
due to long-term, daily, steady-state noise exposure is equal to the
average NITTS produced by the same daily noise in healthy young ears
(Ward et al, 1958, 1959). In a later study, Ward (1960) suggested that
metabolic insufficiency induced in the hearing organ by noise might
underlie both the temporary and permanent hearing defects caused by
excessive noise. NITTS studies also tend to support the observation
(reflected in industrial studies of NIPTS) that for a given length of
exposure, frequently interrupted noise is less harmful than continuous
steady-state noise of the same level (Ward et al, 1959; Miller et al.,
1963).
An extension of this theory is that NIPTS is unlikely, if there
is complete recovery from the NITTS before the beginning of the next
day's exposure. An early occupational noise criterion was based on
this assumption (Kryter et al., 1966).
The equal energy rule is the theory that the hazard to hearing is
determined by the total sound energy (the integrated product of sound
intensity and duration) entering the ear each day. This rule has
natural appeal, since the exposure dose is quite simple to assess and,
according to epidemiological data, is reasonably well correlated with
the accumulated physical damage. The rule allows a 3-db increase in a
steady sound level for each halving of the duration (Burns & Robinson,
1970; Ward & Nelson, 1971; US Environmental Protection Agency, 1973b;
Martin, 1976). However, it should be noted that the range of sound
duration covered by this rule might be limited by the need for
protection against possible damage by high level, short duration,
impulsive sounds (section 3.1.3).
Various other theories are based, to a certain extent, on the
equal temporary effect hypothesis. Such criteria are usually
identified by the change in sound level that is necessary for each
doubling of the exposure duration, e.g., the "5-dB rule" means that
the level must be 5 dB less for each doubling of the exposure
duration. The rules most frequently quoted in the literature are:
(a) 3 dB rule: equal energy rule incorporated in ISO standard
1999 (ISO, 1975c);
(b) 5 dB rule: purported to partially compensate for typical
interruptions and intermittency and used in the 1969 Walsh-Healey
Public Contracts Act in the USA (Federal Register, 1969);
(c) 4 dB rule: purported to be more reliable for protection at
higher frequencies than the 5 dB rule and used by the United States
Air Force (US Air Force, 1973); and
(d) 6 dB equal pressure rule, a more conservative criterion
suggested by some research workers (US Department of Health, Education
and Welfare, 1972).
None of the rules (a) to (d), account for a reordering of the
noise exposure pattern, i.e., the predicted risk is independent of the
order in which a sequence of sounds is experienced, even if this
sequence includes periods of quiet. Thus, there is some conflict
between these rules and the equal temporary effect hypothesis.
To simplify different damage risk criteria, noise exposure
histories are frequently expressed as equivalent 8-h continuous
levels. For example, using the equal energy (3 dB) rule, an exposure
of 88 dB for 4 h could be expressed as an equivalent level of 85 dB.
3.1.2.5 Estimation of hearing impairment risk
The hearing loss that may result from noise exposure, can be
expressed in terms of probable NIPTS, or hearing impairment. For
example, the percentage of people who will suffer an NIPTS of 5 dB
(the smallest amount measurable) at the most sensitive frequency
(4000 Hz) may be defined as a function of an equivalent 8-h level
(Fig. 5). From this diagram, an 8-h equivalent level of 75 dB(A) can
be identified as the limit for protection against significant NIPTS
(ISO, 1975c). Since it is often impractical to reduce occupational 8-h
equivalent noise levels to 75 dB(A), practical criteria for "safe"
levels have been based upon less stringent definitions of hearing
impairment or hearing handicap. For example, "damage-risk" has been
defined as the percentage of a population with a given amount of
hearing impairment after corrections have been made for those people
who would "normally" incur losses from causes other than noise
exposure. Table 2 shows the percentage risk and the total percentage
with impaired hearing resulting from various levels of noise and years
of exposure (ISO, 1975c).
3.1.2.6 The importance of high-frequency hearing
It is common practice to assess hearing handicap for compensation
purposes, and even for prevention purposes, in terms of the ability to
understand "everyday" speech. According to the ISO definition (ISO,
1975c), hearing handicap begins with a 25 dB loss averaged for the
frequencies 500, 1000, and 2000 Hz. However, in most languages, speech
includes energy at higher frequencies and therefore good high
frequency hearing is important for speech intelligibility, especially
when listening conditions are less than optimal (i.e., in background
noise or when the speech is disorted in some way) (Kryter et al.,
1962; Harris, 1965; Niemeyer, 1987; Acton, 1970; Kuzniarz, 1974;
Antansson, 1975). Under good listening conditions, impaired hearing
may not diminish speech intelligibility because of the redundancy
(multiplicity of cues) of speech (section 3.2.1). This redundancy is
reduced in noisy conditions or when the speech is muffled, the accent
or the message is unfamiliar, or when these constraints occur in
combination.
Table 2. Percentage of exposed people with impaired hearing as a function of occupational
noise level (Leq (8-h) dB(A))x after different periods of exposure
Period of exposure
Occupational (years)
noise level Cause of impairment
Leq 8-h dB(A) 0 5 10 15 20 25 30 35 40 45
<80 (a) All causes y 1 2 3 5 7 10 14 21 33 50
(b) Occupational noise 0 0 0 0 0 0 0 0 0 0
85 (a) All causes 1 3 6 10 13 17 22 30 43 57
(b) Occupational noise 0 1 3 5 6 7 8 9 10 7
90 (a) All causes 1 6 13 19 23 26 32 41 54 65
(b) Occupational noise 0 4 10 14 16 16 18 20 21 15
95 (a) All causes 1 9 20 29 35 39 45 53 62 73
(b) Occupational noise 0 7 17 24 28 29 31 32 29 23
100 (a) All causes 1 14 32 42 49 53 58 65 74 83
(b) Occupational noise 0 12 29 37 42 43 44 44 41 33
105 (a) All causes 1 20 45 58 65 70 76 82 87 91
(b) Occupational noise 0 18 42 53 58 60 62 61 54 41
Table 2 (contd)
Period of exposure
Occupational (years)
noise level Cause of impairment
Leq 8-h dB(A) 0 5 10 15 20 25 30 35 40 45
110 (a) All causes 1 28 58 76 85 88 91 93 95 95
(b) Occupational noise 0 26 55 71 78 78 77 72 62 45
115 (a) All causes 1 38 74 88 94 94 95 96 97 97
(b) Occupational noise 0 36 71 83 87 84 81 75 64 47
x Based on: ISO (1975c).
y The values in row (a) for Leq < 80 dB(A) are estimates of the percentage of people with
hearing impairment caused by factors other than occupational noise exposure and should be
subtracted from row (a) in all cases to obtain row (b) the percentages of people with
impairment attributable to occupational noise. Impairment is defined as a loss of 25dB or
more averaged for the frequencies 500, 1000, and 2000 Hz.
Example: Out of a group of people exposed to an occupational noise level of 95 dB(A) Leq (8-h)
for 25 years, 39% will exhibit hearing impairment. However, 10% (see c) would have had
impaired hearing without exposure to occupational noise. Thus the risk of occupational noise
damage is 29%.
The use of a simple, unweighted average at 500, 1000, and 2000 Hz
for assessing noise-induced hearing handicap is restrictive because
most hearing loss occurs at higher frequencies. Consequently, the
frequencies 3000 Hz and 4000 Hz are included in damage-risk formulae
by some countries.
3.1.3 Effects of impulsive noise
At present, most know]edge of hearing loss due to impulsive noise
comes from studies of the effects of gunfire (see for example Coles et
al., 1968) with some limited data from industrial situations (Dieroff,
1974; Ceypek & Kuzniarz, 1974). Important properties of impulsive
noise exposure include the peak SPL, duration, rise and decay times,
type of wave form, repetition rate, spectrum, and number of impulses.
The present state of knowledge is that a hazard exists and,
accordingly, that ear protection should be worn when impulsive noises,
measured with appropriate instrumentation, exceed an SPL of 140 dB for
more than 5 milliseconds regardless of rise time, spectrum, or the
presence of oscillatory transients. Higher peak levels may be
tolerable for durations of less than 5 milliseconds. Levels in excess
of 165 dB SPL, even for short durations, are likely to cause cochlear
damage (Acton, 1967; Burns & Robinson, 1970). It should be noted that
the response time of the acoustic reflex (section 3.1.2.3) is of the
order of 100-300 milliseconds, which is too long to give any
protection against such short duration sound (Coles et al., 1968;
Coles & Rice, 1970).
Although it is not common practice to extend the equivalent 8-h
sound level criteria down to impulsive durations, the recent studies
of Rice & Martin (1973) and Martin (11976) suggest that the criteria
based on the equal energy rule, may be applicable to high-intensity
impulsive noise (Fig. 6).
3.1.4 Infrasound and ultrasound
Frequencies below 16 Hz are referred to as infrasonic
frequencies. Perception of sound from 100 Hz down to about 2 Hz is a
mixture of aural and tactile sensations. For example, frequencies
around 10 Hz, can cause discomfort through a modulation of the vocal
cords. Reactions caused by extremely high levels of infrasound can
resemble those of mild stress reaction and may include bizarre
auditory sensations, describable as pulsation and flutter. High levels
of infrasound can cause resonance responses in various organs in the
human body, although the long-term effects of such stimulation are not
known (Johnson, 1973).
The effects of high intensity ultrasound (above 20 kHz and 105 dB
SPL), which will be discussed in a separate document, are reported to
be similar to those observed during stress. However, these effects may
be partly due to associated high (but less than ultrasonic) frequency
sound (Acton, 1967). Although it is usually accepted that levels below
105 dB SPL have no adverse effects, there is evidence from one
experiment, that physiological changes can occur at lower levels
(98-102 dB) (Lisickina, 1968).
3.2 Interference with Communication
3.2.1 Masking and intelligibility
The interference of noise with speech communication is a process
in which one of two simultaneous sounds renders the other inaudible.
The ratio of a given desired signal (speech, music) to that of the
interfering noise will determine whether or not the signal can be
perceived. The higher the level of the masking noise and the more
energy it contains at speech frequencies, the greater will be the
percentage of speech sounds that are inaudible to the listener.
An important aspect of communication interference in occupational
situations is that the failure of workers to hear warning signals or
shouts may lead to injury. Although cases do not appear to have been
documented in the literature, there is anecdotal evidence of such
occurences.
In the last half century, knowledge concerning the masking of
simple signals such as pure tones, narrow bands of noise, and even
isolated phonemes of speech has increased considerably. Empirical
relationships are available that permit accurate prediction of the
audibility for a normal-hearing listener of a particular speech sound
in the presence of a specified noise (Webster, 1969, 1974; Kryter,
1970). However, communication is almost never carried on by means of
single acoustic signals, but rather by a rapid sequence of different
speech sounds, the overall intensity and spectral distribution of
which are constantly shifting; in fact, the same word, when repeated,
may be quite different acoustically. Furthermore, even when the
masking noise is judged to be steady, the energy in different
frequency regions fluctuates from moment to moment.
Most of the sentences of ordinary discourse can be understood
fairly well, even when a large number of individual speech sounds are
masked, because of the redundancy of speech. Even when a particular
sound is masked or even omitted, the word or sentence in which it
occurs may be correctly perceived because the remaining sounds are
sufficient to convey the meaning. However, the interpretation required
to compensate for the masking effect is an additional strain on the
listener.
Other characteristics of the communication process may affect the
effectiveness of communication, when additional sounds are present.
Examples of such factors are the familiarity of the listener with the
dialect or accent of the speaker, the presence of reverberation, the
importance and familiarity of the message, distance from speaker to
listener, the motivation of the listener, and any hearing loss that
may produce a degradation in the perceived sound. Thus, the
relationship between the spectrum, level, and temporal characteristics
of a masking noise and the "intelligibility" of ordinary speech, i.e.,
the proportion of speech correctly understood is very complex. Much
research has involved the measurement of intelligibility of nonsense
syllables and of isolated words in phonetically-balanced lists. Based
upon work with real sentences, conversion charts have been constructed
to transform scores involving only words to approximate expected
scores for sentences of ordinary speech. For example, when 75% of the
items on a list of isolated words are correctly perceived, about 95%
of the key words in a sentence of ordinary discourse will be correctly
heard (Kryter, 1970). Sentence intelligibility refers to the
percentage of key words that are perceived correctly in a series of
sentences.
3.2.2 Speech interference indices
Many attempts have been made to develop a single index based on
the characteristics of the masking noise that directly indicates the
degree of interference with speech perception. Naturally, such indices
involve considerable degrees of approximation. The three most common
indices are: the articulation index (AI), speech interference level
(SIL), and the A-weighted sound pressure level (Lp(A)).
3.2.2.1 Articulation index
The AI (French & Steinberg, 1947; Kryter, 1962) is the most
complicated of these indices, since it takes into account the fact
that some frequencies are more effective than others in masking
speech. Frequencies below 250 Hz and above 7000 Hz are not included,
as they are not considered to contribute to the intelligibility of
speech. The frequency range from 250 to 7000 Hz is divided into 20
bands, each of which contributes 5% to the total intelligibility. In
order to determine the AI for a particular noise, the difference in dB
between the average speech level and the average noise level in each
of these 20 bands is calculated, and the resultant numbers are
combined to give a single index. Essentially, this process predicts
how much masking of individual speech sounds will occur and then
integrates this information.
Although the AI is an accurate index for the prediction of the
effects of noise on speech intelligibility, it is complicated to use
and difficult for the layman to interpret. Thus, simplified procedures
for estimating the AI from weighted measurements of octave-band levels
have been developed (Kryter, 1962).
3.2.2.2 Speech interference level
The SIL was designed as a simplified substitute for the AI
(Beranek 1947). Contributions to intelligibility by the lowest and
highest frequencies have been omitted to a greater extent than for the
AI. A modern version of the SIL is the arithmetic average of the sound
pressure levels in the three octave bands centred at the preferred
frequencies 500, 1000, and 2000 Hz (abbreviated SIL 0.5, 1, and 2).
Many variations of SIL in terms of the specific octave bands to be
averaged have been suggested. For example, SIL (0.25, 0.5, 1, 2)
includes the 250 Hz band. At the present time, the US National
Standards Institute recommends SIL (0.5, 1, 2, 4) as providing the
best estimate of the masking ability of a noise.
3.2.2.3 A-weighted sound pressure level
The simple A-weighted SPL is also a useful index of speech
interference. The A-weighting process emphasizes the middle
frequencies, as do the AI and SIL, but does not omit the lowest and
highest frequencies completely.
Experiments have shown that the AI is more accurate than any of
the SILs or the A-weighted SPL in predicting the speech-masking
ability of a large variety of noises. For noises of practical
importance however, A-weighted SPL and SIL continue to be used, as the
advantage of accuracy in the AI does not outweigh the ease of
measurement of the first two indices. Comparisons of SILs and
A-weighted SPLs show that, on average, the SIL is about 10 decibels
lower than the A-weighted SPL for the same degree of interference
(Klump & Webster, 1963; Kryter, 1970), although for unusual noises the
average difference could vary substantially.
3.2.3 Perception of speech out-of-doors
Measurements indicate that, during relaxed conversation in the
home, the speech level is approximately 55 dB(A) (Kryter, 1970;
Pearsons et al., 1976), and that as the noise levels increase, people
tend to raise their voices to overcome the masking effect. The
so-called "normal effort" voice resembles a "stage" voice, and is used
when people are given a prepared text to read (Korn, 1954), or when
they wish to project their voices. Since everyday speech is spoken at
a reasonably predictable level, it is possible to express many of the
empirical relationships between background noise level and speech
intelligibility in a single graph, as in Fig. 7 (US Environmental
Protection Agency, 1974).
This figure, which is applicable to outdoor conditions, is based
on the assumptions and empirical observations that:
(a) at a distance of 1 m from the speaker, relaxed conversation
occurs at a voice level of approximately 56 dB(A) and normal and
raised voices at levels of approximately 66 dB(A) and 72 dB(A),
respectively; and
(b) for 100% sentence intelligibility the speech level should
exceed the noise level by 10 dB(A). When the speech level is 10 dB(A)
lower than the noise level, intelligibility falls to 95%. Because of
the redundancy of speech, 95% intelligibility usually permits reliable
although not necessarily comfortable conversation. The location of the
curves in Fig. 7 may shift in certain circumstances, although it is
difficult to predict to what extent spatial factors may facilitate or
impair speech communication in noise. Lower noise levels may be
required, if the speaker does not enunciate clearly or if the speaker
and the listener use different dialects. People with hearing
impairment may need more favourable speech-to-noise ratios depending
on the variation of speech-to-noise ratio with frequency.
Adequate communication in higher noise levels than those
indicated in Fig. 7 can occur, if the messages are restricted, e.g.,
when only numbers are being transmitted. Lipreading or observing
facial or manual gestures may also improve communication. If the noise
source is clearly localized at a position different from that of the
speaker, speech communication may be possible in higher noise levels
than those indicated in Fig. 7.
Intermittent and impulsive noises as well as noises fluctuating
in level will provide various degrees of masking. Again, the
redundancy of speech means that an isolated short burst of noise is
unlikely to produce much disruption in the communication process;
however, the likelihood of disruption increases with increasing
duration and frequency of occurrence of the noise bursts.
The detailed characteristics of noises are also important. While
the A-weighted SPL is an adequate index of the speech-interfering
quality of many noises, others may require a more detailed analysis.
This is true of noises that are dominated by either low or high
frequencies, e.g., the rumble of distant traffic or the hiss of
compressed air. For unusual noises, the AI should be calculated for a
reliable prediction of speech intelligibility.
3.2.4 Indoor speech communication
The relationships shown in Fig. 7 apply only to outdoor (free
field) communications, as they depend on the applicability of the
inverse square law. Relationships indoors are different because of
reverberations caused by reflections from the walls, floor, ceiling,
and objects in a room. Instead of decreasing 6 dB for each doubling of
distance, the sound level of the speech or the noise may drop by only
1 or 2 dB. There is no simple formula that will predict speech
interference indoors. Instead, it is usual to set standards on the
basis of the average noise levels that have been judged in the past to
be acceptable in similar settings.
For example, Fig. 8 (US Environmental Protection Agency, 1974)
shows the estimated sentence intelligibility, at speaker-listener
distances greater than 1 m, as a function of A-weighted SPL in the
reverberant conditions found in a typical living room. This shows that
for 100% intelligibility, which is considered desirable for indoor
listening conditions, a background noise level of less than 45 dB(A)
is required.
3.3 Pain
Aural pain is induced, when the tympanic membrane tissue is
stretched by large amplitude sound pressures. Under extreme
conditions, the membrane can rupture (Hirsch, 1968).
Although there is a fairly wide range of individual variability
especially for high frequency stimuli (von Gierke et al., 1953), the
threshold of pain for normal ears is in the region of 110-130 dB. The
threshold for physical discomfort is in the region of 80 dB (Spreng,
1975).
In abnormal ears, for example in cases of inflammation, pain may
be caused in the eardrum or middle ear by sound levels of about 80-90
dB SPL. By comparison, people without eardrums may feel no sensation
of pain at sound levels of up to 170 dB SPL.
A second type of aural symptom occurs as a result of abnormal
function in the cochlea. Certain sensorineural disorders, and most
frequently noise-induced hearing losses, are accompanied by a
condition called auditory recruitment. Recruitment is defined as an
abnormal increase in loudness perception. The phenomenon of
recruitment is commonly used for the diagnosis of noise-induced
hearing loss (audiometric suprathreshold tests). In some cases of
sensorineural hearing disorders, such as Ménière's disease, another
symptom appears in addition to recruitment called syscusis, which is a
lowering of the threshold of aural discomfort and pain.
An important consideration with regard to aural pain is the
effect of noise on hearing-aid users. Discomfort associated with
exposure to sudden loud noises, loud music, and even raised voices is
a common complaint of people who wear hearing aids. Hearing aids that
automatically limit output to 100-120 dB SPL or less, provide
protection for sensitive ears, provided they are properly selected and
fitted (Gabrielsson et al., 1974).
3.4 Sleep
3.4.1 Nature of sleep disturbance
Many people experience sleep disturbance due to noise and the
problem has been reviewed by several authors (see for example,
Griefahn et al., 1976). Social survey data indicate that sleep
disturbance is considered to be a major environmental noise effect
(Alexandre, 1974). However, in what proportion noise contributes to
regularly occurring sleep disturbances or awakenings in the general
population is not clear. Noise exposure can cause difficulty in
falling asleep, disrupt sleep patterns, and awaken people who are
asleep.
Detailed laboratory studies of the problem have been made by
monitoring electroencephalograph (EEG) responses and changes in
neurovegatative reactions during sleep. Many of these experiments have
only involved small numbers of test subjects over limited time periods
and under laboratory conditions. Care must therefore be exercised in
extrapolating conclusions to the population at large.
Several stages of sleep can be identified from EEG responses. On
relaxing, prior to sleep, the EEG pattern changes from rapid,
irregular waves to a regular pattern; the alpha rhythm. This is
followed by sleep stage 1, characterized by prolonged reductions in
wave amplitude and frequency. Later, in sleep stage 2, the pattern
changes to one of bursts of waves (spindle waves) mixed with single,
slow waves of relatively large amplitude (K-complexes). About 30-45
minutes later, periods of slow, high amplitude waves (delta waves)
appear in the EEG (stage 3). When the delta waves occur for about 50%
of the recording period, the deepest sleep, stage 4, is reached. About
an hour and a half later, the EEG pattern resembles that found in
stage 1, but electrodes placed near the eye reveal rapid eye movement
(REM); this is the stage during which most dreaming occurs. Some
research workers have been able to elicit relatively complex motor
responses to verbal instructions in the REM stage of sleep (Evans et
al., 1966).
During normal sleep, a person progresses through sleep stages 1-4
with occasional reversals, the time spent in deep sleep and in the
lighter stages of sleep depending upon age. With increasing age, a
greater proportion of time is spent in the lighter sleep stages; from
the age of 60 years onwards, sleep stage 4 is almost totally absent.
It is considered that all stages of sleep are necessary for good
physiological and mental health.
Stimulation by noise causes changes in the EEG pattern lasting
for a few seconds or more. These may appear as K-complexes (increases
of wave frequency) that are only detectable by close inspection of the
EEG recording, or changes of sleep stage. It has been reported that
the effects of noise are related to the stage of sleep. Results from
some studies suggest that thresholds for awakening are lower in the
REM sleep stage, for nonimpulsive as well as impulsive noises (Berry &
Thiessen, 1970). EEG pattern changes are least likely to occur in the
REM stage (Thiessen, 1972).
The effects of noise upon sleep depend upon the characteristics
of the noise stimulus, the age and sex of the sleeper, the history of
previous sleep, adaptation, and motivation.
3.4.2 Influence of noise characteristics
In studies of the effects of noise upon sleep, a variety of
stimuli have been used including synthetic sounds as well as the
sounds of aircraft (flyover noise and sonic booms) and road traffic.
The effects of noise on sleep appear to increase as the ambient
noise levels exceed about 35 dB(A) Leq (Beland et al., 1972). In one
study, the probability of subjects being awakened by a peak sound
level of 40 dB(A) was 5%, increasing to 30% at 70 dB(A). When changes
in sleep stage were taken as an indication of disturbance, the
proportion of subjects affected was 10% at 40 dB(A) and 60% at
70 dB(A) (Thiessen, 1969). It was also observed that subjects who
slept well (based on psychomotor activity data) at a noise level
(Leq) of 35 dB(A) complained about sleep disturbance and had
difficulty in falling asleep at an Leq of 40 dB(A). At the higher
level of noise, subjects took over an hour to fall asleep initially,
and awakened frequently during the sleep period (Karagodina et al.,
1972).
Exposure to noise levels of 48-62 dB(A) resulted in changes in
sleep EEG patterns, manifested especially as an initial depression or
interruption of alpha rhythm (Wilson & Zung, 1966). For sound stimuli
of 70 dB(A), the most likely reaction was to awaken, followed by
shifts in sleep stages (Thiessen, 1970). At 50 dB(A), 50% of subjects
showed one of the following reactions: (a) slight changes in EEG
pattern lasting for a few seconds; (b) pattern changes lasting up to a
minute; (c) change of sleep stage; (d) awakening.
It has been reported that brief acoustic stimuli are the most
effective in eliciting EEG-K-complex in stage 2 of sleep (Vetter &
Horvath, 1962). When the sleep disturbance effects of impulsive tone
bursts, simulated sonic booms, and truck noise ranging from 85-105 dB
were compared, it was observed that the frequency of awakening was
lower for the impulsive noise and independent of the noise level.
Increases in the level of truck noise and aircraft flyover noise
increased the frequency of awakenings and shifts in sleep stages
(Berry & Thiessen, 1970).
The rate of occurrence of stimuli and/or fluctuation in the sound
level were also found to influence sleep. The noise of low density
traffic disrupted sleep more than that of high density traffic (Mery
et al., 1971). Similarly, steady white noise of 40 dB(A) was not found
to affect sleep, although fluctuating road traffic or factory noise
with the same median level caused sleep disturbance (Osada et al.,
1968). Short duration sounds of passing aircraft and trains with peak
levels up to 60 dB(A) caused a similar degree of disturbance as steady
noise at 40 dB(A), even though their total duration was less than 30
minutes per night (Osada et al., 1969, 1972b, 1974). Hord et al.
(1966) reported that a 3-second, 30 dB, 1000 Hz signal during sleep
caused an increase in the heart rate of 5 subjects over a short period
and that the response was most marked during REM sleep.
The increase in eosinophils and basophils normally occurring
during sleep was inhibited by continuous noise, such as traffic or
factory noise, at levels of 40 dB(A) or more and by intermittent
noise, such as aircraft or train noise (Osada et al., 1968, 1969,
1972a, 1974).
The number of field studies on sleep disturbance after noise
exposure is very limited. In a study made during a 3-month period
(Rylander et al., 1972a), civilian and military subjects were exposed
during the night to sonic booms with peak over-pressures in the range
of 6-64 Pa. It was observed that at about 60 Pa, 15% of military
personnel had an increased rate of awakening and 56% of civilians
reported sleep interference and difficulties in getting back to sleep.
3.4.3 Influence of age and sex
A number of studies have indicated that the sleep of children and
young persons is less affected by noise than that of middle-aged or
older persons (Dobbs, 1972; Nixon & von Gierke, 1972).
On the other hand, children of 4-6 years of age seem to be
particularly disturbed by sudden arousal from sleep stage 4 (Miller,
1971b). It has also been reported that babies, who have had
gestational difficulties or have suffered brain injury, are
particularly sensitive to noise (Murphy, 1969).
Certain data indicate that women are more sensitive to noise
during sleep than men (Steinicke, 1957; Wilson & Zung, 1966; Lukas,
1972b) and that middle-aged women are particularly sensitive to
subsonic jet aircraft flyovers and simulated sonic booms (Lukas &
Dobbs, 1972).
Ando & Hattori (1970) found that about 50% of the women who had
moved to Itami City, near Osaka Airport in Japan, during the first 5
months of pregnancy said that, after birth, their infants slept
soundly through the aircraft noise. However, this was true for less
than 15% of the infants whose mothers had moved in during the last 5
months of pregnancy. Because of limitations in the methods used in
this study, these results should be considered with caution.
3.4.4 Influence of previous sleep deprivation, adaptation,
and motivation
The amount of accumulated sleep time affects the probability of
awakening. Arousal is more likely to occur after long periods of
sleep, irrespective of the stage of sleep (Dement & Kleitman, 1957;
Lukas & Kryter, 1970). Adaptation to noise during sleep is present if
repeated exposure to sound stimuli during sleep results in
progressively less interference with normal sleep.
LeVere et al., (1972) studied the EEG response and task
performance of six 20-24-year-old males. The experiment lasted 14
nights, 7 of which involved exposure to 80 dB(A) jet aircraft noise
for 20 seconds, 9 times each night. No adaptation in EEG noise
response was observed. In studies on the effects of simulated sonic
booms on sleep, Lukas & Dobbs (1972) concluded that some adaptation
occurred. Thiessen (1972) reported that although the awakening
response seemed to diminish with time, there was no adaptation of the
EEG response to aircraft and traffic noise.
Results of studies of simulated sonic booms with indoor intensity
levels of 80-89 dB(A), applied alternatively 2 and 4 times each night
for 2 months, did not reveal any adaptation in EEG pattern and
vegetative function during, and shortly after stimulation. In the
first quarter of the night, there was a significant reduction of the
total time spent in the deepest stage of sleep but during the
remainder of the night (with 4 booms) the duration of deep sleep was
comparable with the nightly total before and after the noise test
series (Jansen & Grifahn, 1974).
Motivation and instructions given to subjects before sleep may
influence the effects of noise on sleep. An ability of sleeping
subjects to discriminate among various types of stimuli has been
observed in experiments where the discrimination was learned when the
subject was awake (Wilson & Zung, 1966). Research workers employing
simulated sonic booms to investigate the effects on sleep behaviour,
moods, and performance instructed their subjects to "ignore
disturbances and attempt to get the best night's sleep possible". They
found that the number of responses to booms were lower than those in
similar studies where instructions had not been given (Collins &
Iampiatro, 1974).
It has been observed that effects of motivation on sleep
disturbance depend to a certain extent upon the stage of sleep
(Miller, 1971b). Instructions and financial incentives produced an
increase in the frequency of stage shifts and awakening following
exposure to moderate sound stimuli of different kinds (Wilson & Zung,
1966).
3.4.5 Long-term effects of sleep disturbance by noise
The long-term physiological and psychological effects of noise-
induced sleep disturbance are practically unknown (Lukas, 1972b). Some
insight into possible consequences may be obtained from experiments
studying behaviour and performance after noise-induced sleep
deprivation. A review of the influence of noise exposure on task
performance is given in section 3.8.
Some experiments have demonstrated that intense noise may improve
performance in persons who have been without sleep and are tired, even
when they are performing a task that would be highly affected by
noise, if sleep had been normal (Corcoran, 1962; Wilkinson, 1963). On
the other hand, LeVere et al. (1972) found decreased performance in a
task involving a memory component after nightly exposure to 80 dB(A)
aircraft noise.
Tasks involving monitoring, mental arithmetic, and pattern
discrimination were not influenced following nightly exposure of 24
male subjects to 8 simulated sonic booms (100 Pa at 1-h intervals for
12 nights) (Chiles & West, 1972). Cantrell (1974) exposed 20 men to
80, 85, and 90 dB(A) tonal pulses with a 22-second interval throughout
24 h for 10 days. EEG recordings showed evoked response activity
during sleep but clearcut effects on various task performance tests
were not observed. Exposure of 6 male subjects to a 15-second,
80 dB(A) noise, 24 times per night resulted in a significant
deterioration in the performance of a choice reaction/memory time test
(LeVere et al., 1975).
The results of studies reported so far suggest that the type of
noise occurring during sleep as well as the type of performance test
applied determine whether effects can be found or not. No observations
have been reported concerning possible effects after repeated
disturbance over a prolonged period of time or on the effects on
populations exposed under real-life conditions.
3.5 Nonspecific Effects
3.5.1 The stress response
Exposure to noise may evoke several kinds of reflex responses,
particularly when the noises are of an unknown character or
unexpected. These reflex responses are mediated through the vegetative
nervous system and represent a part of the reaction pattern that has
commonly been named the stress reaction. This response generally
reflects primitive defence responses of the body and may also develop
after exposure to other stimuli.
If the exposure is temporary, the system usually returns to a
normal or pre-exposure state within minutes. If the noise stimulation
is sustained or consistently repeated, it has been postulated that
persistent changes may develop in the neurosensory, circulatory,
endocrine, sensory, and digestive systems. However, most available
information on such effects has been obtained from animal experiments
in which high levels of noise were used.
Neurophysiologically, noise is a potent stimulus for the
establishment of a reflex are incorporated in the syndrome of general
adaptation to chronically maintained stress (Selye, 1955, 1956). The
reticular and hypothalamic portions of the brain represent the centre
of the reflex arc, the acoustic pathways represent the afferent
branches and the ascending/descending nervous projections represent
the efferent branches. Target organs include the visceral organs
(heart, blood vessels, intestines, endocrine glands etc.) which are
innervated by the autonomic nervous system and the hypothalamo-
diencephalic centres that regulate the alternating rhythms of sleep-
arousal, endocrine secretion, and other functions (Bergamini et al.,
1976). The action of noise on the reticular formation depends not only
upon its level and duration, but also upon its temporal
characteristics. While impulse noise produced a stable and prolonged
excitation of the reticular formation of the midbrain and of the
temporal cortex in rabbits, results of one study showed that similar
effects due to continuous noise exposure became insignificant after
one hour (Suvorov, 1971).
The reflex reactions also include changes in the functioning of
the adrenal glands. In studies by Henkin & Knigge (1963), exposure of
rats to continuous, high intensity sound (130 dB, 220 Hz) resulted in
an initial high rate of hormone secretion followed by a depression of
corticosterone output and a return to normal or high levels. In
another experiment, an increased urinary excretion of epinephrine was
found in 9 normal rats as an after-response to repeated 2-second
exposures to high frequency sound (20 kHz) at 100 dB (Ogle & Lockett,
1968). Temporary eosinopenia and temporary changes in the adrenal
gland occurred in mice exposed daily to a single, 15 or 45-min period
or intermittant periods (alternating 100-min periods) of noise at a
level of 110 dB, 10-20 kHz (Anthony & Ackermann, 1955). However, in
studies by Osintseva (1969), pathological changes could not be
demonstrated in the adrenal glands of rats, one month after exposure
to a noise level of 80 dB for periods ranging from 18 to 26 days.
Horio et al. (1972) suggested that discrepancies in the reported
results might be due to differences in the intensity and duration of
noise exposure. As an example, they reported a study on 4 groups of
rats (number pre group not stated) that were exposed for 8 h to noise
of 60, 80, and 100 phons. Compared with control animals, the blood
concentration of adrenal 11-hydroxy corticosteroid rose rapidly at the
beginning of exposure reaching a maximum level within 15 min that was
directly proportional to the intensity of the noise. Levels fell to
those of the control group within 1-4 h. The results of a study by
Anthony et al. (1959) showed that exposure to white noise (150-
4800 Hz, 140 dB SPL) produced different acute effects in the mouse,
rat, and guineapig. The authors concluded that the noise exposure was
not harmful to the animal except in terms of hearing. Exposure was for
15 min per day over a 4-week period. There was a reduction in activity
(exploratory), which was most obvious in the guineapig. Some of the
mice and rats exhibited a freezing reaction. There were no apparent
changes in the weight of the adrenals, but the width of the
fosciculate zone in rats and mice was greater in exposed animals. This
is a sign of increased adrenocortical activity. No changes were seen
in serum ions or blood sugar. Thus, the authors concluded that short-
term noise exposure did not give rise to excessive adrenocortical
activity.
In a study by Rosecrans et al. (1966), groups of 12 rats were
exposed to variable stress (sound, flashing lights, and cage
oscillation) for 3, 5, or 7, four-hour periods per week, for 16 weeks.
The noises were 100 dB compressed air blasts, bells, buzzers, and
tuning fork impulses for periods of 30 seconds at 5 min intervals. All
the stress programmes produced significant increases in plasma
corticosterone levels compared with unexposed controls. Furthermore,
levels were significantly higher in isolated rats than in animals
housed in pairs, indicating that isolation should also be considered
as a stress.
In human studies, increased urinary excretion of epinephrine and
norepinephrine after exposure to 90 dB (2000 Hz) for 30 min was a
constant finding in 5 healthy subjects and in 3 groups of 12 patients
who, (a) had high blood pressure without known cause; (b) were
recovering from a heart attack; or (c) were psychotic (Arguelles et
al., 1970). Exposure of 5 healthy male students, twice a day for
30 min to noise levels of 55, 70, or 85 phons resulted in changes in
the levels of leukocytes, eosinophils, and basophils, as well as in
urinary 17-hydroxycorticosteroid, compared with controls exposed to
levels of 30-45 phons (Tatai et al., 1965, 1967). In another study, 6
subjects were exposed for 2 or 6 h for several days to noise levels of
40, 50, and 60 dB(A). Urinary excretions of 17-hydroxycorticosteroids
and noradrenaline increased significantly during the period of
exposure (Osada et al., 1973).
3.5.2 Circulatory system responses
Vasoconstriction or vasodilation of blood vessels can be induced
by high levels of noise during acute exposures. Several studies in
animals have demonstrated that prolonged exposure to high levels of
noise can cause a persistent increase in blood pressure. In the study
by Rosecrans et al. (1966), the stress increased the average blood
pressure of rats by approximately 3.9 kPa (30 mmHg) compared with that
of control animals. It has also been reported that the absence of
sound can cause hypertension in rats (Lockett & Marwood, 1973).
Other animal studies have shown that the cerebral blood supply
can be influenced by high levels of noise. Alternating spasms and
dilation of the arterial blood vessels were observed in rats exposed
to a continuous noise level of 100 dB (Alekseev et al., 1972). At
levels up to 100 dB, the constriction was proportional to the amount
by which the overall SPL exceeded 70 dB, reaching values as much as
40% higher than resting values. As well as creating a condition of
generalized vasoconstriction, continuous exposure of rats to a noise
level of 110 dB SPL, for 48 h, resulted in an inadequate supply of
blood to the cochlear cells (Lawrence, 1966; Lipscomb & Roettger,
1973). These reports suggest that damage to the cochlear tissue may
result from an insufficient supply of oxygen and other nutrients
(section 3.1.2).
As a result of observations made in animal experiments, the
relationship between noise exposure and chronic circulatory disease
has been investigated in man. Ten subjects were exposed to 90 dB white
noise for 29 min. No effects were observed on cardiac output, cardiac
rate, cardiac stroke volume, or pulmonary artery pressure (Etholm &
Egenberg, 1964). Klein & Grübl (1969) found an approximately equal
distribution of increases and decreases in the pulse rate of the
internal carotid artery among 40 persons exposed to 92-96 dB noise for
10 seconds.
Differences between the sexes have been demonstrated in an
experiment involving exposure to jet aircraft and to railway and pile-
driver noise of 70-85 dB(A) (Osada et al., 1972b). Pulse rate
fluctuations, vascular constriction, and increase in urinary
noradrenaline levels were greater in female subjects than in males.
From studies by Jansen (1970) and Lehmann & Tamm (1956), it can be
concluded that meaningless noise causes an ergotropic reaction in the
circulatory system with peripheral vasoconstriction and reduction of
heart stroke value without change of pulse rate and blood pressure.
Certain authors have found evidence in man of an association
between continuous noise exposure and constriction of blood vessels
that is primarily manifested in the peripheral regions of the body
such as fingers, toes, and earlobes (Lehmann & Tamm, 1956; Grandjean,
1960).
Some workers have reported that vasoconstriction does not
completely adapt with time, either on a short-time or long-term basis,
and that effects often persist for a considerable time after cessation
of the noise. Peripheral vessel constriction has been found to occur
equally in noise-sensitive and noise-insensitive subjects (Valcic,
1974). It has been suggested that vasoconstriction, with its
concomitant effect on the circulatory system in general, will
eventually lead to heart disease (Jansen, 1969). A higher incidence of
circulatory problems, peripheral blood flow disturbances, and
irregularities of heart rate have been reported among steel workers
exposed to a noise level of 95 dB (Jansen, 1961).
Significantly increased blood pressure levels compared with those
of control groups have been reported from studies on machine-shop
operators (Andriukin, 1961) and weavers (Parvizpoor, 1976). According
to Jonsson & Hansson (1977), differences in blood pressure levels were
also found in a noisy factory, between a group of workers with hearing
losses and another group with no loss of hearing.
In view of some epidemiological shortcomings in the previous
studies, particularly with reference to the selection of population
segments, further studies in the industrial environment are required
to elucidate the association between exposure to noise and increased
blood pressure. Community studies are scarce and should be extended,
since tendencies similar to those found in industrial populations have
been observed. In a survey involving residents around an airport,
psychophysiological and medical tests showed that experimental
exposure to aircraft noise caused constriction of blood vessels, and
increases in heart rate and electrical muscular activity. However, a
tendancy for blood pressure to be higher among persons living in the
noisier areas was not statistically significant (Deutsche
Forschungsgemeinschaft, 1974).
3.5.3 The startle reflex and orienting response
Certain noises, especially those of an impulsive nature, may
cause a startle reflex, even at low levels. The startle (Molinie,
1916) occurs primarily in order to prepare for action appropriate to a
possible dangerous situation signalled by the sound. It consists of
contraction of the flexor muscles of the limbs and the spine and a
contraction of the orbital muscles that can be recorded as an eye
blink. It may be followed by an orienting reflex that causes the head
and eyes to turn towords the source of a sudden sound in order to
identify its origin (Thackray, 1972). The startle reflex can sometimes
be followed by a fright reaction, in which case the effects on the
circulatory system become more pronounced. Skin conductance is also
influenced due to alterations in perspiration. A dose-related
depression of the galvanic skin response was found after exposure to a
15-second white noise (Klosterkötter, 1974).
The presence of these reflexes is detected either by noting
behavioural reactions or by the electrophysiological study of muscle
tension and activity (Galambos et al., 1953; Davis et al., 1955).
Although low level sound stimulation may be sufficient in abruptness
and information to induce a startle reflex, the fact that a person has
experienced some degree of startle, may often only be recorded
electrically.
For meaningless noise of various types, it has been observed that
orienting reflexes are elicited at the very beginning of a series of
stimuli; but that habituation occurs. At higher noise levels,
habituation is less marked.
Experiments involving sonic booms (outdoor levels ranging from 60
to 640 Pa and corresponding indoor levels ranging from 20 to 130 Pa)
demonstrated that startle reactions in 56 female volunteers increased
with the intensity of the boom. The reactions of the subjects were
evaluated using two different steadiness tests and a tracking test
(Rylander et al., 1974b). A tendency to habituation and a masking
effect of background noise was also found. The possible long-term
effects on human subjects of sustained repetition of acute startle
reactions are not known.
3.5.4 Effects on equilibrium
A high level of noise may influence equilibrium because of the
stimulation of the vestibular sense organ. However, available data
concerning this subject are both inconclusive and inadequate.
Complaints of nystagmus (rapid involuntary side-to-side eye
movements), vertigo (dizziness), and balance problems have been
reported after noise exposure in the laboratory, as well as in field
situations. However, the levels needed to cause such effects in
personnel working on jet engines were quite high, typically, 130 dB
SPL or more (Dickson & Chadwick, 1951). Less intense noise levels
ranging from 95 to 120 dB SPL also disturb the sense of balance, if
there is unequal stimulation of the two ears. This was demonstrated in
laboratory studies in which subjects wearing various combinations of
ear protectors and balancing on rails of different widths were exposed
to various noise levels (Nixon et al., 1966; Harris, 1974).
3.5.5 Fatigue
Additional strain on the body, induced by noise, may cause the
development of fatigue either directly, or indirectly through
interference with sleep. A variety of environmental agents as well as
conditions within the individual may cause symptoms of fatigue - thus
the role of noise as a causal factor is difficult to establish.
In one study, symptoms of extreme fatigue were reported by
subjects exposed to high levels of infrasound; this was interpreted as
evidence of a direct link between fatigue and high intensity noise
(Mohr et al., 1965). In another study, workers from workshops with 5
different levels of noise intensity ranging from 50 to 125 dB were
investigated. In this case, no simple relationship was found between
noise levels and feelings of fatigue. The authors suggested that
social as well as cultural factors should be taken into account to
obtain a better understanding of the way exposed persons feel about
noise (Matsui & Sakamoto, 1971).
The influence of noise on fatigue can also be related to
performance. As will be discussed in section 3.8, noise may interfere
with performance as well as leave it unchanged or even improved. Since
many studies on performance have not taken fatigue into consideration,
the question arises as to whether the strain of overcoming noise
disturbance in order to maintain performance might not lead to
fatigue.
Questions concerning fatigue are usually included in social
survey studies on annoyance (section 3.7) but, so far, no extensive
evaluation of these data in relation to noise exposure levels has been
presented.
3.6 Clinical Health Effects
3.6.1 Background
Earlier in the document, it has been shown that exposure to noise
may result in a variety of biological reflexes and responses. Most of
the information has been derived from short-term studies on animals
and human subjects, but it has been postulated that, if provoked
continuously, such responses would ultimately lead to the development
of clinically recognizable physical or mental disease in man.
Numerous clinical symptoms and signs have been attributed to
noise exposure including nausea, headache, irritability, instability,
argumentativeness, reduction in sexual drive, anxiety, nervousness,
insomnia, abnormal somnolence, and loss of appetite (Jirkova &
Kromarova, 1965).
From a theoretical point of view, an assessment of the causal
relationship between noise exposure and such nonspecific health
effects presents difficulties. Increases in blood pressure level,
heart disease, gastric ulcers, and other stress-related syndromes have
a multifactorial origin. It is difficult to exercise sufficient
control over all relevant risk factors in epidemiological studies,
particularly as several of the risk factors such as social class,
personal habits, and personality characteristics are difficult to
define.
The study of selected population segments exposed to high levels
of noise in industry has been suggested as an epidemiological model to
overcome some of these difficulties.
3.6.2 General health
In one study, medical records of 969 workers exposed to noise
levels of 85-115 dB were compared with those of workers in areas where
levels were 70 dB or less (Jirkova & Kromarova, 1965). In addition to
a higher incidence of hearing loss, the noise-exposed group was found
to have a higher prevalence of peptic ulcers and hypertension. In a
previously cited study (Jansen, 1962) on workers exposed to high
intensity noise, there was evidence of a higher frequency of
circulatory problems and a higher incidence of fatique and
irritability in the exposed group compared with the controls. Cohen
(1973) studied the medical records of 500 workers working in noisy
areas (95 dB(A) or more) and those of a group matched for age and
length of plant experience, working in quieter areas (80 dB(A) or
less). The noise-exposed workers tended to have more symptomatic
complaints and more diagnosed medical problems. It is difficult,
however, to relate these findings to noise only, since noisy work
places are, presumably, also work places with other health hazards.
Benko (1959, 1962) examined workers exposed to noise levels of
110-124 dB and found a persistent narrowing of the visual field as
well as a decrease in colour-perception. The second finding could not
be varified in studies reported by Kitte & Kieroff (1971).
Methods of studying industrial populations have shortcomings that
make it difficult to draw conclusions concerning the different
populations. The group is always selected, i.e., those not able to
tolerate the exposure and those developing medical symptoms may have
left. The group usually consists of males in good physical condition
and older age groups are under-represented.
Only a few studies of the relationships between general health in
the population and noise exposure are available. In a study by
Karazodina et al., (1969), 140 000 patients registered at the
outpatient departments of different hospitals were divided into those
living 6-10 km from large airports and those living in quiet areas. A
2-4 fold increase in hypertension, nervous disorders, gastritis,
gastric ulcers, and auditory disease was found in the noise-exposed
group. As an increase was also found in respiratory disease, factors
other than noise pollution may have been responsible for the
differences between the two groups.
In a study on aircraft noise around Munich, Federal Republic of
Germany, no signs of disease were found in a thoroughly examined
sample of the population exposed to 82-100 dB(A) aircraft noise
(Deutsche Forschungsgemeinschaft, 1974).
3.6.3 Mental health
An association between exposure to high levels of occupational
noise and the development of neurosis and irritability and also
between environmental noise and mental health has been proposed by
several workers. Herridge (1972) suggested that noise was not a direct
cause of mental illness but that it might accelerate and intensify the
development of a latent neurosis.
Studies of the records of some, 124 000 persons living in a noisy
area around London Heathrow airport and in a quieter area nearby
revealed a higher rate of admittance to mental hospitals in the noisy
area (Abey-Wickrama et al., 1969). However, the design of the
epidemiological study was questioned by other workers (Chowns, 1970)
and the finding could not be verified in a later investigation
(Gattoni & Tarnopolsky, 1973). The relationship between noise
exposure, the presence of mental disorders, and annoyance was studied
in a field investigation on 200 persons, half of whom lived near
London Heathrow airport. No association was found between noise
exposure and mental morbidity, but symptoms of mental disorders were
more common among those who reported that they were very annoyed by
the noise (Tarnopolsky et al., 1978).
The consumption of tranquilizers and sleeping pills has been
proposed as an indication of latent disease or mental disturbance in
noise-exposed communities. Grandjean (1974) reported an increase in
the consumption of such drugs among persons exposed to aircraft noise.
Findings to the contrary were reported from a study of subjects living
in the neighbourhood of Munich airport (Deutsche
Forschungsgemeinschaft, 1974). A possible explanation for the
discrepancy between the two studies is the manner in which the
questions concerning drug consumption were posed and related to
aircraft noise exposure.
3.7 Annoyance
3.7.1 Definition and measurement
Annoyance may be defined as a feeling of displeasure associated
with any agent or condition known or believed by an individual or a
group to be adversely affecting them. While it is often useful or
necessary from a practical point of view to focus attention on a
single agent, in this case noise, it should be recognized that, in
real life, it is only one of a combination of environmental stresses.
Annoyance is generally related to, the direct effects of noise on
various activities, such as interference with conversation, mental
concentration, rest, or recreation. The degree of physical exposure as
well as intervening psychosocial variables determine the occurrence
and extent of the annoyance response. All these variables must be
measured in experimental or epidemiological studies, in order to
arrive at an appropriate judgement concerning annoyance effects
(Borsky, 1972).
Numerous techniques have been devised to measure annoyance
(section 3.7.4). A subject can classify the degree of annoyance
verbally (from "not annoyed" to "very annoyed") or with the aid of a
number scale (e.g., 1-7 or 1-10). The annoyance can then be assessed
using these responses, or by different scaling techniques based on
several other questions relating to disturbance and activity
interference (Kryter, 1970).
Studies on annoyance have been made in both laboratory and field
experiments. Different degrees of annoyance can be described with
relatively high precision, and the results seem to be reproducible
between different studies, although it has been questioned whether
there is a consistent relationship between annoyance measurements
(Berglund et al., 1974).
Laboratory studies on annoyance involve judgements of individual
noise events in controlled environments. Such studies have isolated
some of the acoustic and sociopsychological factors contributing to
annoyance. Examples of such factors are the level of noise, its
spectral, temporal, and impulsive characteristics, information
conveyed by the noise, the sex, age, and occupation of the respondent,
and attitudes towards the source of the noise.
A number of surveys have been performed to determine how
annoyance reactions are affected by, and related to noise (McKennell,
1961; Cedarlöf et al., 1963, 1967; Auzou & Lamure, 1966; Bruckmayer &
Lang, 1967; Coblenz et al., 1967; Lamure & Bacelon, 1967; Griffiths &
Langdon, 1968; TRACOR, 1971; Deutsche Forschungsgemeinschaft, 1974;
Grandjean, 1974; Rylander et al, 1974a; Nishinomiya, 1976). Methods
that allow the prediction of annoyance from measurements of the
physical characteristics of the noise have been suggested. These
studies have also served as a basis for the development of noise
criteria and standards. Few studies have included an analysis of the
incidence of annoyance in relation to the specific health effects
described previously.
The following sections describe present knowledge concerning the
relationships between annoyance and different kinds of noises.
3.7.2 Instantaneous noise dose
It is generally assumed that the annoyance effects of short-term
exposure to noise are a function of loudness, i.e., the louder of two
sounds will cause the more annoyance. There are many data in the
literature on the measurement of loudness, defined as the perceived
magnitude of sound, and numerous techniques exist for estimating
loudness from the spectral analysis of the sound. The most complex
(Stevens, 1956; Zwicker, 1959; Kryter & Pearsons, 1963) are based upon
accepted auditory function theory and give loudness estimations in
phons. More practical alternatives to these are available based on
standard sound level meters in the form of A, B, and C frequency
weighting filters that simply weight the sound energy in accordance
with various auditory frequency response functions (section 2.2). The
A-weighted SPL has gained widespread acceptance as a suitable noise
level scale for general use. Other units have been developed for
particular noises e.g., the perceived noise level (PNL) for aircraft
noise (section 2.2.6).
3.7.3 Long-term noise dose
Characteristics related to the disturbance and annoyance-inducing
potential of long-term noise exposure include the manner in which the
loudness level (instantaneous noise dose) varies with time (e.g., the
distribution of noise events over a 24-h period). Considerable effort
has been devoted to the search for an acoustic index of chronic noise
exposure. The major requirements of such an index are that it should
be well correlated with human reactions and that it should be
convenient to measure. Thus, for airport noise, which is characterized
by infrequent but very intense aircraft sounds superimposed on
relatively low background levels, indices have emerged that are based
upon measurements or estimates of the individual aircraft sound
levels. For road traffic noise, usually involving much greater vehicle
movement frequencies, it would be quite impractical to record or
estimate the level of each individual vehicle. In this case, noise
variables are based on automatically integrated noise analysis. For
certain industrial noise environments, indices are calculated from
sound level meter readings of a set of relatively steady levels. Most
indices include a summation process that accounts for the repetitive
or continuous nature of the sound.
3.7.3.1 Aircraft noise
An early general noise exposure index was the composite noise
rating (CNR) devised by Rosenblith & Stevens (1953) for assessing
environmental noise nuisance. Initially, this index was quite
elaborate, accounting in a semiquantitative way for average noise
level, discrete frequencies, impulsiveness, repetitiveness, and
background noise. Some psychosocial factors were also taken into
account by considering time of day (on the assumption that people are
more noise-sensitive at night) and the history of the previous noise
exposure of the community. It was later modified in the light of new
experience (Stevens et al., 1955) and a special version was developed
for application to airport noise (Stevens & Pietrasanta, 1957). The
aircraft noise model was modified to its currently existing form
(Galloway & Pietrasanta, 1967) largely to simplify it and to
incorporate the PNL. Essentially, CNR has the form:
CNR = LPN + 10 log10 N + C
where N is the number of aircraft sounds during a particular time
interval, LPN is their mean peak PNL and C is the sum of a
collection of weighting factors that account for time of day, season
of the year, and ground engine test runs, to which the community is
particularly sensitive. The procedure provides guidance on the
community reaction to be expected as a function of noise level.
Later developments of the CNR were the noise exposure forecast
(NEF), (Bishop & Horonjeff, 1967) and the total noise exposure level
(TNEL) recommended by the International Civil Aviation Organization
(ICAO, 1971).
On the basis of a social survey at London Heathrow Airport by
McKennell, (1961), it was deduced that airport noise exposure should
be expressed as a noise and number index (NNI) (Wilson, 1973).
NNI = LPN + 12 log10 N - 80
The main difference between CNR and NNI is the use of a "number"
coefficient of 15 rather than 10. Robinson (1969) later remarked that
this difference really represented an "intermittency" correction in
the case of NNI, implying that community annoyance grows with the
frequency of event more rapidly than is indicated by the equal energy
concept inherent in the CNR formula. Doubts arose concerning the
validity of the factor 15 following a later survey around London
Heathrow (MIL Research Limited, 1971) and a Swiss study by Grandjean
(1974).
The relative influence of the noise and number terms is still a
basic issue and a number of subsequent studies (Connor & Patterson,
1972; Deutsche Forschungsgemeinschaft, 1974; TRACOR, 1971; 1976) have
not provided any clear answer to the problem.
A number of variations of the basic formula:
Noise Index = L + K log10 N + C
have been adopted for use in various countries, and the effective
values of K are given for some of these in Table 3. Other suggested
values of K range up to 24 (McKennell, 1961; Deutsche Forschungs-
gemeinschaft, 1974). It is evident from the table that, for K, the
value 10 is commonly in use, probably because of its compatibility
with the equal energy principle.
All indices have a great deal in common with each other as well
as other similar indices not included in the table. All involve
measurements of average aircraft noise levels expressed in dB(A),
dB(PN), or dB(EPN). Some take into account the duration of the sound,
others do not. In most cases, the influence of some psycho-social
factors is accounted for, directly or indirectly. Basically, the
differences in various indices for the estimation of mean perceived
magnitude are small (Botsford, 1969; Young & Peterson, 1969;
Ollerhead, 1973).
Other concepts concerning the relationship between aircraft noise
exposure and consequent annoyance reactions have been suggested which
contrast with the rather uniform approach to aircraft noise assessment
just discussed.
In studies in Scandinavia (Rylander et al., 1972a) and in an
analysis of earlier studies (Rylander et al., 1974b), the extent of
annoyance was found to be related to the A-weighted SPL of the
noisiest type of aircraft. An increasing number of overflights
increased the extent of annoyance at the same dB(A) level up to a
certain threshold, beyond which a further increase in the number of
events did not influence the annoyance. The second finding was also
present in the second London Heathrow study (MIL Research Limited,
1971),and a reanalysis of aircraft noise survey data from the USA
(TRACOR, 1976).
Table 3. Examples of aircraft noise exposure Indices
Country/Organization Index K References
France Isopsophic Index 10 French Government (1974)
Germany, Federal Störindex Q (and Leq)a 13.3 Koppe et el. (1693)
Republic of
Japan WECPNLa 10 Japanese Environment Agency (1976)
Netherlands "Total Noise Load" B 15 Kosten et at. (1967)
South Africa Noisiness Index NI 10 South African Bureau of
Standards (1973)
United Kingdom NNI 15 Wilson (1973)
United States of America CNR/NEF, Ldn 10 Galloway & Pietrasanta (1967),
Bishop & Horonjeff (1967),
Von Gierke (1975)
California Community Noise 10 State of California (1970)
Equivalent Level
(CNEL)
ICAO TNEL 10 ICAO (1971)
ISO Aircraft Exposure 10 ISO (1970)
Level LE
a A special version for aircraft noise.
3.7.3.2 Road traffic noise
The traffic noise index (TNI) was developed from the results of a
social survey in London (Griffiths & Langdon, 1968). It was based on
the weighted combination of the sound levels (in dB(A)) exceeded for
10%, 50%, and 90% of the time according to the formula:
TNI = L50 + 4 (L10 - L90).
This index reflects the conclusion that traffic noise annoyance
depends not only upon the average or typical noise level (L50) but
also upon the magnitude of the fluctuation (L10-L90). However,
further investigation revealed that, because of the practical
difficulties of predicting L90 with an adequate degree of
confidence, the value of TNI was susceptible to large errors. Thus,
TNI was subsequently rejected in favour of L10 for traffic noise
compensation regulations (UK Statutory Instrument, 1975), even though
its correlation with annoyance was shown to be inferior to that of TNI
in the original survey.
Because of a very high correlation between different indices that
are sensitive to peak levels in the noise-time history, it may safely
be assumed that any such index will predict traffic noise annoyance
reactions with equal reliability. Evidence of the importance of peak
noise levels comes from investigations in England (Langdon, 1976) and
Sweden (Rylander et al., 1976) in which the extent of annoyance was
found to be well-correlated with noise levels generated by heavy
vehicles. The correlation between Leq and annoyance was relatively
low in the second of these studies.
A high correlation was found between Leq for urban traffic
noise and the extent of annoyance in the exposed population in studies
by Lang (1965).
A detailed re-evaluation of available data on traffic-noise
exposure and annoyance has recently been carried out by a working
group of the International Organization for Standardization. Several
existing and newly-proposed indices, mostly derived from Leq, were
correlated with subjective response and though it was recognized that
insufficient data were available to draw a firm conclusion, it was
recommended, that, at present, Leq (as described in ISO, 1971)
should be used for the assessment of road traffic noise.
3.7.3.3 General environmental noise
On several occasions, single noise exposure indices that could be
used to predict the annoyance caused by all kinds of environmental
noise have been proposed, recognizing that different psychosocial
influences might alter the dose-response function for different kinds
of noise.
In a search for such a general noise index, Robinson (1969)
modified the traffic noise index to form the noise pollution level
(NPL) given by
NPL = Leq + 2.56 delta
where Leq is the equivalent continuous sound level and delta is
the standard deviation of the temporal fluctuations of the level. The
noise pollution level concept has been given considerable attention by
research workers in various countries. It was rejected by the British
Noise Advisory Council as a recommended "unified" noise index (Noise
Advisory Council, 1975), in favour of Leq on the grounds that
further research into the utility and validity of NPL was desirable.
Meanwhile, Robinson (1972) and others have considered refinements of
NPL, effectively making the coefficient of delta a function of level
fluctuation rate.
!!
In the USA, after an exhaustive review of available noise impact
research, an interagency task force concluded that a modified
equivalent continuous sound level, taken over a 24-h period, with a
10-dB penalty applied to night-time sound levels, was the noise index
that combined ease of measurement and high correlation with annoyance,
complaint behaviour, and overt community reaction caused by noise of
all kinds (US Environmental Protection Agency, 1973a). This index,
which was named the day-night average sound level (Ldn), was based
upon the use of the A-weighted SPL scale (yon Gierke, 1975).
Over the past few years, there has been a widespread tendency to
use Leq for general noise assessment purposes because of its
simplicity. Leq is normally computed for specific portions of the
24-h day or, alternatively, a weighted average, such as Ldn, is
computed after emphasizing noise that occurs during noise-sensitive
periods.
3.7.4 Correlation between noise exposure and annoyance
The direct correlation between long-term noise exposure and
annoyance has been studied for various kinds of noise exposure. The
numerous composite noise indices that have emerged from these studies
have been attempts to improve this correlation, by taking into account
various factors including: time of day (day, evening, night), noise
source (e.g., aircraft, road traffic, industrial source) and type of
neighbourhood (e.g., rural, suburban, commercial). The choice of
appropriate noise index (Leq, NEF, etc.) normally depended on the
source whereas the type of neighbourhood was usually considered in the
interpretation of scale values concerning the likely response (e.g.,
for land use planning purposes).
Regardless of how the dose scale was derived, the main technique
for evaluating its validity was through use of the social survey and
the annoyance measuring techniques already mentioned. Such surveys
(e.g., McKennell, 1961; TRACOR, 1971) have shown that the correlation
coefficient between noise exposure and average response (e.g., the
average response of all respondents exposed to a given noise) is
relatively high (> 0.8) implying that the noise scales are useful
predictors of average reaction. However intersubject variability is
high, and the correlation coefficient between noise exposure and
individual annoyance is low (< 0.5). That individuals vary in their
susceptibility to a particular level of exposure is a biological
phenomenon common to all environmental influences. For all kinds of
agents including chemical substances and physical factors, an
increasing dose will gradually lead to an increasing number of persons
being affected in any type of population. Thus, for the setting of
standards, the relationship between the exposure to an environmental
agent and the reaction has to be based upon the average reaction among
a group of individuals. This group may be defined as a representative
sample of the population or a particularly sensitive group. The
variation between individuals can be attributed to sociopsychological
factors. In one study of aircraft noise (TRACOR, 1971), the most
important of the factors were fear of crashes, general noise
susceptibility, ability to adapt to noise, opinions about the
importance of the aircraft operations, and belief that the noise could
be better controlled. The interrelationship between these factors is
very complex. Even the direction of the causality is not clear: does
fear of crashes increase noise annoyance or vice versa? The
multivariate statistical analyses performed in some studies are not
adequate to resolve such questions and further investigations are
needed.
By comparing results of noise annoyance surveys around major
airports, it has been found that variation between the reactions of
individuals is very similar from place to place and from time to time
(Alexandre, 1970; Ollerhead, 1973; Rylander & Sörensen, 1974).
Regardless of how the reaction is measured, people express similar
degrees of annoyance in relation to similar ranges of noise exposure.
However the total range is considerable. Fig. 9 shows the cumulative
distribution of annoyed people at London Heathrow airport as a
function of noise exposure measured in NNI (Ollerhead, 1973). The
different curves represent different annoyance levels, and each is a
cumulative normal (Gaussian) distribution with a standard deviation of
20 NNI. Comparison of these curves with similar data from other
surveys suggests that they would be valid for any major international
airport with about 20% of its aircraft movements occurring at night.
Attempts have been made to combine survey data from various
sources. Fig. 10 shows two typical results (US Environmental
Protection Agency, 1973a; Schultz et al., 1976). The differences
between these two curves reflect different interpretations of the type
of reaction that constitutes "high" annoyance. The noise exposure
scale in Fig. 10 is Leq (day time) or Ldn (expressed in dB(A)),
since these variables tend to be roughly equal for typical 24-h work
exposure. Interpretation of Fig. 10 for non-typical night-time noise
exposure would depend upon the night-time weighting selected on the
basis of local circumstances. In the USA, this is taken to be + 10 dB
(incorporated in Ldn). Despite the disparity associated with the
meaning of "highly" annoyed, Fig. 10 indicates that a level of Leq
(day-time) or Ldn < 55 dB(A) will cause relatively little annoyance
and may be considered as an ultimate goal for general environmental
noise exposure.
3.7.5 Overt reaction
Complaints and other forms of community overt reaction to noise
provide important indicators of the existence of a noise problem. On
the other hand, because of the greater influence of psychosocial
factors, the number of complaints is very poorly correlated with the
noise exposure level (McKennell, 1961; TRACOR, 1971).
Several procedures have been suggested for predicting the
likelihood of overt reaction to noise exposure taking into account
some sociopsychological factors. These include the CNR method already
referred to (Stevens et al., 1955) and the British (BSI, 1967) and ISO
(ISO, 1971) recommendations. However, in some ways the British and ISO
practices may be considered as developments of CNR. In the ISO
procedure, the expected community response is divided into five
categories ranging from "none" to "very strong" with the descriptions;
no observed reaction; sporadic complaints; widespread complaints;
threats of community action; and vigorous community action. The likely
reaction is specified as a function of the amount by which the rating
level exceeds: the criterion value.
Caution must be exercised in the use of such standards, since the
evidence upon which they are based is fragmentary; indeed the ISO
recommendation admits to only a "rough connexion" between public
reaction and noise.
3.8 Effects on Task Performance
The effect of noise on the performance of tasks has mainly been
studied in the laboratory but also to some extent, in work situations.
Comprehensive reviews of these studies are available (Broadbent, 1957,
1971; Cohen, 1968; Kryter, 1970; Glass & Singer, 1972; Burns, 1973).
There have been few detailed studies of noise effects on human
productivity under normal living conditions.
In general, when a task involves auditory signals, whether speech
or nonspeech, noise at any intensity sufficient to mask or interfere
with the perception of these signals may interfere with the
performance of the task. When the task does not involve auditory
signals, the effects of noise on performance are more difficult to
assess. The literature shows that noise can interfere with or enhance
performance but that often it does not cause any significant change. A
possible explanation of this seems to be the different uses of the
term performance. As already mentioned, the most varied forms of
reaction (e.g., control activity, rapidity of reaction, learning
performance, memory training, intelligence tests) are all defined as
performance.
Basically, all performance, whether mental or motor can be
adversely affected by noise. This effect is likely to be more severe
as the task becomes more difficult and complex and as the duration of
the noise exposure increases.
3.8.1 Noise as a distracting stimulus
Noise can act as a distracting stimulus, depending on the
meaningfulness of the stimulus and file psychophysiological state of
the individual. According to a widely accepted theory in psychology,
the human sensory system receives more information than can be
analysed by the higher centres. In order to screen out useless
information such as noise, the concept of a mental "filter" has been
developed (Broadbent 1972). This "filter", however, has the following
limitations:
(a) it tends to reject or ignore unchanging signals over a period
of time, even though they may be important, as in vigilance tasks;
(b) an individual's state of arousal, stress, or fatigue may
hinder the mental filter's ability to discriminate; and
(c) the filter can be overridden by irrelevant stimuli that
demand attention because of novelty, intensity, unpredictability, or
learned importance.
Thus a novel event, such as the start of an unfamiliar noise,
will cause distraction and interfere with many kinds of task. This
will be equally true, however, of the sudden stopping of a familiar
noise; and, in each case, the effect will disappear once the novelty
has worn off. These reaction patterns are well established
experimentally (Kryter, 1970; Glass & Singer, 1972).
In 1955, Hebb suggested that changes in stimulation not only
initiate appropriate cortical responses but also activate or arouse
areas of the cerebral cortex other than those involved in the
response. This wider arousal activity originates in the reticular
formation, a portion of the central nervous system, and affects the
person's psychological state as well as physiological systems.
Too low a level of arousal can mean complete absence of activity
and therefore poor performance. On the other hand, too high a level
may cause inefficiency through over-reaction to distraction, leading
to incorrect responses. Thus, loud noise might increase or decrease
task performance depending on the previous state of arousal.
3.8.2 Effects on tasks involving motor or monotonous activities
It appears that steady noise has little, if any, effect upon many
tasks, once it has become familiar. Such tasks include tracking or
controlling tasks where noise levels are fairly continuous and where
average, rather than instantaneous, levels of performance are
important (Broadbent, 1957; Kryter, 1970). Many mechanical or
repetitive tasks found in factory work would fall into this category.
Generally it can be concluded that noise is likely to reduce the
accuracy rather than the total quantity of work (Broadbent, 1971).
However, it appears that moderate levels of noise increase
arousal during monotonous tasks. McGrath (1963) found that various
auditory stimuli at 72 dB improved visual vigilance performance.
3.8.3 Effects on tasks involving mental activities
Studies have occasionally been reported where noise exposure
produces a mixture of positive and negative effects on task
performance. Woodhead (1964) showed that noise adversely affected
tasks involving a combination of memorizing and problem solving.
However, when noise was introduced into the calculation phase only,
performance was improved. Other studies by Hockey (1970) showed that,
sometimes, performance on high-priority aspects of a task could be
enhanced while performance on low-priority aspects was diminished by
noise. The author found that by introducing a noise stimulus to a
visual perception task, centrally-located visual signals were more
effectively perceived, whereas peripherally-located signals tended to
be ignored. The theory derived from these studies is that noise can
increase the tendency to be selectively perceptive. If distraction
occurs, this may be particularly harmful, but if attention is
concentrated on the task, it may be helpful.
Experiments involving complex mental tasks have shown that there
is an increase in mistakes in the presence of intermittent noise
stimuli (Glass et al., 1971; Glass & Singer, 1972).
The effects of noise on performance have been reported to depend
upon intelligence (Bryan & Colyer, 1973). Under noisy conditions,
people with high intelligence showed a decrease in the quality of test
performance whereas people with average intelligence showed constant
or slightly better performance.
Tasks that have been described in the literature as being
particularly affected by noise, even when it has become familiar,
include tasks of vigilance, information gathering, and analytical
processes. Vigilance activities are not repetitive, do not allow for
self-pacing, and demand rapid and accurate decisions. Thus, they are
more adversely affected by distraction than many other activities.
There is also some evidence that an individual performing the
same task becomes less sensitive to noise, if the rate of arrival of
the signals is low, if motivation is reduced, if the individual tested
has a low level of anxiety, or if the noise is felt to be under the
person's own control rather than imposed upon him. Basically these are
"unarousing" conditions (Broadbent, 1971).
Because of the effects on vigilance tasks, and on the accuracy of
continuous serial reaction, it has been suggested that accidents would
be the most likely indicators of noise effects in industry. Data on
this subject are scarce; one study showed a higher accident rate in
noisy places (Raytheon Service Co., 1972), and an earlier study showed
an increase in errors (Broadbent & Little, 1960).
Various experiments have demonstrated a disruptive effect of
noise on learning or information gathering. Wakely (1970) pointed out
that noise may interfere by competing for the limited number of
channels available for information input. If the system is already
overloaded, an individual must take more time to evaluate the
usefulness of the intruding stimulus or run the risk of making errors.
When tasks are not self-paced, increased errors will result.
It has also been found that high levels of noise interfere with
short-term memory tasks (Jerison, 1954). Noise from sonic booms at
120 Pa could interfere with the learning of an eye/hand coordination
skill without impairing the accuracy of the task (Lukas, et al.,
1970).
These findings are important in relation to the specification of
noise limits for classrooms or offices, where mental work
predominates. It is important to differentiate between communication
masking effects on the one hand, and the disturbance of concentration
caused by noise on the other. In general, students in classrooms
designed to meet the speech criteria discussed earlier would not have
problems with interference in learning and other mental work. Although
it may be tentatively concluded that complex tasks involving mental
activity such as concentration, perception, or the intake of important
information are more likely to be affected than those that only
require predictable motor actions, additional experimental and field
data are required.
Noise of short or variable duration and impulsive noise tend to
produce short residual effects on noise-sensitive tasks. Woodhead
(1959) found that a one-second noise burst could have residual effects
on performance of from 15 to 30 seconds. She also found that simulated
sonic booms of 80-250 Pa produced residual disruptive effects
(Woodhead 1969). Similar results were reported from an experiment with
real sonic booms ranging from 40-260 Pa (Rylander et al., 1972b). The
disruptive, effects seen in these experiments could be the result of a
startle response (as opposed to the orienting response). These startle
effects differ from the distraction effect mentioned earlier, by being
more resistant to habituation.
4. EVALUATION OF HEALTH RISKS TO MAN FROM EXPOSURE TO NOISE
4.1 Environmental Noise
People are exposed to many kinds of environmental noise that can
be distinguished according to the source of the noise or to its
physical characteristics such as intensity, frequency spectrum, and
variations in time. There is wide agreement on both the
instrumentation requirements and the procedures for the physical
measurement and description of such noise. International organizations
have provided standards for measurement, which continue to be revised
and supplemented as knowledge improves. These standards and up to date
technical publications can be used as a basis for reliable predictions
of likely environmental noise in various circumstances.
Description of noise sources, characterization of noise
emissions, and understanding of basic noise generation mechanisms are
also relatively satisfactory.
Difficulties arise in describing the human noise dose. There are
two major problems associated with the description of a person's
cumulative noise exposure over a period of time. During each day, a
person is exposed to a variety of environmental noises at home, in the
general environment, and at work. This pattern might change from day
to day or year to year. The noise exposure pattern and dose change
with age, lifestyle, occupation, and many other factors. Thus,
estimates of total noise exposure are always very crude
approximations.
From a practical point of view, even if the noise exposure
history of an individual could be recorded, the data would have to be
reduced to a few exposure variables that could be correlated with the
subjective effects caused by that exposure.
Much noise-related research is focused upon the establishment of
valid dose description. Because of the importance of correlating the
various biological effects of noise with the appropriate physical
characteristics of the environmental noise, many attempts to condense
the exposure history into single numerical descriptors have been made
and alternative techniques will continue to be explored. The
increasing use of personal noise dosimeters in industry might provide
valuable information on the integrated noise dose experienced by
people over long periods. However, the problem remains as to which
variables of the environmental noise are important and can be suitably
reduced to a single number.
It is important to keep these basic concepts in mind, when the
dose-response relationships required for the specification of
practical exposure guidelines or noise limits are constructed. These
relationships are complex and in some instances can only be deduced
from data gathered over a number of decades. Thus, characterizations
of the exposure variables as well as of the responses, are frequently
rough approximations. Although it is possible and necessary for the
solution of specific problems to refine these relationships, the
consequent complications might hinder the development of a noise
abatement programme or the achievement of environmental health goals.
For this reason, the relatively simple and convenient equivalent
continuous sound level, Leq in dB(A), can be used as a basic, common
measure of environmental noise, and health criteria should be related
to this index, whenever possible.
The period over which Leq is averaged will depend upon specific
applications. For describing the 24-h general noise environment, a
weighted average such as the day-night average sound level (Ldn) may
be used to take account of sensitive periods of the day or night.
The convenience of combining different acoustic characteristics
of various noises into a single index is evident. This principle has,
however, been questioned both for industrial and environmental noises,
particularly when the number of events is low and there are large
differences between peak and background noise levels. The individual,
identifiable influences of different acoustic components in the cause-
and-effect chain should be recognized, particularly in research, and
the limitations of the equal energy principle should be borne in mind
when guidelines are established.
4.2 Population Affected
High noise levels are a feature of several work environments and
extensive efforts are necessary to reduce the incidence of
occupational deafness. Noise-induced hearing loss occupies a leading
place among occupational diseases, and, in all nations, industrial
noise abatement and hearing protection programmes should be a matter
of priority for bodies that are responsible for the health of the
working population.
People who work in less noisy places may run a negligible risk of
hearing impairment but could suffer from other noise-induced ailments
derived from stress or chronic fatigue. Noise causes difficulties in
communication and in work conditions in a wide variety of occupations.
People are exposed to nonoccupational noise during leisure and
rest hours. Environmental noise may interfere with, and affect the
performance of leisure-time activities, causing general annoyance.
Leisure activities may also introduce a hearing hazard, e.g., rifle
shooting, loud music in discotheques etc. Nonoccupational noise may
prevent normal performance at work and may, over a period of time,
lead to health impairment. For the same reason, people with reduced
adaptability or reserve capacity such as the sick, the aged, people
with impaired sleeping functions, or those who are subject to other
environmental strains may be particularly vulnerable and in need of
special protection against excessive noise.
4.3 Specific Health Criteria
4.3.1 Physical injury
Exposure to SPLs exceeding 140 dB, even for short periods,
involves a risk of morphological damage to the ear, usually consisting
of rupture of the tympanic membrane.
Aural discomfort is experienced at SPLs above 100-110 dB and
acute pain begins at SPLs above approximately 130 dB. This must be
considered as a warning signal of incipient damage and an urgent
requirement for preventive or protective measures. Painful sound
intensities are far above those that cause hearing loss, when
regularly experienced for several hours per day, and even brief
exposure to such levels should be avoided.
4.3.2 Hearing loss
Long-term occupational exposure to high level noise can result in
a gradual loss of hearing. The time scale of this process varies
considerably depending on individual susceptibility, noise intensity,
spectrum, and exposure pattern, and many other factors not yet fully
understood. In some people, severe damage may be caused in the first
few months; in others, hearing loss can develop gradually over the
whole period of a working life. Combined with presbyacusis, it can
lead to severe handicap and disability that is not amenable to
treatment.
In spite of considerable research, no method has yet been found
to identify individuals who may be particularly susceptible to noise-
induced hearing loss. For this reason, it is extremely important to
avoid exposure of workers to noise levels that are known to involve a
risk of permanent hearing loss. This should be achieved by effective
noise-control measures. If this is not possible, then workers should
be protected by a hearing conservation programme following recognized
occupational health standards. Early detection of incipient hearing
impairment is most important in the prevention of progressive
deafness. Since the earliest loss of auditory acuity usually occurs at
frequencies in the region of 4000 Hz, loss at this frequency is the
most sensitive indicator of incipient damage. Losses at lower
frequencies usually indicate progressive damage. NITTS is occasionally
used to predict NIPTS, but there is little agreement on the validity
of this practice.
Recent research and analysis of most of the available data has
provided a statistical basis for predicting the degree of hearing loss
likely to be experienced by people exposed to steady noise during an
8-h working day, for periods up to 40 years. The risk is negligible
for Leq (8 h) < 75 dB(A). Above this limit, the risk of noise-
induced permanent hearing loss increases with increase in noise level.
If the significant noise exposures are concentrated over shorter
periods during the day, this basic criterion implies that the risk
would also be negligible with a 4-h exposure to 78 dB(A), a 2-h
exposure to 81 dB(A), or a 1-h exposure to 84 dB(A). Conversely, if
additional exposure occurs outside the 8 working hours, for example as
a result of commuting to work or leisure activities, the limit of safe
exposure would be more adequately expressed as an Leq of 70 dB(A)
averaged over a 24-h day.
Any comparison of noise exposures with recommended exposure
limits should be based on measurements taken at the worker's ear under
actual working conditions. Noise levels should be monitored at
periodic intervals. For fluctuating exposures, the Leq for the total
workday should be determined. If the noise contains impulsive
components, the peak pressure, duration, and repetition rate of the
impulses must be compared with separate limits, in addition to those
just stated, in order to assure a safe level of noise in an
environment.
Based on available risk tables, legislative provisions or
recommended practices adopted by several countries specify
occupational exposure limits in the range of Leq (8-h) = 85 dB(A)
+ 5 dB(A), with an increasing tendency to aim at lower limits. Leq
(8 h) = 75 dB(A) can probably be considered as the limit below which
there is little or no risk of permanent hearing damage and no
necessity for protective measures. Hearing conservation programmes
should be adopted in the case of routine occupational exposure to
higher levels.
4.3.3 Nonspecific health effects
The nonauditory health effects of noise are complex and not yet
fully understood. Laboratory and field studies have revealed a variety
of physiological reactions such as changes in heart rate, blood
pressure and peripheral resistance, and vestibular reactions. Many of
these noise-induced reactions are nonspecific and are usually referred
to as stress reactions.
Much of the information is based upon animal experiments, many of
which have been performed on rodents. These animals differ
considerably from man in their reactions to noise. Thus, it is very
difficult to assess the significance of such experiments for human
health and wellbeing.
The possibility cannot be ignored that short-term, and long-term,
noise-induced stress, particularly with insufficient time for recovery
between periods of work, could increase susceptibility to other work-
related diseases, degenerative diseases, and nonspecific diseases that
are regarded as consequences of chronic general stress. People
normally exposed to hazardous stress during work and sensitive groups
such as the sick, the elderly, pregnant women, and children may be
particularly at risk. However, although the reported observations are
considered by many to be indications of potential danger to health and
have been suspected as predecessors of pathological changes, research
on this subject has not yielded any positive evidence, so far, that
disease is caused or aggravated by noise exposure, insufficient to
cause hearing impairment. More epidemiological and animal studies are
required to clarify the nature of nonauditory health risks associated
with noise.
4.3.4 Interference effects
Frequent or severe interruption of various human activities by
noise must affect human health and well-being to various degrees. The
main interference effects studied have been those associated with
sleep, communication, and with task performance.
The probability that sleep will be disturbed by a particular
noise depends on a number of factors including the interference
criterion used (e.g., awakening or EEG changes), the stage of sleep,
the time of night, the noise stimulus, and adaptation to the noise.
Individual differences in sensitivity are marked. Although
systematically collected field data on sleep disturbance are limited,
there is some consensus of opinion that night-time noise levels of
35 dB(A) Leq or less will not interfere with the restorative process
of sleep.
The masking effect of noise on speech communication is well
understood and methods are available to calculate word, message, and
sentence intelligibility as a function of the characteristics of the
masking noise. These methods are widely used in the design of rooms
and the specification of background noise from external and internal
noise sources to satisfy communication requirements. Various acoustic
engineering reference works give background noise limits for various
types of rooms such as offices, conference rooms, classrooms, and
auditoria. However, it has been noted that communication requirements
in industrial situations frequently do not receive adequate attention,
particularly with reference to the accident risk. To guarantee
satisfactory (100%) speech intelligibility in private homes, indoor
noise levels of less than 45 dB(A) Leq, are generally required.
Task performance interference is complex and depends to a large
extent on the nature of the task. It is primarily an occupational
problem and there is little evidence that it is significant in
situations where noise does not interfere with communication or does
not pose a risk of hearing impairment.
Concentration and mental work of all kinds are often assumed to
require a quiet environment. However, there are no reliable field data
to confirm this and it seems likely that the disruptiveness of noise
depends more upon the information it conveys than upon its level. No
generalized criteria relating task efficiency and noise level or
duration can be stated.
4.4 General Health, Welfare, and Annoyance Criteria
The health criteria and exposure limits described in section 4.3
provide guidance for the reduction or avoidance of noise-induced
effects under specific circumstances. However, they are of limited use
for decisions concerning the environment of the general population.
The results of social surveys on the extent of annoyance can be
used as guidance concerning the relation between different types of
outdoor noise and the extent of dissatisfaction or annoyance in the
community. Available data indicate that daytime noise levels of less
than 50 dB(A) Leq cause little or no serious annoyance in the
community. With noise at this level, other factors such as transport
needs, road safety, and the availability of schools are likely to
cause more concern than occasional noise disturbances. Based on this
likelihood, daytime noise limits in the region of 55 dB(A) Leq might
be considered as a general environmental health goal for outdoor noise
levels in residential areas. However, technological and economic
limitations may make this goal impracticable, at present, for many
existing urban areas.
5. NOISE CONTROL AND HEALTH PROTECTION
Noise levels in the environment can be reduced or limited by
emission control, which should be aimed at noise sources contributing
most to the effects experienced by man. The relevant sources are not
always those that contribute most to the total dose from an acoustic
point of view. Environmental noise control can be implemented by the
use of environmental noise standards. These standards can be met by
control at the source, by limiting the number of sources, by the
physical separation of noise sources and people, and by changes in
work methods. The technological background and information on dose-
response relationships for both environmental and industrial noise are
sufficient to allow appropriate action to be taken and to predict the
effectiveness of noise abatement programmes.
The control of environmental noise requires the participation of
local health authorities and interested organisations. As problems
caused by environmental noise, such as aircraft and traffic noise, are
mostly due to mistakes in planning policies, it may be difficult to
put a sufficiently stringent noise abatement programme into action in
built-up areas. Care should therefore be taken that planning
programmes include all long-term noise control measures which may be
necessary.
Action concerning specific sources of noise such as cars or
aircraft, often has to be taken at an international level using long-
term planning strategy as a background.
5.1 Noise Control at Source
The most efficient action against excessive noise is the
reduction of the noise at source. In industry, noise control
technology is available for solving many typical noise problems
arising from the use of machinery. Usually the most effective approach
is to redesign or replace noisy equipment. If this is not possible,
significant reductions in noise levels can be achieved by structural
and mechanical modifications, or the use of mufflers, vibration
isolators, and noise protection enclosures (Beranek, 1971; Mags,
1978).
5.2 Control of Sound Transmission
A further reduction in noise can be obtained by increasing the
distance between people and the noise source. For example, this can be
achieved in the community by planning the location of transport
facilities and, in industry, by the careful selection of work sites.
Sound transmission can also be controlled by the use of partitions or
barriers, e.g., for traffic noise along streets or, in industry,
around particularly noisy or disturbing machinery. Reverberent noise
levels can be reduced by sound-absorbing materials. The techniques for
the control of sound propagation and transmission are well developed
(Beranek 1971).
5.3 Reduction in Length of Exposure
A reduction in the length of exposure can be used in industry to
supplement the previous measures, if necessary. This may be
accomplished by job rotation or by restricting the operation of the
noise source.
5.4 Education of Workers
It is vitally important that persons who face a risk of exposure
to potentially hazardous noise levels should be educated in: (a) the
possible consequences of excessive noise exposure; (b) the means of
protection; and (c) the limitations of these means (e.g. improper use
of ear-muffs).
5.5 Ear Protection
If it is absolutely impossible to reduce noise to a harmless
level then some form of ear protection, i.e., ear-plugs, ear-muffs,
and/or helmets, should be used. They should also be used during
infrequent exposures that may not be part of a worker's normal
routine. When the use of personal ear protection is necessary,
attention must be given to: the effectiveness of specific types and
models of protectors; instruction in their proper use; hygiene,
discomfort, allergic reactions, and other medical problems that may
arise through their use; and the means for ensuring proper, diligent,
and effective use. In this connexion, it is important to provide quiet
facilities and the opportunity for the temporary removal of ear
protectors by those working in high noise levels. It should be noted
that the commonly held view that ear protectors interfere with
communication is incorrect, at least in continuous, high level noise
-- indeed, the reverse is often found to be the case.
5.6 Audiometry
Pre-employment and follow-up audiometric examinations should be
included in a hearing conservation programme. They provide
opportunities for the detection of persons threatened by the
development of NIPTS in order to take preventive action. Audiometric
tests are also helpful in monitoring the effectiveness of ear
protection and of noise abatement programmes. The examinations should
be performed by qualified technicians under the supervision of
physicians or health officials. It is usually accepted that the
measurement of pure-tone air conduction thresholds is sufficient for
this purpose. However, it should be stressed that periodical checks on
equipment calibration, background noise levels in testing rooms, and
audiometric procedures are necessary to minimize measurement errors.
The frequency of follow-up audiometric tests is, in principle,
dictated by the type and level of noise exposure. A general rule for
audiometric testing is to wait at least 16 h after the last noise
exposure to allow recovery from NITTS.
Whenever noise exposures are such that an unavoidable risk of
permanent hearing loss exists, occupational health services should
provide for a hearing conservation programme. Such programmes, for
which detailed guidelines exist, contain 3 elements: education
concerning the hazards of noise; education in the proper use and
supervision of the wearing of ear protection; and monitoring
audiometry including periodical medical examination, when necessary.
Monitoring audiometry, if properly planned and executed, will identify
workers at risk from incipient hearing impairment, so that they can be
removed from the noisy workplace before irreversible damage is caused.
Since present occupational noise standards in most countries
allow a certain risk of permanent hearing loss, a hearing conservation
programme is usually highly advisable in addition to the specification
of maximum exposure levels. Hearing conservation programmes are
considered desirable when 8-h daily exposures exceed 75 dB(A). Present
concepts of acceptable risk and economic constraints limit their
practical application in most countries to levels around 85 dB(A).
There are data which suggest that exposure to noise during
leisure time in certain cases may constitute a risk to hearing in some
segments of the general population. Noise from electronic music,
discotheques, home power tools, guns, and certain other sports
equipment might cause hearing impairment. These hearing losses occur
primarily in young people, frequently prior to their occupational
exposure. Hazardous noise exposures during leisure time should be
controlled through consumer product control, noise labelling of
products, environmental noise limits, and public education. Ear
protection should be recommended in conjunction with equipment
producing hazardous noise levels.
REFERENCES
ABEY-WICKRAMA, I. A., BROOK, M. F., GATTONI, F. E. G., & HERRIDGE, C.
F. (1969) Mental hospital admissions and aircraft noise. Lancet,
297: 1275-1277.
ACTON, W. I. (1967) A review of hearing damage risk criteria. Ann.
occup. Hyg., 10: 143-153.
ACTON, W. I. (1970) Speech intelligibility in a background noise and
noise induced hearing loss. Ergonomics, 13 (5): 546-554.
AFNOR (1969) Evaluation de l'exposition du bruit au cours du travail
en rue de la protection de l'ouie. Association Francaise de
Normalisation, S31-013.
ALEKSEEV, S. V., MAZURKEVIC, G. S., & HRABROVA, O. P. (1972) [The
effect of intensive noise on the cerebral circulation in
experimental animals.] Gig. Tr. prof. Zabol., 7: 24-26 (in
Russian).
ALEXANDRE, A. (1970) Prévision de la gêne due au bruit autour des
aéroports et perspectives sur les moyens d'y remedier. Paris,
Laboratoire d'Anthropologie Appliquéé, 145 pp. (Document
AAA/28/70).
ALEXANDRE, A. (1974) Decision based criteria on spatio-temporae
comparisons of surveys on aircraft noise. In: Proceedings of the
International Congress on Noise as a Public Health Problem,
Dubrovnik, Yugoslavia, May 13-18, 1973, Washington, DC, U.S
Environmental Protection Agency, pp. 619-627 (550/9.73.008).
ALEXANDRE, A. (1974) Bruit et sommeil. Med soc. prev., 19: 155-160.
ANDO, Y. & HATTORI, H. (1970) Effects of intense noise during foetal
life upon postnatal adaptability. J. Acoust. Soc. Am.,
47: (4, part 2): 1128-1130.
ANDRIUKIN, A. A. (1961) Influence of sound stimulation on the
development of hypertension. Cor Vasa, 3 (4): 285-293.
ANTANSSON, G. (1975) Methods for assessing high frequency hearing loss
in everyday listening situations. Acta Otolaryngol., suppl.
3.1.
ANTHONY, A. & ACKERMAN, E. (1955) Effects of noise on the blood
eosinophil levels and adrenals of mice. J. Acoust. Soc. Am.,
27 (6): 1144-1149.
ANTHONY, A., ACKERMAN, E., & LLOYD, J. A. (1959) Noise stress in
laboratory rodents. I. Behavioural and endocrine response of
mice, rats and guinea-pigs. J. Acoust. Soc. Am., 31: 1430-1437.
ARGUELLES, A. E., MARTINEZ, M. A., PUCCIARELLI, E., & DISISTO, M. V.
(1970) Endocrine and metabolic effects of noise in normal,
hypertensive and psychotic subjects. In: Welch, B. L., Welch, A.
S., ed. Physiological effects of noise, New York, Plenum Press,
pp. 43-55.
ATHERLEY, G. R. C. & MARTIN, A. M. (1971) Equivalent continuous noise
level as a measurement of injury from impact and impulse noise.
Ann. occup. Hyg., 14: 11-28.
ATHERLEY, G. R. C., NOBLE, W. G., & SUGDEN, D. B. (1967) Foundry noise
and hearing in foundrymen. Ann. occup. Hyg., 10: 255-261.
AUZOU, S. & LAMURE, C. (1966) Le bruit aux abords des autoroutes.
Cah. Cent. Sci. Tech. Batim., 78: 1-7.
BAUGHN, W. L. (1973) Relation between daily noise-exposure and
hearing loss based on the evaluation of 6,835 industrial noise
exposure cases. OH, Wright-Patterson Air Force Base, Aerospace
Medical Research Laboratory, 33 pp. (AMRL-TR-73-53).
BELAND, R. D., BISHOP, D. E., & LAFER, S. K. (1972) Aircraft noise
impact-planning guidelines for local agencies, South Pasadena,
Wiley & Ham, pp. 36-44 (Report No. 979-1, HUD contr. No. H-1675).
BENKO, E. (1959) [Narrowing of the visual fields for objects and
colours in the case of chronic brain damage.] Opthalmologica,
138: 449-456 (in German).
BENKO, E. (1962) Further information about the narrowing of the visual
fields caused by noise damage. Opthalmologica, 140 (1): 76-80.
BERANEK, L. L. (1947) The design of speech communication systems.
Proc. Inst. Radio Eng., 35: 880-890.
BERANEK, L. L. (1971) Noise and vibration control, New York,
McGraw-Hill.
BERGAMINI, L., BERGAMASCO, B., BENNA, P., COVACICH, A., & GILLI, M.
(1976) [Effect of road noise on the central nervous system.] In:
Rossi, G. & Vigone, M., ed. International Congress on Man and
Noise, Turin, Italy, 7-10 June, 1975, Turin, Minerva Medica
pp. 142-156 (in Italian).
BERGLUND, B., BERGLUND, U., & INDVALL, T. (1974) Scaling of annoyance
in epidemiological studies. In: Proceedings of the CEC, WHO,
USEPA International Symposium on Recent Advances in the
Assessment of the Health Effects of Environmental Pollution,
Paris, 24-28 June, 1974, pp. 1-16.
BERRY, B. & THIESSEN, C. J. (1970) Effects of impulsive noise on
sleep, Ottawa, National Research Council of Canada, 36 pp. (NRC
11597).
BISHOP, D. E. & HORONJEFF, R. D. (1967) Procedures for developing
noise exposure forecast areas for aircraft flight operations.
Washington, DC, US Federal Aviation Association, 57 pp. (US FAA
Technical Report FAA DS-67-10).
BORG, E. (1977) Tail artery response to sound in the unanesthetized
rat. Acta Physiol. Scand., 100: 129,-138.
BORSKY, P. N. (1972) Sonic boom exposure effects - annoyance
reactions. J. Sound Vib., 20: 527-530.
BOTSFORD, J. H. (1969) Using sound levels to gauge human response to
noise. J. Sound Vib., 3: 16-28.
BROADBENT, D. E. (1957) Effects of noise on behaviour. In: Harris, C.
M., ed. Handbook of noise control, New York, McGraw-Hill,
pp. 10-1 to 10-33.
BROADBENT, D. E. (1971) Decision and stress, New York, Academic
Press.
BROADBENT, D. E. & LITTLE, E. A. J. (1960) Effects of noise reduction
in a work situation. Occup. Psychol., 34: 133-140.
BRODISH, A. & LONG, C. N. H. (1956) Changes in blood ACTH under
various experimental conditions studied by means of a cross-
circulation technique. Endocrinology, 59: 666-676.
BRUCKMAYER, F. & LANG, J. (1967) Disturbance of the population by
traffic noise. Osterreiche Ing.-Z., No. H8, H9, H10,
pp. 302-306, 338-344, 376-385.
BRYAN, M. E. & COLYER, I. (1973) Noise, intellectual task and
intelligence. Acustica, 29: 228-233.
BSI (1967) Method of rating industrial noise in mixed residential and
industrial areas, London, British Standards Institution, 17 pp.
(BS 4142).
BSI (1975) Code of practice for noise control on construction and
demolition sites, London, British Standards Institution, 35 pp.
(BS 5228).
BSI (1976) Method of estimating the risk of hearing handicap due to
noise exposure, London, British Standards Institution, 35 pp.
(BS 5330).
BURNS, W. (1973) Noise and man, 2nd ed., London, John Murray 459 pp.
BURNS, W. & ROBINSON, D. W. (1973) Hearing noise in industry,
London, Her Majesty's Stationery Office, 241 pp.
BURNS, W. & ROBINSON, D. W. (1973) Audiometers in industry. J. soc.
occup. Med., 23: 86-91.
CANTRELL, R. W. (1974) Prolonged exposure to intermittent noise:
Audiometric biochemical motor psychological and sleep effects.
Laryngoscope, 84: 50.
CEDERLÖF, R., JONSSON, E., & KAJLAND, A. (1963) Annoyance reactions to
noise from motor vehicles: An experimental study. Acustica,
13: 270-279.
CEDERLÖF, R., JONSSON, E., & SÖRENSEN, S. (1967) On the influence of
attitudes to the source on annoyance reactions to noise: A field
experiment. Nord. Hyg. Tidskr., 48: 46-59.
CEYPEK, T. & KUZNIARZ, J. J. (1974) Hearing loss due to impulse noise:
A field study. In: International Congress on Noise as a Public
Health Problem, Dubrovnik, Yugoslavia, May 13-19, 1973,
Washington DC, US Environmental Protection Agency, pp. 219-228
(550/9-73-0008).
CHABA (1968) Proposed damage risk criterion for impulse noise
(gunfire), Washington, National Academy of Science, National
Research Council Committee on Hearing, Bioacoustics and
Biomechanics (Report of Working Group 57).
CHILES, W. D. & WEST, D. (1972) Residual performance effects of
simulated sonic booms introduced during sleep, Oklahoma City,
OK, Federal Aviation Administration, Civil Aeromedical Institute,
pp. 1-8 (FAA-AM-72-19).
CHOWNS, R. H. (1979) Mentalhospital admissions and aircraft noise.
Lancet, 1 (7644): p. 467.
COBLENZ, A., ALEXANDRE, A., & XYDIAS, N. (1967) Enquete sur le bruit
autour des aeroports. Paris, Laboratoire d'Anthropologie
Appliquée, 167 pp. (Doc. AAA/16/67).
COHEN, A. (1968) Effects of noise on task performance. In: Research
Conference on Applied Physiology, Washington, DC, US Department
of Health, Education and Welfare, 22 pp.
COHEN, A. (1973) Extra-auditory effects of occupational noise. Part I:
Disturbances to physical and mental health. Natl Saf. News,
(August): 93-99.
COHEN, A., KYLIN, B., & LABENZ, P. J. (1966) Temporary threshold
shifts in hearing from exposure to combined impact/steady-state
noise conditions. J. Acoust. Soc. Am., 40: 1371-1380.
COHEN, A., ANTICAGLIA, J. R., & JONES, H. H. (1970) Noise-induced
hearing loss: Exposures to steady-state noise. Arch. Environ.
Health, 20: 614-623.
COLES, R. R. A. & RICE, C. G. (1970) Towards a criterion for impulse
noise in industry. Ann. Occup. Hyg., 13: 43-50.
COLES, R. R. A., GARINTHER, G. R., HODGE, D.C., & RICE, C. G. (1968)
Hazardous exposure to impulse noise. J. Acoust. Soc. Am.,
43: 336-343.
COLES, R. R. A., RICE, C. G., & MARSTON, A.M. (1974) Noise-induced
hearing loss from present status. In: International Congress on
Noise as a Public Health Problem, Dubrovnik, Yugoslavia,
May 13-18, 1973, Washington, DC, US Environmental Protection
Agency, pp. 211-218 (550/9-73.008).
COLLINS, W. E. & IAMPIATRO, P. F. (1974) Effects on sleep of hourly
presentation of simulated sonic booms. In: International
Congress on Noise as a Public Health Problem Dubrovnik,
Yugoslavia, May 13-18, 1973, Washington, DC, US Environmental
Protection Agency, pp. 541-558 (550/9.73.008).
CONNOR, W. K. & PATTERSON, H. P. (1972) Community reaction to
aircraft around smaller city airports, Washington. DC. National
Aeronautics and Space Administration, 187 pp. (NASA CR-2104).
CORCORAN, B. W. J. (1967) Noise and loss of sleep. Q. J. exp.
Psychol., 14: 178-182.
DAVIES, R. (1976) Noise and the autonomic nervous system. In. Rossi,
G. & Vigone, M., ed. International Congress on Man and Noise.
Turin, Italy 7-10 June 1975, Turin, Minerva Medica,
pp. 157-163.
DAVIS, H. (1973) Some comments on "Impairment to hearing from exposure
to noise", by K. D. Kryter J. Acoust. Soc. Am., 53: (5):
1237-1239.
DAVIS, R. C., BUCHWALD, A.M., & FRANKMANN, R. W. (1955) Automatic and
muscular responses and their relation to simple stimuli.
Psychol. Monogr., 69: (405): 71 pp.
DEMENT, W. C. & KLEITMAN, N. (1957) Cyclic variations in EEG during
sleep and their relation to eye movements, body motility and
dreaming. Electroencephalogr. Clin. Neurophysiol., 9: 673-689.
DEUTSCHE FORSCHUNGSGEMEINSCHAFT (1974) [An interdisciplinary
investigation of the effects of aircraft noise on man.]
Boppard, Harold Bold Varlag, KG (in German).
DICKSON, E. D. D. & CHADWICK, D. L. (1951) Observations on
disturbances of equilibrium and other symptoms induced by jet
engine noise. J. Laryngol. Otol., 65: 154-165.
DIEROFF, H.-G. (1961) Sex differences in resistance to noise. Arch.
Ohren-Nasen-Kehlkopfheilk, formerly, Hals-Nasen-Ohrenheilk,
177: 282-298.
DIEROFF, H.-G. (1964) [Sound transmission deafness as noise
protection.] Z. Laryngol. Rhinol. Otol,, 43: 690-698 (in
German).
DIEROFF, H.-G. (1974) Hearing damage caused by very short, high
intensity impulse noise. In: International Congress on Noise as
a Public Health Problem, Dubrovnik, Yugoslavia, May 13-18, 1973,
Washington, DC, US Environmental Protection Agency, pp. 229-234
(550/9-73.008).
DOBBS, M. E. (1972) Behavioural responses to auditory stimulation
during sleep. J. Sound Vib., 20: 467-476.
ETHOLM, B. & EGENBERG, K. E. (1964) The influence of noise on some
circulatory functions. Acta Oto-Laryngol., 58: 208-213.
EVANS, F. V., GUSTAFSON, L. A., O'CONNELL, D. N., ORUE, M. T., & SHON,
R. E. (1966) Response during sleep with intervening waking
amnesia. Science, 152: 666-667.
FALK, S. A. (1972) Combined effects of noise and ototoxic drugs.
Environ. Health Perspect., 2: 5-22.
FEDERAL REGISTER (1969) Vol. 34, No. 96, Walsh-Healey Public Contracts
Act, p. 1-6.
FERRIS, K. (1966) The temporary effects of 125 c.p.s. octave-band
noise on stapedectomised ears. J. Laryngol. Otol., 80: 579-582.
FLETCHER, H. & MUNSON, W. A. (1933,) Loudness definition, measurement
and calculation. J. Acoust. Soc. Am., 5: 82-108.
FLETCHER, J. L. (1972) Effects of non-occupational exposure on a
young adult population, Memphis, Memphis State University,
18 pp. (Report for NIOSH, DHEW, HSM 099-71-52).
FRENCH, N. R. & STEINBERG, J. C. (1947) Factors governing the
intelligibility of speech sounds. J. Acoust. Soc. Am.,
19: (1):90-119.
FRENCH Government Circular, pp. 74-38 (1974).
GABRIELSSON, A., JOHANSSON, B., LINDBLAD, A. C., & PERSSON, L. (1974)
Assessment of comfort and discomfort levels for pure tone. A
methodological study. Stockholm, Karolinska Institute Technical
Audiology, 20 pp. (Report TA Nr. 74).
GALAMBOS, R., ROSENBERG, P. E., & GLORIG, A. (1953) The eyeblink
response as a test for hearing. J. Speech Hear. Disord.,
18: 373-378.
GALLO, R. & GLORIG, A. (1964) Permanent threshold shift changes
produced by noise exposure and aging. Am. Ind. Hyg. Assoc. J.,
25: 237-245.
GALLOWAY, W. J. & PIETRASANTA, A. C. (1967) Land use planning
relating to aircraft noise, Washington, DC, Departments of the
Air Force, Army and Navy, 62 pp. (AFM 86-5, TM 5-365, NAVDOCKS
P-98).
GATTONI, F. & TARNOPOLSKY, A. (1973) Aircraft noise and psychiatric
morbidity: Preliminary communication. Psychol. Med.,
3: 516-520.
von GIERKE, H. E. (1976) Noise - how much is too much? Noise Control
Engineering (July-August 76), pp 24-34 (OH Wright-Patterson Air
Force Base, Aerospace Medical Research Laboratory
(AMRL-TR-74-81).
von GIERKE, H. E. & PARKER, D. E. (1976) Infrasound; Volume V, Part 3
of The Handbook of Sensory Physiology. Berlin, Springer-Verlag,
pp. 585-624.
von GIERKE, H. E., DAVIS, H., ELDREDGE, D. H., & HARDY, J. D. (1953)
Aural pain produced by sound. In: Ades, H. W. et al., ed. Benox
Report, An exploratory study of the biological effects of noise,
Chicago, University of Chicago, pp. 29-36 (ONR Project NR
144079).
GLASS, D. C. & SINGER, J. E. (1972) Urban stress, New York, Academic
Press, 182 pp.
GLASS, D.C., REIM, B., & SINGER, J. E. (1971) Behavioural consequences
of adaptation to controllable and uncontrollable noise. J. exp.
soc. Psychol., 7: 244-257.
GLASSER, O. (1930) Medical Physics, Chicago, The Year Book
Publishers Inc., (Vol. III) 754 pp.
GLORIG, A. & NIXON, J. (196.2) Hearing loss as a function of age.
Laryngoscope, 72: 1596-1610.
GRANDJEAN, E. (1960) [Physiological and psychological effects of
noise.] Mensch. Umwelt Doc. Geigy, 4: 13-42 (in German).
GRANDJEAN, E. (1962) Biological effects of noise. In: Fourth
International Congress on Acoustics, Copenhagen, August, 1962,
pp. 104-114.
GRANDJEAN, E. (1974) A working group for the socio-psychological
survey on aircraft noise: Social survey on the effects of
aircraft noise around three airports in Switzerland. In:
International Congress on Noise as a Public Health Problem,
Berne, Federal Air Office, pp. 645-654.
GRIEFHAN, B., JANSEN, G., & KLOSTERKÖTTER, W. (1976) [On the problem
of noise-induced sleep disturbances -- a review of sleep
literature.] Berlin, Umweltbundesamt, 251 pp. (Report No. 4)
(in German).
GRIFFITHS, I. D. & LANGDON, F. J. (1968) Subjective response to road
traffic noise. J. Sound Vib., 8: (1): 16-32.
HARRIS, C. S. (1974) The effects of different types of acoustic
stimulation on performance. In: International Congress on Noise
as a Public Health Problem, Dubrovnik, Yugoslavia, May 13-18,
1973, Washington DC US Environmental Protection Agency,
pp. 389-403 (550/9-73.008).
HARRIS, J. D. (1965) Pure tone hearing acuity and the intelligibility
of everyday speech. J. Acoust. Soc. Am., 37: 824-830.
HEALTH AND WELFARE, CANADA (1979) Noise hazard and control. Ottawa,
Department of National Health and Welfare, 97 pp. (Report No.
79-EHD-29).
HEBB, D. O. (1955) Drives and the C.N.S. (Conceptual Nervous System).
Psychol. Rev., 62: 243-254.
HENKIN, R. I. & KNIGGE, K. M. (1963) Effect of sound on the
hypothalamic-pituitary-adrenal axis. Am. J. Physiol.,
204: 710-714.
HERRIDGE, C. F. (1972) Aircraft noise and mental hospital admission.
Sound, 6: 32-36.
HINCHCLIFFE, R. (1959) The threshold of hearing as a function of age.
Acustica, 9: 303-308.
HIRSCH, F. (1968) Effects of overpressure on the ear. Ann. N.Y. Acad.
Sci., 152: 147-162.
HOCKEY, G. R. J. (1970) Signal probability and spatial location as
possible bases for increased selectivity in noise. Q. J. exp.
Psychol., 22: 37-42.
HORD, J. J., LUBIN, A., & JOHNSON, L. C. (1966) The evoked heart rate
response during sleep. Psychophysiology, 3: 46-54.
HORIO, K., SAKAMOTO, H., & MATSUI, K. (1972) Adrenocortical response
to noise exposure. In: Proceedings of the Joint Meeting of
International Societies for Hygiene, Preventive and Social
Medicine, Vienna, 20 October to 7 November, 1972, Vienna,
Sonderdruck Reprint, pp. 1-4.
ICAO (1971) Aircraft Noise. Annex 16 to the Convention on
International Civil Aviation, Amendments I and II (1974),
Montreal, International Civil Aviation Organization, 51 pp.
ICAO (1974) Noise assessment for land use planning, Montreal,
International Civil Aviation Organization, 76 pp. (Circular
116-AN/86).
IEC (1961) Recommendations for sound level meters. Geneva, Central
Office of the International Electrotechnical Commission, 24 pp.
(Publ. No. 123).
IEC (1973a) Precision sound level meters, Geneva, Central Office of
the International Electrotechnical Commission, 26 pp. (Publ.
No. 179).
IEC (1973b) Precision sound level meters. Additional characteristics
for the measurement of impulsive sounds, Geneva, Central Office
of the International Electrotechnical Commission, 21 pp. (179a
First supplement to Publ. No. 179).
IEC (1976) Frequency weighting for the measurement of aircraft noise
(D-weighting), Geneva, Central Office of the International
Electrotechnical Commission, 7 pp. (Publ. No. 537).
ILO (1976) Noise and vibration in the working environment, Geneva,
International Labour Office, 131 pp. (Occupational Safety and
Health Series).
ISO (1959) Expression of the pysical and subjective magnitudes of
sound or noise, Geneva, International Organization for
Standardization, 4 pp. (ISO R 131).
ISO (1961) Normal equal loudness contours for pure tones and normal
threshold of hearing under free-field estimating conditions,
Geneva, International Organization for Standardization, 8 pp.
(ISO R 226).
ISO (1963) Expression of the power and intensity of levels of sounds
or noise, Geneva, International Organization for
Standardization, 1 p. (ISO R. 357).
ISO (1964) Measurement of noise emitted by vehicles, Geneva,
International Organization for Standardization, 6 pp. (ISO R
362).
ISO (1970) Monitoring aircraft noise around an airport, Geneva,
International Organization for Standardization, 3 pp. (ISO R
1761).
ISO (1971) Acoustics-assessment of noise with respect to community
response, Geneva, International Organization for
Standardization, 10 pp. (ISO R 1996).
ISO (1973a) Acoustics-guide to the measurement of airborne acoustical
noise and evaluation of its effects on man, Geneva,
International Organization for Standardization, 7 pp. (ISO 2204).
ISO (1973b) Acoustics-description and measurement of physical
properties of sonic booms, Geneva, International Organization
for Standardization. 4 pp. (ISO 2249).
ISO (1975a) Accoustics-preferred frequencies for measurement,
Geneva, International Organization for Standardization, 2 pp.
(ISO R 266).
ISO (1975b) Acoustics-methods of calculating loudness level, Geneva,
International Organization for Standardization, 18 pp. (ISO 532).
ISO (1975c) Acoustics-assessment of occupational noise exposure for
hearing conservation purposes, Geneva, International
Organization for Standardization, 11 pp. (ISO R 1999).
ISO (1975d) Acoustics-standard reference zero for the calibration of
pure tone audiometerics, Geneva International Organization for
Standardization, 4 pp. (ISO 389).
ISO (1975e) Acoustics-measurement of noise emitted by railbound
vehicles, Geneva, International Organization for
Standardization, 6 pp. (ISO 3095).
ISO (1975f) Acoustics-determination of sound power levels of noise
sources-precision methods for broad-band sources in
reverberation rooms, Geneva, International Organization for
Standardization, 13 pp. (ISO 3741).
ISO (1975g) Acoustics-determination of sound power levels of noise
source-precision methods for discrete frequency and narrow-band
sources in reverberation rooms, Geneva, International
Organization for Standardization, 9 pp. (ISO 3742).
ISO (1976) Acoustics-determination of sound power levels of noise
sources-Engineering methods for special reverberant test rooms,
Geneva, International Organization for Standardization (ISO
3743).
JANSEN, G. (1961) Adverse effects of noise on iron and steel workers.
Stahl Eisen, 81: 217-220.
JANSEN G. (1962) [Vegetative effects of noise on industrial workers.]
Lärmbekämpfung, 6: 126-128 (in German).
JANSEN, G. (1969) Effects of noise on physiological state. In: Ward,
W. & Fricke, J., ed. Noise as a public health hazard,
Washington DC, American Speech Hearing Association, pp. 89-98
(ASHA Report No. 4).
JANSEN, G. (1970) Physiological effects of noise. In: Welch B. L. &
Welch, A. S., ed. Relation between temporary threshold shift and
peripheral circulatory effects of sound, New York, Plenum
Press, pp. 67-74.
JANSEN, G. & GRIEFHAN, B. (1974) [Experimental investigations on the
problem of sleep disturbance by sonic booms.] Deutsch-
Französischen Forschungsinstituts St. Louis/Frankreich. ISI (in
German).
JANSEN, G. & SHULZE, J. (1964) [Examples of sleep disturbances by
noise.] Klin. Wochenschr., 42 (3): 132-134 (in German).
JAPANESE ENVIRONMENT AGENCY (1976) Environmental quality standard for
noise, Tokyo, 8 pp. (Environment Agency Notification No. 154).
JERISON, H. J. (1954) Paced performance on a complex counting task
under noise and fatigue conditions. Am. J. Psychol.,
9: 399-400.
JIRKOVA, H. & KROMAROVA, B. (1965) [Studies on the influence of noise
on the general health of workers in large engineering works, an
attempt at evaluation.] Prac. Lekarstoi, 17 (4): 147-148 (in
Polish).
JOHANSSON, B. (1952) A noise and hearing survey in Swedish iron ore
mines. Jearkontorets Ann., 136: 468.
JOHANSSON, B., KYLIN, B., & LANGFY, M. (1967) Acoustic reflex as a
test of individual susceptibility to noise. Acta Otolaryngol.,
64: 256-262.
JOHNSON, D. (1973) Various aspects of infrasound. In: Colloquium on
Infrasound, Paris, Centre National de la Recherche
Scientifique, pp. 337-358.
JONSSON, A. & HANSSON, L. (1977) Prolonged exposure to stressful
stimulus (noise) as a cause of blood pressure in man. Lancet,
8: 86-87.
KARAGODINA, E. L., SOLDATKINA, S. A., VINOKUR, I. L., KLIMUKHIN, A. A.
(1969). Effect of aircraft noise on the population near airports.
Hyg. Sanit., 34: (4-6): 182-187.
KARAGODINA, I. L., OSSIPOV, G. L., & SISKIN, I. A. (1972) [Effects of
apartment noise on sleep.] In: [Noise abatement in cities.]
Moscow, Medicina, 157 pp. (in Russian).
KAWATA, S. (1955) Noise problem as acoustic trauma. In: 56th Annual
Congress of Japan Otorhinolaryngological Society, Kyoto, Kurume
City, Japan, Department of Otorhinopharingology, Kurume
University Medical School, 114 pp.
KAWATA, S. & SUGA, F. (1967) Industrial sudden deafness. Ann. Otol.
Rhinol. Laryngol., 76: 895-1001.
KING, P. F. (197,1) Hearing conservation in aircrew and group support
personnel. In: Guignard, J. C. & King, P. F., ed. Aeromedical
aspects of vibration and noise, Paris, NATO/AGARD, pp. 204-241.
KITTE, G. & KIEROFF, H. G. (1971) [On the problem of changes in colour
detection due to noise exposure.] Klin. Monastbl. Augenheilkd.,
158: 732-739 (in German).
KLEIN, K. & GRÜBL, M. (1969) [Hemodynamic reactions to acoustic
stimuli.] Wien. Klin. Wochenschr., 81 (40): 705-709 (in
German).
KLOSTERKÖTTER, W. (1974) [New experiences on noise effects.] Kampf
dem Lärm, 4: 3-11 (in German).
KLUMP, R. G. & WEBSTER, J. C. (1963) Physical measurements of equally
speech-interfering Navy noises. J. Acoust. Soc. Am.,
35: 1328-1338.
KOPPE, E., MARSCHAT, K., & MULLER, A. A. (1963) [On the consideration
of aircraft noise in town planning around airports.] Frankfurt,
Maine, Göttingen (in German).
KORN, T. S. (1954) Effect of psychological feedback on conversational
noise reduction in rooms. J. Acoust. Soc. Am., 26: 793-794.
KOSTEN, C. W., STEENBERGEN, M. H., DE ZWAAN, G. W., DE TONGE, G. A.
C., FALKENHAGEN, C. A. F., & van OS, G. T. (1967) Aircraft noise
abatement - Report of Dutch Committee on Aircraft Noise
Abatement to the Minister of Traffic and Public Works, Delft,
Netherlands, 150 pp.
KOWALCZUK, H. (1967) ["Big-beat" music and acoustic traumas.]
Otolaryngol. Pol., 2: 161-167 (in Polish).
KRYTER, K. D. (.1959) Scaling human reactions to the sound from
aircraft. J. Acoust. Soc. Am., 31 (11): 1415-1429.
KRYTER, K. D. (1960) Damage risk criteria for hearing. In: Beranek,
L., ed. Noise reduction, New York, McGraw-Hill, 495-513.
KRYTER, K. D. (1962) Methods for the calculation and use of the
articulation index. J. Acoust. Soc. Am., 34 (11): 1689-1697.
KRYTER, K. D. (1970) The effects of noise on man, New York, Academic
Press, 633 pp.
KRYTER, K. D., WILLIAMS, C., & GREEN, D. M. (1962) Auditory acuity and
perception of speech. J. Acoust. Soc. Am., 34 (9): 1217-1223.
KRYTER, K. D. & PEARSONS, K. S. (1963) Some effects of spectral
content and duration on perceived noise level. J. Acoust. Soc.
Am., 29 (5): 603-608.
KRYTER, K. D., WARD, W. D., MILLER, J. D., & ELDRIDGE, D. H. (1966)
Hazardous exposure to intermittent and steady state noise.
J. Acoust. Soc. Am., 39 (3): 451-463.
KUPP, W. (1966) The influence of age on the development of progression
of noise deafness. Hals-Nasen-Ohrenheilh (Berlin), 14: 268-272.
KUZNIARZ, J. J. (1974) Hearing loss and speech intelligibility. In:
International Congress on Noise as a Public Health Problem,
Dubrovnik, Yugoslavia, May 13-18, 1973, Washington, DC, US
Environmental Protection Agency, pp. 57-73 (550/9-73-008).
KYLIN, B. (1960) Temporary threshold shift and auditory trauma
following exposures to steady-state noise. An experimental and
field study. Acta Otolaryngol., 152 (Suppl.): 1-93.
LAMURE, C. & BACELON, M. (1967) La gêne due au bruit de la circulation
automobile. Cah. Cent. Sci. Tech. Batim., 88: 762.
LANG, J. (1965) Objective measurement and description of traffic
noise. Paper presented at: Vth ICA Congress, Liege, 1965.
LANG, J. & JANSEN, G. (1970) The environmental health aspects of
noise research and noise control, Copenhagen, World Health
Organization Regional Office for Europe, 97 pp. (Document EURO
2631).
LANGDON, F. J. (1976) Noise nuisance caused by road traffic in
residential areas. J. Sound Vib., 47: 243-282.
LAWRENCE, M. (1966) Effects of interference with terminal blood supply
on organ of Corti. Laryngoscope, 76 (8): 1318-1337.
LEHMANN, G. & TAMM, J. (1956) Changes of circulatory dynamics of
resting men under the effects of noise. Intern. Z. agnew.
Physiol., 16: 217-227.
LE VERE, T. E., BARTUS, R. T., & HART, F. D. (1972) Electro-encephalo-
graphic and behavioural effects of nocturnally-occurring jet
sounds. Aerosp. Med., 43 (4): 384-389.
LE VERE, T. E., MORLOCK, G. W., & HART, F. D. (1975) Waking
performance decrements following minimal sleep disruption: The
effects of habituation during sleep. Physiol. Psychol.,
3: 147-154.
LIPSCOMB, D. M. & ROETTGER, R. L. (1973) Capillary constriction in
cochlear and vestibular tissues during intense noise stimulation.
Laryngoscope, 83 (2): 259-263.
LISICKINA, Z. S. (1968) The latest views on ultrasound as an
occupational hazard. In: Documentation for the Scientific
Meeting on the Present Scientific Position on Industrial Noise
and Ultrasound, their Influence on the Body and the Prevention
of their Harmful Effects, Leningrad, 12-14 November, 1968,
pp. 74-75.
LOCKETT, M. F. & MARWOOD, J. F. (1973) Sound deprivation causes
hypertension in rats. Fed. Proc., 32 (11): 2111.
LUKAS, J. S. (1972 a). Awakening effects of simulated sonic booms and
aircraft noise on men and women. J. Sound Vib., 20: 457-466.
LUKAS, J. S. (1972b) Effects of aircraft noise on human sleep. Ann.
Ind. Hyg. Assoc. J., 33: 298-303.
LUKAS, J. S. & DOBBS, M. E. (1972) Effects of aircraft noise on the
sleep of women, Washington, DC, National Aeronautics and Space
Administration, 30 pp. (NASA CR-2041).
LUKAS, J. S. & KRYTER, K. D. (1970) Awakening effects of simulated
sonic booms and subsonic aircraft; noise. In: Welch, B.L. &
Welch, A.S., ed. Physiological effects of noise, New York,
Plenum Press, pp. 283-293.
LUKAS, J. S. & KRYTER, K. D. (1971) Disturbance of human sleep by
subsonic jet aircraft noise and simulated sonic booms,
Washington, DC, National Aeronautics and Space Administration,
p. 68 (NASA CR-1780).
LUKAS, J. S., PEELER, D. L. & KRYTER, K. D. (1970) Effects of sonic
booms and subsonic jet flyover noise on skeletal muscle tension
and a paced tracing task, Washington, DC, National Aeronautics
and Space Administration, p. 38 (NASA CR-1522).
MAGS (1978) [Noise abatement in waste treatment plants.] Düsseldorf,
Ministerium für Arbeit, Gesundheit und Soziales des Landes NW,
47 pp. (in German).
MATEAU-CHARGOIS, D. A. (1969) The effect of sonic boom exposure on
the guineapig cochlea, Washington, DC, National Aeronautics and
Space Administration (NASA CR 102401).
MARTIN, A.M. (1970) Industrial impact noise and hearing. PhD Thesis.
Dept Pure and Applied Physics, University of Salford.
MARTIN, A. (1976) The equal energy concept applied to impulse noise.
In: Henderson, D., Hamernik, R. P., Dosanjh, D. S., Mills, J. H.,
ed. Effects of noise on hearing. New York, Raven Press,
pp. 421-449.
MARTIN, R. H., GIBSON, E. S. & LOCKINGTON, J. N. (1975) Occupational
hearing loss between 85 and 90 dBA. J. occup. Med., 17: 13-18.
MATSUI, K. & SAKAMOTO, H. (1971) The understanding of complaints in a
noisy work shop. Ergonomics, 14: (1): 95-102.
MCGRATH, J. J. (1963) Irrelevant stimulation and vigilance
performance. In: Bucknier & McGrath, ed. Vigilance: A symposium,
New York, McGraw-Hill.
MCKENNELL, A. C. (1963) Aircraft Noise around London (Heathrow)
Airport, London, Her Majesty's Stationery Office (UK Government
Survey Report SS. 337).
MCKENNELL, A. C. & HUNT, E. A. (1961) Noise annoyance in central
London, British Central Office of Information, (UK Government
Survey Report SS. 332).
MIL RESEARCH LIMITED (1971) Second survey of aircraft noise annoyance
around London (Heathrow) Airport, London, Her Majesty's
Stationery Office, 192 pp.
MILLER, A. (1961) Network model of the middle ear. J. Acoust. Soc.
Am., 33: 168-176.
MILLER, J. D. (1971a) Effects of noise on the quality of human life,
Central Institute for the Deaf, St. Louis, (Special Contract
Report prepared for the Environmental Protection Agency,
Washington, DC).
MILLER, J. D. (1971b) Effects of noise on people, US Environmental
Protection Agency, 153p. (NTID, 300.7).
MILLER, J. D. (1974) Effects of noise on people. J. Acoust. Soc. Am.,
56 (3): 729-762.
MILLER, J. D., WATSON, C. S., & COVELL, W. P. (1963) Deafening effects
of noise on the cat. Acta Otolaryngol., 176 (Suppl.): 1-91.
MILLS, J. H. & LILLY, D. J. (1971) Temporary threshold shifts produced
by pure tones and by noise in the absence of an acoustic reflex.
J. Acoust. Soc. Am., 50: 1556-1558.
MOHR, G. C., COLE, J. N., GUILD, E., & von GIERKE, H. E. (1965)
Effects of low frequency and infrasonic noise on man. Aerospace
Med., 36 (9): 817-824.
MOLINIE, J. (1916) Réflexes oculaires dorigine auditive. Rev.
Laryngol. Otol. Rhinol. 1: 358-393.
MOUNIER-KUHN, P., GAILLARD, J., MARTIN, H., & BONNEFOY, J. (1960)
Influence de l'etat antérieur de l'oreille sur la constitution de
la surdité par traumatisme sonore. Acta Oto-Rhino-Laryngol.,
14 (2): 176-185.
MURPHY, K. P. (1969) Differential diagnosis of imparted hearing in
children. Dev. Med. child. Neurol., 11: 561-568.
NIEMEYER, W. (1967) Speech discrimination in noise-induced deafness.
Intern. Audiol., 42 (6): 42-47.
NIOSH (1973a) Criteria for a recommended standard: Occupational
exposure to noise, Washington, DC, US Department of Health,
Education and Welfare, National Institute for Occupational Safety
and Health, 86 pp. (HSM 73-11001).
NIOSH (1973b) Occupational noise and hearing, 1968-1972, Washington,
DC, US Department of Health, Education and Welfare, National
Institute for Occupational Safety and Health, 23 pp.
NISHINOMIYA, G. (1976) [Significant characteristics of social response
to noise and vibration.] J. Acoust. Soc. Jpn, 32: 3 (in
Japanese).
NIXON, J. C. & GLORIG, A. (1961) Noise-induced permanent threshold
shift at 2000 and 4000 cps. J. Acoust. Soc. Am., 33: 904-908.
NIXON, C. W. & von GIERKE, H. E. (1972) Human response to sonic boom
in the laboratory and the community. NASA, 51: 766-782.
NIXON, C. W., HARRIS, C., & von GIERKE, H. E. (1966) Rail test to
evaluate equilibrium in low-level wideband noise, OH, Wright-
Patterson Air Force Base, Aerospace Medical Research Laboratory,
8 pp. (AMRL-TR-66-86).
NOISE ADVISORY COUNCIL (1975) Noise units, London, Her Majesty's
Stationery Office, pp. 1-13.
NOWAK, R. & DAHL, D. (1969) [Noise-induced deafness of ship-engine
operation personnel.] Z. Ges. Hyg., 17: 488-492 (in German).
OGLE, C. W. & LOCKETT, M. (1968) The urinary changes induced in rats
by high pitched sounds (20 kcyc/sec.). J. Endocrinol.,
42: 253-260.
OLLERHEAD, J. B. (1973) Noise; how can the nuisance be controlled?
Appl. Ergon., 4 (3): 130-138.
OSADA, Y. L. (1973) [Health hazards of noise pollution - A review.]
Bull. Inst. Public Health (Tokyo), 22 (4): 209-227 (in
Japanese).
OSADA, Y., TSUNASHIMA, S., YOSHIDA, K., ASANO, M., OGAWA, S.,
HIROKAWA, A., NAKAMURA, K., &: HARUTA, K. (1968) [Experimental
study on the influence of noise on. sleep.] Bull. Inst. Public
Health (Tokyo), 17 (3): 208-217 (in Japanese).
OSADA, Y., TSUNASHIMA, S., YOSHIDA, K., ASANO, M., OGAWA, S.,
HIROKAWA, A., NAKAMURA, K., & HARUTA, K. (1969) [Sleep impairment
caused by short time exposure to continuous and intermittent
noise.] Bull. Inst. Public Health (Tokyo), 18 (1): 1-9 (in
Japanese).
OSADA, Y., TSUNASHIMA, S., YOSHIDA, K., OGAWA, S., & OHOKUBO, C.
(1972a) [Effects of train and jet aircraft noise on sleep.]
Bull Inst. Public Health (Tokyo), 21 (3): 133-138 (in
Japanese).
OSADA, Y., YOSHIDA, K., TSUNASHIMA, S., OGAWA, S., HIROKAWA, A.,
NAKAMURA, K., OHOKUBO, C., & HARUTA, K. (1972b) [Influence of sex
and age on the physiological response to intermittent noise.]
Bull. Inst. Public Health (Tokyo), 21 (1): 14-19 (in Japanese).
OSADA, Y., OGAWA, S., HIROKAWA, A., & HARUTA, K. (1973) [Physiological
effects of long-term exposure to low-level of noise.] Bull.
Inst. Public Health (Tokyo), 22 (2): 61-67 (in Japanese).
OSADA, Y., OGAWA, S., OHOKUBO, C., & MIYAZAKI, K. (1974) [Experimental
study on sleep interference by train noise.] Bull. Inst. Public
Health (Tokyo), 23 (3): 171-177 (in Japanese).
OSINTSEVA, V. P. (1969) [Noise-Induced changes in the adrenals.] Gig.
i Sanit., 34: 147-151 (in Russian).
PARVIZPOOR, D. (1976) Noise exposure and prevalence of high blood
pressure among weavers in Iran. J. Occup. Med., 18 (11):
730-731.
PASSCHIER-VERMEER, W. (1974) Noise induced hearing loss from exposure
to intermittent and varying noise. In: International Conference
on Noise as a Public Health Problem, Dubrovnik, Yugoslavia, May
13-18, 1973, Washington, DC, US Environmental Protection
Agency, pp. 169-200 (550/9.73.008).
PEARSONS, K. S., BENETT, R. L., & FIDELL, S. (1976) Speech levels in
various environments, Washington DC, Office of Resources &
Development, US Environmental Protection Agency (Bolt, Beranek
and Newman Inc. Report No. 3281).
RAYTHEON SERVICE CO. (1972) Industrial noise and worker medical
absence and accident records, Cincinnati, OH, US Department of
Health, Education and Welfare, pp. 5-1 to 5-2 (RR-17 NIOSH).
REY, P. (1974) La surdité professionnelle. Soz. Präventiumedizin,
19: 177-183.
REY, P. (1976) Le bruit industriel. In: Rossi, G. & Vigone, M., ed.
International Congress on Man and Noise, Turin, Italy 7-10, June
1975, Turin, Minerva Medica, pp. 23-29.
RICE, C. G. & MARTIN, A. M. (1973) Impulse noise damage risk criteria.
J. Sound Vib., 28 (3): 359-367.
ROBERTS, J. & BAYLISS, D. (1967) Hearing levels of adults by race,
religion and area of residence, United States 1960-1962,
Washington, DC, National Centre for Health Statistics, US
Department of Health, Education & Welfare, Public Health Service
(Series 11, Number 26).
ROBINSON, D. W. (1969) The concept of noise pollution level,
Teddington, England, National Physical Laboratory (Report Ac-38).
ROBINSON, D. W. (1971) Occupational hearing loss, New York, Academic
Press, 285 pp.
ROBINSON, D. W. (1972) An essay in the comparison of environmental
noise and prospects for a unified system, Teddington, England,
National Physical Laboratory, 31 pp. (Acoustics Report Ac-59).
ROBINSON, D. W. (1974) Rating total noise environment, ideal or
pragmatic approach? In: International Congress on Noise as a
Public Health Problem, Dubrovnik, Yugoslavia, May 13-18, 1973,
Washington, DC, US Environmental Protection Agency, pp. 777-784
(550/9.73.008).
ROBINSON, D. W. & DADSON, R. S. (1956) A redetermination of the equal-
loudness relations for pure tones. Br. J. Appl. Phys.,
1: 166-181.
ROSECRANS, J. A., WATZMAN, N., & BUCKLEY, J. P. (1966) The production
of hypertension in male albino rats subjected to experimental
stress. Biochem. Pharmacol., 15: 1707-1718.
ROSEN, S. & ROSEN, H. V. (1971) High frequency studies in school
children in nine countries. Laryngoscope, 81: 1007-1013.
ROSEN, S., BERGMAN, M., PLESTER, D., EL-MOFTY, A., & SATTI, M. H.
(1962) Presbycusis study of a relatively noise-free population in
the Sudan. Ann. Otol., 71: 727-743.
ROSENBLITH, W. A. & STEVENS, K. N. (1953) Handbook of acoustic noise
control. Noise and man. OH, Wright Patterson Air Force Base,
(Vol. 2) (WADC, TR-52-204).
ROTH, A. (1970) [Investigation of the damage to hearing caused by
industrial noise below the standard level.] Z.ges.Hyg.,
16:760-763 (in German).
RYLANDER, R. & SÖRENSEN, S. (1974) Aircraft noise determinants for the
extent of annoyance reactions. In: International Congress on
Noise as a Public Health Problem, Dubrovnik, Yugoslavia,
May 13-18, 1973, Washington, DC, US Environmental Protection
Agency, pp. 661-668 (550/9.73.008).
RYLANDER, R., SÖRENSEN, S., & BERGLUND, K. (1972a) Sonic boom effects
on sleep. A field experiment on military and civilian
populations. J. Sound Vib., 24: 41-50.
RYLANDER, R., SÖRENSEN, S., BERGLUND, K., & BRODIN, K. (1972b)
Experiments on the effect of sonic boom exposure on humans.
J. Acoust. Soc. Am., 51: 790-798.
RYLANDER, R., SÖRENSEN, S., & BERGLUND, K. (1974a) Reanalysis of
aircraft noise annoyance data against the peak dB(A) concept.
J. Sound Vib., 36: 399-406.
RYLANDER, R., SÖRENSEN, S., ANDRAE, B. O., CHATELIER, G., ESPMARK,
Y., LARSSON, T., & THACKRAY, R. I. (1974b) Sonic boom exposure
effects - A field study on humans and animals. J. Sound Vib.,
33: 471-486.
RYLANDER, R., AHRLIN, U., & VESTERLUND, J. (1978) Medical effects of
environmental noise exposure. Proceedings from a workshop on
medical effects of environmental noise exposure, Gothenburg 1977.
J. Sound Vib., 59 (1): 59-142.
SCHIEBER, J. P., MERY, J., & MUZET, A. (1968) Etude analytique en
laboratoire de l'influence du bruit sur le sommeil. Strasbourg,
France, Centre d'Etudes Bioclimatiques du CNRS.
SCHNEIDER, E. J., MUTCHIER, J. E., HOYLE, H. R., ODE, E. H., & HOLDER,
B. B. (1970) The progression of hearing loss from industrial
noise exposures. Am. Ind. Hyg. Assoc. J., 31 (May-June):
368-376.
SCHULTZ, T. J., GALLOWAY, W. J., BELAND, D., & HIRTLE, P. W. (1976)
Recommendations for changes in HUD's noise policy standards,
Washington, DC, Department of Housing and Urban Development
(Bolt, Beranek & Newman Inc., Report No 3319R).
SELYE, H. (1955) Stress and disease, Science, 122 (3171): 625-631.
SELYE, H. (1956) The stress of life, New York, McGraw-Hill 342 pp.
SOLDATKINA, S. A., NOVIKOV, JU, V., & TUDINA, J. V. (1973)
[Documentation on the hygienic evaluation of urban noise.]
Gig. i Sanit., 3: 16-20 (in Russian).
SOUTH AFRICAN BUREAU OF STANDARDS (1973) Code of practice for the
determination and limitation of disturbance around an aerodrome
due to the noise from aeroplanes. (UDC, 534.83.629.135.2 5ABS
0227-1973).
SPOENDLIN, H. (1971) Primary structural changes in the organ of Corti
after acoustic overstimulation. Acta Otolaryngol. (Stockholm),
71: 166.
SPOOR, A. (1967) Presbyacusis values in relation to noise-induced
hearing loss. Int. Audiol., 6: 48-57.
SPRENG, M. (1975) Physiological and psychophysical aspects of the
threshold of discomfort and pain in hearing. J. audiol. Tech.,
14: 14-29.
STATE OF CALIFORNIA (1971) Noise Standards, Department of
Aeronautics (Title 4, Register 70, No. 48-11-28-70, Sub-chapter
6).
STEFFEN, T. N., NIXON, J. C., & GLORIG, A. (1963) Stapedectomy and
noise. Laryngoscope, 73: 1044-1060.
STEINICKE, G. (1957) [The impact of noise on sleep in man.] Research
Report of the Economic and Transport Ministry of North Rhine-
Westfalia, No. 416, Koln, Germany, West deutscher Verlag, 33 pp.
(in German).
STEVENS, K. N. & PIETRASANTA, A. C. (1957) Procedures for estimating
noise exposure and resulting community reactions from air base
operations. OH, Wright-Patterson Air Force Base, Aerospace
Medical Research Laboratory 74 pp. (Astia Document No. AD
110705).
STEVENS, K. N., ROSENBLITH, W. A., & BOLT, R. H. (1955) A community's
reaction to noise; can it be forecast? Noise Control, 1: 63-71.
STEVENS, S. S. (1955) Measurement of loudness. J. Acoust. Soc. Am.,
27 (5): 815-829.
STEVENS, S. S. (1956) Calculation of the loudness of a complex noise.
J. Acoust. Soc. Am., 28 (5): 807-832.
STEVENS, S. S. (1957a) Concerning the form of the loudness function.
J. Acoust. Soc. Am., 29 (5): 603-606.
STEVENS, S. S. (1957b) On the psychophysical law. Psychol. Rev.,
64 (3): 153-181.
STONE, G. F., FREEMAN, T. W., & CRAIG, R. L. (1971) Noise control and
hearing conversation in large steam-electric generating stations.
Am. Ind. Hyg. Assoc. J., 32: 123-131.
SULKOWKSI, W. (1974) Some epidemiological data on noise-induced
hearing loss in Poland, its prophylaxis and diagnosis. In:
International Congress on Noise as Public Health Problem,
Dubrovnik, Yugoslavia, May 13-18, 1973. Washington, DC, US
Environmental Protection Agency, pp. 139-156 (550/9.73.008).
SULKOWSKI, W. (1976) Noise-induced permanent threshold shift:
Occupational deafness. In: Rossi, G. & Vigone, M., ed.
International Congress on Man and Noise, Turin, Italy, June
1975, Turin, Minerva Medica, pp. 121-128.
SUVOROV, G. A. (1971) Action of impulse noise on the cortex of
cerebral hemispheres and the ascending activating system. Gig. i
Sanit., 1: 37-42 (in Russian).
TARNOPOLSKY, A. & McLEAN, E. K. (1976) Noise as a psychosomatic
hazard. In: Hill, O. W., ed. Modern trends in psychosomatic
hazard, London, Butterworths, pp. 90-101.
TARNOPOLSKY, A., BARKER, S. M., WIGGINS, R. D., & MCLEAN, E. K. (1978)
The effect of aircraft noise on the mental health of a community
sample: A pilot study. Psychol. Med., 8: 219-233.
TATAI, K., OSADA, Y., TSUNASHIMA, S., YOSHIDA, K., OGAWA, S., ASANO,
M., HIROKAWA, A., & HARUTA, K. (1965) [Experimental studies on
the influence of noise on physiological functions of the human
body. I. Responses of leucocyte counts and of adrenal secretion
to noise.] Bull. Inst. Public Health Tokyo, 14 (4) 200-212 (in
Japanese).
TATAI, K., OSADA, Y., TSUNASHIMA, S., YOSHIDA, K., OGAWA, S., ASANO,
M., HIROKAWA, A., & HARUTA, K. (1967) [Experimental studies on
the influence of noise on physiological functions of the human
body. II. Responses of adrenals, leucocytes, EEG, respirogram and
plethysmogram to noise.] Bull. Inst. Public Health, Tokyo,
16 (3): 105-111 (in Japanese).
THACKRAY, R. I. (1972) Sonic boom exposure effects - startle
responses. J. Sound Vib., 20: 519-526.
THIESSEN, G. J. (1969) Effects of noise from passing trucks on sleep.
In: 77th Meeting of the Acoustical Society of America,
Philadelphia April, 1969. Acoustical Society of America,
(Report Q 1).
THIESSEN, G. J. (1970) Effects of noise during sleep. In: Welch, B. L.
& Welch, A. S., ed. Physiological effects of noise, New York,
Plenum Press, pp. 271-275.
THIESSEN, G. J. (1972) Noise interference with sleep, Ottawa,
National Research Council of Canada, 10 pp.
THIESSEN, G. J. (1976) Effects of noise on man. Ottawa, National
Research Council of Canada, 89 pp.
TRACOR (1971) Community reaction to airport noise, Austin, Texas
Tracor Incorporated, Vol. 1, 89 pp. (NASA Report CR-1761).
TRACOR (1976) Analysis of the effect of numbers of aircraft
operations on community annoyance, Washington, DC, National
Aeronautics and Space Administration, 92 pp. (NASA CR-2741).
UK Statutory Instrument No. 1763 (1975) Building and buildings - the
noise insulation regulations 1975, London, Her Majesty's
Stationery Office, 22 pp.
US Air Force Aerospace Medicine (1973) Hazardous noise exposure,
Washington, DC, Department of the Air Force, pp. 20-21 (Air Force
Regulation 161-35 Attachment 9).
US Department of Health, Education and Welfare (1972) Occupational
exposure to noise. 2nd ed., Washington, US DHEW, Chapter 6,
p. 17 (HSM 73-11001).
US Department of Labor (1971) Occupational noise exposure, (29 CFR,
1910.95).
US Environmental Protection Agency (1973a) Public health and welfare
criteria for noise, Washington, DC, US EPA, 200 pp.
(550/9.73.002).
US Environmental Protection Agency (1973b) International Congress on
Noise as a Public Health Problem, Dubrovnik, Jugoslavia,
May 13-18, 1978, Washington, DC, US EPA, 807 pp. (550/9.73.008).
US Environmental Protection Agency (1974) Information on levels of
environmental noise requisite to protect public health and
welfare with an adequate margin of safety, Washington, DC, US
EPA, 175 pp. (550/9.74.004).
US Federal Aviation Regulations (1969) Noise Standards: Aircraft Type
Certification. Washington, DC, Federal Aviation Administration
(Vol. 3, Part 36).
US National Center for Health Statistics (1965) Hearing levels of
adults by age and sex, United States, 1960-1972. Vital and
health statistics. Washington, DC, US Department of Health,
Education and Welfare, 34 pp. (PHS Pub. No. 1000-series 11-No.
11).
VALCIC, J. (1974) Influence du bruit sur la réaction des vaisseaux
sanguins périphériques et le rôle des réflexes végétatifs
(Expériences personnelles). Actes du Congrès pour la lutte
contre le bruit de l'association international contre le bruit,
Bâle, 66: 34-42.
VETTER, K. & HORVATH, S. M. (1962) Effects of audiometric parameters
on K-complex of electroencephalogram. Psychiat. Neurol.,
144: 103-109.
WAKELY, H, C. (1970) Noise and human behaviour. In: Proceedings of
the Symposium on Environmental Noise, Its Human Economic
Effects, Chicago, Chicago Hearing Society, pp. 27-34.
WARD, W. D. (1960) Latent and residual effects in temporary threshold
shift. J. Acoust. Soc. Am., 32 (1): 135-137.
WARD, W. D. (1962) Studies on the aural reflex. II. Reduction of
temporary threshold shift from intermittent noise by reflex
activity: Implications for damage-risk criteria. J. Acoust. Soc.
Am., 34: 234-241.
WARD, W. D. (1970) Temporary threshold shift and damage-risk criteria
for intermittent noise exposures. J. Acoust. Soc. Am., 48 (2,
part 2): 561-574.